IPCS INCHEM Home


    FAO/PL:1969/M/17/1

    WHO/FOOD ADD./70.38

    1969 EVALUATIONS OF SOME PESTICIDE RESIDUES IN FOOD

    THE MONOGRAPHS

    Issued jointly by FAO and WHO

    The content of this document is the result of the deliberations of the
    Joint Meeting of the FAO Working Party of Experts and the WHO Expert
    Group on Pesticide Residues, which met in Rome, 8 - 15 December 1969.

    FOOD AND AGRICULTURE ORGANIZATION OF THE UNITED NATIONS

    WORLD HEALTH ORGANIZATION

    Rome, 1970

    CARBARYL

    Explanation

    Evaluations were made by the Joint Meeting in 1966, 1967 and again in
    1968 (FAO/WHO, 1967b, 1968b and 1969b). A review of the new
    experimental work which has become available since 1967, when the
    acceptable daily intake was last evaluated and since 1968 when only
    the residue data ware evaluated, as well as pertinent earlier data,
    has been included in this monograph addendum. In the course of this
    review it was noted that the Codex Committee on Pesticide Residues at
    its fourth session in 1969 had referred back the tolerance
    recommendations for further clarification.

    EVALUATION FOR ACCEPTABLE DAILY INTAKE

    BIOCHEMICAL ASPECTS

    Biotransformation

    Previously reported work indicated that carbaryl was metabolized in
    the pig, sheep and rat in a manner similar to that observed in man,
    but was metabolized in a different manner in the dog (Knaak and
    Sullivan 1967; Knaak at al., 1967). A subsequent report indicated that
    the monkey also metabolized carbaryl in a similar manner to man. The
    major difference was the extent to which carbaryl was hydrolyzed to
    yield 1-naphthol. Little or no hydrolysis occurred in the monkey as
    compared to man (Knaak at al., 1968).

    Since the last evaluation of carbaryl another organic metabolite of
    carbaryl has been found in plants, mammalian urine and the milk of
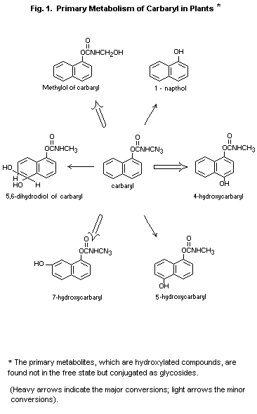
    cows and goats. Its structure has recently been established and it is
    now known to be 5,6-dihydro-5, 6-dihydroxy-1-naphthyl
    N-methylcarbamate (see Figure 3). The toxicology of this compound is
    considered under "Special studies on the toxicity of plant
    metabolites" (Baron at al., 1969).

    Effect on enzymes and other biochemical parameters

    The minimum detectable levels for anticholinesterase activity using
    human blood plasma are 0.2 µg for carbaryl, 0.4 µg for the N-hydroxy
    derivative, 0.1 µg for the 5 hydroxy derivative and 2.0 µg for the
    N-hydroxymethyl derivative (Balba, 1967; Balba and Casida, 1968). The
    last of these compounds was later reported to be contaminated with
    reduced ring derivatives as impurities which arose in its synthesis
    (Balba et al., 1968).

    An induction of liver demethylase was observed in rats given carbaryl
    orally five times per week for three weeks at a dose of 150 mg/kg
    body-weight. In contrast to the usual case in which enzyme stimulation
    is observed within one or two days well defined enzyme increases were
    not observed until two to three weeks (Serrone, 1966). When the

    hepatic microsomal fractions were incubated with carbinoxamine maleate
    as substrata, measuring the amount of formaldehyde (HCHO) produced,
    the following results were obtained (Coulston, 1966):

    TABLE I
                                                       

    Production of formaldehyde on incubation of heptatic
    microsomal fractions with carbinoxamine maleate

    Group             µ moles HCHO/gm/hr

                 1 week      2 weeks     3 weeks
                                                       

    Control       3.7          4.4         4.2

    Carbaryl      4.8          7.2         8.6
                                                       


    TOXICOLOGICAL STUDIES

    Special studies on reproduction

    Rat

    Male and female rats were given carbaryl by 'oral inoculation' at
    doses of 50, 100 and 300 mg/kg for three months. In females there was
    disturbance of the oestrous cycle, decrease in fertility, interference
    with embryo development, and an increase in death rate of the progeny.
    In males there was a decrease in sperm motility and deformed
    spermatozoa were found (Vashakidze, 1965).

    Female rats were given carbaryl in oral doses of 5, 10 or 20 mg/kg for
    six months. At the higher doses there was a change in duration of the
    phases of the oestrous cycle an increase in of the ovaries and uterus,
    an increase in the level of hypophyseal gonadotropins, and disruption
    in the reactivity of the vaginal mucosa to administered oestrogens
    (Vashakidze, 1967).

