IPCS INCHEM Home



    PESTICIDE RESIDUES IN FOOD - 1979


    Sponsored jointly by FAO and WHO






    EVALUATIONS 1979





    Joint meeting of the
    FAO Panel of Experts on Pesticide Residues
    in Food and the Environment
    and the
    WHO Expert Group on Pesticide Residues
    Geneva, 3-12 December 1979



    PERMETHRIN

    IDENTITY

    Common Name:      Permethrin has been approved by ANSI and BSI and
                      proposed to ISO.

    Chemical Names:   3-phenoxybenzyl (±) cis, trans 3-(2,2-dichlorovinyl)
                      2,2-dimethylcyclopropane-1-carboxylate (IUPAC)
                      4-(phenoxyphenyl) methyl (±) cis, trans
                      3-(2,2-dichloro-ethenyl-2,2-
                      dimethylcyclopropanecarboxylate (CAS)

    Synonyms:         Code numbers: PP 557, R86557, NIA 33297, FMC 33297,     
                      NRDC 143, S 3151, WL 43479, SBP-1513

    Trade names:      ADION, AMBUSH, ECTIBAN, KAFIL, MATADAN, PERTHRINE,
                      POUNCE, TALCORD

    Structural Formula:

    CHEMICAL STRUCTURE 1

    Molecular Formula:  C21H20Cl2O3

    Molecular weight:   391.30

    Composition of Technical Product

    Technical grade permethrin contains four stereoisomers deriving from
    chirality of the cyclopropane ring at the C-1 and C-3 positions.  The
    nomenclature standards mentioned above (ISO, ANSI, BSI) do not
    prescribe the ratio of isomers in "permethrin".  Glenn and Sharpf
    (1977) have shown that the ratio of cis to trans isomers varies with
    the method of synthesis.  It is desirable to produce different
    cis/trans ratios for certain insecticidal applications (e.g., lower
    cis/trans ratios for animal health products).  It is therefore
    important to note the isomer ratios in products used in the supervised
    trials and metabolism studies.  Cis permethrin is more insecticidally
    potent than the trans isomer.  The isomers also differ significantly
    in rates of photolysis and hydrolysis, in biotransformations and in
    bioaccumulation.  It should be noted therefore that the conclusions
    and recommendations of this meeting are based entirely on agricultural
    and horticultural uses of technical grade permethrin containing
    cis/trans isomers in approximately a 40/60 ratio.  Furthermore, in
    this monograph the term permethrin relates only to this mixture.

    The our major manufacturers of permethrin jointly submitted
    information to the meeting (Manufacturers, 1979) which indicate that
    the technical grade products of any of the four manufacturers also
    meet the following general specifications:

    i)     Not less than 89% permethrin (typically 91-93%);
    (ii)   State: yellowish brown to brownish oily liquid;
    (iii)  Specific gravity: 1.214;
    (iv)   Easily soluble in hexane, benzene, chloroform, ethanol and
           acetone.  Solubility in water <1 ppm;
    (v)    Each impurity present at <2%.

    The meeting examined manufacturers' statements of impurities which
    reflected the somewhat different processes of manufacture used.

    Formulations commercially available

    1.25 to 50% emulsifiable concentrates
    25% wettable powders
    2 to 5% fogging formulations
    5% ULV formulations

    Stability

    Permethrin is moderately stable in the environment.  Elliott et al.
    (1973) reported it to be 10-100 times more stable than earlier
    synthetic -pyrethroids.  The increased resistance to photolysis is
    attributable to substitution of the dichlorovinyl moiety for the
    isobutenyl group of chrysanthemic acid found in natural pyrethrins and
    other synthetic pyrethroids.

    EVALUATION FOR ACCEPTABLE DAILY INTAKE

    BIOCHEMICAL ASPECTS

    Absorption, Distribution and Excretion

    Rats

    Permethrin is rapidly absorbed, distributed and excreted in mammalian
    species following oral administration.  Approximately 80% of the
    administered permethrin was found in urine and faeces within 48 hours
    (Mills and Mullane, 1976).  Following oral administration of
    individual isomers, differences were noted with respect to the
    excretion patterns, the trans-isomer was excreted more rapidly than
    the cis-isomer.  14CO2 observed following administration of
    methylene-labelled permethrin suggested degradation of the
    cyclopropane carboxycyclic acid moiety.

    Within 48 hours following a single dose (6.5 mg/kg), administered as a
    corn oil solution orally to rats, greater than 80% was eliminated in
    urine and faeces.  Within 7 days, from 92 to 100% of the radioactivity
    was eliminated in urine and faeces (Mills and Mullane 1976).

    Male rats were administered permethrin orally at a dose of 10 mg/kg.
    Following administration, the uptake into blood was rapid with a peak
    level observed at 1.5 to 10 hours after dosing.  There were
    differences noted in the absorption of radioactive material relating
    to the position of the 14C-isomer (uptake of the 14C-acid was slower
    than that noted with the 14C-alcohol permethrin) suggesting ester
    degradation prior to absorption.  The half-life in blood following a
    single acute oral administration was approximately 7 hours (Bratt et
    al., 1977).

    Whole body autoradiography studies confirmed the rapid absorption,
    distribution and excretion pattern noted following acute oral
    administration.  Studies at 1, 24 and 96 hours after administration
    showed a rapid passage through the major tissues and organs prior to
    being excreted (Bratt, et al., 1977).  The half-life of permethrin in
    adipose tissue following oral administration daily for 12 days was
    calculated to be 18 days reflecting the slower elimination from
    adipose tissue than from blood (Bratt, et al., 1977).

    Groups of female rats (15 rats/group) were administered permethrin in
    corn oil solution, orally at a dose rate of 0.9-1.5 mg/kg, daily for
    three weeks.  Residue levels did not exceed 1 ppm in adipose tissue.
    Permethrin levels in adipose tissue were retained with a half-life of
    approximately two weeks.  Low levels of residues in liver and kidney
    were completely removed (below the level of detection) within 7 days
    and no residues were noted in brain tissue.

    A group of 60 female rats were administered permethrin orally at a
    dose of 1 mg/kg daily for 11 weeks after which dosing was terminated.

    The animals were maintained for 7 further weeks for tissue
    distribution studies.  Distribution to adipose tissue reached a
    plateau level within three weeks and did not exceed 2 ppm.  At the
    conclusion of the study, the level of radioactivity declined slowly,
    disappearing entirely within 7 weeks.  The half-life of adipose tissue
    residues again approximated two weeks.  Qualitative analysis of
    residues in adipose tissue suggested a change in the cis/trans-isomer
    ratio (increased cis and decreased trans) reflective of the more
    readily metabolized trans-isomer.

    Mice

    Groups of 10 male and 10 female mice were fed permethrin in the diet
    for 4 weeks at dosage levels of 0, 20, 500 and 4000 ppm to compare
    residue concentrations in adipose tissue with data obtained from
    animals fed similar concentrations for 80 weeks.  Residue levels were
    consistently higher in female than males.  The residue levels in
    peritoneal adipose tissue were essentially the same as those seen in
    animals fed for over 80 weeks.  There was a rapid build-up to
    equilibrium levels in mice within 4 weeks of dietary exposure (Hogan
    and Rinehart, 1977).

    Dogs

    Adult beagle dogs were orally administered 6.2-6.5 mg/kg dissolved in
    corn oil in gelatin capsule.  Within 48 hours approximately 85% was
    excreted in urine and faeces.  At the conclusion of the 7-day trial,
    permethrin had cleared from the body although it was excreted at a
    slower rate in the dog than had been observed in the rat.  Residues at
    7 days were noted in a variety of tissues and organs including fat
    which contained the highest residue (0.5-0.8 ppm) (Mills and Slade,
    1977).

    Further studies on the distribution and retention in tissues of dogs
    were performed.  Following subacute administration (1 mg/kg, oral) for
    10 days, the residues were examined in adipose tissue.  Permethrin was
    noted after the first dose in adipose tissue.  At the termination of
    the dosing, residues did not exceed 6 ppm.  There was a significant
    modification in the ratio of the cis:trans isomers (cis predominated),
    again reflecting a difference in the rate of metabolism of the two
    isomers.  At the conclusion of the study, approximately 1 ppm residues
    were noted in liver and kidney with substantially less in muscle
    tissue (the level in muscle tissue barely exceeded the limit of
    detection of the analytical procedure) (Bratt and Slade, 1977).

    Cows

    Groups of lactating cows were administered permethrin orally or
    dermally.  Milk, blood and excretory products were analyzed for 7 or
    14 days after which the animals were sacrificed for tissue analysis.
    Permethrin was rapidly absorbed by both routes of administration.
    Residue levels in the milk of both orally- and dermally- administered
    cows increased for 24 to 48 hours following administration, although

    following dermal administration, residues in milk were exceedingly
    low.  Within 7 days all residues had disappeared (Bewick and Leahey,
    1976).  In the animals dosed orally, 40% of the excreted radioactivity
    was found in the urine with 60% found in the faeces.  Residue levels
    were again characterized in adipose tissue as permethrin.

    Lactating cows were administered permethrin in ethanol orally at a
    dose of 1 mg/kg for three consecutive days.  Permethrin had no adverse
    effect on the cows, and at the conclusion of a 12-days trial the
    animals were sacrificed and tissues and organs examined for the
    presence of residues.  Permethrin was rapidly absorbed and excreted
    with the majority of residue, from 90 to 100% of the administered
    dose, recovered predominantly in urine and faeces.  Milk and milk fat
    analyses were performed and small quantities of residues of both cis-
    and trans-permethrin (cis isomer predominated) were observed
    (substantially in the lipid fraction).  In general there was a more
    rapid elimination of trans-permethrin and its metabolites than of
    cis-permethrin (and its metabolites).

    In general, the permethrin isomers, although fat soluble, are readily
    metabolized and excreted by cows and goats (Gaughan, et al., 1978a;
    Hunt and Gilbert, 1977).  In cows permethrin appears in small
    quantities in milk fat and adipose tissue.  Following multiple
    administration (3 days), complete recovery of permethrin was observed
    within 12 to 13 days in cows.

    Hens

    Permethrin is absorbed, distributed, metabolized and excreted in hens,
    the rates of which are substantially faster in avian species than in
    mammalian species (Gaughan et al., 1978b).  Permethrin, administered
    to laying hens for three consecutive daily doses of 10 mg/kg, was
    rapidly absorbed, distributed and largely eliminated from the body
    within one day after the final dose.  Approximately 90% of the
    administered dose was recovered in excreta with small residues noted
    in eggs (predominantly yolk) and in adipose tissue.  The residue
    observed in hen was predominantly the cis-isomer.

    Goats

    Goats were administered orally at a dosage rate of 20 mg/kg/day for 7
    consecutive days.  Low levels of residues were observed in the milk.
    The residue level appeared to plateau within 4-5 days of the initial
    treatment.  A sample of milk, containing approximately 0.026 ppm in
    the whole milk, was analyzed for residues in milk fat.  Fifty percent
    of the total residues was extracted with milk fat and was found to be
    unchanged permethrin although the cis:trans ratio changed from
    approximately 4:6 to 2:1 (Leahy, et al., 1977).  At the conclusion of
    the study, low levels of residues were noted in various organs (i.e.,
    kidney, liver and muscle) with extremely low levels in adipose tissue.

    FIGURE 1

    Metabolism

    Rats and Mice

    The sites of metabolic attack on permethrin include: ester cleavage
    (which appears to be more rapid or complete for the trans- than for
    the cis-isomer), hydroxylation of the gem-dimethyl group of the
    cyclopropanecarboxylic acid, hydroxylation of the 4'-position of the
    3-phenoxybenzoic acid and subsequent conjugation of both the phenolic
    and carboxylic acid substituents.  Following oral administration to
    rats, the metabolic pathway for both cis- and trans-permethrin was
    reported by Elliott, et al., (1976), and Gaughan, et al., (1977).  In
    addition, the degradation observed in vitro by the action of
    subcellular oxidative enzymes of rat, mouse and insects was described
    by Shono et al., (1979).

    Oxidative and hydrolytic mechanisms play a major role in the
    metabolism of permethrin.  A schematic of the metabolic profile can be
    seen in Figure 1.  In vitro preparations have been observed to
    hydrolyse trans-permethrin to a greater extent than the corresponding
    cis-isomer.  The preferred site of hydroxylation on the alcohol moiety
    is the 4'-position with secondary sites occurring in the 6- and
    2'-positions.  Aryl hydroxylation occurs at the 4'- and 6-position
    with isolated mouse microsomal preparations but only at the
    4'-position with similar preparations from the rat.  Hydroxylation at
    the 2'-position was observed with cis-permethrin only with mouse
    preparations.  In vitro studies have defined the sites of
    hydroxylation on both the acid and alcohol portions of permethrin.
    With the carboxylic acid moiety, mammalian microsomal preparations
    hydroxylate one of the gem-dimethyl groups which is further oxidized
    to the corresponding aldehyde and carboxylic acid.  In both in
    vitro and in vivo studies, agreement has been found on the
    greater extent of hydrolysis of trans- than of cis-permethrin and on
    the major sites of hydroxylation of each of the pyrethroid isomers. 
    In vitro, several metabolites have been reported (i.e., the
    aldehyde and acid of the gem-dimethyl permethrin and corresponding
    carboxylic acids).  Some stereo specificity has been encountered with
    mouse and rat microsomal in vitro preparations.  The preferred
    methyl group for hydroxylation is the 1R-versus the 1S-permethrin
    isomer (Soderlund and Casida, 1977).  In general, it has been
    recognized that the lower toxicity of the trans-isomer relative to the
    cis-isomer of permethrin is associated and, consistent with its
    greater ease of biodegradation both in vivo and in vitro.

    Adult male rats were orally administered permethrin as a solution in
    corn oil at a dosage rate of 10 and 100 mg/kg.  Within 24 hours,
    approximately half of the administered dose was excreted in urine and
    faeces.  Analysis of the urine and faeces was performed in an effort
    to see if the rat produced the cyclopropane dicarboxylic acid
    metabolite observed as the plant metabolite.  Low levels of this
    product were observed in both urine and faeces.  At least two of the
    four possible diastereoisomers were also detected in this experiment
    (Bewick and Leahey, 1978).

    Cows

    Individual isomers of cis- and trans-permethrin were orally
    administered to lactating cows for three consecutive days at a dose
    rate of approximately 1 mg/kg body weight.  Residues noted in milk
    consisted almost entirely of unmetabolized cis-permethrin.  Trace
    levels of hydroxylated permethrin were also noted as milk residues.
    Major excretory metabolites included: hydroxylated permethrin (on the
    gem-dimethyl group), 3-phenoxybenzyl alcohol and a glutamic acid
    conjugate of 3-phenoxybenzoic acid.  As noted with milk, most of the
    residues in adipose tissue were unmetabolized permethrin.  In
    comparison with the metabolic profile observed in rats, cows excrete a
    larger proportion of ester metabolites, including their glucuronides,
    and are unique in utilizing glutamic acid for conjugation of the
    acidic metabolites.  Quantitatively, cows carry out more extensive
    hydroxylation on the gem-dimethyl moiety and less on the benzoyl
    moieties reacting in a greater concentration of
    4'-hydroxyphenoxybenzoic acid-(sulfate) metabolite in rats rather than
    cows.  Qualitatively, similar results to those noted with cows have
    been observed with goats (Hunt and Gilbert, 1977).

    Hens

    The metabolic fate in hens was investigated following oral
    administration of a dose of 10 mg/kg/day for three consecutive days.
    The overall metabolic pathway was similar to that noted with mammalian
    species.  Permethrin was extensively hydrolyzed and oxidized with the
    trans-isomer more extensively degraded.  In egg yolk, permethrin and
    trans-hydroxymethyl cis-permethrin were detected as residues.
    Extensive detoxication via hydrolytic, oxidative and conjugative
    reactions, is probably responsible for the relative insensitivity of
    avian species (Gaughan et al., 1978b).

    Plants

    The metabolic fate in plants has been investigated both in the field
    and under greenhouse conditions (Gaughan and Casida, 1978).  The
    metabolic products from plants were identical with permethrin
    metabolites observed in mammals with the exception of glucose as the
    primary conjugating moiety.  The major metabolites were those products
    of ester cleavage (which occurs in plants as well as mammals more
    rapidly with the trans- than the cis-isomer) and conjugation of the
    liberated acid and alcohol fragments.  Minor oxidative pathways of
    both the acid and alcohol fragments have been identified.

    Inert Substrates

    Photolytic decomposition in various solvents under artificial light or
    on soil exposed to direct sunlight resulted in a variety of
    decomposition products.  Significant reactions included isomerization
    of the cyclopropane ring and ester cleavage.  Additionally, reductive
    dechlorination and degradation of the isobutenyl moiety has been
    reported.  On soil, permethrin degrades slowly with relatively little

    isomerization of the cyclopropane ring.  Photoproducts that retain the
    ester linkage were present in small quantities.  A variety of
    photodecomposition products have been observed which do not appear to
    be mammalian metabolites (Holmstead, et al., 1978).

    Effects on Enzymes and Other Biochemical Parameters

    Permethrin was administered orally to adult male rats (the dose level
    used was not specified) for 4, 8 or 12 days in an attempt to evaluate
    the effect on liver metabolizing enzymes.  No effects were noted at 4
    days, but at 8 and 12 days cytochrome P-450 and cytochrome c
    reductase activity was significantly increased.  In comparison with
    known inducing compounds such as phenobarbital and 3-methyl
    cholanthrene, permethrin is a weak inducer.  It was suggested that
    cytochrome P-450 (and not P-448) was induced (Carlson, 1976).

    TOXICOLOGICAL STUDIES

    Special Studies for Neurotoxicity

    Rat

    Groups of rats (6 male and 6 female rats per group) were fed
    permethrin in the diet at dosage levels of 0 and 6000 ppm for up to 14
    days.  Severe clinical signs of poisoning were evident in all the
    treated animals.  Only one male survived the 14-day trial.  Sections
    of the sciatic nerve from 2 females and 3 males were examined
    histologically.  Fragmented and swollen axone were observed in 4 of
    the 5 animals indicating that permethrin, at a dose level sufficient
    to produce severe clinical signs of poisoning or death, induces
    sciatic nerve damage characterized as axonal swelling and myelin
    degeneration (Hend and Butterworth, 1977).

