IPCS INCHEM Home


    PESTICIDE RESIDUES IN FOOD - 1982


    Sponsored jointly by FAO and WHO






    EVALUATIONS 1982





    Data and recommendations of the joint meeting
    of the FAO Panel of Experts on Pesticide Residues
    in Food and the Environment and the
    WHO Expert Group on Pesticide Residues
    Rome, 23 November - 2 December 1982

    Food and Agriculture Organization of the United Nations
    Rome 1983


    CHLORDANE

    CHEMICAL STRUCTURE 1

    Explanation

         Chlordane was evaluated in the Joint Meetings of 1963, 1965,
    1967, 1969, 1970, 1972, 1974 and 1977 (FAO/WHO, 1964, 1965, 1968,
    1970, 1971, 1973, 1975 and 1978)1/. Several acute oral studies and a
    90-day subchronic feeding study in rats, of Industrial Bio-Test
    Laboratories (IBT) origin, have been identified, which have not been
    validated. However, the no-effect level(s) (NEL) and ADI were not
    taken from the results of these data.

         Additional data pertaining to metabolism, absorption,
    distribution and excretion have been made available and are reviewed
    in this addendum.

    EVALUATION FOR ACCEPTABLE DAILY INTAKE

    BIOCHEMICAL ASPECTS

    Absorption, Distribution and Excretion

         More than 90% of single oral doses of high purity chlordane
    (98% + of a 3:1 mixture of cis- and trans-chlordane), cis-chlordane
    and trans-chlordane were eliminated from rats in the excreta within
    7 days after treatment, with faeces being the major route of
    elimination for both sexes. Single oral doses of oxychlordane resulted
    in only 21% of the administered dose appearing in rat excreta after 7
    days, demonstrating a greater potential for this metabolite of
    chlordane to accumulate in animals than the cis- and trans-chlordane
    isomers. Continuous feeding of cis- and trans-chlordane separately in
    the diet of rats for 14 days demonstrated preferential elimination of
    the cis-isomer. After 14 days of treatment, 75% of the total cis- and
    65% for the trans-chlordane were eliminated which indicates that in
    long-term exposures the trans-isomer would contribute a relatively
    greater amount to the body burden of the exposed animal than would the
    cis-isomer (Barnett and Dorough 1974).

              

    1/  See Annex 2 for WHO and FAO documentation.

         In a separate study, administration of cis-chlordane or trans-
    chlordane in single oral doses to rats via stomach intubation resulted
    in 86% of the total cis- and 66% of the total trans-chlordane being
    eliminated within 7 days after treatment. Furthermore, the rate of
    excretion of cis-chlordane (59% in 24 h) was more rapid than that of
    trans-chlordane (27%) (Tashiro and Matsumura 1977). There were no
    apparent sex differences with respect to the rate of dissipation, nor
    did males and females differ in the nature and relative concentrations
    of metabolites (Barnett and Dorough 1974).

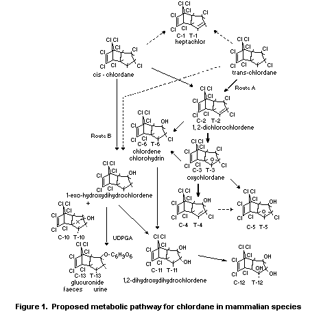
    Biotransformation

         The metabolism of chlordane, per se, in rats resulted in the
    formation of dichlorochlordene via dehydrogenation followed by
    epoxidation to oxychlordane and subsequent hydroxylation. There was
    also direct hydroxylation of both the cis and trans-isomers to
    1-exo-hydroxydihydrochlordene with excretion in the faeces and urine
    as the glucuronide (Tashiro and Matsumara 1977).

         The level of residues in tissues of rats was generally low,
    except in fat. Metabolism of trans-chlordane resulted in higher tissue
    residues than cis-chlordane, primarily because of the formation of
    1,2-dichlorochlordane, which was favoured for the trans-isomer, thus
    leading to higher levels of oxychlordane. Feeding female rats high
    purity chlordane at levels up to 25 ppm for 56 days resulted in
    chlordane-14C equivalent in the fat at levels 3-4 times that in the
    diet. These levels did not plateau at the end of the treatment period.
    However, after 4 weeks removal from the diet, tissue levels were
    reduced by 60%. The levels of residues in tissues (other than fat)
    after 56 days of treatment were as follows (as the fraction of the
    administered dose): liver (1/8) > kidney (1/10) > brain (1/25)
    > muscle (1/50). Oxychlordane was the major component of all tissues
    and, after removing chlordane from the diet, contributed most of the
    14C residue in tissues (Barnett and Dorough 1974; Tashiro and
    Matsumura 1977; Street and Blau 1972).