    Groups of 24 males and 24 female rats were given carbaryl in daily
    oral doses of 0, 7, 14 or 70 mg/kg body-weight for 12 months. The
    doses were given by intubation of a corn oil suspension of carbaryl.
    There was a significant retardation of growth at the two higher levels
    but not at the 7 mg/kg level. Blood cholinesterase activity was
    significantly reduced during the experiment at the two higher levels
    but not at the low dose level. There was a decrease in spermatozoal
    motility at 14 and 70 mg/kg at six months. By 12 months this effect
    was more pronounced in these groups and was also evident in the 7
    mg/kg group. Histological changes occurred in the testes of all three
    groups, but were less pronounced at the lowest dose level. In the
    females, prolongation of the oestrous cycle occurred at the two higher

    levels after six months. This effect became more pronounced in these
    two groups by the end of the study but it was not significant at the 7
    mg/kg level. An increase in the release of hypophyseal gonadotropic
    hormones at all levels was reported. This observation was supported by
    histochemical changes detected in the hypophyses. Histological changes
    were also observed in adrenals and thyroid (Shtenberg and Rybakova,
    1968).

    Carbaryl, given orally to male and female rats at 5 or 15 mg/kg per
    day over one year, produced a significant change in the enzymic
    activity of testes and ovaries, prolonged the oestrous cycle, changed
    the functional state of the spermatozoids, and reduced the fertility
    of the females. At a dosage level of 2 mg/kg daily there were no
    significant effects on the function of the sex glands. A tendency
    towards reduction in the esterase levels was evident at this level but
    the changes were not significant. Offspring (F1 and F2
    generations), receiving 5 and 15 mg/kg, were more significantly
    affected than were their parents. Mortality was increased and in
    some of the young in these groups and damage to the vertebrae in the
    F2 generation was observed (Orlova and Zhalbe, 1968).

    Special studies on teratogenicity

    Chicken-egg

    Injection of carbaryl into the yolk sac of developing hen-eggs has
    resulted in non specific malformation at levels of 1 mg/egg (Marliac,
    1964), oedema in a limited number of embryos at levels of 1 to 4
    mg/kg (Ghadiri and Greenwood, 1966), and foot deformities at levels of
    0.01 to 1 mg/egg (Khera, 1965). A recent study demonstrated that
    teratogenic manifestations were frequent but not dose related. The
    type of malformation was dependent upon the time of injection, with
    oedema, haemorrhages and plethora occurring in non-differentiated
    tissues up to 15 days incubation, but from thereon being restricted to
    mesenchymal tissues (Olefir and Vinogradova, 1968).

    Dog

    Groups of mated dogs were fed 0 (16 dogs), 3.125 (10 dogs) 6.25 (10
    dogs), 12.5 (18 dogs), 25 (nine dogs), or 50 (eight dogs)
    mg/kg/body-weight/day in the diet from mating to the termination of
    weaning. Conception occurred in 14, 7, 8, 16, 7, and 3 dogs
    respectively. Incidence of resorption appears to be high in all test
    groups, although the incidence in the control group was not determined
    for comparison; litter size was reduced at 25 and 50 mg/kg and foetal
    mortality was 100 percent at 50 mg/kg. At parturition an increased
    incidence of dystocia was observed in all test groups. Survival of
    offspring, to weaning was reduced at 12.5 mg/kg and above. Teratogenic
    effects were observed at 6.25 (3/33 pups), 12.5 (14/78 pups), 25 (3/23
    pups), and 50 (1/7 pups) mg/kg/body-weight day. At 0, and 3.125 mg/kg,
    0/70, and 0/39 pups showed terata. Abnormalities included
    abdominal-thoracic fissures, with varying degrees of agenesis and

    displacement of abdominal contents, brachygnathia of variable
    severity, ecaudate pups, failure of skeletal formation, and
    supernumerary phalanges (Smalley at al., 1968).

    Four groups of twelve female dogs were fed 0, 2, 5, or 12.5
    mg/kg/body-weight/day in the diet from mating to the termination of
    weaning. Pregnancy occurred in 9, 7, 9 and 9 females respectively.
    Mortality during the study comprised one non-pregnant female at 2
    mg/kg, and one from each group at 5, and 12.5 mg/kg during
    parturition. Litter size, mean birth-weight and weanling-weights were
    comparable between groups, but incidence of stillbirths was increased
    at 5, and 12.5 mg/kg, and doubtfully increased at 2 mg/kg. Survival to
    weaning was also reduce at 12.5 mg/kg. Defects were observed in 7/57,
    and 5/46 pups at 12.5 and 5 mg/kg respectively, These defects
    comprised one umbilical hernia, one cleft palate, three fat-like
    masses in the heart, and two unilateral microphthalmias in pups from
    three litters at 12.5 mg/kg, and one umbilical hernia, one fat-like
    mass in the heart, two cases of intussusception of the ileum into the
    colon, and one case of extravasation of blood into the myocardium in
    pups from three litters at 5 mg/kg (Imming at al., 1969).