    In a short-term study designed to determine the relationship of high
    level administration on the sciatic nerve, groups of rats (10 male
    rats/group) were fed permethrin in the diet at dosage levels of 0,
    2500, 3000, 3750, 4500, 5000 and 7500 ppm for 14 days.  Clinical signs
    of acute poisoning and death occurred at 5000 ppm and above.  At all
    dose levels, there were clinical signs of poisoning characterized by
    slight to moderate tremors.  Food consumption and growth was reduced
    at all levels.  At the two lowest dosage levels clinical signs of
    poisoning disappeared within the first week whereas, at the higher
    dose levels, signs of poisoning were noted throughout the study.
    Histological examinations were performed using light and electron
    microscopy.  Rats receiving 2500 ppm and above in the diet showed no
    ultrastructural changes in the sciatic nerve.  Disruption of the
    myeline sheath was observed in both test and control animals although
    it was somewhat prevalent in the test animals.  The Schwann cells of
    permethrin-treated animals were vacuaolated with the vacuoles derived
    mainly from dilated endoplasmic reticulum with some mitochondrial
    swelling.  Intercellular vacuolation was also observed, but was
    believed to be early autolytic changes in the nerve and not related to

    permethrin toxicity.  Hypertrophy of the Schwann cells was not
    observed at dose levels below 3000 ppm (Glaister et al., 1977).

    Hen

    Groups of hens were administered permethrin orally (as a 40% W/V
    solution in DMSO) at a daily dose level of 1 gm/kg daily for 5 days.
    After 3 weeks, the dosing regimen was repeated and the animals were
    maintained for three weeks.  A positive control group was administered
    TOCP orally and a negative control group received no treatment.  There
    were no deaths and no signs of neurological disturbance in any of the
    animals treated with permethrin.  All TOCP-treated hens displayed
    clinical and histological evidence of neurotoxicity.  Delayed
    neurotoxic potential normally associated with certain organophosphates
    was not evident (Milner and Butterworth, 1977).

    A group of 15 adult hens was administered permethrin orally at a dose
    of 15 ml/hen (specific gravity was 1.2 suggesting a dose of 18 grams
    or 9 grams per kilogram body weight).  The birds were redosed on day
    21 and observed for a further 21 days before sacrifice and
    histological examination.  A negative (water) and a positive (TOCP,
    500 mg/kg) control group were included in this trial.  All of the
    animals treated with TOCP showed signs of delayed neurotoxicity
    ranging from slight muscular incoordination to paralysis.  There were
    no signs of ataxia observed in any of the permethrin or negative
    control groups.  Histological examination revealed no degenerative
    changes as a result of administering permethrin while degenerative
    changes were noted with the positive control (Ross, et al., 1977).

    Special Studies on Reproduction

    Rat

    Groups of rats (10 male and 20 female per group) were fed permethrin
    in the diet at dosage levels of 0, 20 and 100 ppm and subjected to a
    standard 3-generation, 2-litter per generation reproduction study.  A
    third litter of the F3 was produced because of poor pregnancy rates
    in both test and control animals.  There were no effects noted with
    respect to mortality, mating, pregnancy and fertility with the
    exception of the F2 mating index which was reduced in controls and
    all treatment groups.  Survival and growth of pups were not affected.
    Hematological evaluations of F2 adults between the second and third
    mating showed no unusual effects.  Ophthalomogic examination was also
    normal.  There was no indication that dietary levels of up to and
    including 100 ppm would adversely affect reproduction in the rat over
    a course of 3 generations (Schroeder and Rinehart, 1977).

    Groups of rats (12 male and 24 female rats per group) were fed
    permethrin in the diet at dosage levels of O, 500, 1000 and 2500 ppm
    for 12 weeks.  At 12 weeks the animals were mated to initiate a
    standard 3-generation (2 litters per generation) reproduction study.
    In each generation, the first litter was grossly examined at weaning

    and discarded.  Representatives from the second litter were chosen as
    parents of the next generation.  The second litter of the F3
    generation was examined histologically and a third F3 litter was
    produced and examined for teratogenic effects.  Clinical signs of
    acute poisoning (tremors, etc.) were noted at 2500 ppm, predominantly
    in the females.  Tremors were noted sporadically at the lower dose
    levels. There were no effects attributable to permethrin with respect
    to male or female fertility, gestation viability of pups, sex ratio,
    litter size or on lactation.  Standard indices, calculated for this
    study, were normal and on gross examination no adverse effects were
    noted.  Clinical signs of poisoning were observed in pups of the 2500
    ppm dose group but this did not result in mortality.  Ten male and
    female weanlings of the F3 second litter were examined
    histologically. A centrilobular hypertrophy and cytoplasmic
    eosinophilia were observed in all dose groups and was dose dependent
    with respect to incidence and severity.  The third litter of the F3
    generation, sacrificed on day 21 of gestation for teratologic
    examination, showed no specific effects with respect to pre- or
    post-implantation loss, litter size, weight or sex ratio of
    individuals.  The number of corpora lutea, implantations and viable
    fetuses were increased at 2500 ppm.  As a consequence of this large
    litter size, individual fetal weights were slightly reduced.  Soft
    tissue analysis and skeletal examinations of the foetuses revealed no
    unusual teratogenic effects.  Based on the standard reproduction
    study, permethrin had no effect on any reproductive parameter (Rodge
    et al., 1977).

    Special Studies for Teratogenicity

    Mice

    Groups of mice (from 27 to 32 mice per group) were administered from
    day 7 through day 12 of pregnancy at dosage levels of 0, 15, 50 and
    150 mg/kg body weight.  On day 18, 2/3 of the animals were sacrificed
    and examined for implantation and resorption sites.  Viable young were
    examined for somatic and skeletal abnormalities.  The remaining
    pregnant animals were allowed to deliver and to wean the pups.  After
    3 weeks of lactation, animals were examined for behavioural
    abnormalities and for differentiation and growth.  At 6 weeks of age,
    all animals were sacrificed and subjected to internal and external
    examination.

    There were no effects noted with respect to maternal toxicity over the
    course of the study.  Growth and differentiation of pregnant females
    were not affected by permethrin.  Neither the number of implantation
    sites nor the litter size was adversely affected.  The size of
    individual pups and the incidence of gross external, internal and
    skeletal abnormalities were not significantly different than the
    control values.

    Permethrin did not appear to affect those animals allowed to bear and
    wean young at dosage levels up to and including 150 mg/kg.  Growth of
    young animals did not appear to differ from control values, and 3
    weeks after weaning the surviving animals did not show any differences
    with respect to growth and major organ changes.  There was no
    teratogenicity associated with permethrin in this mouse bioassay
    (Khoda, et al., 1976b).

    Rats

    Groups of pregnant rats (20 rats per group) were administered
    permethrin at dose levels of 0, 22.5, 71.0 and 225 mg/kg orally from
    day 6 to day 16 of gestation.  On day 20 animals were sacrificed and
    examinations made of corpora lutea and foetuses from each animal.
    Somatic and skeletal examinations were performed on the foetuses.

    Preliminary dose range finding studies suggested that at levels of
    approximately 338 mg/kg an acute maternal toxic response would be
    noted.  The high dose level of 225 mg/kg used in this teratology study
    did not produce an adverse toxicological response.  There were no
    abortions or maternal deaths.  There were no significant differences
    in pregnancy frequency, corpora lutea or the total number of
    implantations.  Placental and fetal weights were similar to the
    controls and skeletal and structural abnormalities were not observed.
    Based upon the standard teratological bioassay with rats, permethrin
    did not show any teratologic potential (McGregor and Wickramaratne,
    1976b).

    Groups of rats (from 29 to 34 pregnant rats per group) were
    administered at dosage rates of O, 10, 20 or 50 mg/kg body weight from
    day 9 through 14 of pregnancy.  On day 20, approximately 2/3 of the
    pregnant females were sacrificed and the remainder allowed to deliver
    and wean pups.  After lactation, the pups were examined for behaviour
    and for growth and differentiation.  All pups were sacrificed at 6
    weeks of age and examined grossly for signs of internal or external
    malformation.

    Pregnant females, treated with the high dosage level, showed toxic
    signs of poisoning (ataxia, tremor and a slight reduction in body
    weight).  There was no overt mortality, although foetal lose at the
    high dose level was slightly increased.  A slightly higher incidence
    of non-ossified sternebra was noted at the high dosage level.  The
    number of implantation sites and the litter size were not affected and
    growth and differentiation were similarly unaffected.  Internal and
    external examinations showed that, with the exception of the slight
    skeletal variation noted at the high dose level, there were no
    permethrin-associated changes.

    In those animals allowed to bear and wean pups, there were no notable
    differences from control values with respect to gestation,
    implantation sites, delivery and numbers of live young.  Growth and
    differentiation of the offspring did not appear to be affected by the
    administration.  There were no abnormalities noted with respect to

    gross pathology.  Weights of major tissues and organs at the
    conclusion of the study were normal.  In this rat bioassay, permethrin
    did not show a teratogenic effect (Khoda, et al., 1976a).

    Special Studies on Mutagenicity

    Permethrin was bioassayed for mutagenic activity using the
    Salmonella reverse mutation test (Ames Assay).  At concentrations up
    to 2500 µg per plate, in the presence or absence of a rat liver
    activation system, there were no significant increases in mutations in
    the TA 1535, TA 1538, TA 98 and TA 100 strains (Longstaff, 1976;
    Newell and Skinner, 1976).  In addition to the standard "Ames" assay,
    permethrin was examined and found to be negative in E. coli WP2, a
    test for base pair substitution mutations (Newell and Skinner, 1976).

    Permethrin did not increase the number of revertant colonies of S.
    typhymurium (TA1535, TA1537, TA1538, TA98 and TA100) in the presence
    or absence of a mouse liver subcellular activation preparation
    obtained from 6 strains of PCB-treated mice.  Permethrin was negative
    when tested at dose levels up to 1 mg/plate (Suzuki, 1977).

    Groups of 8 male rats were administered by a single intraperitoneal
    injection or by 5 daily intraperitoneal injections at dose levels of
    0, 600, 3000 and 6000 mg/kg body weight in a cytogenetic investigation
    on the mutagenic effects of permethrin on bone marrow cells.  Animals
    were sacrificed 24 hours after the single administration and 6 hours
    after the last multiple administration.  Positive controls of
    trimethyl phosphate and Mitomycin C were employed.  There were no
    differences in any of the groups treated with permethrin with either
    the single or the multiple administration.  The two positive controls
    showed significant increases in chromosomal damage in rat bone marrow
    cells (Anderson and Richardson, 1976).

    Permethrin was bioassayed for mutagenic activity using E. coli and
    the Salmonella typhimurium (Ames) assay.  At concentrations up to
    5000 µg permethrin/plate, in the presence or absence of a rat liver
    activation system, there were no significant increases in mutations in
    the standard Salmonella strains and in the E. coli W2 (Shirasu,
    et al., 1979).  A host-mediated assay in mice, using the G46 strain of
    S. typhmurium as an indicator, was also negative at dosage levels
    of 200 mg/kg body-weight (Shirasu, et al., 1979).

    Mice - Dominant Lethal Study

    Groups of male mice (15 mice per group) were administered permethrin
    in a corn oil solution, orally for 5 consecutive days, at dose levels
    of 0, 15, 48 and 150 mg/kg.  A positive control group received a daily
    oral dose of 100 mg/kg ethylmethanesulfonate for five days.  Each male
    mouse was mated to 2 virgin females for a one-week period after which
    the females were changed and the males mated with a second group of
    virgin females.  The process was repeated until the treated male mice
    had been mated at weekly intervals for eight weeks in a standard
    dominant lethal study.  Female mice were killed 12 days after

    fertilization and uteri were examined for implantation, early death
    and late death.  There was no effect on pregnancy as a result of
    permethrin treatment.  Implantations were different in week 3 and 7
    only with the low dose group.  There were no consistent dose-related
    effects.  There were no effects on early or late death and, in
    contrast to data reported with ethylmethanesulfonates there were no
    dominant lethal effects as a result of administration of permethrin to
    male mice (McGregor, et al., 1976a).

    Special Pharmacological Studies

    The pharmacological action of permethrin on isolated ileum,
    nictitating membrane, blood pressure, respiration and heart rate were
    investigated in rabbit, guinea pig or cat.  Permethrin reduced the
    incidence and amplitude of contraction of isolated rabbit ileum but
    induced no changes in a similar preparation from the guinea pig. 
    Permethrin affected blood pressure and respiration following
    intraperitoneal administration of dosages of 4 mg/kg and above.  The
    hypotensive effect was not affected by pre-treatment with atropine or
    propanolol. Permethrin was shown to produce slight contraction of
    nictitating membranes.  An increase in rabbit ECG was observed at dose
    levels above 4 mg/kg.  The increased rate was not accompanied by
    changes in the wave pattern (Nomura and Segawa, 1979).

    Changes were noted in the EEG tracings at high dose levels; doses
    which were lethal to rabbits.  Spike waves and an increased amplitude
    of slow waves were induced at 100 mg/kg body weight.  At doses of 30
    mg/kg, no changes in rabbit EEG were observed.  Permethrin did not
    induce changes in ECG at levels below those which were lethal.

    There was no change in hexobarbital-induced sleeping time in mice
    administered permethrin at dose levels ranging up to 2000 mg/kg body
    weight (Takahashi, et al., 1979).

    Acute Toxicity of Varying Cis:Trans-Permethrin Ratios to Female Rats

                                                               
                        LD50
    Cis:Trans Ratio    (mg/kg)      Reference
                                                               

    80:20                396        Jaggers & Parkinson, 1979
    57:43                333
    50:50                748
    40:60                630
    20:80               2800
                                                               

    Acute Toxicity

                                                                      
    Species  Sex    Route     Solvent     LD50      Reference
                                          mg/kg
                                                                      

    Rat      M      oral      water       2949      Parkinson, 1978
             F      oral      water       >4000     Parkinson et al, 1976
             M      oral      DMSO        1500      Clark, 1978
             F      oral      DMSO        1000      Clark, 1978
             M      oral      corn oil    500       Jaggers & Parkinson,
                                                    1979
             M      oral      corn oil    430       Khoda, et al, 1979
             F      oral      corn oil    470       Khoda, et al, 1979
             M&F    oral      corn oil    1200      Braun & Killeen, 1975
             M&F    oral      none        6-8,900   Braun & Killeen, 1975
             M      dermal    water       >5176     Parkinson, 1978
             F      dermal    none        >4000     Parkinson et al, 1976
             M      dermal    none        >2500     Khoda, et al, 1979a
             F      dermal    none        >2500     Khoda et al, 1979a
             M&F    dermal    xylene      >750      Clark, 1978
             M      sc        corn oil    7800      Khoda, et al, 1979a
             F      sc        corn oil    6600      Khoda, et al, 1979a
             M      ip        water       >3200     Parkinson et al, 1976
             F      ip        water       >3200     Parkinson et al, 1976

    Mouse    F      oral      water       >4000     Parkinson et al, 1976
             M&F    oral      DMSO        250-500   Clark, et al, 1978
             M      oral      corn oil    650       Khoda, et al, 1979a
             F      oral      corn oil    540       Khoda, et al, 1979a
             M      sc        corn oil    >10000    Khoda, et al, 1979a
             F      sc        corn oil    approx.
                                          10000     Khoda, et al, 1979a
             M      dermal    none        >2500     Khoda, et al, 1979a
             F      dermal    none        >2500     Khoda, et al, 1979a

    Rabbit   F      oral      water       >4000     Parkinson et al, 1976

    Guinea   M      oral      water       >4000     Parkinson et al, 1976
    pig

    Hen             oral                  >1500     Milner & Butterworth,
                                                    1977
    Rabbit   F      dermal    none        >2000     Parkinson et al, 1976
                                                                      


    These data are reflective of the greater toxicity of cis-permethrin as
    compared to trans-permethrin.

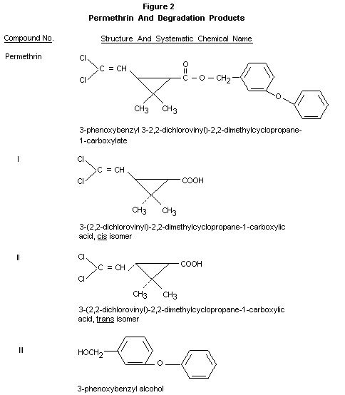
    Acute Oral Toxicity of Several Metabolites of Permethrin

                                                               
                                                       LD50
    Chemical                       Species             (mg/kg)
                                                               

    3-phenoxybenzyl alcohol          rat                1330
    3-(2,2-dichlorovinyl)            rat                 980
    2,2-dimethyl cyclo-
    propanecarboxylic acid
    3-phenoxybenzaldehyde            rat                3600
                                                               

    Signs of poisoning

    Following oral administration of permethrin, signs of poisoning became
    apparent within two hours of dosing and persisted for up to three
    days.  The most notable signs of poisoning include tremors,
    hyperactivity, urination and defecation, salivation, ataxia,
    lacrimation and generally excessive hyperactivity (Parkinson, et al.,
    1978).

    Acute Intraperitoneal Toxicity of Several Permethrin Metabolites in
    Mice

                                                                   
                                             LD50 (mg/kg)
             Compound                    Male               Female
                                                                   

    3-Phenoxybenzyl alcohol              371                424
    3-4'-Hydroxyphenoxy) benzyl
    alcohol                              750-1000           750-1000
    3-(2'-Hydroxyphenoxy) benzyl
    alcohol                              876                778
    3-Phenoxybenzoic acid                154                169
    3-(4'-Hydroxyphenoxy)
    benzoic acid                         783                745
    3-(2'-Hydroxyphenoxy)
    benzoic acid                         859                912
    3-Phenoxybenzaldehyde                415                416
                                                                   

    All compounds were dissolved in corn oil, except 3-Phenoxybenzoic
    acid, which was dissolved in DMS0 (Khoda, et al., 1979b).

