IPCS INCHEM Home


    FAO/PL:1967/M/11/1
    WHO/Food Add./68.30

    1967 EVALUATIONS OF SOME PESTICIDE RESIDUES IN FOOD

    THE MONOGRAPHS

    The content of this document is the result of the deliberations of the
    Joint Meeting of the FAO Working Party of Experts and the WHO Expert
    Committee on Pesticide Residues, which met in Rome, 4 - 11 December,
    1967. (FAO/WHO, 1968)

    FOOD AND AGRICULTURE ORGANIZATION OF THE UNITED NATIONS
    WORLD HEALTH ORGANIZATION
    Rome, 1968

    CARBARYL

    This pesticide was evaluated by the 1966 Joint Meeting of the FAO
    Working Party and the WHO Expert Committee on Pesticide Residues
    (FAO/WHO, 1967). Since the previous evaluation the results of
    additional experiment work have been reported. This work is summarized
    and discussed in the following monograph addendum.

    EVALUATION FOR ACCEPTABLE DAILY INTAKE

    Biochemical aspects

    Carbaryl is metabolized and excreted by the rhesus monkey and pig as
    conjugates of intact 4-hydroxycarbaryl and carbaryl and is metabolized
    in the rat, guinea pig, ewe and man, to conjugates of 1-naphthol,
    4-hydroxycarbaryl and carbaryl. In all these species, carbaryl is
    metabolized by a similar route: the major difference between the
    species studied is the extent to which carbaryl is hydrolyzed to yield
    1-naphthol. Little or no hydrolysis of carbaryl occurs in the monkey
    and pig, as opposed to the man, ewe, rat and guinea-pig (Knaak et al,
    1965; 1967b).

    Several metabolites of carbaryl were detected in the urine of female
    dogs; only one anionic metabolite having the C-O-C-(O)-N-C structure
    intact was found, while the remaining metabolites possessed only the
    naphthyl label. The nature of these metabolites is unknown. The major
    rat metabolites were not found in dog urines. Excretion of the
    14C-naphthyl label in the faeces accounts for almost half of the
    total carbaryl equivalents excreted. This is an important elimination
    route for the dog and a minor pathway for the rat (10 per cent of the
    dose). The N-methyl-14C label is excreted in faeces to about the same
    extent in both the dog and rat (10 per cent of dose), while in the
    urine, the rat excretes up to 68 per cent of the dose and the dog, 23
    per cent (Knaak: and Sullivan, 1967).

    In two human volunteers given single oral doses of 2 mg/kg
    body-weight, urinary recoveries over the first 2 days amounted to 26
    and 28 per cent of the doses. No metabolites were found in the urine
    after the second day. The metabolites identified were
    4-(methylcarbamoyloxy)-1-naphthyl glucuronide (4 per cent), 1-naphthyl
    glucuronide (15 per cent) and 1-naphthyl sulfate (8 per cent), with
    some evidence for 1-naphthyl methylimido-carbonate 0-glucuronide
    (Knaak et al, 1967a; 1967b).

    The following table shows the urinary metabolites, excreted after oral
    administration of N-methyl-14C-carbonyl or 14C-naphthyl carbaryl to
    different mammals, and nonlabelled carbaryl ingested by man (Knaak and
    Sullivan, 1967; Knaak et al, 1967b).


        Metabolite expressed as percentage of dose in 24-hour urines (arranged in descending
    order for the rat)
                                                                                                
                                                             Guinea                   
    Metabolite                                        Rat    Pig     Ewe    Pig    Dogb  Man
                                                                                                

    aryl methylimidocarbonate O-glucuronidec          18     9       34     36     5     presentd

    naphthyl sulfate                                  16     13      12     a      a     8

    naphthyl glucuronide                              10     19      10     5      4c    13

    neutrals                                          9      6       1      8      4     f

    4-(methyl carbamoyloxy)-1-naphthylglucuronide     7      10      11     12     a     5

    4-(methyl carbamoyloxy)-1-naphthylsulfate         5      6       4      a      a     a
                                                                                                

    a)  Below the sensitivity limits of the analytical method used.
    b)  17 per cent of the metabolites were unidentified and were not found in the rat.
    c)  This represents a maximum: the absolute presence of this metabolite has not been established.
    d)  Present but as yet cannot be quantitated.
    e)  Believed to represent a class of compounds conjugated through the enol form of the carbamate.
    f)  Indeterminate by the analytical method used.
    

