IPCS INCHEM Home

    CARBENDAZIM

    First draft prepared by
    M. Watson

    Pesticides Safety Directorate, Ministry of Agriculture, Fisheries and
    Food, Mallard House, Kings Pool, York, United Kingdom

    Explanation
    Evaluation for acceptable daily retake
         Biochemical aspects
              Absorption, distribution, and excretion
              Biotransformation
              Effects on enzymes and other biochemical parameters
         Toxicological studies
              Acute toxicity
              Short-term toxicity
              Long-term toxicity and carcinogenicity
              Reproductive toxicity
              Developmental toxicity
              Genotoxicity
              Special studies
                   Dermal and ocular irritation and dermal sensitization
                   Neurotoxicity
                   Hormonal effects and spermatogenesis
              Observations in humans
                   Medical surveillance of workers
                   Studies of volunteers
         Comments
         Toxicological evaluation
    References

    Explanation

         Carbendazim was previously evaluated toxicologically by the Joint
    Meeting in 1973, 1977, 1983, and 1985 (Annex I, references 20, 28, 40,
    and 44). In 1983, an ADI of 0-0.01 mg/kg bw was established on the
    basis of a review of data on the toxicity of carbendazim and benomyl
    and incorporating a higher-than-normal safety factor in view of the
    paucity of data on individual animals in many studies, This ADI was
    confirmed in 1985, when additional data were reviewed, but concern
    remained due to the absence of individual data.

         The compound was reviewed by the present Meeting within the CCPR
    periodic review programme, with particular attention to the recent WHO
    Environmental Health Criteria monograph on carbendazim (EHC 149). This
    monograph summarizes new data on carbendazim and data that were not
    previously reviewed and includes relevant data from the previous
    monographs.

    Evaluation for acceptable daily intake

    1.  Biochemical aspects

    (a)  Absorption, distribution, and excretion

         14C-Carbendazim administered by gavage to rats at 2 mg/kg bw
    per day for 10 consecutive days was cleared from the blood rapidly,
    and 59% of the radiolabel was excreted in the urine and 36% in the
    faeces. Elimination was biphasic, with a rapid rate during the first
    three days and a slower phase thereafter. Residues in the liver
    represented 0.3% of the administered dose seven days after the last
    administration and 0.08% after 14 days. The levels in blood and organs
    other than the liver (kidney, fat, muscle, and gonads) did not exceed
    (0.03% of the administered dose after seven days (Christ & Kellner,
    1973).

         After oral administration of 3 mg/kg bw 14C-carbendazim to
    rats, an average Cmax of 1.03 mg/ml was attained in blood within
    15-40 min. A dose 100 times higher resulted in a disproportionally
    lower Cmax of 16 mg/ml 0.4-4 h after treatment. Excretion occurred
    almost exclusively in the urine, irrespective of sex and dose; only
    about 1% of the administered dose was found in the faeces. Mice had a
    Cmax similar to that seen in rats after an oral dose of 3 mg/kg bw,
    but the Cmax at a dose of 300 mg/kg bw was higher than that in rats
    (36-53 mg/ml). Faecal excretion was higher in mice than in rats,
    representing 10-27% of the administered dose. Pretreatment with
    unlabelled carbendazim had no effect on the excretory pattern in
    either species. The excretory organs contained the highest tissue
    concentrations; those in the gonads were near or below the blood
    concentrations (Kellner & Eckert, 1983).

         These distribution patterns were confirmed in rats and mice by
    whole-body autoradiography after intravenous and oral administration
    of 3 mg/kg bw [2-14C]-carbendazim. The radioactivity was almost
    completely excreted within 24 h after treatment (Kellner, 1983).

         Male albino rats were given a single oral dose of 12 mg/kg bw
    14C-carbendazim as a solution in diethyl glycol-ethanol. Urinary
    excretion of 14C-carbendazim and two of its metabolites indicated
    that about 85% had been absorbed. Rats were also given a single dose
    of 12 mg/kg bw 14C-carbendazim as a solution in diethyl glycol-
    ethanol by intravenous injection. The highest concentrations of
    radiolabel were found in kidney and the lowest in blood; elimination
    followed the kinetics of a two-compartment model. By 12 h, only small
    quantities of radiolabel were present in blood, liver, and kidney
    (Krechniak & Klosowska, 1986).

         Three groups of five rats of each sex were given [phenyl(U)-
    14C]-carbendazim by gavage: one group received a single dose of
    50 mg/kg bw; the second received a single dose of 50 mg/kg bw after 14
    days of pretreatment with 50 mg/kg bw per day unlabelled carbendazim;
    and the third received a single dose of 1000 mg/kg bw labelled
    carbendazim. In all groups, > 98% of the recovered radiolabel had
    been excreted in the urine or faeces by the time of sacrifice 72 h
    after treatment Urinary excretion accounted for 62-66% of the dose in
    males and 54-62% of the dose in females at the low dose with or
    without pretreatment. In animals at the high dose, this pathway
    accounted for 41% of the dose; elimination in the faeces accounted for
    virtually all of the remaining radiolabel. There were no apparent
    differences between male and female rats with respect to the extent of
    absorption or the extent or rate of elimination of 14C-carbendazim
    equivalents within each dose group. The label remaining in tissues
    represented < 1% of the administered dose (Monson, 1990).

         Percutaneous absorption of carbendazim is negligible. In rats
    that were given 0.6 mg over 10% of the body surface, only about 0.2%
    of a radiolabelled dose was excreted in urine and faeces within 24 h.
    When 60 mg per rat were applied under similar conditions, only 0.03%
    was excreted (Dorn & Keller, 1980).

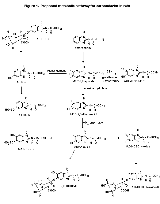
    (b)  Biotransformation

         In a study in which rats were treated by gavage with carbendazim
    (Monson, 1990), 5-HBC-S (see Figure 1) was identified as the main
    metabolite (21-43% of the dose), except in females at the high dose or
    receiving pretreatment (5.5-10%); in all groups of females, 5,6-HOBC-
    N-oxide was the predominant metabolite (10-19%). 5,6-DHBC-S and
    5,6-DHBC-G were identified as minor metabolites. The total recovery
    from faeces represented about 24% for males and 33-38% for females at
    the low dose and which had been pretreated and > 60% for males and
    females at the high dose. Unchanged carbendazim represented 10-15% of
    the administered dose in the faeces of rats at the high dose.

         NMRI mice and Wistar rats of each sex were given radiolabelled
    carbendazim by gavage as single doses of 3 and 300 mg/kg bw; they were
    then given repeated daily doses of unlabelled carbendazim for 28 days,
    followed by a single radiolabelled dose. Urine was collected during
    the first 6 h, after which time the animals were killed. Almost all
    the metabolites in urine were conjugated with sulfuric acid. Cleavage
    of these conjugates by ß-glucuronidase-arylsulfatase released 5-HBC as
    the only metabolite extractable from water. Mouse urine contained more
    compounds that remained polar after enzyme treatment than the urine of
    rats. There was no sex difference. The residual content of carbendazim
    in the liver was generally lower in rats that were pretreated with
    unlabelled carbendazim. The results are summarized in Table 1, which
    indicates that the detoxification capacity of mouse liver was
    saturated at the higher dose (Dorn  et al., 1983).

    CHEMICAL STRUCTURE 1

    Table 1.  Residual content of carbendazim in the livers of rats
                                                           

              Dosage                   Residual content (%)
                                                           
                                       Rat            Mouse
                                                           

              Single dose
                3 mg/kg bw             12             29
                300 mg/kg bw           18             26

              29-day repeated dose
                3 mg/kg bw             2              < 2
                300 mg/kg bw           4              28
                                                           


         In the study of Krechniak & Klosowska (1986), 94% of the measured
    radiolabel in urine 12 h after treatment was as 5-HBC, 3% as 2-AB, and
    3% as carbendazim.

         The proposed metabolic pathway for carbendazim in rats is given
    in Figure 1.

    (c)  Effects on enzymes and other biochemical parameters

         The effects of benomyl and carbendazim on hepatic enzymes were
    studied in male and female Sprague-Dawley rats and Swiss albino mice
    fed for 28 days with diets containing benomyl or carbendazim at a
    concentration of 0, 10, 30, 100, 300, 1000, or 3000 ppm. After
    sacrifice, liver weights were recorded and microsomal epoxide
    hydrolase and cytosolic glutathione- S-transferase were monitored in
    subcellular fractions isolated from the liver. The mean absolute liver
    weights were elevated in males and females fed 1000 or 3000 ppm
    carbendazim and in females fed 300 ppm; however, the only
    significantly increase was found in females fed 3000 ppm benomyl. No
    apparent liver toxicity or effect on body weight was observed. Both
    benomyl and carbendazim induced epoxide hydrolase in male and female
    rats and mice fed 1000 or 3000 ppm, and both induced glutathione- S-
    transferase at 3000 ppm. The level of induction seemed to be slightly
    greater in females than males. There was no substantial difference in
    enzyme induction between rats and mice (Guengerich, 1981).

         In the same study, but in a separate test, CD-1 male mice were
    treated by gavage with carbendazim suspended in 0, 100, or 1000 mg/kg
    bw per day corn oil for five days. After sacrifice, liver samples were
    homogenized, and subcellular fractions were prepared as described
    above. Wet liver weights and the activities of microsomal cytochrome
    P450, NADPH-cytochrome- creductase, styrene-7,8-hydrolase,

    benzphetamine- N-demethylase, benzo[ a]pyrene hydroxylase,
    7-ethoxycoumarin-deethylase, and cytosolic glutathione- S-transferase
    were measured. The activities of styrene-7,8-hydrolase and
    glutathione- S-transferase were statistically significantly increased
    over the control values; that of 7-ethoxycoumarin-deethylase was
    significantly decreased. It is noteworthy that the total microsomal
    cytochrome P450 level did not increase, indicating that carbendazim
    did not induce overall microsomal induction, even at the higher dose.
    The increase in styrene-7,8-hydrolase activity shows, however, that
    some hepatic microsomal enzymes are induced by carbendazim  in vivo.
    There appeared to be no substantial difference in enzyme induction
    between rats and mice (Guengerich, 1981).

         Groups of male Wistar rats and Swiss mice were given carbendazim
    in the diet at levels of 0-10 000 ppm for 60 days, and the induction
    of liver enzyme activities was examined and compared with that induced
    by phenobarbital sodium administered in the drinking-water. Growth and
    food consumption were decreased in rats at 10 000 ppm but not in mice
    given up to 5000 ppm in the diet. Relative liver weights were
    increased in rats fed 2000 or 10 000 ppm and in mice receiving 1000 or
    5000 ppm carbendazim. Phenobarbital had similar effects. The protein
    concentrations in total homogenates and post-mitochondrial fractions
    of liver from rats were not affected by carbendazim, whereas they were
    increased in mice at 5000 ppm. Feeding of carbendazim to rats at
    2000 ppm or more resulted in slight-to-moderate induction of several
    phase-I drug metabolizing enzymes: 7-ethoxycoumarin- O-deethylase,
    biphenyl-4-hydroxylase, aniline hydroxylase, 4-methoxybiphenyl- N-
    demethylase, and cytochrome- c-reductase. The activities of the
    phase-II drug metabolizing enzymes glucuronyl transferase I and II and
    the glutathione content were moderately-to-markedly increased at this
    dose. Feeding of carbendazim to mice at 1000 ppm or more resulted in
    moderate-to-marked increases in the activities of phase-I drug
    metabolizing enzymes, including cytochrome P-450 and aminopyrine- N-
    demethylase; cytochrome- c-reductase activity was decreased, and
    those of glucuronyl transferase and glutathione- S-transferase and
    glutathione content were slightly increased. There was no measureable
    difference between rats and mice with regard to the metabolism of
    carbendazim, although exhaustion of the detoxification mechanism was
    more evident in mice at high doses. The detoxification and elimination
    of carbendazim and its metabolites proceed more rapidly in rats than
    in mice, as reflected in the increased glutathione content of rat
    liver and the increased activity of phase-II enzymes (Falke  et al.,
    1982a,b).

    2.  Toxicological studies

    (a)  Acute toxicity

         The results of studies of acute toxicity are summarized in Table
    2. The clinical signs of toxicity after treatment with carbendazim
    were generally nonspecific. The acute toxicity of carbendazim in a
    number of species is low, LD50 values by various routes of
    administration ranging from > 2000 to > 15 000 mg/kg bw. Gross and
    histopathological changes were observed in the testes and epididymides
    of male rats given carbendazim orally at doses of 1000 mg/kg bw and
    more. The testes were small, soft, and discoloured, and more than 70%
    of the tubules showed degenerative changes. The sperm count in the
    epididymides examined was reduced or nil.

    (b)  Short-term toxicity

    Rats

         Groups of six male Sprague Dawley rats were given carbendazim by
    gavage at a dose of 0, 200, 3400, or 5000 mg/kg bw per day, five times
    per week for two weeks. Two rats at 3400 mg/kg bw per day died. At all
    doses, gross and microscopic evidence of adverse effects on testes and
    reduction or absence of sperm in the epididymides was seen. The testes
    were small and discoloured, with tubular degeneration and evidence of
    aspermatogenesis. At 3400 mg/kg bw per day, there were also
    morphological changes in the duodenum (oedema and focal necrosis),
    bone marrow (reduction in the blood-forming elements), and liver
    (decrease in large, globular-shaped vacuoles) (Sherman, 1965; Sherman
    & Krauss, 1966).

         Groups of 10 male Sprague-Dawley rats were given carbendazim by
    gavage at a dose of 0, 10, 20, 30, or 40 mg/kg bw per day for two
    weeks. At the high dose, liver weights were increased. There were no
    histopathological findings and no effects on spermatogenesis, on
    cellularity, or on the incidence of mitosis, as evidenced by tritiated
    thymidine incorporation 1 h before sacrifice (Hunter  et al., 1973a).

         Administration of 1350 ppm carbendazim to Sprague-Dawley rats for
    13 weeks resulted in hepatomegaly in animals of each sex, which was
    not accompanied by histopathological lesions and was reversible after
    six weeks. A dietary level of 450 ppm (equal to 35 mg/kg bw per day)
    was the NOAEL (Hunter  et al., 1973b).

