IPCS INCHEM Home

    CARBARYL

    First draft prepared by
    P.H. van Hoeven-Arentzen
    National Institute of Public Health and Environmental Protection,
    Bilthoven, Netherlands

    Explanation
    Evaluation for acceptable daily intake
       Biochemical aspects
          Absorption, distribution, and excretion
          Biotransformation
          Enzyme induction and effects on the liver
       Toxicological studies
          Acute toxicity
          Short-term toxicity
          Long-term toxicity and carcinogenicity
          Reproductive toxicity
          Developmental toxicity
          Genotoxicity
          Special studies
             Dermal and ocular irritation and dermal sensitization
             Neurotoxicity
             Immunotoxicity
             Haematological effects
             Effects on the endocrine system
             Studies with  N-nitrosocarbaryl
       Observations in humans
    Comments
    Toxicological evaluation
    References

    Explanation

         Carbaryl was evaluated for toxicological effects by the Joint
    Meeting in 1963, 1965, 1966, 1967, 1969, and 1973 (Annex 1, references
    2, 3, 6, 8, 12, and 20). An ADI of 0-0.02 mg/kg bw was established
    in 1963 on the basis of a one-year study in dogs, and this ADI was
    confirmed in 1965, 1966, and 1967. In 1969, a temporary ADI of
    0-0.01 mg/kg bw was established, using an extra safety factor because
    of concern about effects on the male reproductive system seen in a
    one-year study by gavage in rats with an NOAEL of 2 mg/kg bw, and
    because a dose of 0.12 mg/kg bw per day may have affected renal
    function in a six-week study in volunteers. In 1973, the Meeting
    established a full ADI of 0-0.01 mg/kg bw.

         The compound was reviewed by the present Meeting within the CCPR
    periodic review programme. The evaluation is based on a recent
    Environmental Health Criteria monograph (EHC 153) on carbaryl (WHO,
    1994) and is supplemented by newly received studies on metabolism,
    dermal absorption, long-term toxicity and/or oncogenicity in rats and
    mice, mechanistic studies, and a report of an epidemiological study on
    exposed workers.

    Evaluation for acceptable daily intake

    1. Biochemical aspects

    (a)  Absorption, distribution, and excretion

         Sprague-Dawley rats, four to eight weeks old, received
    14C-carbaryl (radiolabelled in the naphthalene ring) in 1% aqueous
    methylcellulose by gavage or in 5% ethanol in sodium phosphate buffer
    solution by intravenous injection. In a preliminary test, two rats of
    each sex were given a single oral dose of 1 mg/kg bw by gavage. In the
    main study, 14C-carbaryl was administered to four groups of five
    animals of each sex as a single intravenous dose of 1 mg/kg bw, a
    single dose by gavage of 1 mg/kg bw, 14 daily oral doses of
    non-radiolabelled compound followed by a single radiolabelled dose of
    1 mg/kg bw, or a single oral dose of 50 mg/kg bw (reduced from
    100 mg/kg bw because of severe toxicological effects and with the
    addition of 10 animals). Volatile organic compounds and expired carbon
    dioxide were collected in the preliminary test but not in the
    definitive study. Urine and faeces were collected from all animals at
    6, 12, and 24 h after dosing and daily thereafter for seven days.
    Animals were killed seven days after administration of the
    radiolabelled dose, and blood and selected tissue samples were
    collected and analysed for radiolabel. Selected samples of excreta
    were analysed for the parent compound and for labelled metabolites.

         In the preliminary test, < 0.01% of the administered dose was
    found in traps for organic volatile compounds, and no radiolabel was
    found in expired carbon dioxide. A total of 96-104% of the
    administered dose was recovered in all treated animals. The labelled
    compound was rapidly absorbed and excreted, > 95% of the total
    urinary radiolabel and > 87% of total faecal radiolabel being
    eliminated within 24 h after treatment with the low dose and within
    48 h after treatment with the high dose. Absorption and elimination
    were independent of dose, length of administration, or sex. Urine was
    the primary route of elimination (Table 1). Comparison of the results
    of intravenous and oral administration indicate that absorption was
    nearly complete. Radiolabel was not accumulated in any tissue, with
    tissue concentrations of < 0.01 ppm after the low dose and
    < 0.06 ppm after the high dose, except in the carcass (0.26 ppm in
    males and 0.44 ppm in females), kidneys (0.19 ppm in males and
    0.33 ppm in females), and blood (0.10 ppm in males and 0.17 ppm in
    females) (Strubble, 1994).

        Table 1.  Recovery (%) of radiolabel in various matrices in rats treated with 14C-carbaryl

                                                                                              

    Matrix        1 mg/kg bw          1 mg/kg bw       14 x 1 mg/kg bw        50 mg/kg bw
                  intravenously       by gavage        by gavage              by gavage
                                                                                              

                 Male    Female     Male     Female    Male     Female      Male      Female
                                                                                              

    Urinea       90.0    88.6       92.1     91.5      95.0     95.0        84.5      88.2
    Faeces       10.2    8.7        9.1      8.4       8.6      7.7         12.5      7.0
    Tissuesb     0.02    0.02     < 0.01     0.01    < 0.01   < 0.01      < 0.01      0.01
    Carcass      0.13    0.34       0.10     0.23      0.15     0.21        0.60      0.90
                                                                                              

    a    Includes cage rinse, cage wash (with 1% trisodium phosphate), and cage wipe
    b    Includes blood
    
         Absorption was monitored in groups of four male Charles River
    Crl:CD-BR rats, weighing 185-220 g, after dermal application on a site
    measuring about 12.5 cm2 of 0.444 mg (36 µg/cm2), 5.03 mg
    (400 µg/cm2), or 43.1 mg (3450 µg/cm2) carbaryl per animal at
    0.5-, 1-, 2-, 4-, 10-, and 24-h intervals. The suspensions were
    prepared with known amounts of 14C-carbaryl, carbaryl XLR plus (43.9%
    pure), and 1% carboxymethylcellulose. A control group of two rats was
    treated with the carrier and were killed 0.5 and 24 h after treatment.
    The skin at the test site was washed just before sacrifice, and urine
    and faeces were collected throughout the test.

         The overall mean recoveries were 95.8, 94.0, and 97.4% of the
    total dose for the three groups, respectively. Most of the radiolabel
    was washed off the application site, accounting for 86.3, 90.9, and
    97.5% at 0.5 h and 60.9, 64.6, and 90.5% at 24 h in rats at the low,
    middle, and high doses, respectively. The amount of radiolabel
    found in excreta (including cage wipe and cage wash) accounted for
    0.26-22.1% of the total administered at the low dose, 0.05-21.5% at
    the middle dose, and 0.01-2.5% at the high dose, the largest amounts
    being detected in samples collected 24 h after treatment. Most was
    found in urine. A trend of increasing direct and indirect absorption
    with length of exposure was seen at all doses. Direct absorption was
    considered to be represented by the total amount of radiolabel in
    blood, cage wash, cage wipe, excreta, and carcass; indirect absorption
    was calculated from the sum of direct absorption and the amounts left
    on or in the skin at the test site after washing. By 24 h after
    treatment, the directly and indirectly absorbed radiolabel represented
    24.9 and 34.0%, 24.7 and 27.8%, and 3.2 and 4.0% (equivalent to 0.11

    and 0.15 mg, 1.2 and 1.4 mg, and 1.4 and 1.7 mg) of the administered
    dose in rats at the low, middle, and high doses. These results
    indicate that absorption was linear at the two lower doses but reached
    a plateau at the highest dose (Cheng, 1995).