    In a lactating cow given single doses of carbaryl-naphthyl-14C, 0.25
    and 3.05 mg/kg body-weight in feed, recoveries of the doses were,
    respectively, from faeces, 11 and 15 per cent; from urine, 70 and 58
    per cent, and from milk, about 0.35 per cent in both cases. Most of
    the material in urine and faeces was eliminated in the first 24 hours.
    In the milk, the residue 6 hours after the high dose was slightly less
    than 1 ppm; after both doses, milk levels declined rapidly after 12
    hours, and none was detectable after 60 hours. The major metabolite in
    milk, accounting for 30 per cent of the residue, was tentatively
    identified as 5,6-dihydro-5,6-dihydroxy-1-naphthyl N-methyl carbamate
    (Dorough, 1967).

    Acute toxicity

                                                                       
                                      LD50
    Animal   Route   Solvent    (mg/kg body-weight)    Reference
                                                                       
    Mouse    Oral    Sunflower        437.5          Rybakova, 1966
                     Oil

    Rat      Oral    Sunflower        515                "      "
                     Oil
                                                                       

    Special studies

    Mouse. In a teratogenicity study, groups of 20 mated female mice
    were fed 0, 66.7 and 200 ppm from day 6 of gestation through term. On
    the 18th day, half the animals were delivered by section and the
    foetuses and uteri were examined grossly. The remaining animals were
    allowed to bear and rear their pups for 4 days. In 2 of the litters of
    high-level animals a total of 7 cases of skeletal malalignment,
    non-fusion and incomplete ossification, and one case each of cleft
    palate and gross facial malformation were recorded, versus no
    malformations in the low-level group and 2 cases of cleft palate in
    the controls. However, the authors declined to attribute these
    findings to the test material. No effect was seen on numbers or
    viability of offspring or on mortality or behaviour of the dams
    (Benson et al., 1967).

    Rat. Groups of 12 mated female rats were fed 0, 20, 100 and 500
    mg/kg bodyweight/day according to three schedules: 1. throughout
    pregnancy; 2. through gestational day 7; 3. from gestational day 5
    through day 15. Half the animals were delivered by section on the 20th
    day, and the foetuses and uteri were examined grossly. The remaining
    animals were allowed to bear and rear their pups to weaning. At the
    high level, body-weight gain of the dams was seriously affected. In
    the high-level group fed carbaryl throughout pregnancy, the postpartum
    viability of the pups, lactation indices and weaning weights of
    surviving pups were adversely affected. No effect on fertility,

    viability, lactation or body-weight gain of dams or pups was seen at
    the two lower levels. No abnormalities ware found in the pups of any
    group (Weil and Carpenter, 1967).

    Groups of 32 rats ware given peroral doses of 0 and 50 mg/kg
    body-weight/day of carbaryl in oil for 50 days. Progressive blood
    cholinesterase depression and decrease of the ascorbic acid level in
    the adrenals were observed. The weights of the adrenals and livers
    increased in the experimental animals. In the experimental males,
    diminished sperm motility me found; and lengthening of the oestrus
    cycle was noted in the females (Rybakova, 1966).

    In a 1-year experiment, groups of 24 albino rats of each sex were
    given carbaryl at levels of 0, 7, 14, and 70 mg/kg body-weight/day.
    After 12 months all the doses produced disturbance of the morphologic
    structure of the liver cells, kidneys, adrenals and testes. All the
    test groups also showed a highly significant decrease in the motility
    of spermatozoa (P <0.001). In the female rats, the duration of the
    oestrus cycle increased 10, 20 and 70 per cent under the influence of
    the 7, 14 and 70 mg/kg doses, respectively. An increase in
    gonadotropic hormones was also observed (Rybakova, 1966).