         In a poorly reported study, groups of 10 male and 10 female
    litter-mate weanling Wistar rats were treated by gavage with 0, 16,
    32, or 64 mg/kg bw per day for 90 days. The erythrocyte counts in
    treated rats were lower than those of the controls after 15 days of
    exposure; however, no clear dose-response relationship was seen after
    30, 60, or 90 days of exposure. Leukocyte counts were decreased after

        Table 2.  Acute toxicity of carbendazim and carbendazim formulations
                                                                                                                 

    Test material            Species        Route               LD50 or LC50   Purity    Reference
                                                                (mg/kg bw or   (%)
                                                                mg/litre air)
                                                                                                                 

    Carbendazim              Mouse          Oral                > 15 000       NR        Til et al. (1981)
    Carbendazim              Rat            Oral                > 10 000       > 95      Goodman & Sherman (1975)
    Carbendazim              Rat            Oral                > 11 000       > 95      Sherman (1965)
    Carbendazim              Rat            Oral                > 15 000       > 95      Kramer & Weigand (1971)
    Carbendazim              Rat            Oral                > 17 000       NR        Sherman & Krauss (1966)
    Carbendazim              Guinea-pig     Oral                > 5 000        NR        Dashiell (1975)
    Carbendazim              Rabbit         Oral                > 8 000        NR        Zeller & Kirsch (1971)
    Carbendazim              Dog            Oral                > 5 000        NR        Scholz & Weigand (1972)
    Carbendazim              Mouse          Intraperitoneal     > 15 000       NR        Scholz & Weigand (1972)
    Carbendazim              Rat            Intraperitoneal     > 2 000        NR        Scholz & Weigand (1972)
    Carbendazim              Rat            Inhalation (1-h)    > 5.9          NR        Sarver (1975)
    Carbendazim              Rat            Dermal              > 2 000        NR        Kramer & Weigand (1971)
    Carbendazim              Rabbit         Dermal              > 10 000       NR        Edwards (1974a)
    '75% wettable powder'    Rat            Oral                > 5 000        NR        Hinckle (1981)
    '75% wettable powder'    Rat            Inhalation (4-h)    > 5            > 95      Nash & Ferenz (1982)
    '75% wettable powder'    Rabbit         Dermal              > 2 000        > 95      Ford (1982)
    '75% wettable powder'    Rat            Oral                > 5 000        NR        Grandizio & Saner (1987)
    '75% wettable powder'    Rabbit         dermal              > 2 000        > 95      Vick & Brock (1987)
                                                                                                                 

    NR, Not reported
        15 days, and after 30 and 60 days animals of each sex showed transient
    decreases in lymphocyte counts in comparison with controls, although
    no clear dose-response relationship was observed among the treated
    groups. No change was seen in the activity of whole-blood
    cholinesterase. Male rats had significantly increased alkaline
    phosphatase activity at a dose of 64 mg/kg bw per day, and blood urea
    levels were lowered in males at 32 and 64 mg/kg bw per day after 90
    days. Increased serum bilirubin concentrations were seen in males and
    females at 32 and 64 mg/kg bw per day; these were attributable to
    parenchymal cell damage, as indicated by increased alanine amino-
    transferase activity. Dose-related changes in the liver ranged from
    sparse infiltration by inflammatory cells to inflammatory and
    degenerative changes. Tubular dilatation and hydropic degeneration
    were noted in the kidneys of rats at the low dose, and fibrosis and
    congestion were seen in rats at the medium and high doses. Increased
    lung weights were correlated with bronchopneumonic changes. Slight
    changes in weights were reported for several other organs. In view of
    the lack of data on individual animals in this experiment and the
    apparent variability in the results, no NOAEL could be established
    (Janardhan  et al., 1987).

         Groups of 16 male and 16 female Sprague-Dawley rats were fed
    carbendazim (purity, 72%) in the diet for 90 days at 0, 100, 500, or
    2500 ppm (as carbendazim). The animals were observed daily for
    behavioural changes and body weight, and food consumption was recorded
    weekly. Haematological examinations were conducted on 10 male and 10
    female rats in each group at 30, 60, and 90 days. Routine urinalyses
    were performed on the same animals, and plasma alkaline phosphatase
    and alanine aminotransferase levels were determined. After 90-98 days
    of continuous feeding, 10 male and 10 female rats in each group were
    killed, and selected organs were weighed; these and other organs were
    also preserved for microscopic examination. The six male and six
    female rats remaining in each group after terminal sacrifice were used
    in a study of reproductive toxicity (see below). There were no
    clinical signs of toxicity and no compound-related effects on weight
    gain, food consumption, or haematological parameters. The relative
    liver weights in females fed 2500 ppm were slightly increased in
    comparison with control rats. Testicular weight was not affected in
    any group. Microscopic examination of selected tissues and organs in
    the control and high-dose groups showed no adverse effect attributable
    to carbendazim. The NOAEL in this study was 500 ppm, equivalent to
    50 mg/kg bw per day (Sherman, 1968).

    Rabbits

         Groups of six male New Zealand albino rabbits received 0 or
    2000 mg/kg bw carbendazim as a 50% aqueous paste on shaved intact
    dorsal skin repeatedly, for 6 h/day, for 10 consecutive days. There
    were no adverse effects on body weight, clinical symptoms, organ
    weights, gross pathology, or histopathology of selected organs;

    however, there was focal necrosis of the epidermis and polymorpho-
    nuclear cell infiltration of the dermis in five of six exposed
    rabbits. No other effects were observed (Dashiell, 1975).

    Dogs

         Groups of four male and four female one-year-old beagle dogs were
    given carbendazim (purity, 53%) in the diet for three, months at 0,
    100, 500, or 2500 ppm (as carbendazim); the highest level was
    subsequently reduced to 1500 ppm because of reduced food intake and
    body weight. Food consumption and body weight were recorded weekly,
    and clinical laboratory examinations, including haematological,
    biochemical, and urinary measurements, were performed periodically. At
    the end of the study, all animals were killed, selected organs were
    weighed, and these and other organs were subjected to gross and
    microscopic evaluations. No mortality or adverse clinical signs were
    observed over the course of the study, and growth and food consumption
    were normal, except in animals at 1500-2500 ppm. Urinalysis showed no
    change due to treatment, and there were no dose-related effects on
    haematological values. Females at the mid- and high doses showed a
    trend to increased cholesterol levels over the pre-test and control
    levels after one, two, and three months. The weights of the thymus
    were increased in males at the low and mid-doses, and those of the
    prostate at the mid-dose. Limited histopathological data did not
    indicate any compound-related effects. The data for the high-dose
    group were compromised by the change in dietary level, which involved
    a 'recovery' period during which the animals received control diet
    (Sherman, 1970).

         Groups of four male and four female beagle dogs were given
    carbendazim in the diet at 0, 100, 300, or 1000 ppm for 13 weeks. The
    highest level was increased to 2000 ppm after six weeks of treatment.
    Body weight, haematological, blood chemistry and urine measurements,
    and liver and kidney function tests were performed periodically. The
    animals were examined grossly and microscopically at the end of the
    study. There were no reported compound-related effects on clinical
    behaviour, body weight, food consumption, haematological parameters,
    kidney function (phenol red excretion) or liver function (brom-
    sulphthalein retention). Blood chemistry was normal, except for a
    slight decrease in albumin in males at the mid- and high doses at 12
    weeks. Urinalysis showed normal values, except for a high bacterial
    count in females at the high dose at week 13. The blood clotting time
    was slightly reduced in dogs at the high dose at week 12. There were
    slight increases in relative liver and thyroid weights and a decrease
    in relative heart weights in the group at the highest dose. No
    microscopic changes that could be associated with treatment were
    observed in these or other organs. The NOAEL was 300 ppm, equivalent
    to 7.5 mg/kg bw per day, on the basis of minor changes in clinical
    chemistry and organ weights (Til  et al., 1972).

         Groups of three male and three female beagle dogs were fed diets
    containing 0, 500, 1500, or 4500 ppm carbendazim for 13 weeks. Reduced
    body-weight gain, increased liver weight, hepatic periportal
    infiltration, and hepatic regeneration were seen at the high dose. No
    histopathological changes were seen in any other organs, including the
    testes. At 1500 ppm, liver weights were increased, but there were no
    histological lesions. The NOAEL was 500 ppm, equal to 12.5 mg/kg bw
    per day (Hoffman & Kirsch, 1987).

         Groups of five male and five female beagle dogs were fed diets
    containing 0, 100, 200, or 500 ppm carbendazim for one year. The dogs
    were weighed at regular intervals, and individual food consumption was
    monitored throughout the study; clinical pathology was evaluated
    periodically. After one year, all of the dogs were killed and selected
    tissues were examined microscopically. There were no statistical
    differences in mean body weight that could be attributed to treatment,
    and the mean daily food consumption of treated dogs was similar to
    that of controls. None of the clinical observations was attributable
    to carbendazim intake. Dogs fed 500 ppm had elevated levels of serum
    cholesterol, which were statistically significant for males at nine
    months and for females at one and two months. There were no
    microscopic lesions related to treatment. The NOAEL was 200 ppm,
    equivalent to 5 mg/kg bw per day (Stadler, 1986).

         Groups of four male and four female beagle dogs, one to two years
    of age, were given carbendazim (purity, 53%) in the diet at 0, 100,
    500, or 2500 ppm (as carbendazim) for two years. Food consumption and
    body weights were measured weekly, and animals were examined daily for
    clinical signs of toxicity. Haematological, biochemical, and urinary
    examinations were performed periodically throughout the study. After
    one year, one male and one female in the control and 500-ppm groups
    were killed. At the end of the study, the organs were weighed, and
    gross and histopathological examinations were performed. No mortality
    was reported among the controls or dogs at 100 or 500 ppm; however,
    three males at the high dose were sacrificed after 22 and 42 weeks
    because of poor nutrition. No females at the high dose died.
    Haematological and urinary values were unaffected by treatment. The
    dogs at 500 ppm had increased levels of cholesterol, blood urea
    nitrogen, total protein, and serum alanine aminotransferase. Swollen,
    vacuolated hepatic cells and marginal proliferation of the portal
    triads with cellular infiltration were observed in one dog that had
    been fed 500 ppm and was sacrificed after one year. The biochemical
    evidence of an effect on the liver was corroborated by the finding at
    terminal sacrifice of hepatic cirrhosis, swollen, vacuolated hepatic
    cells, and mild chronic hepatitis in dogs fed 500 ppm or more of
    carbendazim. There were no effects on organ weights. Diffuse
    testicular atrophy and aspermatogenesis were observed in two of four
    males at 100 ppm but not at higher doses. As similar effects were not

    seen at the other doses, these findings are considered not to be
    treatment-related. The NOAEL was 100 ppm, on the basis of the effects
    on the liver at 500 ppm, equivalent to 2.5 mg/kg bw per day (Sherman,
    1972).

         Groups of four male and four female beagle dogs, aged 22-27
    weeks, were fed carbendazim in the diet at 0, 150, 300, or 2000 ppm
    for 104 weeks. After 33 weeks, the dose of 2000 ppm was increased to
    5000 ppm. The dogs were examined daily for clinical signs of toxicity
    and altered behaviour; body weight and food consumption were recorded
    regularly throughout the study, and haematological examinations, blood
    chemistry (including liver and kidney function tests), and urinary
    measurements were conducted periodically. After 104 weeks, the dogs
    were sacrificed, and the tissues were reported to have been examined
    grossly and microscopically, although the available data indicate that
    the pathological examinations were inadequate. The only death was that
    of a female at the high dose which was killed in a moribund state
    after week 36. The body weights of males at the mid-dose and of males
    and females at the high dose were decreased. Food consumption was
    comparable in all groups. Blood clotting times were significantly
    reduced in males at the high dose from week 13 to term, and slight
    decreases were noted in females at the high dose. Serum alkaline
    phosphatase activity was increased at the high dose throughout the
    study, but there were no compound-related effects on serum alanine or
    aspartate aminotransferase activities. All other haematological
    parameters and blood chemistry were comparable with those of
    the controls. There were no differences among the groups in
    bromsulphthalein retention, phenol red excretion, or urinary values.
    Liver and thyroid weights were significantly increased in dogs at the
    high dose, but there were no microscopic changes in these organs that
    were related to treatment. An increased incidence of prostatitis was
    seen in high-dose males in comparison with controls (3/4 versus 1/4).
    One male at that dose also had interstitial mononuclear inflammatory
    cell infiltrates and atrophic tubules of the testes. Although feeding
    of carbendazim in the diet to dogs for two years apparently had no
    adverse effect at levels up to and including 300 ppm, the deficiencies
    in the reporting of the pathological data preclude determination of an
    NOAEL (Reuzel  et al., 1976).

    (c)  Long-term toxicity and carcinogenicity

    Mice

         Carbendazim was administered in the diet to groups of 100 male
    and 100 female specific pathogen-free Swiss mice at 0, 150, 300, or
    1000 ppm for 80 weeks. The highest dose was increased to 2000 ppm at
    week 4 and to 5000 ppm at week 8 for the remainder of the study.
    Animals were examined for behaviour and for clinical signs of
    toxicity, and body weights were measured throughout the study. All
    animals were examined grossly, liver and kidney weights were recorded,

    and tissues were examined microscopically. There were no compound-
    related effects on general condition, mortality, or body weight. At
    termination of the study, 70% of males and 80% of females were still
    alive. The relative liver weights of males and females at the high
    dose were significantly higher than those of controls, but kidney
    weights were unchanged. After peer review and reclassification of the
    data on hepatic tumour incidence, the combined incidence of
    hepatocellular adenomas and carcinomas was found to have increased
    with increasing doses in both males and females (Table 3). Males
    showed more pronounced induction of liver tumours and more frequent
    occurrence of hepatocellular carcinomas, which were often found
    simultaneously with hepatocellular adenomas, whereas females usually
    had only hepatocellular adenomas. It was concluded that carbendazim is
    oncogenic in this strain of mouse at a dietary level of 5000 ppm
    (Beems  et al., 1976; Mohr, 1977).

