IPCS INCHEM Home


    Pesticide residues in food -- 1999



    Sponsored jointly by FAO and WHO
    with the support of the International Programme
    on Chemical Safety (IPCS)



    Toxicological evaluations




    Joint meeting of the
    FAO Panel of Experts on Pesticide Residues
    in Food and the Environment
    and the
    WHO Core Assessment Group

    Rome, 20-29 September 1999

    PERMETHRIN

    First draft prepared by
    D.B. McGregor
    International Agency for Research on Cancer, Lyon, France

            Explanation 
            Evaluation for acceptable daily intake 
                Biochemical aspects: Absorption, distribution, excretion,
                   and biotransformation 
                Toxicological studies 
                    Acute toxicity 
                    Short-term studies of toxicity 
                    Long-term studies of toxicity and carcinogenicity
                    Genotoxicity 
                    Reproductive toxicity 
                        Multigeneration reproductive toxicity
                        Developmental toxicity 
                    Special studies 
                        Neurotoxicity 
                        Endocrine effects 
                Observations in humans 
            Comments 
            Toxicological evaluation 
            References


    Explanation

         Permethrin is a synthetic pyrethroid insecticide. It is an ester
    of the dichloro analogue of chrysanthemic acid, chemically identified
    as (3-phenoxyphenyl)methyl-(±)- cis-trans-3(2,2-dichloroethyenyl)
    -2,2-dimethylcyclopropanecarboxylate. The technical-grade materials
    are mixtures of four stereoisomers, although the 1 R, cis isomer is
    the most active insecticide. Permethrin is effective against a wide
    range of insect pests in agriculture, animal husbandry, and public
    health and is used to control residential insects and dust mites. The
    insecticidal action of synthetic pyrethroids such as permethrin is due
    to interaction with ion channels on axons of the nervous systems of
    target species.

         Permethrin was evaluated toxicologically by the Meeting in 1979,
    1981, and 1982 (Annex 1, references 32, 36, and 38). The 1982 Meeting
    established an ADI of 0-0.05 mg/kg bw for the 40:60  cis:trans 
    mixture of permethrin stereoisomers, since it recognized that mixtures
    with different isomeric ratios would require independent evaluation.
    The 1987 Meeting (Annex 1, reference 50) included permethrin mixtures
    in which the  cis:trans ratio is nominally 25:75 in the ADI of 0-0.05
    mg/kg bw. Permethrin was reviewed by the present Meeting within the
    periodic review programme of the Codex Committee on Pesticide
    Residues.

    Evaluation for Acceptable Daily Intake

    1.  Biochemical aspects: Absorption, distribution, excretion, and 
        biotransformation

          Mice 

         [14C-alcohol-1 RS,cis]Permethrin was applied to a marked
    1-cm2 area of the clipped skin of mice at a dose of 1 mg/kg bw
    (1 µCi) in 0.1 ml of acetone. The mice were restrained until the
    acetone had evaporated and were then placed in metabolism cages. They
    were killed 1, 5, 15, 60, 480, and 2880 min after treatment and
    examined for the absorption, distribution, and excretion of
    permethrin. About 40% of the dose had left the site of application
    within 5 min and appeared to move rapidly to other parts of the body
    (Shah et al., 1981).

         In a study of the metabolism of permethrin in microsomes isolated
    from mice, separated  cis and  trans isomers were used as substrates
    for separate or combined esterase and NADPH-dependent oxidase
    reactions. Unmetabolized substrate was measured by gas chromatography
    and the half-times were measured under pseudo-first-order reaction
    conditions. The oxidase activity was similar with the  cis and
     trans isomers, whereas the esterase activities with 1 R, 1 S, and
    1 RS cis-permethrins as substrates were < 4% of those with 1 R, 
    1 S, and 1 RS trans-permethrins as substrates. The combined oxidase
    and esterase activities were three to four times higher when the
     trans isomers were used as substrates (Soderlund & Casida, 1977).

          trans-Permethrin is hydrolysed by one or more carboxylesterases
    located in the soluble fraction of mouse brain homogenates. The
    apparent affinity of this activity was greater than that reported for
    mouse hepatic carboxylesterase activity, which is primarily
    membrane-associated, but the maximum velocity of the reaction was
    considerably lower. The authors suggest that the hydrolytic activity
    in the brain contributes to the detoxification of permethrin in
    mammals (Ghiasuddin & Soderlund, 1984).

          Rats 

         Four male rats were given a single oral dose of one of four
    labelled forms of permethrin (radiochemical purity, > 99%),
    [14C-acid-1 RS,trans]permethrin,
    [14C-alcohol-1 RS,trans]-permethrin,
    [14C-acid-1 RS,cis]permethrin, or
    [14C-alcohol-1 RS,cis]permethrin, at doses of 4.8 mg/kg for the
    acid label and 4.4 mg/kg for the alcohol label. The rats were
    maintained in glass metabolism cages, in which urine, faeces, and
    carbon dioxide were collected for 12 days after dosing, and were then
    killed, and samples of various tissues were analysed for radiolabel.
    Faeces were extracted with methanol, and the radiolabel in the
    extracts and in urine was determined by direct liquid scintillation
    counting. The concentrations in the insoluble faecal residue and in

    tissues were determined after combustion. Metabolites in urine and
    faeces were isolated and quantified by thin-layer chromatography;
    their identification was limited to co-chromatography with synthetic
    reference standards.

         The rats excreted at least 97% of the dose within 12 days. Those
    given the  trans isomer excreted 79-82% of the dose in urine and
    16-18% in faeces, while rats given the  cis isomer excreted 52-54% in
    urine and 45-47% in faeces. [14C]carbon dioxide accounted for
    > 0.5% of the dose. The concentrations of radiolabel in most
    tissues except fat were < 25 µg/kg equivalents of permethrin. The fat
    of the rats given acid- and alcohol-labelled  cis-permethrin
    contained 460 and 620 µg/kg equivalents of permethrin, respectively,
    while fat of rats given either labelled form of  trans-permethrin
    contained a maximum of 86 µg/kg equivalents (Table 1).


    Table 1. Distribution of [14C]permethrin residues in rat 
             excreta and tissues

                                                                  
    Sample                   Percentage of administered dose
                                                                  
                             Acid label          Alcohol label
                                                                  
                             trans     cis       trans     cis
                                                                  

    Urine
       0-1 day               57        34        74        44
       1-12 days             25        20        58
       Total                 82        54        79        52
    Faeces
       0-1 day               9         27        12        26
       1-12 days             5         15        220
       Unextractable         2         3         43
       Total                 16        45        18        47
    Exhaled air              0.5       0.5       0         0
    Total excreta            98.5      99.5      97.0      99.0
    Blood                    < 25*     69        86        115
    Bone                     < 25      < 25      43        < 25
    Brain                    < 25      < 25      < 25      < 25
    Fat                      < 25      460       86        620
    Heart                    < 25      < 25      < 25      < 25
    Kidney                   < 25      < 25      < 25      < 25
    Liver                    < 25      < 25      < 25      < 25
    Lung                     < 25      < 25      < 25      < 25
    Muscle                   < 25      < 25      < 25      46
    Spleen                   < 25      < 25      < 25      < 25
    Testes                   < 25      < 25      < 25      < 25
                                                                  

    *Limit of detection

         The major urinary metabolite of [14C-acid]permethrin was the
    dichlorovinyl acid glucuronide, which accounted for 42% of the dose of
     trans-permethrin and 14% of the dose of the  cis isomer. The urine
    of the rat given the  trans isomer also contained free
     trans-dichlorovinyl acid (5.6%),  trans-hydroxydichlorovinyl acid
    (0.3%),  cis-hydroxydichlorovinyl acid (1.7%), and the corresponding
    glucuronide (0.7%). The urine of the rat given the  cis isomer
    contained free  cis-dichlorovinyl acid (0.7%),
     trans-hydroxydichlorovinyl acid (3.3%),  cis-hydroxydichlorovinyl
    acid (3.5%), and the corresponding glucuronide conjugate (2.0%) and
    the lactone form (3.0%) of this metabolite. The remaining unidentified
    metabolites each accounted for 0.6% of the dose. The metabolites in
    the faeces of the rat given [14C-acid] transpermethrin were the
    free  trans-dichlorovinyl acid (2.7%),  trans-hydroxydichlorovinyl
    acid (0.8%), and  cis-hydroxydichlorovinyl acid (0.8%). The
    metabolites in the faeces of the rat given
    [14C-acid] cis-permethrin were the free  trans-dichlorovinyl acid
    (0.5%),  trans-hydroxydichlorovinyl acid (1.5%),
     cis-hydroxydichlorovinyl acid (1.2%), the lactone form of
     cis-hydroxydichlorovinyl acid (1.1%), and an unknown metabolite that
    accounted for 1.7% of the dose (Table 2).


    Table 2.  Excretion of [14C]acid-labelled metabolites of permethrin and 
              its ester

                                                                             
    Compound                              Percentage of administered dose
                                                                             
                                          trans isomer       cis isomer
                                                                             
                                          Urine   Faeces     Urine    Faeces
                                                                             
    Permethrin                            0.0     2.8        0.0      6.7
    2'-Hydroxypermethrin                  0.0     0.0        0.0      0.5
    4'-Hydroxypermethrin                  0.0     0.0        0.0      2.7
    trans-Hydroxypermethrin               0.0     0.0        0.0      2.5
    4'-Hydroxy, trans-hydroxypermethrin   0.0     0.0        0.0      3.9
    Dichlorovinyl acid
        Free                              5.6     2.7        0.7      0.5
        Glucuronide                       42      0.0        14       0.0
    Hydroxydichlorovinyl acid
        trans isomer                      0.3     0.8        3.3      1.5
        cis isomer
          Free                            1.7     0.8        3.5      1.2
          Lactone                         0.0     0.0        3.0      1.1
          Glucuronide                     0.7     0.0        2.0      0.0
    Unknown
        1                                 0.5     0.6        0.0
        2                                         0.0        1.7
        3                                         0.6
    Total                                 50      7.6        27       23
                                                                             

         The major urinary metabolites of [14C-alcohol] trans-permethrin
    were 4'-hydroxyphenoxy-benzoic acid sulfate (43%), phenoxybenzoic 
    acid in the free form (10%) and its glucuronic acid (15%), and 
    glycine conjugates (4.4%). The urine of the rat given the  cis isomer 
    contained the major metabolite 4'-hydroxyphenoxybenzoic acid sulfate 
    (29%), free phenoxybenzoic acid (1.1%) and its glucuronic acid (7.0%),
    and glycine conjugates (2.0%). 2'-Hydroxyphenoxybenzoic acid sulfate 
    was also present, representing 2.9% of the dose. Four hydroxylated 
    forms of permethrin were identified in the faeces of the rats given 
    [14C alcohol] cis-permethrin, which accounted for 8.5% of the 
    dose. These metabolites were not present in the faeces of rats given
    [14C-alcohol] trans-permethrin, in which the identified metabolites
    were phenoxybenzyl alcohol (1.7%) and phenoxybenzoic acid (1.5%).
    Unchanged 14C-alcohol-labelled permethrin accounted for 5.3% of the
    dose of the  trans isomer and 7.3% of that of the  cis isomer in the
    faeces. The faeces of rats treated with either of the [14C-alcohol]
    permethrin isomers contained one to four unknown metabolites which
    accounted for 0.7-2.0% of the administered dose (Table 3). 


    Table 3. Excretion of 14C-alcohol-labelled metabolites of permethrin

                                                                           
    Compound                               Percentage of administered dose
                                                                           
                                           trans isomer     cis isomer
                                                                           
                                           Urine   Faeces   Urine   Faeces
                                                                           

    Permethrin                             0.0     5.3      0.0     7.3
    2'-Hydroxypermethrin                   0.0     0.0      0.0     0.9
    4'-Hydroxypermethrin                   0.0     0.0      0.0     2.4
    trans-Hydroxypermethrin                0.0     0.0      0.0     1.4
    4'-Hydroxy, trans-hydroxypermethrin    0.0     0.0      0.0     3.8
    Phenoxybenzyl alcohol                  0.0     1.7      0.0     0.0
    Phenoxybenzoic acid
       Free                                10      1.5      1.1     0.0
       Glucuronide                         15      0.0      7.0     0.0
       Glycine                             4.4     0.0      2.0     0.0
    Hydroxyphenoxybenzoic acid sulfate
       2'-                                 0.0     0.0      2.9     0.0
       4'-                                 43      0.0      29      0.0
    Unknown
       1                                           0.7              1.8
       2                                           0.0              1.1
       3                                                            2.0
       4                                                            2.0

    Total                                  72      9.2      42      23
                                                                           

         Thus, both  cis- and  trans-permethrin are readily excreted by
    male rats. Both isomers are retained in fat, the  cis isomer being
    present at a higher concentration than the  trans isomer.  cis- and
     trans-permethrin are readily hydrolysed in rats to dichlorovinyl
    acid and phenoxybenzyl alcohol. The former is excreted mainly as the
    glucuronide conjugate, but a small amount undergoes hydroxylation at
    one of the geminal dimethyl groups before excretion. The phenoxybenzyl
    alcohol is oxidized to phenoxybenzoic acid and is excreted mainly
    after further hydroxylation and sulfate conjugation. The results
    suggest that the ester group of  cis-permethrin is less readily
    hydrolysed than that of the  trans isomer (Gaughan et al., 1977).
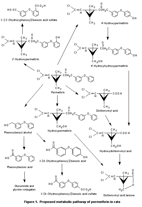
    Figure 1 shows the proposed metabolic pathway of permethrin in rats. 

         In a study conducted according to GLP, two groups of four male
    and four female rats were given a single oral dose of 100 mg/kg bw of
    permethrin labelled with 14C-cyclopropyl (acid label) or
    14C-propyl (alcohol label), and urine and faeces were collected for
    7 days. Most of the administered dose (> 87%) was excreted within 24
    h in both groups. Faecal elimination was the major route, accounting
    for > 71% of the administered dose in both groups by day 7, while
    urinary elimination accounted for 18-28% of the dose, for a total of
    > 96% of the dose. On day 7, the rats were killed, and samples of
    bone, brain, fat, heart, skeletal muscle, whole blood, stomach
    including contents, plasma, residual carcass, testis/ovaries, liver,
    lung, spleen, kidney, and the intestine including contents were taken
    for analysis. The samples were analysed for radiolabel content by
    liquid scintillation counting, either directly or after combustion.

         The distribution of recovered radiolabel expressed as a
    percentage of the administered dose is shown in Table 4. There were no
    obvious differences in the excretion patterns of males and females
    rats given either labelled form of permethrin. The concentration of
    residues in tissues and organs (Table 5) ranged from 0.01 to 11 ppm,
    the highest concentration occurring in fat. No large differences in
    the distribution of cyclopropyl label were observed between male and
    female rats, and there was no difference in the distribution of the
    cyclopropyl and phenyl labels in male rats; however, in female rats,
    the concentration of the phenyl label was about five times higher than
    that of the cyclopropyl label in fat and ovaries (Cameron & Partridge,
    1989).

         The difference in the results with regard to route of excretion
    in these two studies is probably due to the fact that in the earlier
    study the rats were given a single low dose, whereas in the later
    study the rats were given a high dose and saturation of the absorption
    mechanisms in the gastrointestinal tract may have taken place.

         A series of experiments was performed to determine the
    concentrations of radiolabel in tissues after repeated oral
    administration of [14C-phenyl]- or [14C cyclopropyl]permethrin. In
    several experiments, male or female rats were given the compounds at
    1-10 mg/kg bw for up to 11 weeks and were killed at various times
    during and after treatment, and a sample of fat was removed for

    FIGURE 1

    Table 4. Distribution of 14C-labelled permethrin residues in rats

                                                                         
    Sample                         Percentage of administered dose
                                                                         
                                   Cyclopropyl label     Phenyl label
                                                                         
                                   Male      Female      Male    Female
                                                                         

    Urine                          28        22          19      20
    Faeces                         71        72.         76      74
    Cage wash                      2.0       2.5         2.4     2.4
    Total excreted                 101       96          98      97

    Tissues and carcass            0.49      0.30        0.58    0.84
    Total recovered after 7 days   101       97          98      98
                                                                         



    Table 5. Distribution of 14C-labelled permethrin residues in rat 
             tissues

                                                                       
    Sample                        Percentage of administered dose
                                                                       
                                  Cyclopropyl label   Phenyl label
                                                                       
                                  Male      Female    Male      Female
                                                                       

    Bone                          0.07      0.08      0.14      0.16
    Brain                         0.18      0.03      0.02      0.01
    Fat                           6.6       2.4       7.5       11
    Heart                         0.07      0.06      0.07      0.08
    Muscle                        0.17      0.13      0.27      0.19
    Testis/Ovary                  0.30      0.75      0.22      4.7
    Liver                         0.75      0.33      0.30      0.38
    Lung                          0.17      0.15      0.15      0.20
    Spleen                        0.09      0.08      0.13      1.2
    Kidney                        0.24      0.30      0.38      0.55
    Stomach and contents          0.11      0.11      0.25      0.70
    Intestine and contents        0.60      0.29      0.38      1.2
    Whole blood                   0.09      0.05      0.11      0.14
    Plasma                        0.06      0.04      0.11      0.10
    Residual carcass              0.44      0.29      0.63      1.0
                                                                       

    analysis. In other experiments, liver, kidneys, brain, and a sample of
    muscle were also removed. Groups of male or female rats were also
    given single oral doses of 1-6 mg/kg bw for determination of
    radiolabel in blood or for whole-body autoradiography. Radiolabel in
    tissues and blood was determined after their homogenization and
    combustion, while those in fat were identified after solubilization of
    the samples in hexane, a clean-up procedure, and thin-layer
    chromatography. Sections were prepared for whole-body autoradiography
    from animals killed 1, 24, and 96 h after dosing.

         The maximum concentration of radiolabel in the fat of rats given
    [14C-phenyl]permethrin (1 mg/kg bw; 0.12 µCi) for 77 days was 2.0
    ppm. A steady-state concentration was attained within 3 weeks of
    dosing. The half-time of elimination of radiolabel from fat was 18
    days. The concentrations in liver and kidneys were below the limit of
    detection (0.08 ppm) within 1 week of cessation of dosing. No
    detectable residues were present in brain or muscle. Similar results
    were obtained when [14C-cyclopropyl]permethrin (0.9 mg/kg bw; 0.22
    µCi) was given to rats for 3 weeks. The maximum concentration of
    radiolabel in fat was 0.72 ppm, and the elimination half-time was
    7 days. The highest concentrations of radiolabel in the liver and
    kidneys were 0.22 and 0.02 ppm, respectively. Most of the radiolabel
    in the fat of rats given [14C-phenyl]permethrin consisted of the
    unchanged permethrin, although more  cis isomer than  trans isomer
    was retained. Whole-body autoradiography showed that the radiolabel
    was present mainly in the stomach, intestines, liver, kidneys, and fat 
    24 and 96 h after administration of a single oral dose of
    [14C-phenyl]permethrin (6 mg/kg bw; 33 µCi).
    [14C-phenyl]Permethrin at a dose of 10 mg/kg bw (20 µCi) was rapidly
    absorbed: the maximum concentration (0.34 ppm) was reached in blood
    within 1.5 h, and the rate of elimination corresponded to a half-time
    of 7 h. Only very low concentrations of radiolabel (< 0.05 ppm) were
    detected in the blood of rats given [14C-cyclopropyl]permethrin at
    10 mg/kg bw (15 µCi).

         The results of these experiments show some retention of
    permethrin in the fat of rats after repeated oral administration and
    show that the  cis isomer is more readily retained than the  trans 
    isomer. Permethrin is, however, readily eliminated from fat. The
    concentrations of permethrin and/or its metabolites in other tissues
    after repeated administration are relatively low, and the chemical is
    not retained after dosing has ceased (Bratt et al., 1977).

         In the only study of the metabolism of unlabelled permethrin
     (cis:trans ratio, 25:75), a single dose of 460 mg/kg bw was given by
    oral gavage and 46 mg/kg bw were given intravenously to fasted male
    Sprague-Dawley rats. These doses were reported (Litchfield, 1985) to
    be toxic but not lethal. Groups of eight rats were killed 0.25, 0.5,
    1, 2, 3, 4, 6, 8, 12, 24, and 48 h after dosing, when blood samples
    were collected and plasma separated out. The brain, sciatic nerve, and
    liver were collected only from orally treated rats at 0.5, 1, 2, 4, 8,
    24, and 48 h. The brains were dissected and the major regions stored
    separately. The samples were analysed by high-performance liquid

    chromatography for permethrin and its metabolites  meta-phenoxybenzyl
    alcohol and  meta-phenoxybenzoic acid. 