         In an experiment of identical design, groups of four seven-week-
    old male Charles River Crl:CD-BR rats were treated with suspensions
    prepared with known amounts of 14C-carbaryl, the formulation Sevin
    80S (80.1% carbaryl), and 1% carboxymethylcellulose at doses of
    0.793 mg (63 µg/cm2), 7.83 mg (626 µg/cm2), or 42.7 mg (3410 µg/cm2)
    carbaryl. The overall mean recoveries were 96.1-99.6%. Most of the
    radiolabel was washed off the application site, accounting for 93.6,
    97.0, and 94.4% at 0.5 h and 77.4, 95.2, and 94.7% at 24 h for animals
    at the low, middle, and high doses, respectively. The radiolabel found
    in excreta (including cage wipe and cage wash) accounted for 0.66-16.1%
    of the total administered at the low dose, < 0.01-1.3% at the middle
    dose, and 0.07-1.2% at the high dose, the largest amounts being
    detected in samples collected 24 h after treatment. The radiolabel
    retained in the carcass represented 0.58-2.4% in animals at the low
    dose and a mean of < 0.2% in the groups at the two higher doses. A
    trend of increasing direct and indirect absorption with length of
    exposure was seen at all doses. By 24 h after treatment, directly and
    indirectly absorbed radiolabel represented 16.1 and 19.8%, 1.3 and
    2.1%, and 1.2 and 1.9% (equivalent to 0.13 and 0.16 mg, 0.10 and
    0.16 mg, and 0.51 and 0.80 mg) of the administered dose for rats at
    the low, middle, and high doses, respectively (Cheng, 1994).

    (b)  Biotransformation

         In the study of Strubble (1994), the profiles of radiolabel
    excretion in composite samples of urine and faeces were compared
    in males and females in each group by two-dimensional thin-layer
    chromatography and high-performance liquid chromatography. The results
    indicated that the metabolism of carbaryl is similar regardless of the
    route of administration, dose, or sex. Metabolites were therefore
    isolated only from the excreta of animals at the high dose and
    identified and quantified. The main metabolite identified in the
    faeces (0.82% of the administered dose) was dihydrodihydroxy carbaryl;
    a small amount (0.15%) of apparently unabsorbed 14C-carbaryl was also
    found. In urine, identified metabolites accounted for about 75%
    of the urinary radioactivity; five unidentified polar metabolites,
    individually accounting for 0.3-2.3% of the administered dose, were
    also found. The predominant urinary metabolites were 1-naphthol
    (accounting for 14.5% of the administered dose), 5-hydroxycarbaryl
    (12.8%), 5,6-dihydro-5,6-dihydroxycarbaryl (8.2%), 4-hydroxycarbaryl
    (6.3%), and  N-(hydroxy-methyl)hydroxycarbaryl (5.7%). Carbaryl
    accounted for 2.9% of the administered dose. Other metabolites found

    were 3,4-dihydro-3,4-dihydroxycarbaryl, alpha-naphthyl sulfate,
    1,5-dihydroxy-naphthalene, hydroxydemethylcarbaryl, and a dimer of
    1,4-naphthoquinone. The three main metabolic pathways observed
    were: (i) arene oxide formation with subsequent metabolism to
    dihydrodihydroxy-carbaryl and conjugation with glutathione via the
    mercapturic acid pathway; (ii) carbamate hydrolysis to form
    1-naphthol; and (iii) oxidation of the  N-methyl moiety (alkyl
    oxidation). The metabolites formed via these pathways formed
    conjugates with sulfate or glucuronic acid.

         The Environmental Health Criteria monograph on carbaryl (WHO,
    1994) also noted that carbaryl is rapidly absorbed in the lungs and
    digestive tract. In human volunteers, 45% of an applied dermal dose
    in acetone was absorbed within 8 h, although studies of dermal
    penetration  in vitro and of toxicity indicate that dermal absorption
    usually occurs at a much lower rate.

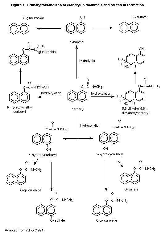
         The metabolism of carbaryl has been studied in a variety of
    mammals, including rats, rabbits, guinea-pigs, monkeys, sheep, cows,
    pigs, dogs, and humans, all of which have essentially similar
    metabolic pathways (Figure 1). As the principal pathways are ring
    hydroxylation and hydrolysis, numerous metabolites are found, which
    conjugate to form water-soluble sulfates, glucuronides, and
    mercapturates and are excreted in the urine. Hydrolysis results
    in the formation of 1-naphthol, carbon dioxide, and methylamine.
    Hydroxylation produces 4-hydroxycarbaryl, 5-hydroxycarbaryl,
     N-hydroxy-methylcarbaryl, 5,6-dihydro-5,6-dyhydroxycarbaryl, and
    1,4-naphthalendiol. The principal metabolite in humans is 1-naphthol.

         Under normal conditions of exposure, carbaryl is unlikely to
    accumulate in animals. It is excreted primarily in urine, since
    the product of its hydrolysis, 1-naphthol, is detoxified mainly
    to water-soluble conjugates. Enterohepatic cycling of carbaryl
    metabolites is also considerable, especially after oral administration.
    The hydrolysis product,  N-methylcarbamic acid, decomposes
    spontaneously to methylamine and carbon dioxide; the methylamine
    moiety is subsequently demethylated to carbon dioxide and formate,
    and the latter is excreted mainly in urine. Carbaryl metabolites also
    represent a small percentage of the absorbed dose in saliva and milk.

    FIGURE 1

    (c)  Enzyme induction and effects on the liver

         Six male CD1 mice were fed a diet designed to provide carbaryl
    (purity, 99.6%) at a dose of 8000 ppm, equal to 1154 mg/kg bw per day,
    for 14 days. Five animals received control diet. Food consumption was
    markedly reduced during the first three days of treatment, accompanied
    by body weight loss. At the end of treatment, body weights were
    decreased to 85%, and the relative liver weight had increased to 135%
    relative to controls. Protein fractions were determined in the
    microsomal and cytosolic fractions: a 1.3-fold increase (per gram of
    liver) in microsomal protein was found, with a similar increase in
    microsomal cytochrome P450 content. The ethoxylation of ethoxy-
    resorufin and the depentylation of pentoxyresorufin were increased by
    1.9- and 3.1-fold, respectively. Total testosterone hydroxylation was
    increased by 1.5-fold relative to controls; while some forms of
    testosterone hydroxylation were minimally altered, the 6 alpha, 11
    alpha, 11ß, and 16ß forms were increased by three- to fourfold.
    Hepatic glutathione levels were only slightly increased. The author of
    the report concluded that carbaryl is a low-potency barbiturate-type
    inducer (Thomas, 1994); however, in view of the magnitude of the
    effects found in relation to the dose, there is no clear evidence that
    the compound should be considered an inducer.

         The Environmental Health Criteria monograph on carbaryl (WHO,
    1994) noted that disturbances in carbohydrate metabolism, protein
    synthesis, and detoxification have been reported in the livers of
    mammals treated with carbaryl. It concluded that carbaryl is a weak
    inducer of hepatic microsomal drug metabolizing activity, hepatic
    levels of cytochrome P450 and b5 are increased, and phenobarbital
    sleeping time is shortened. The changes in hepatic metabolism may
    account in part for the three-fold increase in the LD50 for
    carbaryl-pretreated rats.

    2.  Toxicological studies

    (a)  Acute toxicity

         No new information had become available. The Environmental Health
    Criteria monograph on carbaryl (WHO, 1994) noted that the compound is
    moderately toxic after acute oral administration. The LD50 for rats
    was 225-721 mg/kg bw. Interspecies difference were found, cats being
    the most sensitive and guinea-pigs, rats, mice, and rabbits showing
    more resistance, in that order. The LD50 was increased threefold
    by pretreating animals with small doses of carbaryl. The compound
    is slightly toxic after acute dermal administration, the LD50
    being > 2000 mg/kg bw. No LC50 for acute exposure by inhalation was
    available, but the effects observed in dogs, cats, and rats exposed to
    carbaryl dust or to formulations of carbaryl were typical of those of
    cholinesterase inhibition. In cats, exposure for 6 h to a dust
    concentration of only 20 mg/m3 inhibited serum and erythrocyte

    cholinesterase activity. Many of the known metabolites of carbaryl
    are much less toxic than the parent compound. None of the metabolites
    with a methylcarbamate moiety was appreciably more active as a
    cholinesterase inhibitor than carbaryl itself.

    (b)  Short-term toxicity

         No new information had become available. The Environmental Health
    Criteria monograph on carbaryl (WHO, 1994) noted that in a study of
    cats the NOAEC was 16 mg/m3 after exposure for 120 days, on the basis
    of cholinergic reactions at 30 mg/m3 after exposure for 30 days. In a
    study in rats, no effects were observed after 90 days' exposure to
    10 mg/m3.