        Table 3.  Hepatic rumour incidence in Swiss mice fed carbendazim
                                                                                             

    Sex       Dietary level    No.of mice    Liver nodular    Hepatocellular   Hepatocellular
              (ppm)            examined      hyperplasia      adenoma          carcinoma
                                                                                             

    Male      0                  100              0                 9                1
              150                 94              8                 5                3
              300                 98             11                13                4
              100/5000           100             25                14                9

    Female    0                   94              0                 1                1
              150                 99              5                 1                0
              300                 98              3                 3                0
              1000/5000           95             11                 8                0
                                                                                             
    
         Groups of 80 male and 80 female CD-1 mice, aged six to seven
    weeks, were given carbendazim (purity, 99%) in the diet at 0, 500,
    1500, or 7500 ppm for two years. The highest dose was reduced to
    3750 ppm for the males after 66 weeks because of increased mortality
    (62 controls, 32 at 7500 ppm); females, however, received 7500 ppm
    throughout the study. Treatment affected mortality in male mice, and
    those at the high dose were sacrificed at week 73 because only 23 were
    still alive. Only nine males at 1500 ppm survived to week 104, whereas
    18 male controls were still alive at that time. Females had no similar
    increase in mortality. There were no dose-related effects on body
    weight or food consumption at any time, although the terminal body

    weights of males at the low and mid-doses were lower than those of the
    control and high-dose males. Clinical parameters were similar for all
    treated and control groups, and haematological measures were
    unaffected. Both absolute and relative thymic weights were
    significantly decreased in females at 500 and 1500 ppm, but not in the
    high-dose group. Absolute liver weights were increased in females at
    the high dose and relative liver weights in those at the two highest
    doses. The organ weights of male mice were variable, and only those of
    the kidney and thymus appeared to be decreased as a result of
    treatment. Absolute kidney and thymic weights were depressed in male
    mice at all doses, but relative kidney and thymic weights were
    significantly decreased only in males at the high dose. Histological
    examination revealed dose-related changes in the thymus (lymphoid
    depletion) and accumulation of yellow-brown pigment in the renal
    tubules of male mice at the mid- and high doses. These mice also had
    an increased frequency of sperm stasis in the testes and increased
    bilateral germinal cell atrophy; there was no trend for unilateral
    germinal cell atrophy, the incidence in controls being greater than or
    equal to that of treated males. These effects are therefore considered
    not to be compound-related. A significant hepatotoxic effect was seen
    in male mice at 1500 and 7500 ppm, as demonstrated by centrilobular
    hypertrophy, necrosis, and swelling. The frequency of hepatocellular
    adenomas was not increased, as they occurred at equal frequency in
    control and treated groups. There was a significant increase in the
    incidence of hepatocellular carcinomas, but only at 1500 ppm; however,
    too few males at the high dose survived to 17 months (510 days) to
    support the conclusion that there is no oncogenic effect at that dose.
    The combined incidence of hepatocellular carcinomas, hepatocellular
    adenomas, and hepatoblastomas (Table 4) was significantly increased
    (P < 0.05) in females at the low, mid-, and high doses and in males
    at the mid-dose, but this was not evaluated in high-dose males because
    of the high rate of mortality. The study thus shows statistically
    significant increases in the incidences of hepatocellular carcinoma
    for males at 1500 ppm and for females at all doses, the response being
    dose-related. A dose-response relationship could not be determined
    because of the high mortality in the high-dose males; the high
    mortality rate in male controls also hampered interpretation of
    results. No carcinogenic effect was observed in tissues other than the
    liver (Wood, 1982).

         Carbendazim was administered in the diet of groups of 100-120
    male and female NMRKf mice for 96 weeks at a dose of 0, 50, 150, 300,
    or 1000 ppm. The highest dose was increased to 2000 ppm at week 4 and
    to 5000 ppm at week 8 for the remainder of the study. Animals were
    examined for behaviour and general condition and for body weight, food
    and water consumption, and mortality. Gross necropsy was performed on
    all animals, liver and lung weights were recorded, and all organs and
    tissues were examined microscopically. An interim sacrifice was
    conducted of 20 males and 20 females in the control group and that at
    the highest dose at 18 months. There were no compound-related effects

    on behaviour, body-weight gain, food or water consumption, or
    mortality. By 22 months, 24-31% of the males and 37-52% of the females
    had died. As there was no difference between the treated and control
    groups, it was concluded that mortality was not influenced by the
    feeding of carbendazim. At 18 and 22 months, the absolute and relative
    liver weights of both male and female mice at 5000 ppm were increased.
    Macroscopic and microscopic examination of 20 male and 20 female
    animals killed after 18 months of receiving 5000 ppm carbendazim
    revealed compound-related effects on the liver: all animals had
    centrilobular hypertrophy, single-cell necrosis, mitotic cells, and
    pigmented Kupffer cells. The tissues of the remaining 100 males and
    100 females exposed to 5000 ppm, evaluated at 22 months, showed marked
    hypertrophy (greater than in animals treated for 18 months), clear-
    cell foci, mitosis, inclusion bodies in enlarged cell nuclei, multiple
    cell necrosis, and a greenish-yellow pigment in Kupffer cells.
    Neoplastic nodules (adenomas), carcinomas, fibrosarcomas, and other
    tumorigenic responses in the liver were equally distributed among the
    groups. Although haemangiomas of the liver were found in all treated
    groups but not in controls, no dose-related response was evident. Lung
    adenomatosis was equally distributed among the groups. The tumour
    incidence is summarized in Table 5. There was no effect on the
    incidence or time of onset of tumours, and the total number of benign
    and malignant tumours was comparable among the different groups of
    mice. Thus, there was no evidence that carbendazim administered in the
    diet of mice at doses up to and including 5000 ppm for 22 months had a
    carcinogenic effect. The NOAEL was thus 300 ppm, equal to 34 mg/kg bw
    per day (Donaubauer  et al., 1982).

    Rats

         Groups of 36 male and 36 female weanling Sprague-Dawley rats were
    given carbendazim (purity, 50-70%) in the diet for 104 weeks at 0,
    100, 500, 2500 (increased to 10 000 ppm after 20 weeks), or 5000 ppm
    (as carbendazim). Body weight and food consumption were recorded
    weekly for the first year and twice a month thereafter. Behavioural
    changes and mortality were observed daily. Haematological, urinary,
    and selected clinical chemical examinations were performed
    periodically. After one year, each group was reduced to 30 male and 30
    female rats by interim sacrifice for gross and microscopic
    examinations. At the end of the study, all surviving animals were
    sacrificed, and tissues and organs were examined grossly. Microscopic
    examinations were conducted on all tissues and organs from the
    controls and animals at 2500-10 000 ppm, the livers of animals at 100
    and 500 ppm, and the livers, kidneys, testes, and bone marrow of
    animals at 5000 ppm. Body-weight gain was depressed in males and
    females at 2500-10 000 ppm and in females at 5000 ppm in comparison
    with controls. Food consumption was similar in all groups. Reduced
    erythrocyte counts and haemoglobin and haematocrit values were seen in
    females at 2500-10 000 or 5000 ppm after 9-24 months and in males at
    2500-10 000 ppm after 24 months. There were no compound-related

        Table 4.  Hepatic tumour incidence in CD-1 mice fed carbendazim
                                                                                                     

    Sex       Dietary level    No. of mice   No. of mice alive    Median survival   Combined incidence
              (ppm)            examined      at termination       (weeks)           of hepatic tumours
                                                                                                     

    Male      0                    80              18                   79                 13
              500                  80              14                   72                 20
              1500                 80               9                   69                 23
              7500/3500            80              23                   64                 NA

    Female    0                    79              22                   91                  1
              500                  78              15                   91                  9
              1500                 80              13                   91                 21
              7500/3500            78              20                   91                 15
                                                                                                     

    NA, not analysed

    Table 5.  Hepatic tumour incidence in NMRK-f mice fed carbendazim
                                                                                                      

    Sex       Dietary level    No.of mice    Clear-cell    Basophilic     Hepatocellular   Liver
              (ppm)            examined      foci          loci           adenomas         haemangiomas
                                                                                                      

    Male      0                   97             0             0               3                0
              50                  99             0             0               2                2
              150                 99             0             1               0                3
              300                 95             0             0               0                2
              1000/5000           99             3             0               1                0

    Female    0                   98             0             0               0                0
              50                  98             0             1              00
              150                 95             0             0               0                0
              300                 95             0             0               1                2
              1000/5000           95             4             0               0                1
                                                                                                      
    
    clinical manifestations of toxicity and no effects on urinary
    parameters. Alkaline phosphatase and alanine aminotransferase
    activities varied throughout the study in animals at 2500-10 000 or
    5000 ppm, but there was no consistent dose-response relationship.
    Organ weights and organ-to-body weight ratios were unchanged, except
    for the livers of females at 2500-10 000 or 5000 ppm, but the increase
    in the liver-to-body weight ratio was due to a reduction in body
    weight. Histopathological examination of the livers showed no
    compound-related effects. Males at 2500-10 000 ppm had a marginal
    increase in the frequency of diffuse testicular atrophy and
    prostatitis. The NOAEL was 500 ppm, equivalent to 15 mg/kg bw per day
    (Sherman, 1972).

         Groups of 60 male and 60 female Wistar rats were given
    carbendazim (purity, 99%) in the diet at 0, 150, 300, or 2000 ppm for
    two years. The dose of 2000 ppm was increased to 5000 ppm after one
    week and to 10 000 ppm after two weeks for the remainder of the study.
    Animals were examined daily for clinical signs of toxicity. Body
    weight and food consumption were measured regularly throughout the
    study. Haematological measurements (peripheral blood), blood chemistry
    (orbital sinus), and urinalysis were conducted periodically. All
    animals were subjected to complete gross necropsy, and selected organs
    were weighed. Tissues from 20 male and 20 female rats in the control
    and high-dose groups were examined microscopically, and all tumours
    and gross abnormalities were examined histologically. No differences
    in clinical signs of toxicity or food consumption were seen between
    test groups and control animals. Body weights were significantly
    reduced in low-dose males from week 88 to term and in high-dose
    females from week 12 to term. The results of urinalyses were
    comparable among the groups. The haemoglobin level was depressed in
    high-dose females a t weeks 26, 52, and 103, and the haematocrit was
    depressed in high-dose females at week 103. There were no compound-
    related effects in males. Serum aspartate aminotransferase activity
    was decreased in high-dose males at termination of the study, but
    not in females; high-dose females had increased serum alanine
    aminotransferase activity and decreased total serum protein. The only
    compound-related effects on organ weights were increased relative
    liver weights in high-dose females. There were no compound-related
    effects on mortality, and survival at termination of the study was
    similar in all groups. There were no histological differences between
    control and treated groups, except for an increased incidence of
    diffuse proliferation of parafollicular cells of the thyroid in the
    high-dose females. The number of tumour-bearing animals and the total
    number of tumours were comparable among all groups, and no compound-
    related oncogenic effects were reported. The NOAEL was 300 ppm,
    equivalent to 15 mg/kg bw per day, on the basis of changes in organ
    weights and minor biochemical changes (Til  et al., 1976a).

    (d)  Reproductive toxicity

         Groups of six male and six female rats were removed from a 90-day
    study in which they were fed dietary levels of 0, 100, 500, or
    2500 ppm carbendazim. Each female was exposed to three males from the
    same dose group to produce the F1a generation; each litter was
    reduced to 10 pups on the fourth day after birth. The F0 animals were
    mated again after about one week to produce the F1b litter.
    Reproduction indices and status at birth and on days 4, 12, and 21
    were recorded, as were body weights at weaning. The data were
    extremely limited and were available only for groups. At 100 ppm,
    neither the F1a nor the F1b animals became pregnant. There were no
    apparent effects on reproduction indices or weanling weights, but the
    fertility indexes for all groups, which were only 33-67%, prevented
    meaningful interpretation of the data (Sherman, 1968).

         Groups of three male and 16 female Sprague-Dawley rats were fed
    carbendazim in the diet at 0, 100, 500, 5000, or 10 000 ppm
    (20 females at the highest dose) and mated in a standard study of two
    litters per generation for three generations. The parental animals
    were fed the experimental diet at 21 days of age and mated to produce
    the F1 litter at 100 days of age; the numbers of matings,
    pregnancies, and young were recorded for each litter at birth. The
    litters were culled to 10 pups on day 4. The number of live pups was
    again recorded on days 4, 12, and 21, as was pup weight at weaning.
    The parents were mated again to produce F1b litters, which were
    maintained on the respective diets for 110 days and then mated to
    produce the F2a and F2blitters; F3a and F3b litters were
    produced similarly. Selected tissues and organs from two males and two
    females in each of five F3b litters from the controls and from
    the groups fed 5000 and 10 000 ppm were examined grossly and
    histopathologically. Reproduction indices, including mating,
    fecundity, fertility, gestation, viability, and lactation, were
    calculated and compared with control values. Carbendazim had no effect
    on fertility, gestation, viability, or lactation, but the average
    litter weights at weaning were reduced in all generations fed 5000 and
    10 000 ppm. Histopathological examination of F3b weanlings did not
    reveal any effects that were considered to be compound-related
    (Sherman, 1972).

         Carbendazim was administered to groups of 10 male and 20 female
    Wistar rats at a dietary level of 0, 150, 300, or 2000 ppm for three
    generations, and two successive litters were reared from each female
    General condition and behaviour were routinely observed, and
    individual body weights were recorded throughout the study. The
    numbers of pups in each litter were recorded, and each litter was
    culled to eight on day 1. The total weight of each litter was measured
    on days 1, 10, and 20. The F1a and F2a litters were discarded at
    weaning and the F1b and F2b litters were used to produce
    succeeding generations. The F3a offspring were used to study

    teratogenicity, while the F3b offspring w ere used in a four-week
    evaluation of toxicity. Neither health nor body-weight gain was
    affected, but all generations of the treated groups weighed
    significantly more than controls. The compound had no effect on
    fertility or on survival at birth, at day 10, or at day 20. Litter
    size was not affected by treatment, except for a marginal decrease in
    F2a litters at all doses. There were no differences in the F2a
    litters at 300 and 2000 ppm, but litter size was decreased and
    mortality at birth increased at 150 ppm. Birth weight during the
    lactation period was comparable in all groups. There were no gross
    abnormalities related to treatment. Autopsy of rats in the four-week
    study showed increased relative liver weights and decreased relative
    spleen weights in females fed 2000 ppm; relative ovarian weights were
    also significantly decreased in all dose groups. Histopathological
    examination of the livers showed no compound-related change;
    histopathological results were not presented for other organs. No
    maternal or fetal toxicity was evident, and there were no differences
    in visceral anomalies in animals at 0 or 2000 ppm (the only groups
    examined). Thoracic vertebral bodies were reduced at 2000 ppm, and
    there was a significant reduction in cervical vertebral bodies at
    2000 ppm. Controls, however, had more significant changes with regard
    to absent or delayed ossification of skeletal structures. There were
    no apparent adverse effects on reproduction and no teratogenic effects
    at dietary levels of carbendazim up to and including 2000 ppm,
    equivalent to about 120 mg/kg bw per day (Koeter  et al., 1976).