         The plasma profile of permethrin after intravenous dosing could
    be described by a two-compartment open model, with a relatively rapid
    distribution phase (half-time, 0.46 h) and a more prolonged
    elimination phase (half-time,  8.7 h). The apparent volumes of
    distribution were relatively large (elimination  V, 0.72 L;
    steady-state  Vss,0.65 L). After the single oral dose, permethrin
    was slowly absorbed  (Tmax = 3.5 h when  Cmax = 50 mg/ml) and
    slowly eliminated (half-time, 12 h). The low total plasma clearance
    (0.058 L/h) could explain the latter result. The oral bioavailability,
    61%, was relatively low, perhaps due to degradation at the site of
    absorption and a first-pass effect. After oral administration, the
    concentrations of permethrin were particularly high in brain and and
    sciatic nerve; decreasing concentrations were found in sciatic nerve
    > hypothalamus > frontal cortex > hippocampus > caudate putamen
    > cerebellum > plasma > medulla oblongata > liver. The ratio of
    the integrated area under the curve of concentration-time (AUC) for
    nervous tissue:plasma ranged from 8.8 in sciatic nerve to 1.2 in
    cerebellum but was only 0.44 for liver. The brain regions also showed
    the higher AUC values for the metabolites, particularly
     meta-phenoxybenzyl alcohol, for which the tissue:plasma ratio was
    always > 1.0, whereas this ratio was usually < 0.5 for
     meta-phenoxybenxoic acid  (Anadón et al., 1991). 

          Chickens 

         In a study conducted according to GLP, groups of six laying hens
    received capsules containing 1.27 mg of [U-14C-phenyl]permethrin or
    [1-14C-cyclopropyl]permethrin, and two hens received a capsule
    containing a placebo. The dose was given orally for 7 consecutive days
    at a rate equivalent to a dietary intake of 11 ppm. Urine, faeces,
    cage wash, and egg samples (separated into whites and yolks) were
    collected daily and analysed for radiolabel. All hens were killed 16 h
    after the final dose, and samples of breast and thigh muscle, skin and
    subcutaneous fat, and the liver were collected at necropsy. The
    samples were analysed for radiolabel with or without solubilization or
    combustion, followed by liquid scintillation counting.

         A mean of 92% of the total dose was excreted (urine, faeces, cage
    wash) by day 7 after administration of [14C-cyclopropyl]permethrin,
    and a mean of 90% after administration of [14C-phenyl]permethrin.
    The mean total was 0.2% in eggs and 0.1% in liver for both groups. The
    overall recovery of radiolabel was 93% from the group given the
    cyclopropyl abel and 90% from that given phenyl label. At day 6, the
    residues in egg yolk reached a maximum mean concentration of 0.27 ppm
    with the cyclopropyl label and 0.28 ppm with the phenyl label.
    Unchanged permethrin accounted for about 50% of these residues in both
    groups. A number of other metabolites were also present in the yolk,
    at concentrations of < 0.001 to 0.01 ppm. One of these, present at
    about 0.01 ppm, was identified as 4'-hydroxypermethrin. The
    concentrations in the egg whites were much lower, ranging from 0.001

    to 0.02 ppm for both groups. Unchanged permethrin accounted for about
    half of the cyclopropyl-labelled residues, in addition to several
    other components, including  trans-dichlorovinyl acid (0.002 ppm).
    The egg whites from the hens given the phenyl label contained <
    0.01 ppm and were therefore not analysed. The concentrations of
    radiolabelled residues in breast and leg muscle were 0.01-0.03 ppm.
    The breast muscle samples were not analysed further. An average of 47%
    of the radiolabel was extractable from leg muscle for both groups.
    Permethrin was the major component, at 0.008 ppm, accounting for an
    average of 32% in the two groups. Leg muscle from both groups also
    contained two metabolites at concentrations of 0.001-0.002 ppm, and
    muscle from hens dosed with cyclopropyl label contained one metabolite
    at 0.001 ppm (Table 6).

         The concentrations of residues in peritoneal fat were 0.37 ppm
    for the cyclpropyl label and 0.31 ppm for the phenyl label. Unchanged
    permethrin represented about 81% of the total fat residue with both
    labels (0.29 ppm for the cyclopropyl and 0.24 ppm for the phenyl
    label). The only other extractable component that contained the intact
    ester linkage was present at a concentration of about 0.02 ppm and
    co-chromatographed with hydroxypermethrin, but it could not be
    identified unambiguouly. The total concentrations of radiolabelled
    residues in subcutaneous fat (including skin) were 0.18 ppm for the
    cyclopropyl label and 0.16 ppm for the phenyl label (Table 6).

         The concentrations of residues in the liver were 0.17 ppm for the
    cyclopropyl label and 0.29 ppm for the phenyl label. No significant
    amounts of unchanged permethrin were present in liver extracts, and no
    metabolites containing the intact ester linkage could be
    characterized.  trans- and  cis-dichlorovinyl acid were present at
    concentrations of 0.013 and 0.009 ppm, respectively, in livers from
    cyclopropyl-treated hens. The corresponding hydrolysis product from
    the phenyl label, phenoxybenzoic acid, was not detected. Covalent
    binding of radiolabelled residues to tissue protein was substantial,
    accounting for 36% (0.057 ppm) of the cyclopropyl-derived and 52%
    (0.14 ppm) of the phenyl-derived residues. With both radiolabels, most
    of the extractable components were associated with very polar,
    uncharacterized material (Table 6). 

         Analysis of excreta showed that permethrin was extensively
    metabolized in hens, yielding many polar components. The excreta
    contained metabolites resulting from hydrolysis of the central ester
    linkage and from hydroxylation of a geminal dimethyl group attached to
    the cyclopropane ring and at the 4' position of the phenoxybenzyl
    moiety. Some of the resulting metabolites were further conjugated with
    glucuronic acid or sulfate.  trans-Dichlorovinyl acid, the
    cyclopropyl carboxylic acid resulting directly from hydrolysis of
    permethrin, was the major cyclopropyl-labelled metabolite in excreta.
    Permethrin was the major component in hens given phenyl-labelled
    material (Table 7).


        Table 6. Distribution of extractable 14C-labelled residues in tissues of hens

                                                                                                                         
    Metabolite                  Leg muscle                    Peritoneal fat                Liver 
                                                                                                                         
                                Cyclopropyl    Phenyl         Cyclopropyl     Phenyl        Cyclopropyl     Phenyl
                                                                                                                         
                                %     ppm      %     ppm      %      ppm      %     ppm     %     ppm       %     ppm
                                                                                                                         

    trans-Dichlorovinyl acid    ND    ND       NA    NA       ND     ND       NA    NA      8.2   0.013     NA    NA
    cis-Dichlorovinyl acid      ND    ND       NA    NA       ND     ND       NA    NA      5.6   0.009     NA    NA
    Permethrin                  31    0.008    34    0.008    78     0.29     77    0.24    ND    ND        ND    ND
    Others                      19    0.005    10    0.002    5.4a   0.020    6.5a  0.020   73    0.12      66    0.18
    Total extractable           49    0.013    44    0.010    84     0.31     84    0.26    86    0.14      66    0.18
                                                                                                                         

    ND, not detected; NA, not applicable 
    a  This component corresponds to the retention time of hydroxypermethrin, but low concentrations prevented positive 
       identification. 
    

    Table 7. Distribution of extractable 14C-labelled residues in 
             excreta of hens

                                                                        
    Metabolite                       Percentage of administered dose
                                                                        
                                     Cyclopropyl label     Phenyl label
                                                                        

    trans-Dichlorovinyl acid         19                    ND
    cis-Dichlorovinyl acid           2.2                   ND
    4'-Hydroxy-hydroxypermethrin     1.9                   2.2
    4'-Hydroxypermethrin             2.1                   0.8
    3-Phenoxybenzyl alcohol          ND                    0.4
    Permethrin                       16                    35
    Others                           0.3                   1.9
    Unknown (several polar)a         48                    31

    Total                            89                    70
                                                                        

    a  Fourteen or more unknown metabolites were found.



         Permethrin was thus extensively metabolized in hens, resulting in
    a large number of metabolites, many of which were polar. The
    identified metabolites were formed through hydrolysis of the ester
    linkage, hydroxylation of a geminal dimethyl group attached to the
    cyclopropane ring, and hydroxylation at the 4' position of the
    phenoxybenzyl moiety. Some of the metabolites were further conjugated
    with glucuronic acid and sulfate (Hawkins et al., 1992a). Figure 2
    shows the proposed metabolic pathway of permethrin in hens.

          Lactating goats 

         In a study conducted according to GLP, two lactating goats
    received oral doses of permethrin labelled at [U-14C-phenyl] or
    [1-14C-cyclopropyl] for four consecutive days at a nominal rate of
    55 ppm in the diet. The goat given the cyclopropyl label received
    capsules containing a mean of 102 mg, and that given the phenyl label
    received capsules containing a mean of 122 mg. Urine, faeces, and cage
    wash were collected daily and milk was collected twice daily. Blood
    samples were taken 16 h after the final dose, before slaughter, and
    samples of liver, kidney, bile, omasum, abomasum and contents,
    intestines and contents, foreleg and rump muscle, and subcutaneous,
    omental, and perirenal fat were taken after slaughter. The samples
    were analysed for radiolabel by liquid scintillation counting or by
    combustion followed by liquid scintillation counting.

    FIGURE 2

         Excretion in urine, faeces, and cage wash accounted for 66% of
    the dose after administration of [14C-cyclopropyl]permethrin and 80%
    of the dose after administration of [14C-phenyl]permethrin. The
    overall recovery was 76% and 81%, respectively. The distribution of
    radiolabel as a percentage of the administered dose is given in Table
    8, and the total concentrations in tissues are shown in Table 9. The
    concentrations of total radiolabelled residues were 0.06 ppm and 0.15
    ppm in subcutaneous fat, 0.10 ppm and 0.24 ppm in perirenal fat, and
    0.07 ppm and 0.17 ppm in omental fat with the cyclopropyl and phenyl
    labels, respectively. In the fat from the phenyl label-treated goat,
    extractable radiolabel represented 89% of the total residue and was
    associated almost entirely with permethrin. The total concentrations
    in muscle were 0.04 ppm and 0.02 ppm with the two labels,
    respectively. The extractable portion from the muscle of the goat
    given the cyclopropyl label represented 78% and contained three to
    four components, including polar material. The extractable portion
    from muscle of the goat given the phenyl label represented 55% and
    contained two additional components not found with the cyclopropyl
    label, one of which co-chromatographed with permethrin. 


    Table 8. Distribution of 14C-labelled residues in lactating goats

                                                                         
    Sample                          Percentage of administered dose
                                                                         
                                    Cyclopropyl label    Phenyl label
                                                                         

    Urine                           33                   48
    Cage wash                       0.9                  2.8
    Faeces                          32                   29
    Milk                            0.4                  0.5
    Liver                           0.33                 0.17
    Kidney                          0.04                 0.02
    Gastrointestinal tract
      and contentsa                 9.4                  Not measured

    Total                           76                   81
                                                                         

    a  Intestines, omasum, and abomasum only

    Table 9. Average distribution of 14C-labelled residues in 
             goat tissues and milk 

                                                                 
    Tissue                    Concentration (µg/g) 
                                                                 
                              Cyclopropyl label    Phenyl label
                                                                 

    Milka                     0.14-0.17            0.24-0.41
    Fat
       Omental                0.07                 0.17
       Perirenal              0.10                 0.24
       Subcutaneous           0.06                 0.15
    Kidney                    1.0                  0.78
    Liver                     1.2                  0.91
    Muscle (leg and rump)     0.04                 0.02
    Bileb                     9.2                  15
    Plasmab                   0.56                 0.19
    Whole blood               0.34                 0.14
                                                                 

    a  Mean daily concentration between days 1 and 7
    b  µg equivalent permethrin per ml



         The mean daily residue concentrations in milk, liver, and kidney
    samples (Table 10) were 0.14-0.17 ppm with the cyclopropyl label and
    0.24-0.41 ppm with the phenyl label. Permethrin was the major
    component of the milk extract, accounting for 46% (0.06 ppm) and 56%
    (0.17 ppm), respectively. Hydroxypermethrin was identified, at
    concentrations of 8.1% (0.011 ppm and) and 2.6% (0.008 ppm),
    respectively. Thin-layer chromatography also resolved at least five
    unknown components which accounted for 2.6-11% of the total
    radiolabelled residues and were common to both goats, indicating that
    these components contain an intact ester linkage.  

         The residue concentrations in liver were 1.18 ppm with the
    cyclopropyl label and 0.91 ppm with the phenyl label. The extraction
    procedure released approximately 82% and 89% of the radioactive
    residues, respectively. Aliquots of the concentrated extract were
    analysed by thin-layer and high-performance liquid chromatography and
    found to contain at least 13 components. Four identified from the
    cyclopropyl-labelled samples were  trans-dichlorovinyl acid (9.1%;
    0.11 ppm),  cis-dichlorovinyl acid (7.0%; 0.083 ppm),
    hydroxydichlorovinyl acid (11%; 0.13 ppm), and dichlorovinyl acid
    lactone (1%; 0.012 ppm). Two components were identified from the
    phenyl-labelled samples as 3-phenoxybenzoic acid (12%; 0.11 ppm) and
    4'-hydroxy-3-phenoxybenzoic acid (11%; 0.097 ppm). Additional studies
    were conducted on the liver samples (Benner, 1997; Benner et al.,
    1996; Skidmore, 1996) to determine if the parent molecule accounted
    for a portion of the unknown components seen with the cyclopropyl


        Table 10. Distribution of 14C-labelled residues of permethrin in liver, kidney, and milk from lactating goats

                                                                                                                                    
    Metabolite                              Liver                         Kidney                        Milk
                                                                                                                                    
                                            Cyclopropyl    Phenyl         Cyclopropyl     Phenyl        Cyclopropyl     Phenyl
                                                                                                                                    
                                            %     ppm      %     ppm      %      ppm      %     ppm     %      ppm      %      ppm
                                                                                                                                    

    Permethrin                              -     -        -     -        -      -        -     -       46     0.06     56
    Hydroxypermethrin                       -     -        -     -        -      -        -     -       8.1    0.011    2.6
    cis- and trans-Dichlorovinyl acid       16    0.19     -     -        26     0.27     -     -       -      -        -
    Dichlorovinyl acid lactone              1.0   0.012    -     -        0.6    0.006    -     -       -      -        -
    Hydroxydichlorovinyl acid               11    0.13     -     -        10     0.11     -     -       -      -        -
    trans-Dichlorovinyl acid glucuronide    -     -        -     -        22     0.23     -     -       -      -        -
    3-Phenoxybenzoic alcohol                               28    0.28
    3-Phenoxybenzoic acid                   -     -        7.4   0.07     -      -        57    0.44    -      -        -
    4'-Hydroxy-3-phenoxybenzoic alcohol                    5.5   0.05
    4'-Hydroxy-3-phenoxybenzoic acid        -     -        3.2   0.03     -      -        -     -       -      -        -
    Identified                              28    0.34     45    0.43     59     0.61     57    0.44    55     0.071    58
    Unknowna                                61             34             26              30            30              25
    Total                                   90             79             85              87            84              83
                                                                                                                                    

    a  The unknown is the sum of several components.
    

    label (21%; 0.24 ppm) and the phenyl label (18%; 0.17 ppm). The
    unknown component with the cyclopropyl label in liver consisted of a
    mixture of several compounds, none of which represented > 5.2% of the
    total residue. The results of the reanalysis of the components found
    with the phenyl label liver showed that the intact ester linkage of
    the parent molecule was not present. The unknown component was
    identified as non-polar, base-labile conjugates of 3-phenoxybenzoic
    alcohol and 4'-hydroxy-3phenoxybenzoic alcohol. The components were
    3-phenoxybenzoic alcohol (28%; 0.28 ppm), 3-phenoxybenzoic acid (7.4%;
    0.07 ppm), 4'-hydroxy-3-phenoxybenzoic alcohol (5.5%; 0.05 ppm), and
    4'-hydroxy-3-phenoxybenzoic acid (3.2%; 0.03 ppm; Table 10).

         The residue concentrations in the kidney were 1.0 ppm  for the
    cyclopropyl label and 0.78 ppm for the phenyl label. The extraction
    procedure released approximately 89% and 93% of the radioactive
    residues, respectively. Five components were identified in the
    cyclopropyl-labelled samples as  trans-dichlorovinyl acid (24%; 0.25
    ppm),  cis-dichlorovinyl acid (2%; 0.021 ppm), hydroxydichlorovinyl
    acid (10%; 0.108 ppm), dichlorovinyl acid lactone (0.6%; 0.006 ppm),
    and  trans-dichlorovinyl acid glucuronide (22%; 0.23 ppm). One major
    component of the phenyl-labelled sample was identified as
    3-phenoxybenzoic acid (57%; 0.44 ppm; Table 10; Hawkins et al.,
    1992b).

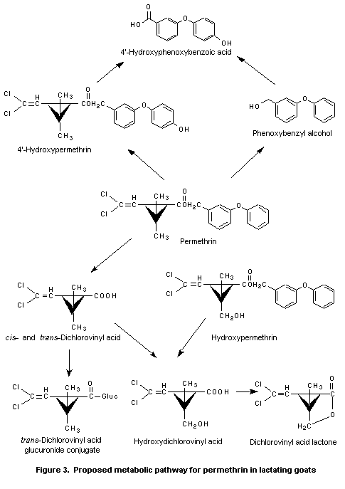
         Figure 3 gives the proposed metabolic pathway of permethrin in
    lactating goats.

          Lactating cows 

         Four lactating Jersey cows were given three oral doses at 24-h
    intervals of about 1 mg/kg bw of [14C] trans- or  cis-permethrin
    labelled in either the alcohol or the acid moiety. The concentration
    of total radiolabel in blood reached a transient peak shortly after
    each dose and was maximal after the third dose; it then decreased to
    an insignificant level within 2-4 days. Higher blood concentrations
    were attained with [14C] trans-permethrin labelled in the acid
    moiety than with that labelled in the alcohol moiety. A similar
    difference was not seen for  cis-permethrin. The radiolabel was
    eliminated mainly in the faeces and urine within 12 or 13 days.
    Regardless of the position of the label, the  trans isomer and its
    metabolites were eliminated more rapidly than the  cis isomer and its
    metabolites. Urinary excretion accounted for about 43% of the
    eliminated  trans isomer and about 25% of the  cis isomer. None of
    the radiolabelled preparations resulted in detectable [14C]carbon
    dioxide or significant residues in any tissues other than fat and
    liver. Although low, the residue concentrations were highest in fat
    and were higher after administration of the  cis isomer (acid, 1.6%;
    alcohol, 0.64%) than the  trans isomer (acid, 0.15%; alcohol, 0.40%).
    The radiolabel excreted in milk represented < 0.5% of the dose. The
    lowest concentration in milk was found with  trans-permethrin
    labelled in the acid moiety (0.03%) and the highest with 
     trans-permethrin labelled in the alcohol moiety (0.44%). With all
    four labelled preparations, the concentrations of radiolabel in milk

    FIGURE 3

    decreased to < 100 µg/L within 2-4 days after treatment ceased. The
    only compound recovered from milk after administration of the acid-
    and alcohol-labelled  trans isomer was permethrin, whereas with the
     cis isomer 85% of the radiolabel was attached to the parent compound
    and 15% to  trans-hydroxy- cis-permethrin. 

         The metabolic reactions of permethrin in cows were similar to
    those in rats and hens. In cows, the permethrin isomers, their mono-
    and di-hydroxy derivatives, and 3-phenoxybenzyl alcohol appeared only
    in the faeces, while the  cis-hydroxy-chrysanthemic acid lactones
    appeared in both faeces and urine. The remaining metabolites occurred
    only in urine. Although a slightly larger proportion of  cis- than
     trans-permethrin was excreted unchanged, the amounts of ester
    metabolites were similar, and these metabolites were hydroxylated at
    the  trans or  cis methyl position of the geminal dimethyl group, at
    the 4' position of the phenoxybenzyl group, or at both the geminal
    dimethyl and phenoxybenzyl groups.  The preferred hydroxylation site
    for both isomers was the  trans methyl group. The major metabolites
    of the acid moieties of both isomers were the corresponding
     cis-hydroxy-chrysanthemic acid and the corresponding lactone and the
    chrysanthemic acid glucuronide, while
     trans-hydroxy- cis-chrysanthemic acid was also a major metabolite
    of  cis-permethrin. The major metabolites of the alcohol moieties of
    both isomers were 3-phenoxybenzoic acid-glycine conjugate (3-11% of
    the dose), 3-phenoxybenzyl alcohol (8-10%), and 3-phenoxybenzoic
    acid-glutamic acid conjugate (12-28%) (Gaughan et al., 1978).

          Humans 

         Two volunteers who ingested about 2 and 4 mg of permethrin
    (25:75), respectively, excreted 18-37% and 32-39% of the dose as
    3-(2,2-dichlorovinyl)-2,2-dimethylcyclopropane carboxylic acid in
    urine collected over 24 h (Cridland & Weatherley, 1977a,b).

         In a study of approximately 350 people who were dusted against
    body lice with 30-50 g of powder containing 2.5 or 5.0 g/kg permethrin
     (cis:trans ratio, 25:75), the mean amount of permethrin absorbed
    during the first 24 h after treatment was estimated to be 14 µg/kg bw
    in 19 subjects exposed to powder containing 2.5 g/kg permethrin and 39
    µg/kg bw in 15 subjects exposed to 5.0 g/kg. No residue was found in
    samples of urine taken 30 and 60 days after treatment (Nassif et al.,
    1980).