    Skin sensitization studies with permethrin dissolved in dimethyl
    formamide administered to guinea pigs for three consecutive days
    followed four days later by a challenge dose resulted in minimum
    levels of erythema suggesting that permethrin is not a strong skin
    sensitizer.  Installation undiluted to the eyes of female rabbits only

    caused minimal pain, redness, chemosis of the conjunctiva and slight
    discharge. (Parkinson, et al., 1976).

    SHORT-TERM STUDIES

    Mice

    Groups of mice (20 male and 20 female mice/group) were fed at dietary
    dosage levels of 0, 200, 400, 1000, 2000 and 4000 ppm for 28 days. 
    One additional group was fed a dietary level of 80 ppm for two weeks
    which was increased for 10,000 ppm for the final two weeks of the
    study.

    There was no mortality over the course of the study.  Growth was
    unaffected at all dosage levels with the exception of weight loss at
    the initiation of the 10,000 ppm dietary group.  Food utilization of
    both males and females receiving 10,000 ppm was poor.  There were no
    effects noted at 4000 ppm and below.  Gross and microscopic
    examination of tissues and organs was performed at the conclusion of
    the study on the control and the highest dose groups.  Liver weight
    and liver to body weight ratios were increased at 2000 ppm and above.
    Increased weight and body weight ratios were also observed in several
    tissues of males receiving 10,000 ppm (kidney, heart and spleen).
    Gross tissue changes were observed in females at 2000 and 10,000 ppm
    which were not dose-related nor accompanied by histological
    abnormalities.  On histological examination, regenerating tubules in
    the renal cortex and changes in the centrilobular hepatocytes
    (characterized by an increased eosinophilia) were observed in all the
    treated animals (Clapp, et al., 1977b).

    Rat

    Groups of rats (16 male and 16 female rats per group) were fed in the
    diet at concentrations of 0, 375, 750, 1500 and 300O ppm for six
    months.  Permethrin was dissolved in corn oil and mixed with the diet,
    resulting in a final dietary corn oil concentration of 2%.  There was
    no mortality recorded over the course of the study.  Signs of
    hypersensitivity and tremors were observed at 3000 ppm during the
    early stages of the study.  Growth, as evidenced by body weight
    changes, was unaffected.  Food and water consumption were normal.
    Urinalyses, haematologic values and clinical biochemistry parameters
    showed no changes related to the presence in the diet.  At the
    conclusion of the study, data, based on gross and microscopic
    examinations of tissues and organs, suggested that there was a slight
    increase in liver weight and liver to body weight ratio at 3000 ppm.
    There were no significant histological findings attributable to the
    presence in the diet.  A slight hypertrophy of liver parenchymal cells
    was observed occasionally, accompanied by slight fatty changes.  There
    were no suggestions of cirrhosis and the gross changes were not
    accompanied by clinical chemistry abnormalities.  A no-effect level in
    the study was noted at 1500 ppm (equivalent to 93 mg/kg/day for males
    and 110 mg/kg/day for females) (Kadota, et al., 1975).

    A short-term study was designed to evaluate the reversibility of
    hepatic changes observed in the rat following short-term high level
    dietary administration.  Groups of rats (48 female rats/group) were
    fed in the diet at dosage levels of 0 and 2500 ppm for 28 days.  At
    the conclusion of the feeding trial, animals were sacrificed or
    maintained on control diets and sacrificed periodically at 1, 4 and 8
    weeks after the termination of permethrin feeding.  Over the course of
    this trial, growth and food consumption were examined.  Biochemical
    analyses of plasma alanine transaminase activity and liver microsomal
    enzyme activity were examined.  In addition, gross and microscopic
    examinations were performed on the liver.  An examination of the
    smooth endoplasmic reticulum (SER) was made with the aid of an
    electron microscope.  Pericentral hepatocytes were photographed and
    the SER was quantitatively analyzed.

    There was no mortality over the course of the study.  Food consumption
    and food utilization during the treatment period were reduced, and
    permethrin-fed animals weighed less than control animals during the
    treatment period.  But they gained weight rapidly, and at the
    conclusion of the study there were no differences in body weight.  At
    the conclusion of four weeks of feeding, significantly higher absolute
    and relative liver weights were observed as a result of permethrin
    administration.  During the 8-week recovery period, the absolute liver
    weight, although not significantly different than the control, was
    slightly higher.  In contrast, liver to body weight ratios for the
    treatment group over the recovery period were significantly higher
    than control values.  There were no effects over the course of the
    study on plasma alanine transaminase.  Liver microsomal oxidative
    enzyme activity was significantly higher than control values at the
    conclusion of the study and for one week after permethrin dosing
    ended.  Normal values were recorded at 4 weeks but the data at the
    8-week interval were again higher than control values.  Quantitation
    of the smooth endoplasmic reticulum in rat liver cells showed
    significant increases as a result of permethrin.  Within 4 weeks of
    the end of the feeding interval, there were no significant differences
    in the treated and control animals (Bradbrook, et al., 1977).

    Groups of rats (6 male and 6 female rats per group) were fed in the
    diet at dosage levels of 0, 30, 100, 300, 1000 and 3000 ppm for five
    weeks.  Clinical signs of acute toxicity were evident at 3000 ppm
    although there was no mortality observed.  Growth was decreased in
    both males and females at 3000 ppm.  Relative liver weight was
    increased in both males (1000 ppm and above) and females (3000 ppm).
    There were no effects noted on other tissues and organs.  Slight
    effects were noted at 3000 ppm in certain clinical chemistry
    parameters while no effects were noted on hematological parameters.
    Examination of tissues and organs of the two highest dose groups did
    not show unusual effects as a result of the diet (Butterworth and
    Hends, 1976).

    Groups of rats (8 male and 8 female rats/group) were administered
    permethrin in the diet at levels of 0, 20, 100 and 1000 ppm for 26
    weeks in a study designed to evaluate liver hypertrophy.  There was no

    mortality, and growth and food consumption were normal.  While the
    mean liver weight was increased at all dosage levels, a significant
    increase of liver weight was noted only at 1000 ppm.  The increase in
    weight at the highest dose level was also associated with an increase
    in the smooth endoplasmic reticulum and in biochemical parameters
    evaluating subcellular oxidative mechanisms in the liver.  At 100 ppm,
    there were slight non-significant increases in biochemical activity,
    and at 20 ppm no effects were observed on any of the parameters
    measured (Hart, et al., 1977c).

    Groups of young rats (8 males and 8 females/group) were fed at dosage
    levels in the diet of 0, 200, 500, 1000, 2500, 5000 and 10,000 ppm for
    four weeks.  All animals fed 10,000 ppm died within three days.
    Mortality was evident at 5000 ppm, and hypersensitivity at 2500 ppm
    and other non-specific signs of poisoning were observed at dosage
    levels of 1000 ppm.  At 1000 ppm, the acute clinical signs of
    poisoning which appeared on the first day of the study decreased
    rapidly and after the first day of the study, there were no signs of
    poisoning.  Food consumption and growth was reduced at 5000 ppm. 
    There were no effects on hematological parameters, clinical chemistry
    and urinalysis with the exception of a reduction in urinary protein
    excretion in males fed 5000 ppm.  On gross and microscopic examination
    of tissues and organs, the liver weight and liver to body weight
    ratios were increased in males at 2500 ppm and above and in females at
    1000 ppm and above.  The study was designed as a preliminary dose
    range-finding study for long-term dietary administration (Clapp, et
    al., 1977a).

    Groups of rats (10 male and 10 females per group) were fed in the diet
    at dosage levels of 0, 20, 100 and 500 ppm for 90 days.  There was no
    mortality over the course of the study although tremors were noted in
    some animals at the two highest dose levels primarily during the first
    week of treatment.  Hematology, clinical chemistry, urinalyses and
    ophthalmological examinations failed to show any effects attributable
    to the presence of permethrin.  Growth and food consumption were
    normal with all animals.  At the conclusion of the study, gross
    examination of tissues and organs showed significant increases in
    absolute and relative liver weight at the two highest dose levels
    which were consistent with data from microscopic examination of the
    liver showing a compound-related centrilobular hepacyte hypertrophy in
    both males and females.  There were no significant effects noted at
    the 100 ppm dosage level although slight indications of the hepatic
    effects were reported in a few of the male animals.  There were no
    changes in other tissues or organs attributable to permethrin (Killeen
    and Rapp, 1976b).

    Dog

    Groups of beagle dogs (4 male and 4 female dogs per group) were fed
    permethrin by gelatin capsule daily for three months at dosage levels
    of 0, 5, 50 and 500 mg/kg body weight/day.  There was no mortality
    observed over the course of the study.  Clinical signs of poisoning
    were noted in both males and females at the highest dose group at

    various times.  Growth and food consumption as well as clinical
    chemistry, hematology, and urinalysis parameters were unaffected by
    the administration of permethrin.  At the conclusion of the study,
    gross and microscopic examination of tissue and organ increases were
    noted in liver weight and liver to body weight ratios of animals
    administered 50 mg/kg and above.  Histological examination did not
    reveal changes associated with or attributable to the permethrin
    (Killeen and Rapp, 1976a).

    Groups of dogs (4 male and 4 female beagle dogs/group) were
    administered permethrin orally in gelatin capsule once a day, 7 days a
    week for 13 weeks at dose levels of 0, 10, 100 and 2000 mg/kg body
    weight.  The animals were weighed weekly and the dosage was adjusted
    on the basis of body weight.  Ophthalmological examination and
    laboratory investigations were performed prior to initiation and at 4
    and 12 weeks of dosing.  At the conclusion of the study, gross and
    microscopic examination of tissues and organs was performed.

    There was no mortality over the course of the study although clinical
    signs of poisoning were evident soon after administration of 2000
    mg/kg.  Females administered the high dose gained weight at a slower
    rate than controls, although the reduction in weight was predominantly
    as a result of reduced weight gain in 1 of 4 females rather than in
    the whole group.  There were no effects noted in any of the
    hematology, clinical chemistry or urinalysis parameters.  At the
    conclusion of the study, gross and microscopic analyses revealed no
    significant effects on tissues and organs at any dose level.  Gross
    examination of liver suggested a slight increase in liver weight at
    2000 mg/kg/day which was not accompanied by histopathological changes
    (Edwards et al., 1976).

    Cow

    Groups of 3 lactating cows were fed in the diet at dosage levels of 0,
    0.2, 1.0, 10 and 50 ppm for 28 days.  Animals were milked daily and
    sacrificed at the conclusion of the study for tissue residue analysis
    and gross and microscopic examination of tissues and organs.

    There was no mortality and adverse effects were not noted during the
    course of the trial.  There were no effects on growth or on milk
    production.  Milk residues of permethrin were observed within 3 days
    at the two highest dietary levels.  There were no milk residues seen
    with dosage levels of 1 ppm or below.  The level of milk residue
    appeared to plateau rapidly and did not increase with time (but rather
    may have decreased).  Analysis of individual cis- and trans-isomers
    showed the ratio of permethrin isomers in milk appeared to change over
    the course of the study with the cis-isomer predominating.  Tissue
    residues did not occur at a dietary dosage level of 1 ppm and below,
    while at the dietary levels of 10 ppm and 50 ppm there were residues,
    predominantly in fat.  Low levels of residue were also present in
    muscle and kidney at the highest dose level.  Permethrin appeared not
    to accumulate but to plateau rapidly in the fat.  There were no
    histopathological observations on tissues or organs which could be

    related to the presence of permethrin in the diet (Edwards and
    Iswaran, 1977).

    LONG-TERM STUDIES

    Mice

    Groups of mice (70 male and 70 female mice per group were fed in the
    diet at dosage levels of 0, 250, 1000 and 2500 ppm for 2 years.  [The
    permethrin used over the course of the study varied in isomer ratio
    (cis 35-45:trans 65-55).]  SPF-Alderley Park strain of albino mouse
    was used for the study.  Growth, food consumption, general behaviour
    and interim sacrifices with gross and microscopic pathological
    examination were examined over the course of the study.

    There was a slightly higher rate of mortality at 2500 ppm, but the
    differences were not statistically significant.  Behaviour of the
    treated animals did not differ from controls.  Growth was slightly
    decreased at the two highest dose levels at various intervals over the
    course of the study.  At an interim sacrifice and at the conclusion of
    the study, gross examination of tissues and calculations of relative
    tissue weights showed a significant dose-dependent increase in liver
    to body weight ratio at the two highest dose levels in females and at
    the highest dose levels of males.  Hepatic aminopyrine N-demethylase
    activity was also substantially increased at the highest dose level,
    although the data for this parameter do not appear to follow a
    consistent pattern and was measured only at 26 and 52 weeks.  In
    males, kidney weight, while decreased at all dose levels at the
    conclusion of the study, was not decreased in a dose-dependent
    pattern.  Differences in kidney weight were not evident at the 26 and
    52 week interim sacrifice.  Gross and microscopic examination of
    tissues and organs (and specific examination for hepatic neoplasia)
    did not reveal any significant carcinogenic effects as a result of
    dietary permethrin.  Many of the non-tumor abnormalities observed were
    those associated with aging mice, characterized as an increased
    eosinophilia of the centrilobular hepatocytes.  This effect was more
    evident in the two higher dose levels.  In males, a decrease in
    vacuolation of the proximal tubular epithelium of the kidney was noted
    at all dietary levels.  There were no notable effects on the sciatic
    nerve.  A high incidence of lung adenomas was observed with all
    animals in the study, but statistical analysis did not suggest that
    this event was related to permethrin.  Electron microscopic
    examination of the subcellular components of liver suggested a
    proliferation of the smooth endoplasmic reticulum in animals fed 2500
    ppm.  This was also observed to a lesser degree at 1000 ppm and was
    absent at the lowest level of permethrin (Hart, et al., 1977a; 1977b).

    Groups of mice (75 male and 75 female CD-1 strain mice per group) were
    fed in the diet for 104 weeks.  Alterations were made in the dietary
    dosage levels during the course of the study.  From weeks 1 to 19, the
    dosage levels were 0, 20, 100 and 500 ppm.  At week 19, the 500 ppm
    was increased to 5000 ppm and maintained for 2 weeks before being
    returned to 500 ppm.  At week 21, the 100 ppm groups was increased to

    4000 ppm where it was maintained for the remainder of the study.

    There was no overt mortality or changes in behaviour of the mice
    exposed to permethrin.  However, there appeared to be a dose-dependent
    increase in mortality at the latter part of the experiment which was
    evident at the 4000 ppm dose level.  Growth was decreased in males at
    4000 ppm.  With the exception of blood glucose which was reduced at
    4000 ppm, there were no effects on hematology or clinical chemistry
    parameters.  Gross and microscopic examinations of tissues and organs,
    during the course of the study and at its conclusion, showed some
    slight changes in gross organ weights.  In both males and females at
    500 ppm and above, the liver weight was increased.  Heart weight was
    increased at 4000 ppm.  Neoplastic changes were observed in some
    animals of all groups which was not associated with dietary levels.
    While there was no direct effect with respect to hepatic neoplasms
    (either malignant or benign), it was noted that hepatocellular
    hypertrophy, pleomorphism and degeneration occurred in mice receiving
    permethrin in the diet with somewhat greater frequency and with some
    indication of a relationship to the dose level.  However, there were
    no oncogenic effects on mice (Hogan and Rinehart, 1977; Rapp, 1978).

    Rat

    Groups of rats (60 male and 60 female rats per group) were fed in the
    diet at concentrations of 0, 500, 1000 and 2500 ppm for two years.  A
    group of 12 animals of each sex was sacrificed at 1 year.  Acute signs
    of poisoning (tremors and hypersensitivity) were noted during the
    first 2 weeks of the study at the highest dose level.  There was no
    mortality attributable to the presence in the diet and growth was
    unaffected.  While there were no substantial differences in mortality,
    males, fed 1000 ppm and above died somewhat earlier (by week 76) than
    did those at lower levels.  This early mortality was not noted in
    females.  There were no significant differences in growth or food
    consumption over the course of the study in either males or females.
    Hematological examination, performed at varying intervals during the
    course of the study, showed no significant differences from control
    values.  There were no substantial effects on ophthalmological,
    urological and clinical chemistry parameters.  Liver aminopyrine
    N-demethylase activity was increased at all dose levels in both males
    and females.  Bone marrow smears showed no unusual effects.

    Gross and microscopic examination of tissues and organs was performed
    at 1 and 2-year intervals.  Histological examinations of tissues and
    organs and an examination of all animals dying with neoplastic changes
    were also performed.  Liver weights were increased in males and
    females at the 2500 ppm dose level at 1 year.  After 2 years, liver
    weights and liver to body weight ratios were increased in males at all
    doses and in females at 1000 ppm (the female gross liver weight was
    significantly increased at 1000 ppm but not at 2500 ppm although the
    liver to body weight ratio was significantly increased at both levels
    of feeding).  In all cases, at 104 weeks liver size was increased.
    Kidney weights were also increased predominantly in males at all dose
    levels.

    Hepatocyte vacuolation was seen at 1 year in males at the highest dose
    level only and in females at all dose groups.  Examination of the
    smooth endoplasmic reticulum showed significant increases in both
    males and females at 52 weeks at all dietary feeding levels.  At the
    conclusion of the study, significant endoplasmic reticulum increases
    were noted only at the highest dose levels although non-significant
    increases were noted at all dose levels in both males and females.
    Examination of the sciatic nerve showed no effect attributable to the
    permethrin.  There was no oncogenic effect noted at levels up to and
    including 2500 ppm in the diet (Richards et al., 1977).

    Groups of rats (60 male and 60 female rats per group) were
    administered permethrin in the diet at dosage levels of 0, 20, 100 and
    500 ppm for 2 years.  There was no mortality or adverse effects on
    growth, food consumption or behaviour attributable to the presence of
    permethrin in the diet.  Hematology, clinical chemistry and urinalyses
    were performed at either 6 months of 1 year and at the conclusion of
    the study.  There were no effects on a wide variety of parameters
    examined.  Differences in laboratory tests were not dose-related and
    were not attributable to the presence in the diet.  Ophthalmological
    examination did not indicate abnormalities.  Gross pathology
    examinations were not performed at the conclusion of the study
    although an evaluation was made of organ weights and organ to body
    weight ratios in a variety of tissues.  At the 1-year interval, a few
    male and female animals were sacrificed from the 100 ppm group (no
    controls or other groups were examined at this point).  In males, at
    the conclusion of the study, there was a slight increase in mean gross
    liver weight at all dosage levels.  There were no statistically
    significant increases in mean values and in liver to body weight
    ratios.  In females, slight increases in liver size were noted at the
    two higher dose levels.  However, the liver to body weight ratios were
    not increased.  Ovarian weight was significantly higher than control
    values, but the comparative ovary to body weight ratio was not.  Blood
    glucose levels were increased at 500 ppm in both males and females at
    24 months and in females at 18 months.

