IPCS INCHEM Home


    FAO/PL:1967/M/11/1
    WHO/Food Add./68.30

    1967 EVALUATIONS OF SOME PESTICIDE RESIDUES IN FOOD

    THE MONOGRAPHS

    The content of this document is the result of the deliberations of the
    Joint Meeting of the FAO Working Party of Experts and the WHO Expert
    Committee on Pesticide Residues, which met in Rome, 4 - 11 December,
    1967. (FAO/WHO, 1968)

    FOOD AND AGRICULTURE ORGANIZATION OF THE UNITED NATIONS
    WORLD HEALTH ORGANIZATION
    Rome, 1968

    CHLORDANE

    This pesticide was evaluated by the 1965 Joint Meeting of the FAO
    Committee on Pesticides in Agriculture and the WHO Expert Committee on
    Pesticide Residues (FAO/WHO, 1965). At that time, the Joint Meeting
    did not recommend an acceptable daily intake because of the concern
    that the technical product might contain hexachlorocyclopentadiene
    since no information was available on the composition of technical
    chlordane and the nature and toxicity of terminal residues. Since that
    time, a large amount of additional information has become available
    and the above problems were reviewed by the IUPAC Commission on the
    Chemical Nature of Terminal Pesticide Residues (IUPAC, 1967, 1968).

    Therefore the previously published monograph has been greatly expanded
    and is reproduced in its entirety below.

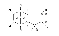
    IDENTITY

    Chemical names

    1,2,4,5,6,7,8,8-octachloro-3a,4,7,7a-tetrahydro-4,7, methanoindane or
    1,2,4,5,6,7,10,10-octachloro-4,7,8,9-tetrahydro-4,7-methyleneindane or
    1,2,4,5,6,7,8,8-octachloro-2,3,3a,4,7,7a-hexahydro-4,7-methanoindene.

    Synonym

         chlordan

    Empirical formula

         C10H6Cl8

    Structural formula

    CHEMICAL STRUCTURE 

    Other relevant chemical properties

    Chlordane, as presently manufactured in the USA, is a uniform
    technical product, the composition of which is controlled. Analytical
    methods and reference standards have been made available periodically
    by the manufacturer to regulatory agencies as a method of commercial
    product control. Analytical methods for regulating the technical
    formulation in commerce have become official methods after
    collaborative studies by the Association of Official Analytical
    Chemists (AOAC) in the USA and the European Commission for Methods of
    Analysis of Pesticides (CIPAC). While hexachlorocyclo pentadiene is
    used in the manufacture of the technical product, none of this
    chemical remains unreacted and there is no evidence that it appears as
    a constituent of the terminal residue in food.

    There is some confusion in nomenclature. Gamma-chlordane is the
    alpha-chlordane referred to by March (1952) (it is the component
    present in the highest concentration in technical chlordane),
    alpha-chlordane is the beta isomer described by March. Poonawalla and
    Korte (1964), Ludwig (1966), and some other authors still use March's
    designation. These two components together comprise approximately half
    of technical chlordane.

    EVALUATION FOR ACCEPTABLE DAILY INTAKES

    Biochemical aspects

    Chlordane is absorbed from the gastrointestinal tract, the respiratory
    tract, and through the skin (Ambrose et al., 1953). It is stored in
    the adipose tissue of rats, sheep, goats, and cows and accumulates in
    the milk.

    Rats fed chlordane for six and a half months showed the following
    levels in their abdominal fat at various feeding levels (in ppm):
    intake 3, residue 5.2; intake 15, residue 32; intake 30, residue 76;
    intake 60, residue 109 (Ingle, 1965).

    Chlordane fed at 25 ppm in the diet for 8 weeks reached a maximum
    level of 18 ppm in the fat of calves and 12 ppm in sheep. After
    feeding was stopped, the residue was eliminated from calves in 20
    weeks and from the sheep in 4 weeks (Claborn et al., 1953).

    Cows' milk contained 0.1 to 0.2 ppm of chlordane after the animals had
    been fed a diet containing a concentration equivalent to 0.36 to 0.42
    mg/kg body-weight for 150 days (Carter et al., 1953). Some
    water-soluble metabolites are excreted. Organically bound chlordane is
    excreted in the urine of rabbits (Stohlman and Smith, 1950).

    Cows grazing on pasture to which 0.5 pound of chlordane per acre had
    been applied showed an average of 0.03 ppm of chlordane in their milk
    (Westlake et al., 1963).

    Both technical chlordane and one of its pure isomers (gamma-chlordane)
    have been shown to have stimulating effects on rat liver microsomes
    for the metabolism of certain drugs (Burns et al., 1965; Hart and
    Fouts, 1963; Hart et al., 1963; Kuntzman, et al., 1964).

    In vitro metabolism by hepatic microsomal enzymes from rats treated
    8 days previously with single i.p. doses of 10 or 100 mg/kg of
    chlordane in corn oil was increased for the 3 drugs reported
    (hexobarbital, aminopyrine and chlorpromazine). The increases for
    hexobarbital and aminopyrine were dose-related. In vivo hexobarbital
    response, measured by sleeping time of mice, 1, 3 and 8 days after
    single i.p. doses of 25 mg/kg body-weight technical chlordane or
    gamma-chlordane, showed a decrease (shortened sleeping time), greatest
    at day 3 but still marked on day 8 (Fouts, 1963).

    The mechanism of action of chlordane is similar to that of
    phenobarbital in stimulating hepatic drug metabolism in the rat. Both
    agents increase liver weight, microsomal protein, microsomal NADPH
    oxidase, and microsomal cytochrome CO-binding pigment. They both
    stimulate drug metabolism in adrenalectomized or hypophysectomized
    rats and promote the proliferation of smooth endoplasmic reticulum in
    the liver cell, and ethionine blocks the enzyme stimulating effects of
    both agents (Hart and Fouts, 1965).

    Liver microsomal preparations from adult, female rats given 10 mg/kg
    of chlordane intraperitoneally every other day for 14 days showed a
    385 per cent increase in the biotransformation of 17ß-estradiol to
    polar metabolites (Kuntzman et al., 1964). The intraperitoneal
    injection of immature male rats with 50 mg/kg of chlordane daily for 4
    days produced an increase of activity of the liver microsomal steroid
    hydroxylases (Conney et al., 1967).

    The toxicities of bishydroxycoumarin and phenylbutazone were reduced
    in both rats and dogs pretreated by chlordane, and this effect was
    accompanied by lower plasma levels of these drugs in the
    chlordane-treated animals than in controls given the same doses (Welch
    and Harrison, 1966). The toxicity of parathion was reduced in mice
    pretreated 16 hours to 4 days previously with a single oral dose of
    130 mg/kg of chlordane (Triolo and Coon, 1966).

    Male rats weighing 60 to 80 gms were given 25 mg/kg of chlordane
    intraperitoneally daily for 3 days, and were sacrificed 24 hours after
    the last dose. The livers showed a proliferation of the
    smooth-surfaced endoplasmic reticulum in the parenchymal cells,
    associated with an increased activity of microsomal preparations from
    such livers to metabolize hexobarbital, aminopyrine, zoxazolamine and
    p-nitrobenzoic acid (Fouts and Rogers, 1965).

    Pretreatment of rats for several days with chlordane increased the
    LD50 of warfarin more than 10-fold, an effect associated with
    decreased plasma levels of warfarin and an increased rate of
    metabolism of the drug by liver microsomal enzymes (Ikeda et al.,
    1966).

    Technical chlordane and one of its pure isomers, gamma-chlordane,
    administered to adult or weanling rats in single or 3 daily doses,
    after 1 to 8 days increased the hepatic microsomal metabolism of
    hexobarbital, aminopyrine, and chlorpromazine (Hart et al., 1963).

    Treatment of newborn rabbits with 50 mg/kg of gamma-chlordane daily
    for 3 days increased the activity of liver enzymes that metabolize
    hexobarbital, aminopyrine and p-nitrobenzoic acid. Treatment of
    lactating mothers with chlordane increased the drug metabolizing
    enzymes in the nurslings (Fouts and Hart, 1965). Drug metabolism was
    also stimulated in adult rabbits.