         A serial breeding technique was used to evaluate the fertility of
    male Sprague-Dawley rats after exposure by gavage to 10 daily doses of
    400 mg/kg bw per day carbendazim. Males, 90 days old and proven to be
    fertile, were bred with a new female each week, starting on the third
    day of treatment and continuing for 32 weeks after the last day of
    treatment. Twelve days after each breeding period, the females were
    killed, their uteri were examined for resorptions, and the numbers of
    dead and viable fetuses were determined. All males were killed 35
    weeks after treatment, and testicular tissue was prepared for
    histopathological examination by vascular perfusion. The fertility of
    treated males (as indicated by the number of pregnant females) was
    depressed during the first week after treatment: 10 of the 24 treated
    males failed to induce a pregnancy, as compared with no failure in the
    control group. By the fifth week after treatment, 16 of the 24
    carbendazim-treated males were infertile. Of these, four recovered
    fertility after being infertile for 5-11 consecutive breeding periods,
    but the other 12 did not recover during the remainder of the 32-week
    period after treatment. Histological examinations of testicular
    sections of the latter animals 245 days after treatment revealed
    severe seminiferous tubular atrophy (> 85% of tubules were atrophic),
    often with epithelium containing only Sertoli cells, surrounded by a
    thickened basement membrane. The lumina of < 2% of the tubules

    contained spermatozoa. The seminiferous tubules of the treated males
    that recovered fertility had various contents of atrophic tubules
    (13-85%) 245 days after treatment (Carter  et al., 1987).

         Groups of 8-12 male and 8-12 female rats were given 0, 50, 100,
    200, or 400 mg/kg bw per day carbendazim by gavage from weaning
    through puberty, gestation, and lactation and were mated at 84 days of
    age. The male rats were killed on days 104-106 and the female rats on
    day 27  post partum. In a similar study, Syrian hamsters were given 0
    or 400 mg/kg bw per day carbendazim. Various landmarks of puberty were
    measured in the parental generation. In females, estrous cyclicity,
    litter size, the number of implants, organ weights, and histological
    status were assessed. In males, organ weights, testicular and
    epididymal sperm counts, sperm motility, sperm morphology, testicular
    histological status, and endocrine parameters were assessed. In
    addition, the growth, viability and reproductive function of the
    offspring (F1) were observed during a four-month period of
    continuous breeding. Males were killed after five months for
    histopathological investigation. Carbendazim did not alter pubertal
    development, growth, or viability in the parental generation of either
    species. The reproductive potential of rats treated with 200 or
    400 mg/kg bw per day was reduced due to effects on sperm production
    and fetal viability. These doses markedly altered sperm morphology,
    testicular and epididymal weights, sperm numbers, and testicular
    histology; fertility, sperm mobility, and hormonal levels were altered
    primarily in males with very low sperm counts. A statistically
    significant reduction in the caudal epididymal sperm count was noted
    at doses of 50 mg/kg bw per day or more. Testicular and epididymal
    sperm counts in male hamsters were significantly lower (about 21%) in
    treated than in control males. In F1 male hamsters, testis and
    seminal vesicle weights and epididymal sperm counts were significantly
    reduced by prenatal exposure to carbendazim at 400 mg/kg bw per day.
    Parental female rats exposed at this dose had post-implantation
    losses, and a few malformed pups were found in litters of animals at
    100 or 200 mg/kg per day. Litter size was significantly reduced at 200
    and 400 mg/kg bw per day. Overall, carbendazim was less toxic to
    hamsters than to rats (Gray  et al., 1988, 1990).

         Carbendazim was fed to groups of eight female Holtzmann rats by
    gavage at doses of 0, 25, 50, 100, 200, 400, or 1000 mg/kg bw per day
    during early pregnancy (days 1-8). A range of parameters, including
    the number of implantation sites, body-weight gain, uterine weight,
    implantation site size, and serum ovarian and pituitary hormones, was
    assessed after sacrifice on day 9. At doses up to 400 mg/kg bw per
    day, carbendazim had no significant effect on any of the measured
    parameters, but a trend towards increased resorptions was evident. The
    highest dose reduced maternal body-weight gain, implantation site
    size, and serum luteinizing hormone levels and increased serum
    estradiol (Cummings  et al., 1990).

    (e)  Developmental toxicity

    Rats

         Groups of 27-28 pregnant Sprague-Dawley rats were fed carbendazim
    (purity, 53%) in their diet at 0, 200, 500, 2500, 5000, 7500, or
    10 000 ppm on days 6-15 of gestation. On day 20 of gestation, all of
    the animals were sacrificed and the fetuses were delivered by
    caesarean section. The numbers and location of live and dead fetuses
    and resorption sites, body weights, crown-rump length, sex, and
    visible abnormalities were determined. Two-thirds of the fetuses were
    prepared for examination for skeletal abnormalities, and the remainder
    were examined for visceral and soft-tissue anomalies. There were no
    deaths, no adverse effects on body weight, and no clinical signs of
    toxicity. Food intake was reduced at the highest dose during the
    period the test diet was administered but returned to control levels
    from day 16 to 20. The numbers of implantation sites, resorption
    sites, and live and dead fetuses were not adversely affected. Although
    data on individual litters were not presented, carbendazim did not
    appear to be teratogenic when administered to rats at dietary levels
    up to and including 10 000 ppm during the critical period of
    organogenesis (Sherman, 1970).

         Groups of 18-22 pregnant Wistar specific pathogen-free rats were
    given carbendazim in the diet at doses of 0, 600, 2000, or 6000 ppm on
    days 6-15 of gestation. On day 21 of gestation, all of the rats were
    sacrificed and the pups delivered by caesarean section. Dams were
    weighed periodically during the test, and food consumption was
    measured for specific periods. The number of corpora lutea was
    determined, the ovaries were weighed, and the fetuses were weighed and
    examined. The numbers of implantation and resorption sites were
    recorded, and the empty uterine horns weighed. One-third of the
    fetuses were fixed and stained for skeletal examination, and the
    remaining two-thirds were examined for soft-tissue anomalies. Although
    23 females per group were mated, the pregnancy rate was variable, with
    18, 22, 20, and 18 pregnant rats in the groups receiving 0, 600, 2000,
    and 6000 ppm, respectively. The mean body-weight gain and food
    consumption of the high-dose females were significantly decreased in
    comparison with controls. The numbers of live and dead fetuses,
    implantation sites, embryonal resorptions, fetal resorptions, and
    corpora lutea per dam were comparable in all groups, and ovarian
    weights, the weights of the empty uteri, mean fetal weight per litter,
    the sex ratio, and pre- and post-implantation losses were not affected
    by treatment. No visceral anomalies were reported that were
    significantly different from those seen in controls. Misshapen and
    fused bones were much more frequent in the high-dose groups then in
    any other group, and the incidence of supernumerary ribs was
    significantly increased in high-dose females. Ossification was
    significantly delayed or absent in pups at the high dose, particularly
    in forelimbs, hindlimbs, sternebrae, and skull bones; ossification was

    also significantly delayed or absent in cervical vertebral bodies in
    all treated groups. It was concluded that carbendazim has no
    teratogenic potential when administered in the diet to rats at levels
    up to 6000 ppm, although ossification is reduced in a dose-related
    manner (Koeter, 1975a).

         Groups of 8-10 female Wistar rats were given carbendazim (purity,
    98%) by gavage at 0, 20, 40, or 80 mg/kg per day on days 6-15 of
    pregnancy. Half of each group of animals was killed on day 21 of
    gestation, and half was allowed to deliver normally. All sacrificed
    animals were scored for live and dead fetuses and for resorptions;
    live fetuses were killed and examined for abnormalities. After normal
    deliveries, neonatal deaths and survivors were counted, and survivors
    were weighed and examined for gross abnormalities. In rats sacrificed
    on day 21, dead and resorbed fetuses accounted for 29% of the
    conceptuses among controls, 48% at 20 mg/kg per day, 64%, at 40 mg/kg
    per day, and 73% at 80 mg/kg per day. There were no differences among
    the various groups with respect to mean weight of live fetuses, and
    there were no malformations. The average number of live pups per
    litter was close to eight in controls, six at 20 mg/kg per day, and
    about five at 40 and 80 mg/kg per day. Mean fetal weight was increased
    by about 13% over that of controls at the two highest doses. There
    were no stillbirths, neonatal deaths, or gross abnormalities, but
    mortality at 21 days  post partum was 3.0-3.5 times greater at the
    two highest doses than in controls (Janardhan  et al., 1984).

         Carbendazim was administered in a 0.5% aqueous suspension of
    carboxymethyl-cellulose by gavage to groups of 15-26 Sprague-Dawley
    rats on days 6-15 of gestation at daily doses of 10-3000 mg/kg bw per
    day. The lowest dose had no effect on dams or their offspring and was
    considered to be a no-effect lewd. At 30 mg/kg bw per day,
    fetotoxicity was evident: 42% of the fetuses in 19/21 litters had
    malformations affecting the head, spine, ribs, and sternum. At
    60 mg/kg bw per day, 2/23 animals aborted and 51% of the implantations
    in the remaining dams were dead. Malformations were seen in 90% of
    fetuses, and all litters were affected. At 100 mg/kg bw per day, 15
    pregnant animals produced only four live fetuses in three litters, all
    of which were malformed. At 300, 1000, and 3000 mg/kg bw per day,
    severe toxicity resulted in early resorptions only. The no-effect
    level of 10 mg/kg bw per day was confirmed in a further study
    specifically of fetotoxicity and hydrocephaly (Hoffman & Peh,
    1987a,b).

         Carbendazim was administered in a 0.5% aqueous suspension of
    carboxymethylcellulose by gavage to groups of 25 Sprague-Dawley rats
    on days 7-16 of gestation at doses of 0, 5, 10, 20, or 90 mg/kg bw per
    day. Maternal toxicity was seen only at the highest dose, in the form
    of depressed weight gain during treatment and before sacrifice on day
    22. The mean liver weights and liver-to-body weight ratios were
    increased. A decreased pregnancy rate was observed at the highest

    dose. An increase in the incidence of early resorptions per dam,
    decreased litter size, and total resorption of three litters occurred
    at the highest dose, but only the reduction in females per litter was
    significant. Significant reductions in mean fetal weight were observed
    at both 20 and 90 mg/kg bw per day, and a significant increase in the
    incidence of fetal malformations was seen at the highest dose. The
    malformations consisted primarily of hydrocephaly, microphthalmia,
    anophthalmia, malformed scapulae, and axial skeletal malformations
    (vertebral, rib, and sternebral fusions, exencephaly, hemivertebrae,
    and rib hyperplasia). The NOAEL was 20 mg/kg bw per day for the dams
    and 10 mg/kg bw per day for the fetuses (Alverez, 1987).

         Carbendazim (purity, 95%) was administered by gavage to female
    Holtzman rats at doses of 0, 100, 200, 400, or 600 mg/kg bw per day
    during days 1-8 of gestation, and the rats were sacrificed on day 11
    or 20. No maternal toxicity was seen at any dose. On day 11, the
    crown-rump length, head length, number of somites, and number of
    embryos per dam were significantly reduced in groups receiving
    200 mg/kg bw per day or more. Open posterior neuropores and limb
    anomalies were observed more frequently at doses > 200 mg/kg bw per
    day. On day 20, increased resorptions, decreased live litter size and
    fetal body weight, and delayed ossification were observed at all
    doses. Skeletal malformations seen at the high dose were attributed to
    treatment. The authors noted that developmental alterations occurred
    after termination of treatment, suggesting either that the anomalies
    represent delays in development or that the embryonic cells are
    vulnerable at earlier stages than was previously thought (Cummings
     et al., 1992).

    Rabbits

         Groups of 3-11 pregnant New Zealand albino rabbits were given
    carbendazim in the diet at 0, 600, 2000, or 6000 ppm on days 6-18 of
    gestation. On day 29 of gestation, all of the animals were sacrificed
    and the fetuses delivered by caesarean section. Does were weighed
    periodically, and food consumption was determined for specific
    periods. The number of corpora lutea was determined, the ovaries were
    weighed, and the fetuses were weighed and examined; the numbers of
    implantation sites and resorption sites were recorded, and the empty
    uteri weighed. One-half of fetuses were stained and sectioned for
    determination of skeletal anomalies, and the other half was examined
    for soft-tissue abnormalities. Only the fetuses in the high-dose and
    control groups were examined for visceral anomalies. Although 15
    females per group were artificially inseminated, the pregnancy rate
    was extremely variable, with nine in controls, eight at 600 ppm, three
    at 2000 ppm, and 11 at 6000 ppm. The mean body-weight gain was
    significantly decreased in the high-dose group, although food
    consumption did not vary among groups. The numbers of live and dead
    fetuses, implantation sites, embryonal resorptions, fetal resorptions,
    and corpora lutea per doe were comparable in all groups. The ovarian

    and uterine weights of animals at the high dose were depressed in
    comparison with control females; Pre- and post-implantation losses
    were not affected by treatment. The incidence of visceral anomalies
    appeared to differ between the high-dose and control groups, but too
    few litters and fetuses were examined to allow a conclusion. There
    were significantly increased numbers of supernumerary ribs (bilateral)
    and skull bones in the high-dose group. Ossification was significantly
    delayed or absent in fetuses in the high-dose group, most notably in
    the forelimb metacarpals and phalanges. There was also incomplete
    ossification of the sternebrae and skull bones, which was significant
    at 600 and 6000 ppm, and misshapen sternebrae were present at the
    highest dose. Although it can be concluded that carbendazim does not
    induce teratogenic effects when administered in the diet to rabbits at
    levels up to 6000 ppm, there were too few animals, litters, and
    fetuses at 2000 ppm to allow a useful evaluation of compound-related
    effects (Koeter, 1975b).

         Female albino rabbits were given 0, 40, 80, or 160 mg/kg bw per
    day carbendazim by gavage on days 6-18 of pregnancy and were
    sacrificed on day 31. All of the animals were scored for live and dead
    fetuses and for resorptions; live fetuses were killed and examined for
    abnormalities. There were no dead or resorbed fetuses in controls, but
    15% of all conceptuses were dead at 40 mg/kg bw per day, 21.7% at 80
    mg/kg bw per day, and 33.3% at 160 mg/kg bw per day. There were no
    differences among the various groups with respect to mean weight of
    live fetuses, and there were no malformations (Janardhan  et al.,
    1984).