         Four of five workers in Sweden who packed conifer seedlings for
    6 h in a tunnel that had been sprayed 1 h earlier with a 2% aqueous
    solution of permethrin, resulting in atmospheric concentrations of
    0.011-0.085 mg/m3 in the breathing zone, did not excrete detectable
    amounts of acid permethrin metabolites in the urine. One very short
    person whose face was close to the plants and who had the highest
    exposure to permethrin in his breathing zone excreted 0.26 µg/ml
    permethrin acid metabolites in his urine the following morning; in the
    afternoon, the concentration was below the detection limit of the
    method (Kolmodin-Hedman et al., 1982).

         Ten patients (five men and five women) with scabies received an
    application of about 25 g (range, 21-32 g) of a 5% permethrin cream
    over the skin of the whole body except the head and neck. Dermal
    absorption of permethrin was calculated from the quantities of
    conjugated and unconjugated  cis- and
     trans-3-(2,2-dichlorovinyl)-2,2-dimethylcyclopropane carboxylic acid
    metabolites of permethrin in the urine. In samples of urine collected
    by seven patients 1 and 2 days after application of the permethrin
    cream, the mean totals of these metabolites were 410 and 440 µg,
    respectively; the mean total in the urine of three patients who
    collected urine in the same container for 2 days was 1400 µg. The
    urinary concentration of
     trans-3-(2,2-dichlorovinyl)-2,2-dimethylcyclopropane carboxylic acid
    varied during the first 48 h from 0.11 to 1.1 µg/ml and that of the
     cis isomer from 0.02 to 0.21 µg/ml. This metabolite was still
    detectable in the urine of three patients after 1 week and in the
    urine of one patient, reported to be an alcoholic, after 2 weeks. The
    absorption of permethrin over the first 48 h after application was
    estimated from the amount of
    3-(2,2-dichlorovinyl)-2,2-dimethylcyclopropane carboxylic acid
    excreted in the urine to be 6 mg (range, 3-11 mg), i.e. 0.5% of the
    dose applied (van der Rhee et al., 1989).

         Exposure to permethrin was assessed in a survey of 45
    professional users of insecticide products, with more than a 100-fold
    difference between the average and the highest concentrations. Dermal
    contamination was found on 93% of the operators, the greatest
    contamination resulting from use of leaky equipment. High airborne
    concentrations were linked with use in confined areas. Monitoring of
    metabolites in urine showed that systemic uptake occurred, with
    concentrations of specific metabolites ranging from none detected to
    10 nmol/mmol creatinine of
     cis-3-(2,2-dichlorovinyl)-2,2-dimethylcyclopropane carboxylic acid,
    19 nmol/mmol creatinine of
     trans-3-(2,2-dichlorovinyl)-2,2-dimethylcyclopropane carboxylic
    acid,  and 46 nmol/mmol creatinine of 3-phenoxybenzoic acid (Llewellyn
    et al., 1996).

         The concentrations of permethrin and its metabolites,
     cis-3-(2,2-dichlorovinyl)-2,2-dimethylcyclo-propane carboxylic acid,
     trans-3-(2,2-dichlorovinyl)-2,2-dimethylcyclopropane carboxylic
    acid, and 3-phenoxybenzoic acid, were measured in the urine and plasma
    of 30 pest-control workers exposed to pesticides. The concentrations
    of permethrin in plasma were below the limit of detection (5 µg/L),
    and the urinary concentrations ranged from < 0.5 µg/L to 280 µg/L
    (Leng et al., 1997).

         Urine samples collected over 24 h from eight pest-control workers
    exposed to permethrin were analysed for permethrin metabolites. The
    concentrations ranged from 1 to 70 µg/g creatinine (Angerer & Ritter,
    1997).

    2.  Toxicological studies

    (a)  Acute toxicity

         Studies of the acute toxicity of orally administered permethrin
    in mice and rats (Table 11) demonstrate that two factors that affect
    its toxicity are the concentration of the  cis isomer and the
    vehicle. Permethrin with a  cis:trans ratio of 80-100:20-0 is
    approximately 7-24 times more toxic than permethrin in which the
     cis:trans ratio is 10-25:90-75 when delivered in maize oil, and
    permethrin administered in maize oil is four to seven times more toxic
    than undiluted permethrin. The alterations in acute toxicity are,
    however, greater than can be explained on the basis of the  cis 
    isomer content alone. Thus, a change from a  cis:trans ratio of 20:80
    to 80:20 in maize oil changed the LD50 value in Wistar rats from
    6000 mg/kg bw to 225 mg/kg bw, whereas an LD50 value of about 1000
    mg/kg bw would have been expected for the 20:80 material. Frequently
    observed clinical signs were convulsions on the day of dosing,
    tremors, and hypersensitivity. In animals that died, the
    gastrointestinal tract often contained a brown fluid. In male and
    female Wistar rats exposed for 4 h to atmospheres containing
    permethrin  (cis:trans ratio, 40:60), the LC50 value was greater
    than a nominal concentration of 24 mg/L (Braun & Killeen, 1976).

         In male and female New Zealand white rabbits, the dermal LD50
    values for  cis:trans 55:45 and 40:60 permethrin were > 2000 mg/kg
    bw (Braun & Killeen, 1975b; Sauer, 1980b).

    (b)  Short-term studies of toxicity

          Mice 

         In a study conducted according to GLP, technical-grade permethrin
     (cis:trans ratio, 39%:56%; purity, 94.7%) was administered in the
    diet to groups of 20 male and 20 female Alderley Park mice at
    concentrations of 0, 80 (increased to 10 000 ppm in weeks 3 and 4),
    200, 400, 1000, 2000, or 4000 ppm in the diet, equivalent to 0, 28,
    56, 140, 280, and 560 mg/kg bw per day for 28 days. No deaths
    occurred, and no significant clinical signs were observed. Reduced
    body-weight gain and poor food utilization were observed in animals
    receiving 10 000 ppm. At termination, necropsies were performed on
    five mice of each sex from the control group and those given 2000 and
    10 000 ppm. Liver weights and the liver:bodyweight ratios were
    increased in mice at 2000 and 10 000 ppm, and an increase in the
    incidence of eosinophilia of the centrilobular hepatocytes was seen in
    all mice receiving 10 000 ppm and two of five female mice receiving
    2000 ppm. The NOAEL was 1000 ppm, equivalent to 140 mg/kg bw per day,
    on the basis of changes in liver weight at 2000 ppm (Clapp et al.,
    1977a). 


        Table 11.  Acute toxicity of orally administered permethrin

                                                                                                                       
    Species   Strain       Sex   Vehicle     Purity   cis:trans    LD50        95% CI         Reference
                                             (%)      ratio        (mg/kg bw)
                                                                                                                       

    Mouse     CF-1         M&F   Maize oil   100      10:90        1700        1200-2300      Marowitz (1974a)
    Mouse     CF-1         M&F   Maize oil   95.5     25:75        960         680-1200       Marowitz (1974a)
    Mouse     CF-1         M&F   Maize oil   99.5     40:60        650         420-880        Marowitz (1974a)
    Mouse     CF-1         M&F   Maize oil   100      100:0        230         200-260        Marowitz (1974a)
    Rat       SD           M     None                 55:45        3600        2400-5200      Sauer (1980c)
                           F                                       2300        1800-2900
    Rat       SD (CD)      M     Maize oil            41.3: 58.7   1000        880-1200       Cummins & Gardner 
                           F                                       860         680-1000       (1984a)
    Rat       SD (CD)      M     Maize oil            81.1: 18.9   370         280-460        Cummins & Gardner 
                           F                                       320         240-410        (1984b)
    Rat       Wistar       M&F   Maize oil            40:60        1200        860-1500       Braun & Killeen (1975a)
    Rat       Wistar       M&F   None                 40:60        8900        6000-12 000    Braun & Killeen (1975a)
    Rat       Long-Evans   M&F   Maize oil            40:60        1200        1100-1400      Braun & Killeen (1975a)
    Rat       Long-Evans   M&F   None                 40:60        6000        4200-7800      Braun & Killeen (1975a)
    Rat       Long-Evans   M&F   Maize oil   95.5     25:75        1600        1300-2000      Marowitz (1974b)
    Rat       Wistar       F     Maize oil            20:80        6000        -              Wallwork et al. (1975)
    Rat       Wistar       F     Maize oil            30:70        1700        1300-2200      Wallwork et al. (1975)
    Rat       Wistar       F     Maize oil            40:60        1300        1000-1600      Wallwork et al. (1975)
    Rat       Wistar       F     Maize oil            50:50        1000        730-1400       Wallwork et al. (1975)
    Rat       Wistar       F     Maize oil            60:40        440         400-500        Wallwork et al. (1975)
    Rat       Wistar       F     Maize oil            80:20        220         200-250        Wallwork et al. (1975)
                                                                                                                       
    

          Rats 

         In a study conducted according to GLP, technical-grade permethrin
     (cis:trans ratio, 38%:52%; purity, 90.5%) was administered in the
    diet to groups of eight Wistar Alderley Park rats of each sex at
    concentrations of 0, 200, 500, 1000, 2500, 5000, or 10 000 ppm,
    equivalent to 0, 20, 50, 100, 250, 500, and 1000 mg/kg bw per day, for
    28 days. All rats receiving 10 000 ppm died within the first 3 days of
    the study, and five rats at 5000 ppm had died by day 18. Before death,
    the rats showed whole-body tremors, hyperactivity, and piloerection.
    The surviving rats receiving 5000 ppm had tremors, hypersensitivity,
    piloerection, and urinary incontinence. Rats receiving 2500 ppm had
    tremors and piloerection during the first week of treatment and were
    hypersensitive throughout the study. Rats receiving 1000 ppm showed
    slight tremors on the first day only. No clinical signs were seen
    among rats receiving 500 or 200 ppm. Rats receiving 5000 ppm had
    decreased body weights, body-weight gains, and food consumption when
    compared with controls, while females receiving 2500 ppm had
    significantly increased food consumption. Urinary protein excretion
    was depresssed in males receiving 5000 ppm. Lymphocytosis was observed
    in male rats at doses > 2500 ppm. At the end of the study, the
    liver weights and the liver:body weight ratios of rats receiving doses
    > 2500 ppm were increased. Histological examination of the livers
    showed no remarkable changes. The NOAEL was 500 ppm, equivalent to 50
    mg/kg bw per day, on the basis of tremors at 1000 ppm (Clapp et al.,
    1977b). 

         Technical-grade permethrin of two batches  (cis:trans ratio and
    purity not stated) wase administered in the diet to groups of six Long
    Evans rats of each sex in the diet at concentrations of 0, 2500, 3500,
    5000, or 7100 ppm, equal to 0, 250, 350, 5300, and 800 mg/kg bw per
    day for males and 0, 270, 380, 550, and 820 mg/kg bw per day for
    females, for four weeks. One male and one female receiving the highest
    dose died during the first week of treatment. Tremors, the severity of
    which was dose-dependent, were observed in most rats receiving doses
    > 3500 ppm during the first week of treatment but were subsequently
    seen only in animals receiving 7100 ppm and were generally less
    severe. Staining of the abdominal fur was also seen in rats at doses
    > 3500 ppm, with increasing incidences in weeks 1-4. Decreased body
    weight was observed in both males and females treated with doses
    > 3500 ppm during the first 2 weeks of treatment. This effect
    persisted during weeks 3 and 4 only in females at 7100 ppm. No
    histological examination was performed in this preliminary experiment.
    The NOAEL was 2500 ppm, equal to 250 mg/kg bw per day, on the basis of
    clinical signs and body-weight changes at 3500 ppm (Killeen & Rapp,
    1974).

         Technical-grade permethrin  (cis:trans ratio, 40:60; purity,
    94.5%) was administered to groups of six male and six female Long
    Evans rats in the diet at concentrations of 625, 1250, 2500, 5000, or
    7500 ppm for 30 days, equal to 0, 59, 120, 250, and 630 mg/kg bw per
    day for males and 0, 69, 130, 280, and 660 mg/kg bw per day for
    females: no data on consumption of the compound were available for the

    highest concentration. All females and three males receiving 7500 ppm
    died within 24 h of the start of treatment, and  the remaining three
    males in this group had died by the end of the first week. Five of six
    males and five of six females at 5000 ppm died during the first week,
    but the remaining animals survived the duration of the study. In rats
    receiving 2500 ppm, slight-to-moderate tremors and staining of the
    anogenital fur were noted throughout most of the study. The surviving
    male and female at 5000 ppm showed moderate-to-severe tremors and
    staining of the fur in the anogenital region throughout the study. The
    body weights of males at 2500 ppm were reduced. No histological
    examination was performed in this preliminary experiment. There were
    no signs of toxicity at 625 and 1250 ppm. The NOAEL was 1250 ppm,
    equal to 120 mg/kg bw per day, on the basis of clinical signs and
    body-weight changes at 2500 ppm (Killeen & Rapp, 1975a). 

         Technical-grade permethrin  (cis:trans ratio unstated; purity,
    96%) was administered in the diet to groups of six male and six female
    Charles River rats (strain not stated) at concentrations of 0 (14
    animals of each sex), 30, 100, 300, 1000, or 3000 ppm, equivalent to
    0, 3, 10, 30, 100, and 300 mg/kg bw per day, for five weeks. Most of
    the observations were restricted to the group receiving 3000 ppm. In
    this group, persistent tremors were observed in all males and four
    females, body-weight gain was reduced in females by about 7%, the
    liver weights adjusted for terminal body weight were increased in
    males (15%) and females (13%), and the relative heart weight was
    increased in males (8%). Increased prothrombin time and plasma urea
    were seen in males and decreased plasma protein in females. Males at
    1000 ppm showed an increase in relative liver weight (15%), and
    (probably chance) increases in prothrombin time were seen in females
    at 30 and 300 ppm.  Histological examination revealed renal tubular
    mineralization and hydronephrosis as common lesions which were evenly
    distributed among the treated groups. No dose-related increase in the
    incidence of lesions was found. The NOAEL was 300 ppm, equivalent to
    30 mg/kg bw per day, on the basis of increased liver weight at 1000
    ppm (Butterworth & Hend, 1976).

         Technical-grade permethrin  (cis:trans ratio and purity not
    stated) was administered in the diet to groups of 18 Wistar rats of
    each sex at concentrations of 0, 60, 200, 600, or 2000 ppm, equivalent
    to 0, 6, 20, 60, and 200 mg/kg bw per day, for 90 days. At that time,
    10 rats of each sex per group were killed, and the remaining rats were
    maintained without further treatment for an additional 29 days. No
    treatment-related deaths occurred, and no treatment-related or
    toxicologically significant clinical signs, changes in body weights,
    food consumption, or estrus cycle, urinary findings, or blood
    anomalies were noted. The absolute and relative weights of the spleen
    and lungs were increased in male rats at 2000 ppm, and the relative
    and absolute weights of the adrenal glands of female rats at this dose
    showed statistically significant decreases. No consistent dose-related
    pattern of toxicity was seen. The fat content of the renal cortex was
    slightly increased in male rats receiving 600 or 2000 ppm, but this
    was not accompanied by morphological alterations. The NOAEL was 600

    ppm, equivalent to 60 mg/kg bw per day, on the basis of changes in
    organ weights at 2000 ppm (Williams et al., 1976a). 

         Technical-grade permethrin  (cis:trans ratio and purity not
    stated) was administered in the diet to 18 Wistar rats of each sex at
    concentrations of 0, 200, 600, 2000, or 4000 ppm, equivalent to 0, 20,
    60, 200, and 400 mg/kg bw per day, for 90 days. At that time, 10 rats
    of each sex per group were killed, and the remainder were maintained
    with no further treatment for an additional 36 days. No
    treatment-related deaths occurred. The only significant clinical sign
    was hypersensitivity in male and female rats receiving 4000 ppm. By
    week 3, hypersensitivity was no longer observed in male rats but
    continued in the female rats throughout treatment, although the
    symptoms disappeared after 3 days without dosing. Males receiving 4000
    ppm had decreased body-weight gain, which improved during the recovery
    period. A slight-to-moderate decrease in leukocyte count was seen
    during the early stages of the study in rats at this dose, but the
    values had returned to within the normal range by 90 days. The weight
    of the liver showed a slight but significant increase at 90 days but
    had returned to normal by the end of the recovery period. The absolute
    and relative weights of the thyroids of rats receiving the high dose
    showed a slight decrease at 90 days, but no histopathological changes
    were found. The NOAEL was 2000 ppm, equivalent to 200 mg/kg bw per
    day, on the basis of of hypersensitivity, reduced body weight,
    transient leukopenia, and increased liver weights at 4000 ppm
    (Williams et al., 1976b). 

         In a study conducted according to GLP, technical-grade permethrin
     (cis:trans ratio, 55:45; purity not stated) was administered in the
    diet to groups of 30 Long Evans rats of each sex at concentrations of
    0, 50, 75, 100, or 500 ppm, equivalent to 5, 7.5, 10, and 50 mg/kg bw
    per day, for 90 days. There were no significant differences in body
    weight, food consumption, or haematological, clinical chemical, or
    urinary parameters. At the end of the study, the relative weight of
    the liver was increased in male rats at 500 ppm in comparison with
    controls, while that of female rats at this dose was significantly
    decreased. There was no correlation with clinical or histopathological
    findings. No treatment-related histopathological findings were made.
    The NOAEL was 100 ppm, equivalent to 5 mg/kg bw per day, on the basis
    of increased relative liver weight at 500 ppm (Becci & Parent, 1980). 

         In a study conducted according to GLP, three batches of
    technical-grade permethrin  (cis:trans ratio, 36.1%:61.1% to
    38.5%:56.2%; purity, 94.1-97.2%) were given in the diet to groups of
    eight Wistar-derived rats of each sex at concentrations of 0, 20, 100,
    or 1000 ppm, equivalent to 2, 10, and 100 mg/kg bw per day, for 26
    weeks, when the rats were killed. The body weight and body-weight gain
    of female rats receiving 20 and 100 ppm were similar to those of the
    control animals, but females at 1000 ppm gained less weight throughout
    treatment, as did males at doses > 100 ppm. There was no overall
    effect on food consumption. Animals at 1000 ppm showed statistically
    significant increases in liver weight, hepatic aminopyrine
     N-demethylase activity, cytochrome P450 content, and smooth

    endoplasmic reticulum content. Those at 100 ppm had only slight
    hepatic changes, none of the untransformed values being significantly
    greater than control levels, although the logarithm of the values for
    aminopyrine  N-demethylase activity attained significance. The NOAEL
    was 100 ppm, equivalent to 5 mg/kg bw per day, on the basis of
    increased liver weight at 1000 ppm, as the changes in aminopyrine
     N-demethylase activity were considered not toxicologically relevant
    (Hart et al., 1977a).

         In a study conducted according to GLP, technical-grade permethrin
     (cis:trans ratio, 60:40; purity, 92.7%) was administered to groups
    of 20 Sprague-Dawley rats of each sex by inhalation as an aerosol for
    6 h per day, 5 days per week for 13 weeks at concentrations of 0, 125,
    250, or 500 mg/m3. The mass median diameter of the aerosol was 5.1
    µm, and 85% of the particles had a diameter < 1 µm . At the end of
    the 13-week exposure, 10 rats of each sex per group were maintained
    without further treatment for an additional 90 days. There were no
    treatment-related deaths.  Severe tremors and convulsions were
    observed in rats at 500 mg/m3, but these signs were no longer seen
    by the second week of exposure. Oxygen consumption was monitored
    throughout the exposure in order to assess overall metabolic rate. No
    differences from controls were found. Hexobarbital-induced sleep times
    (220 mg/kg bw intraperitoneally) were reduced in males exposed to 500
    mg/m3, indicating the induction of liver enzymes, but the effect was
    no longer statistically significant 30 days after exposure or in rats
    of the lower concentrations. Body weights and organ-to-body weight
    ratios were unaffected. No gross or microscopic treatment-related
    pathological changes were observed. The NOAEC was 250 mg/m3 on the
    basis of tremors and convulsions at 500 mg/m3 (United States Army,
    1978).

          Guinea-pigs 

         In a study conducted according to GLP, technical-grade permethrin
     (cis:trans ratio, 60:40; purity, 92.7 %) was administered to groups
    of 10 male Hartley guinea-pigs by inhalation as an aerosol at
    concentrations of 0, 125, 250, or 500 mg/m3 for 6 h per day, 5 days
    per week for 13 weeks. The mass median diameter of the aerosol was 5.1
    µm, and 85% of the particles had a diameter < 1 µm. The guinea-pigs
    were held for 14 days after the last exposure and challenged with an
    intradermal injection of permethrin in 3% propylene glycol in order to
    examine sensitization reactions. There were no treatment-related
    deaths or clinical signs during exposure, and the body weight and
    organ:body weight ratios were unaffected. No gross or microscopic
    treatment-related pathological changes were observed. No sensitization
    reaction was seen. The NOAEC was 500 mg/m3, the highest dose tested
    (United States Army, 1978).

         Technical-grade permethrin of two batches  (cis:trans ratio,
    40:60; purity. 93.6% and 95.0%) was applied intradermally to groups of
    male guinea-pigs as 0.1 ml of a 0.1% (w/v) solution; each batch of
    permethrin or 2,4-dinitrochlorobenzene (positive control) contained
    one volume of propylene glycol and 29 volumes of saline. Ten

    guinea-pigs were challenged with the 0.1% solution, and an additional
    five in each group received no prior sensitization but were given a
    challenge dose of each batch of test material or the positive control.
    The reaction induced by the challenge dose of permethrin was no
    greater than that observed in the sensitized animals. The challenge
    dose of the positive control produced sensitization reactions in all
    of the guinea-pigs in that group (Metker et al., 1977).

