IPCS INCHEM Home

    AMITROLE

    First draft prepared by
    P.H. Arentzen and E.M. den Tonkelaar
    National Institute of Public Health and Environmental Protection
    Bilthoven, Netherlands

    EXPLANATION

         Amitrole was evaluated by the Joint Meeting in 1974 when a
    conditional ADI of 0-0.00003 mg/kg bw was established (Annex I,
    reference 22).  The conditional ADI was extended in 1977 (Annex I,
    reference 28).  The compound was re-evaluated by the present Meeting
    on the basis of the periodic review programme.  The IPCS has
    reviewed amitrole recently and will soon be publishing an
    Environmental Health Criteria document on it (WHO, 1994).  This
    monograph summarizes the data received since the previous evaluation
    and contains relevant data from the previous monograph on amitrole.

    EVALUATION FOR ACCEPTABLE DAILY INTAKE

    BIOLOGICAL DATA

    Biochemical aspects

    Absorption, distribution and excretion

    Mice

         The distribution of 14C-labelled amitrole was examined in non-
    pregnant C57BL female mice.  The mice received amitrole (doses not
    specified) either intravenously or p.o. and the distribution of
    radioactivity was studied by use of whole body autoradiography,
    microautoradiography, impulse counting and cellular fractionation. 
    The distribution was characterized by an accumulation in tissues
    with a rapid cell turnover, e.g., bone marrow, spleen, thymus and
    gastrointestinal tract.  Microautoradiographically, amitrole was
    found mostly in the cytoplasm, suggesting possible involvement in
    purine synthesis associated with cell division.  Only a moderate
    level of radioactivity was found in the thyroid (Tjälve, 1975).

         The absorption and distribution of amitrole in fetal tissue of
    mice were studied by whole body autoradiography upon administration
    (i.v. or p.o.) of radiolabelled amitrole.  Pregnant NMRI mice
    received radioactive amitrole at day 18 of pregnancy and were
    sacrificed 4 or 8 hours after administration.  Amitrole passed
    through the placenta into the fetus and the distribution pattern was
    found to be similar to that in the mothers; the greatest
    accumulation occurred in tissues with a rapid cell turnover.  Most
    of the radioactivity was present in the fetus in a non-metabolized
    form (Tjälve, 1974).

         Following intravenous administration of 14C-amitrole (3.4
    mg/kg bw) to adult male ICR mice, radioactivity in the liver was
    distributed homogeneously, but was gradually bound covalently to
    hepatic macromolecules, located in the centrolobular region of the
    liver (Fujii  et al., 1984).

    Rats

         14C-Amitrole was administered to male and female Wistar rats
    at a dose of 1 mg/rat and the expired air, urine, faeces, internal
    organs and tissues were analyzed for radioactivity.  Traces of 14C
    were found in the expired air during the 3-day period following
    dosing.  High levels of radioactivity (70-95% of the administered
    radioactivity) were found in the urine during the first 24 hours,
    with only a small amount in the faeces, indicating rapid and almost
    complete absorption from the gastrointestinal tract followed by

    rapid excretion.  Tissue levels were very low after 3 days with
    significant amounts found only in the liver (Fang  et al., 1964).

         In a second experiment, 14C-amitrole was administered to male
    and female Wistar rats at doses ranging from 1 mg/rat to 200 mg/rat. 
    There was no significant difference in the percentage recovery of
    radioactivity in urine and faeces in relation to the dosage
    administered.  The formation of amitrole metabolites as percentage
    of dose decreased with increasing dose.  The rate of elimination of
    amitrole from all tissues was slightly slower for rats fed 200 mg as
    compared with those fed 1 mg amitrole.  The fate of two unidentified
    plant metabolites of amitrole, namely, metabolite 1 and metabolite 3
    (isolated from bean plants) was also examined.  Radioactivity from
    metabolite 1 was excreted rapidly in the urine in the first 48 hours
    and identified as unchanged metabolite 1.  Elimination of metabolite
    3 was mainly in the faeces (Fang  et al., 1966).

         14C-Amitrole was administered orally to male Wistar rats as a
    single dose of 50 mg/kg bw.  Excretion in urine and faeces was
    followed during a period of 3 days.  The majority of the
    administered radioactivity was eliminated in the first 24 hours with
    the urine (79%) and faeces (1%) (Grunow  et al., 1975).

         Inhalation exposure to 14C-amitrole aerosol in rats was
    examined by MacDonald & Pullinger (1976) and Turner & Gilbert
    (1976).  Groups of 10 male and 10 female Sprague-Dawley rats were
    exposed to 14C-amitrole aerosol for 1 hour either as `head-only' or
    as `whole body' exposure at levels of 49.2 µg/l or 25.8 µg/l,
    respectively.  In both cases there was a rapid excretion of
    radioactivity mainly via the urine.  The calculated plasma
    elimination half-life was approximately 21 hours for both studies. 
    The urine was the major route of excretion, 75% of the excreted
    radioactivity appearing within the first 12 hours.  From the whole
    body exposure study it appeared that 33% of the radioactivity was
    absorbed directly by inhalation and the other 67% by other routes
    (probably dermal and oral).  A significant proportion may have been
    absorbed in the buccal cavity during normal respiration.  In
    addition, the ingestion of material deposited on the skin and fur by
    grooming during and after exposure may have occurred.

    Rabbits

         In a comparative study of dermal penetration of pesticides,
    14C-amitrole was applied on the skin of 3 New Zeeland white female
    rabbits at a dose of 1 mg/kg bw. Blood samples were taken at early
    time intervals up to 24 hours after application.  Urine and faeces
    were collected separately over a 24-hour period.  Tissue
    distribution was measured after 24 hours.  After 24 hours, 70.5% of
    the applied radioactivity was still at the site of application. 

    Penetration of the compound into the blood was already observed 1
    minute after application, and within 15 minutes measurable amounts
    of radioactivity appeared in the urine.  The remaining 29.5% of
    radioactivity was found 24 hours following topical application in
    urine (26%), faeces (23%), gall bladder (23%), liver (10%), bladder
    (6%), gastrointestinal tract (6%) and other organs (6%).  Very small
    amounts were found in fat (0.4%) (Shah & Guthrie, 1977).

    Biotransformation

         Little metabolic transformation of amitrole occurs in mammalian
    species.  In the mouse, tissue residues were identified by thin
    layer chromatography as largely unchanged amitrole (Tjälve, 1975). 
    Similarly, in the rat, paper chromatographic analysis of liver
    residues following oral administration revealed unchanged amitrole
    plus one metabolite (Fang  et al., 1964).  The majority of the
    radioactivity in the urine of rats was also unchanged amitrole; one
    metabolite was isolated which represented approximately 20% of the
    total radioactivity in urine (Fang  et al., 1964).

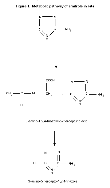
         The metabolism of amitrole has been studied in rats.  Unchanged
    amitrole and 3 metabolites were present in the urine of the animals. 
    Comparison of these metabolites with the metabolites formed in beans
    or  E. coli revealed that the 2 major rat metabolites are also
    found in these organisms and that the third metabolite is common to
    both rats and beans (Franco & Municio, 1975).

         In a more extensive analysis of the urinary metabolites in rats
    by Grunow  et al. (1975), the major part of the radioactivity
    identified by paper chromatography corresponded to unchanged
    amitrole.  Two urinary metabolites were identified as 3-amino-1,2,4-
    triazolyl-5-mercapturic acid and 3-amino-5-mercapto-1,2,4-triazole
    which together amounted to approximately 6% of the administered
    dose.

         Following inhalation exposure to 14C-amitrole in the rat,
    three urinary radioactive products were detected by paper
    chromatography, the major one corresponding to unchanged amitrole
    (60% of urinary radioactivity) (MacDonald & Pullinger, 1976; Turner
    & Gilbert, 1976).

         The metabolic pathway of amitrole in rats is given in Figure 1.

    Effects on enzymes and other biochemical parameters

         Amitrole inhibits the catalase activity in liver and kidneys of
    rats (Alexander, 1959, Bagdon  et al., 1956) and the peroxidase
    activity in the thyroid of rats (Strum & Karnovsky, 1971; Tsuda  et
     al., 1973)

    FIGURE 01

    Toxicological studies

    Acute toxicity studies

         The acute toxicity of amitrole to several animal species is
    given in Table 1.

         No signs of toxicity were observed in one beagle-type female
    dog when given amitrole (96.1%) by gavage at a dosage of 2150 mg/kg
    bw.  Another dog receiving 4640 mg/kg bw vomited within 1 hour, and
    no signs of toxicity were observed thereafter (Fogleman, 1954).

         When a commercial product (water soluble powder with 50% active
    ingredient) was administered to mice, the LD50 was reduced to 4.0
    g/kg bw amitrole.  By determining the mean lethal dose for amitrole
    in different preparations, it was established that sodium carbonate,
    sodium bicarbonate and wetting agents as admixtures in various
    quantities considerably increase the toxicity of amitrole (Hapke,
    1967).  WHO has classified amitrole as unlikely to present acute
    hazard in normal use (WHO, 1992).