         Suspensions of carbendazim in aqueous 0.5% carboxymethylcellulose
    were administered by gavage on days 7-19 of presumed gestation to
    groups of 20 artificially inseminated New Zealand white rabbits at
    doses of 0, 10, 20, or 125 mg/kg bw per day. The highest dose
    inhabited average maternal weight up to day 16 of gestation. The
    implantation rate was decreased at 20 and 125 mg/kg bw per day, and
    the incidence of resorptions was increased at 125 mg/kg bw per day,
    resulting in decreased live litter size at these doses. At the highest
    dose, decreased fetal body weight was seen, but the effect was not
    statistically significant. The average percentage of malformed fetuses
    per litter was significantly increased at 125 mg/kg bw per day.
    Compound-related malformations at the highest dose consisted of
    malformed cervical vertebrae and interrelated malformation of the ribs
    and proximate thoracic vertebrae. The NOAEL for maternal toxicity was
    20 mg/kg bw per day, and the NOAEL for developmental toxicity was
    10 mg/kg bw per day (Christian  et al., 1985).

    Hamsters

         Groups of 7-11 pregnant hamsters were treated orally on day 10 of
    gestation with 0, 15, 30, 75, or 150 mg/kg bw carbendazim A
    significant increase in malformations, including exencephaly, was

    observed at 75 and 150 mg/kg bw. These doses were also embryotoxic,
    producing 31 and 45% resorptions, respectively (Minta & Biernacki,
    1982).

    (f)  Genotoxicity

         Numerous studies have been conducted to assess the mutagenic
    potential of carbendazim. Many of the results are conflicting, and
    many of the reports do not provide sufficient detail to evaluate the
    reasons for the conflicting data. Since before the mid-1980s
    industrially produced carbendazim contained phenazine impurities, the
    use of carbendazim with different degrees of purity might account for
    some of the discrepancies. Table 6 summarizes those reports that
    included sufficient experimental detail and data.

         Carbendazim is not a heritable gene mutagen; it does not interact
    with cellular DNA, induce point mutations, or result in germ-cell
    mutations, as seen in both mammalian and nonmammalian systems  in
    vitro and  in vivo and in somatic and germ cells. Positive results
    have occasionally been obtained in tests for gene mutation, but they
    may have been associated with the presence of phenazines, which are
    mutagenic at very low concentrations in  Salmonella typhimurium in
    Ames' test and in mouse lymphoma LY5178Y  tk+/- cells.
    Concentrations of > 4 ppm diaminophenazine and 10 ppm aminohydroxy-
    phenazine were mutagenic in Ames' test. Process changes by some of the
    major manufacturers of carbendazim have removed the phenazine, and
    this contaminant is not present when other benzimidazoles, such as
    benomyl and thiophanate-methyl, are metabolized to carbendazim.
    Carbendazim does cause numerical chromosomal aberrations (aneuploidy
    and/or polyploidy) in experimental systems  in vitro and  in vivo.

    (g)  Special studies

    (i)  Dermal and ocular irritation and dermal sensitization

         A 75% wettable powder formulation induced slight, transient
    irritation when applied to the in tact and abraded skin of albino
    rabbits. A 55% suspension of the 75% wettable powder formulation in
    dimethyl phthalate induced mild irritation when applied to the intact,
    shaved skin of albino guinea-pigs, while a 5.5% concentration produced
    no irritation (Ford, 1981).

         The primary dermal irritation potential of Benlate C (50%
    wettable powder) was evaluated by applying a 5-g aliquot to the
    intact, clipped skin of six New Zealand white rabbits for 4 h. The
    test sites were evaluated for erythema, oedema, and other evidence of
    dermal effects and were scored according to the Draize scale 4, 24,
    48, and 72 h after application. No dermal irritation was seen at any
    time during the study (Vick & Brock, 1987).

        Table 6.  Results of tests for the genotoxicity of carbendazim
                                                                                                                                             

    End-point                     Test system                     Concentration            Results                Reference
                                                                  or dose
                                                                                                                                             

     Tests for gene mutation

    Reverse mutation              S. typhimurium TA98,            < 2500 µg/plate          Negative               Gericke (1977)
                                  TA100, TA1535, TA1537
    Reverse mutation              S. typhimurium TA100,           < 200 µg/plate           Negative               Fiscor et al. (1978)
                                  TA1530, TA1535, TA1950
    Reverse mutation              S. typhimurium TA1530,          < 100 µg/spot            Weakly positive        Fiscor et al. (1978)
                                  TA1950, G46 his-
    Reverse mutation              S. typhimurium TA100,           < 1000 µg/plate          Negative               Shirasu et al. (1977)
                                  TA1535, TA1537, TA1538,
                                  E. coli WP2 hcr
    Reverse mutation              S. typhimurium TA98,            < 300 µg/plate           Negative               Pandita (1988)
                                  TA100
    Reverse mutation              S. typhimurium TA97,            5000 µg/plate            Positive (only with    Albertini (1989)
                                  TA98, TA1537, TA1538                                     activation)
    Reverse mutation              S. typhimurium TA98,            < 10 000 µg/plate        Positive, TA1537,      Donovan (1982)
                                  TA100, TA1535, TA1537                                    TA98 (with
                                                                                           activation)
    Reverse mutation              S. typhimurium TA98,            < 10 000 µg/plate        Negative               Russell (1983)
                                  TA100, TA1535, TA1537
    Reverse mutation              S. typhimurium                                           Positive, only with    Arce (19844)
                                                                                           4 ppm DAP or
                                                                                           10 ppm AHP
    Reverse mutation              S. typhimurium TA98,            < 20 000 µg/plate        Negative               Russell (1977);
                                  TA100, TA1535, TA1537                                                           Donovan (1983)
    hprt mutation                 Chinese hamster ovary cells     < 654 µmol/litre         Negative               Waterer (1980)
    tk mutation                   L5178Y mouse lymphoma           < 250 µmol/litre         Positive (with         Jotz (1980)
                                  cells                                                    activation)
                                                                                                                                             

    Table 6.  (Con't)
                                                                                                                                             

    End-point                     Test system                     Concentration            Results                Reference
                                                                  or dose
                                                                                                                                             

     Tests for chromosomal effects

    Sister chromatid exchange     Chinese hamster ovary cells     < 40 µg/ml               Negative               Ivett (1984)
    Sister chromatid exchange     Human lymphocytes               < 30 µg/ml               Negative               Banduhn & Obe (1985)
    Sister chromatid exchange     Human lymphocytes               < 60 µg/ml               Marginally positive    Pandita (1988)
    Chromosomal gain              S. cereviriae                   < 0.1 µg/ml              Positive               Whittaker et al. (1990)
    Aneuploidy                    S. cereviriae                   < 5 µg/ml                Positive               Albertini (1991)
    Chromosomal aberrations       Human lymphocytes               < 10 µmol/litre          Not clastogenic but    Banduhn & Obe (1985)
                                                                                           induces micronuclei
    Chromosomal aberrations       Human lymphocytes               < 0.5 mg/ml              Negative               Lamb & Lilly (1980)

     DNA damage and repair

    Rec assay                     B. subtilis                     < 1000 µg/disc           Negative               Shirasu et al. (1977)
    Rec assay                     S. typhimurium TA1535,          < 2000 µg/plate          Negative               Rashid & Mumma
                                                                                                                  (1986)
                                  TA1538, E. coli K12,
                                  L. coli WP2
    Unscheduled DNA               Rat and mouse hepatocytes       < 12.5 µg/ml             Negative               Tong (1981a, b)
      synthesis
    Unscheduled DNA               Rat hepatocytes                 < 104 µg/ml              Negative               Litton Bionetics, Inc.
      synthesis                                                                                                   (1981)

     In vivo

    Holt-mediated assay, mice     S. typhimurium G46 his-                                   Negative               Fiscor et al. (1978)
    Host-mediated assay, mice     S. typhimurium G46 his-          4000 mg/kg bw            Negative               Shirasu et al. (1977)
    Gene mutation                 Mouse embryos treated in        < 300 mg/kg bw            Positive at            Fahrig & Seller (1979)
                                  utero by dosing mother          orally                    200 mg/kg bw
                                                                                                                                             

    Table 6.  (Con't)
                                                                                                                                             

    End-point                     Test system                     Concentration            Results                Reference
                                                                  or dose
                                                                                                                                             

     In vivo (con't)

    Chromosomal aberration        Rat bone marrow                 300 mg/kg bw             Negative               BASF AG (1975)
                                                                  orally
    Chromosomal aberration        Chinese hamster bone            1 000 mg/kg bw           Negative               Seiler (1976)
                                  marrow                          orally
    Chromosomal aberration        ICR mouse nucleated             2 × 1 000 mg/kg bw       Spindle effects        Seiler (1976)
                                  anaphase cells                  orally
    Micronucleus formation        Mouse                           500 mg/kg bw orally      Negative               Seiler (1976)
    Micronucleus formation        Mouse                           < 6000 mg/kg bw i.p.     Positive               Pandita (1988)

    Chromosomal aberration        Chinese hamster bone            < 1000 mg/kg bw i.p.     Negative               Pandita (1988)
                                  marrow
    Dominant lethal mutation      NMRI mice                       5 × 500 mg/kg bw         Negative               Hoechst AG (1974)
                                                                  per day i.p.; 5 × 300
                                                                  mg/kg bw per day orally
    Sex-linked recessive lethal   Drosophila melanogaster         0.5 mg/ml in dimethyl    Negative               Lamb & Lilley (1980)
      mutation                                                    sulfoxide
    Germ-line aneuploidy          Drosophila melanogaster         < 50 000 ppm             Negative               Osgood et al. (1991)
                                                                                                                                             
             Technical-grade carbendazim was not irritating to the eyes of
    albino rabbits. A 75% wettable powder formulation induced transient
    corneal opacity in six of six unwashed and two of three washed eyes.
    Microscopic examination confirmed the corneal opacity as mild to
    moderate. Conjunctival irritation (redness, swelling, discharge) was
    also transient. All eyes were normal after four days. The irritation
    response was probably related to the inert ingredients in the wettable
    powder formulation (Edwards, 1974b).

         A 50% wettable powder formulation produced slight corneal
    opacity, mild or moderate conjunctival redness, and slight or mild
    conjunctival oedema in six male New Zealand white rabbits. Three of
    the rabbits also had moderate iritis, and one had minimal blood-tinged
    discharge. Microscopic examination revealed no corneal injury in any
    of the treated eyes. The eyes of the other two rabbits were normal by
    72 h. It was concluded that this formulation is a moderate ocular
    irritant (Vick & Valentine, 1987).

         Ten male albino guinea-pigs exposed to technical-grade
    carbendazim or a 75% wettable powder formulation showed no dermal
    sensitization after intradermal injections or repeated applications to
    intact, shaved skin (Ford, 1981).

         A 50% carbendazim formulation was applied to the intact, shaved
    skin of 10 male and 10 female Dunkin Hartley albino guinea-pigs; five
    male and five female guinea-pigs treated with 80% ethanol in water
    served as vehicle controls; two male and two female guinea-pigs
    treated with solid test material at the challenge phase only served as
    negative controls; and two male and two female guinea-pigs treated
    with a 0.3% suspension of 1-chloro-2,4-dinitrobenzene in 80% ethanol
    in water served as positive controls. No irritation was observed in
    the treated or vehicle or negative controls, but 1-chloro-2,4-
    dinitrobenzene produced sensitization in all treated animals (Martin
     et al., 1987).

    (ii)  Neurotoxicity

         Groups of 10 white Leghorn hens receved carbendazim at doses of
    500, 2500, or 5000 mg/kg bw to test for delayed neurotoxic potential.
    Controls received the vehicle, corn oil, and the neurotoxin tri-
     ortho-tolyl phosphate. The hens were observed daily for mortality
    and clinical neurotoxicity for four weeks. Neurotoxic signs consisting
    of leg weakness, ataxia and/or 'goose-stepping' gait were observed in
    hens treated with tri- ortho-tolyl phosphate. Less severe, reversible
    signs, consisting of slight leg weakness and ataxia, were observed in
    hens treated with carbendazim at 5000 mg/kg bw, but no neurotoxic
    signs were observed in those treated at lower doses. Microscopic
    examination indicated no axonal degeneration or demyelination in
    carbendazim-treated birds (Goldenthal, 1978).

    (iii)  Hormonal effects and spermatogenesis

         Since spermatogenesis is an androgen-dependent process, the
    effects of carbendazim on the endocrine function of the rat testis
    were investigated by feeding 0-400 mg/kg bw per day by gavage for 85
    days and measuring the serum levels of pituitary luteinizing hormone,
    follicle-stimulating hormone, thyroid-stimulating hormone, and
    prolactin, and the levels of androgen-binding protein and testosterone
    in serum and in testicular interstitial and seminiferous tubule fluid.
    The function al capacity of Leydig cells to secrete testosterone
    was assessed  in vitro after challenge with human chorionic
    gonadotrophin. Doses of 50-100 mg/kg bw per day had no effect on
    pituitary or testicular hormone concentrations; 200 mg/kg bw per day
    increased the testosterone concentration in the seminiferous tubular
    fluid, without affecting serum testosterone or androgen-binding
    protein concentrations. The dose of 400 mg/kg bw per day resulted in
    increased concentrations of both substances in the interstitial and
    seminiferous tubular fluid and of serum androgen-binding protein.
    These hormonal changes indicate that carbendazim affects the gonads,
    resulting in testicular atrophy. Thus, the elevated seminiferous
    tubule fluid testosterone concentrations may be a result of two
    factors: (i) greater release of testosterone by the Leydig cells into
    the interstitial fluid and/or (ii) decreased testosterone outflow from
    the testis into the genera] circulation. The increased level of
    androgen-binding protein in the interstitial fluid reflects a change
    in its relative secretion into the interstitial fluid and seminiferous
    tubules (Rehnberg  et al., 1989).