    In dogs given 5 mg/kg of chlordane orally three times a week for 7
    weeks the rate of metabolism of phenylbutazone was markedly increased.
    This effect persisted as long as 21 weeks after termination of the
    chlordane administration (Burns et al., 1965).

    Chlordane has been demonstrated to stimulate the rate of drug
    metabolism by the liver of the squirrel monkey (Cram et al., 1965).

    For further information see the sections In Plants, and In
     Animals.

    Acute toxicity

                                                                      
                         LD50 mg/kg
    Animal      Route    body-weight     References
                                                                      

    Rat         Oral     200 - 590*      Ambrose et al., 1953
                                         Ingle, 1955
                                         Stohlman et al., 1950

                Oral     335 - 430       Gaines, 1960
                         150 - 225       Ingle, 1955

    Mouse       Oral     430             US Food and Drug Admin., 1947

    Rabbit      Oral     100 - 300*      Stohlman et al., 1950
                         20 - 40         Ingle, 1955

    Goat        Oral     180             Welch, 1948

    Sheep       Oral     500 -1000       Welch, 1948

    Chicken     Oral     220 - 230       Turner and Eden, 1952
                                                                      

    *  The differences are explained by the use of different solvents,
       and by the fact that the chlordane mentioned in the older
       literature contained a considerable amount of the very toxic
       hexachlorocyclopentadiene (Ingle, 1965; Lehman, 1952).

    Man. A dose of 104 mg/kg proved fatal (Derbes et al., 1955). An
    18-year old female showed convulsions but recovered after a dose of
    approximately 30 mg/kg (amount retained after vomiting estimated to be
    10 mg/kg). In two infants, 15 months and 3 years of age, 10 and 40
    mg/kg respectively gave severe poisoning (Stormont and Conley, 1955).

    Short-term studies

    Rat. When a diet containing 1000 ppm of chlordane was fed to 12 male
    rats, all of them died within 10 days. At 500 ppm, 12/12 died within
    70 days; at 300 ppm, 9/12 were alive after 100 days (Stohlman et al.,
    1950).

    Daily oral doses of 6.25 - 25 mg/kg given to 5 rats for 15 days
    produced no tremors or convulsions, but daily doses of 50 mg/kg
    produced toxic symptoms and 2 of the animals died. With 100 mg/kg, all
    the animals died. Intracytoplasmic bodies in the liver-cells were
    found at all levels and their number was in proportion to the dose
    used (Ambrose et al., 1953).

    Groups of 6 females and 6 males were fed 2.5 ppm or 25 ppm of a sample
    of technical chlordane containing 60-75% chlordane and 25-40%
    unrelated products for up to 9 months. Centrolobular cell hypertrophy,
    peripheral migration of cytoplasmic granules and the presence of
    cytoplasmic bodies were observed in 1 male at 2.5 ppm and in 5 males
    at 12.5 ppm (Ortega et al., 1957).

    Initial groups of 10 males and 20 females were used in a 3-generation
    study at dietary levels of 0, 0.3, 3, 15, 30 and 60 ppm of technical
    chlordane. Two litters in each filial generation were studied. Levels
    up to and including 30 ppm had no effect on fertility, numbers of
    young or litters, or weight, growth or mortality of the young animals
    to weaning age. Autopsy of animals post-weaning showed no gross or
    microscopic difference between the groups. At 60 ppm, there was a high
    (10.6 per cent) mortality in the second F3 generation litters during
    the latter part of the nursing period; these animals showed gross and
    microscopic pathology comparable to that characteristic for chlordane
    intoxication. However, survivors of this generation showed no tissue
    changes at all. A third act of F3 litters at 60 ppm suffered 17 per
    cent mortality during the nursing period, with symptomatology end
    gross and microscopic tissue changes characteristic of chlordane
    intoxication. Third F3 generation litters from dams removed from the
    60 ppm group and placed on chlordane-free diets for 30 days prior to
    remating showed no difference in any respect from control litters. No
    evidence of teratogenicity or tumorigenicity for chlordane was found
    in this study (Ingle, 1967).

    Dog. Chlordane was given in varying oral doses to dogs for 7 days,
    convulsions were seen in 1 dog at 200 mg/kg (lowest dose) but 700
    mg/kg (highest dose) did not produce any effect (Batte and Turk,
    1948).

    Four groups of 2 to 4 dogs given chlordane orally in doses between 5
    and 80 mg/kg body-weight daily all died within periods of 25 days to
    93 weeks (Lehman, 1952).

    Groups of 4-7 males and 4-7 females were fed 0, 0.3, 3, 15 and 30 ppm
    of chlordane for 2 years. Abnormalities in the results of clinical
    liver function tests were seen in the 15 and 30 ppm groups. In animals
    selected for necropsy at the end of the first year, increased relative
    liver weights and associated hepatocellular changes were found at 30
    ppm; at the end of two years, dose-related increases in relative liver
    weights were found at 15 and 30 ppm, with non-dose-related
    hepatocellular changes. There was no difference between the severity
    of the liver lesions of the 30 ppm animals and those of four animals
    withdrawn from 30 ppm treatment for eight months prior to sacrifice.
    Percutaneous liver biopsies on two animals of the 30 ppm group at 1, 3
    and 6 months showed hepatocellular changes at 6 months but not at 1 or
    3 months. No adverse effect was seen on behaviour, appearance,
    survival, weight gain, blood picture or the results of periodic
    physical examination, at all levels (Wazeter, 1967).

    Sheep. Chlordane administered by stomach-tube to sheep in a dose of
    0.5 g/kg body-weight produced toxic symptoms (incoordination, partial
    blindness) in 5 to 6 days. A dose of 1 g/kg body-weight produced
    severe respiratory and nervous symptoms at 16 hours and death after 48
    hours (Welch, 1948).

    Long-term studies

    Rat. In one experiment published in 1952, 24 rats (12 of each sex)
    were given 2.5, 25 and 75 ppm of chlordane in the diet for 2 years.
    The sample of chlordane used had an LD50 of 450 mg/kg (Lehman, 1951).
    It was found that 25 and 75 ppm gave moderate to severe signs of
    intoxication; 2.5 ppm still caused liver histological damage, the
    nature of which has not been reported (Lehman, 1952).

    Groups of 40 rats (20 males and 20 females) were fed concentrations of
    5, 10, 30, 150 and 300 ppm of "technical chlordane" in the diet over a
    2-year period.

    Throughout the experiment tremors and convulsions appeared or could be
    induced at 30 or more ppm. Following fasting, no neurological symptoms
    appeared at 5 or 10 ppm. Growth rate was affected at 150 or 300 ppm.
    Liver histological damage was observed in the form of hypertrophy of
    centrolobular calls, cytoplasmic oxyphilia and hyalinization, nuclear
    karyorhexis or cellular pyknosis, presence of fat in the cytoplasm and
    some bile-duct proliferation. These changes were obvious at 150-300
    ppm, slight at 30 ppm, minimal at 10 ppm and absent at 5 ppm (Ingle,
    1952).

    In a subsequent experiment from the same laboratory, which was carried
    on between late 1953 and late 1955, "technical chlordane of recent
    manufacture" was used. Groups of 40 rats were given chlordane at 2.5,

    5, 10, 25, 50, 75, 150 or 300 ppm. A control group was given no
    chlordane. Changes concerning food consumption, growth and mortality
    were seen only in the 300 ppm group. Liver cell changes were not
    present in the animals given 2.5-25 ppm. At 50 ppm only "cytoplasmic
    peripheralization" was present. At higher doses the changes were as
    those previously described (Ingle, 1955).