        Table 1.  Acute toxicity of amitrole in animals
                                                                                       

    Species  Sex   Route          LD50         LC50    Purity   Reference
                               (mg/kg bw)     (mg/m3)
                                                                                       

    Mouse    M     oral           14 700 7 9           96.1%*   Fogleman, 1954
             ?     oral           11 000 8                ?     Hapke, 1967
             ?     i.v.            5 000 10               ?     Hecht, 1954
             M     i.v.         >  1 600 4 6             94%    Bagdon et al., 1956
             M     i.p.         > 10 000 6               94%    Bagdon et al., 1956

    Rat      ?     oral         > 4200                    ?     Seidenberg & Gee, 1953
             ?                  > 10 000 6 10             ?     Hecht, 1954
             M                    25 000 1 9             94%    Bagdon et al., 1956
             M                  > 10 000 6 10             ?     Hecht & Kimmerle, 1962
             ?                  > 2500                  93.7%   Kimmerle, 1968
             M                  > 5000                    ?     Thyssen, 1974a
             M                  > 5000                   98%    Thyssen, 1974b
             M&F                > 4080 6                 99%    Gaines et al., 1973
             M                  > 5000                    ?     Heimann, 1982
             M&F   dermal       > 2500                   99%    Gaines et al., 1973
             M&F   inhal (4 h)                > 439 6   96.9%   Thyssen, 1983
             ?     i.v.           5000 10                 ?     Hecht, 1954
             M     i.p.         > 4000 6                 94%    Bagdon et al., 1956

    Rabbit   ?     dermal       > 10 000 5 6             95%    Elsea, 1954

    Cat      M&F   oral         > 5000 2                 94%    Bagdon et al., 1956
             M&F   i.v.         > 1750 3                 94%    Bagdon et al., 1956

                                                                                       

    1    80% aqueous suspension
    2    40% aqueous suspension; the 3 cats tested (limit test)
         vomited within 2 hours after receiving the dose
    3    10% solution in 0,9% saline; one cat per dose level
    4    aqueous solution

    5    moistened with 0.5% methyl cellulose solution
    6    no signs of toxicity
    7    mortality at 21 500 mg/kg; signs of toxicity at this and 
         higher dose levels: extreme depression, squinting eyes, slow,
         laboured respiration, diarrhoea, ataxia, depressed or absent
         placement and righting responses, mild clonic convulsions,
         gasping, coma and death and irritation of gastrointestinal
         tract.  No signs of toxicity at the lower dose level 
         (10 000 mg/kg bw)
    8    signs of toxicity seen from 5 mg/kg bw: severe hypokinesia,
         slight tremor of the extremities, apathy ranging to catatonia,
         prone position, individual deep inspirations.
    9    only 5 animals/group
    10   less than 4 animals/group
    *    no correction for purity was made.
    
    Short-term toxicity studies

    Dietary/gavage

    Rats

         In a two-week dietary study, administration of 60 or 120 ppm
    amitrole resulted in enlargement of the thyroid gland of rats
    (number and strain not specified) and a pronounced lowering of
    iodine uptake.  Over this two-week interval there were no
    significant changes at levels of 15 or 30 ppm (Jukes & Shaffer,
    1960; Annex I, reference 23).

         Amitrole was administered by gavage to groups of rats (strain
    unknown), 5 days a week, for 4 weeks at doses of 0, 100, 200 or 400
    mg/kg bw.  In all treated groups, growth rate was reduced, relative
    thyroid weight increased and iodine content of the thyroid reduced
    (Hapke, 1967; Annex 1, reference 23).

         In a range-finding study, groups of albino Wistar rats (4/sex)
    received 0, 125, 1250 or 12 500 ppm amitrole in their diet for 27
    days.  The low dose (125 ppm) was raised to 25 000 ppm on day 7 of
    treatment.  Body-weight was retarded and food intake reduced in all
    treatment groups.  Thyroid weight (the only organ investigated) was
    increased in all dose groups (Ben-Dyke  et al., 1973).

         Reversibility of thyroid effects was studied in a two-week
    dietary study in male albino rats (strain unknown).  A dietary level
    of 1000 ppm increased the (absolute) thyroid weights to about 3.5
    times those in the untreated controls.  Thyroid weights had nearly
    completely returned to normal after two weeks recovery (Bagdon  et
     al., 1956; Annex I, reference 23).

         Amitrole (purity 94.6%) was administered to groups of male
    Sprague-Dawley rats (20/dose) at levels of 0, 30, 100, or 300 ppm in
    their diet for 28 days, followed by a 28-day recovery period.  Two
    animals/group were killed weekly in order to monitor the thyroid
    function by assaying the thyroid hormones T3 and T4.  Body weight
    was depressed and food consumption decreased at the 100 and 300 ppm
    dose levels.  Food consumption returned to normal during the
    recovery period as did body weight, but only in the 100 ppm group. 
    T3 levels were significantly decreased at day 7 in the 300 ppm
    group and at day 14 in the 100 ppm group.  T3 levels returned to
    normal by day 19 post-treatment.  T4 levels followed the same
    pattern although the extent of decrease was greater.  The NOAEL in
    this study was 30 ppm (equivalent to 3 mg/kg bw/day) (Babish, 1977).

         In a thyroid function test amitrole (purity 96.9%) was
    administered to groups of 30 female Wistar rats (12 week old,
    weighing 200 g) at levels of 0, 0.5, 1, 2, or 4 ppm in their diet. 
    Ten animals per group were sacrificed 3, 9 or 29 days after study
    initiation and the following parameters were examined: thyroid
    weight, accumulation of radioiodine in the thyroid (24 hours after
    administration of 131I), and serum levels of T3 and T4. 
    Significantly elevated thyroid weights were observed only in the 1
    and 2 ppm groups, 3 days after study initiation.  No significant
    deviation was observed in any dose group at the later test dates. 
    The percentage of iodine accumulation in the thyroids of the 2 ppm
    group exhibited significant elevation after a 9-day treatment
    period.  In the 4 ppm group a slight, but not significant increase
    was found.  No effect was observed at 29 days, and no clear effects
    were observed on T3 or T4 levels.  The effects on thyroid function
    found in this study were considered marginal and not consistent. 
    Therefore the highest dose in this study (4 ppm, equivalent to 0.4
    mg/kg bw/day) was considered to be the NOAEL (Weber, 1983).

         Amitrole (96.1%) was administered to groups of Carworth Farm
    male and female rats (5 animals/sex/group) at levels of 0, 100,
    1000, or 10 000 ppm in the diet for 63 days.  Both males and females
    showed reduced body-weight gain at 1000 and 10 000 ppm, which was
    accompanied by reduced food consumption.  There were no deaths or
    gross signs of toxicity.  Histopathological examination of the
    liver, kidneys, bladder, small intestine, spleen and testis (thyroid
    was not examined) revealed only an increased vacuolization of the
    liver cells around the central veins in the 1000 and 10 000 ppm
    dosage groups.  The vacuoles were identified as fat globules
    indicative of fatty metamorphosis associated with liver cell damage. 
    No histological effects were noted at 100 ppm.  Because the thyroid
    was not examined in this study, it is of limited value in the
    evaluation of amitrole (Fogleman, 1954).

         Fregly (1968) investigated the dose-response relationship
    between amitrole administered in the diet and a variety of clinical

    parameters in order to establish the minimum effective dose on
    thyroid activity.  Amitrole was administered to groups of male
    Spruce Farm strain rats (10/dose) at levels of 0, 2, 10, or 50 ppm
    in the diet for 13 weeks.  In a separate experiment, amitrole was
    administered in the diet to similar groups at levels of 0, 0.25, or
    0.50 ppm for 11 weeks.  In the first experiment, there were no
    treatment-related effects on body weight, food consumption,
    haematocrit, haemoglobin, or the rate of oxygen consumption.  Mean
    rectal temperature (measured at week 12) was slightly, but
    significantly increased at 50 ppm.  Uptake of radioactive iodine,
    measured  in vivo during week 12 at various times 22-53 hours after
    injection of Na131I, was significantly decreased at 50 ppm.  At the
    end of the first study, radioactivity in the thyroid gland, measured
    24 hours after injection, and the level of PBI in serum were
    significantly reduced in all treatment groups.  The PBI-values were
    5.1, 3.7, 3.8, and 3.3 µg/100 ml for the 0, 2, 10, and 50 ppm
    groups, respectively.  Thyroid weight was increased significantly
    only in the 50 ppm group.  Histological changes in the thyroid were
    noted at 10 and 50 ppm in the follicular cells with regard to both
    appearance and the presence of colloid.  Capillary density, which is
    characteristic of the TSH-stimulated thyroid, was increased
    significantly at both 10 and 50 ppm.  In the second experiment, at
    lower dose levels, no significant differences were noted between the
    treated and control groups.  In this study PBI was not affected.  In
    fact the PBI values were 3.2, 3.9, and 4.5 µg/100 ml for the 0, 0.25
    and 0.50 ppm groups, respectively.  It should be noted that the PBI
    control values, measured in the second experiment were much lower
    than those measured in the first experiment.  This means that there
    is no biologically significant effect on PBI, because all values
    fall in the same range.  The NOAEL was therefore 2 ppm (equivalent
    to 0.1 mg/kg bw/day) (Fregly, 1968).