         Technical-grade permethrin  (cis:trans ratio, 25:75; purity not
    stated) was tested for skin sensitization potential according to the
    method of Magnusson and Kligman. Ten male guinea-pigs received
    permethrin, and groups of five male guinea-pigs received the vehicle
    or 2,4-dinitrochlorobenzene. All compounds were given as a 1% w/v
    solution in corn oil and as a 1% w/v solution in Freund's complete
    adjuvant. No reaction to permethrin was seen 5, 24, and 48 h after
    dosing, whereas all guinea-pigs given the positive control showed
    marked sensitization (Chesher & Malone, 1974).

         In a study conducted according to GLP, technical-grade permethrin
     (cis:trans ratio, 60:40; purity, 92.7 %) was administered by
    inhalation as an aerosol to groups of 10 male Hartley guinea-pigs at
    concentrations of 0, 125, 250, or 500 mg/m3 for 6 h per day, 5 days
    per week for 13 weeks. The mass median diameter of the aerosol was 5.1
    µm, and 85% of the particles had a diameter < 1 µm. The guinea-pigs
    were held for 14 days after the last exposure and challenged with an
    intradermal injection of permethrin in 3% propylene glycol. No
    sensitization reaction was seen in any of the guinea-pigs (United
    States Army, 1978).

          Rabbits 

         Technical-grade permethrin  (cis:trans ratio, 44:56 to
    46.5:53.5; purity, 92.4-95.0%) was applied daily to the shaved skin of
    groups of eight New Zealand white rabbits for 21 days at doses of 0,
    100, 320, or 1000 mg/kg bw per day under an occlusive dressing. Four
    rabbits in each group received abrasion at the application site on the
    first day. All rabbits were killed on day 10 after the last exposure.
    No significant changes were noted in body weights during or after
    exposure, and there were no significant changes in organ:body weight
    ratios. Moderate irritation of the skin was observed, but the reaction
    was not significantly different from controls by day 18. Mild
    irritation was still present 10 days after exposure, although it
    improved daily. No differences were found in clinical chemical
    parameters. There were no treatment-related lesions in the skin or
    other tissues or organs. The NOAEL was 1000 mg/kg bw per day, the
    highest dose tested (Metker et al., 1977). 

         In a study conducted according to GLP, technical-grade permethrin
     (cis:trans ratio 55:45; purity not stated) was melted and applied
    without dilution at a volume of 0.5 ml to the skin of six New Zealand
    white rabbits on each of two intact and two abraded sites, for a total
    of 2 ml per rabbit. Each site was scored for irritation by the method
    of Draize 30-60 min after removal of the occlusive wrap and residual

    permethrin and again 24 h and 72 h after dosing. Very slight erythema
    was noted on all sites at 24 h, but all irritation had resolved by
    72 h. The score for primary dermal irritation was 0.5/8.0, indicating
    virtually no irritation (Sauer, 1980c).

         Technical-grade permethrin  (cis:trans ratio, 40:60; purity,
    94.5%) was applied as a liquid to the abraded skin of 10 New Zealand
    white rabbits at a dose of 2000 mg/kg bw and the site was covered with
    an occlusive wrap for 24 h. When the wraps were removed, very slight
    erythema was noted on three rabbits, and barely perceptible oedema was
    seen on one other rabbit (Braun & Killeen, 1975b).

         Technical-grade permethrin  (cis:trans ratio, 40:60; purity,
    94.5%) was applied as an aqueous slurry to the skin of six New Zealand
    white rabbits as a volume of 0.50 ml of 1 g/ml on an intact and an
    abraded site, for a total of 1 ml per rabbit. The sites were covered
    with an occlusive wrap for 24 h and scored by the Draize method 24 and
    72 h after dosing. Very slight erythema was seen on three abraded and
    three intact sites at 24 h, but all irritation had resolved by 72 h.
    The score for primary dermal irritation was 0.25, indicating virtually
    no irritation (Braun & Killeen, 1975c).

         In a study conducted according to GLP, technical-grade permethrin
     (cis:trans ratio, 55:45; purity not stated) was melted, and 0.1 ml
    of undiluted material was instilled into the right eye of nine New
    Zealand white rabbits. After approximately 20 s, the eyes of three
    rabbits were flushed with water for 1 min, and irritation was scored
    by the Draize method 24, 48, and 72 h and 4 and 7 days after dosing.
    Slight conjunctival redness and chemosis were found in the majority of
    the treated eyes, but all irritation had resolved within 4 days. The
    maximum score was 7.3/110 for unwashed eyes and 4.0/110 for washed
    eyes at 24 h, indicating no irritation (Sauer, 1980d).

         Technical-grade permethrin  (cis:trans ratio, 40:60; purity,
    94.5%) was instilled as a liquid into the right eye of nine New
    Zealand white rabbits at a volume of 0.10 ml. The eyes of three
    rabbits were then flushed for 30 s with 100 ml of warm tap-water and
    were scored 1, 24, 48, and 72 h and 4 and 7 days after dosing. Slight
    conjunctival redness, chemosis, and discharge were seen in both washed
    and unwashed eyes at 1 h. Stippling of the cornea was observed in two
    unwashed eyes. All irritation had resolved within 48 h (Braun &
    Killeen, 1975d).

          Dogs 

         Technical-grade permethrin  (cis:trans ratio, 40:60; purity,
    94.5%) was administered to one male and one female beagle dog in
    gelatine capsules for 14 days at doses of 0, 125, 250, or 500 mg/kg bw
    per day. On the first day of treatment, emesis was observed in four
    treated dogs, and thereafter the compound was administered twice daily
    in divided doses. Tremors and ataxia were each seen once in the male
    treated with 500 mg/kg bw per day during the first week of treatment.
    No effect on body weight or food consumption was seen throughout the

    study. The NOAEL was 250 mg/kg bw per day on the basis of clinical
    signs at 500 mg/kg bw per day (Killeen & Rapp, 1975b). 

         In a study conducted according to GLP, technical-grade permethrin
     (cis:trans ratio, 40:60; purity, 94.5%) was administered to groups
    of four beagle dogs of each sex in gelatine capsules at doses of 0, 5,
    50, or 500 mg/kg bw per day for at least 96 days. Tremors were
    observed on isolated occasions in two males and three females at 500
    mg/kg bw per day during the exposure. One dog that had tremors also
    showed transient narcosis with nystagmus on a single occasion. No
    effects attributable to treatment were seen on body weight, food
    consumption, clinical chemical, haematological, or urinary parameters,
    or histological appearance. The mean absolute and relative (to body
    weight) weights of the liver were greater than those of controls in
    animals at doses > 50 mg/kg bw per day, but there was no
    histological correlate. The increases in absolute liver weights were
    11% at 50 and 500 mg/kg bw per day in males and 12% at 500 mg/kg bw
    per day in females and were statistically significant. The biological
    significance of the effect in males at 50 mg/kg bw per day is obscure
    in view of the lack of any additional effect at a dose 10-fold higher.
    The NOAEL was 50 mg/kg bw per day on the basis of changes in liver
    weight and neurotoxic signs at 500 mg/kg bw per day (Killeen & Rapp,
    1976). 

         Technical-grade permethrin  (cis:trans ratio, 54:46; purity,
    93.4%) was administered in gelatine capsules to groups of six male and
    six female beagle dogs at doses of 0, 5, 50, or 500 mg/kg bw per day
    for 90 days. Owing to signs of severe toxicity which increased in
    severity and duration, the high dose was lowered to 364 mg/kg bw per
    day on day 9 of dosing. The most serious of these signs was seizures
    lasting for up to 1 h and characterized by rapid eye twitching with
    fasciculations, increased sensitivity to sound, and severe tremors.
    Ataxia and aggressive behaviour were also seen in these animals. At
    364 mg/kg bw per day, similar signs of toxicity were seen but of
    lesser severity and shorter duration. The major signs of toxicity seen
    in males at doses > 50 mg/kg bw per day and females at 364 mg/kg bw
    per day included impaired gait, ataxia, tremor, muscle twitching,
    involuntary limb movements, uncontrolled barking, panting, and
    salivation. Tremors and muscle twitching were also seen in females at
    50 mg/kg bw per day. No signs of toxicity were observed at the low
    dose. Body-weight gain was significantly reduced in males at the high
    dose, whereas the body weight and body-weight gain of females were
    unaffected by treatment. Serum alkaline phosphatase activity was
    increased at 3, 6 10, and 13 weeks among males at the high dose, and
    the absolute and relative weights of the liver were increased in males
    and females at this dose. Permethrin had no effect on food consumption
    or on haematological, urinary, ophthalmological, or histological
    parameters. The NOAEL was 5 mg/kg bw per day on the basis of clinical
    signs at 50 mg/kg bw per day (Becci et al., 1980). 

         Technical-grade permethrin  (cis:trans ratio, 25:75; purity,
    94.5%) was administered  in gelatin capsules to groups of four beagle
    dogs of each sex at doses of 0, 10, 50, or 250 mg/kg bw per day for at
    least 180 days. None of the dogs died during the study. Emesis was
    seen in a few treated and control animals, but there were no
    treatment-related signs of toxicity, no effect on body weight,
    ophthalmological or electrocardiographic parameters, absolute organ
    weights, or gross or histopathological appearance. Statistically
    significant but sporadic changes in food intake (decreased in dogs at
    50 mg/kg bw per day in week 11 and in those at 250 mg/kg bw per day in
    weeks 12 and 22), some haematological parameters (decreased packed
    cell volume on day 180 and decreased mean corpuscular volume on day 56
    at 10 mg/kg bw per day; increased lymphocyte and neutrophil counts at
    50 and 250 mg/kg bw per day on day 14), some clinical chemical
    parameters (glucose, urea, and sodium concentrations), and increased
    relative weights of the liver, heart, and kidneys (by < 17%) were
    seen. None of these changes appeared to be related to dose or time and
    were not severe enough to be of toxicological importance. Similar
    significant changes in blood chemistry were occasionally observed in
    the dogs before dosing. The NOAEL was 250 mg/kg bw per day, the
    highest dose tested (Reynolds et al., 1978). 

         In a study conducted according to GLP, permethrin  (cis:trans 
    ratio, 32.3%:60.2%; purity, 92.5%) was administered in corn oil in
    gelatin capsules to four groups of six beagle dogs of each sex at
    doses of 0, 5, 100, or 1000 mg/kg bw per day for 52 weeks. Body
    weights and food consumption were measured, and the dogs were observed
    for clinical and behavioural abnormalities. A variety of
    haematological and biochemical parameters were measured at intervals
    throughout the study. Clinical signs, including convulsions, muscle
    tremor, and incoordination, were seen frequently in dogs at 1000 mg/kg
    bw per day. The body weights of males at 1000 mg/kg bw per day and
    females at doses > 100 mg/kg bw per day were reduced. The weight of
    the liver of dogs treated with doses > 100 mg/kg bw was increased,
    accompanied by hepatic cellular swelling, consistent with an observed
    increase in plasma alkaline phosphatase activity. These findings were
    considered to represent an adaptive response and not a toxicological
    effect. The dose of 1000 mg/kg bw per day was overtly toxic, resulting
    in neurological signs associated in some animals with poor clinical
    condition. The NOAEL was 5 mg/kg bw per day on the basis of the
    reduction in body weight at 100 mg/kg bw per day (Kalinowski et al.,
    1982). 

         In a study conducted according to GLP, technical-grade permethrin
     (cis:trans ratio, 60:40; purity, 92.7%) was administered to four
    groups of two beagle dogs of each sex by inhalation as an aerosol at
    concentrations of 0, 125, 250, or 500 mg/m3 for 6 h per day, 5 days
    per week for 13 weeks. The mass median diameter of the aerosol was 5.1
    µm, and 85% of the particles had a diameter of < 1 µm. The dogs
    were tested for pulmonary function before and after exposure, and
    blood samples were taken weekly for measurements of blood chemistry
    and haematology. There were no treatment-related deaths and no toxic
    signs were observed. Body weights and organ:body weight ratios were

    unaffected, and pulmonary function and blood chemical and
    haematological parameters were unchanged. No gross or microscopic,
    treatment-related pathological changes were observed. The NOAEC was
    500 mg/m3, the highest dose tested (United States Army, 1978). 

    (c)  Long-term studies of toxicity and carcinogenicity

          Mice 

         Technical-grade permethrin of two batches  (cis:trans ratio,
    40:60; purity, 94.5-96.7%) was administered in the diet to groups of
    75 CD-1 mice of each sex for 24 months. Initially, the concentrations
    in the diet were 0, 20, 100, and 500 ppm, equivalent to 0, 3, 15, and
    75 mg/kg bw per day. The concentration of 500 ppm was changed to 5000
    ppm, equivalent to 250 mg/kg bw per day at week 19, but was returned
    to 500 ppm at week 21. In addition, at week 21 the concentration of
    100 ppm was changed to 4000 ppm, equivalent to 200 mg/kg bw per day,
    and the concentrations were 0, 20, 500, and 4000 ppm for the remainder
    of the study. During week 65, a problem of animal identification
    arose, which detracts from the value of the study; however, the
    actions taken to eliminate these mice from the study were carefully
    recorded and judged by the US Environmental Protection Agency to be
    acceptable, and the study was allowed to continue to its scheduled
    conclusion. The rates of death up to 24 months were 43/62 control
    males, 41/60 males at the low dose, 46/60 males at the intermediate
    dose, 61/67 males at the high dose, 20/50 female controls, 32/60
    females at the low dose, 34/62 females at the intermediate dose, and
    48/65 at the high dose. The body weight of males at 4000 ppm was
    slightly decreased from week 21 to termination, but that of females
    and the food consumption of both males and females were unaffected. No
    clinical observations were made that correlated with treatment. Mean
    haemoglobin, erythrocyte count, and blood glucose concentration were
    decreased in animals of each sex at 4000ppm. The mean absolute and
    relative (to body weight) weights of the liver were increased for
    males receiving 500 ppm and for animals of each sex at 4000 ppm. The
    latter showed a greater frequency of non-neoplastic changes including
    mononuclear leukocyte infiltrates in some tissues and thrombosis of
    the cardiac atrium. There was no significant change in the incidence
    of any tumour, and, in particular, the incidence of bronchioalveolar
    adenomas was not increased in animals of either sex. The incidences of
    hepatomas and hepatocellular carcinomas were slightly increased among
    male, but not female, mice (Table 12) (Hogan & Rinehart, 1977; Rapp,
    1978). 

         In view of the problems with the first experiment, a second of
    the same design but carried out according to GLP was conducted. The
    concentrations in the diet were originally 0, 100, 500, and 2000 ppm,
    equivalent to 15, 75, and 300 mg/kg bw per day, and were changed after
    2 months to 0, 20, 500, and 2000 ppm, equivalent to 3, 75, and 130
    mg/kg bw per day, for males and 20, 2500, and 5000 ppm, equivalent to
    3, 380, and 750 mg/kg bw per day, for females. The incidences of
    deaths up to 24 months were 55/75 male controls, 48/75 males at the
    low dose, 49/75 males at the intermediate dose, 63/75 males at the


        Table 12.   Incidences of tumours of the lung and liver in mice fed diets containing permethrin

                                                                                                                        
    Sex        Dose            No. lungs   Neoplasm                No. livers   Neoplasm                     No. with
                               examined                            examined                                  liver
                                           Alveolar    Alveolar                 Hepatoma    Hepatocellular   tumours
                                           adenoma     carcinoma                            carcinoma
                                                                                                                        

    Male       Control         60          6           0           72           3           4                7
               Low             56          7           0           68           1           0                1
               Intermediate    53          4           0           68           9           5                14
               High            67          5           0           71           4           7                11
    Female     Control         47          11          0           72           2           0                2
               Low             59          8           1           69           1           0                1
               Intermediate    60          7           1           67           4           0                4
               High            59          9           1           69           1           0                1
                                                                                                                        

    From Hogan & Rinehart (1977); Rapp (1978)
    

    high dose, 53/75 female controls, 42/75 females at the low dose, 52/75
    females at the intermediate dose, and 53/75 females at the high dose.
    The mortality rate among males at the high dose was therefore slightly
    greater than that among the control animals. These males also had a
    higher incidence than control males of yellow staining in the
    anogenital area throughout the study. Treatment had no effect on body
    weight, body-weight gain, or food consumption. The differential
    leukocyte counts of females at 2500 and 5000 ppm and males at 2000 ppm
    were slightly lower than control values, while the segmented
    neutrophil counts of males at 2000 ppm were slightly higher than in
    controls. A statistically significant decrease in the absolute and
    organ:body weight ratio of the testis was seen at 2000 ppm, while
    females at doses > 2500 ppm showed statistically significantly
    increased absolute liver weights; the liver:body weight ratio was
    statistically significant only in females at 5000 ppm.

         A dose-dependent increase in the incidence of alveolar-cell
    adenomas and carcinomas was found among female mice, and multiple lung
    adenomas were often found in the same animal (Table 13). Hepatomas
    also occurred more often in female mice at the intermediate and high
    doses than controls and mice at the low dose. Hepatoma is considered
    to be a spontaneous lesion which occurs in ageing and aged mice
    without affecting the mortality rate. The incidence of hepatocellular
    carcinoma was notably higher in males at the intermediate dose than in
    other treated or control groups (Table 13). The type, incidence,
    and/or degree of severity of other neoplasms and all non-neoplastic
    histological changes were considered to represent spontaneous lesions
    unrelated to treatment. Since the incidences in males and females at
    the low dose were close to those in the control group, the increased
    incidence of bronchioalveolar adenoma in female mice at the two higher
    doses may have been related to treatmen. This conclusion is not,
    however, supported by the results of the first study, which was
    conducted in the same laboratory with the same strain of mouse, and
    the same batch of permethrin and which partially overlapped with the
    second one in time. The pulmonary adenomas were thus considered to
    have no toxicological significance. The NOAEL for systemic toxicity
    was 500 ppm, equivalent to 75 mg/kg bw per day, on the basis of
    changes in organ weights at 2000 ppm (Tierney & Rinehart, 1979). 

         In a study conducted according to GLP, eight batches of
    technical-grade permethrin  (cis:trans ratios, 44:55 to 36.2:61;
    purity, 94.1-98.9%) were administered in the diet of groups of
    70 Alderley Park strain mice of each sex at concentrations of 0, 250,
    1000, or 2500 ppm, equivalent to 0, 38, 150, and 380 mg/kg bw per day,
    for up to 98 weeks. The animals were housed five per sex to a cage.
    Ten animals of each sex per group were designated for interim kills at
    26 and 52 weeks. Permethrin did not induce clinical signs, and the
    mortality rate was unaffected. A treatment-related decrease in
    body-weight gain and increased food consumption were noted in males
    and females at 2500 ppm. Proliferation of the smooth endoplasmic
    reticulum and microbodies and increased eosinophilia in centrilobular
    hepatocytes were also observed in most animals at this dose and to a
    lesser extent in those at 1000 ppm. These changes had been observed in


        Table 13.  Incidences of tumours of the lung and liver in a second study of mice fed diets containing permethrin

                                                                                                                              
    Sex       Dose           No. lungs   Neoplasm               No. with   No. livers   Neoplasm                    No. with
                             examined                           lung       examined                                 liver
                                         Alveolar   Alveolar    tumours                 Hepatoma   Hepatocellular   tumours
                                         adenoma    carcinoma                                      carcinoma
                                                                                                                              

    Male      Control        75          16         7           23         75           8          16               22
              Low            75          17         5           20         75           19         12               30
              Intermediate   74          20         13          28         75           17         19               34
              High           75          17         4           21         75           19         8                25

    Female    Control        75          10         6           15         74           3          4                6
              Low            76          18         7           24         76           4          3                7
              Intermediate   75          26         11          35         76           23         3                25
              High           75          37         15          44         75           29         2                30
                                                                                                                              
    

    a 26-week staudy (Hart et al., 1977a) and showed no progression in
    this 98-week experiment. The kidneys of treated males at all doses
    showed a dose-related decrease in vacuolation of the proximal tubular
    epithelium, and the effect was statistically significant in males at
    250 ppm at 52 weeks (13 ± 6.3  versus 5.4 ± 4.2 vacuoles per
    microscope field) but not at 26 weeks  (11 ± 6.8  versus 8.4 ± 5.3)
    or at 98 weeks (8.4 ± 7.1  versus 7.2 ± 7.0). The changes in the
    liver and the kidney were considered to be adaptive characteristics of
    no toxicological importance.

         No significant increase in the incidence of tumours of unusual
    types or in the number of tumour-bearing animals was seen in
    comparison with with controls. In male mice, a slight increase in the
    incidence of pulmonary adenomas was recognized in the second year of
    the study. Up to week 52, one unconfirmed tumour was found among 34
    male controls and two in 23 females at the low dose; from week 53
    until the end of the study, the incidences in males were 10/36 in
    controls, 6/41 at the low dose, 13/40 at the intermediate dose, and 16
    (+1 unconfirmed) out of 33 at the high dose. Comparison of controls
     versus the high-dose group gives  p = 0.09 or, if the unconfirmed
    tumour is assumed to have been an adenoma, 0.05 (Fisher's exact test).
    This finding was not considered to constitute evidence of a
    carcinogenic effect. The NOAEL was 250 ppm, equivalent to 38 mg/kg bw
    per day, on the basis of changes in the liver and kidney at 1000 ppm
    (Hart et al., 1977b; Ishmael & Litchfield, 1988). 