    In a study published in 1953, a sample of chlordane exhibiting an oral
    LD50 for the rat of 590 mg/kg was used. Groups of 5 rats of each sex
    were given 0, 10, 20, 40, 80, 160, 320, 640 and 1280 ppm of chlordane
    in their diets for approximately 407 days. The animals at 640 and 1280
    ppm died early. At lower dosages, survival was unaffected. Increased
    liver-weight (in comparison with the control group) was observed over
    320 ppm. In a sample of liver of a male at 320 ppm the average nuclear
    volume was 377µ3 compared to 268µ3 in a control rat. Cytoplasmic
    vacuoles containing fat and clusters of granules at the periphery of
    the cytoplasm were often seen. In the males they were equivocal at 10
    ppm, absent at 20 ppm and infrequent at 40 ppm. In the females these
    lesions were common and were seen only at 80 ppm and over (Ambrose et
    al., 1953).

    Observations in man

    Workers engaged in the manufacture and formulation of chlordane for
    periods up to 15 years have exhibited no evidence of harmful effects
    attributable to this insecticide (Princi and Spurbeck, 1951; Alvarez
    and Hyman, 1953; Fishbein et al, 1964). In a survey of more than 1105
    persons who had been engaged in pest control operations for 1 to 30
    years (318 for 5 to 19 years), three cases of toxicity due to
    chlordane were reported, the only symptoms specified being dizziness
    and headache (Stein and Hayes, 1964).

    Chlordane was not found in any of 282 human fat samples taken at
    autopsy, though DDT and lindane were regularly detected and dieldrin
    was frequently found (Hoffman et al., 1964).

    Comments

    Since chlordane stimulates drug metabolizing processes in the rat,
    mouse, rabbit, dog and squirrel monkey, and since the microsomal
    enzyme stimulating properties of chlordane are similar to those of
    phenobarbital, which stimulates drug metabolism in man, it appears
    extremely likely that chlordane also stimulates drug metabolism in
    man. This effect in animals and the associated cellular changes in the
    liver, considered characteristic of the chlorinated hydrocarbon
    insecticides as a class, are thought by several workers not to
    represent toxic effects but rather physiological adaptive processes.

    Toxicological studies reported prior to 1953 are not contributory to
    the evaluation of the currently manufactured product because of the
    variability of composition before that time. The chlordane made for
    commercial use since 1953, which has been used in the studies

    reported, has a constancy of composition that makes the data adequate
    for toxicological evaluation.

    In none of the many toxicological studies done has there been any
    evidence observed of tumorigenic or other irreversible pathologic
    changes, even at the highest doses or feeding levels used.

    On the basis of the results of two long-term feeding studies in the
    rat, a no-effect level for the rat may be established at 20 ppm, or 1
    mg/kg/day. A satisfactory 3-generation reproduction study in the rat
    has been completed recently in which 30 ppm was without effect on
    fertility, number or size of litters, or on the weight, growth or
    mortality of the young to weaning age. Furthermore, there was no
    evidence of teratogenicity. In the recently completed 2-year feeding
    study in the dog, 3 ppm of chlordane was the highest level used that
    had no effect in tests of liver function or on liver weight and
    structure of the liver cell. Though the liver weight and cell
    structure changes at 15 ppm may probably be classified as adaptive
    rather than toxic in nature, the significance of the functional
    changes at this level cannot be assessed in the present state of our
    knowledge. Even though these changes consistently disappeared before
    the end of the 2-year feeding period, and even though 15 and 30 ppm
    produced no other adverse effects throughout the 2-year period, it
    seems necessary at this time to take 3 ppm chlordane as the maximum
    known no-effect level in the dog.

    TOXICOLOGICAL EVALUATION

    Level causing no toxicological effects

         Rat. 20 ppm in the diet, equivalent to 1 mg/kg/day

         Dog. 3.0 ppm in the diet, equivalent to 0.075 mg/kg/day

    Estimate of acceptable daily intake for man

         0 - 0.001 mg/kg body weight

    Further work required

    See General Comments page 3 and 4.

    Further work desirable

    Toxicological data on alpha and gamma chlordane.

    EVALUATION FOR TOLERANCES

    USE PATTERN

    Chlordane was the first cyclodiene insecticide and originally had a
    broad scale and spectrum of use but was somewhat displaced by aldrin,
    dieldrin, endrin and heptachlor because of their greater persistence

    and effectiveness and lower cost. In recent years, to narrow the use
    spectrum of aldrin, dieldrin, endrin and heptachlor, there is renewed
    interest in the use of chlordane.

    Several million pounds of chlordane have been used annually in North
    America for more than 20 years of which between 30 and 40 per cent has
    been used in agriculture. The USA and Canadian currently approved uses
    represent the largest spectrum and potential scale of use in the world
    and have been used an a guide to this evaluation.

    Pre-harvest treatments

    The most important use of chlordane in for soil treatment, with a
    limited use for foliar application, the main crops being large root
    crops, sugar beets, corn, small root vegetables, leafy and stalk
    vegetables, cucurbits, leguminous vegetables, berry fruits, sugar
    cane, pineapple and cereals. Some uses on forage crops are still
    approved in the USA.

    The literature suggests that in fifty or more countries, chlordane is
    or can be used on sugar beets, potatoes, vegetables, tobacco, sugar
    cane, ground nuts (peanuts), beans, bananas, coffee, deciduous fruits,
    citrus, olives, cotton and tea bushes. However, information on the
    scale of use and resulting residues is not generally available. In
    other countries the scale of use is probably only a fraction of that
    in the USA. Dosages vary between countries, with a range of 1 to 8
    lbs/acre recommended for a variety of vegetable insect control
    requirements.

    Post-harvest treatments

    No post-harvest uses are currently recommended.

    RESIDUES RESULTING FROM SUPERVISED TRIALS

    The large amount of available information needs critical review
    because of improvements in analytical methods since 1961 and recent
    information on the chemical nature of terminal residues. Methods used
    prior to 1963 were based on total chlorine or colorimetric
    measurements and expressed results in terms of technical chlordane.
    Recently developed methods identify individual components, the
    summation of which frequently is approximately one half of that
    reported by earlier non-specific methods. New data developed from 1965
    to 1967 reports individual components of residues as alpha and
    gamma-chlordane, sometimes with much smaller and insignificant
    quantities of heptachlor and heptachlor epoxide. Small amounts of
    gamma-chlordane will be found in some crops resulting from the use of
    technical heptachlor in soil (Lichtenstein et al, 1967; Saha and
    Stewart, 1967; Velsicol, 1967 a through d). Some authors have 
    recently added the various components of the residue and reported the
    total as chlordane (e.g. Smith and Adams, 1965).

    The available information concerning residues resulting from uses
    constituting "good agricultural practice" (i.e. consistent with pest
    control requirements, principally in the USA and Canada) are
    summarized below.

                                                                                         
    Crop                             Residue (ppm)            Reference
                                                                                     

    alfalfa                          0.01                     Ordas et al, 1956
       "                             0.16                     Allen, 1963
    barley, grain                    0.0 - 0.06               Velsicol, 1967c
       "  , straw                    0.98 - 2.65                 "        "
    beans                           <0.01                     Smith and Adams, 1965
    beets                            0.17                              "
    beet tops                        0.01 - 0.1                        "
    bell peppers                     none recovered           Muns et al, 1960
    broccoli                          "       "                        "
    cabbage                           "       "                        "
    cantaloupe                       0.08                              "
       "      , meat and rind        0.01 - 0.1               Smith and Adams, 1965
    carrots                          1.5                      Muns et al, 1960
       "                             0.01 - 0.13              Cook, 1960
       "                             0.16 (1)                 Lichtenstein et al, 1967
       "   , peel                    0.0 - 0.7                Cook, 1960
    collards                         none recovered           Marth, 1962a
    cucumbers                        0.08                     Muns et al, 1960
    eggplant                         none recovered                    "
    lettuce                          0.04                              "
    peaches                          0.8                      Fahey et al, 1957
    peanuts                          1.74 ± 0.82              Morgan et al, 1967
    pineapple                        0.145, 0.43 (2)          Perez-Escolar, 1959
    potatoes                        <0.01 - 0.23                        (3)
    radishes                         0.03                     Lichtenstein et al, 1967
    rutabagas                        0.5                      Muns et al, 1960
       "                             0.08 - 0.16 (4)          Saha and Stewart, 1967
    snap beans                      <0.01                     Smith and Adams, 1965
    strawberries                    <0.01                              "
       "                             none recovered           Fahey, 1962
    sweet potatoes                   0.01 - 0.4                        (5)
    sugar beets                      0.04 - 0.37                       (6)
    tomatoes                         0.01                     Muns et al, 1960
       "                            <0.01                     Smith and Adams, 1965
    turnips                          0.01 - 0.1                        "
       "                             0.16                     Muns et al, 1960
    turnip tops                      0.01 - 0.1               Smith and Adams, 1965
    wine                             none (7)                 Painter et al, 1963
                                                                                     

    (1)  soil contained 0.68 ppm gamma chlordane (from heptachlor application 5 years
         previous).