         Several short-term experiments were carried out in Wistar rats,
    in order to establish a no-effect level on thyroid function.  In all
    experiments the uptake of 131I by the thyroid was measured in an  in
     vivo test 6, 24, or 48 hours after administration of 0.6 µCi 131I
    per animal intraperitoneally.  In addition, at the end of the study,
    thyroid weight and PBI were measured and the thyroid was studied
    histopathologically.

         In the first experiment, four groups of 8 female rats received
    0, 2, 20, or 200 ppm of amitrole in the diet for 6 weeks.  The
    uptake of 131I was measured after 5 days and 6 weeks.  At both times
    a significantly increased uptake was found in the 200 ppm group 6
    hours after injection, which decreased rapidly after 24 and 48
    hours.  At that time the radioactivity was lower than that of the
    controls.  The thyroid weight was increased in the 200 ppm group and
    histopathologically goitre was found in this group only.  No
    significant effects were found at lower dosages.

         In the second experiment in which 8 female rats per group
    received 0, 20, 50, or 200 ppm for 6 weeks, the same effect was
    found in the 200 ppm group.  In addition, a significantly decreased
    PBI was observed at the end of the experiment compared with the
    controls. At 50 ppm a statistically increased uptake was found 6
    hours after injection of 131I.  In this case the radioactivity in
    the thyroid remained higher than the controls after 24 and 48 hours. 
    Histopathologically only a very slight activation was found, whereas
    200 ppm showed strong activation and goitre.

         In the third experiment, 10 female animals per group received
    amitrole at dietary concentrations of 0, 20, 50, or 200 ppm for 13
    weeks.  The uptake of 131I by the thyroid was significantly
    increased at 50 and 200 ppm after 6 and 12 weeks.  At 50 ppm, the
    radioactivity in the thyroid remained high after 24 and 48 hours,
    whereas at 200 ppm a very high uptake was found 6 hours after
    injection of 131I, followed by a rapid decrease with still lower
    values than the controls after 48 hours.  At 200 ppm, the PBI was
    decreased and the thyroid/body-weight ratio increased by a factor of
    6.  At 50 ppm, only a slightly increased relative thyroid weight was
    found.  Histologically a strong activation and goitre were found at
    200 ppm, and a slight activation at 50 ppm.  In this experiment, a
    tendency to a higher uptake of 131I was found in the 20 ppm group.

         The three above mentioned experiments were carried out with an
    iodine content of about 0.2-0.3 ppm in the diet.  In the fourth
    experiment an iodine content of about 2 ppm was used.  In this
    experiment, 8 female rats per group received 0, 20, 50, 200 or 500
    ppm amitrole in the diet for 6 weeks, to determine whether iodine
    could protect against the antithyroid action of amitrole.  At 500
    ppm, a small increase in iodine uptake was found 5 hours after
    injection, but thereafter a very rapid decrease was found.  At 200
    ppm, the uptake was much higher and the same type of decrease was
    found as in the other experiments, whereas with 50 ppm a
    significantly increased thyroid radioactivity was found at all
    times.  PBI was decreased at 200 and 500 ppm only. 
    Histopathologically, goitre and strongly activated thyroids were
    found at the two highest dose levels.  Some activation was found in
    the 20 ppm group.  It can be concluded that measurement of 131I
    uptake at different time points was a sensitive method for the
    effects of amitrole on the thyroid.  At 20 ppm, only slight effects
    were found on iodine uptake and thyroid histopathology.  The overall
    NOAEL from these four experiments was 2 ppm, equivalent to 0.1 mg/kg
    bw/day (Den Tonkelaar & Kroes, 1974).

    Dogs

         In a one-year study in male and female beagle dogs, amitrole
    was given in capsules at daily dose levels of 0, 0.25, 1.25, 2.50 or
    12.5 mg/kg bw, 6 days per week (4-6 animals/group).  There were no

    clinical signs of toxicity or pharmacological effects. 
    Haematological, biochemical and urinalysis parameters were
    comparable to those of the control dogs, and within normal limits. 
    The dogs at the 12.5 mg/kg bw/day dose level had pale-coloured
    pancreases as the only dose-related gross pathological effect. 
    Histopathological examination of all dogs did not reveal any
    treatment-related effect.  The thyroid, in particular, was normal at
    all dose levels (Weir, 1958).

    Drinking-water

    Mice

         Groups of male albino mice (strain unknown) were exposed to
    amitrole in the drinking-water at concentrations of 0, 0.5, 1.0 or
    2% for 30 days (water consumption was not reported).  Light
    microscopy revealed dose-related hypertrophy of hepatocytes with
    nuclear deformations, increased pyknotic nucleoli, and increased
    vacuoles in the cytoplasm.  Electron microscopy revealed
    proliferation of smooth endoplasmic reticulum (Reitze & Seitz,
    1985).

    Rats

         Male Sprague-Dawley rats were provided with drinking-water
    containing 400 ppm amitrole over periods of 12, 20, or 37 days. 
    Based on a body weight of about 200 g and a water intake of 30-35
    ml/day, the daily intake was about 60-70 mg/kg bw.  The catalase
    activity of liver and kidney of the treated animals was inhibited by
    50%, but the red cell catalase was unaltered.  An increase in
    thyroid weight was found, which correlated with the duration of
    treatment.  Microscopic examination showed hyperplasia of the
    thyroid and a loss of colloid.  It was postulated in this study that
    the ability of the thyroid to concentrate plasma iodine was not
    impaired by amitrole, but that the formation of organically-bound
    iodine was inhibited (Alexander, 1959).

         In a range-finding study, amitrole was administered to groups
    of albino Wistar rats (4/sex) at levels of 0, 10, 104 or 1040 ppm in
    drinking-water over a treatment period of 27 days.  Body-weight gain
    was retarded and food intake reduced at 104 ppm and above.  Thyroid
    weight (the only organ investigated) was increased in a dose-
    dependent manner at 104 ppm and above.  The NOAEL in this study was
    10 ppm, equivalent to 1.5 mg/kg bw/day, based on a daily water
    consumption of 30 ml and body weight of 200 g (Ben-Dyke  et al.,
    1973).

         Amitrole (purity 94%) was administered in the drinking-water to
    groups of male albino rats (10/dose; strain unknown) at
    concentrations of 0, 50, 250, or 1250 ppm for 106 days.  The

    administration of amitrole resulted in a dose-dependent depression
    of growth with a corresponding reduction of food and water intake. 
    Appearance, behaviour, and mortality were not affected by amitrole. 
    Haematology, except Ht, and clinical chemistry parameters were not
    examined.  At the end of the study, histopathology was performed on
    the thyroid, hypophysis, liver, kidney, spleen, stomach, small and
    large intestines, bladder, testis, adrenal and lung.  Gross and
    microscopic examination of tissues and organs showed a marked
    increase in thyroid size at all dose levels.  In rats where reduced
    growth was noted, the kidneys, adrenals, liver and spleen were
    proportionally smaller.  Reproductive organs were not affected. 
    Microscopic examination showed general enlargement of the thyroid at
    50 ppm, with moderate stimulation of the thyroid epithelium (no
    evidence of hyperplasia).  At 250 ppm, thyroid hyperplasia was
    evident.  At the two highest dose levels there was also absence of
    follicles with stored colloid.  Liver catalase activity was reduced
    at 250 and 1250 ppm in a dose-dependent manner (Bagdon  et al.,
    1956; Annex I, reference 23).

         In a study measuring the time-course of development of goitre,
    Sprague-Dawley rats were given amitrole in the drinking-water (400
    ppm).  The thyroid of each animal was examined by light microscopy
    at various periods from 3 days to 6 months.  Each rat drank
    approximately 30 ml per day.  After 3 days, the thyroid size was
    unchanged, although cellular changes were apparent.  By one week,
    the thyroid was twice its normal size with marked structural
    changes.  These changes continued to progress with prolonged
    administration of the goitrogen.  Goitre formation was accompanied
    by increased vascularity and decreased colloid content in the
    follicular cells.  Electron microscopy revealed pronounced
    dilatation of the endoplasmic reticulum.  Peroxidase activity
    measured in the thyroid progressively decreased with prolonged
    administration of amitrole (Strum & Karnovsky, 1971).