    Hen. Carbaryl in doses of 180 mg and 540 mg/kg of body-weight per
    day were administered to laying White Leghorn hens for 60 consecutive
    days. No noticeable adverse effects and no detectable residues of the
    insecticide or its naphthol metabolite were found in the meat when the
    low dose was administered. Residues in meat and histopathological
    changes in various organs were found when high dose was given.
    Residues were present in the fat tissue with both the high and the low
    doses (Nir et al., 1966).

    Carbaryl and malathion were fed to laying hens singly and in
    combination at 0, 75, 150, 300 and 600 ppm for 3 weeks. Hatchability
    decreased and percentage of deformities increased with increasing
    concentration. Storage in the eggs was greater in the yolk than in the
    white and increased as the dietary level increased (Ghadiri et al.,
    1967).

    Observations in man

    Groups of men ware given peroral doses of 0, 0.06 and 0.12 mg/kg
    body-weight/day of carbaryl in gelatin capsules for 6 weeks without
    effect on several biochemical, physical and histological parameters of
    body function, including erythrocytic and plasma cholinesterase
    activities (Wills et al., 1967).

    Comments

    Several carbaryl metabolites have been identified in mammals after
    administration of 14C-labelled carbaryl. This pesticide is
    metabolized by a similar route in the man, rat, guinea-pig, sheep, pig
    and monkey. However, it is metabolized in a different manner in the
    dog.

    In plants, several carbaryl metabolites (See section on EVALUATION FOR
    TOLERANCES) are essentially similar to metabolites that have been
    identified in mammalian metabolism studies. These metabolites occur as
    glycosides in plants whereas they occur as glucuronides and sulphates
    in animals.

    Teratogenicity studies were negative in the rat and in the mouse.

    A recent study has shown effects of relatively low doses of carbaryl
    on the oestrus cycle and the motility of spermatozoa in rats and it
    was felt important that the significance of such findings be further
    explored.

    The human data are considered as contributory; however, as only small
    doses were tested and an effect level was not obtained, these data
    were not employed in the calculation of the ADI.

    TOXICOLOGICAL EVALUATION

    It was not considered for the time being that the new data justified a
    change in the previously recommended ADI which is given below.

    Estimate of acceptable daily intake for man

         0 - 0.02 mg/kg body weight.

    Further work desirable

    Investigations aimed at clarifying the changes of oestrus cycle and
    the motility of the spermatozoa.

    EVALUATION FOR TOLERANCES

        RESIDUES RESULTING FROM SUPERVISED TRIALS
                                                                            

    Crop Type                  Pre-harvest      Usage lbs/A      Resulting
                              period - days  (unless otherwise  residue ppm
                                                indicated)
                                                                            

    Tree fruits

    Apples                         1           1 lb/100 gal         6-10
    Pears                          1           1 lb/100 gal          6-7
    Peaches                        3           8                     5-7
    Apricots and nectarines        3           8                     3-6
    Cherries                       1           1 lb/100 gal          4-9
    Plums                          1           8                      10
    Bananas                        0           1                     3-6

    RESIDUES RESULTING FROM SUPERVISED TRIALS (cont'd)
                                                                            

    Crop Type                  Pre-harvest      Usage lbs/A      Resulting
                              period - days  (unless otherwise  residue ppm
                                                indicated)
                                                                            

    Citrus

    Oranges                        5           1 lb/100 gal          4-5
    Lemons and limes               5           1 lb/100 gal          6-8
    Grapefruit                     5           1 lb/100 gal            2