    The potential for a carcinogenic effect was evaluated in these animals
    using standard histological examinations and a further exhaustive
    histopathological regimen using a step-sectioned histology technique,
    multiple slides, and exhaustive pathological examination.  Two
    independent evaluations concluded that there was no oncogenic
    potential for permethrin.  While there was a dose-dependent increase
    in gross liver weight in both males and females, these values were
    small and not statistically significant.  A no-effect level in this
    study was estimated to be 100 ppm (Braun and Rinehart, 1977; Billups,
    1978a; 1978b).

    COMMENTS

    Permethrin has a low acute toxicity in a variety of mammalian species.
    It is rapidly absorbed, distributed to a variety of tissues and
    organs, metabolized and excreted.  The metabolic fate has been
    thoroughly investigated.  Metabolism in mammals and plants involves
    predominantly ester cleavage with or without oxidative hydroxylation,
    and is similar in all species studied.  However, because of the
    chemical complexity in part due to the isomeric nature of the
    molecule, the variety of metabolic products is large.  In addition,
    photooxidation mechanisms have produced unusual metabolic products
    (i.e. a decarboxylated molecule).  Cis-permethrin has been shown to be
    more stable than the trans-isomer and is reflected by the cis-isomer
    which predominates as a residue in adipose tissue and milk fat.

    Following acute poisoning at high dosage levels, permethrin has been
    shown to produce a clinically reversible peripheral neuropathy in
    rodents (see Report Section 3.3).  Histologically, the clinical signs
    were described in the sciatic nerve as axon degeneration accompanied
    by myelin fragmentation.  The neuropathy has not been demonstrated at
    dosage levels below those at which acute clinical signs of poisoning
    were observed.  No data were available to assess the susceptibility of
    man to the peripheral neuropathy.

    Long-term studies in both rats and mice have shown no oncogenic
    potential, a finding which coincides with short-term mutagenicity,
    teratogenicity, and reproduction bioassays.  In short-term and
    long-term studies, permethrin was noted to have an effect on the liver
    described as an increased liver weight and liver to body weight ratio.
    This increase, which may be an adaptive response, was accompanied by
    centrilobular hepatocyte hypertrophy and an increase in the
    subcellular smooth endoplasmic reticulum.  The no-effect level was
    based on the response noted at dosage levels above 100 ppm.

    There were no observations in man reported. As permethrin production
    and use is expected to be associated with occupational exposure, the
    monitoring and study of heavily exposed populations is recommended for
    future evaluation.  Because of the lipophilic nature of the molecule,
    studies on the potential for bioaccumulation are necessary.

    TOXICOLOGICAL EVALUATION

    Level Causing no Toxicological Effect

    Rat:  100 ppm in the diet equivalent to 5.0 mg/kg body weight.

    ESTIMATE OF TEMPORARY ACCEPTABLE DAILY INTAKE FOR MAN

    0-0.03 mg/kg body weight.

    RESIDUES IN FOOD AND THEIR EVALUATION

    USE PATTERN

    Permethrin has developed rapidly in worldwide agricultural usage even
    though it was commercially introduced only recently.  It is a stomach
    and contact insecticide with adulticidal, ovicidal and larvicidal
    activity against a wide range of insects.  The compound shows no
    systemic or fumigant activity, and has very limited value in soil
    treatments because of rapid degradation in soil and lack of systemic
    action.  The principal agricultural and horticultural uses are in
    repeated spray programmes.

    Permethrin also has potential for animal health applications. 
    However, these uses have been excluded from consideration by the 1979
    Meeting, because available information was incomplete.  Similarly,
    although the chemical is also used on certain primary animal feed
    crops the meeting postponed the consideration of residues on such feed
    crops until the total picture becomes clear on residues in foods of
    animal origin, both from direct treatment of animals and from
    ingestion in their feeds.

    The evaluation of post-harvest uses of permethrin was also deferred
    until more information becomes available.

    Although worldwide usage is already heavy, many national
    authorizations for its use are probationary, experimental, for
    emergency uses or limited by special provisions in national statutes.
    Many governments also are in the process of evaluating proposals for
    official national MRLs and/or registrations.  Under these
    circumstances, the Meeting was unable to ascertain what were the
    authorized national use patterns (good agricultural practices) at this
    time.

    Table 1 contains a summary of the patterns which have been described
    by the manufacturers as effective use in various countries or
    geographic areas.

    Table 1.  Summary of Use Patterns for Permethrin on Various Crops

                                                                        
                                         Application       Pre-Harvest
    Crop              Countries             rates          Withholding
                                          (g ai/ha)        Interval
                                                                        

    A. FIELD CROPS

    Cotton          USA                    110-220         14 days
                    Africa                  75-200         Non-specified
                    Rest of World,          75-200         Up to 7 days
                    incl. Central/
                    South America
                    and Caribbean

    Soya            Brazil                  30-100          60 days
                    USA                     55-110          21 days
                                           110-220          60 days

    Maize           Australia               up to           Typically
                    Canada                   330              1 day
                    Germany
                    South Africa
                    USA

    Oil Seed Rape   Western Europe          50-100         (Generally 7
                                                           weeks or more)

    Sorghum         Brazil                    50            45 days

    B. FOLIAR AND ROOT VEGETABLES

    Beans           Worldwide              110-220              -
    (Phaseolus
    vulgaris)

    Cruciferae      Worldwide             up to 110        up to 7 days
    (Broccoli
    B. Sprouts
    Cabbage
    Cauliflower
    Kale
    Kohlrabi
    Turnips)

    Celery          USA                   110-220            3 days

    Leeks           Netherlands           50 ppm ai             -
                                          in spray
                                                                        

    Table 1.  Continued...

                                                                        
                                         Application       Pre-Harvest
    Crop              Countries             rates          Withholding
                                          (g ai/ha)        Interval
                                                                        

    Lettuce         Worldwide              55-220          up to 21 days

    Peas            Western Europe           50            None specified

    Spinach         Western Europe           30            up to 7 days

    Spring onions        UK               40 ppm ai in     Non specified
                                          spray

    Carrots              UK                 100            None specified

    Japanese            Japan             100 ppm ai
    radish                                in spray

    Potatoes          Worldwide            55-220          Non specified

    C. TREES AND SOFT FRUITS

    Apples, pears,
    plums, cherries,
    peaches           Worldwide            40-90           Up to 14 days

    Citrus          (Mediterranean           50            None specified
                     climate)

    Raspberries,          UK              40-62.5          Up to 3 days
    Strawberries        Canada

    Currants        Western Europe         40-50           None specified

    Grapes          Western Europe        40-100           Up to 14 days
                    North America

    Kiwi fruit       New Zealand            25             14 days

    D. FRUITING VEGETABLES

    Tomatoes,         Worldwide           40-220           Up to 15 days
    Peppers,
    Eggplants
                                                                        

    Table 1.  Continued...

                                                                        
                                         Application       Pre-Harvest
    Crop              Countries             rates          Withholding
                                          (g ai/ha)        Interval
                                                                        

    Greenhouse      Canada                50-125 ppm       Up to 7 days
    Tomatoes,       Japan                 ai in spray
    peppers,        Western Europe        or 150-220
    cucumbers,                            g ai/ha as
    gherkins                              a fog

    Melons,         Central                 100            None specified
    squash          America

    E. ON OTHER CROPS

    Coffee          Brazil                                 50-7530 days

    Hops            Western Europe        300 ppm ai       (up to 3 weeks)
                                          in spray

    Mushrooms       Netherlands             100            (up to 3 days)

    Tea             Far East              40 ppm ai        Non specified
                                          in spray
                                                                        

    RESIDUES RESULTING FROM SUPERVISED TRIALS

    General Observations

    Data on the findings from supervised trials were reviewed in the form
    of country reports from six members of the Codex Committee on
    Pesticide Residues and from the principal manufacturers of permethrin.
    These submissions included reports of raw data and a consolidated
    summary prepared jointly on behalf of the basic manufacturers
    (Manufacturers, 1979).  These reports relate to trials in 16 countries
    on over 40 crops and they refer to the analysis of over 3,500
    individual samples.  The reports were referred to and considered by
    the meeting as a basis for reaching conclusions and making
    recommendations.  Because of the volume of these reports however, it
    has not been found possible to reproduce them all in this monograph.
    In place of fully comprehensive publication therefore, the Tables
    included in this monograph have been selected as typical of findings
    on particular situations (e.g. specific crop, formulation, method of
    application, dose rate, waiting period or other situation).  The
    complete set of original data has been retained within FAO and WHO
    should a need to refer to it arise.

    Following the above-mentioned course, Table 2 contains a summary of
    typical findings of residues following field trials with a number of
    crops.  In assembling the data, gas-liquid methods of analysis were
    used as described under "Methods of Residue Analysis" in this
    monograph.  Because the residues on plants have been shown to consist
    almost wholly of permethrin, with only very small proportions of DCVA
    and other known metabolites (see Table 5), the figures also relate
    only to the parent compound unless otherwise stated.  Tables 3 and 4
    illustrate the distribution and effects of repeated applications on
    given crops.

    Residue Findings for Particular Crops

    Cotton, oilseeds and other field crops

    In cotton where levels in the seeds are influenced by the degree of
    protection by the ball during late season spraying, residues were
    generally below 0.1 mg/kg.  Samples analyzed were the ginned
    (undelinted) seed.  The highest value reported at effective use rates
    is 0.27 mg/kg.  At effective use rates, maximum residues reported were
    0.05 mg/kg in soybeans, 0.07 mg/kg in sweet corn kernels, 0.08 mg/kg
    in peas and less than 0.01 mg/kg in peeled coffee beans.  Sprays are
    normally applied to oil seed rape seven weeks or more before harvest.
    Residues in the oil seeds were non-detectable (less than 0.01 mg/kg).

    Root and tuber vegetables

    Residue in potatoes were consistently non-detectable (below either
    0.01 mg/kg or 0.05 mg/kg).  In carrots, Japanese radish and sugar
    beets, the highest residues found were 0.04 mg/kg, 0.04 mg/kg and 0.02
    mg/kg respectively (Table 2).

    Sweet Corn

    Analyses of sweet corn were performed separately on kernels, cob and
    husks.  Surprisingly, residues on the cob (0.01 to 0.12 mg/kg) were
    somewhat higher than on kernels.  It is possible that residues were
    mechanically transferred from the husks (residues up to 29 mg/kg)
    during the process of separating the fractions for analysis.  In any
    event, this is of little significance since the MRLs for the vegetable
    sweet corn are usually expressed in terms of mg/kg in or on "kernel
    plus cobs".

    Leafy Vegetables

    In crops such as cabbage, celery and lettuce, residues are present
    primarily in the outer leaves.  The extent to which wrapper leaves are
    stripped before these crops are marketed makes an important
    contribution to the variations in residue levels seen on these crops.
    Residues in lettuce during the first few days after spraying at
    effective use rates were generally in the range of 1-5 mg/kg, although
    values at high as 17 mg/kg were recorded.  In cabbages, corresponding
    values were generally around 1 mg/kg, with a highest value of 2.7

    mg/kg.  Residues up to 1.9 mg/kg and 5.7 mg/kg were found in untrimmed
    celery and in spring onions during the first 3-4 days after spraying
    at effective use rates.

    Residues reported in some other leafy vegetables were generally
    smaller than those in cabbages.  For example, the maximum values
    recorded at effective use rates were: broccoli, 1.4 mg/kg; Brussels
    sprouts, 1.0 mg/kg; kale, 1.1 mg/kg; and spinach 1.3 mg/kg.  However
    it was noted that the data on spinach and kale were derived from a
    single field trial and further trials on these crops were considered
    to be desirable.

    In cauliflower curds and in leeks, levels were usually at or below 0.1
    mg/kg, with highest values of 0.31-0.32 mg/kg.  The highest value
    reported in kohlrabi was 0.04 mg/kg.

    Legume Vegetables

    Predictably, residues in Phaseolus beans, which are generally eaten in
    the pod, are higher than those in soybeans or peas, where the seeds
    are protected from the spray.  Mean residues of 0.1-0.2 mg/kg in
    Phaseolus compare with less than 0.1 mg/kg in soybeans and in peas.

    Pome fruits, stone fruits, citrus, berries and other fruits

    Considerable residue data are available on apples, on which the rate
    of residue decline tends to be smaller than on various vegetables.  At
    effective use rates, residues were below 2 mg/kg.  Similar patterns
    were seen on pears, peaches and cherries, although levels on plums
    were 0.1 mg/kg or less.  In oranges, melons and kiwifruits, residues
    were found almost exclusively in the peel; in edible flesh levels were
    not found to exceed 0.03 mg/kg.  As the data for citrus were confined
    to a single study with oranges in Spain, the results from supervised
    trials with other citrus fruits in other countries were considered to
    be desirable.

    Berries and small fruits

    At effective use rates, residues on currants were generally below 1.0
    mg/kg, with a highest value of 1.3 mg/kg.  They were also consistently
    below 1.0 mg/kg on berries and on grapes, at effective use rates.

    Fruiting vegetables

    Residue levels in cucumbers were generally below 0.1 mg/kg with
    occasionally higher values (up to 0.28 mg/kg).  In gherkins and
    squashes levels were less than, or equal to, 0.02 mg/kg and 0.01 mg/kg
    respectively.  Permethrin residues in peppers and tomatoes were
    generally higher than those found in cucurbitae, although they were
    still below 1 mg/kg at effective use rates.  An exception was tomatoes
    in the USA where the need for higher use rates has yielded residues up
    to 1.6 mg/kg.  Residues in eggplants of up to 0.05 mg/kg were
    reported.

    Tea, hops, mushrooms

    Conventional spray and ULV applications resulted in residues in dried
    tea in the range of 1-21 mg/kg.  A programme of sprays yielded
    residues in hops of up to 7.6 mg/kg during the ten days after last
    spraying and effective spray rates for control of pests in mushrooms
    resulted in residues consistently below 0.05 mg/kg.

    General Comments on Residue Findings

    Site of residue on the plant

    As might be expected for a non-systemic and fairly stable compound,
    the amounts of residue found on different parts of crops were largely
    dependent in their direct exposure at the time of application.  This
    is particularly marked with leafy vegetables such as lettuce and
    cabbage where residue levels in wrapper leaves usually were very many
    times (e.g. 10 to 100) those on central heads as trimmed for
    commercial distribution.  Similarly, residues on fruits such as
    melons, citrus and kiwi fruits have been almost confined to the peel
    or similar outer protective surfaces.  This is illustrated in Table 3
    which contains typical findings from the examination of samples of
    cabbage, lettuce, oranges, melons and kiwi fruit.

    Repeated applications

    The rate of decline in residue levels is fairly slow, half-life
    periods ranging from about 1 to 3 weeks depending on the crop.
    However, there is no obvious build-up of residues following repeated
    applications within the rates and frequencies that are needed to
    obtain good insect control.  Any such effect is small compared with
    inter-site variations.  This is illustrated in Table 4 which records
    the residues found following the treatment of various crops by
    different numbers of applications.

    Effect of formulation employed

    Ground and aerial applications yielded similar residue levels in a
    wide range of vegetables and field crops (Fujie, 1977a, b, 1978a;
    Ussary, 1976a, 1977a, b, c, d, e, f, g, i, j; 1978a, b, c, d, f, g, h,
    1979a).  As examples, there were no striking differences in residue
    levels following the application of various emulsifiable concentrate
    formulations or between residues in fruits such as apples and pears
    following the use of emulsifiable concentrates and wettable powders
    (e.g. Ussary, 1977k).  Similarly, there were no major differences in
    residue levels in greenhouse cucurbitae and solanaceae following spray
    and fogging applications at effective rates under similar conditions.



        Table 2.  Residues of Permethrin following Supervised Trials with Various Crops
    (A selection typical of the numerous reports available)

                                                                                                                               
                      Country        Formulation     Appl.        Number         Interval          Residue     Measurements
    Crop              (year)         strength        rate         of             last appln.       Highest     Mean
                                     (E.C.)          (g.ai/ha)    Applns.        and harvest                   (No.of results)
                                                                                                                               

    A.  FIELD CROP

    Cottonseeds       USA            25 to 40%       110          3 to 16        0                  0.07        0.03 (3)
                      (1975/77)                                                  14-16              0.03        0.03 (2)
                                                                                 53-56              0.27        0.07 (12)
                                                     450                         0                  0.14        0.08 (2)
                                                                                 16                             0.06 (1)
                                                                                 55-76              0.08        0.03 (7)
                      Other Supervised trials in Australia, Mexico and Argentina had similar findings

    Soybeans          USA            25 to 40%       100 to 165   1 to 3         20-65              0.04        0.02 (51)
                      (1975/78)                      220 to 275     "            14-65              0.05        0.02 (8)
                                                     450            "            41-85              0.01       <0.01 (5)
                      In Brazil the results were similar.

    Sweet corn        USA            25%             110           8             0-4               <0.01       <0.01 (6)
                      (1976-78)                      210-220      7-16           0-4                0.07        0.02 (13)
                                                     280-450      6-13           0-4                0.12        0.03 (11)
                      Also results from Australia and Canada.

    Oilseed Rape      Sweden and UK residues not greater than 0.01

    Sugarbeet         FRG            25%              30          1              0-70                         <0.01 (16)
    (roots)           UK                             400          1               8                            0.02 (1)

    B.  LEGUME VEGETABLES

    Beans             Netherlands
    (Phaseolus        (1978)         25%             125          1               3                0.29         0.14 (6)
    vulgaris)         UK             200             200          1              0-3               0.31         0.22 (3)
                                                                                                                               

    Table 2.  Continued...