    (c)  Long-term toxicity and carcinogenicity

    Mice

         Groups of 80 male and 80 female CD1 mice were given diets
    designed to provide carbaryl (purity, 99.3%) at concentrations of 0,
    100, 1000, or 8000 ppm, equal to 0, 15, 150, and 1200 mg/kg bw per day
    for males and 0, 18, 180, and 1400 mg/kg bw per day for females, for
    two years. Haematological parameters and plasma, erythrocyte, and
    brain cholinesterase activities were determined in 10 mice of each sex
    per group at week 53 and at termination.

         There were no treatment-related effects on mortality. A thin
    appearance and hunched posture were noted in many females and some
    males at the high dose during the first three to six weeks and the
    last six months of the study. Some animals at this dose also had a
    languid appearance, urine stains, rough coats, and opaque eyes, the
    latter in females during the last three months. Body-weight gain was
    impaired during the first two weeks of the study in mice at the high
    dose, and the weights remained significantly lower than that of
    controls throughout the study. At the end of the study, the body
    weights of males and females at the high dose were 88 and 87% of those
    of the respective controls, but the weight gain over the whole period
    was only 62 and 68% of that of controls. Food consumption was markedly
    depressed in animals of each sex at the high dose during the first
    months of the study. It remained low in females throughout the study
    and was again lower in males from week 78 of the study. Erythrocyte
    counts, haemoglobin, and packed cell volume were decreased in females
    at the high dose at week 53 and in males at the end of the study.
    The platelet count was increased in females at the high dose.
    Cholinesterase activity was inhibited in animals at the middle and
    high doses. Significant decreases in erythrocyte acetylcholinesterase
    were seen only at week 53 in males at the middle and high doses (78
    and 70% of the control value, respectively). Significant, dose-related
    decreases in brain acetylcholinesterase activity were seen in animals

    of each sex at the middle and high doses at interim and terminal
    sacrifice. At the end of the study, brain acetylcholinesterase
    activity was only 60 and 66% of the control levels in males and
    females at the high dose, respectively.

         Decreases in the absolute and relative weights of lungs and ovary
    (at interim sacrifice only) were seen in females at the high dose. The
    absolute and relative weights of the livers (with gall-bladder) and
    the relative weight of the kidneys were increased in animals of each
    sex at the high dose. On histopathological examination, a dose-related
    increase in the incidence and severity of intracytoplasmic protein-
    like droplets was found in the urinary bladder of animals of each sex
    at the middle and high doses. An increased incidence of uni- and/or
    bilateral cataracts was found in high-dose males and females, and a
    slight increase in the severity of extramedullary haematopoiesis
    and the presence of pigment in the spleen were found at terminal
    sacrifice. The incidence of renal tubular-cell neoplasia was increased
    in high-dose males, that of hepatocellular neoplasia in high-dose
    females, and that of vascular tissue neoplasia in all treated males
    and in high-dose females (Table 2). Carbaryl was thus found to be
    carcinogenic in mice. The NOAEL for non-neoplastic findings was
    100 ppm, equal to 15 mg/kg bw per day, on the basis of inhibition
    of erythrocyte and brain acetylcholinesterase activity and
    histopathological changes in the urinary bladder (Hamada, 1993a).

         A re-examination of the histological slides of the liver and
    kidneys from mice in the control and high-dose groups at interim
    sacrifice, performed by two pathologists from the Rhône Poulenc
    Company (Debruyne & Irisarri, 1996), showed no microscopic changes in
    the liver or kidney. In a position paper, Klonne (1995) compared the
    incidence of vascular tumours (mostly in the liver and spleen) in the
    male mice in this study with those in historical controls in the
    laboratory that performed the experiment and in several other
    laboratories. The tumour incidences were clearly increased over
    the mean values for historical controls; but, in the performing
    laboratory, data were available only from 18-month studies. When the
    incidences were compared with the ranges in historical controls in
    studies of up to two years' duration, the incidences of vascular
    tumours in the livers of animals at the low and middle doses were just
    below the upper limit for the controls, and the incidences of vascular
    tumours in the spleens of animals at the middle dose were outside the
    range. The incidences among animals at the high dose were outside the
    range for vascular tumours in the liver and within the range for
    tumours in the spleen.

        Table 2.  Incidences of tumours in groups of 80 mice fed diets containing carbaryl

                                                                                                                                      

    Tumour                                           Males                                             Females
                                                                                                                                      

                                    0 ppm    100 ppm     1000 ppm     8000 ppm          0 ppm    100 ppm     1000 ppm     8000 ppm
                                                                                                                                      

    Renal tubular-cell adenoma        0         0           0            3                0         0           0            1
    Renal tubular-cell carcinoma      0         0           0            3                0         0           0            0

    Hepatocellular adenoma            12        7           13           8                0         0           1            7
    Hepatocellular carcinoma          6         7           3            8                1         1           1            3
    Hepatoblastoma                    0         0           0            0                0         0           0            1

    Haemangioma                       0         1           1            3                1         0           1            0
    Haemangiosarcoma                  2         5           9            7                2         3           3            9
    No. of vascular                   2         6           10           10               3         3           4            9
      tumour-bearing animals
    All vascular tumours              2         9           13           18               5         6           5            10
                                                                                                                                      
        Rats

         Groups of 80 male and 80 female Sprague-Dawley rats were given
    diets designed to provide concentrations of carbaryl (purity, 99%) of
    0, 250, 1500, or 7500 ppm, equal to 0, 10, 60, and 350 mg/kg bw per
    day for males and 0, 13, 79, and 480 mg/kg bw per day for females, for
    two years. Haematology, clinical chemistry, cholinesterase activity in
    plasma and erythrocytes, and urinary parameters were studied in 10
    rats of each sex at weeks 26, 52, 78, and 104. Brain acetylcholin-
    esterase activity was determined at interim sacrifice and at the end
    of study in 10 rats of each sex. Two additional groups of 10 rats of
    each sex were treated with 0 or 7500 ppm for 52 weeks and were then
    kept for a recovery period of four weeks, when haematology, clinical
    chemistry, and cholinesterase activity were studied. There were no
    treatment-related effects on mortality, and survival was increased in
    females at the high dose; however, an increased incidence of alopecia
    on the limbs was found in these animals, and an increased prevalence
    of urine stains was seen in animals of each sex. The mean body weights
    were significantly depressed in animals at the high dose at all
    intervals analysed and in those at the middle dose at many intervals.
    At the end of study, the body weights of males and females at the high
    dose were only 5 and 55% of those of the respective controls, and
    those of animals at the middle dose were 94% and 88% of the control
    values, respectively. Food consumption was markedly lower in the
    high-dose group. The numbers of animals with cataracts were increased
    in the high-dose group, with incidences of 4, 6, 7, and 12 males and
    3, 2, 4, and 10 females at the control, low, middle, and high doses,
    respectively.

         There were no treatment-related findings in haematological
    parameters. Increased serum cholesterol and urea nitrogen were found
    in high-dose females. Plasma cholinesterase activity was depressed in
    animals of each sex at the high dose, to 58-73% of the control value
    in males and 43-54% in females. Erythrocyte acetylcholinesterase
    activity was also significantly decreased, to 63-81% of the control
    value in males at the high dose and 62-75% in females; in females at
    the middle dose, the activity was 74-81% of the control value, whereas
    in males at this dose the depression was found only at weeks 52
    (81%) and 78 (77%). Significant, dose-related decreases in brain
    acetylcholinesterase activity were found at both 52 and 104 weeks in
    high-dose males and middle- and high-dose females. Males at the middle
    dose showed a significant depression only at the 52-week interim
    sacrifice. Changes seen on urinalysis in animals at the high dose
    included an increased incidence of dark urine, decreased urine volume
    in females (at week 52), and erythrocytes in urine and occult blood in
    males (at weeks 78 and 104). The relative weights of lungs, brain,
    kidney, and liver were significantly increased in animals at the high
    dose at the interim and terminal sacrifices; testicular weight was
    also increased in those at the high dose. The increase in relative
    liver weight was dose-related, but a significant increase at the
    middle dose was found only in the females at interim sacrifice.