    Melons                         1           1                       6

    Olives                         0           8                      10

    Cranberries and small fruits

    Raspberries, Loganberries,
      Blackberries, Dewberries     7           2                     2-6
    Blueberries                    1           1                     2-3
    Strawberries                   1           2                     1-7
    Cranberries                    1           3                     3-7
    Grapes                         0           6                     may go
                                                                     over 10

    Nuts

    Almonds                        0           8                      10
    Filberts                       0           5                       5
    Peanuts                        0           1.5                     5
    Walnuts                        0           5                      10

    Meats

    Beef cattle                    7      1 qt/animal(w.p. 0.5% S)     0
    Swine                          7      1 qt/animal(w.p. 0.5% S)     0
    Sheep                          7      1 qt/animal(w.p. 0.5% S)     0
    Poultry                        7      5% Dust (dust thoroughly)   ( 5 meat
                                                                      ( and fat
                                                                      ( 0 eggs

    Leafy vegetables

    Leaf lettuce                  14           2                      10
    Endive                        14           2                      10
    Spinach                       14           2                      10
    Swiss chard, parsley,
      kale                        14           2                    1-10

    RESIDUES RESULTING FROM SUPERVISED TRIALS (cont'd)
                                                                            

    Crop Type                  Pre-harvest      Usage lbs/A      Resulting
                              period - days  (unless otherwise  residue ppm
                                                indicated)
                                                                            

    Cole crops

    Cabbage                        3           2                     2-6
    Brussels sprouts               3           2                    4-10
    Cauliflower                    3           2                    4-10
    Broccoli                       3           2                     3-7

    Root vegetables

    Carrots                        1           1-2                     2
    Beets                          3           1.5                     2
    Radishes, turnips,
      rutabagas                    3           2                       2
    Sugar beats (roots)           14           1-2                     0
    Potatoes                       0           1                       0

    Other vegetables

    Asparagus                      1           2                     2-7
    Beans                          1           .5-2                    3
    Peas                           1           2                       3
    Corn                           0           1.5                     1
    Peppers                        1           1-1.5                 2-3
    Tomatoes                       1           4                     2-4
    Eggplant                       1           2                       2.3
    Squash                         1           1                       2
    Cucumber                       1           1                     2-6
    Head lettuce                   3           2                     3-6

    Cereal grains                  0           1                       0
                        (No application after
                              boot stage)
    Rice                          14           1                       2.5

    Miscellaneous

    Cotton seed                    0           2.5                   2-3
                                                                            
    
    FATE OF RESIDUES

    In plants

    The rate of dissipation of external pesticide residues from plants is
    determined by many independent factors. These include physical
    abrasion (wind), washing (rain) and volatility (heat, air movement).
    In addition, chemical changes occur on the surface due to oxidation
    (air), photooxidation (sunlight), and hydrolysis (humidity). The
    half-life of carbaryl on a glass surface was reported to be about
    one-third that found on the leaf surface, indicating a differential
    rate of dissipation dependent upon the texture of the surface. From
    0.5 to 1 per cent of the initial dose underwent some chemical change
    prior to dissipation. Studies involving incorporation of carbaryl into
    plants suggests that root uptake is influenced by soil composition,
    water content, and microbial degradation (Fukuda and Masuda, 1966).
    Plants are more efficient in absorbing carbaryl through the root
    system than through the leaf surface. The bean plant removed 13 per
    cent of the carbaryl available from solution culture (Herrett and
    Bagley, 1965), cotton removed 40 - 47 per cent (Mostafa, et al. 1966),
    and corn removed 63 per cent (Herrett, et al, 1966). Measurements of
    the entrance of carbaryl into the plant resulting from foliar
    application indicated that this was not an efficient means of
    introduction. In corn, less than 2 per cent of the carbaryl applied
    locally to aerial portions penetrated the leaf surface (Herrett, et
    al, 1966). Similar tests on the bean plant showed a foliar uptake of
    2.6 per cent of the applied dose (Herrett and Bagley, 1965). An early
    report demonstrating the passage of carbaryl into the rice plant
    (Fukuda and Masuda, 1966; Masuda and Fukuda, 1961) showed that a more
    efficient movement of the pesticide occurred in the direction of roots
    to leaves rather than the reverse direction. Carbaryl may be
    considered to be a relatively immobile compound under conditions of
    foliar application. In cocoa, following root uptake, the maximum
    accumulation of carbaryl occurred in the apical regions of the leaves
    and in areas of active growth (Sundarum and Sundarum, 1963). Since
    carbaryl does not readily penetrate plants when applied under normal
    agricultural procedures, abnormal conditions have been utilized to
    develop data on metabolism. Much of the data presented have been
    obtained when carbaryl has been artificially introduced in order to
    collect sufficient quantities of the by-products to facilitate
    experimentation and the characterization of metabolite.