         The effects of amitrole on thyroid histology were examined in
    seven groups of 5 female Wistar rats weighing about 200 g, which
    were given amitrole in their drinking-water, 2500 ppm, and killed
    after 1, 2, 3, 10, 30, 50, or 100 days.  Water consumption was not
    reported.  After 1 and 2 days of exposure the only change noted was
    a slight enlargement of some endoplasmic cisternae of follicular
    cells.  After 3 days the gland was slightly enlarged, follicular
    colloid was slightly reduced and in some follicular cells the
    cisternae were clearly dilated and stained more lightly for
    peroxidase activity than in normal cells.  By 10 days the glands had
    doubled in size, the follicular epithelium consisted of low,
    columnar cells, and colloid had been severely depleted.  Nuclei had
    become located basally and slightly elongated microvilli projected
    into the lumen.  Peroxidase activity was no longer seen in the
    endoplasmic reticulum cisternae, whereas it was observed in portions
    of perinuclear cisternae.  These changes had progressed in the 30-
    day exposure group, so that the glands were now several times their

    normal size.  In addition, fibrous thickening of both stroma and
    capsule was prominent and cisternal peroxidase activity was absent. 
    Over 50-day exposure resulted in increased irregularity in
    follicular size, more prominent papillary growth of the follicular
    epithelium and greatly diminished peroxidase activity throughout the
    cells (Tsuda  et al., 1973).

         Functional and morphological changes in the thyroid were
    examined in male Wistar rats.  Amitrole was administered via
    drinking-water at a concentration of 1000 ppm for periods of up to
    153 days.  Within 2 weeks thyroid hormone synthesis (serum T3 and
    T4) was inhibited.  Serum TSH level increased rapidly during the
    first 4 weeks, and remained essentially constant after that.  The
    accumulation of radioiodine in the thyroid (measured as the ratio
    thyroid to serum inorganic iodide - T/S ratio) followed a similar
    pattern.  Thyroid weight increased rapidly during the first few
    weeks and thereafter growth rate declined.  After 4 months, total
    thyroid weight was increased to a 12-fold plateau.  During the first
    week of amitrole administration there was also a rapid change in the
    morphology of the gland; an increase in the proportional volume of
    the epithelial cell compartment being accompanied by a corresponding
    decrease in follicular lumen (colloid) and a marked increase in
    vascularity (Wynford-Thomas  et al., 1982a,b).

    Dermal

    Rabbits

         Amitrole (97.6%) was applied to the shaved skin of the back and
    flanks of groups of 6 male and 6 female New Zeeland white rabbits at
    doses of 0, 25 or 100 mg/kg bw for 6 hours each day on 15
    consecutive workdays.  The skin was abraded in three animals per
    group.  The NOAEL for systemic and local effects was at the highest
    dose level, i.e. 100 mg/kg bw/day (Mihail & Schilde, 1984).

    Inhalation

    Rats

         Groups of Fischer 344 rats (15/sex/dose) were exposed to an
    atmosphere containing amitrole (94.6% pure) at concentrations of 0,
    0.1, 0.32, 0.99, or 4.05 mg/l (nominal concentrations adjusted for
    non-nebulizing material), 5 hours/day 5 times per week, for 4 weeks
    (particle size unknown).  There were no adverse effects on behaviour
    and no body-weight changes were noted.  T3 and T4 levels were
    depressed after 14 and 27 days at levels of 0.32 mg/l and above.  At
    these dose levels, thyroid hyperplasia and elevated thyroid weights
    were also observed.  At a concentration of 0.1 mg/l no effects on
    the thyroid were observed (Cox & Re, 1978).

    Long-term/carcinogenicity studies

    Mice

         Amitrole was used as a positive control in a study which
    investigated the carcinogenicity of some 120 chemicals.  Groups of
    (C57BL/6 x C3H/Anf) F1 mice (18/sex) and (C57BL/6 x AKR) F1 mice
    (18/sex) were given amitrole by gavage at a dose level of 1000 mg/kg
    bw/day on days 7-28 of age, and in the diet at a level of 2200 ppm
    from 28 days onwards until the end of the experiment.  This was
    planned to be an 80-week study but all of the mice in the amitrole
    treatment groups had died by weeks 53-60.  Thyroid tumours were
    reported to have occurred in nearly all of the treated mice (64/72). 
    Liver tumours were observed in 34/36 (C57BL/6 x C3H/Anf) F1 treated
    mice and in 33/36 (C57BL/6 x AKR) F1 treated mice.  In pooled
    control groups, 8/166 (C57BL/6 x C3H/Anf) F1 mice and 6/172
    (C57BL/6 x AKR) F1 mice had liver tumours (Innes  et al., 1969).

         In a carcinogenicity study, amitrole (97.0% pure) was
    administered to groups of NMRI mice (75/sex/dose level) at levels of
    0, 1, 10, or 100 ppm in their diet for 18 months.  There were no
    treatment-related effects on appearance, behaviour, body weight,
    food consumption or survival times (haematology not measured). 
    Histological examination of tissues of the major organs did not
    reveal any treatment-related effects apart from a slight increase in
    the number of hyperemias in the pituitary at 100 ppm (5 at 1 ppm, 2
    at 10 ppm and 16 at 100 ppm).  The incidence of treatment-related
    tumours was not increased.  Concurrent satellite groups of 5
    animals/sex/dose were additionally used in this carcinogenicity
    study for different thyroid function tests (thyroid weights,
    incorporation of radioactive iodide in the thyroid gland, proportion
    of PBI in total plasma iodine) performed at intervals of 3, 6, 9,
    12, and 18 months.  The thyroid weights (up to 3 times control
    values), were elevated in the 100 ppm males at all test dates.  The
    percentage of iodine accumulation as well as the iodine level in the
    thyroid were elevated in the male mice at 100 ppm.  The fraction of
    PBI in the male mice was elevated 9 months after study initiation,
    but was depressed at later test dates.  Comparable results were
    observed in the high-dose females.  However, the deviations relative
    to the control group were generally smaller than in the males, and
    were not significant in most cases.  The NOAEL was 10 ppm equivalent
    to 1.5 mg/kg bw/day (Steinhoff & Boehme, 1979b, Weber & Patzschke,
    1978; Steinhoff  et al., 1983).

         In a study on C3H mice and their substrain without serum
    catalase activity, ingestion of 10 000 ppm amitrole in the diet led
    to a reduction in lifetime.  In comparing the two substrains, it was
    shown that the acatalasemic mice lived longer under treatment than
    did the normal mice.  The mean survival times were 35 and 25 weeks,
    respectively.  The C3H strain features a high rate of spontaneous

    liver tumours (it was reported to be 9% in females and 46% in
    males).  Under amitrole treatment, liver tumours occurred earlier
    and at a higher incidence in the acatalasemic mice than in the
    normal mice (Feinstein  et al., 1978).

         Three groups of B6C3F1 mice were fed a diet containing 500
    ppm amitrole (purity not specified): Group 1: the dams were treated
    from day 12 of gestation to birth of the pups; group 2: dams
    together with their pups were treated from birth to weaning; group
    3: pups were treated for a period of 90 weeks after weaning. 
    Although not specifically stated, information on other chemicals
    tested and described in this paper (benzidine, safrole etc.),
    implies that pups of groups 1, 2, and 3 animals were examined only
    for liver tumours after 90 weeks.  It was not stated if treatment
    with the other compounds were conducted in the same or different
    rooms.  The incidence of hepatocellular adenomas and carcinomas,
    respectively, were: group 1 males, 4/74 and 2/74; group 2 males,
    6/45 and 4/45; group 3 males, 15/55 and 11/55; group 1 females, 0/83
    and 0/83; group 2 females, 0/55 and 0/55; group 3 females, 5/49 and
    4/49.  The incidence of these tumours in the untreated control
    animals (which may or may not have been concurrent controls) at week
    90 were: males, 1/98 and 0/98; females, 0/96 and 0/96.  Other organs
    were not examined.  It was concluded that there was no effect of
    amitrole treatment in group 1 or in females of group 2, but that
    marginal increases occurred in males of group 2 and in males and
    females of group 3 (Vesselinovitch, 1983).

         The susceptibilities of three mouse strains to the development
    of preneoplastic hepatic lesions were examined following amitrole
    administration in their drinking-water at 10 000 ppm.  The strains
    were DS, ICR (Crj: CD-1) and NOD derived from ICR and found to
    develop spontaneous insulitis followed by diabetes.  There were
    reported to be indications that NOD mice may carry immunological
    abnormalities.  In each of two experiments, 3 groups of female mice
    were administered amitrole via drinking-water for 3 months
    (experiment 1) or 6 months (experiment 2), after which they were
    killed and their livers examined.  The proportions of mice with
    hyperplastic nodules were, in experiment 1: 15/19, NOD; 3/55, DS;
    0/5, ICR, and in experiment 2: 19/19 NOD; 18/18 DS; 17/19 ICR.  A
    single hepatocellular carcinoma developed in a NOD mouse after 6
    months (Mori  et al., 1985).