         Since extragonadal changes may have contributed to the altered
    testicular endocrine profile described above, a further study focused
    on the presence of concurrent changes in the hypothalamic and
    pituitary control of the testis. Rats were given carbendazim at 50,
    100, 200, or 400 mg/kg bw per day by gavage for 85 days. Dose-related
    increases in serum follicle-stimulating and luteinizing hormone levels
    were noted, but the values for prolactin and thyroid-stimulating
    hormone remained unchanged. No significant difference in gonadotropin-
    releasing hormone concentration in the mediobasal hypothalamus was
    seen, although an increased level was found in the anterior
    hypothalamus at 50 mg/kg bw per day, followed by a dose-related
    decline (Gray  et al., 1988). These findings suggest that
    carbendazim-induced testicular damage is accompanied by compensatory
    changes in hypothalamic and pituitary regulation of the testis
    (Goldman  et al., 1989).

         These findings imply that carbendazim acts directly on the testis
    to induce a number of hormonal and pathological changes. Consistent
    with this hypothesis are the results of a study by Nakai  et al.
    (1992), in which the effects of carbendazim on the testes, efferent
    ductules, and spermatozoa were determined after a single oral dose to
    male Sprague-Dawley rats. In the first experiment, groups of 86-day-

    old rats were treated with 0 or 400 mg/kg bw carbendazim and killed 2,
    4, or 8 h later on the same day or 1, 4, 8, 16, or 32 days after
    treatment. The first effect of carbendazim was noted after 8 h as an
    increase in testicular weight; this continued to increase until day 4,
    but on days 16 and 32 the testicular weights were substantially lower
    than those of controls in five of 16 animals, indicating individual
    variation. A decrease in the percentage of sonication-resistant sperm
    heads per testis occurred at 8 h in four of eight rats, but the
    decrease was significant only after 24 h, when a mean decrease of 19%
    was observed; maximal decreases in total sperm head counts per testis
    were seen on day 8, after which some recovery was apparent. Epididymal
    weights were increased on day 4, but the percentage of morphologically
    normal sperm in the cauda epididymus was decreased at that time. By
    day 8, many spermatozoa heads were separated from their flagella, and
    10% of the heads were misshapen. Numerous sloughed, round germ cells
    and cytoplasmic testicular debris were also evident. No effect on the
    percentage of motile sperm was seen at 2, 4, or 8 h or one or four
    days after treatment. Sperm motility was significantly decreased on
    days 8 and 16, but because of clumping and degeneration of the
    spermatozoa, the percentage motility could not be determined.
    Similarly damaged sperm were seen in three of eight rats on day 32,
    but the percentage of motile sperm that could be measured was similar
    to that in controls.

         In a second experiment (Nakai  et al., 1992), groups of rats
    aged 97-105 days were given a single oral dose of 0, 50, 100, 200,
    400, or 800 mg/kg bw and were killed 2 or 70 days after treatment. On
    day 2, a dose-dependent increase in testicular weight was seen at
    doses of 100 mg/kg bw or more. This was accompanied by significant
    increases in mean seminiferous tubular diameter at 400 and 800 mg/kg
    bw. At 50 mg/kg bw, missing immature germ cells were noted, with round
    spermatids from stages I and II and elongated spermatids sloughed from
    stage VII epithelium. At 100 mg/kg bw, the disappearance of germ cells
    was more severe and sloughing of elongated spermatids extended into
    stages XII and XIV. At doses greater than 100 mg/kg bw, germ cells
    were missing at all stages except stages IX-XI, and at doses of
    400-800 mg/kg bw some seminiferous epithelia were damaged so severely
    that it was difficult to identify the stage. In addition, major
    pathological changes were seen in the efferent ducts of the testis. In
    animals treated with 100 mg/kg bw or more, the rete testis was
    swollen, with sloughed germ cells, indicating that ductal blockage had
    occurred further down the tract; 50% or more of the efferent ductules
    were occluded. The occlusions were characterized as compacted luminal
    contents, spermatic granulomas, mineralizations, and obliteration of
    the original lumen by fibrotic connective tissue. On day 70, mean
    testicular weight and mean seminiferous tubule diameter showed a
    dose-dependent decrease. Histologically, these decreases were
    associated with a dose-dependent increase in seminiferous tubular

    atrophy. The atrophied tubules contained primarily Sertoli cells and
    occasional spermatogonia and were surrounded by a thickened basement
    membrane. No atrophic tubules were seen in the control rats.

         Female hamsters were treated by gavage with a single dose of
    carbendazim around the fertilization period, at times selected to
    coincide with either of the two microtubule-dependent events initiated
    by the ovulatory surge of luteinizing hormone: oocyte maturation
    (first meiotic division, occurring late in vaginal proestrous) and
    fertilization (second meiotic division, occurring early in vaginal
    estrous). In the first experiment, groups of 10 hamsters received 0,
    250, 500, 750, or 1000 mg/kg bw carbendazim during melosis I, and
    pregnancy outcome was assessed on day 15. The percentage of pregnant
    hamsters was significantly reduced at 750 and 1000 mg/kg bw, and, in
    those animals that became pregnant, the average number of live pups
    was reduced at all doses. In the second experiment, groups of 10
    female hamsters were bred overnight and were given a single dose of 0
    or 1000 mg/kg bw during meiosis II the next morning. The percentage of
    pregnant hamsters was unaffected, but the average number of live pups
    (measured at 15 days) was reduced. Thus, administration of carbendazim
    at the time of microtubule-dependent meiotic events can result in
    early pregnancy loss in hamsters (Perreault  et al., 1992).

         Rats in pseudopregnancy induced by stimulation of the uterine
    cervix with a small brass rod in proestrous and estrous were given 0
    or 400 mg/kg bw per day carbendazim for eight days. A uterine decidual
    cell response was induced on day 4 of pseudopregnancy, and the animals
    were killed on day 9. This response, evaluated as a measure of uterine
    competency, was significantly lower in the treated rats than in the
    controls (Cummings  et al., 1990).

         Groups of 12 male C57Bl/6 x C3H/He F1 mice were given
    carbendazim at 0, 250, 500, or 1000 mg/kg bw per day by gavage for
    five consecutive days, and body weight, testicular weights, and sperm
    parameters were measured 7, 24, and 39 days after treatment. Body
    weight was unaffected; testicular weight was reduced only in the group
    at the highest dose after 7 and 24 days but had recovered by 39 days.
    Flow cytometry of testicular cells showed that the relative
    percentages of certain testicular populations (round, elongating, and
    elongated spermatids) in the group at the highest dose were different
    from those in controls 7 and 14 days after treatment (Evenson  et al,
    1987).

         Eight-week-old Wistar-derived male rats were fed 0, 10, 70, or
    500 ppm carbendazim in the diet for 182 days. Another group received
    500 ppm for 91 days and control diet for a further 91 days. Positive
    controls were treated with 0.5 mg/kg bw per day colchicine by gavage
    for 12 days. Every 13 days, 10 rats were killed and their testicular
    organs were examined by histological, morphometric, enzyme
    histochemical, and autoradiographic methods. Males were mated twice

    with untreated females on day 182 and were killed on day 208.
    Fertility parameters were not affected by treatment. Similarly,
    treatment did not affect testicular weight, the area of seminiferous
    tubules or interstitial tissue, or epididymal structures and enzyme
    activities; however, the incidence of 'degenerating' germ cells
    undergoing meiosis and spermatogenesis was increased at 70 and
    500 ppm, and a significant increase in the preleptonene spermatocyte
    nuclear area was seen in all treated groups. The biological
    significance of this finding is difficult to assess. The authors
    concluded that the effects seen at 70 ppm (equal to 3 mg/kg bw per
    day) indicate that carbendazim affects the physiological 'germinal
    elimination process'; however, an independent review of the findings
    raised methodological concerns which may preclude definitive analysis
    of the data (Hilscher  et al., 1992; Russell, 1992).

    3.  Observations in humans

    (a)  Medical surveillance of workers

         Selected blood profiles from 50 workers involved in the
    manufacture of benomyl and carbendazim were compared with those of a
    control group of 48 workers who were not exposed to these two
    fungicides. White blood cell count, red blood cell count, and
    haemoglobin and haematocrit values were comparable in the two groups.
    No quantitative estimates of exposure were given for the factory
    workers, and no female employees were included in the control group
    (Everhart, 1979).

         A study was performed to determine whether exposure to benomyl
    and carbendazim had an adverse effect on the fertility of 298 male
    manufacturing workers who were exposed to benomyl between 1970 and
    1977. The ages of the workers ranged from 19 to 64 years; 79% of the
    workers and 78% of their spouses were aged 20-39. The duration of
    exposure ranged from less than one month to 95 months, and more than
    51% of the workers had potentially been exposed for one to five
    months. The birth rates of the spouses of the exposed workers were
    compared with those of four populations in the same county, state,
    region, and country (USA). The birth rates of the study population
    were generally higher than those of the comparison populations,
    indicating no reduction in fertility. Spermatogenesis was not examined
    (Gooch, 1978).

    (b)  Studies of volunteers

         Urinary excretion of carbendazim was investigated after oral
    administration of 2 mg, application of 17 mg onto a skin area of
    100 cm2, or intravenous administration of 1 mg. Total excretion of
    5-HBC was proportional to the dose applied, and use of an occlusive
    dressing did not significantly increase dermal absorption (Meuling
     et al., 1993).

    Comments

         Carbendazim is readily absorbed by animals after oral exposure
    and rapidly metabolized. It is eliminated in the faeces and excreted
    in the urine. The tissue distribution showed no bioconcentration. In
    rats, 2-[(methoxycarbonyl)amino]-1 H-benzimidazol-5-yl hydrogen
    sulfate was identified as the main metabolite. The results of
    comparative studies in rats and mice indicate that the detoxification
    capacity of mouse liver may become saturated at high doses.
    Carbendazim is poorly absorbed via the dermal route in rats. Within 24
    h, only about 0.2% of a single dose of 0.6 mg was excreted in the
    urine and faeces.

         Carbendazim has low acute toxicity, with an oral LD50 in the
    rat of > 10 000 mg/kg bw. The clinical signs of toxicity after high
    single doses were generally nonspecific. Testicular degeneration has
    been observed after single oral doses of > 1000 mg/kg bw in rats.
    Wettable powder formulations containing carbendazim have been shown to
    be irritating to rabbit skin and eyes but did not induce dermal
    sensitization in Buehler-type tests. WHO has classified carbendazim as
    unlikely to present an acute hazard in normal use.

         In 90-day dietary studies in rats, increased liver weight was
    seen at 1350 ppm (the highest dose tested in one study), without any
    histological change. The overall NOAEL was 500 ppm, equivalent to
    50 mg/kg bw per day. In dogs treated by dietary administration for tip
    to two years at levels up to and including 4500 ppm, hepatotoxicity
    (increased liver weight, hepatic cirrhosis, swollen vacuolated
    hepatocytes, and chronic hepatitis) was seen at 500 ppm and above, and
    the NOAEL was 100 ppm, equivalent to 2.5 mg/kg bw per day.

         Two two-year studies were conducted in rats given dietary levels
    of 0, 100, 500, or 2500-10 000 ppm and 0,150, 300, or 2000-10 000 ppm.
    Carbendazim did not have carcinogenic potential, but some effects were
    seen at the highest doses tested. In one study there was some evidence
    of testicular atrophy, and in the other an increased incidence of
    diffuse proliferation of parafollicular cells in the thyroid was seen.
    In the latter study, evidence of mild hepatotoxicity was found in the
    absence of histopathological change. The NOAEL in both studies was
    equivalent to 15 mg/kg bw per day.

         Three carcinogenicity studies were performed in mice. In Swiss
    mice and CD-1 mice treated for 80 weeks and two years, respectively,
    at dietary levels up to 5000 or 7500 ppm, carbendazim increased the
    incidence of liver tumours. Because of the minimally increased
    incidence of proliferative lesions of the liver at 150 or 500 ppm in
    the diet (the lowest doses tested), it was not possible to establish
    no-effect levels in these studies. In NMRKf mice, which have a low
    spontaneous incidence of liver tumours, no carcinogenic effect was

    seen at dietary levels up to and including 5000 ppm (the highest level
    tested for 96 weeks), but hepatotoxicity was seen at this dose. The
    NOAEL was equal to 34 mg/kg bw per day.

         In a three-generation study of reproductive toxicity, rats were
    fed dietary levels of 0, 150, 300, or 2000 ppm. Carbendazim had no
    effect on reproduction or development at dietary levels up to and
    including 2000 ppm (equivalent to 120 mg/kg bw per day). Male
    fertility was depressed in rats given carbendazim by gavage at
    200 mg/kg bw per day for 85 days. A dose of 50 mg/kg bw per day (the
    lowest dose tested) caused a decrease in epididymal sperm counts.
    After a single oral dose to rats, disruption of spermatogenesis was
    seen at 100 mg/kg bw, but there was no effect at 50 mg/kg bw. The
    effect was associated with loss of germ cells resulting from
    inhibition of Sertoli-cell microtubules.

         Carbendazim was tested for developmental toxicity in rats at
    doses of 5-3000 mg/kg bw per day on days 6-15 of gestation. It was
    fetotoxic and teratogenic at 20 mg/kg bw per day and above, the main
    effects being microphthalmia and hydrocephaly. The NOAEL for
    fetotoxicity and teratogenicity was 10 mg/kg bw per day; maternal
    toxicity was observed at 90 mg/kg bw per day and above, and the NOAEL
    for maternal toxicity was 20 mg/kg bw per day. Rabbits were exposed to
    carbendazim by gavage at doses of 0, 10, 20, or 125 mg/kg bw per day
    on days 7-19 of gestation. Carbendazim was fetotoxic and teratogenic,
    the major effects being malformed vertebrate and ribs. The NOAELs in
    this species were 10 mg/kg bw per day for teratogenicity and
    fetotoxicity and 20 mg/kg bw per day for maternal toxicity.

         Carbendazim has been adequately tested for genotoxicity in a
    range of assays. The Meeting concluded that it does not directly
    damage genetic material but causes numerical chromosomal aberrations
    both  in vitro and  in vivo as a result of its interference with the
    mitotic spindle proteins.

         In an epidemiological study of workers exposed to carbendazim,
    there was no reduction in fertility, as indicated by the birth rates,
    among the study population. Spermatogenesis was not; examined.

         An ADI of 0-0.03 mg/kg bw was established on the basis of the
    no-effect level of 2.5 mg/kg bw per day in the two-year study in dogs
    and a safety factor of 100. The resultant ADI, when compared with the
    LOAELs in the studies with Swiss and CD-1 mice, provides an adequate
    level of safety.