                                                                                                                               
                      Country        Formulation     Appl.        Number         Interval          Residue     Measurements
    Crop              (year)         strength        rate         of             last appln.       Highest     Mean
                                     (E.C.)          (g.ai/ha)    Applns.        and harvest                   (No.of results)
                                                                                                                               

    Kidney, runner
    snap)             USA            results similar

    Peas              UK             25%             100                          4-35             0.04         0.01 (13)
                      (1976,1978)    1.25%           1 and 200                    0-3              0.02         0.01 (3)
                      Also S. Africa and the Netherlands.

    C.  LEAFY VEGETABLES

    Broccoli          USA            25%             100          2-10             1               1.4          0.47 (23)
                      (1975/78)      40%                                          6-7              0.3          0.15 (15)
                                                     440          2                0                            1.8 (1)
                                                                                   1                            1.5 (1)
                                                                                   7                            0.48 (1)
                      South Africa and U.K. similar.

    Brussels          USA            25%             105-140      2-13            0-1              1.0          0.25 (18)
    sprouts           (1975-77)                                                   7-8              0.56         0.23 (13)
                                     40%             210          2-4              0               0.26         0.21 (2)
                                                                                   7                            0.17 (1)
                      Results also from Canada, Netherlands and U.K.

    Cabbage           Germany F.R,   25%             38            2               0               1.6          1.3 (3)
                      (1976)                                                       7               0.87         0.42 (3)
                      U.K.           25%               140         1               0               2.5          1.8 (2)
                      (1975/76)                                                   19               0.39         0.25 (2)
                      Additional results available from Germany and U.K., Australia, Canada and U.S.A.

    Chinese           Japan          20%             300-400       3               7               1.8          0.90 (8)
    Cabbage                                                                      15-16             0.45         0.32 (8)
                                                                                                                               

    Table 2.  Continued...

                                                                                                                               
                      Country        Formulation     Appl.        Number         Interval          Residue     Measurements
    Crop              (year)         strength        rate         of             last appln.       Highest     Mean
                                     (E.C.)          (g.ai/ha)    Applns.        and harvest                   (No.of results)
                                                                                                                               
    Cauliflower       U.S.A.         35%             105-110      2-13           0-2               0.32         0.08 (24)
                      (1975/77)      4O%                                          7                0.10         0.04 (15)
                                                     210-220      2-8            1-2               0.07         0.04 (4)
                                                                                  7                <0.01       <0.01 (3)
                      Results also from Canada, Germany and U.K.

    Kale              Germany F.R.   25%              22.5         2               0               1.1          0.85 (3)
                      (1977)                                                       7               0.64         0.59 (3)
                                                                                  14               0.43         0.32 (3)

    Kohlrabi          Germany F.R.   25%               38          2             0-21              0.04         0.02 (14)
                      (1976)
                      Similar findings from the Netherlands.

    Lettuce           Netherlands     2%              50-75        1              0                4.1          4.1 (3)
                      (1977)
                      (Indoor)
                      U.S.A.         25%             105-140      2-10           0-1               5.7          0.71 (18)
                      (1975/79)      40%                                          7                1.2          0.24 (15)
                      (outdoor)
                      U.K.            1.25%          200-240       1             0-3               5.4          3.6 (5)
                      (1978)
                      (outdoor)
                      Other results from Netherlands, U K. and U.S.A.: also from Germany (F.R.)

    Spinach           Germany F.R.   25%               30          3              0                1.3          1.1 (3)
                                                                                  4                0.55         0.52 (3)
                                                                                 10                0.18         0.13 (3)

    D.  ROOT AND TUBER VEGETABLES

    Carrots           U.K.           1.25%             100         1              0-3              0.04         0.04 (5)
                      (1978)                           200         1              0-3              0.12         0.08 (4)
                                                                                                                               

    Table 2.  Continued...

                                                                                                                               
                      Country        Formulation     Appl.        Number         Interval          Residue     Measurements
    Crop              (year)         strength        rate         of             last appln.       Highest     Mean
                                     (E.C.)          (g.ai/ha)    Applns.        and harvest                   (No.of results)
                                                                                                                               

    Japanese          Japan          20%             150-200      2-4            30-45             0.04         0.02 (10)
    radish                                                                                         (roots)
                                                                                                               0.140.06(10)

    Potatoes          Reports from Australia, Canada, Germany, Netherlands, U.K. and U.S.A.
                      all find no residues above limit of determination.

    E.  BULB AND STEM VEGETABLES

    Celery            U.S.A.         25%               220        8-21             0               3.3          3.0 (4)
                      (1977)                                                       7               1.4          1.2 (4)
                                                                                 (untrimmed)
                                                                                   0               0.68         0.47 (4)
                                                                                   7               0.28         0.25 (4)
                                                                                 (trimmed before analysis)
                                                     450          8-21             0               8.9          5.6 (4)
                                                                                   7               2.3          1.2 (4)
                                                                                 (untrimmed)
                                                                                   0               1.3          0.88 (4)
                                                                                   7               0.53         0.51 (4)

    Leek              Netherlands    25%                          1-2             6-7              0.31         0.12 (8)
                      (1973)

    Onion(spring)     U.K.           1.25%           400          1                                0-3         0.830 50(3
                      (1978)         10%                          1                                0-4         5.73:5 (8}

    F.  FRUITING VEGETABLES

    Cucumbers         Canada         50%                           1             1                 0.28         0.17 (3)
                      (1977)                                                     4                 0.06         0.05 (3)
                      (Indoors)
                                                                                                                               

    Table 2.  Continued...

                                                                                                                               
                      Country        Formulation     Appl.        Number         Interval          Residue     Measurements
    Crop              (year)         strength        rate         of             last appln.       Highest     Mean
                                     (E.C.)          (g.ai/ha)    Applns.        and harvest                   (No.of results)
                                                                                                                               

    Cucumbers         Japan          20%                          2-3             1                0.17         0.09 (4)
    (cont'd)                                                                      3                0.06         0.03 (4)

                      Other figures from Canada and Japan, also from Germany, Netherlands,
                      Mexico, U.K and U.S.A.

    Eggplants         U.S.A.         25%               220         5             3-7               0.05         0.03 (2)
                      (1978)

    Gherkins          Netherlands    25%               125         1             3-7               0.02         0.02 (4)
                      (Indoors)
                      (1978)

    Melons            Mexico                                                                       Edible flesh
                      (outdoors)     50              100-200                     1-3               0.02         0.02 (4)
                      (1978)                                                                       Skin
                                                                                                   0.69         0.32 (4)

    Peppers           U.K.           25%               125         2              0                0.67         0.59 (3)
                      (Indoors)                                                   1                0.65         0.52 (3)
                      (1978)
                      Results similar from Denmark and Canada.

    Squash            Mexico         50%               100 to                    1-7               0.01        <0.01 (6)
                      (outdoors)                       200
                      (1978)

    Tomatoes          U.S.A.         25%             105-135      1-13            0                1.3          0.32 (57)
                      (outdoors)     40%                                          7                0.51         0.14 (24)
                      (1975/80)                      420                         2-8               0.45         0.29 (4)
                                                                                                                               

    Table 2.  Continued...

                                                                                                                               
                      Country        Formulation     Appl.        Number         Interval          Residue     Measurements
    Crop              (year)         strength        rate         of             last appln.       Highest     Mean
                                     (E.C.)          (g.ai/ha)    Applns.        and harvest                   (No.of results)
                                                                                                                               

    Tomatoes          U.K.           25              350           3              1                0.90         0.77 (2)
    (cont'd)          (Indoors)
                      (1976)                                                      7                1.1          0.59 (2)
                      Additional indoor and outdoor data also available from Australia, Canada, Denmark, Germany,
                      Netherlands, Japan, S. Africa, Spain, U.K. and U.S.A. These include residues following
                      treatments with sprays and with fog.

    G.  POME FRUITS, STONE FRUITS, CITRUS

    Apples            Australia      10%             125          1-5            0-1               1.1          0.81 (3)
                      (1975/77)      50%                                         21                0.59         0.45 (3)
                                                     250          1-5            0-3               2.0          1.4 (3)
                                                                                 21                1.2          1.0 (2)
                      U.S.A.         25%             75-80        1-14            1                1.9          1.0 (5)
                      (1976/78)                                                  14-16             0.89         0.42(3)
                      In addition to other findings fron Australia and U.S.A., results of supervised trials
                      on apples were available also from Canada, France, Germany, Netherlands, South Africa and U.K.

    Pears             Canada         25%              62.5        1-6            0-1               1.9          0.77 (18)
                      (1976/78)                                                  21                0.35         0.20 (2)
                      Australia      10%             125-150      4-6            0                 1.7          1.2 (2)
                                     50%                                         14                1.3          0.81 (2)
                      Other and similar figures are available from Australia, Canada, France,
                      Germany, Netherlands, South Africa, U.K. and U.S.A.

    Peaches           Australia      10%             125-150      4-6             0                1.7          1.2 (2)
                      (1976/77)      50%                                         14                1.3          0.81 (2)
                      Germany        25%               75          2              0                0.83         0.57 (3)
                      (1977)                                                     14                0.27         0.18 (3)
                      Further figures available from Canada and others from Australia and Germany.
                                                                                                                               

    Table 2.  Continued...

                                                                                                                               
                      Country        Formulation     Appl.        Number         Interval          Residue     Measurements
    Crop              (year)         strength        rate         of             last appln.       Highest     Mean
                                     (E.C.)          (g.ai/ha)    Applns.        and harvest                   (No.of results)
                                                                                                                               

    Cherries          Germany        25%               75          2              1                1.2          0.90 (3)
                      (1977)                                                     14                0.56         0.35 (3)

                                                                                                   flesh peel
    Oranges           Spain          25%             100           3             0                 0.01        <0.01 (3)
                      (1976)                                                                       0.41         0.33 (3)
                                                                                 7                 0.01        <0.01 (3)
                                                                                                   0.57         0.34 (3)

    H.  SMALL FRUITS AND BERRIES

    Blackcurrants     U.K.           1.25%            40           1             0-3               1.3          0.91 (5)
                      (1978)

    Redcurrants       Netherlands    25%              50           1              7                0.81         0.56 (4)
                      (1977)

    Grapes            Germany        25%             150          3-4             0                1.1          0.58 (6)
                      (1975/76)                                                  14                0.95         0.42 (6)
                      Similar results from Australia, Canada, France, South Africa and U.S.A.

    Raspberries       U.K.           1.25%           40            1             0-3               0.80         0.50 (5)
                      (1978)
                      Canada         25% WP          62.5          3              8                             0.23 (1)
                      (1975)

    Strawberries      U.K.           1.25%           40            1             0-3               0.56         0.29 (5)
                      (1978)          "              80            1             11                0.49         0.36 (5)
                      Also figures received from Canada

    Kiwi fruit        New Zealand    50%             25           3-7             7                0.50         0.30 (3)
                      (1979)                                                     14                0.56         0.34 (3)
                                                                                                                               

    Table 2.  Continued...

                                                                                                                               
                      Country        Formulation     Appl.        Number         Interval          Residue     Measurements
    Crop              (year)         strength        rate         of             last appln.       Highest     Mean
                                     (E.C.)          (g.ai/ha)    Applns.        and harvest                   (No.of results)
                                                                                                                               

    I.  COFFEE, MUSHROOMS

    Coffee (beans)    Brazil         50%              100           1               1                          )Peeled or
                      (1978)                                                        3                          )washed berries
                                                                                   15                          )<0.01(1)
                                                      200                           1                          0.03 (1)
                                                                                    3                          0.02 (1)

    Tea               Indonesia
    (dried)           (1978)         2%                10          2-4              1                           5.2 (1)
                                                                                    6              3.3          2.1 (3)
                                                      100          2-4              1                          21 (1)
                                                                                    6              8.1          6.7(3)
                                     5% ULV            40          2-4              1                           6.3(1)
                                                                                    6              1.7          2.9(3)

    Hops              Germany (F.R.) 25%             150-500        5               0               7.4        ( 6.0 (3) Fresh
                                                                                                               (         weight
                      (1977)                                                        7               4.9        ( 3.8 (3) basis)
                                     25%                                            7              36          (18 (3)   (Dry
                                                                                   10              22          (16 (3)   basis)

    Mushrooms         Germany F.R    25%              200           2              1-3              0.04        0.02 (6)
    (1977)
                                                                                                                               

    Table 3. Residues in Outer Coverings and in Edible Parts of Certain Crops
             (The figures quoted are typical of numerous data held by FAO)

                                                                                                      
                                   Rate of      Interval between       Permethrin Residues (mg/kg) In
    Crop           Country          appl.       last Application          Wrapper        Trimmed
                                  (g ai/ha)     and Harvest (days)        Leaves         Heads
                                                                                                      

    Cabbage        U.S.A.            200             1                     5.9           0.10
                                                     3                     4.8           0.17
                                                     7                     2.9           0.05
                                     110             0                     5.2           0.14
                                                     1                     8.4           0.24
                                                     3                     7.4           0.15
                                     55              0                     0.67          <0.01
                                                     1                     0.56          <0.01
                                                     3                     0.58          <0.01
                                                     7                     0.53          <0.01
    Lettuce        U.S.A.            200             1 day                 47            0.71
                                                     3 days                9.2           0.50
                                                     7 days                9.6           0.34
                                                     14 days               6.3           0.35

                                     220             0 days                6.2           0.39
                                                     1 day                 5.4           0.38
                                                     3 days                4.9           0.24
                                                     7 days                4.6           0.36

                                     110             0 days                2.5           <0.01
                                                     1 day                 2.7           <0.01
                                                     3 days                2.3           <0.01
                                                     7 days                1.2           <0.01
                                                                           In Peel       Edible flesh

    Orange         Spain             50              7                     0.34          <0.01
    Melon          Mexico            100-200         1-3                   0.32          0.02
    Kiwi fruit     New Zealand       50              0                     1.7           <0.03
                                                                                                      
    (Ussary 1977 d,e,i,j; 1978 f,j; 1979 h.; Swaine and Sapiets, 1979 a,b; Cheong, 1977, 1979)
    


    Table 4.  Correlation of Residues with Number of Applications
              (Figures extracted from a larger Table of USA Data)

                                                                      
                  Rate of      Interval between    No. of    Permethrin
                  appl.        last application    Appl.s    Residues
    Crop          (g ai/ha)    and harvest                   (mg/kg)
                                                                      

    Broccoli      70-110       0-1 days            2         0.28(4)
                                                   6-8       0.37(3)
                                                   9-10      0.20(8)
                               2-4 days            2         0.18(3)
                                                   6-8       0.30(3)
                                                   9-10      0.22(4)
                               6-7 days            2         0.12(2)
                                                   6-8       0.18 1)
                                                   9-10      0.15(4)

    Brussels      105-140      0-1 days            2         0.08(2)
    sprouts                                        3-4       0.24(2)
                                                   5-7       0.06(4)
                                                   0-13      0.38(3)
                               3-8 days            2         0.13(2)
                                                   3-4       0.22(2)
                                                   5-7       0.09(4)
                                                   9-13      0.30(3)
                               14 days             2         0.08(1)
                                                   5-7       0.06(1)

    Cabbage       105-140      0-1 days            3-4       0.07(7)
                                                   5-6       0.12(7)
                                                   7-9       0.06(10)
                                                   10-11     0.13(5)
                  200-220      0-1 days            3-4       0.44(3)
                                                   5-6       0.21(6)
                                                   10        0.15(2)
                               3 days              3-4       0.49(2)
                                                   5-6       0.20(3)
                                                   10        1.1(1)
                               7-8 days            3-4       0.40(2)
                                                   5-6       0.10(3)
                                                   7-9       0.04(1)

    Cauliflower   200-220      0 days              2-3       0.06(2)
                                                   8-9       <0.01(1)
                               1-2 days            2-3       0.05(3)
                                                   8-9       <0.01(1)
                                                                      

    Table 4.  Continued...

                                                                      
                  Rate of      Interval between    No. of    Permethrin
                  appl.        last application    Appl.s    Residues
    Crop          (g ai/ha)    and harvest                   (mg/kg)
                                                                      

    Celery        220          0-1 days            8-9       0.37(4)
    (trimmed)                                      16-21     0.40(4)
                               3 days              8-9       0.28(2)
                                                   16-21     0.30(2)
                  220          7 days              8-9       0.26(2)
                                                   16-21     0.23(2)

    Celery        220          0-1 days            8-9       3.0(4)
    (untrimmed)                                    16-21     3.1(4)
                               3 days              8-9       1.5(2)
                                                   16-21     1.9(2)
                               7 days              8-9       1.0(2)
                                                   16-21     1.4(2)

    Lettuce       200-275      0-1 days            2         0.43(3)
                                                   3-4       0.64(3)
                                                   6-10      0.30(10)
                               3-4 days            2         0.21(2)
                                                   3-4       0.28(3)
                                                   6-10      0.26(5)
                               7 days              2         0.05(2)
                                                   3-4       0.21(3)
                                                   6-10      0.24(6)
                               13-14 days          2         0.01(2)
                                                   3-4       0.25(3)
                                                   6-8       0.10(2)

    Tomatoes      105-130      0-1 days            1-3       0.09(4)
                                                   4-6       0.10(5)

                               2-5 days            1-3       0.04(4)
                                                   4-6       0.08(6)

                               7 days              1-3       0.04(4)
                                                   4-6       0.06(4)
                                                   7-10      0.13(2)
                                                                      
    


    Figures in parentheses are numbers of results upon which the means are
    based (Ussary, 1976 c; 1977 c,d,f,g,h,i,l; 1978 c-i).