         Gross pathological examination of animals at the high dose
    revealed increased incidences of masses in the urinary bladder, pale
    areas in the lungs, and dark areas in the glandular stomach (only in
    males). A decreased incidence of mammary masses was noted in females
    at this dose, with 65% in controls, 57% at the low dose, 64% at the
    middle dose, and 41% at the high dose. Histopathological evaluation
    of tissues taken from rats at interim sacrifice revealed hyaline
    inclusions in the livers of males at the high dose. At the end of the
    study, the following non-neoplastic findings were observed in animals
    at the high dose: an increased incidence of thyroid hypertrophy (8/70
    in males and 33/70 in females, in comparison with 1/70 and 4/70 in
    controls, respectively); eosinophilic hepatocellular alterations and
    increased pigment in females, hepatocyte hypertrophy in animals of
    each sex, and intracytoplasmic hyaline inclusions in males; an
    increased incidence of transitional epithelial hyperplasia in the
    kidneys of males, and squamous metaplasia, a high mitotic index, and
    cytological atypia in the urinary bladders of animals of each sex, all
    associated with the carcinomas found; an increased incidence of
    alveolar foamy macrophages and focal pneumonitis; and an increased
    incidence of degeneration of the sciatic nerve and adjacent skeletal
    muscles. The neoplastic findings in thyroid, liver, and urinary
    bladder are summarized in Table 3. Nearly all of the animals with
    transitional-cell neoplasms in the bladder also had extensive
    hyperplasia, indicating the preneoplastic nature of this change. Males
    at the high dose also had an increased incidence of transitional-cell
    hyperplasia in the kidney; a single carcinoma was found. The incidence
    of benign interstitial-cell tumours in the testis was increased in
    animals at the high dose (5/70; 2/70 in controls).

         After one year of exposure and the recovery period of four weeks,
    the food consumption of animals at the high dose improved and the
    animals gained more weight. The effects on cholinesterase activity
    were reversible, as were the histological changes in the liver. The
    relative weights of the lungs, brain, kidney, and liver, however,
    remained increased. Carbaryl thus induced tumours at 7500 ppm, a
    dose that exceeds the maximum tolerated dose (MTD). The NOAEL for
    non-neoplastic findings in this study was 250 ppm, equal to 10 mg/kg
    bw for males per day, on the basis of inhibition of erythrocyte and
    brain acetylcholinesterase and the decrease in mean body weight
    (Hamada, 1993b).

         A re-examination of the histological slides of the liver, kidney,
    urinary bladder, and thyroid of rats of all doses at interim sacrifice
    and of the controls and those at the high dose after recovery,
    performed by two pathologists from Rhône Poulenc Company (Debruyne &
    Irisarri, 1996), revealed the presence of further microscopic changes
    in animals at the high dose in the bladder (irreversible epithelial
    hyperplasia in males and females), kidney (reversible pelvic
    urothelial hyperplasia in males), thyroid (reversible follicular
    hypertrophy in males), and liver (reversible hepatocellular
    hypertrophy in males and females).

        Table 3.  Incidences of tumours in groups of 70 rats fed diets containing carbaryl

                                                                                                                                      

    Tumour                                              Males                                           Females
                                                                                                                                      

                                         0 ppm    250 ppm    1500 ppm    7500 ppm        0 ppm    250 ppm     1500 ppm    7500 ppm
                                                                                                                                      

    Thyroid follicular-cell adenoma        0         2          0           8              0         0           0           1
    Thyroid follicular-cell carcinoma      0         0          0           1              1         0           0           0

    Hepatocellular adenoma                 1         1          2           1              1         0           3           7
    Hepatocellular carcinoma               0         2          2           1              0         0           0           0

    Transitional-cell hyperplasia          9         8          10          54             6         6           6           56
    Transitional-cell papilloma            0         à          0           13a            1         0           0           7
    Transitional-cell carcinoma            0         0          0           11             0         0           0           6
                                                                                                                                      

    a    Includes one squamous-cell papilloma
             In the Environmental Health Criteria monograph on carbaryl (WHO,
    1994), the results of several long-term studies in mice were
    summarized, one of which was a report of the data obtained at interim
    sacrifice in the study of Hamada (1993a). In another study, no effects
    were observed at the highest level tested (400 ppm). Seven further
    studies of carcinogenicity in mice involving different strains, routes
    of administration, doses, dose schedules, and lengths of exposure and
    observation were considered unsuitable for evaluation of carcinogenic
    potential; only one showed a marginal response.

         Several short- and long-term studies in rats were available. The
    most recent report presented the interim results of the long-term
    study of Hamada (1993b). In two older dietary studies, lasting 96 days
    and two years, the most obvious effects were on the kidney. The NOAEL
    in these studies was 200 ppm, equal to 7.9 mg/kg bw per day, with
    effects on the kidney at 400 ppm. In two one-year studies of gavage
    (for which only summaries were available), effects were seen on the
    thyroid and on male and female reproductive organs and/or function at
    doses > 5 mg/kg bw per day. The NOAEL was 2 mg/kg bw per day. Two
    studies of carcinogenicity in rats were available. In a study in which
    carbaryl was administered orally or by a single subcutaneous
    implantation, fibrosarcomas of the skin were observed; the other
    (dietary) study gave negative results. Neither was considered suitable
    for evaluation of carcinogenic potential.

         Three one-year studies in dogs were available. In a study in
    which carbaryl was given in capsules, effects on the kidney were found
    at 7.2 mg/kg bw per day, but no effects were observed at 1.8 mg/kg bw
    per day (approximately 100 ppm in the diet). In the two dietary
    studies, the NOAEL was 125 ppm, equivalent to 3.1 mg/kg bw per day, on
    the basis of effects on liver weight and inhibition of erythrocyte and
    brain acetylcholinesterase activity at 400 ppm.

    (d)  Reproductive toxicity

         No new information had become available. The summaries in the
    Environmental Health Criteria monograph on carbaryl (WHO, 1994),
    although extensive, could not always be used to derive NOAELs for
    various aspects of the reproductive toxicity of carbaryl. Additional
    information was therefore obtained for some studies, from either the
    original papers or reviews.

         In two five-day studies of male mice exposed orally, no effects
    were found on the testis or accessory glands at a dose of 34 mg/kg bw
    per day; at 68 mg/kg bw per day, androstenedione synthesis was
    decreased.

         Three three-generation studies of reproductive toxicity in rats
    were summarized. In the first, in which 0, 2000, 5000, or 10 000 ppm
    carbaryl were administered in the diet, impaired fertility, reduced

    postnatal survival, and reduced postnatal growth were observed at
    5000 ppm; no effects were seen at 2000 ppm, equivalent to 125 mg/kg bw
    per day. There was no clear NOAEL in this study, since the parameters
    were wrongly defined. In a second dietary study, at doses of 0, 7, 25,
    100, and 200 mg/kg bw per day, the NOAEL was 100 mg/kg bw per day, on
    the basis of decreased maternal weight at 200 mg/kg bw per day. There
    were no reproductive effects. In a study in which rats were treated by
    gavage at doses of 0, 3, 7, 25, or 100 mg/kg bw per day, the NOAEL was
    25 mg/kg bw per day, on the basis of decreased maternal weight and
    mortality and effects on litter size and viability at the high dose.

         In a study in which special attention was paid to effects on
    reproductive parameters, male and female rats were exposed by gavage
    for one month to doses of 1-50 mg/kg bw per day. Adverse effects were
    observed on male reproductive cells; furthermore, increased embryonic
    and fetal deaths, decreased numbers of implantations, and a prolonged
    oestrus cycle were observed. This study was also described by Cranmer
    (1986), who reported that the effects on reproductive parameters were
    seen only at 1, 5, 10, and 20 mg/kg bw per day. He also noted that
    only the change in the number of tubules containing spermatogonia
    was seen at all doses, and most of the other treatment-related
    histological and functional changes in the testis occurred at doses
    > 5 mg/kg bw per day. Dose-response relationships were not seen for
    the other effects on litter parameters or for the prolonged oestrus
    cycle, limiting interpretation of the study. This and other studies of
    reproductive toxicity were considered of dubious value for risk
    assessment as they suffered from various shortcomings in study design.

         A three-generation study of reproductive toxicity in which
    gerbils were exposed daily via the diet to concentrations of
    2000-10 000 ppm was not considered suitable for establishing a NOAEL;
    however, adverse effects on various reproductive parameters were seen.

    (e)  Developmental toxicity

         No new information had become available. The Environmental Health
    Criteria monograph on carbaryl (WHO, 1994) was supplemented by
    additional information from the original papers and reviews. All of
    the studies suffered from small group sizes and some deficiencies in
    comparison with currently acceptable scientific standards.