    Toxicological evaluation

     Levels that cause no toxic effect

    Mouse:    300 ppm, equal to 34 mg/kg bw per day (96-week study of
              toxicity and carcinogenicity in NMRKf mice)

              < 150-500 ppm, equivalent to < 22-75 mg/kg bw per day
              (studies of toxicity and carcinogenicity in Swiss mice (80
              weeks) and CD-1 mice (two years)

    Rat:      300-500 ppm, equal to 15 mg/kg bw per day (toxicity in a
              two-year studies of toxicity and carcinogenicity)

              2000 ppm, equivalent to 120 mg/kg bw per day (study of
              reproductive toxicity)

              10 mg/kg bw per day (study of developmental toxicity)

              10 mg/kg bw per day (fetotoxicity in study of developmental
              toxicity)

              20 mg/kg bw per day (maternal toxicity in study of
              developmental toxicity)

    Rabbit:   10 mg/kg bw per day (study of developmental toxicity)

              10 mg/kg bw per day (fetotoxicity in study of developmental
              toxicity)

              20 mg/kg bw per day (maternal toxicity in study of
              teratogenicity)

    Dog:      100 ppm, equal to 2.5 mg/kg bw per day (two-year study of
              toxicity)

     Estimate of acceptable daily intake for humans

         0-0.03 mg/kg bw

     Studies that would provide information useful for continued
     evaluation of the compound 

         Further observations in humans

        Toxicological criteria for setting guidance values for dietary and non-dietary exposure to carbendazim
                                                                                                                       

    Exposure                      Relevant route, study type, species               Results/remarks
                                                                                                                       

    Short-term (1-7 days)         Oral, toxicity, rat                               LD50 > 10 000 mg/kg bw
                                  Dermal, toxicity, rat                             LD50 > 2000 mg/kg bw
                                  Dermal, irritation, rabbit                        50% wettable powder non-irritating
                                  Ocular, irritation, rabbit                        50% wettable powder irritating
                                  Dermal, sensitization, guinea-pig                 Non-sensitizing in Buehler test
                                  Inhalation, toxicity, rat                         LC50 > 5.9 mg/litre air

    Mid-term (1-26 weeks)         Oral, developmental toxicity, rat and rabbit      NOAEL = 10 mg/kg bw per day;
                                                                                    fetotoxicity and teratogenicity

    Long-term (> one year)        Dietary, toxicity, dog                            NOAEL = 2.5 mg/kg bw per day;
                                                                                    hepatotoxicity
                                                                                                                       
        References

    Arce, G.T. & Sarrif, A.M. (1984) Mutagenicity evaluation in
          Salmonella typhimurium. Unpublished report from DuPont Haskell
         Laboratory for Toxicology, Newark, Delaware, USA. Submitted to
         WHO by AgrEvo, Frankfurt, Germany.

    Albertini, S. (1989) Influence of different factors on the induction
         of chromosome malsegregation in  Saccharomyces cerevisiae D61.M
         by Bavistan and assessment of its genotoxic property in the Ames
         test and in  Saccharomyces cerevisiae DT.  Mutat. Res., 216,
         327-340.

    Albertini, S. (1991) Re-evaluation of file 9 compounds reported
         conclusive positive in yeast  Saccharomyces cerevisiae
         aneuploidy test systems by the Gene-Tox Program using strain
         D61 M of  Saccharomyces cerevisiae. Mutat. Res., 260, 165-180.

    Alverez, L. (1987) Teratogenicity study of INE-965 (carbendazim) in
         rats. Unpublished report from E.I. DuPont de Nemours and Co.,
         Haskell Laboratory, Newark, Delaware, USA.

    Banduhn, N. & Obe, G. (1985) Mutagenicity of methyl 2-benzimidazole
         carbamate, diethylstilbestrol and estradiol: Structural
         chromosomal aberrations, sister-chromatid exchanges, C-mitoses,
         polyploidies and micronuclei.  Mutat. Res., 156, 199-218.

    BASF AG (1975) Dominant lethal study in mice. Submitted to WHO by BASF
         AG, Ludwigshafen, Germany.

    Beems, R.B., Til, H.P. & van der Heijden, C.A. (1976) Carcinogenicity
         study with carbendazim (99% MBC) in mice. Unpublished report from
         Central Institute for Nutrition and Food Research (TNO), The
         Hague, Netherlands. Submitted to WHO by Hoechst AG, Frankfurt,
         and BASF AG, Ludwigshafen, Germany.

    Carter, S.D, Hess, R.A. & Laskey, J.W. (1987) The fungicide methyl
         2-benzimidazole carbamate causes infertility in male Sprague-
         Dawley rats.  Biol. Reprod., 37, 709-718.

    Christ, O. & Kellner, H.M. (1973) Animal tests with carbendazim.
         Unpublished report from Hoechst AG, Frankfurt, Germany.

    Christian, N.S., Hoberman, A.M. & Feussner, E.L. (1985) Developmental
         toxicity study of carbendazim administered via gavage to New
         Zealand white rabbits. Unpublished report from Argus Research
         Laboratories, Inc., Horsham, Pennsylvania, USA. Submitted to WHO
         by E.I. DuPont de Nemours and Co., Inc.

    Cummings, A.M., Harris, S.T. & Rehnberg, G.L. (1990) Effects of methyl
         benzimidazole carbamate during early pregnancy in the rat.
          Fundam. Appl. Toxicol., 15, 528-535.

    Cummings, A.M., Ebron-McCoy, M.T., Rogers, J.M., Barbee, B.D. &
         Harris, S.T. (1992) Developmental effects of methyl benzimid-
         azolccarbamate following exposure during early pregnancy.
          Fundam. Appl. Toxicol., 18, 288-293.

    Dashiell, O.L. (1975) Oral LD50 test in guinea pigs (Carbendazim).
         Unpublished report from E.I. DuPont de Nemours and Co., Inc.,
         Haskell Laboratory Newark, Delaware, USA.

    Donaubauer, H.H., Schuetz, E., Weigand, W. & Kramer, M. (1982)
         Repeated dose (24 month) feeding study, for determination of the
         carcinogenic effect of HOE 17411 OFAT204 (carbendazim) in mice.
         Unpublished report from Hoechst AG, Pharmaceuticals Research,
         Toxicology Section, Frankfurt, Germany.

    Donovan, S.D. (1982). Mutagenicity evaluation in  Salmonella
          typhimiurium. Unpublished report from E.I. DuPont de Nemours
         and Co., Inc., Haskell Laboratory, Newark, Delaware, USA.

    Donovan, S.D. (1983). Mutagenicity evaluation in  Salmonella
          typhimiurium. Unpublished report from E.I. DuPont de Nemours
         and Co., Inc., Haskell Laboratory, Newark, Delaware, USA.

    Dorn, E. & Keller, H.M. (1980) Carbendazim (60% wettable powder)
         absorption via the skin in rats. Unpublished report from Hoechst
         AG, Frankfurt, Germany.

    Dorn E., Schmidt E., Kellner H.M. & Leist K.H. (1983) HOE 017411-14-C
         (carbendazim-14C) metabolic fate in rats and mice, a
         comparison. Unpublished report from Hoechst AG, Frankfurt,
         Germany.

    Edwards, D.F. (1974a) Skin absorption LD50 (carbendazim).
         Unpublished report from E.I. DuPont de Nemours and Co., Inc.,
         Haskell Laboratory, Newark, Delaware, USA.

    Edwards, D.F. (1974b) Federal Hazardous Substances Act -- Eye
         irritation test in rabbits (carbendazim). Unpublished report from
         E.I. DuPont de Nemours and Co., Inc., Haskell Laboratory, Newark,
         Delaware, USA.

    Evenson, D.P., Janca, F.C. & Jost, L.K. (1987) Effects of the
         fungicide methyl-benzimidazol-2-yl carbamate (MBC) on mouse germ
         cells as determined by flow cytometry.  J. Toxicol. Environ.
          Health, 20, 387-399.

    Everhart, L.P. (1979) Benlate dust exposure survey. Unpublished report
         from E.I. DuPont de Nemours and Co., Inc., Wilmington, Delaware,
         USA.

    Fahrig, R & Seiler, J.P. (1979) Dose and effect of methyl-2-
         benzimidazolyl-carbamate in the 'mammalian spot test', an
          in vivo method for the detection of genetic alterations in
         somatic cells of mice.  Chem.-Biol. Interactions, 26, 115-120.

    Falke, H.E., Beems, R.B. & Spit, B. (1982a) Carbendazim -- technical
         grade (Code: HOE 17411 OF AT 204) 60-day enzyme induction study
         in mice. Unpublished report from TNO, Bilthoven, Netherlands.
         Submitted to WHO by AgrEvo, Frankfurt, Germany.

    Falke, H.E., Beems, R.B. & Spit, B. (1982b) Carbendazim -- technical
         grade (Code: HOE 17411 OF AT 204) 59-day enzyme induction study
         in rats. Unpublished report from TNO, Bilthoven, Netherlands.
         Submitted to WHO by AgrEvo, Frankfurt, Germany.

    Fiscor, G, Bordas, S. & Steward, S.J. (1978) Mutagenicity testing of
         benomyl, methyl-2-benzimidazole carbamate, streptozotocin and
          N-methyl- N'-nitro- N-nitrosoguanine in  Salmonella
          typhimurium in vitro and in rodent host-mediated assays.
          Mutat. Res., 51, 151-164.

    Ford, L.S. (1981) Primary skin irritation and sensitization on guinea
         pigs. Unpublished report from E.I. DuPont de Nemours and Co.,
         Inc., Haskell Laboratory, Newark, Delaware, USA.

    Ford, L.S. (1982) Acute skin absorption LD50 test on rabbits
         (carbendazim 75% wettable powder). Unpublished report from E.I.
         DuPont de Nemours and Co., Inc., Haskell Laboratory, Newark,
         Delaware, USA.

    Gericke, D. (1977) Test for mutagenicity in bacteria strains in the
         absence and presence of a liver preparation. Unpublished report
         from Laboratory for Cancer Research, Hoechst AG, Frankfurt,
         Germany.

    Goldenthal, E.I. (1978) Neurotoxicity in hens. Unpublished report from
         International Research and Development Corporation, Mattawan,
         Michigan, USA. Submitted to WHO by E.I. DuPont de Nemours and
         Co., Inc.

    Goldman, J.M., Rehnberg, G.L, Cooper, R.L., Gray, L.E. Jr, Vein, J.F.
         & McElroy, W.K. (1989) Effects of the benomyl metabolite,
         carbendazim, on the hypothalamic-pituitary reproductive axis in
         the male rat.  Toxicology, 57, 173-182.

    Gooch, J.J. (1978) Fertility of workers potentially exposed to
         benomyl. Unpublished report from E.I. DuPont de Nemours and Co.,
         Inc., Wilmington, Delaware, USA.

    Goodman, N.C. & Sherman, H. (1975) Oral LD50 tests (fasted male and
         female rats). Unpublished report from E.I. Du Pont de Nemours and
         Co., Inc., Haskell Laboratory, Newark, Delaware, USA.

    Grandizio, A.M. & Sarver, J.W. (1987) Acute oral toxicity study with
         INE-965-261 (Benlate C) in male and female rats. Unpublished
         report from E.I. DuPont de Nemours and Co., Inc., Haskell
         Laboratory, Newark, Delaware, USA.

    Gray L.E., Ostby, J., Sigmon, R., Ferrell, J., Rehnberg, G., Linder,
         R., Cooper, R., Goldman, J. & Laskey, J. (1988) The development
         of a protocol to assess reproductive effects of toxicants in the
         rat.  Reprod. Toxicol., 2, 281-287.

    Gray, L.E., Ostby, J., Linder, R., Goldman, J., Rehnberg, G. & Cooper,
         R. (1990) Carbendazim induced alterations of reproductive
         development and function in the rat and hamster.  Fundam Appl.
          Toxicol., 15, 281-297.

    Guengerich F.P. (1981) Enzyme induction with Du Pont compounds
         H11,201-02 and H10,962-02. Unpublished report from Vanderbilt
         University School of Medicine, Nashville, Tennessee, USA.
         Submitted to WHO by E.I. Du Pont de Nemours and Co., Inc.,
         Newark, Delaware, USA.

    Hilscher, W., Ohnesorge, H. & Muller, H. (1992) The effects of
         carbendazim on spermatogenesis. Unpublished report from Institut
         für Toxicologie, Heinrich-Heine-Universitat, Dusseldorf, Germany.
         Submitted to WHO by Hoechst AG, Frankfurt, Germany.

    Hinckle, L. (1981) Oral LD50 test in rats -- EPA proposed
         guidelines. Unpublished report from E.I. DuPont de Nemours and
         Co., Inc., Haskell Laboratory, Newark, Delaware, USA.

    Hoechst AG (1974) Mouse dominant lethal study on MBC. Unpublished
         report submitted to WHO by Hoechst AG, Frankfurt, Germany.

    Hoffman, H.T. & Kirsch, P. (1987) Report on the subchronic toxicity of
         methyl benzimidazole-2-carbamate in beagle dogs on oral
         administration. Unpublished report from Hoechst AG, Frankfurt,
         Germany.

    Hoffman, H.T. & Peh, J. (1987a) Report on the study to determine the
         prenatal toxicity of methyl benzimidazole-2-carbamate (MBC) in
         rats. Unpublished report from BASF AG, Ludwigshafen, Germany.

    Hoffman, H.T. & Peh, J. (1987b) Report on the study to determine the
         prenatal toxicity of methyl benzimidazole-2-carbamate (MBC) in
         rats. Unpublished report from BASF AG, Ludwigshafen, Germany.

    Hunter, B., Batham, P. & Newman, A.J. (1973a) Carbendazim oral
         toxicity to rats in oral administration for 2 weeks. Unpublished
         report from Huntingdon Research Centre, United Kingdom. Submitted
         to WHO by Hoechst AG, Frankfurt, Germany.

    Hunter, B., Benson, H.G., Street, A.E., Heywood, R. & Newman, A.J.
         (1973b) Carbendazim toxicity to rats during dietary
         administration for 13 weeks followed by a recovery period of 6
         weeks. Unpublished report from Huntingdon Research Centre, UNited
         Kingdom. Submitted to WHO by Hoechst AG, Frankfurt, Germany.