    (continued)

    (2)  resulting from one and two applications, respectively.

    (3)  overall range as reported by many authors, e.g. Lichtenstein, 1967; Smith
         and Adams, 1965; Begg et al, 1960; USDA, 1964; USDA, 1966; Corley et al,
         1965; Velsicol, 1967b.

    (4)  gamma chlordane from heptachlor

    (5)  overall range as reported by many authors, e.g. Muns et al, 1960; Smith and
         Adams, 1965; Smith et al, 1964.

    (6)  overall range following different rates of application as reported by
         many authors, e.g. Muns et al, 1960; Rusk and McDonough, 1966;
         Velsicol, 1967d.

    (7)  0.6 in must and lees.
    
    Data are required from similar investigations using reliable
    analytical procedures from other countries. Information pertaining to
    successive crops grown in rotation over a period of years after
    initial treatment would be of particular interest. Data are also
    required on the residues which may occur in oil seeds as the result of
    intentional use, or from growing these crops in rotations. This is of
    particular importance where certain oil-containing crops are grown in
    rotation with other crops, especially after maize.

    In general these data suggest that the highest residues consistent
    with good agricultural practice will result in the large root crops,
    and under certain conditions in the leafy and stalk vegetables.
    Considerable variation can be expected in residues found in the large
    root crops, particularly potatoes, depending on soil type, variety of
    potato and date of maturity. Recent information suggests that the
    residues in leafy and stalk vegetables may in part be from direct
    contamination from soil, rather than a true translocation into growing
    parts other than the stem or stalk. The intermediate group in
    magnitude of residues to be expected would include small root
    vegetables, cucurbits and pineapple. Cereals, berry fruits, pod
    vegetables and fruit vegetables of the tomato type are in the category
    of lowest residues, usually well below 0.1 ppm. It is probable that
    there is no true translocation of residues in the grain of most
    cereals and that the residues found are due to mechanical
    contamination by soil, dust, debris, etc., during harvesting
    operations.

    RESIDUES IN FOOD MOVING IN COMMERCE

    Pesticide residues in commercial animal feeds are important sources of
    residues in milk and other animal products. Data concerning chlordane
    are available from one such survey in Tables 1 and 2 (Minyard and
    Jackson, 1963).


        TABLE I
                                                                                            

    The occurrence of chlordane in commercial feeds expressed in parts per billion

                               No.          No.      Range of chlordane    Range of total
          Feed               samples     positive       residue (ppb)      pesticide
                                                                           residue (ppb)
                                                                                            

    16% protein Dairy          73           53              0-254            26   -  1153

    18% protein Dairy           6            4             13- 39            55   -   713

    20% protein Dairy           2            2             15- 34           139   -   274

    32% protein Dairy           4            1             5                 36   -   435

    12% protein Fitting
    and Freshening              2            1             12                49   -    60

    14% protein Cattle          3            2             11- 12            47   -   183

    20% protein Beef            1            1             45               343

    16% protein Hog             3            0             -                 34   -    62

    16% protein Poultry         3            2             7- 11             80   -   291
                                                                                            

    TABLE II
                                                                                                

    Ranges and averages of insecticide residues found in 101 feeds expressed in parts per billion

                                                                           Av. level of
                            No.          Per cent         Range of       contamination of
    Insecticide        contaminated    contaminated    contamination    contaminated foods
                                                            (ppb)              (ppb)
                                                                                                

    lindane                101            100.0           5 -  79              16.0

    aldrin                  87             86.1           1 -  16               2.6

    DDT                     99             98.0          10 - 448              80.5

    methoxychlor            46             45.5          10 - 580              74.0

    endrin                  59             58.4           4 -  27              10.6

    chlordane               68             67.3           5 - 254              30.4

    dieldrin                89             88.1           1 -  16               4.9

    toxaphene               15             14.8          60 - 530             178.3

    heptachlor               9              8.9           2 -  13               4.8

    heptachlor epoxide       3              3.0           1 -   6               3.3
                                                                                                
    

    Soybeans follow maize in recommended crop rotations in the USA. Soil
    used for maize production is treated with chlordane, aldrin or
    heptachlor and may result in residues of chlordane in soybeans
    subsequently grown in these soils. An interim report on a survey of
    unintentional residues from soil and crop samples from 27 regional
    special sampling locations in the USA was made available to the
    meeting. Chlordane was detected in soils from 3 fields at an average
    concentration of 0.26 ppm, soybeans from one of these fields
    containing 0.03 ppm. Eight other soil samples contained an average
    concentration of 0.50 ppm (range 0.09 to 1.11 ppm). No chlordane was
    detected in soybean seed or plants from these latter soils (USDA,
    1967a).

    Information on sources of chlordane in total diet studies has been
    available for five years. The earliest of these concerns 12,000
    samples analyzed by paper chromatography and gas liquid chromatography
    in the state of California (CSDA, 1962). No chlordane was found in
    this survey.

    Thirty-eight total diet studies in 1961-62, for six USA cities
    resulted in only two samples containing chlordane at 0.01 and 0.03 ppm
    (Fishbach, 1963).

    Eighty-two foods collected from 18 markets in three different
    geographical areas in the USA were prepared for consumption, resulting
    in 216 composite samples, and then analysed (Duggan et al, 1966).
    Chlordane was found in only one composite sample at 0.033 ppm in
    "garden fruit" produce (i.e. raw peppers, fresh and canned tomatoes,
    raw cucumbers, catsup, eggplant, raw and frozen summer squash).

    Comprehensive unpublished information from the USA was made available
    to the 1967 Joint Meeting (Duggan, 1967). This data is concerned with
    both objective samples of food for the years 1964 -1966 inclusive and
    total diet samples for the year ending April 1967.

        TABLE III
                                                                               

    Objective Samples - Chlordane

    Year                             1964       1965      1966     Total
                                                                               

    Number of domestic samples      20,088     14,462    14,806    49,356

    Per cent of samples positive       0.7        1.1       0.9       0.9

    Number of import samples         1,224      1,217     1,399     3,840

    Per cent of samples positive       0.2        0.9       0.1       0.4
                                                                               
        Total Diet Samples - Chlordane

    Leafy vegetables   -  1 composite positive contained 0.02 ppm (29 negative)

    Legume vegetables  -  1 composite positive contained 0.005 ppm (29 negative).
                                                                               

    In Table IV details of the incidence and levels of chlordane for 1966
    are of considerable interest as to amount and sources of residues in
    the diet of man in the USA.

    Canadian information covers a 4.5 year period from 1963 to July 1967.
    Of a total of 14,270 samples of food (12,186 domestic and 2,084
    imports), eleven contained chlordane; one lot of imported green
    peppers, >0.3 ppm; six lots of whole eggs, 1.8 to 11 ppm (all seven
    in excess of tolerance). Three vegetable samples contained traces of
    chlordane, and one lot of turnips contained residues in excess of 0.3
    ppm (Swackhamer, 1967).

    Two reports of no chlordane being found in British food (Robinson and
    McGill, 1966; Egan et al, 1966) are difficult to evaluate because of
    lack of information on current use of chlordane in Britain and the
    countries from which some foods concerned were imported.