          Rats 

         Technical-grade permethrin of 10 batches  (cis:trans ratio,
    36.2:61 to 43.9:55; purity, 93.1-98.9%) was administered in the diet
    of groups of 60 Alderley Park rats of each sex at concentrations of 0,
    500, 1000, or 2500 ppm, equivalent to 0, 25, 50, or 125 mg/kg bw per
    day, for up to 104 weeks. Twelve animals of each sex per group were
    designated for interim sacrifice at 52 weeks. Treatment did not affect
    survival, body weight, body-weight gain, food consumption,
    haematological or urinary parameters, or gross or microscopic
    appearance. Tremor, piloerection, and hypersensitivity were noted at
    2500 ppm during the first 2 weeks of the study. Increased
    aminopyrine- N-demethylase activity was observed in all treated males
    and in females at doses > 1000 ppm at 52 weeks and in all animals
    at the high dose at 104 weeks. Increased liver weights were found in
    all treated groups, although the effect did not increase between weeks
    52 and 104. The kidneys were heavier than those of controls in males
    at 2500 ppm at week 52 and in all treated males at week 104. The
    weight of the kidneys of females at doses > 1000 ppm was reduced at
    52 weeks and was unaffected at week 104. The increase in kidney weight
    in male rats at 104 weeks appeared to be associated with marked
    nephropathy in some of these animals. Nephropathy occurs spontaneously
    with age in that colony of rats, and the variability of the change in
    males at the terminal kill and the absence of this trend in the
    females indicate that these effects were not related to treatment. 

         Treatment had no effect on the incidence of tumour-bearing rats
    or of tumours of any particular type. The incidence of centrilobular
    hepatocyte hypertrophy was increased in rats at doses > 1000 ppm,
    particularly in males, and proliferation of the smooth endoplasmic
    reticulum was observed in all treated groups of females and males at
    doses > 1000 ppm at week 52; at week 104, the proliferation was
    confined to rats at 2500 ppm. These adaptive changes in the liver,
    including hepatocyte hypertrophy and the associated increases in liver
    weight, microsomal enzyme activity, and smooth endoplasmic reticulum,
    were considered to be normal adaptive responses of the liver to
    exposure to a xenobiotic and to be toxicologically insignificant. It
    is uncertain, however, whether the hepatocyte vacuolation seen in
    males and females at 2500 ppm is also part of the physiological
    adaptation of the liver. Examination of sciatic nerves revealed no
    ultrastructural changes associated with exposure. The NOAEL was 500
    ppm, equivalent to 25 mg/kg bw per day, on the basis of the increased
    liver hypertrophy at 1000 ppm (Richards et al., 1977; Ishmael &
    Litchfield, 1988).  

         Technical-grade permethrin of two batches  (cis:trans ratio,
    40:60; purity, 94.5-96.7%) was administered in the diet of groups of
    60 Long-Evans rats of each sex at concentrations of 0, 20, 100, or 500
    ppm, equivalent to 0, 1, 5, and 25 mg/kg bw per day, for 24 months.
    Treatment had no effect on survival. Two females at 500 ppm showed
    tremor on day 2 of the study, but tremors were not seen in any other
    animal during the remainder of the study. The body weights and food
    consumption of treated males were comparable to those of controls. The
    mean body weights of females at 500 ppm were slightly lower than
    control weights during the first year but were comparable thereafter;
    the food consumption of control and treated females was comparable.
    The glucose concentration was increased in animals at 500 ppm, in
    females at 18 and 24 months and in males at 24 months. The absolute
    and relative (to body weight) weights of the ovary of females at 500
    ppm were greater than those of controls at the end of the study.
    Histological examination of tissues from treated animals revealed no
    increase in the incidence of neoplastic or non-neoplastic lesions. The
    NOAEL was 100 ppm, equivalent to 5 mg/kg bw per day, on the basis of
    clinical signs, changes in body and ovary weights, and clinical
    chemical findings at 500 ppm (Braun & Rinehart, 1977; Billups,
    1978a,b; Busey, 1978). 

    (d)  Genotoxicity

         Technical-grade permethrin was tested in a battery of test
    systems  in vitro and  in vivo (Table 14). It did not increase the
    frequency of unscheduled DNA synthesis in human fibroblasts  in 
     vitro or induce DNA repair in  Escherichia coli or  Bacillus 
     subtilis. It did not induce gene mutations in bacteria, cultured
    mammalian cells, or  Drosophila melanogaster, nor recombinational
    events (mitotic recombination or gene conversion) in yeast. It did not
    induce aneuploidy in  D. melanogaster. The evidence for induction of
    clastogenic effects in cultured mammalian cells (mainly human
    lymphocytes) was equivocal, in that a study of micronucleus induction


        Table 14. Results of studies of the genotoxicity of permethrin

                                                                                                                                   
    End-point                Test object             Concentration     cis:trans    Purity       Result            Reference
                                                                       ratio        (%)
                                                                                                                                   

    In vitro

    Differential             E. coli W3110/          5000 µg/disc      38:52        90.4         Negative ± S9     Simmon et al. 
    toxicity                 p3478                                                                                 (1979)

    Differential             B. subtilis  H17/M45    5000 µg/disc      38:52        90.4         Negative ± S9     Simmon et al. 
    toxicity                                                                                                       (1979)

    Reverse mutation         S. typhimurium          5 µl/plate        44:56        93.6         Negative ± S9     Brusick & Weir 
                             TA100, TA98,                                                                          (1976)
                             TA1538, TA1537, 
                             TA1535

    Reverse mutation         S. typhimurium          1000 µg/plate     NR           95.7         Negative ± S9     Simmon (1976)
                             TA100, TA98,  
                             TA1538, TA1537, 
                             TA1535

    Reverse mutation         S. typhimurium          7500 µg/plate     38:52        90.4         Negative ± S9     Simmon et al. 
                             TA100, TA98,                                                                          (1979)
                             TA1537, TA1535

    Reverse mutation         S. typhimurium          980 µg/plate      NR           NR           Negative ± S9     Bartsch et al. 
                             TA100, TA98                                                                           (1980)

    Reverse mutation         S. typhimurium          5000 µg/plate     NR           NR           Negativeb ± S9    Moriya et al. 
                             TA100, TA98,                                                                          (1983)
                             TA1538, TA1537, 
                             TA1535

    Reverse mutation         S. typhimurium          3000 µg/plate     NR           95           Negative ± S9     Pluijmen et al. 
                             TA100, TA98                                                                           (1984)
                                                                                                                                   

    Table 14. (continued)

                                                                                                                                   
    End-point                Test object             Concentration     cis:trans    Purity       Result            Reference
                                                                       ratio        (%)
                                                                                                                                   

    Reverse mutation         S. typhimurium          5460 µg/plate     NR           NR           Negative ± S9     Pednekar et al. 
                             TA100, TA98                                                                           (1987)

    Reverse mutation         S. typhimurium          6000 µg/plate     NR           cis, 99      Negative ± S9     Herrera & 
                             TA100,  TA104,                                         trans, 100                     Laborda (1988)
                             TA98,  TA97,  
                             TA1538, TA1537, 
                             TA1535

    Reverse mutation         E. coli WP2             1000 µg/plate     NR           95.7         Negative ± S9     Simmon (1976)

    Reverse mutation         E. coli WP2             7500 µg/plate     38:52        90.4         Negative ± S9     Simmon et al. 
                                                                                                                   (1979)

    Reverse mutation         E. coli WP2 hcr         5000 µg/plate     NR           NR           Negative ± S9     Moriya et al. 
                                                                                                                   (1983)

    Gene conversion          S, cerevisiae D4,       5 µl/plate        44:56        93.6         Negative ± S9     Brusick & Weir 
                             try locus                                                                             (1976)

    Mitotic                  S. cerevisiae D3        50 000 µg/ml      38:52        90.4         Negative ± S9     Simmon et al. 
    recombination                                                                                                  (1979)

    Chromosomal loss         D. melanogaster          5 µg/ml feed     NR           NR           Negativea         Woodruff et al. 
                                                                                                                   (1983)

    Sex-linked recessive     D. melanogaster         1.2 µg/ml feed    45:55        91.1         Negativea         Mehr et al.  
    mutation                                                                                                       (1988);Gupta et 
                                                                                                                   al. (1990)

    Unscheduled DNA          Fischer 344 rat         5000 µg/ml        38:52        90.4         Negativea         Simmon et al. 
    synthesis                primary hepatocytes                                                                   (1979)
                                                                                                                                   

    Table 14. (continued)

                                                                                                                                   
    End-point                Test object             Concentration     cis:trans    Purity       Result            Reference
                                                                       ratio        (%)
                                                                                                                                   

    Gene mutation            Chinese hamster         40 µg/ml          NR           95           Negative ± S9     Pluijmen et al. 
                             lung V79 cells,                                                                       (1984)
                             Hprt locus

    Gene mutation            Chinese hamster         40 µg/ml          NR           95           Negative ± S9     Pluijmen et al. 
                             lung V79 cells,                                                                       (1984)
                             OuaR

    Gene mutation            Mouse lymphoma          94 µg/ml          NR           NR           Negative ± S9     Clive (1977)
                             L5178Y cells, Tk
                             locus

    Chromosomal              Chinese hamster         100 µg/ml         NR           99.5         Positive - S9     Barrueco et al. 
    aberration               ovary cells                                                         Equivocal + S9    (1994)

    Sister chromatid         Human lymphocytes       50 µg/ml          NR           99.5         Positive - S9     Barrueco et al. 
    exchange                                                                                     Equivocal + S9    (1992); Herrera 
                                                                                                                   et al. (1992)

    Micronucleus             Human lymphocytes       50 µg/ml          NR           99.5         Positive - S9     Barrueco et al. 
    formation                                                                                    Equivocal + S9    (1992); Herrera 
                                                                                                                   et al. (1992)

    Micronucleus             Human lymphocytes       100 µg/ml         NR           95           Equivocala        Surrallès et al. 
    formation                                                                                                      (1995a)

    Micronuclei (with        Human lymphocytes       100 µg/ml         NR           97           Equivocala        Surrallès et al. 
    inhibition of excision                                                                                         (1995b)
    repair)

    Micronuclei (with        Human lymphocytes       10 µg/ml          NR           97           Positivea         Surrallès et al. 
    inhibition of excision                                                                                         (1995b)
    repair)
                                                                                                                                   

    Table 14. (continued)

                                                                                                                                   
    End-point                Test object             Concentration     cis:trans    Purity       Result            Reference
                                                                       ratio        (%)
                                                                                                                                   

    Chromosomal              Human lymphocytes       75 µg/ml          NR           99.5         Positive - S9     Barrueco et al. 
    aberration                                                                                   Equivocal + S9    (1992, 1994)

    Inhibition of            Chinese hamster         8 µg/ml           NR           NR           Negativea         Flodström et al. 
    gap-junctional           lung V79 cells                                                                        (1988)
    intercellular 
    communication

    In vivo

    Dominant lethal          Male CD-1 mice          452 mg/kg bw      NR           NR           Negative          Chesher et al. 
    mutation                                         × 5 orally                                                    (1975) 
                                                                                                                                   

    NR, not reported; S9, 9000 ×  g supernatant of rat liver
    a Not tested in the presence of S9
    

    and chromosomal aberrations in one laboratory showed significant
    results, while studies of micronucleus induction in another laboratory
    showed negative results, except when the assay was modifed by
    inhibition of DNA excision repair with cytosine arabinoside. No tests
    of clastogenicity  in vivo have been conducted. Permethrin did not
    cause dominant lethal mutations in male mice. The Meeting concluded
    that permethrin is not mutagenic but that it is clastogenic, at least
     in vitro.

    (e)  Reproductive toxicity

         (i)  Multigeneration reproductive toxicity

          Rats 

         Technical-grade permethrin of two batches  (cis:trans ratio and
    purity not stated) was administered in the diet of groups of 12 male
    and 24 female Long-Evans rats at concentrations of 0, 20, or 100 ppm,
    equivalent to 0, 1.3, and 6.7 mg/kg bw per day, for three generations,
    from F0 until weaning of the F3c generation. Treatment did not
    affect the body weights of males or females at any time during the
    study, and there was no effect on reproduction, on the number of
    births, or on the survival or growth of the offspring. Ophthalmoscopic
    examination of all 159 F3c offspring revealed two with
    abnormalities: a unilateral cataract in one female in a control litter
    and a unilateral coloboma of the choroid at the optic disc of one male
    in a high-dose litter. The NOAEL for reproductive and systemic effects
    was 100 ppm, equivalent to 6.7 mg/kg bw per day, the highest dose
    tested (Schroeder & Rinehart, 1977).

         In a study conducted according to GLP, technical-grade permethrin
     (cis:trans ratio, 26:74; purity, 94.5%) was administered in the diet
    to groups of 20 Wistar rats of each sex at target doses of 0, 5, 30,
    and 180 mg/kg bw per day for three generations, from F0 until
    weaning of the F3b generation. The F2 parental rats were then
    mated to produce an F3c litter and their pups were removed just
    before weaning for teratological examination. There were no
    treatment-related effects on body weights of males and females of any
    generation and no effect on reproduction or on the number of births or
    the survival and growth of the offspring. Offspring in all groups and
    in all generations had a few ocular abnormalities which were found
    histologically to be abnormalities of the retina and optic nerve,
    indicative of glaucoma. The incidence of these findings was low and
    not statistically correlated with treatment. The F3b fetuses showed
    no treatment-related toxic or teratogenic effects. The NOAEL for
    reproductive and systemic effects was 180 mg/kg bw per day, the
    highest dose tested (James, 1979).

         In a study conducted according to GLP, technical-grade permethrin
    of seven batches (nominal  cis:trans ratio, 40:60; purity,
    94.1-98.9%) was administered in the diet to groups of 12 male and 24
    femaleWistar rats at concentrations of 0, 500, 1000, or 2500 ppm,
    equivalent to 0, 33, 67, and 170 mg/kg bw per day, for three

    generations, from F0 until weaning of the F3b generation. The F2
    parental rats were then mated to produce an F3c litter and their
    pups were removed just before weaning for teratological examination.
    The only clinical sign of toxicity was tremors, which were seen in
    parents and pups receiving 1000 or 2500 ppm. The tremors were
    transient, and no evidence of neuropathy was found in an extensive
    examination of the nervous system of F1 males that had been exposed
     in utero and fed the diet continuously for 1 year. No overall
    effects on growth or reproductive performance were seen, and there was
    no evidence of teratogenicity. Buphthalmia due to the persistent
    presence of a pupillary membrane was first seen in the F1b litter
    and then in subsequent litters. The incidence of this congenital
    lesion was low (< 3%), occurring in two pups in one litter at 500 ppm
    litter and in animals at 1000 and 2500 ppm.The effect may have been
    due to interaction between permethrin and genetic factors, but it is
    more likely to be due to differences in the selection of the F0
    parents. Hypertrophy of centrilobular hepatocytes was seen in the
    livers of treated F3b pups examined histologically, although no
    lesion was seen on gross examination.  Liver hypertrophy has been
    observed in other studies of permethrin and is considered to be an
    adaptive change of no toxicological significance. No NOAEL could be
    identified for systemic toxicity, as hypertrophy of centrilobular
    hepatocytes in the offspring and tremors in parents and offspring
    occurred at all doses. The NOAEL for reproductive toxicity was
    2500 ppm, equivalent to 170 mg/kg bw per day, the highest dose tested
    (Hodge et al., 1977).

         (ii) Developmental toxicity

          Mice 

         Technical-grade permethrin  (cis:trans ratio and purity not
    stated) was administered orally by gavage to groups of female CD-1
    mice on days 6-15 of gestation. The groups consisted of 20 untreated
    controls, 23 mice receiving corn oil at 10 ml/kg bw per day, and 22
    mice given permethrin at 400 mg/kg bw per day. The animals were
    observed daily for clinical signs of toxicity. One treated animal died
    on day 17 before termination of pregnancy. Treatment had no
    significant effect on weight gain during dosing and pregnancy, and
    there was no significant difference in the mean numbers of
    implantations among the groups, no significant treatment-related
    effect on the numbers of live and normal fetuses or on the numbers of
    resorbed, dead, and malformed fetuses, and no treatment-related effect
    on individual fetal weights, litter size, or fetal sex ratios. No
    gross visceral or skeletal malformations were found in any group. No
    NOAEL could be identified for maternal toxicity because of the
    unexplained death of one treated mouse. The NOAEL for developmental
    toxicity was 400 mg/kg bw per day, the only dose tested (James,
    1974a).

          Rats 

         Technical-grade permethrin  (cis:trans ratio and purity not
    stated) was administered orally by gavage to groups of female Wistar
    rats on days 6-16 of gestation. The groups consisted of 22 untreated
    controls, 23 rats receiving corn oil at 10 ml/kg bw per day, and 23
    rats given permethrin at 200 mg/kg bw per day. Two treated rats died
    before completion of their pregnancy. Treatment had no significant
    effect on weight gain during dosing or pregnancy, and no significant
    difference was seen in the mean numbers of corpora lutea or
    implantations among the groups, no effect of treatment on the numbers
    of live and normal fetuses, on individual fetal weights or litter
    size, or on the fetal sex ratio. The numbers of resorbed, dead, and
    malformed fetuses were not significantly affected by treatment. No
    gross visceral or skeletal malformations were seen in any group. No
    NOAEL could be identified for maternal toxicity because of the
    unexplained deaths of two treated rats. The NOAEL for developmental
    toxicity was 200 mg/kg bw per day, the only dose tested (James,
    1974b). 

         Technical-grade permethrin  (cis:trans ratio, 44:56 to
    46.5:53.5; purity, 92.4-95%), aspirin, and corn oil were administered
    orally by gavage to groups of 20 pregnant SpragueDawley rats during
    days 6-16 of gestation, at doses of 2 ml/kg bw per day for corn oil,
    200 mg/kg bw per day for aspirin, and 4, 41, or 83 mg/kg bw per day
    for permethrin. There were no maternal deaths and no treatment-related
    effects on the number of resorptions, body weight, length, or fetal
    sex ratio. No gross, skeletal, or soft-tissue abnormalities were seen
    in any group. The NOAEL for maternal and developmental toxicity was 83
    mg/kg bw per day, the highest dose tested (Metker et al., 1977). 

         Technical-grade permethrin  (cis:trans content, 37.5%:57.8%;
    purity, 95.3%) diluted in corn oil was administered orally at a volume
    of 10 ml/kg bw to groups of 20 pregnant CD ratson days 6-16 of
    gestation at doses of 22.5, 71, or 225 mg/kg bw per day. None of the
    dams died during the study, and there were no treatment-related
    effects on weight gain, food consumption, pregnancy frequency, the
    number of corpora lutea, the total number of implantations per
    pregnancy, fetal or placental weight, or fetal sex ratios. The NOAEL
    for maternal and developmental toxicity was 225 mg/kg bw per day, the
    highest dose tested (McGregor & Wickramaratne, 1976). 

          Rabbits 

         Technical-grade permethrin  (cis:trans ratio and purity not
    stated) was administered orally by gavage at a volume of 2 ml/kg bw to
    groups of female Dutch belted rabbits on days 6-18 of gestation. The
    groups consisted of nine untreated controls, six given corn oil, and
    seven given permethrin at 400 mg/kg bw per day. One animal in each
    group died before the end of the study, but the deaths were not
    related to treatment. There was no significant effect on weight gain
    during dosing and gestation, no significant difference in the mean
    numbers of corpora lutea and implantations, no effect on the numbers

    of live and normal fetuses, the numbers of resorbed, dead, and
    malformed fetuses, litter size, mean fetal weight, or fetal sex ratio.
    No gross skeletal or visceral abnormalities were seen in any group.
    The NOAEL for maternal and developmental toxicity was 400 mg/kg, the
    highest dose tested (James, 1974c). 

         Technical-grade permethrin  (cis:trans ratio, 40:60; purity,
    92.5%) was administered orally by gavage in 0.5% v/v aqueous Tween 80
    to groups of 18 pregnant Dutch rabbits on days 6-18 of gestation at
    doses of 600, 1200, or 1800 mg/kg bw per day. Five does at 600 and
    1200 mg/kg bw per day and four at 1800 mg/kg bw per day group were
    killed when moribund or were found dead. The clinical signs noted
    included tremors at 1800 mg/kg bw per day. Many of the females found
    dead or killed produced few or no faeces and had more than normal
    amounts of fur in the stomach, and hypothermia and salivation were
    generally seen. The body weights were reduced in all treated groups
    but were statistically significantly lower onlyat 1800 mg/kg bw per
    day. A statistically significant increase in post-implantation loss
    was seen in animals at 1200 and 1800 mg/kg bw per day, and the number
    and percentage of early and late resorptions were higher and the mean
    number of live fetuses was lower in animals at these doses. The effect
    at 1800 mg/kg bw per day was related to treatment, but animals at 1200
    mg/kg bw per day showed a decreased number of implantation sites and a
    decrease in the number of corpora lutea. As implantation occurred
    before initiation of treatment, the effects at 1200 mg/kg bw per day
    are not related. The fetal weights were similar to those of controls.
    Evaluation of the fetuses revealed no gross visceral or skeletal
    abnormalities. No NOAEL could be identified for maternal toxicity
    because deaths, clinical signs, and body weight reduction were seen at
    all doses. The NOAEL for developmental toxicity was 1200 mg/kg bw per
    day (Richards et al., 1980). 