         Two of five studies in mice were used for evaluation, in which
    animals were exposed by gavage to carbaryl on days 6-15 of gestation;
    in the second study, groups were also exposed only on day 8 or 12. In
    the first study, with doses of 0, 100, and 150 mg/kg bw per day, the
    NOAEL was 100 mg/kg bw per day on the basis of maternal toxicity
    (ataxia, lethality) and litter resorption at 150 mg/kg bw. In one
    group exposed via the diet to 5560 ppm, a decrease in fetal weight was

    observed. In the second study, with doses of 0, 100, 150, and
    200 mg/kg bw per day, the NOAEL was 150 mg/kg bw per day, on the
    basis of maternal death and fetal toxicity (weight reductions and
    indications of growth retardation) at 200 mg/kg bw per day.

         Three of six studies in rats were used for evaluation. In the
    first study, groups of six rats were fed diets containing carbaryl on
    days 1-5, 5-15, or 1-21 of gestation. The NOAEL for maternal toxicity
    was 100 mg/kg bw per day, on the basis of reduced weight gain in dams
    at 500 mg/kg bw per day when exposed on gestation days 5-15 or 1-21.
    No adverse fetal effects were seen. The original papers (Weil &
    Carpenter 1965, 1966) reported that the doses used were 0, 2.5, 10,
    20, 100, and 500 mg/kg bw per day and that fetuses underwent only
    skeletal examination. In addition to the effects summarized above, the
    authors reported reduced postnatal survival in the pups of dams
    exposed to 500 mg/kg bw per day on days 1-21. In the second study,
    groups of 10 rats received oral doses of 200 or 300 mg/kg bw or an
    intraperitoneal dose of 40 mg/kg bw on single or multiple days of
    gestation. The only effect seen was a reduction in fetal weight in
    some groups. In the third study, groups of six or seven rats received
    diets containing carbaryl at doses of 0, 1, 10, or 100 mg/kg bw per
    day three months before and during gestation. The NOAEL for maternal
    toxicity was 10 mg/kg bw per day, on the basis of reduced weight gain
    at 100 mg/kg bw per day. No adverse fetal effects were seen. This
    study was also described by Cranmer (1986), who reported a slight
    reduction in the numbers of implantations and live fetuses at 100
    mg/kg bw per day.

         One of two studies in guinea-pigs was used for evaluation. Groups
    of four to nine animals were exposed to 0, 100, 200, or 300 mg/kg bw
    per day in the diet or 0, 50, 100, or 200 mg/kg bw per day orally.
    Reduced maternal weight gain was observed at 200 mg/kg bw per day, but
    there were no effects on embryos or fetuses.

         One of three studies in rabbits was used for evaluation. Groups
    of 15-20 animals were given oral doses of 0, 150, or 200 mg/kg bw per
    day on days 6-18 of gestation. There was no NOAEL for maternal
    toxicity since a reduction in weight gain was observed in both treated
    groups. A significant increase in umbilical hernia was observed in
    fetuses at 200 mg/kg bw per day.

         In two studies in dogs, animals were fed diets containing
    carbaryl at doses of 3.1-50 mg/kg bw per day or 2-12.5 mg/kg bw per
    day during gestation. Various birth defects were observed in the pups
    at doses > 5 mg/kg bw per day. Maternal toxicity was observed at
    all doses.

         In pigs fed doses of 4-32 mg/kg bw per day in the diet, the
    effects noted (prenatal lethality and malformations) were not
    consistent across the studies. Another study in pigs was considered
    unsuitable for evaluation.

         One of two studies in monkeys showed an increased rate of
    abortions after oral treatment with 2 or 20 mg/kg bw per day
    throughout gestation. No adverse effects were noted in the second
    study in which the doses were 0.2-32 mg.kg bw per day orally on days
    20-38 of gestation.

    (f)  Genotoxicity

         The results of studies of chromosomal aberrations in rats and
    micronucleus formation in mice treated with carbaryl  in vivo are
    summarized in Table 4. Negative results were obtained in both studies
    at doses at which limited signs of toxicity were seen; however, there
    was no evidence that the test compound had reached the target organ,
    as no cytotoxicity was found.

         In a study of DNA binding, two groups of four male CD mice were
    treated by oral intubation with 14C-carbaryl (labelled in the
    naphthyl group) in 0.5% aqueous carboxymethylcellulose at a dose of
    75 mg/kg bw (8 mCi/kg bw). One group was pretreated with carbaryl
    (purity, 99.6%) at 8000 ppm (equal to 1900 mg/kg bw per day) in the
    diet for 14 days. Four mice served as controls. Urinary excretion and
    exhalation of carbon dioxide were measured over 24 h in one pretreated,
    one non-pretreated, and one control mouse. Animals were sacrificed 24 h
    after administration of radiolabelled material, and the liver, kidneys,
    and urinary bladder were removed; however, only the liver was used
    for determining DNA and protein binding. There was no significant
    exhalation of 14C-carbon dioxide, and about 30% of the administered
    dose was excreted in the urine of both treated groups. The pretreated
    group had lower body weights and increased relative liver weights at
    the end of treatment. Binding of 14C-carbaryl to chromatin protein
    was found in both treated groups, resulting in specific radioactivities
    of 340-537 dpm/mg protein (7-11 pmol/mg protein). As there was no
    significant radioactivity in purified DNA, in the presence or absence
    of pretreatment, covalent binding of the 14C-naphthyl label does not
    seem to have occurred (Sagelsdorff, 1994).

        Table 4.  Results of tests for the genotoxicity of carbaryl  in vivo

                                                                                                                                      

    End-point                      Test system                 Concentration            Purity        Results           Reference
                                                                (mg/kg bw)                (%)
                                                                                                                                      

    Micronucleus formation       Male and female          50, 100, 200 orally for        99.9        Negativea      Marshall (1996)
                                 CD-1 mice (5 per         2 daysb; killed at 24 or
                                 dose), bone-marrow       48 h; vehicle, 0.5%
                                 cells                    carboxymethylcellulose

    Chromosomal aberration       Male and female          Single dose of 30, 60,         99.7        Negativea      McEnaney (1993)
                                 Sprague-Dawley           120c; killed at 6, 24,
                                 rats (5 per dose),       48 h; vehicle, 0.25%
                                 bone-marrow cells        carboxymethylcellulose
                                                                                                                                      

    a    Positive controls yielded positive results
    b    Clinical signs of toxicity (lethargy, slight weight loss) at highest dose; no change in polychromatic:normochromatic
         erythrocyte ratio. Doses based on the results of a preliminary test in which one of six animals at 300 mg/kg bw died.
    c    Clinical signs of toxicity (lethargy, tremors) observed at the highest dose; no depression of mitotic index. Doses based on
         the results of a preliminary test in which the LD50 was 231 mg/kg bw
             The Environmental Health Criteria monograph on carbaryl (WHO,
    1994) noted that carbaryl has been evaluated for mutagenicity in a
    number of tests  in vitro and  in vivo, in bacterial, yeast, plant,
    insect, and mammalian systems, with a variety of end-points. It
    concluded that carbaryl does not damage DNA. Reports of induction of
    mitotic recombination, gene conversion, and unscheduled DNA synthesis
    in prokaryotes  (Haemophilus influenzae, Bacillus subtilis) and
    eukaryotes ( Saccharomyces cerevisiae, Aspergillus nidulans, cultured
    human lymphocytes, and rat hepatocytes)  in vitro have not been
    confirmed. Negative results were obtained in tests for gene mutations
    in all but two bacterial assays. Although several studies of gene
    mutation were conducted in mammalian cells  in vitro, only one
    equivocally positive result was obtained, in a study that had several
    shortcomings and which has not been confirmed. Chromosomal damage has
    been reported in human, rat, and hamster cells and in plants treated
     in vitro with high doses of carbaryl. No such effects have been
    observed in mammalian tests in vivo, even at doses as high as
    1000 mg/kg bw. Carbaryl induces disturbances in the spindle fibre
    mechanism in plant and mammalian cells  in vitro, but the relevance
    of the assays in plants for humans is unclear. The Environmental
    Health Criteria monograph concluded that the available database did
    not indicate that carbaryl induces genetic changes in somatic or
    germinal tissues of humans.