    Rats

         In a limited chronic toxicity study (no haematology or clinical
    chemistry) groups of Carworth Farm Wistar rats (35/sex/dose)
    received amitrole in the diet at levels of 0, 10, 50, or 100 ppm for
    two years.  After 13 weeks, 5 animals/sex/dose and after 68 weeks 3
    animals/sex/dose were killed for organ weight measurement and
    histopathological examination.  A separate group received 500 ppm

    for 19 weeks.  Due to marked reduction in body-weight gain and food
    consumption, these animals were left on the control diet for 7 weeks
    and were then killed (26 weeks).  Animals in all groups, including
    controls suffered from apparent respiratory infection and were in
    poor condition.  Death occurred in 67 rats but there was no
    relationship with treatment.  Body-weight gain was reduced at 100
    ppm in male animals during the first 13 weeks of the study.  After
    68 and 104 weeks of treatment, relative thyroid weight was increased
    at 100 ppm (not measured after 13 weeks).  Histopathological
    examination after 13 weeks showed hyperplasia and hypertrophy of the
    thyroid at 500 ppm, but this was reversed after withdrawal of the
    amitrole diet.  Histopathological changes were also seen at 100 ppm
    and in one animal at 50 ppm.  At 68 weeks, 3 animals at 50 ppm
    showed definitive evidence of hyperplasia while all animals at 100
    ppm showed evidence of hyperplasia and hypofunctioning of the
    thyroid.  At 104 weeks tumours were found: thyroid tumours were
    present in 1/10 animals of the 10 ppm group, 2/15 at 50 ppm and
    15/27 at 100 ppm.  No tumour was detected in 5 control group animals
    but one rat exhibited early stages of an adenoma.  One thyroid from
    the 50 ppm group and 4 from the 100 ppm group exhibited lesions
    interpreted as adenocarcinomas by several pathologists and benign
    neoplasms by others.  Based on thyroid hyperplasia the NOAEL was 10
    ppm equivalent to 0.5 mg/kg bw/day (Keller, 1959; Jukes & Shaffer,
    1960).

         Groups of Fischer 344 rats (75/sex/dose) were treated with
    amitrole (94.6% pure).  Group A were the controls.  Rats of group B
    were fed 5 ppm of amitrole in their diet during 1-39 weeks and then
    100 ppm during weeks 40-115 for males and 40-119 for females.  Rats
    in groups C, D, and E received amitrole in their diet at pulsed
    intervals (alternate 4 week periods) at 1, 3, or 10 ppm,
    respectively, during weeks 1-39 and 20, 60, or 200 ppm during the
    last exposure period (week 40 onwards).  On alternate 4-week
    periods, groups C, D, and E received the basal diet containing no
    amitrole.  There were no treatment-related clinical signs of
    toxicity or changes in body weight or food consumption.  No
    treatment-related effects on parameters of haematology, clinical
    chemistry or urinalysis were observed (only 5 animals/sex/dose level
    were examined).  Thyroid weights were significantly increased in
    both males and females in groups B and E after 60 weeks and at
    termination.  Increased thyroid weights, although not significant,
    were also observed in group D.  The T3 and T4 activities were
    elevated in groups B and E from week 44 onwards.  However, these
    effects were not always consistent.  These changes were not observed
    up to week 36, when the groups were administered the lower dose
    levels.  Follicular epithelial hyperplasia in the thyroid was noted
    in groups B, D, and E and to a much lesser extent in group C.  An
    increased incidence in thyroid tumours (mainly follicular adenomas)
    was observed in male and female rats of groups B and E and in the
    male animals of group D.  There was no significant difference in

    tumour incidence between groups B and E (in these dose groups the
    incidence of follicular adenomas was 80-84% and of follicular
    adenocarcinomas 5%, compared to 0-2% in the control group).  Due to
    the change in dosing regimen it was difficult to evaluate this
    study.  However, effects on the thyroid (hyperplasia) were seen in
    all treated groups (Johnson, 1981).

         In a study performed to characterize the oncogenes
    participating in the genesis of thyroid tumours, male Wistar rats
    (number not specified) were treated with a chemical carcinogen
    (nitrosomethylurea, NMU) or by ionizing radiation (131I) to induce
    thyroid tumours, and were then treated with amitrole (purity not
    specified) as a goitrogen at a level of 0.1% in drinking-water
    throughout their entire lifetimes.  A control group was only
    administered amitrole without prior tumour-initiating treatment. 
    Malignant thyroid tumours developed after even a relatively brief
    period in rats treated with NMU or 131I.  Animals exclusively
    treated with amitrole exhibited only benign tumours which developed
    at a markedly slower rate.  A  "H-ras" oncogene was determined to
    be involved in treatment with NMU (13 out of 15 cases), whereas a
     "K-ras" oncogene was involved in the animals treated with 131I
    (8/15 cases) and amitrole (only 1/10 cases) (Lemoine  et al., 
    1988).

         In a briefly worded description of a long-term study in rats,
    thyroid and liver tumours were reported to occur in rats exposed to
    20-25 mg amitrole per day via drinking-water or to 250 or 500 mg
    amitrole per day in their diets for life.  No control data were
    reported (Napalkov, 1962).  Due to the serious shortcomings in this
    study, it was not considered relevant for the evaluation of amitrole
    toxicity.

         In a carcinogenicity study, groups of Wistar rats (75/sex/dose
    level) were treated with amitrole (97.0% pure) in the diet at
    concentrations of 0, 1, 10, or 100 ppm for two years.  There were no
    treatment-related effects on appearance, behaviour, body weight, or
    food consumption (haematology not measured).  A slight decrease in
    survival time was found at 100 ppm.  Average survival time at 100
    ppm for males was 961 days and for females 919 days.  The survival
    times for control animals were 992 and 969 days for males and
    females, respectively.

         Concurrent satellite groups of 5 animals/sex/dose level were
    additionally used in this carcinogenicity study for different
    thyroid function tests (thyroid weights, incorporation of
    radioactive iodide in the thyroid gland, proportion of protein-bound
    iodine in total plasma iodine) performed at intervals of 3, 6, 9,
    12, 18 or 24 months.  The thyroid weights (up to 3.6 times control
    values for males and 7 times for females) were increased at 100 ppm
    as was the uptake of 131I by the thyroid, measured 24 hours after

    oral administration of 131I.  The fraction of PBI was not affected. 
    At 100 ppm, an elevated incidence of haemorrhages and hyperaemia of
    the pituitary gland as well as a very high rate of cystically
    dilated thyroid follicles were seen.  Both benign and malignant
    tumours of the thyroid were found at 100 ppm.  There was also an
    increase in the incidence of benign tumours in the pituitary gland
    at the 100 ppm level (females).  The NOAEL was 10 ppm (equivalent to
    0.5 mg/kg bw/day) (Steinhoff & Boehme, 1979a; Weber & Patzschke,
    1978; Steinhoff  et al., 1983).

    Hamsters

         In a carcinogenicity study in Syrian golden hamsters
    (76/sex/dose) amitrole (97%) was administered in the diet at levels
    of 0, 1, 10, or 100 ppm for 18 months.  There were no treatment-
    related changes in appearance, behaviour or food intake.  Body-
    weight gain was decreased at 100 ppm from day 400 onward, and
    mortality was significantly increased in the 100 ppm dose group. 
    Average survival time at 100 ppm for males was 557 days and for
    females 438 days.  The survival times for control animals were 631
    and 508 days for males and females, respectively.  The main cause of
    death in all groups, including controls, was severe amyloidosis of
    the kidneys.  There was no evidence of amitrole-related
    histopathological changes.  There was no evidence of a treatment-
    related carcinogenic effect.  Concurrent satellite groups of 5
    animals/sex/dose were additionally used in this carcinogenicity
    study for different thyroid function tests (thyroid weights,
    incorporation of radioactive iodide in the thyroid gland, proportion
    of PBI in total plasma iodine) performed at intervals of 3, 6, 9,
    12, or 18 months.  There were no treatment-related effects observed. 
    The NOAEL was 10 ppm equivalent to 1 mg/kg bw/day (Steinhoff &
    Boehme, 1978; Weber & Patzschke, 1978; Steinhoff  et al., 1983).

    Inhalation exposure

    Rats

         In an inhalation study involving intermittent treatment, groups
    of 75 Fischer rats per dose and sex were exposed to aerosols at
    nominal amitrole levels of 0, 50 or 500 µg/l air (one of the two
    batches used had a purity of 94.6%).  The actual amitrole
    concentrations in the low-dose group varied between 15.8 and 32.2
    µg/l air in the different exposure periods; the levels measured in
    the high-dose group ranged between 97.9 and 376.4 µg/l air.  The
    animals were exposed for 5 hours each day five days per week. 
    Treatment phases during weeks 1-13, 40-52 and 78-90 were interrupted
    by treatment-free intervals.  Interim necropsies of 5 animals per
    dose and sex were performed after 3, 9 and 18 months; the study was
    concluded after 24 months.  A total of 28 rats died in week 51 due

    to a defect in the air conditioning system which led to an increase
    in the room temperature.  Treatment of the high-dose group was
    thereupon concluded, and the surviving animals (6/75 males, and
    18/75 females) were necropsied.