    Ivett, J.L. (1984) Mutagenicity evaluation of H#15,152 in an
          in vitro sister chromatid exchange assay in Chinese hamster
         ovary (CHO) cells. Unpublished report from Litton Bionetics,
         Inc., Kensington, Maryland, USA. Submitted to WHO by E.I. DuPont
         de Nemours and Co., Inc., Newark, Delaware, USA.

    Janardhan, A., Sattur, P.B. & Sisodia, P. (1984) Teratology of methyl
         benzimadazole carbamate in rats and rabbits.  Bull. Environ.
          Contam. Toxicol  33, 257-263.

    Janardhan, A., Rao, A.B. & Sisodia, P. (1987) Sub-chronic toxicity of
         methyl benzimidazole carbamate in rats.  Bull. Environ. Contam.
          Toxicol., 38, 890-898.

    Jotz, M.M. (1980) An evaluation of mutagenic potential of benomyl
         employing the L5178Y TK+/-mouse lymphoma assay. Unpublished
         report from SRI International, Menlo Park, California, USA,
         prepared for the US Environmental Protection Agency.

    Kellner, H.M. (1983) Carbendazim-(2-14C) whole body autoradiography
         studies of the distribution in rats and mice after oral and.
         intravenous administration. Unpublished report from Hoechst AG,
         Frankfurt, Germany.

    Kellner, H.M. & Eckert, H. (1983) Carbendazim-(2-14C) blood levels,
         distribution and excretion in rats and mice after oral
         administration. Unpublished report from Hoechst AG, Frankfurt,
         Germany.

    Koeter, H.B.W.M. (1975a) Effect of HOE 17411F (=BAS 3460F) on
         pregnancy of the rat Unpublished report from Central Institute
         for Nutrition and Food Research (TNO), The Hague, Netherlands.
         Submitted to WHO by Hoechst AG, Frankfurt, and BASF AG,
         Ludwigshafen, Germany.

    Koeter, H.B.W.M. (1975b) Effect of HOE 17411F (=BAS 3460F) on
         pregnancy of the New Zealand white rabbit. Unpublished report
         from Central Institute for Nutrition and Food Research (TNO), The
         Hague, Netherlands. Submitted to WHO by Hoechst AG, Frankfurt,
         and BASF AG, Ludwigshafen, Germany.

    Kramer, M. & Weigand, W. (1971) (HOE 17411 OF) Toxicological
         examination. Unpublished report from Hoechst AG, Pharmaceuticals
         Research, Toxicology Section, Frankfurt, Germany.

    Krechniak, J. & Klosowska, B. (1986) The fate of 14C-carbendazim in
         the rat.  Xenobiotica, 16, 809-815.

    Lamb, M.J. & Lilly, L.J. (1980) An investigation of some genetic
         toxicological effects of the fungicide benomyl.  Toxicology, 17,
         83-95.

    Litton Bionetics, Inc. (1981) Evaluation of HOE 17411 OF AT204 in the
         primary rat hepatocyte unscheduled DNA synthesis assay.
         Unpublished report from Litton Bionetics, Inc., Kensington,
         Maryland, USA. Submitted to WHO by Hoechst AG, Frankfurt,
         Germany.

    Martin, D.A., Henry, J.E. & Brock, W.J. (1987) Closed-patch repeated
         insult dermal sensitization study (Buehler method) with Benlate C
         fungicide in guinea-pigs. Unpublished report from E.I. DuPont de
         Nemours and Co., Inc., Haskell Laboratory, Newark, Delaware, USA.

    Meuling, W.J.A., Opdam, J.J.G. & DeKort, W.L.A.M. (1993) Dose-
         excretion study with the fungicide carbendazim in volunteers.
         Unpublished report from Central Institute for Nutrition and Food
         Research (TNO) The Hague, Netherlands. Submitted to WHO by
         Hoechst AG, Frankfurt, Germany.

    Minta, M. & Biernacki, B. (1982) Embryotoxicity of carbendazim in
         rats, rabbits and hamsters.  Bull. Vet. Inst. Pulawy, 2, 42-52.

    Mohr, U. (1977) Review of liver sections from mice and rats fed with
         carbendazim. Unpublished report from Department of Experimental
         Pathology, Medical School, Hanover, Germany. Submitted to WHO by
         Hoechst AG, Frankfurt, and BASF AG, Ludwigshafen, Germany.

    Monson K.D. (1990) Metabolism of [phenyl(U)-14C]carbendazim in rats.
         Unpublished report from E.I. Du Pont de Nemours and Co., Inc.
         Wilmington, Delaware, USA.

    Nakai, M., Hess, R.A., Moore, B.J., Guttroff, R.F., Strader, L.F. &
         Linder, R.E. (1992) Acute and long-term effects of a single dose
         of the fungicide carbendazim (methyl 2-benzimidazole carbamate)
         on the male reproductive system in the rat.  J. Androl., 13,
         507-518.

    Nash, S.D. & Ferenz, R. (1982) Inhalation median lethal concentration
         (LC50) in rats -- EPA protocol (carbendazim 75% wettable
         powder). Unpublished report from E.I. DuPont de Nemours and Co.,
         Inc., Haskell Laboratory, Newark, Delaware, USA.

    Osgood, C., Zimmering, S. & Mason, J.M. (1991) Aneuploidy in
         Drosophila. II: Further validation of the FIX and ZESTE genetic
         test systems employing female  Drosophila melanogaster. Mutat.
          Res., 259, 147-163.

    Pandita, T.K. (1988) Assessment of the mutagenic potential of a
         fungicide Bavistin using multiple assays.  Mutat. Res., 204,
         627-643.

    Perreault, S.D., Jeffay, S., Poss, P. & Laskey, J.W. (1992) Use of the
         fungicide carbendazim as a model compound to determine the impact
         of acute chemical exposure during oocyte maturation and
         fertilization on pregnancy outcome in the hamster.  Toxicol.
          Appl. Pharmacol., 114, 225-231.

    Rashid, M.A. & Mumma, R.O. (1986) Screening pesticides for their
         availability to damage bacterial DNA.  J. Environ. Health Sci.,
         B21, 319-334

    Rehnberg, G.L., Cooper, R.L., Goldman, J.M., Gray, L.E, Hein, J.F. &
         McElroy, W.K. (1989) Serum and testicular testosterone and
         androgen binding protein profiles following subchronic treatment
         with carbendazim.  Toxicol. Appl. Pharmacol., 101, 55-61.

    Reuzel, P.G.J., Hendriksen, C.F.M & Til, H.P (1976) Long-term
         (two-year) toxicity study with carbendazim in beagle dogs.
         Unpublished report from the Central Institute for Nutrition and
         Food Research for BASF. Submitted to WHO by E.I. DuPont de
         Nemours and Co., Wilmington, Delaware, USA.

    Russell, J.F. (1977) Mutagenicity evaluation of 2-benzimidazole
         carbamic acid, 5-hydroxymethyl in  Salmonella typhimurium.
         Unpublished report from E.I. DuPont de Nemours and Co., Inc.,
         Haskell Laboratory, Newark, Delaware, USA.

    Russell, J.F. (1983) Mutagenicity evaluation in  Salmonella
          typhimurium. Unpublished report from E.I. DuPont de Nemours and
         Co., Inc.. Haskell Laboratory, Newark, Delaware, USA.

    Russell, L.D.. (1992). Review of Prof. Hilscher's report «Effects of
         carbendazim on spermatogenesis». Unpublished report from
         University of Illinois, USA. Submitted to WHO by Hoechst AG,
         Germany.

    Sarver, J.W. (1975) Acute inhalation toxicity -- one hour head only,
         (carbendazim). Unpublished report from E.I. DuPont de Nemours,
         and Co., Inc., Haskell Laboratory, Newark, Delaware, USA.

    Scholz, J. & Weigand, W. (1972) Carbendazim (HOE 17411 OF, batch
         496/I). Toxicological examination. Unpublished report from
         Hoechst AG, Pharmaceuticals Research, Toxicology Section,
         Frankfurt, Germany.

    Seiler, J.P. (1976) The mutagenicity of benzimidazole and
         benzimidazole derivatives. VI. Cytogenetic effects of
         benzimidazole derivatives in the bone marrow of the mouse and
         the Chinese hamster.  Mutat. Res., 40, 339-348.

    Sherman, H. (1965) Acute oral test. Unpublished report from E.I. Du
         Pont de Nemours and Co., Inc., Haskell Laboratory, Newark,
         Delaware, USA.

    Sherman, H. (1968) Ninety-day feeding study in rats using a wettable
         powder formulation (70% MBC). Unpublished report from E.I. DuPont
         de Nemours and Co., Inc., Haskell Laboratory, Newark, Delaware,
         USA.

    Sherman, H. (1970) Three-month feeding study in dogs using a wettable
         powder formulation (50% MBC). Unpublished report from E.I DuPont
         de Nemours and Co., Inc., Haskell Laboratory, Newark, Delaware,
         USA.

    Sherman, H. (1972) Long-term feeding studies in rats and dogs with
         2-benzimadazole carbamic acid, methyl ester (INE-965) (50% and
         70% MBC wettable powder formulations). Unpublished report from
         E.I. DuPont de Nemours and Co., Inc., Haskell Laboratory, Newark,
         Delaware, USA.

    Sherman, H. and Krauss, W.C. (1966). Acute oral test (carbendazim).
         Unpublished report from E.I. Du Pont de Nemours and Co., Inc.,
         Haskell Laboratory, Newark, Delaware.

    Shirasu, Y., Morlya, M. & Kato, K. (1977) Mutagenicity testing on
         fungicide 1991 in microbial systems. Unpublished report from
         Kodaira Laboratories, Institute of Environmental Toxicology,
         Tokyo, Japan. Submitted to WHO by E.I. DuPont de Nemours and Co.,
         Inc.

    Stadler, J.C. (1986) One-year feeding study in dogs with carbendazim.
         Unpublished report from E.I. DuPont de Nemours and Co., Inc.,
         Haskell Laboratory, Newark, Delaware, USA.

    Til, H.P., van den Muelen, H.C, Feron, V.J., Seinen, W. & de Groot,
         A.P. (1972) Sub-chronic (90 day) toxicity study with W17411 in
         beagle dogs. Unpublished report from Central Institute for
         Nutrition and Food Research (TNO), The Hague, Netherlands.
         Submitted to WHO by Hoechst AG, Frankfurt, Germany.

    Til, H.P., Koellen, C. & van der Heijden, C.A. (1976a) Combined
         chronic toxicity and carcinogenicity study with carbendazim in
         rats. Unpublished report from Central Institute for Nutrition and
         Food Research (TNO), The Hague, Netherlands. Submitted to WHO by
         BASF AG, Ludwigshafen, and Hoechst AG, Frankfurt, Germany.

    Til, H.P., Koeter, H.B.W.M. & van der Heijden, C.A. (1976b)
         Multigeneration study with carbendazim in rats. Unpublished
         report from Central Institute for Nutrition and Food Research
         (TNO), The Hague, Netherlands. Submitted to WHO by Hoechst AG,
         Frankfurt, Germany.

    Til, H.P., Beems, R.B. & de Groot A.P. (1981) Determination of the
         acute oral toxicity of carbendazim in mice. Unpublished report
         from Central Institute for Nutrition and Food Research (TNO), The
         Hague, Netherlands. Submitted to WHO by BASF AG, Ludwigshafen,
         Germany.

    Tong, C. (1981a) Hepatocyte primary culture/DNA repair assay on
         compound 11, 201-01 (MBC) using mouse hepatocytes in culture.
         Unpublished report from Naylor Dana Institute, Valhalla, New
         York, USA. Submitted to WHO by E.I. DuPont de Nemours and Co.,
         Inc.

    Tong, C. (1981b) Hepatocyte primary culture/DNA repair assay on
         compound 11,201-01 (MBC) using mouse hepatocytes in culture.
         Unpublished report from Naylor Dana Institute, Valhalla, New
         York, USA. Submitted to WHO by E.I. DuPont de Nemours and Co.,
         Inc.

    Vick, D.A. & Brock, W.J. (1987) Acute dermal toxicity study of Benlate
         C fungicide in rabbits. Unpublished report from E.I. DuPont de
         Nemours and Co., Inc., Haskell Laboratory, Newark, Delaware, USA.

    Vick, D.A. & Valentine, R. (1987) Primary eye irritation study with
         Benlate C fungicide in rabbits. Unpublished report from E.I.
         DuPont de Nemours and Co., Inc., Haskell Laboratory, Newark,
         Delaware, USA.

    Waterer, J.C. (1980) Chinese hamster ovary cell assay for
         mutagenicity. Unpublished report from E.I. DuPont de Nemours and
         Co., Inc., Haskell Laboratory Newark, Delaware, USA.

    Whittaker, S.G., Moser, S.F., Maloney, D.H., Plegorsch, W.W., Resnick,
         M.A. & Fogel, S. (1990) The detection of mitotic and meiotic
         chromosome gain in the yeast  Saccharomyces cerevisiae: Effects
         of methyl benzimidazol-2-yl carbamate, methyl methanesulfonate,
         ethyl methanesulfonate, dimethyl sulfoxide, propionitrile and
         cyclophosphamide monohydrate.  Mutat. Res., 242, 231-258.

    Wood, C.K. (1982) Long-term feeding study with 2-benzimidazole-
         carbamate, methyl ester (> 99% MBC, INE-965) in mice.
         Unpublished report from E.I. DuPont de Nemours and Co, Inc.,
         Haskell Laboratory, Newark, Delaware, USA.

    Zeller, H. & Kirsch, P. (1971) Acute oral toxicity of methyl-2-
         benzimidazole carbamate to the rabbit. Unpublished report from
         Hoechst AG, Frankfurt, Germany.
    


    See Also:
       Toxicological Abbreviations
       Carbendazim (EHC 149, 1993)
       Carbendazim (HSG 82, 1993)
       Carbendazim (ICSC)
       Carbendazim (WHO Pesticide Residues Series 3)
       Carbendazim (Pesticide residues in food: 1976 evaluations)
       Carbendazim (Pesticide residues in food: 1977 evaluations)
       Carbendazim (Pesticide residues in food: 1978 evaluations)
       Carbendazim (Pesticide residues in food: 1983 evaluations)
       Carbendazim (Pesticide residues in food: 1985 evaluations Part II Toxicology)
       Carbendazim (Pesticide residues in food: 1995 evaluations Part II Toxicological & Environmental)
       Carbendazim (JMPR Evaluations 2005 Part II Toxicological)