    FATE OF RESIDUES

    In soils

    Chlordane residues in soil have been investigated since 1949. However,
    prior to 1961 much of the information is of doubtful value. Sources of
    information since then include : USDA, 1964; Landis, 1965; Edwards,
    1965; Edwards, 1966; Rusk and McDonough, 1966; Chisholm et al, 1966;
    Bess et al, 1966; USDA 1967b; Nash and Woolson, 1967; Saha and
    Stewart, 1967; Velsicol, 1967a; Lichtenstein, 1967; and Majumder,
    1967.

    Table V summarizes comparative persistence of some organochlorine
    insecticides based on the literature review of Edwards (1966) but
    modified as concerns doses used for a particular pest as far as
    chlordane is concerned.

    Approximately 55 per cent of chlordane remains in soil after the first
    year following application, compared with 26 per cent for aldrin, 75
    per cent for dieldrin and 80 per cent for DDT, a situation which is
    not consistent with the respective vapour pressures; hence other
    factors must be operating.

    Although most reports to date express residues in soil on the basis of
    equivalents of technical chlordane, Saha and Stewart (1967) reported
    11.9 per cent of the residue resulting from one use of heptachlor as
    gamma-chlordane (one pound of heptachlor contains 35 per cent 
    gamma-chlordane).


        TABLE IV
                                                                                                               

    Incidence and levels of chlordane in objective samples of food of domestic origin*, USA, 1966 (Duggan, 1967)

                                              Number of Samples

                        Raw      Manufactured    Processed     Fish
    Range          agricultural      dairy        animal        and       Vegetable    Processed
    ppm              products      products        feeds     shellfish      oils         foods      Total
                                                                                                               

       T - 0.03        59             1             3            1            -            -         64

    0.04 - 0.10        17             -             4            2            -            -         23

    0.11 - 0.50        35             -             4            -            1            1         41

    0.51 - 1.00         -             -             1            -            -            -          1

    1.01 - 1.50         -             -             2            -            -            -          2

    1.51 - 2.00         -             -             1            -            -            -          1

    Above  2.00         2             -             -            -            -            -          2

    Total samples
    containing        113 **          1            15            3            1            1        134
    chlordane

    Total samples
    examined        9,804           611           680          290          171          227     14,806 *
                                                                                                               

    *  Of an additional 1399 samples of imported foods, only 1 contained chlordane, and this in a raw
       agricultural product in the range of - 0.03 ppm

    ** 55 residues were in root vegetables
       30 residues were in vine and ear vegetables
    

    TABLE V
                                                                         
    Persistence of some organochlorine insecticides in soil

    Insecticide      Average dose active      Time for 95% disappearance
                     ingredient, lbs/acre            in years

                                              Range              Mean
                                                                         

    aldrin                  1 - 3             1 - 6                3

    chlordane               1 - 2             3 - 5                4

    DDT                     1 - 2´            4 - 30              10

    dieldrin                1 - 3             5 - 25               8

    heptachlor              1 - 3             3 - 5                3´

    lindane                 1 - 2´            3 - 10               6´

    telodrin                ¨ - 1             2 - 7                4
                                                                         


    In plants

    Information on the chemical nature of the terminal residues from
    weathering of external residues has recently become available
    (Thurston, 1965; Klein and Link, 1967). A further review of new
    unpublished information and work in progress is contained in the 1966
    and 1967 Reports of the IUPAC Commission on Chemical Nature of
    Terminal Pesticide Residues (IUPAC, 1967, 1968).

    The principal terminal residues from weathering of chlordane on plants
    have been identified as alpha- and gamma-chlordane by characteristic
    "signature" peaks as determined by gas liquid chromatographic methods
    and confirmed by infrared methods. The sequence of analyses taken
    after agricultural applications of technical chlordane exhibit a
    fairly constant pattern. Minute amounts of heptachlor or heptachlor
    epoxide appear in some chromatograms but, for all practical purposes,
    these can usually be ignored.

    The loss of technical chlordane from plants by normal weathering is
    extremely rapid. At the end of the seventh day only 7 ppm of a
    starting load of 110 ppm remains on kale, and only 0.1 ppm, expressed
    as technical chlordane equivalent, remains after 28 days (Klein and
    Link, 1967).

    Previous studies on weathering of residues have not taken account of
    the possible formation of hydrophilic metabolites, an omission which
    is not probably toxicologically important since the known hydrophilic
    metabolites of at least gamma-chlordane are less toxic than
    technical chlordane. However, such information in domestic animals
    after ingestion of weathered residues would be important in
    establishing the consumer hazard of residues in animal products.

    Recent information on the production of hydrophilic metabolites of
    gamma-chlordane in animals (Poonwalla and Korte, 1964; Ludwig, 1966)
    suggests that similar investigations should be carried out in plants,
    particularly from the stand-point of translocation and metabolism of
    residues in soil. Work on that subject is now in progress by Korte and
    will be reported to the IUPAC Commission on Terminal Residues in 1968.
    Current indications are that substantial formation of hydrophilic
    metabolites (of lower order of toxicity than alpha-, gamma-, and
    technical chlordane) are formed in the stalk of plants (Korte, 1967
    personal communication).

    Gamma-chlordane residues can occur in plants as the result of use of
    technical heptachlor in soil. An application of 6.6 kg/ha mixed into
    soil results in 11.9 per cent of the soil residue being in the form of
    gamma-chlordane. Rutabagas grown in this soil contained 0.008 ppm
    gamma-chlordane, this being 13.3 per cent of the total residue
    (heptachlor + heptachlor epoxide + gamma chlordane = 0.060 ppm), (Saha
    and Stewart, 1967). Crops grown in soil containing 0.68 ppm
    gamma-chlordane, resulting from heavy previous use of heptachlor,
    contained harvest residues of gamma-chlordane of the following order :
    radishes, 0.03 ppm; carrots, 0.16 ppm; potatoes, 0.03 ppm; pea greens,
    not detected (Lichtenstein et al, 1967 in press).

    In animals

    An important recent development with a bearing on the evaluation of
    the hazard of residues in food to humans is the evidence that in
    mammals gamma-chlordane can be metabolized and detoxified to more
    hydrophilic products which are largely excreted into the aqueous
    phase. Rats receiving intravenous doses of gamma-chlordane 14C
    excreted 22 per cent of the total dose within 60 hours in the form of
    hydrophilic metabolites in feces. High percentages of hydrophilic
    metabolites were detected in the entire alimentary tract and kidneys.
    Unchanged gamma-chlordane was found only in subcutaneous fat
    (Poonawalla and Korte, 1964). Weekly doses of gamma-chlordane 14C
    administered by stomach tube for ten weeks to rabbits resulted in 47.2
    per cent of the total administered radioactivity being excreted in
    urine, and 22.7 per cent in feces, with only about 4 per cent in fatty
    tissues. Unchanged gamma-chlordane could be detected only in
    subcutaneous fat, while all other tissues contained hydrophilic
    metabolites. In urine, only hydrophilic metabolites could be detected.

    Two hydrophilic metabolites have been isolated, one identified as a
    chloro-hydrine. The acute oral toxicity of this metabolite is lower
    than that of chlordane. The LD50 value for mice is higher than 1800

    mg/kg. The structural formula for this metabolite assigned is
    1-hydroxy-2-chloro-dihydrochlordane. The second metabolite is more
    hydrophilic than the first, with both chlorine atoms in position 1 and
    2 of gamma-chlordane possibly replaced by hydroxylic groups (Ludwig,
    1966). The first metabolite may also possibly be derived from
    alpha-dihydro-heptachlor resulting from oxidative detoxication
    metabolism of heptachlor. Brooks and Harrison, (1967) assign a
    slightly different structure to this metabolite, designating it
    possibly as an octochloro-compound.

    These recent findings possibly explain why the analysis of more than
    500 samples of human fat tissues in the USA did not detect chlordane
    (Hoffman et al, 1964; Hoffman, 1963). In less than 50 per cent of
    these samples, two peaks in GLC chromatograms were noted, representing
    concentrations of 0.01 - 0.05 ppm chlorine. Assuming these peaks are
    due to a pesticide, their region indicates they could be caused by
    ronnel, heptachlor, heptachlor epoxide, endosulfan or chlordane, or
    hydrophilic metabolites of chlordane only partially soluble in polar
    solvents.