         In the high-dose group, food intake and body-weight gain were
    decreased and the rate of mortality was elevated.  At week 13 of the
    study, levels of cholesterol, ASAT and ALAT were higher and of
    glucose lower in the high-dose group than in the control group. 
    Also T3 and T4 levels were lower.  No differences in these
    parameters were observed after the treatment-free period.  Relative
    thyroid weight was increased and epithelial hyperplasia of the
    thyroid follicles was determined in both dose groups at the end of
    the first treatment interval (week 13).  This latter finding was no
    longer observed after the first treatment-free interval of 24 weeks,
    but the thyroid weights were still elevated in both dose groups. 
    Follicular epithelial hyperplasia was again present in most of the
    animals of both treatment groups at the end of the second treatment
    phase (week 51).  This finding was still observed, in the remaining
    treatment group (50 µg/l air), after a treatment-free interval of 26
    weeks, which indicates that complete reversion no longer occurred at
    this time.  Neoplasms of the thyroid (adenomas and adenocarcinomas)
    were found in addition to hyperplasia at terminal necropsy (Becci,
    1983).

    Reproduction studies

    Rats

         In a limited reproduction study, groups of 10 male and 10
    female Sherman rats were fed amitrole in the diet.  A preliminary
    one-generation study was performed in which rats were fed levels of
    0, 500, or 1000 ppm for 55 days before pair-mating.  The offspring
    were weaned at 21 days.  Complete autopsies were performed on the
    parents after total exposure of 107-110 days.  Ten weanling rats
    from each dose group were killed.  Mean body-weight gain and food
    consumption were reduced in the parents at all dose levels. 
    Relative kidney, spleen, and liver weights (only in males) were
    reduced in parents fed 500 and 1000 ppm.  The average number of pups
    per litter was significantly reduced at the 500 and 1000 ppm dose
    levels, as were the numbers surviving to weaning.  Body weight of
    pups at weaning was also reduced.  Thirty-three out of 45 pups of
    rats fed 500 ppm and 55/56 pups of rats fed 1000 ppm died within one
    week after weaning.  Relative weight of thymus and spleen of pups of
    the 500 ppm group (1000 ppm not examined) were significantly
    reduced.  Thyroid hyperplasia was seen in all treated rats (Gaines
     et al., 1973).

         In a subsequent 2-generation study, rats were fed dose levels
    of 0, 25, or 100 ppm for 61 and 173 days before pair-mating to
    produce the F1a and F1b generations, respectively.  Then 12
    rats/sex of each dose level were pair-mated when about 100 days old
    to produce the F2a generation.  The offspring were weaned at 21
    days.  Food consumption was reduced in the F0 generation at
    100 ppm.  Thyroid hyperplasia was seen in all animals of the 100 ppm
    group.  In the 25 ppm group hyperplasia was seen in about half of
    the F0 (4/10) and F1b (4/10) females and F1b (6/10) males, but
    none of the F0 males (F1a litters not examined).  Pups of the 100
    ppm group showed reduced kidney and liver weights and also male pups
    of the 25 ppm group showed reduced liver weights.  There was a
    decrease in the number of litters in the F2a generation at 100 ppm,
    but there were no other changes.  A NOAEL for toxic effects could
    not be established.  Due to the low number of animals used in this
    study, a NOAEL for reproductive effects could not be established
    (Gaines  et al., 1973).

         Groups of 5 rats/sex (strain unknown) were mated following a 3-
    month pretreatment period during which only males, only females, or
    both sexes were exposed to amitrole at a level of 100 ppm in their
    drinking-water.  The groups were compared with a common control
    group.  According to the author, the results did not point to a
    reduction in reproductive ability for males or females.  However,
    due to limited data in the report this could not be confirmed.  Pups
    born in this study were reared and continued on the treatment. 
    Their growth was reduced (Hapke, 1967).

    Special studies on embryotoxicity and/or teratogenicity

    Mice

         Pregnant NMRI mice (9-12/group) were administered amitrole
    (purity not specified) at 0, 500, 1000, 2500 or 5000 ppm in
    drinking-water (days 6-18 of pregnancy).  There was a marked
    decrease (22-28%) in body-weight gain in the dams and pronounced
    retardation in the development (lower fetal weight and immature
    skeletons) at concentrations of 1000 ppm and above.  At the highest
    concentration (5000 ppm), maternal toxicity was associated with an
    increase in the rate of resorptions.  No irreversible structural
    changes were observed at any concentration (Tjälve, 1974).

         Groups of 13 pregnant C57BL6 mice were treated subcutaneously
    with 215 or 464 mg/kg bw/day from days 6 though 14 of gestation. 
    The highest dose tested resulted in an increased fetal mortality
    rate.  Subcutaneous treatment of 6 AKR mice from days 6-15 of
    gestation at 464 mg/kg bw/day produced no effects in the fetuses. 
    Daily oral administration of 215 mg/kg bw to 7 C57BL6 mice from
    days 6-14 of gestation produced increased fetal mortality and a
    reduction of fetal weight.  In nearly all groups maternal body

    weight was reduced and liver weight increased.  There were no
    irreversible structural changes observed in any group (Bionetics
    Research Laboratories, 1968).

    Rats

         In a limited teratogenicity study, groups of 8 pregnant female
    Sherman rats were given amitrole (99%) by stomach tube at dose
    levels of 0, 20 or 100 mg/kg bw/day during days 7 through 15 of
    gestation.  The animals were allowed to litter and to wean, and the
    pups were observed for gross abnormalities.  No abnormalities were
    observed in the offspring at the time of birth or when weaned
    (Gaines  et al., 1973).

         In a pilot study, 2 female rats (strain unknown) were orally
    exposed to amitrole at a dosage of 1000 mg/kg bw/day and one rat to
    500 mg/kg bw/day from days 8 through 13 of gestation.  Weight gain
    of the treated females was reduced.  No effects were found on number
    of corpora lutea, number of fetuses and no anomalies were observed
    (Hapke, 1967).

         In a teratogenicity study, groups of 20 presumed pregnant rats
    (strain FB30, Long-Evans) were exposed to amitrole by gavage at dose
    levels of 0, 100, 300, or 1000 mg/kg bw/day on days 6 to 15 of
    gestation.  Fetuses were examined on day 20 of gestation.  There
    were no deaths or signs of toxicity at any dose level.  Body-weight
    gain was not affected by treatment.  There were no treatment-related
    effects on the resorption rate, fetal weight, number of live
    fetuses, placental weight, or sex ratio.  There was no treatment-
    related increase in gross, skeletal or visceral malformations.  The
    NOAEL for maternal and embryo/fetotoxicity was 1000 mg/kg bw/day
    (Machemer, 1977b).

         Groups of 24 presumed pregnant CD rats were exposed to amitrole
    (91.83% pure) by gavage at dose levels of 0, 100, 500, or 1000 mg/kg
    bw/day on days 6 through 15 of gestation.  Apart from the normal
    parameters measured in a teratogenicity study, the weights of liver
    and thyroid of the dams were examined.  Fetuses were examined on day
    21 of gestation.  Extra groups of 14 females per dose level were
    allowed to litter and wean, and were maintained until postnatal day
    21.  In this postnatal period, body weight, food consumption and
    thyroid weights were measured in the dams.  Observations in the pups
    included number, sex, weight and gross examination.  Weight gain of
    dams was reduced during gestation days 6-18 at 500 and 1000 mg/kg
    bw/day.  Food intake was reduced during gestation days 15-21 at the
    same dose levels.  Maternal thyroid weights (absolute and relative)
    were increased at 500 and 1000 mg/kg bw/day, the increase still
    persisting at termination of lactation.  Fetotoxicity was observed
    at 1000 mg/kg bw/day including reduced fetal body weight per litter,
    increased incidence of fetuses with unossified or poorly ossified

    bones and an increased number of fetuses with enlarged and/or dark
    thyroid.  These latter findings in the thyroid were also observed in
    the 500 mg/kg bw/day dose group.  There was no treatment-related
    increased incidence of malformations at any dose employed. 
    Postnatal evaluations indicated no effects of treatment on survival
    or growth of the pups, or on maternal body weights, weight gain or
    food consumption in the lactation period.  The NOAEL for
    maternotoxicity and embryo/fetotoxicity was 100 mg/kg bw/day (Tyl,
    1986a).

    Rabbits

         Groups of 22 presumed pregnant New Zeeland white rabbits were
    exposed to amitrole (91.83% pure) by gavage at doses of 0, 4, 40, or
    400 mg/kg bw/day on days 6 through 18 of gestation.  Fetuses were
    examined on day 29 of gestation.  Maternotoxicity at 40 and 400
    mg/kg bw/day included reduced body-weight gain and at 400 mg/kg
    bw/day increased (relative) liver weight.  A dose-related increase
    in the incidence of abortions was observed (0, 1, 3 and 5 for the
    control, 4, 40 and 400 mg/kg bw/day dose groups, respectively).  The
    number of non-viable implants/litter was increased and the
    percentage of live fetuses/litter decreased at 40 and 400 mg/kg
    bw/day (statistically significant at high dose).  Decreased fetal
    weight/litter was also seen at these dose levels, with statistical
    significance at the high dose.  At 40 and 400 mg/kg bw/day there
    were significant increases in the incidence of numerous individual
    malformations, especially of the head and limbs.  The total
    percentages of fetuses with malformations were 4.5, 7.2, 36.9 and
    62.4% for the control, 4, 40 and 400 mg/kg bw/day dose groups,
    respectively.  The incidence of a number of individual visceral
    (including craniofacial) and skeletal variants (mainly poorly or
    absent ossification) was increased at 40 and 400 mg/kg bw/day. 
    Effects on the fetal thyroid were also observed.  The percentages of
    fetuses with enlarged thyroid were 1.3, 2.2, 3.6 and 8.2% and of
    fetuses with dark/red thyroids were 2.6, 7.9, 8.1 and 12.9% for the
    control, 4, 40 and 400 mg/kg bw/day dose groups, respectively. 
    Following oral administration amitrole was teratogenic,
    embryo/fetotoxic and (slightly) maternotoxic at 40 and 400 mg/kg
    bw/day.  The NOAEL for all types of toxicity was 4 mg/kg bw/day
    (Tyl, 1986b).