    (g)  Special studies

    (i)  Dermal and ocular irritation and dermal sensitization

         No new information had become available. The Environmental Health
    Criteria monograph on carbaryl (WHO, 1994) reported that carbaryl is
    not or only weakly irritating to the skin and is weakly irritating to
    the eye. The available studies indicated that carbaryl has little or
    no sensitizing potential.

    (ii)  Neurotoxicity

         No new data had become available. The Environmental Health
    Criteria monograph on carbaryl (WHO, 1994) reported that the effects
    of carbaryl on the central nervous system had been studied in rats
    and monkeys treated by intraperitoneal, intramuscular, or oral
    administration or by inhalation. Changes in motor activity, working
    memory, and behaviour were seen. Dietary exposure to doses of
    10-20 mg/kg bw per day for 50 days was reported to disrupt learning
    and performance in rats. In a small study on pigs, administration of
    carbaryl in the diet at 150 mg/kg bw per day for 72-82 days was
    reported to produce a number of neuromuscular effects. Reversible leg
    weakness was noted in chickens given high doses of carbaryl, but no
    evidence of demyelination was observed in the brain, sciatic nerve, or
    spinal cord sections examined microscopically. Similar effects were
    not observed in long-term studies in rodents. The effects of carbaryl
    on the nervous system are primarily related to inhibition of
    cholinesterase activity and are usually transitory.

    (iii)  Immunotoxicity

         No new data had become available. The Environmental Health
    Criteria monograph on carbaryl (WHO, 1994) noted that several studies
    in mice, rats, rabbits, and guinea-pigs, mostly treated orally, showed
    that carbaryl administered at doses that do not cause overt clinical
    signs has a variety of non-life-threatening effects on both cellular
    and humoral immunity. Many of the effects were detected at doses close
    to the LD50. A lack of consistency and sometimes overt contradiction
    between the results of several of these studies precludes definition
    of the immunotoxic mechanism. Life-time exposure to carbaryl did not
    increase the occurrence of disease in rats or mice, and no enhancement
    of viral infections was found, even at doses close to the LD50. Most
    of the studies on mice and rabbits at doses that permitted survival
    did not show significant effects on the immune system. Vital
    enhancement has been demonstrated  in vitro in a number of studies
    including prior incubation with carbaryl. Inhibition of human serum
    complement activity and interleukin-2-driven proliferation of large
    granular lymphocytes have also been found  in vitro.

    (iv)  Haematological effects

         No new data had become available. The Environmental Health
    Criteria monograph on carbaryl (WHO, 1994) reported effects on
    coagulation in rats, rabbits, and dogs  in vivo and in studies  in
     vitro, but the direction of the effect is unclear. In glucose-
    6-phosphate dehydrogenase-deficient sheep erythrocytes, carbaryl
    produced a dose-dependent increase in methaemoglobin formation. Human
    serum albumin reacted  in vitro with the ester group of carbaryl.
    Carbaryl binds free blood amino acids.

    (v)  Effects on the endocrine system

         No new data had become available. The Environmental Health
    Criteria monograph on carbaryl (WHO, 1994) concluded from several
    experiments  in vivo and  in vitro that carbaryl increases the
    gonadotropic function of the hypophysis of rats.

    (vi)  Studies with  N-nitrosocarbaryl

         The Environmental Health Criteria monograph on carbaryl (WHO,
    1994) noted that carbaryl is a secondary amine and is therefore
    capable of nitrosation in the presence of nitro donor groups, such as
    sodium nitrate, to give a nitrosamide. A condition of such nitrosation
    is an acidic pH (< 2), such as that found in the human stomach;
    however,  N-nitrosocarbaryl is not stable at this pH; its maximal
    stability is at pH 3-5, at which no significant amount of carbaryl can
    be nitrosated. Carbaryl was nitrosated in several studies,  in vitro
    as well as  in vivo, in guinea-pigs, in which the gastric acidity is
    similar to that of humans.

          N-Nitrosocarbaryl induced local tumours in rats, consisting of
    sarcomas at the site of injection and forestomach squamous-cell
    carcinomas, after oral administration. This local carcinogenic effect
    and the lack of systemic carcinogenicity characterize the compound as
    a directly acting alkylating agent. Given the human chemistry of
    carbaryl, the risk of carcinogenic effects of  N-nitrosocarbaryl for
    humans after exposure to carbaryl can be considered negligible.

          N-Nitrosocarbaryl can induce mitotic recombination and gene
    conversion in prokaryotes  (H. influenzae and  B. subtilis) and
    eukaryotes  (S. cerevisiae) in vitro and gives positive results in
     Escherichia coli spot tests. It also binds to DNA, causing
    alkali-sensitive bonds and single-strand breakage. It is not
    clastogenic  in vivo in bone marrow and germ cells, even at highly
    toxic doses.

    3.  Observations in humans

         An epidemiological study of total and cause-specific mortality
    among employees exposed to carbaryl at a production plant was based on
    information obtained in 1988 on the vital status and cause of death of
    all individuals who were first hired between the start-up of the
    carbaryl unit in 1960 through 1978. Employees hired after 1978 were
    not included in the study. Three categories of workers exposed to
    carbaryl were defined: those involved in production, maintenance
    employees, and those working in packaging and distribution. A total of
    448 employees contributing 7532 person-years to the analysis were
    available, representing the combined number of years in which these
    employees were followed through 1988. Mortality was measured in terms
    of standardized mortality ratios (SMRs), which are the ratios of the
    observed numbers of death among members of a cohort to the number
    expected, on a year-specific and age-adjusted basis. The 25 deaths
    identified in this cohort resulted in elevated SMRs for cancer of the
    pancreas, unspecified cancer, and cancers of the brain and other parts
    of the nervous system. In the first two categories, the excess was
    slight and based on only one death. In the last category, the SMR was
    based on two deaths due to tumours of different histological origins,
    reducing the possibility that the two malignancies were caused by the
    same exposure. Furthermore, in all three categories the confidence
    intervals were wide, indicating a relatively imprecise SMR estimate
    and reflecting the small sample size on which it is based (Pastides,
    1993).

         The Environmental Health Criteria monograph on carbaryl (WHO,
    1994) summarized several cases of poisoning. The clinical picture is
    dominated by symptoms of inhibition of cholinesterase activity. Signs
    of poisoning develop quickly after absorption and disappear rapidly
    after exposure ends.

         In controlled studies of human volunteers, single doses of
    < 2 mg/kg bw were well tolerated. A single dose of 250 mg (about
    2.8 mg/kg bw) produced moderate symptoms of cholinesterase inhibition
    (epigastric pains and sweating) within 20 min. Complete recovery was
    seen within 2 h of treatment with atropine sulfate. Two groups of
    human volunteers given carbaryl at doses of 0.06 or 0.13 mg/kg bw for
    six weeks underwent physical examinations, removal of bromosulphthalein
    from blood, electroencephalography, routine blood and urinalysis, and
    measurement of cholinesterase in plasma and erythrocytes. No inhibition 

    of cholinesterase activity was observed, and no changes were seen in
    the group receiving the low dose. The only finding at the high dose was
    an increase in the ratio of amino acid nitrogen to creatinine in the
    urine, which may represent a decrease in the ability of the proximal
    convoluted tubule to reabsorb amino acids; this change was reversible. 
    The NOAEL was 0.06 mg/kg bw.

         In cases of occupational overexposure to carbaryl, mild symptoms
    are observed long before a dangerous dose is absorbed. No local
    irritating effect is usually seen, although skin rash after accidental
    splashing with carbaryl formulations has been described.

         Reports of the effects of carbaryl on sperm count and changes in
    sperm morphology in plant workers are conflicting. No adverse effects
    on reproduction have been described.

    Comments

         Carbaryl is rapidly and almost completely absorbed after oral
    administration. Excretion is rapid and occurs predominantly via the
    urine; enterohepatic cycling of carbaryl metabolites is also
    considerable. There were no significant dose-related or sex-specific
    differences in elimination patterns, and there was no evidence of
    bioaccumulation. Dermal absorption in rats was slow; after 24 h,
    16-34% of the administered radiolabel had been absorbed. Higher doses
    were less readily absorbed. In volunteers, 45% of a dose applied to
    the skin in acetone was absorbed within 8 h. Carbaryl was rapidly
    absorbed in the lungs.