    The weathered residues of plants consist largely of alpha- and
    gamma-chlordane. If this also occurs in residues translocated from
    soil to growing plants, their hazard to man, after ingestion and
    detoxication to hydrophilic metabolites, would reasonably be much less
    than that for technical chlordane.

    Residues of chlordane in meat resulting from direct application to
    animals has been reported (Claborn, 1956; Claborn et al, 1960).
    Consequently, chlordane is not currently recommended for use in direct
    treatment of animals. Residues in whole milk resulting from grazing
    cows on chlordane-treated pastures as early as one day, one week, two
    weeks and four weeks after treatment were dosage dependent. At 0.25
    lb/acre, none was found; at 0.5 lb and 1.0 lb per acre, a maximum of
    0.08 ppm at the end of 8 weeks of feeding was found together with
    maximum residues of heptachlor epoxide of 0.04 ppm. (Westlake et al,
    1963).

    Alfalfa treated with chlordane at one and two pounds per acre resulted
    in hay residues of 20.4 and 20.9 ppm. Cows receiving this alfalfa for
    a period of 150 and 100 days produced milk that contained residues
    ranging from none to 0.2 ppm maximum (Carter et al, 1956).

    Both of these experiments demonstrate considerable variation in the
    residues excreted in milk by individual animals and suggest that
    average results from a large herd of dairy animals would produce
    smaller residues in pooled milk.

    New USA data have been developed recently from feeding alfalfa with
    known residues to dairy cattle. A progress report reviewed by the
    Joint Meeting suggests that feeding alfalfa hay treated at 1.0 and 2.0
    lbs/acre to Holstein cows resulted in a daily intake of 10.6 mg and
    15.9 mg/day. Milk samples analyzed during the 31-day feeding study

    were all negative (at a sensitivity of 0.01 ppm), with the exception
    of one animal on the first day of feeding (Velsicol, 1967e).

    In storage and processing

    Information on the behaviour of residues during storage and processing
    is needed. Although in the past, terminal residues of chlordane have
    been regarded as stable, one investigation to date suggests that at
    least in the case of rutabagas, cooking in water results in total
    disappearance of residues in pulp (sensitivity 2 ppb) and 40 per cent
    disappearance from peel, most being lost in water and only about 13.5
    per cent steam-distilled (Saha and Stewart, 1967). Similar data on
    other foods would be most useful.

    METHODS OF RESIDUE ANALYSIS

    A number of multidetection systems are available for the detection and
    determination of organochlorine compounds and most of these can be
    used for residues of alpha- and gamma-chlordane. An example is the
    AOAC (1966) system in which acetonitrile partition and florisil column
    clean-up are used, the residues being identified by gas chromatography
    coupled with thin-layer or paper chromatography. Both electron capture
    and micro-coulometric detectors can be used: the application of these
    to chlordane, residue analysis, with special reference to
    interferences by toxaphene (should this also be present) has been
    described by Klein and Link (1967). The multidetection systems, which
    normally separate the two isomers, are sensitive to about 0.02 ppm of
    each isomer. Alternative methods for the confirmation of the identity
    of residues, e.g. using infra-red spectrophotometry, are also
    available.

    Since alpha- and gamma-chlordane have boon shown by Klein and Link
    (1967) to weather to approximately the same extent in agricultural
    application, it is convenient to sum the residues; whilst in these
    circumstances it might theoretically be possible then to apply a
    factor to express this sum in terms of original technical chlordane,
    it is recommended that results be reported as the total of alpha- plus
    gamma-chlordane.

    NATIONAL TOLERANCES

                                                                       

    Country                Tolerance, ppm             Crop

                                                                       

    Canada                       0.3                  on a wide range of
                                                      foods (approximately
                                                      50 individual crops
                                                      included)

    (cont'd)
                                                                       

    Country                Tolerance, ppm             Crop

                                                                       

    European Economic
    Community                    0.2                  in fruits and
                                                      vegetables proposed,
                           (combined total            with a review date
                          of all cyclodiene           of 1 January 1970.
                              residues)

    Netherlands,
    Belgium,                     0.1
    Luxembourg

    USA                          0.3                  on a wide range of
                                                      foods (approximately
                                                      50 individual crops
                                                      included)
                                                                       

    RECOMMENDATIONS FOR TOLERANCES AND PRACTICAL RESIDUE LIMITS

    Temporary tolerances

    The potential hazard of residues resulting from the use of chlordane
    has been reduced by narrowing the spectrum of use. New information on
    the chemical nature of terminal residues indicates that these are
    largely alpha- and gamma-chlordane. The extensive available 
    information from objective samples and total diet studies 
    in the USA (where several million pounds a year have been used 
    in agriculture for twenty years) indicates insignificant loads of
    residues in food as consumed.

    In view of these data and the relatively narrow spectrum of currently
    recommended use, the following temporary tolerances, to be reviewed
    31 December, 1970, are recommended :

    Large root crops                                          0.3 ppm

    Potatoes, sweet potatoes, rutabagas, turnips (soil
    treatment) with the restriction that these be used for
    human consumption only. If culls are to be fed to
    livestock, additional data are required on the number of
    pounds per day which may be fed in rations of swine, beef
    and dairy cattle, with resultant residue data in animal
    products.

    Leafy and stalk vegetables                                0.3 ppm

    including all cole crops, spinach, lettuce, celery
    and asparagus (soil treatment).

    Small root vegetables                                     0.2 ppm

    including but not limited to onions, table beets,
    radishes (excluding carrots) (soil treatments).

    Cucurbits                                                 0.2 ppm

    Cucumbers, melons including canteloupe, pumpkin and
    squash (soil treatments)

    Pineapple (soil treatment)                                0.2 ppm

    Sugar beets (soil treatment)                              0.1 ppm

    provided data are developed on residues remaining in
    sugar beet pulp and green tops and residues remaining
    in animal products when amounts of these are included
    in the ration are fed to swine, beef or dairy cattle.

    Pod vegetables (in the pod)                               0.1 ppm

    peas, beans, etc. (soil treatment)

    Berry fruits                                              0.1 ppm

    bush, cane and strawberries (soil treatment)

    Tomatoes and related garden fruits (soil treatment)       0.1 ppm

    Sweet corn and popcorn (soil treatment)                   0.1 ppm

    Comments:

    Whole oil seeds: data are incomplete and available analytical
    results are inconsistent. Tolerances or practical residue limits will
    be required if chlordane is used in soil or as a foliar treatment.

    Citrus, pome and stone fruits: no tolerance required, since no
    residues are likely to result in fruit from soil treatments.

    The point of enforcement of these tolerances should be on the raw
    agricultural products moving in commerce.

    Practical residue limits

    Cereals                                                   0.1 ppm

    The meeting realized that it may be necessary at some future date to
    recommend practical residue limits for chlordane for animal products.
    Data were not available in 1967 to indicate such need or the levels
    required.

    FURTHER WORK

    Further work required before 30 June 1970

    1.   More evidence is needed on the extent to which chlordane is used
         on particular crops in various countries, the residues which
         occur in commerce and total diet studies in countries using this
         pesticide or importing food.

    2.   Data are required on the fate of residues during the normal
         course of storage and processing before consumption.

    3.   Information on residues resulting from growing crops in rotations
         on land in which chlordane has been used previously.

    4.   Data are required on residues in oil seeds, in vegetable oil
         after processing and in oil seed cake or meal which may become
         animal feed.

    Further work desirable

    Many of the measurements of residues made prior to 1961 need to be
    repeated with the aid of the more sensitive and specific analytical
    techniques.

    REFERENCES PERTINENT TO EVALUATION FOR ACCEPTABLE DAILY INTAKES

    Alvarez, W.C. and Hyman, S. (1953) A.M.A. Arch. Indust. Hyg. Occup.
    Med. 8, 480

    Ambrose, A.M., Christensen, H.E., Robbins, D.J. and Rather, L.J.
    (1953) A.M.A. Arch. Indust. Hyg. Occup. Med. 7, 197

    Batte, E.G. and Turk, R.D. (1948) J. econ Ent., 41, 102-103.