    Recent investigations in which 14C-carbaryl labelled at three
    different sites (in the ring, the carbonyl carbon and the N-methyl
    group) was stem-injected into growing bean plants yielded the first
    insight into the fate of carbaryl in plant tissues (Kuhr and Casida,
    1967). Serial harvests followed by homogenization, partitioning, etc.
    have shown that carbaryl is readily altered metabolically through both
    hydrolysis and hydroxylation. The 1-naphthol, the N-methylol carbaryl,
    the 4-hydroxy carbaryl, the 5-hydroxy carbaryl and the 5,6-dihydro-5,
    6-dihydroxy carbaryl (tentative identification) metabolites are each
    conjugated with one of a series of sugars and are present in the plant

    as water-soluble beta-glycosides. The aglycones, liberated through in
    vitro enzymatic action with glucosidase, are identical with the
    metabolites that have been identified previously from mammalian
    metabolism studies. The rate-limiting step in the plant appears to be
    the hydroxylation as the free aglycones were not detected in these
    experiments. Preliminary studies on bioassay of certain metabolites
    have indicated a reduced biological activity when compared with the
    parent compound. Studies involving the liberated methylamine moiety in
    cotton suggest the formation of a water-soluble compound, minor
    evolution of a volatile basic substance (probably methylamine), and a
    small quantity of carbon dioxide (Sundarum and Sundarum, 1963). By
    injecting carbaryl 14-C labelled in the naphthyl ring, in the
    carbaryl carbon or in the N-methyl carbon into the stem of growing
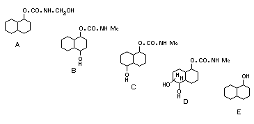
    bean plants, aglycones (A) to (E) (see p. 22 ) have been identified
    after hydrolysis with beta-glucosidases. The eventual plant
    metabolites are glycosides with mixed sugar moieties. These
    non-hydrolytic metabolites in many instances do not respond to the
    usual methods of analysis for carbaryl. This may be due to the fact
    that the metabolites yield a phenolic material different than
    1-naphthol and do not show the same color reaction or the solubilities
    are significantly different from carbaryl. These findings along with
    the lack of information on the toxicity of the metabolites impair the
    validity of the usual analytical procedures. Since a relatively small
    proportion of the applied chemical appears as radiolabeled
    metabolites, it is considered that no serious problem exists.

    CHEMICAL STRUCTURE 

    In storage and processing

    Raw unwashed tomatoes, harvested from field treated applications, were
    stored at 55°F for approximately two weeks with samples taken at
    varying intervals. Data showed that no loss of carbaryl was realized
    under these storage conditions (Farrow et al, 1966; Lamb et al, 1967).

    They further studied the effect of home and commercial preparation on
    the level of residues of carbaryl in green beans, spinach, tomatoes
    and broccoli. Rates of application were somewhat higher than
    recommended rates. Water washing was highly effective in removing
    residues of carbaryl and the thoroughness of the wash was a definite
    factor in the efficiency of removal. Tomatoes with 5.2 ppm, green
    beans with 7.6 ppm, spinach with 15.2 to 25.0 ppm and broccoli with
    12.4 ppm lost 82 to 99 per cent, 68 to 71 per cent, 66 to 88 per cent,
    and 75 per cent, respectively, during commercial washing or blanching

    operations. Canning and processing produced further loss. Home washing
    and canning procedures produced slightly less, yet highly significant,
    losses in residues.