    Guinea pig

    Carbaryl was given by gelatin capsule for 10 consecutive days on days
    11 to 20 of gestation at 300 mg/kg body-weight (equivalent to an
    LD50 dose each day). Maternal mortality was 38 percent, foetal
    mortality 17.5 percent, and offspring with axial skeletal defects,
    especially in the cervical vertebrae, were produced (Robens, 1969).

    A single dose of 300 mg/kg was given on day 11 or 12 or 13, etc. up
    through day 20. Separate groups were used for each treatment day.
    Litter size and foetal mortality was similar to that of the control
    group. Cervical vertebrae defects occurred in eight foetuses. Two
    foetuses from the litter treated on day 13 had no kidneys or genital
    organs (Robens, 1969).

    Hamster

    Carbaryl, when administered during organogenesis, produced no terata
    in hamsters at the sublethal levels of 125 and 250 mg/kg body-weight
    (Robens, 1969).

    Monkey

    A study on monkeys was undertaken to determine if carbaryl interfered
    with reproduction in the non-human primate. Twenty-seven mature parous
    female Rhesus monkeys with a past history of regular menstrual cycles
    were chosen for this study. Each female was mated from the eleventh to
    the sixteenth day of the cycle. When sperm were found in the vaginal
    smear, oral medication of carbaryl was started at 2 mg or 20 mg/kg
    body-weight. Pregnancy was determined by a modification of the
    Ascheim-Zondak pregnancy test which measures the level of monkey
    chorionic gonadotropin in serum. Seven control monkeys were mated;

    five of these had positive pregnancy tests and four delivered
    normally, the fifth monkey aborted early in pregnancy. Fourteen
    carbaryl-treated monkeys were mated; eight had positive pregnancy
    tests and three delivered normally, two aborted at 93 and 116 days of
    pregnancy and it is suspected that the other three aborted early in
    pregnancy. All the positive pregnancy tests in the control and
    medicated monkeys occurred by the third mating. Any monkey that failed
    to conceive after the fourth mating never conceived. It appears that
    carbaryl does not interfere with conception or delivery in the Rhesus
    monkey. However, the results seem to indicate that it may induce
    abortion in these monkeys (Coulston, 1969).

    Rabbit

    Three groups of pregnant New Zealand White rabbits were treated with 0
    (12 rabbits), 10 (nine rabbits), or 30 (10 rabbits)
    mg/kg/body-weight/day from day 9 to day 16 of gestation, day 0 being
    the day of insemination. Pregnancy was terminated by Caesarean section
    on day 30 of gestation. Incidence of viable litters was 7, 7, and 5 at
    0, 10, and 30 mg/kg respectively. Percentage resorptions (37, 19 and
    43 percent at 0, 10 and 30 mg/kg respectively) appears to have been
    increased at 30 mg/kg. Similarly mean litter size (6.7, 6.6 and 5.4
    respectively) appears to be decreased. Group sizes were, however,
    insufficiently large for definite confirmation of these apparent
    trends. Foetal weight, and 24 hour incubator survival of pups were
    comparable in all groups. Skeletal and visceral abnormalities were
    within normal limits (Shaffer and Levy, 1968).

    Doses up to 200 mg/kg administered orally, daily, for 10 day periods,
    to pregnant rabbits, failed to produce terata (Robens, 1969).

    Sheep

    Three groups of sheep commenced feeding on diets containing 0 (23
    sheep), 100 (26 sheep), or 250 (22 sheep) ppm carbaryl, four days
    prior to pairing. Thirty sheep were lame at pairing, due to a viral
    polyarthritis, and thus all animals were treated with 450,000 units of
    benzathine penicillin just after pairing commenced. Incidence of
    pregnancy was comparable between groups, and resulted in 25, 22 and 24
    offspring (of which 15, 14 and 16 were delivered by Caesarean section
    prior to parturition) from the 0, 100 and 250 ppm levels respectively.
    Abnormalities were restricted to the 250 ppm group, where one
    Caesarean, and one normal parturition lamb were found to show
    intraventricular septal defects in the heart (Panciera, 1967).

    Special studies on toxicity of plant metabolites

    Toxicological studies have been made on authenticated, synthetic
    samples of all of the major metabolites of carbaryl (Carpenter, 1969a;
    1969b; Weil, 1968; 1969a; 1969b; 1969c; 1969d). The findings are 
    summarized in Table II and Figure 1. The least prevalent metabolite,
    5,6-dihydro-5,6-dihydroxycarbaryl, occurs to the extent of about 2
    percent of the carbaryl taken into the plant (Wiggins, 1969). Although 

    this compound has not yet yielded to synthesis, its structure has been
    confirmed by spectral measurements and it is produced in vivo as a
    result of animal metabolism of carbaryl (Baron at al., 1969). It has
    also been noted that in comparative cholinesterase assays with
    purified 5,6-dihidro-5,6-dihydroxycarbaryl, isolated from cow urine,
    its cholinesterase inhibition capacity was only one fifth that of
    carbaryl, indicating that the metabolite truly represents a
    detoxication step. Using bovine erythrocyte, cholinesterase the I50
    value for carbaryl was 1.0 × 10-6M compared with a 150 value of 5.0 ×
    10-6m for 5,6-dihydro-5,6-dihydroxycarbaryl (Baron at al., 1969)
    (see also BIOCHEMICAL ASPECTS - Biotransformation).