    Burns, J.J., Cucinell, S.A., Koster, R. and Conney, A.H. (1965) Ann.
    N.Y. Acad. Sci. 123, 273.

    Carter, R.J., Hubanks, P.E., Poos, F.W., Moore, L.A. and Ely, R.E.
    (1953) J. Dairy Science, 36, 1172.

    Claborn, H.V., Bowers, J.W., Wells, R.W., Radeleff, R.D. and
    Nickerson, W.J. (1953). Agric. Chemicals, 8, 37

    Conney, A.H., Welch, R.M., Kuntzman, R. and Burns, J.J. (1967) Clin.
    Pharmacol. Therap. 8, 2

    Cram, R.L. Juchau, M.R. and Fouts, J.R. (1965) J. Lab. Clin. Med.
    66, 906

    Derbes, J.V., Dent, H.J., Forrest, W.W. and Johnson, M.F. (1955) 
    J. Amer. med. Ass. 158, 1367

    Fishbein, W.I., White, J.V. and Isaacs, H.J. (1964) Indust. Med. and
    Surg. 33, 726

    Fouts, J.R. (1963) Ann. N.Y. Acad. Sciences, 104, 875

    Fouts, J.R. and Hart, L.G. (1965) Ann. N.Y. Acad. Sciences, 123, 245

    Fouts, J.R. and Rogers, L.A. (1965) J. Pharmacol. Exper. Therap.
    147, 112

    Gaines, T.G. (1960) Toxicol. Appl. Pharmacol., 2, 88

    Hart, L.G. and Fouts, J.R. (1963) Proc. Soc. exp. Biol. (N.Y.), 114,
    388

    Hart, L.G. and Fouts, J.R. (1965) Biochem. Pharmacol. 14, 263

    Hart, L.G., Shultice, R.W. and Fouts, J.R. (1963) Toxicol appl.
    Pharmacol., 5, 371

    Hoffman, W.S., Fishbein, W.I. and Andelman, M.B. (1964) Arch.
    Environ. Health, 9, 387

    Ikeda, M., Sezesny, B. and Barnes, M. (1966) Fed. Proc. 25, 417

    Ingle, L. (1952) Arch. industr. Hyg., 6, 357

    Ingle, L. (1955) Unpublished report submitted by Velsicol Corporation

    Ingle, L. (1965) A Monograph on Chlordane, Ingle, Urbana, Illinois

    Ingle, L. (1967) Unpublished report submitted by Velsicol Corporation

    Kuntzman, R., Jacobson, M., Schneidman, K. and Conney, A.H. (1964)
    J. Pharmacol. exper. Therap., 146, 280

    Lehman, A.J. (1951) Assoc. Food and Drug Officials Bull., 15 122

    Lehman, A.J. (1952) Quart. Bull. Assoc. Food and Drug Officials
    U.S., 16, 47

    Ortega, P., Hayes, W.J. and Durham, W.F. (1957) A.M.A. Arch. Path.,
    64 61, 4

    Princi, F. and Spurbeck, G.H. (1951) A.M.A. Arch. Indust. Hyg.
    Occup. Med., 3, 64

    Stein, W.J. and Hayes, W.J., Jr. (1964) Indust. Med. and Surg., 33,
    549

    Stohlman, E.F. and Smith, M.I. (1950) Advances in Chem. Ser., 1, 228

    Stohlman, E.F., Thorp, W.T.S. and Smith, M.I. (1950) Arch. industr.
    Hyg., 1, 13-19

    Stormont, R.T. and Conley, B.E. (1955) J. Amer. med. Ass., 158,
    (15), 1364

    Triolo, A.J. and Coon, J.M. (1966) Ag. and Food Chem., 14, 549

    Turner, H.F. and Eden, W.G. (1952) J. econ. Ent., 45, 130

    US Food and Drug Administration (1947) Quarterly Report No. 3

    Wazeter, F.X. (1967) Unpublished report submitted by Velsicol
    Corporation

    Welch, H. (1948) J. econ. Entomol., 41, 36-39

    Welch, R.M. and Harrison, Y. (1966) The Pharmacologist, 8, 217

    Westlake, W.E., Corley, C., Murphy, R.T., Barthel, W.F., Bryant, H.
    and Schutzmann, R.L. (1963) J. Ag. Food Chem., 11, 244

    REFERENCES PERTINENT TO EVALUATION FOR TOLERANCES

    Allen, W.R. (1963) Plant growth dilution and the decline of
    insecticide residues from alfalfa in Manitoba. Proc. Ent. Soc.
    Manitoba 19.

    AOAC. (1966) Changes in methods of analysis. J. Assoc. Off. Anal.
    Chem. 49 : 222-230.

    Banham, F.L. (1961) The persistence of certain insecticides for
    control of the tuber flea beetle, Epitrix tuberis (Gent.) in the
    interior of British Columbia. Can. J. Plant Sci. 41 : 664.

    Begg, J.A., Plummer, P.J.G., Konst, H. (1960) Insecticide residues in
    potatoes after soil treatments for control of wireworms. Can. J. Plant
    Sci. 40 : 680-669.

    Bess, H.A., Ota, A.K., Kawanish, C. (1966) Persistence of soil
    insecticides for control of subterranean termites. J. Econ. Ent. 59 :
    911-915.

    Brooks, G.T., Harrison, A. (1967) The toxicity of
    alpha-dihydroheptachlor and related compounds to the housefly (M.
    domestica L.) and their metabolism by housefly and pig liver
    microsomes. Life Sciences 6 : 1439-1448.

    Carter, R.H., Claborn, H.V., Woodard, G.T., Ely, R.E. (1956) Residues
    in animal products. USDA Yearbook of Agriculture, 143-148.

    Chisholm, R.D., Koblit, S.K.Y., Westlake, W.E. (1966) Estimation of
    aldrin and chlordane residues in soils treated for termite control.
    Pest Control 30 : 48-50-52-53.

    Claborn, H.V. (1956) Insecticide residues in meat and milk. USDA ARS
    33-25.

    Claborn, H.V., Bushland, R.C., Mann, H.D., Ivey, M.C., Radeleff, R.D.
    (1960) Meat and milk residues from livestock sprays. J. Agr. Food
    Chem. 8 : 439.

    Cook, W.C. (1960) Report of residue analysis. USDA, ARS., Ent. Res.
    Div., Pesticide Chemicals Res. Br., Report No. PCY-60-21.

    Corley, C., Miles, E.J., Shands, W. (1965) Chlorinated hydrocarbon
    residues in potatoes. USDA, ARS., Ent. Res. Div., Pesticide Chemicals
    Res. Br., Report No. PC-B-65-22.

    California State Department of Agriculture. (1962) Chlordane residues
    in commercial food channels. Personal Communication.

    Duggan, R.E., Barry, H.C., Johnson, L.Y. (1966) Pesticide residues in
    total diet samples. Science 151 : 101-104.

    Duggan, R.E. (1967) Objective samples of food analysed by USFDA for
    chlordane residues. 1964-1967. Personal Communication.

    Edwards, C.A. (1965) Effects of pesticide residues on soil
    invertebrates and plants. Ecology and the Industrial Society. Vth
    Symp. Brit. Ecol. Soc., Beackwell, Oxford. p.239.

    Edwards, C.A. (1966) Insecticide residues in soils. Res. Rev. 13 :
    83-132.

    Egan, H., Holmes, D.C., Roburn, J., Tatton, J.O.G. (1966) Pesticide
    residues in foodstuffs in Great Britain II. Persistent organochlorine
    pesticide residues in selected foods. J. Sci. Food Agr. 17 : 563-569.

    Fahey, J.E., Hamilton, D.W., Rusk, H.W. (1957) Effect of spray date on
    residues of chlorinated hydrocarbon insecticides on peaches. J. Econ.
    Entomol. 50 : 366.