    (g)  Special studies

         (i)  Neurotoxicity

          Mice 

         Pyrethroids have been reported to induce two types of neurotoxic
    syndrome in mice after intracerebroventricular administration
    (Lawrence & Casida, 1982). The first type involves markedly increased
    hypersensitivity and hyperactivity, followed quickly by whole-body
    tremors and clonic seizures. The mice become prostate 5-20 min after
    the onset of these signs, and profound whole-body tremors persist
    until death, which usually occurs 5-30 min later. The second type of
    syndrome is initially similar to the first but the signs rapidly
    progress to include chreothetosis (sinuous writhing) and profuse
    salivation, often with tonic seizures shortly before death after 15-45
    min. Permethrin induces the second type of response, while
    deltamethrin and fenvalerate, for instance, induce the first. Diazepam
    at 1 mg/kg bw intraperitoneally did not delay the onset of the second
    type of response in male albino mice treated with permethrin
    intracerebroventricularly, but a dose of 3 mg/kg bw increased the

    LD50 value in mice given (1 R, cis)-permethrin from 0.15 mg/kg bw
    to 1.4 mg/kg bw (Gammon et al., 1982).  

         Technical-grade permethrin  (cis:trans ratio, 40:60; purity not
    stated) or the separated  cis and  trans isomers (purity not stated)
    were administered in equal volumes of Emulphor and 95% ethanol (total
    volume, 0.2 ml/10 mg pyrethroid) intravenously at a volume of 0.1 ml
    or intracerebroventricularly at a volume of 0.005 ml to male ICR mice.
    All treatments induced hyperactivity, increased sensitivity to
    external stimuli, and whole-body tremor, leading to prostration and
    ultimately to death. The ED50 values and 95% confidence intervals
    for groups of six mice were 20 mg/kg bw (17-22) for the  cis isomer,
    36 mg/kg bw (33-39) for the technical-grade mixture, and 93 mg/kg bw
    (83-100) for the  trans isomer after intravenous administration, and
    0.09 mg/kg bw (0.06-0.14) for the  cis isomer, 0.15 mg/kg bw
    (0.13-0.17) for the technical-grade mixture, and 1.1 mg/kg bw
    (0.72-1.4) for the  trans isomer after intracerebroventricular
    administration. These results indicate that most of the activity is
    due to the  cis isomer and suggest a mainly central site of action.
    The effects of a number of drugs that affect neurotransmitter systems
    (noradrenaline, dopamine, acetylcholine, gamma-aminobutyric acid
    (GABA), and serotonin) were studied on the loss of righting reflex
    induced by permethrin given intravenously at a dose of 30 mg/kg bw. It
    was not clear whether inhibitory GABA pathways were involved, whereas
    the toxicity of permethrin was potentiated by at least some of the
    drugs that affect central noradrenergic, cholinergic, or serotonergic
    transmission. The involvement of these transmission systems in the
    toxicity of permethrin could not be elucidated (Staatz et al., 1982). 

          Rats 

         In a study conducted according to GLP, technical-grade permethrin
     (cis:trans ratio, 36%:59%; purity, 95.3%) was administered as a 1.0%
    (w/v) solution or suspension in corn oil to 10 Sprague-Dawley CD rats
    of each sex at doses of 0, 10, 150, or 300 mg/kg bw. Clinical signs,
    body weights, the results of a functional observational battery of
    tests, and motor activity were recorded. At the end of the study, the
    surviving rats were perfused, and the nervous systems of five rats of
    each sex at the high dose and in the control group were examined. One
    female at the high dose died on day 0. Treatment-related clinical
    signs observed in this group were tremors, staggered gait, splayed
    hind limbs, exaggerated hind-limb flexion, and hypersensitivity to
    sound. All of the animals had recovered by day 3. There were no
    effects on body weight. Rats at the high dose had whole-body tremors,
    staggered gait, splayed hind limbs, abnormal posture while moving,
    exaggerated hind-limb flexion, and convulsions on the first day of
    functional and behavioural testing, but no significant differences
    were noted after this time. There was no effect on motor activity.
    Neuropathological examination of the nervous system revealed no
    treatment-related lesions. The NOAEL for neurotoxicity was 150 mg/kg
    bw on the basis of neurotoxic clinical signs and significant changes
    in function and behaviour at 300 mg/kg bw per day (Freeman, 1993a). 

         In a study conducted according to GLP, technical-grade permethrin
     (cis:trans ratio, 36%:59%; purity, 95.3%) was administered in the
    diet of groups of five Sprague-Dawley CD of each sex at concentrations
    of 0, 100, 750, 1500, 3000, 4000, or 5000 ppm for 28 days. Clinical
    signs were recorded daily, and body weights were recorded weekly. All
    surviving animals underwent gross necropsy on day 28. All rats
    receiving 5000 ppm and one female receiving 4000 ppm had died by the
    end of day 3. The treatment-related clinical signs included tremors,
    splayed hind limbs, staggered gait, and chromorhinorrhoea at
    concentrations > 1500 ppm. The clinical signs generally occurred
    with increasing frequency with dose, except when pre-empted by death.
    No clinical signs were seen among animals receiving doses < 750
    ppm. Body weights were significantly reduced at doses > 3000 ppm
    during some or all of the study, and body-weight gain was
    significantly reduced at 3000 and 4000 ppm. Gross lesions found during
    necropsy of animals at doses > 3000 ppm included necrosis of the
    tail and feet and reddish-brown fluid in the stomach and intestines.
    The NOAEL was 750 ppm, equal to 38 mg/kg bw per day, on the basis of
    neurotoxic clinical signs at 1500 ppm (Freeman, 1993b). 

         In a study conducted according to GLP, technical-grade permethrin
     (cis:trans ratio, 36%:59%; purity, 95.3%) was administered in the
    diet of groups of 10 Sprague-Dawley rats at concentrations of 0, 250,
    1500, or 2500 ppm for 13 weeks. Clinical signs were recorded daily,
    and body weights and food consumption were recorded weekly. The
    results of a functional observational battery of tests and tests for
    motor activity were recorded before exposure and in weeks 4, 8, and 13
    of the study. Surviving rats were perfused, and the nervous systems of
    five rats of each sex at the high dose and in the control group were
    examined microscopically for neuropathological lesions. No
    treatment-related deaths occurred during the study, but
    treatment-related clinical signs were observed in rats at doses
    > 1500 ppm which included staggered gait, splayed hind limbs. and
    tremors. These signs generally increased in both frequency and
    severity with dose. Reductions in body weight and intermittent
    reductions in food consumption were seen among males receiving 2500
    ppm. Functional and behavioural testing showed whole-body tremors,
    staggered gait, spayed hind limbs, and an abnormal posture during
    movement among rats receiving 2500 ppm and to a lesser extent among
    those given 1500 ppm. There were no significant differences with
    regard to motor activity. No treatment-related lesions were found at
    autopsy or on neuropathological examination. The NOAEL for
    neurotoxicity was 250 ppm, equal to 15 mg/kg bw per day, on the basis
    of neurotoxic clinical signs and significant changes in function and
    behaviour at 1500 ppm (Freeman, 1993c).

         In a study conducted according to GLP, technical-grade permethrin
     (cis:trans ratio, 40:60; purity, > 98%) was administered in the
    diet of Sprague-Dawley rats at target doses of 100, 200, and 400 mg/kg
    bw per day for 90 days. The actual mean doses were 0, 86, 160, and 340
    mg/kg bw per day for males and 0, 110, 170, and 350 mg/kg bw per day
    for females. The groups consisted of 20 rats of each sex at the high
    dose and as untreated controls and 10 rats of each sex at the

    intermediate and low doses and as vehicle (acetone) controls. Clinical
    signs, body weights, and food consumption were recorded three times a
    week. At the end of treatment, half of the animals at the high dose
    and of untreated controls were returned to untreated diet and held for
    an additional 6 weeks to assess the reversibility of effects. At the
    end of the study, the rats were perfused and the nervous systems from
    those at the high dose and untreated and vehicle controls were
    examined histologically for neuropathological lesions. Neurotoxic
    signs were seen in all rats at the high dose and included tremors,
    twitching, hyperexcitability, and irritability. The signs occurred
    during the first day of treatment and persisted throughout the
    90 days. Rats at the intermediate dose had tremors intermittently and
    occasional periods of hyperexcitability during the first 2 days of
    testing, but not later. When females at the high dose were returned to
    untreated diet, all of the signs disappeared within 24 h, whereas in
    males the tremors and  twitching ceased within 1 day, and the
    hyperexcitability and irritability stopped within 2-3 days. Decreased
    body-weight gains were noted at the high dose, in females from week 3
    and in males from week 11, but these deficits were rapidly corrected
    during the recovery period. Neuropathological examination of the
    central nervous system and peripheral nerves revealed no
    treatment-related lesions. The NOAEL was 86 mg/kg bw per day on the
    basis of neurotoxic clinical signs at 160 mg/kg bw per day (United
    States Army, 1986). 

         The peripheral nerves, brain stem, and spinal cord of groups of
    five Long-Evans rats of each sex were examined histologically for
    abnormalities after exposure to permethrin. The rats were derived from
    a 24-month feeding study (Braun & Rinehart, 1977) and from the third
    generation of a three-generation study of reproductive toxicity
    (Schroeder & Rinehart, 1977), described above, and were 10-11 months
    old at the time of autopsy. In addition to standard histological
    techniques, the neural material was examined morphometrically for the
    number of myelinated fibres per nerve and per square millimetre of
    fascicular area and for the frequency distribution of diameters per
    nerve and per square millimetre of fascicular area; the morphology of
    teased fibres was also evaluated. No structural lesions associated
    with exposure of the rats to permethrin at dietary concentrations up
    to 500 ppm (equivalent to 25 mg/kg bw per day) were observed in
    central or peripheral nerves or in teased fibres of distal sural and
    tibial nerves and of the maxillary division of the fifth cranial nerve
    (Dyck, 1978).

          Chickens 

         Technical-grade permethrin  (cis:trans ratio, 50:50; purity,
    96%) was administered by gavage to six adult laying hens at a dose of
    1000 mg/kg bw per day for 5 days. After 21 days, the hens were
    re-dosed and observed for an additional 21 days. A positive control
    group of six hens received an intramuscular injection of a mixture of
    atropine sulfate (17 mg/kg bw) and pralidoxime chloride (50 mg/kg bw)
    and, 1 h later, a dose of tri- ortho-tolyl phosphate at 0.5 ml/kg bw
    by gavage. Six untreated hens were available. No deaths occurred in

    the treated or negative control groups during the study, and no
    neurological disturbances and no histological lesions were found in
    the peripheral or central nervous system. The positive controls showed
    lack of coordination, unsteadiness, and loss of balance, which
    worsened progressively. Foci of axonal and myelin degeneration were
    observed in all positive control birds (Milner & Butterworth, 1977).

         Technical-grade permethrin  (cis:trans ratio, 36.0%:58.9%;
    purity, 94.9%) was administered at a single dose of 15 ml, equal to
    9100 mg/kg bw, the maximum possible dose, to 15 hens, which were
    observed for 21 days for signs of neurotoxicity. The hens were treated
    with an intramuscular injection of atropine and pyridine-2-aldoxime
    methane sulfonate, then re-dosed with 15 ml of permethrin and observed
    for an additional 21 days. Five hens were given tri- ortho-tolyl
    phosphate at 500 mg/kg bw as a positive control, and 10 hens received
    water as a negative control. No deaths occurred during the study, and
    no signs of neurotoxicity were noted in the treated or negative
    control groups. Ataxia, ranging from slight muscular incoordination to
    difficulty in standing, was observed in the positive control group. No
    treatment-related histopathological lesions of the spinal cord or
    sciatic nerve were observed in the treated or negative control groups,
    whereas degenerative changes were seen in the spinal cord and sciatic
    nerve of hens treated with tri- ortho-tolyl phosphate. An NOAEL for
    neurotoxicity could not be identified (Ross, et al., 1977).

         (ii) Endocrine effects

         The MCF-7 human breast carcinoma cell line was used to study the
    oestrogenic potential of permethrin  in vitro, pS2 mRNA expression
    levels being used as the end-point. Permethrin at 100 µmol/L had no
    effect on pS2 expression or on cell proliferation, whereas
    17ß-estradiol at a concentration of 10 nmol/L induced a fivefold
    increase in pS2 expression (Go et al., 1999). 

    3.  Observations in humans

         Twenty-three workers aged 20-52 years who had been exposed to
    synthetic pyrethroids and 23 age- and sex-matched control subjects who
    had had no contact with pyrethroids were interviewed, examined, and
    assessed electrophysiologically. Most of the workers had been exposed
    to several different pyrethroids, the more common being cypermethrin,
    permethrin, fenvalerate, and fenpropathrin. Nineteen of the subjects
    had experienced one or more episodes of abnormal facial sensation
    0.5-3 h after exposure which persisted for 0.5-8 h. Thirteen subjects
    had experienced more than one episode. There were no abnormal
    neurological signs, and the results of electrophysiological studies of
    the arms and legs were normal. Three subjects who had had moderate
    exposure to permethrin had not developed symptoms, whereas two of them
    did so after exposure to fenpropathrin and cypermethrin (Le Quesne et
    al., 1980).

         Workers who handled seedlings treated with permethrin
     (cis:trans  ratio, 25:75 for a wettable powder and 40:60 for an
    emulsion in organic solvents; both diluted with water to 1-2% before
    use) reported irritation of the skin. Of 42 workers who had used the
    wettable powder, 12% reported burning and 10% reported blisters. Of 45
    workers who had used the emulsion, 2% reporting itching. Irritation of
    the upper respiratory tract involving increased nasal secretions and
    sneezing was reported by 31% of the workers who had used the wettable
    powder and by 2% of those who has used the emulsion (Kolmodin-Hedman
    et al., 1982).

         Volunteers received applications of 0.05 ml of a field-strength
    preparation of technical-grade permethrin (94-96% active ingredient)
    in ethanol to an area of 4 cm2 on an ear lobe, a formulation (32-36%
    active ingredient) in water to 0.13 mg/cm2, or the solvent and
    surfactants; 0.05 ml of the vehicle was applied to the other lobe. No
    cutaneous sensation was elicited by the inert ingredients.
    Paraesthesia appeared after a latent period of about 30 min, peaked
    between 8 and 12 h, and disappeared after about 24 h. Further studies
    with a range of doses ahowed that the response was dose-related
    (Flannigan et al., 1985).

         One of 28 subjects with pediculosis pubis treated with a 1%
    permethrin rinse developed mild scrotal erythema and irritation 12 h
    after application (Kalter et al., 1987). A group of 435 patients, most
    of them children, were treated for pediculosis capitis: approximately
    half of the group were treated with a single, 10-min application of
    25-50 ml of a cream rinse containing permethrin (1%) and isopropanol
    (20%) after towel drying of washed hair, and the remainder were
    treated with a liquid product containing pyrethrins (0.3%), piperonyl
    butoxide (3%), petroleum distillate (1.2%), and benzyl alcohol (2.4%).
    Cutaneous side-effects including pruritus, mild transient skin
    burning, stinging sensations, skin tingling, erythema, and scalp rash,
    were reported by 7% of the patients in the first group and by 16% of
    those in the second (DiNapoli et al., 1988). Similar results and
    side-effects were reported by Brandenburg et al. (1986).

         An observational study was undertaken in the USA to evaluate the
    safety of a cream rinse containing 1% permethrin for treatment of head
    louse infestations. Thirty-seven local public health departments
    enrolled a total of 38 160 patients for 47 578 treatments with
    permethrin and other pediculicides between 1 September 1986 and 31
    January 1988. Follow-up information was collected 7-14 days after
    treatment at a return visit or by telephone contact. A total of 103
    adverse events were reported from 41 955 evaluable treatments. The
    rates of reported adverse events were 2.2 per 1000 treatments with
    permethrin, 3.4 per 1000 treatments with lindane, and 1.5 per 1000
    treatments with other over-the-counter preparations. No serious,
    unexpected adverse event was detected in the 18 950 patients treated
    with permethrin (Andrews et al., 1992).

         Of 10 patients with scabies treated with one application of 25 g
    (range, 21-32 g) of a cream containing 5% permethrin, followed by a
    thorough washing 8-20 h after treatment, six developed limited,
    mild-to-moderate eczema on the scabies-affected skin at one or more
    examinations (van der Rhee et al., 1989).

    Comments

         The metabolism of 14C-permethrin was studied in rats, lactating
    goats and cattle, and laying hens. Permethrin was rapidly absorbed,
    distributed, and excreted in these species after oral administration.
    The metabolism of the pyrethroid was extensive, yielding a vast number
    of polar degradates. Ester cleavage, hydroxylation, oxidation, and
    ultimately conjugation are the critical biological mechanisms of the
    metabolism of permethrin in the species studied. The metabolites that
    were common to all species were 4'-hydroxypermethrin, dichlorovinyl
    acid, and phenoxybenzyl alcohol. Dichlorovinyl acid and phenoxybenzoic
    acid have also been identified in human urine after dermal application
    of permethrin. 

         In rats, 96% of an administered dose was recovered in urine and
    faeces within 12 days, while the total radiolabelled residues in
    tissues accounted for 0.3-0.8% of the dose. Recovery in urine and
    faeces within 24 h accounted for about 40% and 25% of the dose of
     cis isomer and 65% and 10% of the dose of  trans isomer.
    respectively. Repeated exposure resulted in temporary accumulation in
    fat tissue, but the chemical dissipated rapidly once exposure had
    ceased. 

         In lactating goats and cows dosed orally with permethrin,
    recovery in urine and faeces accounted for at least 65% of the dose,
    and the total radiolabelled residues in liver and milk samples
    represented 0.2-0.5%. Permethrin was extensively metabolized and
    readily eliminated after oral administration to laying hens, > 90%
    of the administered dose being excreted, while the total radiolabel in
    egg and liver samples accounted for 0.1-0.2% of the dose. 

         The toxicity of permethrin is influenced by many factors
    including the  cis:trans isomer ratio, the carrier or vehicle, and
    the strain of animal used. The  cis isomer is considerably more toxic
    than the  trans isomer. The oral LD50 values in rats ranged from
    6000 mg/kg bw for the 20:80  cis:trans isomeric mixture to 220 mg/kg
    bw for the 80:20  cis:trans isomeric mixture. Undiluted
    technical-grade permethrin (25:75 to 40:60  cis:trans isomeric
    mixtures) has low acute toxicity after oral, dermal and inhalation
    exposure. It was mildly irritating to the eyes and slightly irritating
    to skin. It was not a skin sensitizer when tested by the Magnusson and
    Kligman method. 

         WHO (1999) has classified permethrin as 'moderately hazardous'.

         Studies in which rats, mice, rabbits, guinea-pigs, and dogs
    received repeated administrations by inhalation, orally, and dermally
    showed that the main effects of technical-grade permethrin are on
    clinical signs, especially tremor and hyperexcitability, body weight,
    and liver weight. In these short-term studies, the NOAEL or NOAEC
    values were 250 mg/m3 in a 13-week study in rats exposed by
    inhalation; 5 mg/kg bw per day in a 52-week study in which dogs
    received the compound in gelatin capsules orally; and 1000 mg/kg bw
    per day in a 21-day study in rabbits treated dermally.

         In two long-term studies in rats in different laboratories with
    different strains, permethrin was not carcinogenic, but the evidence
    for carcinogenicity in mice was conflicting. In two studies conducted
    in same strain in the same laboratory, permethrin increased the
    incidences of lung and liver tumours in one study but not in the
    other. The spontaneous background incidence of both these tumour types
    is known to be extremely variable. A third study, conducted in a
    different mouse strain, gave negative results. Thus, the weight of
    evidence supports the conclusion that permethrin has very weak
    oncogenic potential, and the probability that it has oncogenic
    potential in humans is remote. The NOAEL for long-term toxicity in
    rats was 100 ppm, equivalent to 5 mg/kg bw per day, on the basis of
    clinical signs and changes in body and organ weights and blood
    chemistry at 500 ppm. The NOAEL for long-term toxicity in mice was
    500 ppm, equivalent to 75 mg/kg bw per day, on the basis of changes in
    organ weights at 2000 ppm.

         No genotoxic activity was observed in an adequate battery of
    tests for DNA damage and mutagenicity  in vitro, but there was
    evidence that permethrin can induce chromosomal aberrations in
    mammalian cells  in vitro. No tests have been carried out in mammals
    for DNA damage, mutagenicity, or clastogenicity  in vivo. A test for
    dominant lethal effects in male mice showed no activity.

         In a multigeneration study of reproductive toxicity in rats, the
    NOAEL for systemic and reproductive toxicity was 180 mg/kg bw per day.
    In a second multigeneration study in rats, an NOAEL could not be
    identified for systemic toxicity, as effects were seen at 500 ppm,
    equivalent to 33 mg/kg bw per day, the lowest dose tested; the NOAEL
    for reproductive toxicity in the same study was 2500 ppm, equivalent
    to 170 mg/kg bw per day, the highest dose tested. 