    In one series of experiments, a mixture of the radioactive,
    water-soluble, plant metabolites of carbaryl were fed to the rat.
    Total elimination of the carbon14 from the body was achieved within
    96 hours (Dorough and Wiggins, 1969).

        TABLE II
                                                                                           
    Toxicity of carbaryl plant metabolites

        Compound             Acute oral LD50     Seven day no effect level      Bovine
                            mg/kg body-weight     Rat (mg/kg body-weight)     erythrocyte
                                                                                           

    Carbaryl                       430*          > 125            < 250       5 × 10-8

    4-hydroxycarbaryl              1190          >1000                        4.6 × 10-7

    5-hydroxycarbaryl              297           >1000                        4.6 × 10-8

    7-hydroxycarbaryl              4760          >1000                        not determined

    1-naphthyl-N-hydroxymethyl
    carbamate                      5360          > 250            < 500       1.4 × 10-5

    1-naphthol                     2590          > 500            < 1000      > 1 × 10-3
                                                                                           

    * median of 13 assays over 16 years
    
    Groups of five male and five female rate wore given 1-naphthyl
    N-hydroxymethylcarbamate in daily doses of 0, 62.5, 125, 250 or 500
    mg/kg body-weight. The compound was added to the diet and fed for
    three months. There were no effects of the metabolite on mortality,
    appetite, growth, relative liver or kidney-weight or on plasma,
    erythrocyte and brain cholinesterase activity at 125 mg/kg. Of these
    criteria only relative liver-weight was increased at 250 mg/kg.
    Body-weight and plasma cholinesterase were decreased at 500 mg/kg.

    Liver degeneration with signs of regeneration was seen in most of the
    rats at 250 and 500, but only in one of 10 rats at 125 mg/kg (Weil,
    1969d).

    Acute toxicity
                                                                                              
    Animal      Route         Vehicle            LD50
                                                 mg/kg
                                               body-weight       Reference
                                                                                          

    Mouse       oral      sunflower oil          438             Rybakova, 1966

    Mouse       oral            -                650             Coulston, 1966

    Mouse       i.p.      dimethylsulfoxide       29             Balba and Casida, 1968

    Rat         i.v.      propylene glycol        18             Carpenter et al., 1961

    Rat         i.v.      PEG 400                 24             Carpenter et al., 1961

    Rat         i.v.      ethyl alcohol           33             Carpenter et al., 1961

    Rat         i.v.            -                 42             Wilhelm and Vandekar, 1966

    Rat         i.p.            -                200             Wilhelm and Vandekar, 1966

    Rat         oral      0.25% agar             510             Carpenter et al., 1961

    Rat         oral      sunflower oil          515             Rybakova, 1966

    Rat         oral            -                approx. 600     Coulston, 1966

    Guinea-pig  oral            -                280             Carpenter et al., 1961

    Rabbit      oral            -                710             Carpenter et al., 1961

    Rabbit      i.p.            -                223             Carpenter et al., 1961

    Dog         oral            -                < 500           Coulston, 1966

    Monkey      oral            -                > 1000          Coulston, 1966
                                                                                          
    
    Short-term studies

    Dog

    In a one-year feeding study in dogs at dose levels of 0.45, 1.8, and
    7.2 mg/kg body-weight (equivalent to 25, 100 and 400 ppm in the diet)
    no significant adverse effects were reported. However, diffuse cloudy

    swelling was observed in the proximal tubular epithelium of the kidney
    at the 7.2 mg/kg level (Weil and Palm, 1958).

    Monkey

    Kidney alterations similar to those found in rats were also observed
    in monkeys given doses of 150, 300, and 600 mg/kg orally over a
    38-week period (Coulston, 1967).

    Rat

    When high doses of carbaryl were given to the rat by oral intubation
    (75, 150, and 300 mg/kg body-weight) for three months, cytoplasmic
    vacuolation was observed in the proximal tubules (Coulston, 1967).

    Long-term studies

    Rat

    Similar kidney changes to those found in the one-year dog study were
    observed in the rat in a two-year study in which dietary levels of 50,
    100, 200 and 400 ppm were given. The kidney changes (cloudy swelling)
    were again observed primarily in the high dose group (Carpenter et
    al., 1961).