         Four groups of 18 artificially inseminated Hra (NZW) SPF
    rabbits were treated dermally from days 7 to 19 (inclusive) of
    gestation with 0, 1000, 1500 or 2000 mg amitrole (93.9% purity)/kg
    bw/day.  The test material was applied as a mixture of 0.5 ml
    deionized water/g amitrole for six hours/day.  Rabbits were collared
    during the exposure period, and remaining test material was removed
    with warm water washing immediately following each exposure. 
    Clinical signs including dermal irritation, body weight and food
    intake were measured in does.  Dermal irritation, including erythema

    and edema, was noted for treated animals.  The number of animals
    affected and the severity of these observations increased with
    increasing dose.  Numbers of pregnant females at term were 14, 15,
    12 and 11.  At 2000 mg/kg bw/day thin appearance and anorexia was
    observed in does.  Body weight was reduced on day 20, but was
    virtually recovered by day 29; food intake was reduced on days 10-
    14, with severe reductions on days 14-17 and 17-20 of gestation and
    uterine weight was slightly reduced at term at 2000 mg/kg bw/day. 
    Fetal weights were reduced at 2000 mg/kg bw/day and the incidence of
    total resorptions was increased significantly (mainly early
    resorptions).  Malformations, including microphthalmia (3 fetuses in
    2 litters), dilated brain lateral ventricles (2 pups in 1 litter),
    anencephaly (2 fetuses in 2 litters), unossified pubis (4 pups in 1
    litter, but several other pups in the same litter with thyroid,
    skeleton and rib anomalies) were observed at 2000 mg/kg bw/day. 
    Following dermal administration, amitrole was teratogenic,
    embryo/fetotoxic and maternotoxic at 2000 mg/kg bw/day.  The NOAEL
    for all types of toxicity was 1500 mg/kg bw/day (Henwood, 1988).

    Special studies on genotoxicity

         A number of genotoxicity tests has been carried out with
    amitrole.  The results are summarized in Table 2.  The important
    features of these data are described below.

    Gene mutations

         Numerous assays for  in vitro gene-mutations were performed
    and were predominantly negative.  One study with  E. coli and  S.
     typhimurium strains gave positive responses (Venitt & Crofton-
    Sleigh, 1981).  Of two other bacterial mutation assays, one assay
    gave a positive result in absence of metabolic activation and the
    other gave an equivocal response.  Many other  in vitro assays gave
    negative results.  A positive response was obtained in one out of
    two mouse peritoneal host mediated assays with  S. typhimurium
    (Simmon  et al., 1979).  No mutation induction was observed in
    fungi and yeast.  No mutation induction was observed in several sex-
    linked recessive assays with  Drosophila melangolaster.  Mutations
    (TK +/-) were not induced in mouse lymphoma cells, whereas HPRT
    locus and Na+/K+ATPase locus mutations were induced in Syrian
    hamster embryo cells (Tsutsui  et al., 1984).

    Chromosomal damage

         Weakly positive results were obtained in tests with fungi.  A
    cytogenetic study in human lymphocytes was negative, but sister-
    chromatid exchanges were increased in a single study.  No effects of
    amitrole were observed in mice subjected to bone marrow micronucleus
    tests or male dominant lethal tests.


        Table 2.  Results of genotoxicity assays on amitrole

    Tests for gene mutations
                                                                                                      
    Test system         Test object         Concentration/      Purity    Results        References
                                            dose                (%)       
                                                                                                      

    reverse mut.        S.typhimurium       100 µg/plate        99.4      negative       Brusick, 1975
    (*)                 TA1535, TA1537
                        TA1538
                        S.cerevisiae, D4    100 µg/plate        99.4      negative

    reverse mut.        S.typhimurium       0.4%                93.2      negative       Bamford et al.
    (-)                 LT 2 trp                                                         1976
                        (A8, B4, C3)

    reverse mut.        S.typhimurium       1000 µg/plate       ?         negative       Prince, 1977
    (*)                 TA98, TA100
                        TA1538, TA1535

    point mut.          Aspergillus         up to 2000 µg       ?         negative       Bignami et al.
    (-)                 nidulans                                                         1977
                        strain 35

    reverse mut.        S.typhimurium       20-12 500 µg/       97.6      negative       Herbold, 1980
    (*)                 TA98, TA100         plate
                        TA1535, TA1537

    reverse mut.        S.typhmurium        0.2-2000 µg/        ?         negative       Brooks &
    (*)                 TA1535, TA1537      plate                                        Dean, 1981
                        TA1538, TA98
                        TA100, TA92

                                                                                                      

    Tests for gene mutations (contd)
                                                                                                      
    Test system         Test object         Concentration/      Purity    Results        References
                                            dose                (%)       
                                                                                                      

    reverse mut.        S.typhimurium       up to 5000 µg/      ?         negative       McDonald,
    (*)                 TA98, TA100         plate                                        1981
                        TA1537

    reverse mut.        S.typhimurium       10-10 000 µg/       ?         negative       Richold &
    (*)                 TA1535, TA1537      plate                                        Jones, 1981
                        TA1538, TA98
                        TA100

    reverse mut.        S.typhimurium       0.1-2000 µg/        ?         negative       Rowland &
    (*)                 TA1535, TA1537      plate                                        Severn, 1981
                        TA1538, TA98
                        TA100

    reverse mut.        S.typhimurium       4-2500 µg/          ?         negative       Trueman,
    (+)                 TA1535, TA1537      plate                                        1981
                        TA1538, TA98
                        TA100

    reverse mut.        E.coli              0.5-500 µg/ml       ?         positive       Venitt &
    (+)                 WP2uvrA(p)                                                       Crofton-
                        S. typhimurium                                    positive       Sleigh, 1981
                        TA98, TA100

    reverse mut.        S.typhimurium       up to 500 µg/       ?         equivocal      Hubbard et al.
    (*)                 TA98, TA100         ml                                           1981
    (fluctuation test)

                                                                                                      

    Tests for gene mutations (contd)
                                                                                                      
    Test system         Test object         Concentration/      Purity    Results        References
                                            dose                (%)       
                                                                                                      

    reverse mut.        E. coli WP2uvrA     10-500 µg/ml        ?         negative       Gatehouse,
                                                                                         1981
    (*)                 S. typhimurium                                    negative
    (microtiter         TA98, TA1535
    fluctuation test)   TA1537

    reverse mut.        S. cerevisiae       88.9 & 889 µg/      ?         negative       Mehta & Von
    (*)                 XV185-14C           ml                                           Borstel, 1981

    reverse mut.        S. typhimurium      up to 5000 µg/      ?         negative       Moriya et al.
    (*)                 TA98, TA100         plate                                        1983
                        TA1535, TA1537
                        TA1538
                        E. coli WP2 hcr                                   negative

    forward mut.        E. coli CHY832                          ?                        Hayes et al.
                        + S9-mix:           10 000 µg/ml                  negative       1984
                        - S9-mix            2500 µg/ml                    positive

    reverse mut.        S. typhimurium      0.3-333.3 µg/       98        negative       Dunkel et al.
    (*)                 TA1535, TA1537      plate                                        1984
    (comparative        TA1538, TA98
    study in 4          TA100
    laboratories)       E. coli             0.3-333.3 µg/                 negative
                        WP-2 uvrA           plate

    HPRT mutation       Syrian hamster      0.3-10 µg/ml        ?         positive       Tsutsui et al.
    assay (-)           embryo cells                                                     1984

                                                                                                      

    Tests for gene mutations (contd)
                                                                                                      
    Test system         Test object         Concentration/      Purity    Results        References
                                            dose                (%)       
                                                                                                      

    mutation Na+/K+     Syrian hamster      0.3-10 µg/ml        ?         positive       Tsutsui et al.
    ATPase locus (-)    embryo cells                                                     1984

    TK +/- forward      mouse lymphoma      up to 5000 µg/      ?         negative       McGregor et
    mutation assay(*)   cells L5178Y        ml                                           al. 1987

    host mediated       S. typhimurium      1450-2900 µmol/     ?         negative1      Braun et al.
    assay               host: NMRI-mice     kg                                           1977

    host mediated       S. typhimurium      12-1585 mg/kg       ?         positive       Simmon et al.
                        TA1530, TA1535      ip                                           1979
                        TA1538
                        host:
                        Swiss Webster mice