         In a study of developmental toxicity in rabbits, the NOAEL for
    maternal effects was 600 mg/kg bw per day and that for developmental
    toxicity was 1200 mg/kg bw per day. In three studies of developmental
    toxicity in rats, the NOAEL for maternal toxicity was 83 mg/kg bw per
    day and the NOAEL for developmental toxicity was 225 mg/kg bw per day,
    the highest dose tested. In a study of developmental toxicity in mice,
    no NOAEL was identified for maternal toxicity, whereas the NOAEL for
    developmental effects was 400 mg/kg bw per day, the only dose tested.
    The Meeting concluded that technical-grade permethrin is not a
    reproductive or developmental toxin.

         The results of acute and 90-day studies of neurotoxicity in rats
    and of an acute study of delayed neurotoxicity in hens showed that
    technical-grade permethrin does not induce neuropathological changes.
    The NOAEL for neurotoxicity in a study in rats given a single dose was
    150 mg/kg bw, on the basis of clinical signs of neurotoxicity and
    significant changes in measurements in a functional observational
    battery of tests at 300 mg/kg bw. The NOAEL for neurotoxicity in a
    13-week study in rats was 15 mg/kg bw per day, on the basis of
    clinical signs of neurotoxicity and significant changes in
    measurements in the functional observational battery of tests at 90
    mg/kg bw per day.

         An ADI of 0-0.05 mg/kg bw was established for technical-grade
    permethrin with  cis:trans ratios of 25:75 to 40:60 on the basis of
    the NOAEL of 100 ppm, equivalent to 5 mg/kg bw per day, in the 2-year
    study in rats, which was based on clinical signs and changes in body
    and organ weights and blood chemistry at 500 ppm, and the NOAEL of 5
    mg/kg bw per day in a 1-year study in dogs based on reduced body
    weight at 100 mg/kg bw per day, and applying a safety factor of 100. 

         The Meeting concluded that establishment of an acute reference
    dose was not necessary because of the low acute toxicity of
    technical-grade permethrin.

    Toxicological evaluation

     Levels that cause no toxic effect (relevant for technical-grade 
     permethrin with cis:trans  ratios of 25:75 to 40:60) 

    Mouse:    500 ppm, equivalent to 75 mg/kg bw per day (2-year study of
              toxicity and carcinogenicity)

    Rat:      100 ppm, equivalent to 5 mg/kg bw per day (2-year study of
              toxicity and carcinogenicity)

              180 mg/kg bw per day (for reproductive toxicity, highest
              dose in a three-generation study of reproductive toxicity)

              225 mg/kg bw per day (for maternal and developmental
              toxicity, highest dose in a study of developmental toxicity)

              150 mg/kg bw (single dose in a study of neurotoxicity)

              15 mg/kg bw per day (13-week study of neurotoxicity)

    Rabbit:   400 mg/kg bw per day (maternal toxicity in a study of
              developmental toxicity)

              1200 mg/kg bw per day (developmental toxicity in a study of
              developmental toxicity)

    Dog:      5 mg/kg bw per day (1-year study of toxicity)

     Estimate of acceptable daily intake for humans 

         0-0.05 mg/kg bw (for technical-grade permethrin with  cis:trans 
         ratios of 25:75 to 40:60)

     Estimate of acute reference dose 

         Unnecessary

     Studies that would provide information useful for continued 
     evaluation of the compound 

    1.   Clarification of the findings of chromosomal aberrations  in 
          vitro and their potential significance  in vivo 

    2.   The Meeting was aware of other studies, in particular of acute
         toxicity, dermal and ocular irritation, sensitization, and
         developmental toxicity in rats that had been made available to
         regulatory entities by other sponsors. The continuing support of
         permethrin would benefit from the submission of these studies for
         review by the Joint Meeting. 


        Toxicological criteria relevant for estimating guidance values for dietary and non-dietary exposure to permethrin

     Absorption, distribution, excretion and metabolism in mammals 

    Rate and extent of absorption            Rapid and extensive (rat, lactating caprine and bovine, hen)
    Distribution                             Mainly to fat (rat, lactating caprine and bovine, hen)
    Potential for accumulation               Some accumulation in fat on repeated dosing, rat
    Rate and extent of excretion              cis-isomer: 40% in urine, 25% in faeces in 24 h in rat
                                              trans-isomer: 65% in urine, 10% in faeces in 24 h in rat
    Metabolism in animals                    Extensive; hydrolysis, hydroxylation, oxidation and conjugation 
                                             (rat, lactating caprine and bovine, hen)
    Toxicologically significant compounds    Parent compound
    (animals, plants and environment)

     Acute toxicity 

    Rat, LD50, oral                          225  (cis:trans ratio, 80:20); 6000  (cis:trans ratio,
                                             20:80) mg/kg bw
    Rat, LD50, dermal                        No data
    Rabbit, LD50, dermal                     2000 mg/kg bw  (cis:trans ratio, 55:45 or 40:60) (highest dose)
    Rat, LC50, inhalation                    > 23.5 mg/l, 4 h  (cis:trans ratio, 40:60)
    Dermal irritation                        Slightly irritating to rabbit skin
    Ocular irritation                        Mildly irritating to rabbit eyes
    Dermal sensitization                     No sensitizing potential in guinea-pigs

     Short-term toxicity 

    Target/critical effect                   Nervous system (rat); liver (mouse, rat, dog) 
    Lowest relevant oral NOAEL               5 mg/kg bw per day in dog  (cis:trans ratio, 32%:52%)
    Lowest relevant dermal NOAEL             1000 mg/kg bw per day in rabbit
    Lowest relevant inhalation NOAEL         250 mg/m3 in rat  (cis:trans ratio, 40:60)
    Target/critical effect                   Nervous system (rat)
                                             Liver (mouse, rat)
    Lowest relevant NOAEL                    Rat, 5 mg/kg bw per day; mouse, 75 mg/kg bw per day

     Long-term toxicity and carcinogenicity 

    Carcinogenicity                          Not carcinogenic to mouse or rat

    Genotoxicity                             No DNA damage or mutagenicity  in vitro; clastogenic 
                                              in vitro; not studied  in vivo in mammals

     Reproductive toxicity 

    Reproductive target/critical effect      None identified
    Lowest relevant reproductive NOAEL       180 mg/kg bw per day in rat
    Developmental target/critical effect     Rat, none identified; rabbit, fetotoxicity
    Lowest relevant developmental NOAEL      Rat, 225 mg/kg bw per day  (cis:trans ratio, 38%:58%); 
                                             rabbit, 1200 mg/kg bw per day  (cis:trans ratio, 40:60) 

    Neurotoxicity/Delayed neurotoxicity      NOAEL, 150 mg/kg bw, single dose, rats; 
                                             NOAEL, 15.5 mg/kg bw per day in a 90-day study, rats
                                             No acute delayed effect in hens (9100 mg/kg bw)

     Other toxicological studies 

    Medical data                             Paraesthesia

                                                                                                  
    Summary            Value                 Study                              Safety factor
                                                                                                  

    ADI                0-0.05 mg/kg bw       Rat, long-term toxicity,           100
                                             5 mg/kg bw per day
                                             Dog, 1 year, toxicity, 
                                             5 mg/kg bw per day

    Acute reference dose                     Unnecessary
                                                                                                  
    

    References

    Andrews, E.B., Joseph, M.C., Magenheim, M.J., Tilson, H.H., Doi, P.A.
         & Schultz, M.W. (1992)  Postmarketing surveillance study of
         permethrin creme rinse.  Am. J. Public Health, 82, 857-861.

    Angerer, S. & Ritter, A. (1997) Determination of metabolites of
         pyrethroids in human urine using solid-phase extraction and gas
         chromatography-mass spectrometry.  J. Chromatogr. B Biomed. 
          Sci. Appl., 695, 217-226. 

    Bartsch, H., Malaveille, C., Camus, A.M., Martel-Planche, G., Brun,
         G., Hautefeuille, A., Sabadie, N., Barbin, A., Kuroki, T.,
         Drevon, C., Piccoli, C. & Montesano, R. (1980) Validation and
         comparative studies on 180 chemicals with  S. typhimurium 
         strains and V79 Chinese hamster cells in the presence of various
         metabolizing systems.  Mutat. Res., 76, 1-50. 

    Barrueco, C., Herrera, A., Caballo, C. & de la Peña, E. (1992)
         Cytogenetic effects of permethrin in cultured human lymphocytes.
          Mutagenesis, 7, 433-437.

    Barrueco, C., Herrera, A., Caballo, C. & de la Peña, E. (1994)
         Induction of structural chromosome aberrations in human
         lymphocyte cultures and CHO cells by permethrin.  Teratog. 
          Carcinog. Mutag., 14, 31-38. 

    Becci, P.J. & Parent, R. (1980) Evaluation of the subchronic toxic
         effects of FMC 45801 when administered in the diet to Long Evans
         rats over a 90-day period. Unpublished report from Food and Drug
         Research Laboratories, Inc., Waverly Research Center, USA, Study
         No. 6363. Submitted to WHO by FMC Corporation, Princeton, New
         Jersey, USA.

    Becci, P.J., Gephart, L. & Parent, R.A. (1980) 90-day subchronic oral
         dosing study with FMC 45801 in beagle dogs. Unpublished report
         from Food and Drug Research Laboratories, Inc., Waverly Research
         Center, USA, Study No. 6338. Submitted to WHO by FMC Corporation,
         Princeton, New Jersey, USA.

    Benner, J. (1997)  Permethrin: addendum to MRID numbers 42410001,
         43505201, 43962801 and 44196101 submitted in response to EPA CBRS
         review of MRID 43962801, goat metabolism -- oral dosing. 
         Unpublished report from Zeneca Agrochemicals, Bracknell, England,
         Project No. HRC/ISN 248/920216sup2. Submitted to WHO by FMC
         Corporation, Princeton, New Jersey, USA. 

    Benner, J.P., Hamlet, J.M. & Skidmore, M.W. (1996)  Addendum to MRID
         Nos. 42410001, 43505201 and 43962801, Permethrin: Further
         investigation of residues in liver following oral administration
         to the goat and radiovalidation of enforcement methods for
         analysis of animal tissues. Unpublished report from Zeneca
         Agrochemicals (Zeneca Ltd), Bracknell, England, Report No. RJ
         2135B.  Submitted to WHO by FMC Corporation, Princeton, New
         Jersey, USA. 

    Billups, L.H. (1978a) Twenty-four month toxicity/carcinogenicity study
         of compound FMC 33297 in rats. Histopathologic evaluation of
         step-sectioned lungs from male rats. Unpublished report from
         Environmental Pathology Services, Rockville, Maryland, USA.,
         Study No. 78-6-0049. Submitted to WHO by FMC Corporation,
         Princeton, New Jersey, USA and by Mitchell Cotts Chemicals Ltd,
         Mirfield, England. 

    Billups, L.H. (1978b) Histopathologic evaluation of a twenty-four
         month toxicity/carcinogenicity study of compound FMC 33297 in
         rats. Unpublished report from Environmental Pathology Services,
         Rockville, Maryland, USA., Study No. 77-11-0007. Submitted to WHO
         by FMC Corporation, Princeton, New Jersey, USA and by Mitchell
         Cotts Chemicals Ltd, Mirfield, England. 

    Brandenburg, K., Deinard, A.S., DiNapoli, J., Englander, S.J.,
         Orthoefer, J. & Wagner, D. (1986)  1% permethrin cream rinse vs
         1% lindane shampoo in treating pediculosis capitis.   Am. J. 
          Dis. Child., 140, 894-896.

    Bratt, H., Mills, I.H. & Slade, M. (1977) Permethrin: Tissue retention
         in rats. Unpublished report from Imperial Chemical Industries
         Ltd, Alderley Park, England, Report No. ZO671. Submitted to WHO
         by FMC Corporation, Princeton, New Jersey, USA. 

    Braun, W.G. & Killeen, J.C., Jr (1975a) Acute oral toxicity studies in
         rats with FMC 33297. Unpublished report from Bio/dynamics Inc.,
         East Millstone, New Jersey, USA, Project Nos. 2702-75, 2703-75,
         2704-75 and 2705-75. Submitted to WHO by FMC Corporation,
         Princeton, New Jersey, USA.

    Braun, W.G. & Killeen, J.C., Jr (1975b) Acute dermal toxicity in
         rabbits. Compound No. FMC 33297. Unpublished report from
         Bio/dynamics Inc., East Millstone, New Jersey, USA, Project No.
         2908-75. Submitted to WHO by FMC Corporation, Princeton, New
         Jersey, USA.

    Braun, W.G. & Killeen, J.C., Jr (1975c) Rabbit primary dermal
         irritation. Compound No. FMC 33297. Unpublished report prepared
         by Bio/dynamics Inc. East Millstone, New Jersey, USA, Project No.
         2909-75. Submitted to WHO by FMC Corporation, Princeton, New
         Jersey, USA.

    Braun, W.G. & Killeen, J.C., Jr (1975d) Rabbit eye irritation.
         Compound No. FMC  Unpublished report from Bio/dynamics Inc., East
         Millstone, New Jersey, USA, Project No. 2909-75. Submitted to WHO
         by FMC Corporation, Princeton, New Jersey, USA. 

    Braun, W.G. & Killeen, J.C., Jr (1976) Acute inhalation. Compound No.
         FMC 33297. Unpublished report from Bio/dynamics Inc., East
         Millstone, New Jersey, USA, Project No. 2911-75. Submitted to WHO
         by FMC Corporation, Princeton, New Jersey, USA. 

    Braun, W.G. & Rinehart, W.E. (1977) Twenty-four month oral
         toxicity/carcinogenicity study of FMC 33297 technical in rats.
         Unpublished report from Bio/dynamics, Inc., East Millstone, New
         Jersey, USA, Project No. 74R-1022. Submitted to WHO by FMC
         Corporation, Middleport, New York, USA and by Mitchell Cotts
         Chemicals Ltd, Mirfield, England.

    Brusick, D.J. & Weir, R.J. (1976) Mutagenicity evaluation of FMC 33297
         (catalyst: titanium isopropylate), C8093-25, MR 51310.
         Unpublished report from Litton Bionetics, Inc. Kensington,
         Maryland, USA, Project No. 2683. Submitted to WHO by FMC
         Corporation, Middleport, New York, USA.

    Busey, W.M. (1978) Two-year chronic rat toxicity study FMC-33297.
         Unpublished report from Experimental Pathology Laboratories Inc.,
         Rockville, Maryland, USA. FMC Project No. NCT 549.32. Revised
         pathology report. Submitted to WHO by FMC Corporation,
         Middleport, New York, USA.

    Butterworth, S.T.G. & Hend, R.W. (1976) Toxicity studies on the
         insecticide WL 43479: A five week feeding study in rats.
         Unpublished report from Shell Research Ltd, Sittingbourne,
         England, Report No. TLGR.0056.76. Submitted to WHO by Mitchell
         Cotts Chemicals, Ltd, Mirfield, England.

    Cameron, B.D. & Partridge, S.(1989) The metabolism of
         [14C]-permethrin in the rat. Unpublished report from Inveresk
         Research International, Musselburgh, Scotland, Report No. 4860.
         Submitted to WHO by FMC Corporation, Princeton, New Jersey, USA. 

    Chesher, B.C. & Malone, J.C. (1974) Guinea pig sensitisation study
         with 21Z73 using the maximization test method. Unpublished report
         from Wellcome Research Laboratories, Berkhamsted, England, Lab.
         Ref. No. T.L.13-74. Submitted to WHO by FMC Corporation,
         Middleport, New York, USA. 

    Chesher, B.C., Malone, J.C. & Parker, M.J. (1975) 21Z73, Dominant
         lethal study in male mice. Unpublished report from Wellcome
         Research Laboratories, Berkhamsted. England, Lab. Ref. No. T.L.
         37-75. Submitted to WHO by FMC Corporation, Middleport, New York,
         USA. 

    Clapp, M.J.L., Banham, P.B., Glaister, J.R. & Moyes, A. (1977a) PP557:
         28 day feeding study in mice. Unpublished report from Imperial
         Chemical Industries, Ltd, Alderley Edge, England, Report No.
         CTL/P/356. Submitted to WHO by FMC Corporation, Middleport, New
         York, USA.

    Clapp, M.J.L., Banham, P.B., Chart, I.S., Glaister, J.R., Gore, C.W. &
         Moyes, A. (1977b) PP557: 28 day feeding study in rats.
         Unpublished report from Imperial Chemical Industries, Ltd,
         Alderley Edge, England, Report No. CTL/P/355. Submitted to WHO by
         FMC Corporation, Middleport, New York, USA. 

    Clive, D. (1977) Mutagenicity of BW 21Z73 in L5178Y/TK+/- mouse
         lymphoma cells with and without exogenous metabolic activation.
         Unpublished report from Burroughs Wellcome Co., Research Triangle
         Park, North Carolina, USA, Doc. No. TTEP/77/0001. Submitted to
         WHO by FMC Corporation, Middleport, New York, USA. 

    Cridland, J.S. & Weatherley, B.C. (1977a) Urinary excretion in man of
         3-(2,2-dichlorovinyl)2,2-dimethylcyclopropane carboxylic acid
         after oral ingestion of permethrin (NRDC 143) -- A first report.
         Unpublished report from The Wellcome Foundation, Ltd, Beckenham,
         England, Report No. BDPE-77-1. Submitted to WHO by The Wellcome
         Foundation, Ltd, Beckenham, England.

    Cridland, J.S. & Weatherley, B.C. (1977b) An estimate of permethrin
         (NRDC 143; OMS1821) absorbed by people employed in a field trial
         of the insecticide. Unpublished report from The Wellcome
         Foundation, Ltd, Beckenham, England, Report No. BDPE-771.
         Submitted to WHO by The Wellcome Foundation, Ltd, Beckenham,
         England.

    Cummins, H.A. & Gardner, J.R. (1984a) Permethrin: Acute oral toxicity
         in the rat. Unpublished report from Life Science Research, Eye,
         England, Report No. 84/MCC001/588. Submitted to WHO by Mitchell
         Cotts Chemicals Ltd, Mirfield, England.

    Cummins, H.A. & Gardner, J.R. (1984b) High cis permethrin: (isomer
         ratio: 80:20) acute oral toxicity in the rat. Unpublished report
         from Life Science Research, Eye, England, Report No.
         84/MCC002/587. Submitted to WHO by Mitchell Cotts Chemicals Ltd,
         Mirfield, England.

    DiNapoli, J.B., Austin, R.D., Englander, S.J., Gomez, M.P. & Barrett,
         J.F. (1988) Eradication of head lice with a single treatment.
          Am. J. Public Health, 78, 978-980.

    Dyck, P.J. (1978) A pathologic and morphometric study of the nervous
         system of rats fed compound FMC 33297 (permethrin). Unpublished
         report from Peripheral Nerve Laboratory, Mayo Clinic and Mayo
         Foundation, New York, New York, USA, Report No. not identified.
         Submitted to WHO by Mitchell Cotts Chemicals, Mirfield, England.

    Flannigan, S.A., Tucker, S.B., Key, M.M., Ross, C.E., Fairchild, E.J.,
         II, Grimes, B.A. & Harrist, R.B. (1985) Synthetic pyrethroid
         insecticides: A dermatological evaluation.  Br. J. Ind. Med., 
         42, 363-372.

    Flodström, S., Warngard, L., Ljungquist, S. & Ahlborg, U.G. (1988)
         Inhibition of metabolic cooperation  in vitro and enhancement of
         enzyme altered foci incidence in rat liver by the pyrethroid
         insecticide fenvalerate.  Arch.Toxicol., 61, 218-223. 

    Freeman, C. (1993a) Permethrin technical twenty-eight day
         neurotoxicity range-finding study in rats. Unpublished report
         from FMC Corporation, Princeton, New Jersey, USA, Study No.
         A92-3645. Submitted to WHO by FMC Corporation, Princeton, New
         Jersey, USA.

    Freeman, C. (1993b) Permethrin technical subchronic neurotoxicity
         screen in rats. Unpublished report from FMC Corporation,
         Princeton, New Jersey, USA, Study No. A92-3647. Submitted to WHO
         by FMC Corporation, Princeton, New Jersey, USA

    Freeman, C. (1993c) Permethrin technical acute neurotoxicity screen in
         rats Unpublished report prepared by FMC Corporation, Princeton,
         New Jersey, USA, Study No. A923646. Submitted to WHO by FMC
         Corporation, Princeton, New Jersey, USA

    Gammon, D.W., Lawrence, L.J. & Casida, J.E. (1982) Pyrethroid
         toxicology: Protective effects of diazepam and phenobarbital in
         the mouse and the cockroach.  Toxicol. Appl. Pharmacol., 66,
         290-296.

    Gaughan, L.C., Ackerman, M.E., Unai, T. & Casida, J.E. (1977)
         Permethrin metabolism in rats.  J. Agric. Food Chem., 25, 9-17.

    Gaughan, L.C., Ackerman, M.E., Unai, T. & Casida, J.E. (1978)
         Distribution and metabolism of  trans- and  cis-permethrin in
         lactating Jersey cows.  J. Agric. Food Chem., 26, 613-618.