    RECOMMENDATIONS FOR TOLERANCES

    Temporary tolerances

    Considering the additional data, summarized above, the Joint Meeting
    withdraws the previously published Recommendations for tolerances on
    pgs. 44-45 of the 1966 monographs (FAO/WHO, 1967) and substitutes the
    following there for :

    When carbaryl is utilized in accordance with good agricultural
    practice, to protect food products, when necessary, against insect
    infestation, the treated product may have residues as high as those
    shown below:

                                                               
                                                      ppm
                                                               
              Tree fruits including citrus            10

              Small fruits and berries                10

              Leafy vegetables and brassica           10

              Olives and nuts                         10

              Cucurbits and melons                    10

              Other vegetables                         5

              Poultry*                                 5

              Cotton seed                              5

              Rice                                     2.5

                                                               
              *The residue on poultry is largely in the skin
               Other meat animals show no residue

    By no means will all samples of these products contain this amount of
    residue; in fact, only a small, yet unknown, portion of each product
    in these categories to likely to be treated. Also an extensive study
    of the effect of both home and commercial washing and processing of

    green beans, tomatoes, and spinach has become available (Lamb et al.
    1967) and has been briefly reviewed above. These data are supported by
    data from total diet studies which show that essentially none appears
    in food (Duggan and Dawson, 1967).

    The above considerations give the meeting assurance that the above
    figures as temporary tolerances will not result in an intake above the
    ADI. It is recommended that the above figures be adopted as temporary
    tolerances.

    FURTHER WORK

    Further work required by 30 June 1970

    1.   Further assurance from foliar application experiments that the
         terminal residues obtained by stem injection studies give similar
         metabolic products.

    2.   Further information from total diet studies.

    Further work desirable

    1.   More sensitive method of analysis, especially for total diet
         studies.

    2.   Toxicological investigation of carbaryl residues as they occur in
         plants as the result of foliar applications. (If these
         metabolites are not identical to those found in mammalian
         metabolism of carbaryl, it may be necessary to revise this to
         "further information required").

    3.   Investigations aimed at clarifying the changes reported in the
         endocrine system and particularly in the sexual glands.

    REFERENCES PERTINENT TO EVALUATION FOR ACCEPTABLE DAILY INTAKES

    Benson, B.W., Scott, W.J. and Beliles, E.P. (1967) unpublished report
    submitted by Union Carbide Corp.

    Dorough, H.W. (1967) J. Agric. Food Chem., 15, 261

    FAO/WHO. (1967) FAO, PL:CP/15; WHO Food Add./67.32

    Ghadiri, M., Greenwood, D.A. and Binns, W. (1967) Toxicol. appl.
    Pharmacol., 10, 392.

    Knaak, J.B. and Sullivan, L.J. (1967). Unpublished report submitted by
    Union Carbide Corp.

    Knaak, J.B. Tallant, M.J., Bartley, W.J. and Sullivan, L.J. (1965).
    J. Agric. Food Chem., 13, 537

    Knaak, J.B., Sullivan, L.J. and Wills, J.H. (1967a). Toxicol. appl.
    Pharmacol., 10, 390 (Abstract No. 34).

    Knaak, J.B., Tallant, M.J., Kozbelt, S.J. and Sullivan, L.T. (1967b).
    Unpublished report submitted by Union Carbide Corp.

    Nir, I., Weisenberg, E., Hadani, A. and Egyed, M. Poultry Sci., 45,
    720.

    Rybakova, M.N. (1966). Gigiena i Sanitariya, 31, 42.

    Weil, C.S. and Carpenter, C.P. (1967). Unpublished report submitted by
    Union Carbide Corp.