         The metabolism of carbaryl has been studied in various mammals,
    including humans. The principal metabolic pathways are ring
    hydroxylation, hydrolysis, and conjugation. There were no species
    differences. The main metabolite in humans is 1-naphthol. The
    hydrolysis product,  N-methyl carbamic acid, spontaneously decomposes
    to methylamine and carbon dioxide. The methylamine is later converted
    to carbon dioxide and formate, the latter being excreted mainly in the
    urine. Carbaryl metabolites are also found at small percentages of the
    absorbed doses in saliva and milk.

         Carbaryl is moderately toxic after acute oral administration, the
    LD50 in rats being 225-721 mg/kg bw. Interspecies differences in
    toxicity were found, cats (LD50, 150 mg/kg bw) being the most
    sensitive species. The LD50 was increased threefold when animals were
    pretreated with small doses of carbaryl. The compound is slightly
    toxic after acute dermal administration, with an LD50 > 2000 mg/kg
    bw. No LC50 for acute exposure by inhalation was available, but the
    effects observed in dogs, cats, and rats exposed to dusts or
    formulations of carbaryl were typical of those resulting from
    inhibition of cholinesterase activity. In cats exposed to carbaryl
    dust for 6 h, a concentration of 20 mg/m3 inhibited cholinesterase
    activity in plasma and erythrocytes. Carbaryl was weakly irritating to
    the eye but not the skin and was not considered to be a sensitizer.
    WHO has classified carbaryl as 'moderately toxic' (WHO, 1996).

         After oral administration of carbaryl in capsules to dogs at a
    dose of 0.45, 1.8, or 7.2 mg/kg bw per day for one year, slight
    effects were observed on the kidney at 7.2 mg/kg bw per day; the NOAEL
    was 1.8 mg/kg bw per day. In two studies in which dogs were fed diets
    containing carbaryl at 20-125 ppm for five weeks and 125-1250 ppm for
    one year, the NOAEL was 125 ppm, equivalent to 3.1 mg/kg bw per
    day, on the basis of effects on liver weight and inhibition of
    acetylcholinesterase activity in erythrocytes and brain at 400 ppm.

         In cats exposed to carbaryl by inhalation, cholinergic signs were
    observed at 30 mg/m3 after exposure for 30 days. The NOAEL was
    16 mg/m3 for 120 days. In a study in rats, no effects were observed
    after exposure to 10 mg/m3 for 90 days.

         Several studies of long-term toxicity or carcinogenicity in mice
    cited in EHC 153 were considered to be unsuitable for evaluation of
    carcinogenicity by either the Environmental Health Criteria Task Force
    or the present Meeting, although they were suitable for assessing
    long-term toxicity. In a recent study of carcinogenicity, mice were
    given diets providing 0, 100, 1000, or 8000 ppm carbaryl for
    104 weeks. Tumours were observed in the liver in females and the
    kidney in males, and vascular tumours were found in animals of each
    sex at the highest dose, which exceeded the maximum tolerated dose
    (MTD). In male mice, increases in the incidences of vascular tumours
    were also seen at the two lower doses; after considering all of the
    available data, the Meeting could not identify an NOAEL for this
    neoplastic lesion. The NOAEL for non-neoplastic lesions was 100 ppm
    (equal to 14.7 mg/kg bw per day), on the basis of inhibition
    of erythrocyte and brain acetylcholinesterase activity and
    histopathological changes in the urinary bladder at 1000 ppm. This
    NOAEL is consistent with the results of the earlier studies. The
    Meeting concluded that the compound is carcinogenic in mice.

         In several studies cited in EHC 153, carbaryl was administered in
    the diet of rats for 96 days to two years. The most obvious effects
    were in the kidney at doses > 400 ppm. In two one-year studies in
    rats treated by gavage, effects on the thyroid and on male and
    female reproductive organs and/or function were observed at doses
    > 5 mg/kg bw per day; the NOAEL was 2 mg/kg bw per day. None of
    these studies was considered suitable for evaluating carcinogenicity.

         In a recent study of long-term toxicity and carcinogenicity, rats
    were fed diets containing 0, 250, 1500, or 7500 ppm carbaryl for 104
    weeks. In animals at the highest dose, which exceeded the MTD, tumours
    were found in the thyroid in males, in the liver in females, and in
    the urinary bladder in animals of each sex. The NOAEL for non-
    neoplastic findings in this study was 250 ppm, equal to 10 mg/kg bw
    per day, on the basis of inhibition of erythrocyte and brain
    acetylcholinesterase activity and a decrease in mean body weight at
    1500 ppm. This NOAEL is consistent with the results of earlier dietary
    studies. The Committee concluded that carbaryl is carcinogenic in rats
    only at levels that exceed the MTD.

         The available studies on reproductive toxicity were conducted
    some time ago and had some deficiencies in relation to currently
    acceptable scientific standards. In three-generation studies, dietary
    administration of carbaryl to rats induced reproductive effects
    (impaired fertility and reduced postnatal survival and growth) at
    doses > 2000 ppm (equal to 125 mg/kg bw per day); a dose of 100 mg/kg
    bw per day did not induce maternal toxicity. When carbaryl was
    administered by gavage, maternal toxicity was not observed at 25 mg/kg
    bw per day, but both maternal and reproductive toxicity (reduced
    litter size and viability) were found at 100 mg/kg bw per day. The
    Meeting recommended that a new two-generation study of reproductive

    toxicity be carried out in rats, with special attention to the male
    reproductive system since effects on this system were observed in some
    long-term studies of toxicity at gavage doses significantly lower than
    those evaluated in the dietary studies of reproductive toxicity.

         The available studies on developmental toxicity suffered from
    small group size and had some deficiencies in relation to currently
    acceptable scientific standards. In two studies in mice, the NOAEL for
    maternal toxicity was 100 mg/kg per day; at 150 mg/kg bw per day,
    increased litter resorption was found. In rats, administration of
    carbaryl in the diet for part or all of the gestation period resulted
    in maternal toxicity at 100 mg/kg bw per day. No overt signs of
    fetotoxicity were seen at this dose. In a study in which rats
    were exposed to carbaryl by gavage and then mated, maternal and
    embryotoxicity were observed at 100 mg/kg bw per day; no effects were
    seen at 10 mg/kg bw per day. In guinea-pigs, administration of
    carbaryl during gestation in the diet or by gavage resulted in an
    NOAEL for maternal toxicity of 100 mg/kg bw per day. No embryo- or
    fetotoxicity was observed at 300 mg/kg bw, the highest dose tested. In
    rabbits, teratogenic effects were reported after administration of
    200 mg/kg bw per day orally; maternal toxicity was also seen at this
    dose. In two studies in dogs, maternal toxicity (dystocia, at
    parturition only) was observed at a dose of 3.1 mg/kg bw per day.
    A variety of birth defects was found after exposure to doses
    > 5 mg/kg bw per day. Thus, the LOAEL for maternal toxicity was
    3.1 mg/kg bw per day, and this was the NOAEL for birth defects in the
    offspring.

         The Meeting concluded that carbaryl induces developmental
    toxicity, manifested as deaths  in utero, reduced fetal weight, and
    malformations, but only at doses that cause overt maternal toxicity.
    The shortcomings of these studies made them inadequate for identifying
    NOAELs for developmental toxicity that could be used for assessing
    risk under conditions of exposure other than in the diet.

         Carbaryl has been adequately tested for genotoxicity in a series
    of assays  in vitro and  in vivo. While chromosomal aberrations have
    been induced  in vitro and carbaryl has been shown to disturb spindle
    fibre mechanisms  in vitro, there is no evidence from well-conducted
    experiments that carbaryl is clastogenic  in vivo. The Meeting
    concluded that carbaryl is not genotoxic.

         The effects of carbaryl on the nervous system are primarily
    related to cholinesterase inhibition and are usually transitory.
    Dietary exposure to doses of 10-20 mg/kg bw per day for 50 days was
    reported to disrupt learning and performance in rats. In chickens
    given high doses of carbaryl, there was no histological evidence of
    neurotoxicity.

         In controlled studies in volunteers, single oral doses of
    < 2 mg/kg bw were well tolerated. A single oral dose of 250 mg (about
    2.8 mg/kg bw) produced moderate cholinergic symptoms. In volunteers
    given repeated daily oral doses over six weeks, the NOAEL was
    0.06 mg/kg bw per day, on the basis of an increased ratio of amino
    acid nitrogen to creatinine in the urine at a dose of 0.13 mg/kg bw
    per day. This effect may represent a decrease in the ability of the
    proximal convoluted tubule to reabsorb amino acids. The change was
    reversible. No inhibition of plasma or erythrocyte acetylcholin-
    esterase activity was observed.