    Ghiasuddin, S.M. & Soderlund, D.M. (1984) Hydrolysis of pyrethroid
         insecticides by soluble mouse brain esterases.  Toxicol. Appl. 
          Pharmacol., 74, 390-396.

    Go, V., Garey, J., Wolff, M.S. & Pogo, B.G. (1999) Estrogenic
         potential of certain pyrethroid compounds in the MCF-7 human
         breast carcinoma cell line.  Environ. Health Perspectives, 107,
         173-177.

    Gupta, R.K., Mehr, Z.A., Korte, D.W. & Rutledge, L.C. (1990) Mutagenic
         potential of permethrin in the  Drosophila melanogaster 
         (Diptera: Drosophilidae) sex-linked recessive lethal test.
          J. Econ. Entomol., 83, 721-724.

    Hart, D., Banham, P.B., Glaister, J.R., Pratt, I. & Weight, T.M.
         (1977a) PP557: Liver hypertrophy study in rats -- Dietary
         administration over 26 weeks. Unpublished report from Imperial
         Chemical Industries, Ltd, Alderley Edge, England, Report No.
         CTL/P/360. Submitted to WHO by FMC Corporation, Princeton, New
         Jersey, USA. 

    Hart, D., Banham, P.B., Glaister, J.R., Pratt, I. & Weight, T.M.
         (1977b) PP557: Whole life feeding study in mice. Unpublished
         report from Imperial Chemical Industries, Ltd, Alderley Park,
         England, Report No. CTL/P/359. Submitted to WHO by FMC
         Corporation, Princeton, New Jersey, USA. 

    Hawkins, D.R., Kirkpatrick, D., Shaw, D. & Latter (1992a) The
         metabolism of 14C permethrin in the hen. Unpublished from
         Huntingdon Research Centre Ltd, Cambridgeshire, England, Project
         No. HRC/ISN 272/920435. Submitted to WHO by FMC Corporation,
         Princeton, New Jersey, USA. 

    Hawkins, D.R., Kirkpatrick, & Shaw, D. (1992b) The metabolism of 14C
         permethrin in the goat. Unpublished report from Huntingdon
         Research Centre Ltd, Cambridgeshire, England, Project No. HRC/ISN
         248/920216. Submitted to WHO by FMC Corporation, Princeton, New
         Jersey, USA. 

    Herrera, A. & Laborda, E. (1988) Mutagenic activity in synthetic
         pyrethroids in  Salmonella typhimurium. Mutagenesis, 3, 509-514.

    Herrera, A., Barrueco, C., Caballo, C. & de la Peña E. (1992) Effect
         of permethrin on the induction of sister chromatid exchanges and
         micronuclei in cultured human lymphocytes.  Environ. Mol. 
          Mutag., 20, 218-222. 

    Hodge, M.C., Banham, P.B., Glaister, J.R., Richards, D., Taylor, K. &
         Weight, T.M. (1977) PP557: 3-Generation reproduction study in
         rats. Unpublished report from Imperial Chemical Idustries Ltd,
         Alderley Edge, England, Report No. CTL/P/361. Submitted to WHO by
         FMC Corporation, Princeton, New Jersey, USA. 

    Hogan, G.K. & Rinehart, W.E. (1977) Twenty-four month oral
         carcinogenicity study with FMC 33297 technical in mice.
         Unpublished report from Bio/dynamics, Inc., East Millstone,New
         Jersey, USA, Project No. 74-1100. Submitted to WHO by FMC
         Corporation, Princeton, New Jersey, USA.

    Ishmael, J. & Litchfield, M.H. (1988) Chronic toxicity and
         carcinogenic evaluation of permethrin in rats and mice.
          Fundam. Appl. Toxicol., 11, 308-322. 

    James, D.A. (1974a) Preliminary foetal toxicity study in the mouse
         given 21Z73 (NRDC 143) orally. Unpublished report from The
         Wellcome Foundation Ltd, Beckenham, England, Doc. No. BPAT 74/12.
         Submitted to WHO by FMC Corporation, Princeton, New Jersey, USA. 

    James, D.A. (1974b) Preliminary foetal toxicity study in the rat given
         21Z73 (NRDC 143) orally. Unpublished report from The Wellcome
         Foundation Ltd, Beckenham, England, Doc. No. BPAT 74/10.
         Submitted to WHO by FMC Corporation, Princeton, New Jersey, USA

    James, D.A. (1974c) Preliminary foetal toxicity study in the rabbit
         given 21Z73 (NRDC 143) orally. Unpublished report from The
         Wellcome Foundation Ltd, Beckenham, England, Doc. No. BPAT 74/19.
         Submitted to WHO by FMC Corporation, Princeton, New Jersey, USA. 

    James, D.A. (1979) A multigeneration reproduction study of 21Z73
         (permethrin) in the rat. Unpublished report from The Wellcome
         Foundation Ltd, Beckenham, England, Doc. No. BPAT 79/3. Submitted
         by FMC Corporation, Princeton, New Jersey, USA. 

    Kalinowski, A.E., Banham, P,B., Chart, I.S., Cook, S.K., Gore, C.W.,
         Moreland, S.F. & Woollen, B.H. (1982) Permethrin: One year oral
         dosing study in dogs. Unpublished report from Imperial Chemical
         Industries Ltd, Alderley Park, England, Report No. CTL/P/647.
         Submitted to WHO by FMC Corporation, Princeton, New Jersey, USA.

    Kalter, D.C., Sperber, J., Rosen, T. & Matarasso, S. (1987) Treatment
         of pediculosis pubis. Clinical comparison of efficacy and
         tolerance of 1% lindane shampoo vs 1% permethrin cream rinse.
          Arch. Dermatol., 123, 1315-1319.

    Killeen, J.C. & Rapp, W.R. (1974) A four week feeding study of FMC
         33297 in rats. Unpublished report from Bio/dynamics Inc., East
         Millstone, New Jersey, USA, Project No. 74S-1024. Submitted to
         WHO by FMC Corporation, Princeton, New Jersey, USA. 

    Killeen, J.C. & Rapp, W.R. (1975a) A thirty day pilot feeding study of
         FMC 33297 in rats. Unpublished report from Bio/dynamics Inc.,
         East Millstone, New Jersey, USA, Project No. 74-1098. Submitted
         to WHO by FMC Corporation, Princeton, New Jersey, USA.

    Killeen, J.C., Jr & Rapp, W.R. (1975b) A fourteen-day dose
         range-finding study of FMC 33297 in beagle dogs. Unpublished
         report from Bio/dynamics Inc., East Millstone, New Jersey, USA,
         Project No. 75-1202B. Submitted to WHO by FMC Corporation,
         Princeton, New Jersey, USA. 

    Killeen, J.C. & Rapp, W.R. (1976) A three month oral toxicity study of
         FMC 33297 in beagle dogs. Unpublished report from Bio/dynamics
         Inc., East Millstone, New Jersey, USA, Project No. 75-1188B.
         Submitted to WHO by FMC Corporation, Princeton, New Jersey, USA
         and by Mitchell Cotts Chemicals Ltd, Mirfield, England.

    Kolmodin-Hedman, B., Swensson, Å. & Åkerbolm, N. (1982) Occupational
         exposure to some synthetic pyrethroids (permethrin and
         fenvalerate).  Arch. Toxicol., 50, 27-33. 

    Lawrence, L.J. & Casida, J.E. (1982) Pyrethroid toxicology: Mouse
         intracerebral structure-activity relationships.  Pestic. 
          Biochem. Physiol., 18, 9-14.

    Leng, G., Kuhn, K.H. & Idel, H. (1997) Biological monitoring of
         pyrethroids in blood and pyrethroid metabolites in urine:
         applications and limitations.  Sci. Total Environ., 199,
         173-181.

    Le Quesne, P.M., Maxwell, I.C. & Butterworth, S.T.G. (1980) Transient
         facial sensory symptoms following exposure to synthetic
         pyrethroids: A clinical and electrophysiological assessment.
          Neurophysiology, 2, 1-11.

    Litchfield, M.H. (1985) Toxicity in mammals. In: Leahey, J.P., ed.,
          The Pyrethroid Insecticides, London: Taylor & Francis, pp.
         99-150.

    Llewellyn, D.M., Brazier, A., Brown, R., Cocker, J., Evans, M.L.,
         Hampton, J., Nutley, B.P. & White, J. (1996) Occupational
         exposure to permethrin during its use as a public hygiene
         insecticide.  Ann. Occup. Hyg., 40, 499-509. 

    Marowitz, L.A. (1974a) Comparative acute oral toxicity in mice with
         FMC 33297, FMC 37400, FMC 35171 and FMC 30960. Unpublished report
         from Bio/dynamics Inc., East Millstone, New Jersey, USA, Project
         Nos. 2184-74, 2185-74, 2222-74 and 2238-74. Submitted to WHO by
         FMC Corporation, Princeton, New Jersey, USA

    Marowitz, L.A. (1974b) Acute oral toxicity in rats. Compound No. FMC
         33297. Unpublished report from Bio/dynamics Inc., East Millstone,
         New Jersey, USA, Project No. 2186-74. Submitted to WHO by FMC
         corporation, Princeton, New Jersey, USA. 

    McGregor, D.B. & Wickramaratne, G.A. (1976) Teratogenicity study in
         rats of ICI-PP 557. Unpublished report from Inveresk Research
         International, Edinburgh, Scotland, Project No. 404898. Submitted
         to FMC Corporation, Princeton, New Jersey, USA

    Mehr, Z.A., Justus, J.D., Gupta, R.K. & Korte, D.W., Jr (1988)
         Mutagenic potential of permethrin in the  Drosophila 
          melanogaster sex-linked recessive lethal test. Unpublished
         report from Letterman Army Institute of Research, Presidio of San
         Francisco, California, USA, Report No. 302. Submitted to WHO by
         FMC Corporation, Princeton, New Jersey, USA 

    Metker, L., Angerhofer, R.A., Pope, C.R. & Swentzel, K.C. (1977)
         Toxicological evaluation of 3-(phenoxyphenyl)methyl
         (+)- cis, trans-3,2-(2,2-dichloroethenyl)-2,2dimethylcyclopropa
         necarboxylate (permethrin). Unpublished report from the US Army
         Environmental Hygiene Agency, Aberdeen Proving Ground, Maryland,
         USA, Study No. 51-0831-78.

    Milner, C.K. & Butterworth, S.T.G. (1977) Toxicity of pyrethroid
         insecticides: Investigation of the neurotoxic potential of WL
         43479 to adult hens. Unpublished report from Shell Toxicology
         Laboratory, Sittingbourne, England, Report No. TLGR.OO69.77.
         Submitted to WHO by Mitchell Cotts Chemicals, Mirfield, England.

    Moriya, M., Ohta, T., Watanabe, K., Miyazawa, T., Kato, K. & Shirasu,
         Y. (1983) Further mutagenicity studies on pesticides in bacterial
         reversion assay systems.  Mutat. Res., 116, 185-216.

    Nassif, M., Brooke, J.P., Hutchinson, D.B.A., Kamel, O.M. & Savage,
         E.A. (1980) Studies with permethrin against bodylice in Egypt.
          Pestic. Sci., 11, 679-684.

    Pednekar, M.D., Gandhi, S.R. & Netrawali, M.S. (1987) Evaluation of
         mutagenic activities of endosulfan, phosalone, malathion, and
         permethrin, before and after metabolic activation, in the Ames
          Salmonella test. Bull.  Environ. Contam.Toxicol., 38, 925-933.

    Pluijmen, M., Drevon, C., Montesano, R., Malaveille, C., Hautefeuille
         & Bartsch, H. (1984) Lack of mutagenicity of synthetic
         pyrethroids in  Salmonella typhimurium strains and in V79
         Chinese hamster cells.  Mutat. Res., 137, 7-15.

    Rapp, W.R. (1978) Twenty-four month oral toxicity/oncogenicity study
         of FMC 33297 in mice. Histopathology report. Unpublished report
         from McConnell & Rapp, Flemington, New Jersey, USA, FMC
         Identification No. ACT 605.35. Submitted to WHO by FMC
         Corporation, Princeton, New Jersey, USA.

    Reynolds, J., Piercy, D.W.T., Clampitt, R.B., James, J.A., Thompson,
         P.M., Farebrother, D.A. & Dayan, A.D. (1978) Permethrin oral
         administration to dogs for 6 months. Unpublished report from The
         Wellcome Foundation Ltd, Berkhamsted Hill, England, Doc. No. HEFG
         78-14. Submitted to WHO by FMC Corporation, Princeton, New
         Jersey, USA. 

    van der Rhee, H.J., Farquhar, J.A. & Vermeulen, N.P.E. (1989) Efficacy
         and transdermal absorption of permethrin in scabies patients.
          Acta Dermatol. Venereol., 69, 170-182. 

    Richards, D., Banham, P.B., Chart, I.S., Glaister, J.R., Gore, C.W.,
         Pratt, I., Taylor, K. & Weight, T.M. (1977) PP557: Two year
         feeding study in rats. Unpublished report from Imperial Chemical
         Industries, Ltd, Alderley Edge, England, Report No. CTL/P/357.
         Submitted to WHO by FMC Corporation, Princeton, New Jersey, USA. 

    Richards, D., Banham, P.B., Kilmartin, M. & Weight, T.M. (1980)
         Permethrin: teratogenicity study in the rabbit. Unpublished
         report from Imperial Chemical Industries Ltd, Alderley Edge,
         England, Report No. CTL/P/523. Submitted to WHO by FMC
         Corporation, Princeton, New Jersey, USA and by Mitchell Cotts
         Chemicals Ltd, Mirfield, England. 

    Ross, D.B., Roberts, N.L., Cameron, M.McD., Prentice, D.E. & Cooke, L.
         (1977) Examination of permethrin for neurotoxicity in the
         domestic hen. Unpublished report from Huntingdon Research Centre,
         Huntingdon, England, Doc. No. ICI/157-NT/77468. Submitted to WHO
         by FMC Corporation, Princeton, New Jersey, USA.

    Sauer, C. (1980a) Acute oral toxicity in rats. Test article: FMC 33297
         55/45. Unpublished report from Cosmopolitan Safety Evaluation
         Laboratory, Inc., Somerville, New Jersey, USA, Study No. 0245A.
         submitted to WHO by FMC Corporation, Princeton, New Jersey, USA. 

    Sauer, C. (1980b) Acute dermal toxicity study -- Rabbit LD50 test
         article: FMC 33297 55/45. Unpublished report from Cosmopolitan
         Safety Evaluation Laboratory, Inc., Somerville, New Jersey, USA,
         Study No. 0245B. Submitted to WHO by FMC Corporation, Princeton,
         New Jersey, USA.

    Sauer, C. (1980c) Primary dermal irritation study in rabbits. Test
         article: FMC 33297 55/45. Unpublished report from Cosmopolitan
         Safety Evaluation Laboratory Inc., Somerville, New Jersey, USA,
         Study No. 0245D. Submitted to WHO by FMC Corporation, Princeton,
         New Jersey, USA. 

    Sauer, C. (1980d) Primary eye irritation study in rabbits. Test
         article: FMC 33297 55/45.  Unpublished report from Cosmopolitan
         Safety Evaluation Laboratory, Inc., Somerville, New Jersey, USA,
         Study No. 0245C. Submitted to WHO by FMC Corporation, Princeton,
         New Jersey, USA. 

    Schroeder, R.E. & Rinehart, W.E. (1977) A three generation
         reproduction study of FMC 33297 in rats. Unpublished report from
         Bio/dynamics Inc., East Millstone, New Jersey, USA. Submitted to
         WHO by Mitchell Cotts Chemicals Ltd, Mirfield, England.

    Shah, P.V., Monroe, R.J. & Guthrie, F.E. (1981) Comparative rates of
         dermal penetration of insecticides in mice.  Toxicol. Appl. 
          Pharmacol., 59, 414-423.

    Simmon, V.F. (1976) In vitro microbiological mutagenicity study of an
         FMC Corporation compound. Unpublished report from Stanford
         Research Institute, Menlo Park, California, USA, Project No.
         LSC-4768. Submitted to WHO by FMC Corporation, Princeton, New
         Jersey, USA.

    Simmon, V.F., Riccio, E.S., Robinson, D.E. & Mitchell, A.D. (1979) In
         vitro microbiological mutagenicity and unscheduled DNA synthesis
         studies of fifteen pesticides. Unpublished report from SRI
         International, Menlo Park, California, USA, Project No. LSU-3493.
         Submitted to WHO by FMC Corporation, Princeton, New Jersey, USA.

    Skidmore, M. (1996) Permethrin: Supplemental information on MRID Nos.
         42410001 and 43505201 submitted in response to EPA CBRS review
         dated 5 September 1995. Goat metabolism study -- oral dosing.
         Unpublished report from Zeneca Ag Products, Bracknell, England,
         Project No. HRC/ISN 248/920216sup1. Submitted to WHO by FMC
         Corporation, Princeton, New Jersey, USA. 

    Soderlund, D.M. & Casida, J.E. (1977) Effects of pyrethroid structure
         on rates of hydrolysis and oxidation by mouse liver microsomal
         enzymes.  Pest. Biochem. Physiol., 7, 391-401.

    Staatz, C.G., Bloom, A.S. & Lech, J.J. (1982) A pharmacological study
         of pyrethroid neurotoxicity in mice.  Pest. Biochem. Physiol., 
         17, 287-292.

    Surrallès, J., Xamena, N., Creus, A., Catalan, J., Norppa, H. &
         Marcos, R. (1995a) Induction of micronuclei by five pyrethroid
         insecticides in whole-blood and isolated human lymphocyte
         cultures.  Mutat Res., 341, 169-184. 

    Surrallès, J., Xamena, N., Creus, A. & Marcos, R. (1995b) The
         suitability of the micronucleus assay in human lymphocytes as a
         new biomarker of excision repair.  Mutat Res., 342, 43-59. 

    Tierney, W.J. & Rinehart, W.E. (1979) A twenty-four month oral
         carcinogencicity study of FMC 33297 in mice. Unpublished report
         from Bio/dynamics, East Millstone, New Jersey, USA, Project No.
         76-1695. Submitted to WHO by FMC Corporation, Princeton, New
         Jersey, USA. 

    United States Army (1978) Subchronic inhalation toxicity of
         3-(phenoxyphenyl) methyl
         (+) cis, trans-3-(2,2-dichloroethenyl)-2,2-dimethylcyclopropane
         carboxylate (permethrin). Unpublished report from US Army
         Environmental Hygiene Agency, Aberdeen Proving Ground, Maryland,
         USA, Study No. 75-51-0026-80. Submitted to WHO by FMC
         Corporation, Princeton, New Jersey, USA and by Mitchell Cotts
         Chemicals Ltd, Mirfield, England. 

    United States Army (1986) Neurotoxicity in rats following subchronic
         ingestion of permethrin-treated food. Unpublished report from US
         Army Environmental Hygiene Agency, Aberdeen Proving Ground, Study
         No. 75-51-0351-87. Submitted to WHO by FMC Corporation,
         Princeton, New Jersey, USA.

    Wallwork, L.M., Poll, G.S. & Malone, J.C. (1975) Effect on the rat
         oral toxicity of changes in the  cis/ trans ratio with 21Z73
         (NRDC 143) series. Unpublished report from The Wellcome
         Foundation, Berkhamsted, England, Doc. No. HEFG 75-5. Submitted
         to WHO by FMC Corporation, Princeton, New Jersey, USA. 

    WHO (1999)  Recommended Classification of Pesticides by Hazard and 
          Guidelines to Classification 1998-1999 (WHO/PCS/98.21/Rev. 1),
         Geneva, International Programme on Chemical Safety.

    Williams, L.M., Thomson, P.M., Clampitt, R.B. & Malone, J.C. (1976b)
         Rat oral 90 day toxicity study. Unpublished report from The
         Wellcome Foundation, Berkhamsted and Beckenham, England, Doc. No.
         HEFG 76-1. Submitted to WHO by FMC Corporation, Princeton, New
         Jersey, USA.

    Williams, L.M., Clampitt, R.D., James, J.A., Reynolds, J. & Woods,
         N.C. (1976a) Rat oral 90 day toxicity study. Unpublished report
         from TheWellcome Foundation, Berkhamsted, England, Doc. No. HEFG
         76-3. Submitted to WHO by FMC Corporation, Princeton, New Jersey,
         USA. 

    Woodruff, R.C., Phillips, J.P. & Irwin, D. (1983) Pesticide-induced
         complete and partial chromosome loss in screens with
         repair-defective females of  Drosophila melanogaster. 
          Environ. Mutag., 5, 835-846.
    


    See Also:
       Toxicological Abbreviations
       Permethrin (EHC 94, 1990)
       Permethrin (HSG 33, 1989)
       Permethrin (ICSC)
       PERMETHRIN (JECFA Evaluation)
       Permethrin (Pesticide residues in food: 1979 evaluations)
       Permethrin (Pesticide residues in food: 1980 evaluations)
       Permethrin (Pesticide residues in food: 1981 evaluations)
       Permethrin (Pesticide residues in food: 1982 evaluations)
       Permethrin (Pesticide residues in food: 1983 evaluations)
       Permethrin (Pesticide residues in food: 1984 evaluations)
       Permethrin (Pesticide residues in food: 1987 evaluations Part II Toxicology)
       Permethrin (UKPID)
       Permethrin (IARC Summary & Evaluation, Volume 53, 1991)