    Whitehurst, W.E., Bishop, E.T., Critchfield, F.E. Gyrisco, G.G.,
    Huddleston, E.W., Arnold, H. and Lisk, D.J. (1963). J. Agric. Food
    Chem., 11, 167-169

    Wills, J.H., Jameson, E., Stein, A., Serrone, D. and Coulston, F.
    (1967). Toxicol. appl. Pharmacol., 10, 390 (Abstract No. 33).

    REFERENCES PERTINENT TO EVALUATION FOR TOLERANCES

    Duggan, R. and Dawson, K. (1967) Pesticides, A report on residues in
    food. FDA Papers 1 (5), 4 - 8.

    FAO/WHO. (1967) Evaluation of some pesticide residues in food. FAO,
    PL:CP/15; WHO Food Add./67.32

    Farrow, R.P., Lamb, F., Cook, R.W., Bergmans, B., Kimball, J. and
    Elkins, E.R. (1966) Removal of Sevin residues from tomatoes during
    commercial and home preparative procedures. Paper 36, Pesticides
    Subdivision of Agr. and Food Div., Amer. Chem. Soc. 152nd Meeting,
    September 12-16, 1966.

    Fukuda, H. and Masuda, T. (1966) Kyushu Agr. Expt. Stat., Entomol.
    Res. Lab. (1962) Report submitted in abstract by Union Carbide.

    Herrett, R.A. and Bagley, W.P. (1965) Uptake and metabolism of Sevin
    insecticide in plants. Union Carbide Corp. Internal Status Report.

    Herrett, R.A., Bagley, W.P. and Kramer, J.A. (1966) Uptake and
    distribution of Sevin insecticide in corn. Union Carbide Corp.
    Internal Status Report.

    Kuhr, R. and Casida, J.E. (1967) Persistent glycosides of metabolites
    of methyl carbamate insecticide chemicals formed by hydroxylation in
    bean plants. J. Agr. and Food Chem. in press.

    Lamb, F.C., Farrow, R.P., Mercer, W.A. and Smith, K.R. (1967)
    Investigation on the effect of preparation and cooking on the

    pesticide residue content of selected vegetables. National Canners
    Assn. Research Foundation, Washington, D.C. Final Report November 13,
    1967.

    Masuda, T. and Fukuda, H. (1961) Proc. Assoc. Plant Prot. Kyushu
    (Japan) 7: 76 - 78.

    Mostafa, I.Y., Hassan, A. and Zayed, M.A.D. (1966) Zeit. Naturforsch.
    21b : 1060.

    Sundarum, A. and Sundarum, K.M.S. (1963) Penetration, translocation
    and persistence of the insecticide 1-naphthyl N-methyl-carbamate
    (Sevin) in cocoa seedlings of Theobroma cocoa L. Work conducted at
    the University of Ghana, Legon in 1963 and reported in abstract by
    Union Carbide Corp.
    


    See Also:
       Toxicological Abbreviations
       Carbaryl (EHC 153, 1994)
       Carbaryl (HSG 78, 1993)
       Carbaryl (ICSC)
       Carbaryl (PIM 147)
       Carbaryl (FAO Meeting Report PL/1965/10/1)
       Carbaryl (FAO/PL:CP/15)
       Carbaryl (FAO/PL:1968/M/9/1)
       Carbaryl (FAO/PL:1969/M/17/1)
       Carbaryl (AGP:1970/M/12/1)
       Carbaryl (WHO Pesticide Residues Series 3)
       Carbaryl (WHO Pesticide Residues Series 5)
       Carbaryl (Pesticide residues in food: 1976 evaluations)
       Carbaryl (Pesticide residues in food: 1977 evaluations)
       Carbaryl (Pesticide residues in food: 1979 evaluations)
       Carbaryl (Pesticide residues in food: 1984 evaluations)
       Carbaryl (Pesticide residues in food: 1996 evaluations Part II Toxicological)
       Carbaryl (JMPR Evaluations 2001 Part II Toxicological)
       Carbaryl (IARC Summary & Evaluation, Volume 12, 1976)