        Table 5.  Residues of Permethrin, 3-(2,2-dichlorovinyl)-2,2-dimethylcyclopropane
              carboxylic Acid (DCVA), and 3-Phenoxybenzyl Alcohol (3-PBA) in Some Crops
              Grown in the USA
              (Typical examples extracted from a larger table)

                                                                                            
                      Rate of                 Interval     Residues of Stated Compounds
    Crop              appl.        No. of     last appl.   (mg/kg means figures)
                      (g ai/ha)    appl.s     and                                           
                                              Harvest      Permethrin     DCVA      3-PBA
                                                                                            

    Alfalfa           220-440      1          3            11             0.66      0.51
                                              7            6.1            1.1       0.55
                                              14-21        1.6            0.67      0.45

    Broccoli          220-440      2-8        0-2          0.70           <0.10     <0.05
                                              6-7          0.25           <0.10     <0.05

    Celery            220-440      17-21      0-1          3.4            0.28      0.21
    (untrimmed)                               3            1.9            0.18      0.21
                                              7            1.4            0.25

    Lettuce           220-440      3-11       0-1          14             1.0       0.42
    (wrapper leaves)                          3            4.8            0.93      0.46
                                              7            5.1            0.84      0.32

    Lettuce           220-440      3-11       0-1          0.27           0.04      0.04
    (heads)                                   3            0.26           0.03      0.05
                                              7            0.25           0.05      0.03

    Tomatoes          105-130      2-12       0-1          0.38           0.01      0.03
                                              7-8          0.17           0.02      0.02
                      210-440      2-12       0-1          0.40           <0.10     <0.05
                                              7-8          0.12           <0.10     <0.05
                                                                                            
    


    FIGURE 2

    FIGURE 2a;V079PR16.BMP

    FATE OF RESIDUES

    IN ANIMALS

    a) Cows and Goats

    Permethrin is extensively metabolized and rapidly excreted by cows and
    goats.  Overall patterns of excretion and metabolism are similar to
    those seen in the rat and dog (see "Biochemical aspects" section).
    Residues in fat and secreted in milk decline on cessation of dosing
    (Bewick and Leahey, 1976; Edwards and Iswaren, 1977; Gaughan et al,
    1976; 1978a; Hunt and Gilbert, 1977; Leahey et al, 1977).

    When cis-and trans-isomers of 14C-labelled permethrin (carbonyl and
    methylene labelled) were administered orally to lactating Jersey cows
    for three consecutive days at approximately 1 mg/kg body weight,
    radioactivity was largely eliminated from the body in faeces and in
    urine within 12 or 13 days after the initial treatment.  Total
    14C-permethrin equivalents in milk were consistently below 0.3 mg/kg
    and declined on cessation of exposure.  Residues in fat were present
    at low levels.  Residues in meat and milk were higher when
    cis-permethrin rather than trans-permethrin was administered and
    consisted almost entirely of unmetabolized permethrin.  Total
    14C-permethrin equivalent in blood reached a transient peak shortly
    after each dose and dropped to trace levels within 2-4 days after the
    last dose (Gaughan et al., 1976, 1978a).

    In another study cows received a single oral dose of 40:60
    cis:trans 14C-labelled permethrin (either cyclopropane or
    methylene labelled) at 2.5 mg/kg body weight, equivalent to
    approximately 80 mg/kg in the diet.  Levels of radioactivity in milk
    reached a maximum of 0.13 mg permethrin equivalents/kg after 1-2 days.
    These declined to less than 0.02 mg/kg after seven days.  Levels of
    radioactivity in the fat were 0.12-0.18 mg permethrin equivalents/kg
    after seven days and 0.05-0.08 mg/kg after fourteen days, indicating
    that the small residues in fat are also not maintained on cessation of
    dosing (Bewick and Leahey, 1976).

    Leahey et al (1977a) dosed goats orally with 40:60 cis:trans
    14C-labelled permethrin (cyclopropane or methylene labelled) at a
    rate equivalent to approximately 10 mg/kg in the diet for seven days.
    Total radioactive residues in the milk reached a plateau of 0.02-0.03
    mg permethrin equivalents/kg after five days.  30-50% of this
    radioactivity was associated with the butterfat fraction of the milk
    in which total radioactive residues were 0.13-0.27 mg permethrin
    equivalents/kg.

    Where "alcohol" labelled permethrin was used, approximately 70% of the
    14C in kidney tissue was 3-phenoxybenzoic acid (IV) plus
    3-(4'-hydroxyphenoxy)benzoic acid (V) (Figure 2).  Approximately 30%
    of the 14C in the liver was due to 3-phenoxybenzyl alcohol (III) plus
    3-(4'-hydroxyphenoxy) benzyl alcohol.  A further 15% was due to

    3-phenoxybenzoic acid (IV) Plus 3-(4'-hydroxyphenoxy) benzoic acid
    (V).  Where "acid" labelled permethrin was used, approximately 10-15%
    of the label in liver and kidney was due to the cis and trans
    3-(2,2-dichlorovinyl) cyclopropane carboxylic acids (I and II)
    (principally the trans isomer) (Leahey et al., 1977a).

    In another study goats were dosed orally with either the cis- or
    trans-isomers of 14C-labelled permethrin (carbonyl or methylene
    labelled) at a rate equivalent to approximately 6 mg/kg in the diet
    for ten days.  Total radioactive residues in the milk reached a
    plateau after three days of 0.02-0.05 and <0.01-0.01 mg permethrin
    equivalents/kg respectively for the cis- and trans-isomers.  The
    goats were sacrificed 24 hours after receiving the final dose, when
    levels of radiocarbon in meat tissues were measured.  Total
    radioactivity in the fat of animals receiving the cis isomer was ten
    times higher than in those receiving the more readily hydrolysed
    trans-isomer (Hunt and Gilbert, 1977).

    Groups of three barren, Friesian cows, yielding 9-13 litres of milk
    per day were maintained on diets containing non-radiolabelled
    permethrin at approximately 0.2, 1.0, 10 and 50 mg/kg.  The permethrin
    was absorbed on grass nuts.  After 28-31 days two cows in each group
    were sacrificed.  The third was returned to control diet for seven
    days before sacrifice.  Samples of milk and of meat tissues were
    analysed for permethrin residues by the gas chromatographic method
    reviewed under "Methods of Residue Analysis" below.  At the 0.2 and
    1.0 mg/kg dietary inclusion rates, permethrin residues in milk were
    less than 0.01 mg/kg.  Residues in kidney, liver muscle and
    subcutaneous fat were also less than 0.01 mg/kg and in peritoneal fat
    less than 0.05 mg/kg.  The higher dietary levels of 10 and 50 mg/kg
    resulted in low residues in milk of 0.01-0.06 mg/kg (mean 0.02 mg/kg)
    and 0.03-0.2 mg/kg (mean 0.1 mg/kg) respectively.  These levels are
    approximately 0.2% of the corresponding dietary levels.  Residues did
    not accumulate over the period of the study and they declined rapidly
    on returning the animals to control diet, to below 0.01 mg/kg within
    seven days.  Permethrin residues in muscle, liver and kidney were
    below 0.1 mg/kg.  Residues in peritoneal fat were again higher than in
    subcutaneous fat (Edwards and Iswaren, 1977).

    b) Hens

    Hens were dosed orally with 40:60 cis-trans 14C permethrin
    (cyclopropane or methylene labelled) for ten days at a rate equivalent
    to approximately 10 mg/kg in the diet or separately with cis- and
    trans-isomers (carbonyl or methylene labelled) for three days at a
    rate equivalent to approximately 80 mg/kg in the diet.  Residues in
    eggs were present primarily (> 75%) in the yolks in which
    radioactivity reached a plateau after 5-8 days of 0.3-0.5 mg
    permethrin equivalents/kg in the 10-dose study and 0.6 mg/kg
    (trans-isomer administered) or 2.1-2.8 mg/kg (cis-isomer administered)
    in the 3-dose study.  Permethrin was the major compound identified in
    the eggs (52-62%).  The cis and
    trans-3-(2,2-dichlorovinyl)-2,2-dimethylyclopropane carboxylic acids

    (I & II) and 3-phenoxybenzyl alcohol (III) (Figure 2) were the major
    metabolites in eggs, each normally accounting for less than
    approximately 10% of total radioactivity.  The carboxylic acids were
    present both free and as the glucuronide and taurine conjugates.
    Other metabolites arose from hydroxylation in the 4'-position of the
    "alcohol" moiety and in the trans-2-methyl moiety in the "acid" part
    of the molecule.

    The hens were sacrificed four hours after receiving the final dose in
    the 10-dose study and six days after receiving the final dose in the
    3-dose study.  As in the case of eggs, residues in fat derived from
    both "acid" and "alcohol" labels were similar.  Permethrin itself
    represented the major residue in the fat.  Compounds I - III and
    3-phenoxybenzoic acid (IV) were also identified (each less than 10% of
    the total radioactivity in the fat).  In both muscle and liver, higher
    residues were detected in hens dosed with "acid" labelled permethrin
    than with "alcohol" labelled.  The cis- and
    trans-3-(2,2-dichlorovinyl)-2,2 dimethylcyclopropane carboxylic acids
    (I and II) were the major residues identified in these tissues.  Blood
    levels declined rapidly during the first 24 hours after administration
    (Gaughan et al., 1978 b; Leahey et al. 1977b).

    In a study with non-radiolabelled 40:60 cis:trans permethrin, groups
    of 40 laying hens were fed on diets containing approximately 0.4, 3.4
    and 33 mg/kg for 28 days and then returned to a control diet for an
    additional 14 days.  Samples of eggs laid during the study were
    analysed for permethrin residues by the gas chromatographic method
    described under "Methods of Residue Analysis" below.  Five hens per
    group were sacrificed after 21, 28, 35 and 42 days of the study and
    tissues analysed for permethrin.

    At the 0.4 mg/kg dietary inclusion rate no residues of permethrin were
    detected on the albumen and yolks of egg (limit of detection 0.02
    mg/kg) or in the muscle, skin and liver (limit of detection 0.01
    mg/kg).  At the higher dietary inclusion rates no permethrin was
    detected in egg albumen.  In yolks, permethrin residues were up to
    0.05 mg/kg and up to 0.64 mg/kg respectively at the 3.4 and 33 mg/kg
    treatment levels.  Residues did not accumulate and declined rapidly
    when feeding finished reaching non-detectable levels (less than 0.02
    mg/kg) before the end of the 14-day recovery period in both cases.  At
    the 3.4 mg/kg dietary inclusion rate, permethrin residues in muscle,
    skin and liver were non-detectable; i.e., less than 0.01 mg/kg.  At
    the 33 mg/kg rate permethrin residues in liver were also
    non-detectable; low residues in muscle and skin of 0.05-0.08 mg/kg
    fell to 0.02 mg/kg before the end of the recovery period (Edwards and
    Swaine, 1977).

    ON PLANTS

    In general, permethrin residues from foliar sprays are not
    translocated from site of deposition, nor is there any appreciable
    uptake into the aerial parts of plants from soils.  Permethrin per 
    se is relatively persistent on plant surfaces.

    On leaf surfaces, permethrin is degraded mainly by ester cleavage,
    which occurs more rapidly with the trans-isomer than the
    cis-isomer.  The major degradation products are the cis-and
    trans-isomers of 3-(2,-2-dichlorovinyl) 2,2-dimethylcyclopropane
    carboxy acid (DCVA) and 3-phenoxybenzyl alcohol (3-PBA), which occur
    both free and as conjugates (Gatehouse et al., 1976a, b; Gaughan
    et al., 1976; Gaughan and Casida, 1978; Ohkawa et al., 1977;
    Selim and Robinson, 1977 a, b).

    The degradation of 14C permethrin has been studied on cotton leaves,
    bean seedlings, cabbage leaves and apple fruits.  In all cases
    permethrin degraded comparatively slowly.  Unchanged permethrin
    accounted for 23-58% of the radioactivity on cotton leaves after 28
    days (Gatehouse et al., 1976b) more than 80% of the radioactivity in
    apple fruits after 28 days and more than 60% of the radioactivity on
    cabbage leaves after 42 days (Gatehouse et al., 1976b).  On bean
    plants trans-permethrin was shown to degrade more readily than
    cis-permethrin ("half-lives" of 7 and 9 days respectively) (Gaughan
    and Casida, 1978; Ohkawa, et al, 1977).  Both isomers undergo ester
    cleavage and oxidation of the phenoxy group; the resulting acid and
    alcohol metabolites form conjugates with glucose.  The major
    metabolites derived from the alcohol moiety were the glucosides of
    3-phenoxybenzyl alcohol, 3-(2'-hydroxyphenoxy) benzyl alcohol and
    3-(4'-hydroxyphenoxy)benzyl alcohol.  Those derived from the acid
    moiety were principally the glucosides of
    3-(2,2-dichlorovinyl)2,2-dimethylcyclopropane carboxylic acid (cis
    and trans-isomers).

    In addition to the major metabolites mentioned above, other
    metabolites were identified.  These included 3-phenoxybenzoic acid,
    the 2'-hydroxy and 4'-hydroxy derivatives of permethrin, and oxidation
    products of the geminal methyl group of the
    dichlorovinyl-dimethyl-cyclopropane carboxylic acid.  Ohkawa (1977)
    outlines the probable metabolic pathways on bean plants which seems
    generally representative of the metabolic fate of permethrin on
    plants.

    Only minimal degradation was noted for permethrin applied directly to
    cottonseed, lint and bolls (Gatehouse et al, 1976b; Selim and
    Robinson, 1977b).

    The available metabolism studies with radiolabelled permethrin provide
    qualitative evidence of the residues to be expected under actual use
    conditions.  Data on field-treated crops analyzed by chemical methods
    for the parent, 3-PBA, and DMA showed residues of DMA and 3-DCVA
    always much lower than those for permethrin (Table 5).

    In a special review of synthetic pyrethroids, the Pesticide Chemistry
    Commission of IUPAC found that the terminal residues of permethrin in
    plants are likely to be unchanged permethrin, and free and conjugated
    3-phenoxybenzyl alcohol (3-PBA) and (DCVA) the cyclopropane carboxylic
    acid (IUPAC 1979).  The IUPAC report also noted the desirability of

    outdoor plant metabolism experiments to detect other possible
    photoproducts as terminal residues.

    Permethrin and its metabolites are effectively non-systemic in plants
    (Gaughan and Casida, 1978; Leahey et al, 1976; Munger, 1975; Ohkawa
    et al, 1977; Selim and Robinson, 1977a), and residue levels in
    rotational crops are minimal.  The uptake of permethrin and/or its
    metabolites by rotational crops was first examined in studies in which
    14C-permethrin (cyclopropane or phenyl labelled) was applied to soil
    at 1.1 or 2.2 kg ai per ha (up to 20 times the highest likely use
    rate).  Lettuce, cotton, wheat and sugar beet were sown as
    representative rotational crops up to 120 days later.  Under the
    conditions of the research greenhouse, the rotational crops were found
    to contain small radioactive residues - e.g. less than 0.05 ppm
    3-(2,2-dichlorovinyl)-2,2-dimethylcyclopropane carboxylic acid
    equivalents at harvest in crop parts used for human consumption, or
    less than 0.25 ppm in crop parts used for animal feed, when rotational
    crops were sown 120 days after spraying.  Almost invariably higher
    residues were obtained from soils treated with 14C-"alcohol"-labelled
    permethrin than when the same soils had been treated with
    14C-labelled permethrin.  Total radioactive residues were normally
    below 0.05 ppm 3-phenoxybenzyl alcohol equivalents both in silage and
    mature crops sown after 120 days.  The major constituents of the
    "acid" labelled residue were the cis- and trans-isomers of
    3-(2,2-dichlorovinyl)-2,2-dimethylcyclopropane carboxylic acid (I and
    II - see Figure 2) and
    3-(2,2-dichlorovinyl)-2-methylcyclopropane-1,1-dicarboxylic acid (VI),
    all of which have been shown to be metabolites of permethrin in the
    rat.

    IN SOIL

    In both laboratory and the field, permethrin is rapidly degraded in
    soil in which it has a "half-life" of 1/2-6 weeks under aerobic and
    under anaerobic conditions.  This degradation is due mainly to the
    action of microorganisms.  Extractable soil degradation products
    include permethrin hydroxylated in the 4'-position of the terminal
    benzene ring, 3-phenoxybenzyl alcohol, 3-phenoxybenzoic acid, the
    cis-and trans-isomers of
    3-(2,2-dichlorovinyl)-2,2-dimethylcyclopropane carboxylic acids and
    derivatives of those acids obtained by hydroxylation in the
    gem-dimethyl groups in the 2-position of the cyclopropane ring, all of
    which have been identified as animal metabolites (see Section on
    Biochemical Aspects) and all of which undergo further degradation.
    Extensive evolution of 14CO2 from four positions in the molecule
    (i.e. using vinyl, cyclopropane, methylene and phenyl labelling) has
    been demonstrated, for example, 17-80% in 20 weeks under aerobic
    conditions (Arnold et al., 1976a, b; Kaneko et al., 1978; Kaufmann
    et al., 1977; Ussary, 1977 n; Williams and Brown, 1979).  Permethrin
    and its metabolites have low mobilities in soil, considerably less
    than that of atrazine which is recognised as being only moderately
    mobile in soil (Kaneko et al, 1978; Prashad et al, 1977).

    FATE ON PROCESSING AND COOKING

    Cotton, Soybeans

    Cotton processing residue studies have been reported in the USA.
    Permethrin residues in cottonseed oil were usually smaller than those
    in ginned cottonseed, being consistently well below 0.1 mg/kg at
    effective use rates.  Residues in cottonseed hulls and cottonseed cake
    were also very small.  Residues in linters and linter motes were
    greater than those in raw cottonseed, but neither of these fractions
    is used for food or feed purposes (Fujie, 1976b, c; Ussary, 1976d).

    In similar studies on residues in soybean fractions obtained from
    crops sprayed in the USA, although residues on hulls were slightly
    larger than on the whole bean, there was no concentration in the
    processed fractions, meal, edible oil, and soapstock.  The meeting
    concluded that an MRL of 0.1 mg/kg would be appropriate for both of
    these edible oils.

    Apples, Pears and Grapes

    Permethrin residues in whole apples remain in the pomace when the
    juice is commercially extracted.  In studies in the USA, residues in
    juice were non-detectable throughout (i.e. less than 0.01 mg/kg),
    which is consistent with the low solubility of permethrin in water.
    Residues on fresh apples were concentrated by a factor of 25-30 in dry
    apple pomace.  The pomace is used as animal feed (Ussary, 1977 o, p).
    Ninety-seven percent of the residue in whole pears is removed during
    the commercial canning process (Ussary, 1977n).  Pomace, juice and
    wine obtained from grapes containing 0.09 mg/kg showed no detectable
    permethrin residues (limits of detection 0.01 mg/kg in wine, 0.05
    mg/kg in pomace and juice) (Ussary, 1979e).