    OBSERVATIONS IN MAN

    In the 1967 evaluation of carbaryl (FAO/WHO, 1968) mention was made of
    a study wherein daily doses of 0.06 and 0 12 mg/kg body-weight/day
    were given to groups of five or six men for six weeks (Wills at al.,
    1967). At that time both levels were reported as being no effect
    levels. However, following more complete evaluation of the data, a
    decrease in the ratio of the concentration in urine of amino
    acid-nitrogen to that of creatinine was reported for the 0.12 mg/kg
    group. In the low dose group this ratio was similar to or below that
    of the placebo group throughout the six-week study (see Figures 1 and
    2). This increase in the ratio of urinary amino acid-nitrogen to
    creatinine was interpreted as a slight decrease in the ability of the
    proximal convoluted tubule to reabsorb amino acids. Consequently, the
    authors concluded that a daily dose of 0.12 mg/kg of carbaryl may not
    be a safe one (Wills et al., 1968).

    COMMENT

    Additional reports of effects on reproductive function in rats have
    appeared since the last evaluation of carbaryl. All the reports
    indicate that, under the experimental conditions employed there are
    adverse effects from carbaryl given in daily doses of 5 mg/kg
    body-weight or higher. In a rat study no significant effects were
    reported from a dose-level of 2 mg/kg given orally for one year. In
    all these studies carbaryl was administered by daily oral intubation
    and never as an added component of the diet. Similar studies, using

    carbaryl added to the diet, should be carried out, using the same
    parameters for assessing the effects.

    FIGURE 

    FIGURE 

    Further investigations of the teratogenic potential of carbaryl have
    been carried out using hamsters, guinea pigs, rabbits, sheep, dogs
    (two studies) and monkeys. Teratogenic effects were observed in dogs
    in the first study at all dosages except the lowest level tested
    (3.125 mg/kg). The second dog study was somewhat inconclusive but

    cannot be considered to negate the results of the first experiment,
    since defects were observed at 5 and 12.5 mg/kg, but not at 2 mg/kg.
    Because the dog metabolizes carbaryl differently than man, rat, and
    other species the relevance of these findings in the dog to the safety
    of carbaryl residues in food for man cannot be considered an important
    factor. Carbaryl exerts a possible abortive effect in monkeys but this
    work has not yet been completed.

    Studies in man, in which daily oral doses of 0.12 mg/kg were given for
    six weeks, have indicated an adverse effect upon the reabsorbing
    functions of the proximal tubules of the kidneys. A level of 0.06
    mg/kg was without effect in man. Cloudy swelling to vacuolation of the
    epithelium of the proximal tubule have been observed in rats, dogs,
    and monkeys.

    Recent studies have identified the major metabolites of carbaryl in
    plants. Acute oral LD50 and seven-day no-effect levels in rats have
    been determined and demonstrate that they possess lower toxicities
    than the parent compound.

    The studies on reproductive physiology suggests that the no-effect
    level in rats should be reduced. Because of the differing metabolism
    of carbaryl in the dog, it was decided not to use the no-effect level
    in this species as a basis for estimating the acceptable daily intake.

    The 2 mg/kg level in rats appears to have no significant toxicological
    effect but a dose level of 0.12 mg/kg may have some effect on
    kidney-function in man. For this reason, and because additional
    studies are essential on carbaryl, it was decided to given a temporary
    acceptable daily intake at a reduced level from that previously
    assigned.

    TOXICOLOGICAL EVALUATION

    Level causing no toxicological effect

    Rat: 2 mg/kg body-weight/day

    ESTIMATE OF TEMPORARY ACCEPTABLE DAILY INTAKE IN MAN

    0-0.01 mg/kg body-weight

    RESIDUES IN FOOD AND THEIR EVALUATION

    Studies on metabolites in plants

    Characterization of both the organo-soluble and water-soluble plant
    metabolites of carbaryl has been accomplished (Kuhr and Casida, 1967;
    Wiggins, 1969). The pathway is shown graphically in Figure 1. Studies
    with carbaryl labelled with carbon14 in the position of the
    naphthalene ring now confirm that approximately 10 percent of a
    carbaryl spray deposit penetrates into plant tissue, and at a
    relatively slow rate (Herrett and Bagley, 1965; Kuhr and Casida,

    1967). The surface residue is comprised mainly of carbaryl itself,
    even after aging under natural sunlight, indicating that
    photo-oxidation has a very minor influence on carbaryl residues
    (Wiggins, 1969).

    The metabolic pathway for carbaryl in plants is identical whether the
    compound in introduced by stem injection or applied to the leaf
    surface. Laboratory or field conditions do not affect or alter the
    metabolic course. Only after it gains entrance into the plant tissue
    does carbaryl undergo biotransformation to its primary metabolites,
    which are similar to the ones formed by animals. The major metabolites
    in decreasing order of quantitative importance are 1-naphthyl
    N-hydroxymethylcarbamate (or the methylol of carbaryl),
    7-hydroxycarbaryl and 4-hydroxycarbaryl; the minor ones,
    5-hydroxycarbaryl, 1-naphthol and 5,6-dihydro-5,6-dihydroxy-carbaryl.
    These hydroxylated metabolites, which are less toxic than carbaryl
    Itself, are conjugated by plants to form water-soluble glycosides. The
    formation of the primary metabolites appears to be the rate-limiting
    step and subsequent conjugation a rapid conversion, since the primary
    metabolites are not found free in plant tissue, (Dorough and Wiggins,
    1969; Kuhr and Casida, 1967; Wiggins, 1969).