         The metabolic intermediates of cis- and trans-chlordane, as well
    as oxychlordane, were further converted to two major metabolites,
    1-exo-hydroxy-2-chlorochlordene and 1-exo-hydroxy-2-chloro-2,3
    epoxychlordene. These latter metabolites were not readily degraded
    further in rats and may accumulate as terminal residues in the animal.
    Neither appeared to be more toxic than the cis- or trans-isomers, but
    this has not been verified in mammals (Tashiro and Matsumura 1977).

         Rat and human in vitro liver preparations displayed almost
    identical degradation abilities for trans-chlordane, but not for
    trans-nonachlor, which accumulated in humans but not in rats. Trans-
    nonachlor is a major constituent (7%) of technical chlordane. Both
    single oral dosing (0.05 µ Ci) and four-week dietary administration
    (100 ppm) of trans-nonachlor to rats have demonstrated the overall

    metabolic pattern and rate of excretion to be the same as for trans-
    chlordane. The fact that trans-nonachlor was not metabolized
    efficiently by human liver cells may be due to the inability to form
    trans-chlordane, which represents a significant difference from the
    rat (Tashiro and Matsumura 1978).

         A proposed metabolic pathway for chlordane in mammalian species
    is shown in Figure 1.

    TOXICOLOGICAL STUDIES

    Long-Term Study

    Rat

         The data submitted to the 1982 Meeting for evaluation of long-
    term effects were not sufficient in many critical areas of data
    content and were, therefore, inadequate for inclusion in this
    monograph.

    COMMENTS

         The ADI and long-term studies considered in support of the ADI
    were evaluated by the JMPR in 1967 and 1977 (FAO/WHO 1968 and 1978).
    Additional data on metabolism have been received.

         Significant differences in the metabolism of chlordane between
    rats and humans have been identified. Specifically, trans-nonachlor, a
    major constituent of technical chlordane, is poorly metabolized in
    humans. The Meeting was concerned about the accumulation of trans-
    nonachlor in humans. However, this concern was partly alleviated by
    the information that only very low levels (0.1 ppm on milk fat basis)
    appear to have been found in human milk samples.

         The Meeting was informed that studies pertaining to chlordane
    toxicology were in progress at the Research Institute for Animal
    Science in Biochemistry and Toxicology in Japan. The Meeting hopes
    that this data will eventually be made available to it.

         Pending receipt of a study on oxychlordane of at least 90 days
    duration in the rat, the Meeting assigned a temporary ADI to
    chlordane.

    TOXICOLOGICAL EVALUATION

    Level Causing no Toxicological Effect

    Rat: 5 mg/kg in the diet, equivalent to 0.25 mg/kg bw

    Dog: 3 mg/kg in the diet, equivalent to 0.075 mg/kg bw

    FIGURE 1

    Estimate of Temporary Acceptable Daily Intake in Man

    0 - 0.001 mg/kg bw

    FURTHER WORK OR INFORMATION

    Required (by 1984)

         A study of at least 90 days' duration in rats using oxychlordane.

    Desirable

    1.   Submission of the ongoing studies in Japan.

    2.   Submission of monitoring data pertinent to the oxychlordane and
         trans-nonachlor levels found in humans.

    REFERENCES

    Barnett, J.R. and Dorough, H.W. Metabolism of chlordane in rats, J.
    1974     Agric. Food Chem. 22:612-619.

    Street, J.C. and Blau, S.E. Oxychlordane: accumulation in rat
    1972     adipose tissue on feeding chlordane isomers of technical
             chlordane. J. Agric. Food Chem. 20:395-397.

    Tashiro, S. and Matsumura, F. Metabolic routes of cis- and trans-
    1977     chlordane in rats. J. Agric. Food Chem. 25:872-880.

    1978     Metabolic routes of trans-nonachlor and related chlordane
             components in rat and man. Arch. Environm. Contam. Toxicol.
             7:113-127.


    See Also:
       Toxicological Abbreviations
       Chlordane (EHC 34, 1984)
       Chlordane (HSG 13, 1988)
       Chlordane (PIM 574)
       Chlordane (FAO Meeting Report PL/1965/10/1)
       Chlordane (FAO/PL:1967/M/11/1)
       Chlordane (FAO/PL:1969/M/17/1)
       Chlordane (AGP:1970/M/12/1)
       Chlordane (WHO Pesticide Residues Series 2)
       Chlordane (WHO Pesticide Residues Series 4)
       Chlordane (Pesticide residues in food: 1977 evaluations)
       Chlordane (Pesticide residues in food: 1984 evaluations)
       Chlordane (Pesticide residues in food: 1986 evaluations Part II Toxicology)