    Fahey, J.E., Rodriguez, J.G., Rusk, H.W., Chaplin, C.E. (1962)
    Chemical evaluation of pesticide residues on strawberries. J. Econ.
    Ent. 55 : 179.

    FAO/WHO. (1965) Evaluation of the toxicity of pesticide residues in
    food. FAO Mtg. Rept. PL/1965/10/1; WHO/Food Add./27.65.

    Fischback, H. (1963) Problems stemming from the refinement of
    analytical methods. Publication No. 1082, Natl. Acad. of Sci. NRC
    55-62.

    Hoffman, W.S. (1963) Personal communication.

    Hoffman, W.S., Fishbein, W.I., Andelman, M.B. (1964) The pesticide
    content of human fat tissue. Arch. Env. Health 9 : 387-394.

    IUPAC. (1967) 1966 Report of the IUPAC Commission on Chemical Nature
    of Terminal Pesticide Residues. J. Assoc. Off. Analyt. Chem. 50 :
    1081-1083.

    IUPAC. (1968) 1967 Report of the IUPAC Commission on Chemical Nature
    of Terminal Pesticide Residues. J. Assoc. Off. Analyt. Chem. (in
    press).

    Klein, A.K., Link, J.D. (1967) Field weathering of toxaphene and
    chlordane. J. Assoc. Off. Analyt. Chem. 50 : 586-91.

    Korte, F. (1967) Personal communication

    Landis, B.J. (1965) Report of residue analysis; soil, DDT, aldrin and
    chlordane. USDA, ARS, Ent. Res. Div., Pesticide Chemicals Br., Report
    No. PCY-65-25.

    Lichtenstein, E.P. (1967) Alpha-chlordane content of heptachlor
    formulations. Personal communication.

    Lichtenstein, E.P., Fuhnemann, Schultz. (1967) Use of carbon to reduce
    the uptake of insecticidal soil residues by crop plants. Effects of
    carbon on insecticide absorption and toxicity in soils. J. Agr. Food
    Chem. (in press).

    Ludwig, G. (1966) Isolation and identification of metabolites of some
    chlorinated insecticides and their detection by analytical methods.
    Radioisotopes in the Detection of Pesticide Residues. International
    Atomic Energy Agency, Vienna, pp. 49-58.

    Majumder, S.K. (1967) A review of the problem of the toxicity of
    pesticide chemicals in food in India. Ind. Food Packer 21 : 1-14.

    March, R.B. (1952) The resolution and chemical and biological
    characterization of some constituents of technical chlordane. J. Econ.
    Ent. 45 : 452-456.

    Marth, E.H. (1962) Chlorinated hydrocarbons deposited in biological
    material. I. Plants and plant products. J. Milk Food Technol. 25 : 36.

    Minyard, J.P., Jackson, E.R. (1963) Pesticide residues in commercial
    animal feeds. J. Assoc. Off. Analyt. Chem. 46 : 843-859.

    Morgan, L.W., Leuk, D.B., Beck, E.W., Wardham, D.W. (1967) Residues of
    aldrin, chlordane, endrin and heptachlor in peanuts grown in treated
    soil. J. Econ. Ent. 60 : 1289-1291.

    Muns, R.P., Stone, M.W., Foley, F. (1960) Residues in vegetable crops
    following soil applications of insecticides. J. Econ. Ent. 53 : 832.

    Nash, R.G., Woolson, E.A. (1967) Persistence of chlorinated
    hydrocarbon insecticides in soils. Science 157 : 924-927.

    Ordas, E.P., Smith, V.C., Meyer, C.F. (1956) Spectrophotometric
    determination of heptachlor and technical chlordane on food and forage
    crops. J. Agr. Food Chem. 4 : 444.

    Painter, Ruth R., Kilgore, W.W., Ough, C.S. (1963) Distribution of
    pesticides in fermentation products obtained from artificially
    fortified grape musts. J. Food Sci. 28 : 342.

    Perez-Escolar, M.E. (1959) Control pineapple gummosis in Puerto Rico.
    J. Agr. Univ. Puerto Rico 43 : 116.

    Poonawalla, N.H., Korte, F. (1964) Metabolism of insecticides. VIII
    Excretion, distribution and metabolism of alpha-chlordane-14C by
    rats. Life Sci. 3 : 1497

    Saha, J.G., Stewart, W.W.A. (1967) Heptachlor, heptachlor epoxide, and
    gamma-chlordane residues in soil and rutabagas after soil and surface
    treatments with heptachlor. Can. J. Plant Sci. 47 : 79-88.

    Robinson, J., McGill, A.E.J. (1966) Organochlorine insecticide
    residues in complete prepared meals in Great Britain in 1965. Nature
    212 : 1037-1038.

    Rusk, H.W., McDonough, L.M. (1966) Report of residue analysis; soils
    and sugar beet roots. USDA, ARS, Ent. Res. Div., Pesticide Chemicals
    Res. Br., Report Nos. PCY-67-6 and PCY-66-9.

    Smith, F.F., Adams, H.R. (1965) Chlordane residues in crops. USDA,
    ARS, Ent. Res. Div. Pesticide Chemicals Res. Br., Special Report
    PC-B-65-26.

    Smith, F.F., Reid, W.J., Cuthbert, F.P. (1964) Dieldrin and chlordane
    residues in sweet potatoes. USDA, ARS, Ent. Res. Div., Pesticide
    Chemicals Res. Br., Special Report PC-B-64-10.

    Swackhamer, A.B. (1967) Personal communication

    Thurston, A.D. (1965) Preliminary studies on weathering of chlordane
    residues. J. Assoc. Off. Analyt. Chem. 48 : 952-4.

    USDA. (1964) Chlorinated hydrocarbon pesticide residues in soil at
    Battle Creek, Mich., 1963, USDA, ARS, Ent. Res. Div., Pesticide
    Chemicals Res. Br., Special Report No. PL-V-64-10.

    USDA. (1966) Report of residue analysis; potatoes, chlordane. ARS,
    Ent. Res. Div., Pesticide Chemicals Res. Br., Report No. PCY-66-1.

    USDA. (1967a) Monitoring chlorinated hydrocarbon insecticide residues
    in soybeans, 1966. ARS, Plant Pest Control Division, interim report,
    1967.

    USDA. (1967b) Report of residue analysis; soil; DDT and chlordane.
    USDA, ARS, Ent. Res. Div., Pesticide Chemicals Res. Br., Report No.
    PCB-67-9.

    Velsicol Corp. (1967a) Unpublished report on chlordane residues in
    soil. Submitted to FAO.

    Velsicol Corp. (1967b) Unpublished report on residues in potatoes from
    soil treatments with chlordane. Submitted to FAO.

    Velsicol Corp. (1967c) Unpublished report on residues in barley grain
    and straw from spraying growing barley at Fargo, N.D., 1966. Submitted
    to FAO.

    Velsicol Corp. (1967d) Unpublished report on chlordane residues in
    sugar beets. Submitted to FAO.

    Velsicol Corp. (1967e) Progress report on chlordane dairy feeding
    study. Submitted to FAO. 

    Westlake, W.E., Corley, C., Murphy, R.T., Barthel, W.F., Bryant, H.,
    Schutzmann, R.L. (1963) Chemical residues in the milk of cows grazed
    on chlordane-treated pasture. J. Agr. Food Chem. 11 : 244.
    


    See Also:
       Toxicological Abbreviations
       Chlordane (EHC 34, 1984)
       Chlordane (HSG 13, 1988)
       Chlordane (PIM 574)
       Chlordane (FAO Meeting Report PL/1965/10/1)
       Chlordane (FAO/PL:1969/M/17/1)
       Chlordane (AGP:1970/M/12/1)
       Chlordane (WHO Pesticide Residues Series 2)
       Chlordane (WHO Pesticide Residues Series 4)
       Chlordane (Pesticide residues in food: 1977 evaluations)
       Chlordane (Pesticide residues in food: 1982 evaluations)
       Chlordane (Pesticide residues in food: 1984 evaluations)
       Chlordane (Pesticide residues in food: 1986 evaluations Part II Toxicology)