    APPRAISAL

    Extensive new data show that the metabolic pathways of carbaryl are
    the same whether the pesticide is ingested into plants or applied by
    surface treatments. Data are available which showed that residues on
    fruit and vegetables ware greatly reduced (up to 75 percent) by home
    processing or canning.

    It was noted that the recommendations made at the 1967 and 1968 Joint
    Meetings were designed to accommodate the residues occurring at very
    short intervals of time, 0 to 5 days, between last application of
    pesticide and enforcement of the tolerance, the compound being one
    which may be used close to harvest.

    The meeting noted that preliminary studies with radio labelled
    compounds fed to dairy cattle have indicated water-soluble as well as
    lipid-soluble metabolites in milk and, as the total of such residues
    may well exceed the level recommended in 1968 as a tolerance for milk
    it was agreed to withdraw the recommendation and to re-consider it in
    1972.

    It was noted that the data on which the Joint Meeting had made its
    previous recommendations were based on work done mainly in the U.S.A.
    prior to 1966 and that it did not take into account the data, recently
    received from the Netherlands, on supervised trials with raspberries,
    peas and apples carried out between 1961 and 1963. New data from the
    U.S.A. on crops following registered uses of carbaryl were also
    considered.

    FIGURE 

    RECOMMENDATIONS FOR TOLERANCES, TEMPORARY TOLERANCES OR PRACTICAL 
    RESIDUE LIMITS

    In the light of the above considerations, it was decided to make
    recommendations based on practical periods between treatments and
    harvesting as follows:

    TEMPORARY TOLERANCES
                                                                                               
                          Pre-harvest use     Temporary tolerance
    Commodity             limit (days)                (ppm)            Comments
                                                                                           

    Apples                     14                      5

    Bananas (pulp)              3                      5

    Cane berries                7                     10
    (raspberries,
    blackberries,
    boysenberries,)

    Citrus                      5                      7

    Grapes                      3                      5

    Rice                       14                      2.5

    Stone fruit                1-3                    10

    Strawberries/
    blueberries                 1                      7

    Asparagus and okra          1                     10

    Beans and peas (pod)       1-3                     5

    Brassica                    3                      5

    Corn, sweet (kernels)       1                      1

    Cotton seed (whole)         0                      1

    Cucurbits                  1-3                     3

    Leaf vegetables            7-14                   10
    except brassica

    (continued)
                                                                                           
                          Pre-harvest use     Temporary tolerance
    Commodity             limit (days)                (ppm)            Comments
                                                                                           

    Nuts (whole)               -                      10   )
                                                           )           These figures are
    Nuts (shelled)             -                       1   )           amendments to those
                                                           )           made in 1968 and are
    Olives (fresh)             14                     10   )           based on new data.

    Olives (processed)         14                      1

    Potatoes                    0                      0.2

    Tomatoes, peppers,         0-1                     5
    egg plant

    Poultry (use against        7                      5               Calculated on the
    external parasites)                                                whole of the edible
                                                                       parts.

    Meat of cattle, goats
    and sheep                                          1

    Milk                                                               Recommendation made in
                                                                       1968 withdrawn.
                                                                                           
        These Temporary Tolerances will be subject to review in 1973.

    FURTHER WORK OR INFORMATION

    REQUIRED (before June 1973)

    1. Clarification of the effect upon reproductive physiology in several
       species of animal.

    2. Further studies to establish a no-effect level with respect to
       kidney dysfunction in animals and/or man.

    REFERENCES

    Balba, M.H. (1967) Synthesis of possible metabolites of
    methylcarbamate insecticide chemicals. Ph.D Thesis, University of
    California, Berkeley, Diss. Abstr. B28(7):2761 (1968); Univ.
    Microfilms Order No.68-28, 141 pages

    Balba, M.H. and Casida, J.E. (1968) Synthesis of possible metabolites
    of methylcarbamate insecticide chemicals. Hydroxyaryl and
    hydroxyalkylphenyl methylcarbamates J. Agr. Food Chem. 16:561-67

    Balba, M.H., Singer, M.S., Slade, M. and Casida, J.E. (1968) Synthesis
    of possible metabolites of methylcarbamate insecticide chemicals.
    Substituted-aryl N-hydroxy methylcarbamates. J. Agr. Food Chem.
    16:821-25