         An epidemiological study on carbaryl production workers employed
    between 1960 and 1978 showed no increase in cancer mortality.

         An ADI of 0-0.003 mg/kg bw was established on the basis of the
    LOAEL of 15 mg/kg bw per day in the study of carcinogenicity in mice,
    using a safety factor of 5000, which includes an extra safety factor
    of 50 to account for the presence of vascular tumours in male mice at
    all doses tested. The resulting ADI provides an adequate margin of
    safety, taking into account the LOAEL in the study of developmental
    toxicity in dogs and the uncertainties about the effects on the male
    reproductive system.

    Toxicological evaluation

    Levels that cause no toxic effect

         Mouse:    NOAEL not identified. Lowest effective dose: 100 ppm,
                   equal to 14.7 mg/kg bw per day (two-year study of
                   toxicity and carcinogenicity)

         Rat:      250 ppm, equal to 10 mg/kg bw per day (two-year study
                   of toxicity and carcinogenicity)

                   2 mg/kg bw per day (one-year study of toxicity)

         Dog:      NOAEL not identified. Lowest effective dose: 3.1 mg/kg
                   bw per day (study of developmental toxicity)

                   1.8 mg/kg bw per day (one-year study of toxicity)

         Human:    0.06 mg/kg bw per day (six-week study of toxicity)

    Estimate of acceptable daily intake for humans

         0-0.003 mg/kg bw

    Studies that would provide information useful for continued
    evaluation of the compound

         1.   Study of reproductive toxicity with special attention to the
              male reproductive system

         2.   Studies of teratogenicity in rats and rabbits

         3.   Completion of on-going studies to elucidate the mechanism of
              tumour formation

         4.   Study of developmental neurotoxicity and/or screening for
              acute or subchronic neurotoxicity

         5.   Follow-up of the epidemiological study in workers, taking
              into consideration the latent period before development of
              cancer

    References

    Cheng, T. (1994) Dermal absorption of 14C-carbaryl (80S) in male rats
    (preliminary and definitive phases). Guideline No. 85-2. Unpublished
    report No. HWI 6224-207, dated July 1994 from Hazleton Wisconsin,
    Inc., USA. Supplied to WHO by Rhône Poulenc, Research Triangle Park,
    North Carolina, USA.

    Cheng, T. (1995) Dermal absorption of 14C-carbaryl (XLR Plus) in
    male rats (preliminary and definitive phases). Guideline No. 85-2.
    Unpublished report No. HWI 6224-206, dated January 1995, from Hazleton
    Wisconsin, Inc., USA. Supplied to WHO by Rhône Poulenc, Research
    Triangle Park, North Carolina, USA.

    Cranmer, M.F. (1986) Carbaryl; a toxicological review and risk
    analysis.  Neurotoxicology, 7, 247-332.

    Debruyne, E. & Irisarri, E. (1996) Carbaryl technical-chronic toxicity
    studies in the rat (HWA Study No. 656-139) and the mouse (HWA Study
    No. 656-138): evaluation of histological slides. Unpublished report
    No. R&D/CRSA/TOX-HPA-4, dated March 1996 from Rhône Poulenc Agrochimie.
    Supplied to WHO by Rhône Poulenc, Research Triangle Park, North
    Carolina, USA.

    Hamada, N.N. (1993a) Oncogenicity study with carbaryl technical in
    CD-1 mice. Unpublished report No. HWA 656-138, dated May 1993 from
    Hazleton Washington, Inc., USA. Supplied to WHO by Rhône Poulenc,
    Research Triangle Park, North Carolina, USA.

    Hamada, N.N. (1993b) Combined chronic toxicity and oncogenicity study
    with carbaryl technical in Sprague Dawley rats. Unpublished report No.
    HWA 656-139, dated August 1993 from Hazleton Washington, Inc., USA.
    Supplied to WHO by Rhône Poulenc, Research Triangle Park, North
    Carolina, USA.

    Klonne, D.R. (1995) Carbaryl mouse historical control data. Position
    paper dated November 1995. Supplied to WHO by Rhône Poulenc, Research
    Triangle Park, North Carolina, USA.

    Marshall, R. (1996) Carbaryl: induction of micronuclei in the bone
    marrow of treated mice. Unpublished report No. CH 198/89-1052, dated
    March 1996 from Corning Hazleton, United Kingdom. Supplied to WHO by
    Rhône Poulenc, Research Triangle Park, North Carolina, USA.

    McEnaney, S. (1993) Technical study to evaluate the chromosome
    damaging potential of carbaryl by its effects on the bone marrow cells
    of treated rats. Unpublished report No. 198/64, dated September 1993
    from Hazleton Microtest/Hazleton UK. Supplied to WHO by Rhône Poulenc,
    Research Triangle Park, North Carolina, USA.

    Pastides H. (1993) Standardized mortality ratio analysis of employees
    exposed to carbaryl at the Rhône Poulenc Institute, West Virginia
    Plant. Report dated January 1993. Supplied to WHO by Rhône Poulenc,
    Research Triangle Park, North Carolina, USA.

    Sagelsdorff, P. (1994) Investigation of the potential of protein- and
    DNA-binding of carbaryl. Unpublished report No. CB93/52, dated April
    1994 from Ciba-Geigy Ltd. Supplied to WHO by Rhône Poulenc, Research
    Triangle Park, North Carolina, USA.

    Strubble, C.B. (1994) Metabolism of 14C-carbaryl in rats (preliminary
    and definitive phases). Unpublished report No: HWI 6224-184, dated
    August 1994, from Hazleton Wisconsin, Inc., USA. Supplied to WHO by
    Rhône Poulenc, Research Triangle Park, North Carolina, USA.

    Thomas, H. (1994) Liver cytochrome P-450 inducer phenotyping in the
    male CD-1 mouse. Unpublished report No. CB94/23, dated October 1994,
    from Ciba-Geigy Ltd. Supplied to WHO by Rhône Poulenc, Research
    Triangle Park, North Carolina, USA.

    Weil C.S. & Carpenter, C.P. (1965) Results of a three generation
    reproduction study on rats fed Sevin in their diet. Unpublished report
    No. 28-53, dated April 1965, from Mellon Institute, USA. Supplied to
    WHO by Rhône Poulenc, Research Triangle Park, North Carolina, USA.

    Weil C.S. & Carpenter, C.P. (1966) Evaluation of the teratogenic
    potential of insecticide Sevin in rats. Unpublished report No. 29-49,
    dated June 1966, from Mellon Institute, USA. Supplied to WHO by Rhône
    Poulenc, Research Triangle Park, North Carolina, USA.

    WHO (1994)  Carbaryl (Environmental Health Criteria 153), International
    Programme on Chemical Safety, Geneva.

    WHO (1996)  The WHO Recommended Classification of Pesticides by Hazard
     and Guidelines to Classification 1996-1997 (WHO/PCS/96.3), International
    Programme on Chemical Safety, Geneva.
    


    See Also:
       Toxicological Abbreviations
       Carbaryl (EHC 153, 1994)
       Carbaryl (HSG 78, 1993)
       Carbaryl (ICSC)
       Carbaryl (PIM 147)
       Carbaryl (FAO Meeting Report PL/1965/10/1)
       Carbaryl (FAO/PL:CP/15)
       Carbaryl (FAO/PL:1967/M/11/1)
       Carbaryl (FAO/PL:1968/M/9/1)
       Carbaryl (FAO/PL:1969/M/17/1)
       Carbaryl (AGP:1970/M/12/1)
       Carbaryl (WHO Pesticide Residues Series 3)
       Carbaryl (WHO Pesticide Residues Series 5)
       Carbaryl (Pesticide residues in food: 1976 evaluations)
       Carbaryl (Pesticide residues in food: 1977 evaluations)
       Carbaryl (Pesticide residues in food: 1979 evaluations)
       Carbaryl (Pesticide residues in food: 1984 evaluations)
       Carbaryl (JMPR Evaluations 2001 Part II Toxicological)
       Carbaryl (IARC Summary & Evaluation, Volume 12, 1976)