    Tomatoes

    As with apples, permethrin residues in whole tomatoes remain primarily
    in the pomace during processing.  Permethrin levels in tomato juice,
    tomato puree and tomato ketchup were consistently much smaller than
    those found in whole tomatoes.  The pomace is used as animal feed
    (Fujie, 1979c; Ussary, 1977q).

    Evidence of Residues in Food in Commerce

    The meeting received no reports of findings of permethrin in foods in
    commerce.  It probably would not be detected by the multi-residue
    methods currently used in national surveillance programs.

    METHODS OF RESIDUE ANALYSES

    The special review of pyrethroids by the Pesticide Chemistry
    Commission (IUPAC 1979) included a survey of methods for permethrin
    available in the open literature.  Some nine methods were discussed
    which involved gas chromatography with either electron capture, flame
    ionization, or conductivity detection (Williams 1976; Lauren and
    Henzell, 1977; George, et al, 1977; Simonaitis and Cail, 1977; Chiba
    1978; Fujie and Fullmer, 1978; Williams and Brown, 1979; Chapman and
    Harris, 1978; Chapman and Simmons, 1977).  One colorimetric method has
    been published (Desmarchelier, 1976) for permethrin residues in
    grains.

    All of the authors reported satisfactory recoveries of permethrin in
    one or more substrates at lower detection limits on the order of 0.01
    mg/kg.  The GLC methods differed mainly in the initial extraction
    solvent, partitioning systems, chromatographic cleanup columns and
    elution solvents.  Gel-permeation chromatography was used in one
    method as an alternative to partitioning between solvents (Fujie and
    Fullmer, 1978).  By selection of the GLC column packing, it is
    possible to measure the cis and trans-isomers separately or as a
    single peak.

    The residue methods employed in the supervised trials and other
    experiments on fate of residues by the manufacturers are mostly
    unpublished.  The coordinated data submission to the meeting
    (Manufacturers, 1979) contains a general discussion of the
    methodology.

    A general description of the methods and references to specific
    reports on analytical procedures in the manufacturers submissions are
    as follows:

    Samples are macerated with 20% acetone in hexane or hexane:isopropanol
    2:1.  Extracts can be cleaned up by gel permeation, by Florisil or by
    small silica gel columns, used either singly or in combination.
    Permethrin residues are then determined by gas-chromatography using an
    electron capture detector.  Alternatively a conductivity detector
    (Coulson) has been used successfully.  Recoveries are essentially
    quantitative and the method has been applied successfully to a wide
    range of crops.  As reported by Fujie (1977c, d); Swaine et al.,
    (1978); Ussary (1977m, 1978k) residues are stable under deep freeze
    conditions in which crop samples are stored pending analysis.  A lower
    detection limit of 0.01 mg/kg (total permethrin content) can normally
    be achieved.  Depending upon the conditions of gas-chromatography
    which are chosen, the cis and trans isomers of permethrin can be
    determined either separately or together (Edwards et al, 1976;
    Fujie, 1977e; Ussary 1976e, 1977r).

    Maceration with 20% acetone in hexane is a more efficient extraction
    system than a two-hour exhaustive reflux or maceration in acetone,
    methanol or 20% chloroform in methanol (Edwards et al., 1976).

    The basic method has been applied successfully to the determination of
    permethrin in soil and in water; where essentially quantitative
    recoveries are again obtained (Ussary, 1977r).  Of the various
    solvents tried, 20% acetone in hexane was found to be the most
    efficient in extracting permethrin residues from soil which had been
    treated at 1 ppm six weeks earlier.  There was no advantage in using
    hot extraction over extraction at room temperature with the solvent of
    choice (Edwards and Ward, 1977b).

    With minor modifications, the method can be used to determine
    permethrin in milk, meat and eggs.  Milk samples are extracted with
    n-hexane:acetone 1:1, tissue samples with n-hexane:acetone 4:1.  The
    acetone is removed by washing with water and the permethrin
    partitioned from n-hexane into dimethylformamide.  The
    dimethylformamide extract is dissolved in 1% aqueous sodium sulphate
    and the permethrin back-extracted into n-hexane.  The extract is
    cleaned up using a Florisil column, and permethrin is determined by
    gas chromatography using an electron capture detector.  The limit of
    detection of the method is 0.01 mg/kg for the combined isomers and
    recovery values for samples of meat and milk fortified at 0.01-0.1
    mg/kg are normally greater than 70%.  Mean recoveries of 89%-92% have
    been obtained from milk and 86%-88% from tissues of cows and hens
    (Edwards and Iswaren, 1977; Edwards and Swaine, 1977).  20% acetone in
    hexane has been shown to be an efficient solvent for extracting
    permethrin residues from animal tissues (Edwards and Sapiets, 1978).

    The method for permethrin analyses in meat and milk is also applicable
    to eggs.  These are extracted with n-hexane:acetone 1:1 and the
    extract washed with 10% aqueous sodium chloride to remove acetone, and
    cleaned up by solvent partition with dimethylformamide and by using a
    Florisil column.  The limit of detection is 0.02 mg/kg for the
    combined isomers and recovery values from yolks and albumen fortified
    at 0.01-0.1 mg/kg are generally in the ranges of 70-90% and 60-90%
    respectively (Edwards and Swaine, 1977).

    The technique of multiple ion detection is suitable for the
    qualitative and quantitative confirmation of residues in crops, milk,
    eggs and animal tissues.  Samples of permethrin in n-hexane obtained
    by the preferred residue analytical methods are examined by gas
    chromatography linked to mass spectrometry using multiple ion
    detection.  Three or more of the most abundant m/e values present in
    the mass spectrum of permethrin are continuously monitored throughout
    the gas chromatographic run and recorded using a multi-pen recorder.
    Qualitative confirmation of permethrin residues is given by the
    appearance of a peak at the correct retention time for all the
    specific m/e values monitored.  In addition, the ratios between the
    peaks given for each m/e value should be identical to that observed
    for permethrin analytical standards.  Quantitative confirmation is
    carried out by comparison of the peak height or peak area, measured
    for the most abundant m/e value recorded, against those obtained with
    external standards of permethrin (Swaine and Edwards, 1977).

    Residue of both the free and conjugated major plant metabolites of
    permethrin, namely cis- and trans-isomer of
    3-(2,2-dichlorovinyl)-2,2-dimethylcyclopropane carboxylic acid (DCVA)
    and of 3-phenoxybenzyl alcohol (3-PBA), can also be determined by gas
    chromatography.  Samples are extracted with 2:1 methanol:water and
    lipids removed by partitioning with dichloromethane.  The methanol is
    then removed using rotary evaporation, the aqueous solution made 1N
    with HCl and refluxed to free the conjugated residues.  The residues
    are then extracted by partitioning with n-hexane.  The n-hexane is
    then removed and the 2,2,2-trichloroethyl ester of DCVA and the
    heptafluorobutyryl ester of 3-PBA are formed simultaneously.  The
    derivatives are then analysed by gas-liquid chromatography using
    electron capture detection (Ussary, 1979g).  Limits or detection are
    in the range of 0.02-0.10 mg/kg for DCVA and 0.02-0.05 mg/kg for
    3-PBA.  Recoveries are generally in the range of 70-85%.

    Confirmation of the metabolite residues is possible using
    gas-chromatography linked to mass spectrometry with multiple ion
    detection, similar to the procedure reviewed above for permethrin
    (Swaine et al., 1978).

    Validation in government regulatory laboratories: U.S.A. Environmental
    Protection Agency laboratories have reported a validation trial on two
    methods to be used for tolerance enforcement purposes.  Methods
    designated as "FMC 33297 Analytical Procedures - Soil, Soybeans,
    Cottonseed, 1/17/75" and "ICI Residue Analytical Method No. 31,
    Determination of Residues Permethrin in Milk and Animal Tissues,
    7/1/77" were tested and found satisfactory in cottonseed at 0.5 and
    1.0 mg/kg and in milk at 0.05 and 0.10 mg/kg.

    NATIONAL RESIDUE LIMITS

    The following national MRLs were reported to the meeting:

                                                        
                                      mg/kg
    Australia

    Lettuce                           5
    Brussels sprouts                  2
    Cabbage and cole crop             1
    Tomatoes                          0.4
    Cottonseed                        0.2
    Fat of meat of cattle             0.1 (provisional)
    Milk and milk products            0.05 "
    Sweet corn, potatoes              0.05 "

    Canada

    Grapes                            2
    Apples, pears, peaches            1
    Cucumbers, tomatoes               0.5

    Netherlands

    Endive                            2
    Apple, cabbage                    1
    Eggplant, cucumber, melon,
    peppers, tomatoes                 0.5

    New Zealand

    Kiwifruit                         2
    Pipfruit, brassicas               1

    South Africa

    Grapes, tomatoes, apples,
    pears, maize (green cob)          0.5
    Peas                              0.1

    U.S.A.

    Cottonseed                        0.5
    Eggs, milk, meat, meat fat,
    meat by-products                  0.05
                                                        

    APPRAISAL

    Permethrin is used to control pests on a wide range of vegetables,
    fruits and field crops.  Many countries are still evaluating numerous
    proposals for use and many of the present use authorizations are under
    conditional or probationary provisions in the various national laws.

    Four major producers collaborated in supplying to the meeting a
    substantial amount of residue and toxicology data.  The technical
    grade chemical occurs as a mixture of 4 stereoisomers in which ratios
    can vary with the method of synthesis.  The isomer ratios
    significantly affect the chemical and biological properties, and this
    monograph is based entirely on products containing the cis:trans
    isomers in an approximate 40:60 ratio as currently produced.

    Although the chemical has broad potential applications in animal
    health, on forage crops, and in post-harvest treatments, the meeting
    postponed consideration of residues from those uses until more
    information becomes available.

    Permethrin has no appreciable systemic action, and residues are
    moderately persistent on surfaces.  It is subject to photolysis,
    hydrolysis, and conjugation and the metabolic pathways are similar in
    plants and animals except for the conjugating moieties.  The major
    terminal residues on crops were unchanged permethrin, free and
    conjugated 3-phenoxybenzyl alcohol (3-PBA) and the cyclopropane
    carboxylic acid derivative (DCVA).  There is no appreciable build-up

    from repeated applications in normal spray schedules and no
    significant difference in residue levels attributed to use of
    different formulations.

    Permethrin is degraded in soil by micro-organisms and strongly
    adsorbed.  It has very limited value as a soil insecticide showing a
    half-life of between ´ and 6 weeks.  It is not persistent in natural
    waters.

    Numerous analytical methods for residues have been reported.  All
    (except one colorimetric procedure) are based on GLC with electron
    capture, conductivity, or flame ionization detectors with various
    cleanups including liquid-liquid partitioning, gel permeation, and
    chromatographic columns.  The cis and trans isomers can be measured
    separately or together, depending on choice of the column.  The
    methods have been adapted to various substrates.  A lower limit of
    detection of 0.01 mg/kg is generally attainable.  GLC/mass
    spectrometry was cited as a procedure for qualitative and quantitative
    confirmation of residues.

    The free and conjugated metabolites DCVA and 3-PBA can also be
    determined by GLC/EC after derivatization.  Conjugates are freed by
    refluxing in acid and determined as the 2,2,2-trichloroethyl ester of
    DCVA and the heptafluorobutyl ester of 3-PBA.  The lower limits of
    detection are reported to be 0.02-0.10 mg/kg DCVA and 0.02-0.05 mg/kg
    3-PBA (depending on substrate).

    Since the metabolite residues at harvest are smaller than the parent
    compound, it is anticipated that the method for permethrin per se
    would routinely be used by regulatory authorities.  As far as could be
    determined by the meeting however, permethrin would not be recovered
    by the prevailing multi-residue screening methods employed in various
    national food surveillance or "market basket" programs.

    RECOMMENDATIONS

    The extensive data from supervised residue trials made available to
    the meeting support the residue limits listed below.  Because of the
    recent commercial introduction and continuing worldwide development of
    the product however, the meeting was unable to ascertain exactly what
    constitutes good agricultural practices at this time.  For this
    reason, the meeting concluded that the levels should be designated as
    temporary MRLs until such time as definitive information on worldwide
    good agricultural practices are made available.

    The temporary MRLs refer to permethrin per se regardless of the
    proportions of stereoisomers, and excluding metabolites.

                                                        
    Commodity                 Limits mg/kg (temporary)
                                                        
    * Beans, whole green                 0.5
    * Blackberries                       1
    * Broccoli                           2
    * Brussels sprouts                   1
    * Cabbage                            5
    * Carrots                            0.1
    * Cauliflower                        0.5
    * Celery                             5
    * Chinese Cabbage                    5
    * Coffee beans                       0.05**
    * Cottonseed                         0.5
    * Cottonseed oil                     0.1
    * Cucumbers                          0.5
    * Currants, (black, red, white)      2
    * Dewberries                         1
    * Dry beans                          0.1
    * Eggplant                           1
    * Gherkins                           0.1
    * Gooseberries                       2
    * Grapes                             1
    * Hops (dried)                       50
    * Japanese radish                    0.1
    * Kale                               2
    * Kiwi fruit                         2
    * Kohlrabi                           0.1
    * Leeks                              5
    * Lettuce                            20
    * Loganberries                       1
    * Melons                             0.1
    * Mushrooms                          0.1
    * Oranges                            0.5
    * Peas (shelled)                     0.1
    * Peppers                            1
    * Pome fruits                        2
    * Potatoes                           0.05**
    * Rape seed                          0.05**
    * Raspberries                        1
    * Savoy Cabbage                      5
    * Soybeans                           0.1
    * Spinach                            2
    * Spring onions                      5
    * Squash                             0.1
    * Stone fruits                       2
    * Strawberries                       1
    * Sugar beets                        0.05**
    * Sweet corn                         0.1
    * Tea (dried, black, green)          20
    * Tomatoes                           2
                                                        
    ** results at or about limit of determination

    FURTHER INFORMATION

    Required by 1981

    1.  Pharmacokinetic data on the potential bioaccumulation of
        permethrin and/or metabolites.

    2.  Observations in man, especially those with high level of
        occupational exposure to evaluate the potential susceptibility of
        man to the neurological disruption noted in rodents.

    3.  Results of additional supervised residue trials on oranges and
        other citrus varieties in representative citrus-growing countries.

    4.  Results of additional residue trials on kale, spinach and other
        leafy vegetables.

    5.  Data from supervised trials on primary animal feed crops; data on
        residues in meat, milk and eggs at feeding levels commensurate
        with expected levels in animal feeds.

    6.  Data on residues in meat, milk and eggs from direct treatment of
        food animals and animal premises.

    7.  Data from post-harvest uses of permethrin.

    8.  Information on world-wide good agricultural practices (i.e.
        authorized national use patterns).

    9.  Information on any future changes in manufacturing processes
        which substantially alter the ratio of cis- and trans-isomers
        in the technical grade product.

    Desirable

    1.  Characterization studies on the photodecomposition products.

    2.  Selected surveys of residues in crops known to have been treated
        under practical circumstances.

    REFERENCES

    Anderson, D. and Richardson, C.R. - Permethrin (PP557): Cytogenetic
    Study in the Rat. (1976) Unpublished ICI Central Toxicology Lab.

    Arnold, D.J., Cleverley, B.A. and Hills, I.R.  "Laboratory Studies of
    the Degradation of Permethrin in Soil" Report No. TMJ 1287B. (1976a).

      Degradation in Soil under Laboratory Conditions. No. TMJ4J1427.
    (1976b).

      Degradation in Soil under Laboratory Conditions (III) No. TMJ1512:
    Extraction and Identification of the Bound Residues of the Pesticide
    in soil".  (1977a).

      ICI Plant Protection Division Report No. TMJ1518B. (1977b),
    Unpublished.

    Bewick, D.W. and Leahey, J.P. "Permethrin: Absorption in Cows "ICI
    Plant Protection Division Report No. TMJ1357B (1976), Unpublished.

      The Analysis of the Permethrin Metabolite
    3-(2,2-dichlorovinyl)-2-methylcyclopropane-1, 2-2-dicarboxylic Acid in
    the Excreta of Rats Given a Single Oral Dose of 14C-Permethrin.
    (1978) Unpublished ICI Plant Protection.

    Beyers, F.H.  "Determination of Permethrin Residues in Grapes". South
    African Bureau of Standards Report to ICI South Africa Ltd., No.
    17/36/8 (1979), Unpublished.

    Billups, L.H.  Histopathologic Examination of a Twenty-Four Month
    Toxicity/Carcinogenicity Study of Compound FMC33297 in Rats. (1978a)
    Unpublished Environmental Pathology Services submitted by FMC
    Corporation.

      Twenty-four Month Toxicity/Carcinogenicity Study of Compound
    FMC33297 in Rats. (1978b) Unpublished Environmental Pathology
    Services, FVC Corp.

    Bradbrook, C., Banham, P.B., Gore, C.W., Pratt, I. and Weight, T.M.
    PP557:  A study of the Reversibility of Hepatic Biochemical and
    Ultrastructural Changes in the Rat. (1977) Unpublished ICI Central
    Toxicology Laboratory.

    Bratt, H., Mills, I.H. and Slade, M.  PP557: Tissue Retention in the
    Rat. (1977) Unpublished ICI Central Toxicology Lab.

    Bratt, H. and Slade, M.  Tissue Retention in the Dog. (1977)
    Unpublished ICI Central Toxicology Laboratory.

    Braun, W.G. and Killeen, J.C. - Acute Oral Toxicity in Rat: Compound
    No. FMC33297. Bio-Dynamics Inc., submitted by FMC Corporation. (1975).

    Braun, W.G. and Rinehart, W.E. - A twenty-four Month Oral 
    Toxicity/Carcinogenicity Study of FMC33297 in Rats. Bio-Dynamics, Inc.
    submitted by FMC Corporation. (1977).

    Butterworth, S.T.G. and Hend, R.W. - Toxicity Studies on the
    Insecticide WL 43470:  A Five-Week Feeding Study in Rats. (1976)
    Unpublished Shell Research Ltd.

    Carlson, G.P.  The Induction of Cytochrome P-450 and Cytochrome C
    Reductase by FMC Compounds. (1976) Unpublished, School of Pharmacy and
    Pharmacol Sciences, Purdue University, submitted by FMC Corporation.