    Baron, R.C., Sphon, J.A., Chen, J.T., Lustig, E., Doherty, J.D.,
    Hansen, E.A. and Kolbye, S.M. (1969) Confirmatory isolation and
    identification of a metabolite of carbaryl in wine and milk. J. Agr.
    Food Chem. 17:883-87

    Carpenter, C.P., Weil, C.S., Palm, P.E., Woodside, M.H., Nair, J.H.,
    and Smyth, H.F. (1961) Mammalian toxicity of
    1-naphthyl-N-methylcarbamate (Sevin Insecticide). J. Agr. Food Chem.
    9:30-39

    Carpenter, C.P. (1969a) Carbaryl; data on plant metabolites.
    Unpublished report of the Mellon Institute submitted by Union Carbide
    Corporation

    Carpenter, C.P. (1969b) Carbaryl; data on Plant metabolites.
    Unpublished report of the Mellon Institute submitted by Union Carbide
    Corporation

    Coulston, F. (1966) Proceedings. Conference on non-human primate
    toxicology. Session 3. Qualitative and quantitative relationships
    between toxicity of drugs in man, lower mammals and non-human
    primates. F.D.A., Arlie House, Warrenton, Virginia, 12-14 June 1966,
    23 pages

    Coulston, F. (1967) Unpublished information on the toxicity of
    carbaryl to rats and monkeys. Institute of Experimental Pathology and
    Toxicology. Albany Medical College, Albany, N.Y.

    Coulston, F. (1969) Unpublished information on the effect of carbaryl
    upon reproduction in monkeys. Institute of Experimental Pathology and
    Toxicology, Albany Medical College, Albany, N.Y.

    Dorough, H.W. and Wiggins, O.G. (1969) Nature of the water soluble
    metabolites of carbaryl in bean plants and their fate on rats. J.
    Econ. Entnmol. 62:49-53

    FAO/WHO (1967b) Evaluation of some pesticide residues in food
    FAO/PL:CP/15: WHO/Food Add./67.32

    FAO/WHO (1968b) 1967 Evaluations of some pesticide residues in food
    FAO/PL:1967/M/11/1; WHO/Food Add./68.30

    Ghadiri, W. and Greenwood, D.A. (1966) Toxicity and biologic effects
    of malathion, Phosdrin, and Sevin in the chick embryo. Toxicol. appl.
    Pharmacol. 8:342

    Herrett, R.A. and Bagley, W.P. (1965) and metabolism of Sevin in
    plants. Unpublished report prepared and submitted by Union Carbide
    Corporation

    Imming, R.J., Shaffer, B.C. and Woodard, G. (1969) Sevin Safety
    evaluation by feeding to female beagles from day one of gestation
    through weaning of the offspring. Unpublished report of Woodard
    Research Corporation submitted by Union Carbide Corporation.

    Khera, K.S. (1966) Toxic and teratogenic effects of insecticides in
    duck and chick embryos Toxicol. appl. Pharmacol. 8:345

    Knaak, J.B. and Sullivan, L.J. (1967) Carbaryl - C14
    (1-naphthyl-N-methyl carbamate) Excretion and metabolism by the dog.
    Unpublished report of the Mellon Institute submitted by Union Carbide
    Corporation

    Knaak, J.B., Tallant, M.J., Kozbelt, S.J. and Sullivan, L.J. (1967)
    The metabolism of carbaryl in man, monkey, pig and sheep. Unpublished
    report of the Mellon Institute submitted by Union Carbide Corporation

    Knaak, J.B., Tallant, M.J., Kozbelt, S.J. and Sullivan, L.J. (1968)
    The Metabolism of carbaryl in man, monkey, pig and sheep. J. Agr.
    Fond Chem. 16:465-70

    Kuhr, R.J. and Casida, J.E. (1967) Persistent glycosides of metabolism
    of methylcarbamate insecticide chemicals formed by hydroxylation in
    bean plants. J. Agr. Food Chem. 15:814-24

    Marliac, J.P. (1964) Toxicity and teratogenic effects of 12 pesticides
    in the chick embryo Fed. Free. 23:105

    Olefir, A.I. and Vinogradova, V.K.E. (1968) Embryotoxic effects of the
    pesticides Sevin and cyram (Russian). Vroch. Delo. 11:103-06 (Chem.
    Abstr. 70:46402f, (1969)

    Orlova, N.V. and Zhalbe, E.P. (1968) Maximum permissible mounts of
    Sevin in food products  (Russian). Vop. Pitan. 27(6): 49-55 (Chem.
    Abstr. 70: 46402f., (1969)

    Panciera, R.J. (1967) Determination of teratogenic properties of
    orally administered 1-naphthyl-N-methylcarbamate in sheep. Unpublished
    report from the Department of Veterinary Pathology, Oklahoma State
    University, Stillwater submitted by Union Carbide Corporation

    Robens, J.P. (1969) Teratologic studies of carbaryl, diazinon, Norea,
    and thiram in small laboratory animals. Toxicol. appl. Pharmacol.
    15:152-163

    Rybakova, M.N. (1966) Toxic effect of Sevin on animals (Russian).
    Gig.Sanit, 31(9):42-47 

    Serrone, D. (1966) Unpublished information on the effect of carbaryl
    on liver microsomal enzymes. Institute of Experimental Pathology and
    Toxicolgy, Albany Medical College, Albany, N.Y.