    Chapman, R.A., and Harris, C.R. - J. Chrom., 166, 513-518.

    Chapman, R.A. and Simmons, H.S. - J.A.O.A.C., 60, 977-978.

    Cheong, H.  "Analysis of Permethrin in Kiwi fruit". ICI New Zealand
    (1977-79), Unpublished.

    Chiba, M. J.  Environ. Sci. Health, Part B 13, 261-268.

    Chipman, Inc., Canada.  "Summaries of Residues Data - apples, pears,
    peaches, grapes, cabbages, cucumbers and sweet corn". (1978-79).

    Clapp, M.J.L., Banham, P.B., Chart, I.S., Glaister, J. Gore, C. and
    Moyes, A. - PP557: 28-Day Feeding Study in Rats. (1977a) Unpublished
    ICI Central Toxicology Lab.

    Clapp, M.J.L., Banham, P.B., Glaister, J.R. and Moyes, A. - PP557:
    28-Day Feeding Study in Mice. (1977b) Unpublished ICI Central
    Toxicology Laboratory.

    Clark, D.G.  Toxicology of WL 43479: Acute Toxicity of WL 43479.
    (1978) Unpublished Shell Research Ltd.

    Desmarchelier, J.M. - J. Stored Prod. Res. 12, 245-252.

    Edwards and others - Permethrin: PP557 - Preliminary Method and
    Residue Data for 1975 UK Trials". Report No. AR2668B (1976).

    Edwards and others - "Residue Transfer and Toxicology Study with Cows
    Fed Treated Grass Nuts" Report No. TMJ1519/B; "Incorporation of
    Permethrin in the Diet of Laying Hens: Residues in Eggs and Tissues"
    Report No. TMJ1510/B; "Cotton Extractability Study" Report
    No.TMJ1452B; "Permethrin Residue Summary: Residues in Crop Samples
    Analysed During 1975-77, Part I: Cereal, Seed and Leguminous Crops"
    Report No. TMJ1562A; "Soil Extractability Study" Report No. TMJ1461B;
    (1977).

      "The extraction of the Pesticide from Animal Tissues" Report No.
    RJ0009B; "Residues in Crop Samples Analysed During 1975-77. Part II:
    Leaf, Root and Forage Crops" Report No. TMJ1566A. (1978) ICI Plant
    Protection Division (Unpublished).

    Edwards, D.B., Osborn, B.E., Dent, N.J. and Kinch, D.A. - Toxicity
    Study in Beagle  Dogs (Oral Administration for Three Months). (1976)
    Unpublished Inveresk Research International Ltd. submitted by ICI Ltd.

    Elliot, M., James, N.F., Pulmans, D.A., Gaughan, L.C., Unai, T. and
    Casida, J.E. - Radiosynthesis and Metabolism in Rats of the 1R Isomers
    of the Insecticide Permethrin. J. Agric. Food Chem., 24(2): 270-276.

    Elliot, M., Farnham, A.W., Janes, N.F., Needham, P.H., Pulman, D.A.,
    Stevenson J.H. Nature, 246, 169.

    Fujie, G.H.  "Determination of Parent FMC 33297 Residues In/On Ginned
    Cottonseed" Report No. W-0059; "Determination of Residues in 
    Cottonseed and Cottonseed By-products from a Cottonseed Processing
    Study" W-0091; "Determination of Residues in Cottonseed and Cottonseed
    By-Products From a Cottonseed Processing Study" W-0105; Determination
    In/On Lettuce" W-0122; "Determination of Residues In/On Ginned
    Cottonseed" W-0167; "Determination of Residues In/On Ginned Cottonseed
    Treated In An Aerial Application Spray Program" W-0208; "Cold Storage
    Stability of Residues In/On Ginned cottonseed," W-0203; "Cold Storage
    Stability of Residues In/On Various Crops" W-0206; "Analytical
    Procedures - Soil, Soybean and Ginned Cottonseed" W-0053;
    "Determination of Residue Levels In/On Soybeans From Comparative
    Air/Ground Application Trials" W-0231; "Determination of Residues
    In/On Soybean Processing Products from a Soybean Processing Study",
    W-0232; "Determination of Residues on Lettuce" W-0239; "Determination
    of Residues In/On Tomatoes" W-0237; "Determination of Residues on
    Tomatoes and Tomato Processing Products from Juice, Puree and Whole
    Pack Tomato Processing Studies" W-0233; (1976 to 1979) Unpublished
    Reports from FMC Co.

    Fujie, G.H. and Fullmer, O.H. - J. Agric. Food Chem., 26, 395-398.

    Fullmer, O.H.  "Determination of Parent FMC33297 Residues In/On
    Soybeans, Cabbage,  Brussels sprouts, Broccoli, Cauliflowers and
    Tomatoes" Nos. W-0123, W-0125; W-0126 and W-0209. (1976 to 77)
    Unpublished reports from FMC Corp.

    Gatehouse, D.M., Leahey, J.P. and Carpenter, P.K. - Permethrin
    Degradation on Cotton.  ICI Plant Protection Division Report No.
    AR2701B (1976b), Unpublished.

    Gaughan, L.C., Unai, T. and Casida, J.E. - Permethrin Metabolism In
    Rats and Cows in Bean and Cotton Plants.  Paper delivered at 172nd ACS
    National Meeting, San Francisco (August 1976).

      "Permethrin Metabolism in Rats". J. Agric. Food Chem 25 (1), 9-17.

    Gaughan, L.C. and Casida J.E.  "Degradation of Trans- and
    Cis-Permethrin in Cotton and Bean Plants".  J. Agric. Food Chem.,
    26, (3), 525-8.

    Gaughan, L.C., Ackerman, M.E., Unai, T. and Casida, J.E. "Distribution
    and Metabolism of Trans- and Cis- Permethrin in lactating Jersey
    Cows" J. Agric. Food Chem. 26 (3), 613-618.

    Gaughan, L.C., Robinson, R.A., and Casida, J.E. "Distribution and
    Metabolic Fate of Trans- and Cis- Permethrin in laying Hens" J.
    Agric. Food Chem., 26 (6), 1374-1380.

    George, D.A., Halfhill, J.E., McDonough, L.M. Synthetic
    Pyrethroids, Ed. M. Elliot,  ACS Symposium Series 42, 201-210.

    Glaister, J.R., Pratt, I. and Richards, D. - Effects of High Dietary
    Levels of PP557 on Clinical Behaviour and Structure of Sciatic Nerves
    in Rats. (1977) Unpublished ICI Central Toxicology Laboratory.

    Glenn, M.S. and Sharpf, W.G. ACS Symp. Ser  42, 116. (1977).

    Hart, D., Banham, P.B., Chart, I.S., Glaister, J.R., Gore, C.W.,
    Pratt, I., and  Weight, T.M. - PP557: Whole Life Feeding Study in
    Mice: Chronic Evaluation up to 52 Weeks. (1977a) Unpublished ICI
    Central Toxicology Lab.

    Hart, D., Banham, P.B., Glaister, J.R., Pratt, I. and Weight T.M.
    00557: Whole Life Feeding Study in Mice. (1977b) Unpublished ICI
    Central Toxicology Laboratory.

    Hart, D., Banham, P.B., Gore, C.W., Pratt, I. and Weight, T.M. PP557:
    Liver Hypertrophy Study in Rats-Dietary Administration Over 26 Weeks.
    (1977c) Unpublished ICI Central Toxicology Lab.

    Hend, R.W. and Butterworth, S.T.G. - Toxicity of Insecticides: A
    Short-Term Feeding Study of WL 43379 in Rats. (1977) Unpublished Shell
    Research Ltd.

    Hodge, M.C.E., Banham, P.B., Glaister, J.R., Richards, D., Taylor, K.
    and Weight, T.M.  PP557: Three Generation Reproduction Study in Rats.
    (1977) Unpublished ICI Central Toxicology Laboratory.

    Hogan, G.K. and Rinehart, W.E. - A Twenty-Four Month Oral
    Carcinogenicity Study of FMC 33297 in Mice.  (1977) Unpublished
    Bio-Dynamics Inc. submitted by FMC Corporation.

    Holmstead, R.L., Casida, J.E., Ruzo, L.O. and Fulmer, D.G. "Pyrethroid
    Photodecomposition: Permethrin". J. Agr. Food Chem. 26: 590-95.

    Hunt, L.M. and Gilbert, B.N. - Distribution and Excretion Rates of
    14C-Labelled Permethrin Isomers Administered Orally to Four Lactating
    Goats for 10 Days. J. Agric. Food Chem. 25(3); 673-6.

    Jaggers, S.E. and Parkinson, G.R. - Permethrin: Summary and Review of
    Acute Toxicities in Laboratory Species. (1979) Unpublished ICI Central
    Toxicology Lab.

    Kadota, T., Miyamoto, J., and Ito, N. - Six-Month Subacute Oral
    Toxicity of NRDC 143 in Sprague-Dawley Rats. (1975) Unpublished
    Sumitomo Chemical Co.

    Kaneko, H., Ohkawa, K. and Miyamoto, J. "Degradation and Movement of
    Permethrin Isomers in Soil" J. Pesti. Sci., 3, 43-51.

    Killeen, J.C. and Rapp, W.R. - A Three Month Oral Toxicity Study of
    FMC 33297 in Beagle Dogs. (1976a) Unpublished Bio-Dynamics Inc.
    submitted by FMC Corporation.

      A Three Month Oral Toxicity Study of FMC 33297 in Rats. (1976b)
    Unpublished Bio-Dynamics Inc. submitted by FMC Corporation.

    Kohda, H., Kadota, T. and Miyamoto, J.  Teratogenic Evaluation with
    Permethrin in Rats. (1976a) Unpublished Sumitomo Chemical Co.

      Teratogenic Evaluation with Permethrin in Mice. (1976b) Unpublished
    Sumitomo Chemical Co.

      Acute Oral, Dermal and Subcutaneous Toxicities of Permethrin in Rats
    and Mice. (1979a) Unpublished Sumitomo Chemical Co.

    Khoda, H., Kanedo, H., Ohkawa, H., Kadota, T. and Miyamoto, J.  Acute
    Intraperitoneal Toxicity of Fenvalerate Metabolites in Mice. (1979b)
    Unpublished Sumitomo Chemical Co., Ltd.

    Lauren, D.R. and Henzell, R.F.  Proc. 30th N.W. Weed and Pest Control
    Conf., 207-211. (1977).

    Leahey, J.P. and Others.  "Permethrin Degradation Studies on Apples
    and Cabbage" No. AR2645B; "Rotational Crop Study" No. TMJ1501B;
    "Identification of Residues in Sugar Beet Grown in Soil Treated with
    14C-Permethrin" No. TMJ1508B; Metabolism and Residues in Goats" No.
    TMJ1516B; "Metabolism in Hens" No, TMJ1509B. ICI Plant Protection
    Division (1976-77), Unpublished.

    Longstaff, E.  Permethrin: Short-Term Predictive Tests for
    Carcinogenicity: Results from the Ames Test. (1976) Unpublished ICI
    Central Toxicology Lab.

    Manufacturers.  Consolidated Summary of residue data submitted by FMC
    Corp., Shell Int. Chemical Co., Ltd., Sumitomo Chemical Co. Ltd., and
    Imperial Chemical Industries Ltd. (1979).

    McGregor, D.B. and Wickramaratne, G.A. de S. - Dominant Lethal Study
    in Mice of ICI-PP557.  (1976a) Unpublished Inveresk Research
    International Ltd. submitted by ICI Ltd.

      Teratogenicity Study in Rats of ICI-PP557.  (1976b) Unpublished
    Inveresk Research International Ltd. submitted by ICI Ltd.

    Mills, I.H. and Mullane, M. PP557: Absorption and Excretion in the
    Rat. (1976) Unpublished ICI Central Toxicology Lab.

    Mills, I.H. and Slade, M. PP557: Absorption Distribution and Excretion
    in the Dog. (1977) Unpublished ICI Central Toxicology Laboratory.

    Milner, C.K. and Butterworth, S.T.G. - Toxicity of Pyrethroid
    Insecticides: Investigation of the Neurotoxic Potential of WL 43479 to
    Adult Hens. (1977) Unpublished Shell Research Ltd.

    Munger, D.M. -  Uptake of Permethrin by Cotton Plants.  FMC Report
    M.3791, (1979).

    Newell, G.W. and Skinner, W.A. - In Vitro Microbiological Mutagenicity
    Study of an FMC Corporation Compound. (1976) Unpublished Stanford
    Research Institue submitted by FMC Corporation.

    Nomura, Y. and Segawa, T. - Pharmacological Study of Permethrin:
    Effects on Isolated Ileum, Nictiating Membrane, Respiration, Blood
    Pressure and Electrocardiography. (1979) Unpublished Sumitomo Chemical
    Co.

    Ohkawa, H., Kaneko, H., and Miyamoto, J. - Metabolism of Permethrin in
    Bean Plants. J. Pesticide Sci. 2, 67-76.

    Parkinson, G.R., Berry, P.N., Glaister, J., Gore, C.W., Lefevre, V.K.
    and Murphy, J.A. - PP557 (Permethrin). Acute and Sub-Acute Toxicity.
    (1976) Unpublished ICI Central Toxicology Lab.

    Parkinson, G.R. - Permethrin: Acute Toxicity to Male Rats. (1978)
    Unpublished ICI Central Toxicology Lab.

    Prashad, S., Stevens, J.E., and Newby, S.E. "Mobility of Permethrin
    and its Degradation Products in Soil". ICI Plant Protection Division
    Report No. AR2716B (1977), Unpublished.

    Rapp, W.R. - Twenty-Four Month Oral Toxicity/Oncogenicity Study of
    FMC33297 in Mice. Histopathology Report. (1978) Unpublished Report
    from McConnel and Rapp submitted by FMC Corporation.

    Richards, F., Banham, P.B., Chart, I.S., Glaister, J.R., Gore, C.W.,
    Pratt, I., Taylor, K. and Weight, T.M. - PP557: Two-Year Feeding Study
    in Rats. (1977) Unpublished ICI Central Toxicology Lab.

    Ross, D.B. et al. - Examination of Permethrin (PP557) for
    Neurotoxicity in the Domestic Hen. (1977) Unpublished Huntingdon
    Research Center submitted by FMC Corp. and ICI Ltd.

    Selim, S. and Robinson, R.A. "Uptake of Permethrin by Cotton Plants"
    No. M-4099;  "Degradation On Cotton Leaf" No. M-4118. FMC Report
    (1977), Unpublished.

    Shell International Chemical Co. Ltd.  Shell Chimie S.A. Nine internal
    reports on residue trials. (1976-79), Unpublished.

    Swaine, H. and others. "Confirmation of Residues of Permethrin Using
    Gas Chromatography Mas Spectrometry In the Multiple Ion Detection
    Mode"; "Crop Rotation Study" No. TMU0378/B; "Residues in Crop Samples
    Analysed During 1975-77. Fruit Crops (Excluding Solanaceous Fruits.
    No.RJ0022A; "Cucurbits And Solanaceous Crops" No. RJ0023A; "Residues
    In Crop Samples Analysed During 1977-78: Fruit Crops (Excluding
    Solanaceous Fruits) No. RJ0078A; "In Cucurbits and Solanaceous Crops"
    No. RJ0079A; "Cereal Seed and Leguminous Crops"  No. RJ0080A;"Leaf,
    Root and Forage Crops" No. RJ0081A; "In Garden and Household Products"
    No, RJ0082A.  (1977-79) Unpublished reports submitted by ICI Plant
    Protection Ltd.

    Schroeder, R.E. and Rinehart, R.E. -A Three Generation Reproduction
    Study of FMC33297 in Rats. (1977) Unpublished Bio-Dynamics Inc.
    submitted by FMC Corp.

    Shirasu, Y., Moriya, M. and Ota, T. - Mutagenicity of S-3151 in
    Bacterial Test Systems. (1979) Unpublished Sumitomo Chemical Co.

    Shono, T., Ohsawa, K. and Casida, J.E. - Metabolism of
    Trans-Permethrin and Cis-Permethrin, Trans-Cypermethrin and
    Cis-Cypermethrin, and Decamethrin Microsomal Enzymes. J. Agric. Food
    Chem. 27(2): 316-25.

    Soderlund, D.M. and Casida, J.E. - Effects of Pyrethroid Structure on
    Rates of Hydrolysis and Oxidation by Mouse Liver Microsomal Enzymes.
    Pest. Biochem. Physiology 7: 391-401.

    Suzuki, H. - Studies on the Mutagenicity of Some Pyrethroids on
    Salmonella Strains in the Presence of Mouse Hepatic S9 Fractions.
    (1977) Unpublished Sumitomo Chemical Co., Ltd.

    Takahashi, K., Okuda, No. and Shirasu, Y. - Effects of Permethrin on
    Hexobarbital-Induced Sleeping Time in Mice and Electroencephalography
    in Rabbits. (1979) Unpublished Sumitomo Chemical Co.

    Ussary, J.P. - Over 100 individual unpublished reports on residues
    following field application on different crops and following
    post-harvest processing.  (1976-79) Submitted by ICI Americas Inc.

    Williams, I.H. Pestic. Sci., 7, 336-338

    Williams, I.H. and Brown, M.J. "Persistence of Permethrin and WL 43775
    in Soil".  J. Agric., Food Chem, 27, (1), 130-132.
    


    See Also:
       Toxicological Abbreviations
       Permethrin (EHC 94, 1990)
       Permethrin (HSG 33, 1989)
       Permethrin (ICSC)
       PERMETHRIN (JECFA Evaluation)
       Permethrin (Pesticide residues in food: 1980 evaluations)
       Permethrin (Pesticide residues in food: 1981 evaluations)
       Permethrin (Pesticide residues in food: 1982 evaluations)
       Permethrin (Pesticide residues in food: 1983 evaluations)
       Permethrin (Pesticide residues in food: 1984 evaluations)
       Permethrin (Pesticide residues in food: 1987 evaluations Part II Toxicology)
       Permethrin (JMPR Evaluations 1999 Part II Toxicological)
       Permethrin (UKPID)
       Permethrin (IARC Summary & Evaluation, Volume 53, 1991)