    Shaffer, B.C. and Levy, A.C. (1968) Evaluation of the teratogenic
    potential of rabbits fed the compound from day 9 to day 16 of the
    gestation period. Unpublished report of Woodard Research Corporation
    submitted by Union Carbide Corporation

    Shtenberg, A.I. and Rybakova, M.N. (1968) Effect of carbaryl on the
    neuroendocrine system of rats. Food Cosmet. Toxicol. 6:461-467

    Smalley, H.E., Curtis, J.M. and Earl, F.L. (1968) Teratogenic action of
    carbaryl in beagle dogs. Toxicol. appl. Pharmacol. 13:392-403

    Vashakidze, Y.I. (1965) Effect of Sevin Intoxication on sexual
    function of experimental animals (Russian). Soobsch. Akad. Nauk. Gruz.
    SSR, 39(2):471-474[(Chem. Abstr. 64:2689h (1966)]

    Vashakidze, V.I. (1967) Mechanism of action of pesticides (granosan,
    Sevin, dinoc) on the reproductive cycle of experimental animals
    (Russian). Soobsch, Akad. Nauk. Gruz. SSR, 48(1):219-224[(Chem. Abstr.
    68:28750x, (1968)]

    Weil, C.S. and Palm, P.E. (1958) Chronic toxicity of Sevin for dogs.
    Unpublished report of Mellon Institute submitted by Union Carbide
    Corporation

    Weil, C.S. (1968) 4-Hydroxy Sevin and 5-Hydroxy Sevin; results of
    feeding in the diets of rats for 7 to 9 days. Unpublished report of
    the Mellon Institute submitted by Union Carbide Corporation

    Weil, C.S. (1969a) 1-Naphthyl N-hydroxymethylcarbamate; results of
    feeding in the diets of rats for one week. Unpublished report of the
    Mellon Institute submitted by Union Carbide Corporation

    Weil, C.S. (1969b) 4-Hydroxy-1-naphthyl N-methylcarbamate,
    5-hydroxy-1-naphthyl N-methyl carbamate, and 1-naphthyl
    N-hydroxymethyl carbamate; results of feeding in the diets of rats for
    one week. Unpublished report of the Mellon Institute submitted by
    Union Carbide Corporation

    Weil, C.S. (1969c) Alpha naphthol; results of feeding in the diets of
    rate for one week  Unpublished report of the Mellon Institute
    submitted by Union Carbide Corporation

    Weil, C.S. (1969d) 1-Naphthyl hydroxymethylcarbamate. Results of
    feeding in the diets of rats for three months. Unpublished report of
    the Mellon Institute submitted by Union Carbide Corporation

    Wiggins, O.G. (1969) Fate of Sevin applied to the surface of bean
    leaves under field conditions. Unpublished report prepared and
    submitted by Union Carbide Corporation

    Wilhelm, E. and Vandekar, M. (1966) Studies in the toxicology of
    N-Methylcarbarnates. 1. Comparative toxicity tests and estimation of
    persistence of inhibiters in the body. Proc. Int. Congr. Occ. Hlth.,
    Vienna, P. 517-20

    Wills, J.H., Jameson, E., Stein, A., Serrone, D. and Coulston, F.
    (1967) Toxicol. appl. Pharmacol 10:390

    Wills, J.H., Jameson, E., Coulston, F. (1968) Clin. Toxicol.,
    1(3):265-71
    


    See Also:
       Toxicological Abbreviations
       Carbaryl (EHC 153, 1994)
       Carbaryl (HSG 78, 1993)
       Carbaryl (ICSC)
       Carbaryl (PIM 147)
       Carbaryl (FAO Meeting Report PL/1965/10/1)
       Carbaryl (FAO/PL:CP/15)
       Carbaryl (FAO/PL:1967/M/11/1)
       Carbaryl (FAO/PL:1968/M/9/1)
       Carbaryl (AGP:1970/M/12/1)
       Carbaryl (WHO Pesticide Residues Series 3)
       Carbaryl (WHO Pesticide Residues Series 5)
       Carbaryl (Pesticide residues in food: 1976 evaluations)
       Carbaryl (Pesticide residues in food: 1977 evaluations)
       Carbaryl (Pesticide residues in food: 1979 evaluations)
       Carbaryl (Pesticide residues in food: 1984 evaluations)
       Carbaryl (Pesticide residues in food: 1996 evaluations Part II Toxicological)
       Carbaryl (JMPR Evaluations 2001 Part II Toxicological)
       Carbaryl (IARC Summary & Evaluation, Volume 12, 1976)