    1: weakly positive when given simultaneously with sodium nitrite

    Tests for chromosome effects

    chromosome aberr.   human               0.00001-1%          93.2-     negative       Meretoja et
    assay (-)           lymphocytes                             96.3                     al. 1976

    crossing over       Aspergillus         up to 2000 µg       ?         positive1      Bignami et al.
    test (-)            nidulans                                                         1977
    non-disjunct.       strain P                                          positive1
    test (-)

    non-disjunct.       Aspergillus         up to 0.4 mg/ml     ?         positive       Morpurgo et
    test (-)            nidulans                                                         al. 1979
                        strain P

                                                                                                      

    Tests for chromosome effects (contd)
                                                                                                      
    Test system         Test object         Concentration/      Purity    Results        References
                                            dose                (%)       
                                                                                                      

    sister              Chinese             0.01-100 µg/        ?         positive1      Perry &
    chromatid           hamster ovary       ml                            (+S9)          Thomson 1981
    exchange(*)         cells (CHO)

    1: weakly positive

    Tests for DNA damage/repair

    rec assay (-)       B. subtilis         20 µg/plate         ?         negative       Shirasu et al.
                        H17 rec+,                                                        1976
                        M45 rec-

    rec assay (*)       B. subtilis         up to 1 mg/plate    ?         positive1      Kada, 1981
                        H17 rec+,
                        M45 rec-

    rec assay (*)       E. coli             500 µg/ml           ?         negative       Ichinotsubo et
                        JC 2921, 9238                                                    al. 1981
                        8471, 5519, 7623
                        7689

    rec assay (+)       E. coli WP2,        4000 µg/ml          ?         negative       Mamber et al.
                        WP100                                                            1983

    pol A test(-)       E. coli             5 mg/plate          93.2      negative       Bamford et al.
                        pol A1, pol A+                                                   1976

    pol A test(*)       E. coli             333 µg/plate        ?         negative       Rosenkranz et
                        WP3110, P3478                                                    al. 1981

                                                                                                      

    Tests for DNA damage/repair (contd)
                                                                                                      
    Test system         Test object         Concentration/      Purity    Results        References
                                            dose                (%)       
                                                                                                      

    differential        E. coli WP2,        250-1000 µg/        ?         negative       Tweats, 1981
    killing assay(*)    WP67, CM871         ml

    mitotic             S. cerevisiae       100 & 1000 µg/      ?         negative       Kassinova et
    recombination(*)    T1, T2              ml                                           al. 1981

    DNA repair          S. cerevisiae       100-750 µg/         ?         positive       Sharp &
    test(*)             197/2d, rad3,       ml                            (-S9)          Parry, 1981b
                        rad18, rad52,
                        trp2

    UDS test(*)         HeLa cells          0.1-100 µg/ml       ?         positive       Martin &
                                                                          (+S9)          McDermid, 1981

    prophage induct.    E. coli 58-161      1-10 mg/ml          ?         negative       Thomson,
    assay(+)            Prophage lambda                                                  1981

    prophage induct.    E. coli             2000 µg/plate       ?         negative       Mamber et al.
    assay(+)            GY5027, GY4015                                                   1984

    mitotic crossing    S. cerevisiae       100 & 1000 µg/      ?         negative       Kassinova et
    over(*)             T1, T2              ml                                           al. 1981

    mitotic gene        S. cerevisiae       12.5 mg/ml          ?         negative       Zimmermann
    conversion(*)       D7                                                               & Scheel, 1981

    mitotic gene        S. cerevisiae       300 µg/ml           ?         positive       Sharp & Parry
    conversion(*)       JD1                                               (-S9)          1981a
                                                                                                      

    1: positive results were obtained only after metabolic activation with liver homogenates from 
       Japanese clam and Yellowtail fish

    Tests for in vitro transformation
                                                                                                      
    Test system         Test object         Concentration/      Purity    Results        References
                                            dose                (%)       
                                                                                                      

    Tests for in vitro transformation

    cell transf.        BALB/3T3 cells      0.01-2.5 mg/ml      ?         equivocal1     Brusick, 1976
    assay(-)

    cell transf.        BHK-21 cells        0.025-25 µg/ml      ?         positive       Styles, 1979
    assay(+)

    cell transf.        BHK-21 cells        0.025-250 µg/ml     ?         positive       Styles, 1981
    assay(+)

    cell transf.        BHK-21 cells        4000 µg/ml          ?         negative       Daniel &
    assay(*)                                                                             Dehnel, 1981

    cell transf.        hamster embryo      1-100 µg/ml         ?         positive       Inoue et al.
    assay(+)            cells                                                            1981

    cell transf.        hamster embryo      0.1-100 µg/ml       ?         positive       Dunkel et al.
    assay(-)            cells                                                            1981
                        rat embryo          10-1200 µg/ml       ?         positive
                        cells

    cell transf.        Syrian hamster      0.3-10 µg/ml        ?         positive       Tsutsui et al.
    assay(-)            embryo cells                                                     1984

                                                                                                      

    Tests for in vitro transformation
                                                                                                      
    Test system         Test object         Concentration/      Purity    Results        References
                                            dose                (%)       
                                                                                                      

    cell transf.        mouse embryo                            ?                        Dunkel et al.
    assay(-)            cells                                                            1984
                        C3H/10T1/2
                        laboratory A:       2-250 µg/ml                   negative
                        laboratory B:       125-1000                      positive
                                            µg/ml

    1: positive only in 1 out of 3 tests

    In vivo tests

    non-disjunct.       Drosophila          10 ppm in diet      93.2%     negative       Laamanen et
    test                females                                                          al. 1976

    recessive           Drosophila          10 ppm in diet      93.2%     negative       Laamanen et
    lethal test         males                                                            al. 1976

    recessive           Drosophila          2000 ppm in diet    ?         negative       Vogel et al.
    lethal test         males                                                            1981

    dominant lethal     NMRI-mice           1 x 1000 mg/kg      ?         negative       Machemer,
    test                males                                                            1977a

    dominant lethal     Ha(ICR)-mice        1 or 10 ppm in      94.59     negative       Knickerbocker,
    test                males               the diet for                                 1978
                                            49 days

    micronucleus        CD-1 mice           2 x 500 mg/kg       ?         negative       Tsuchimoto &
    test                males + females                                                  Matter, 1981

                                                                                                      

    In vivo tests (contd)
                                                                                                      
    Test system         Test object         Concentration/      Purity    Results        References
                                            dose                (%)       
                                                                                                      

    micronucleus        NMRI-mice           1 x 10 000 mg/kg    96.9      negative       Herbold, 1982
    test                males + females

    sperm morphol.      (CBA x BALB/c)F1    50-500 mg/kg/day    ?         negative       Topham, 1980
    assay                                   5 ip-injections

                                                                                                      

    Tests were done:    (*) = with and without metabolic activation (S9-mix)
                        (+) = with S9-mix activation
                        (-) = without S9-mix
    

    DNA damage and repair

         The possibility of inducing DNA damage by amitrole has been
    investigated frequently and in a number of different ways.  In
    bacteria the results have been negative except for one recombinant
    assay, which was positive when an exogenous metabolic activation was
    provided by "liver" preparations from a mollusc and a fish.  A DNA
    repair assay in yeast gave a positive result as did a repair assay
    in mammalian cells.

    Cell transformation

         Assays for cell transformation in several systems gave
    predominantly positive results.

    Other endpoints

         Amitrole did not increase the frequency of morphologically
    abnormal sperm in mice.

         Amitrole has therefore been tested adequately in series of  in
     vitro and  in vivo genotoxicity assays.  Positive responses were
    obtained in a number of mutation assays in bacteria,
    recombinogenicity assays in yeast and some mammalian cell assays for
    mutation, sister-chromatid exchange and cell transformation.  No
    genotoxicity was demonstrated  in vivo.  The Meeting concluded that
    the genotoxic potential of amitrole was equivocal.

    Special studies on skin and eye irritation and skin sensitization

         In a limited study, the potential for dermal irritation by
    amitrole (95%) was examined in 4 albino rabbits (strain and sex not
    specified) over a 24-hour period following a single application of
    dosages from 1000 up to 10 000 mg/kg bw.  Minimal dermal irritation
    was observed with mild erythema at the high-dose level only.  By 48
    hours, the skin appeared normal (Elsea, 1954).

         In a limited study, the potential for eye irritation by
    amitrole (95%) was examined in 3 albino rabbits (strain and sex not
    specified) following application of 3 mg into the conjunctival sac
    of the left eye.  Observations were made at 1, 4 and 24 hours and at
    daily intervals for 6 days.  Mild irritation was observed at 4
    hours, which subsided within 24 hours (Elsea, 1954).

         In a Magnusson-Kligman maximization test in Pirbright White
    guinea-pigs, amitrole (97.6%) was found to be a moderate skin
    sensitizer.  Concentrations employed were 2.5% for intracutaneous
    induction, 25% for topical induction, and 12% for the first and
    second challenges (Mihail, 1984).

         In a Klecak open epicutaneous test in BOR:DHPW/SPF guinea-pigs,
    amitrole (97.3%) did not have a sensitizing effect.  Concentrations
    employed were 0, 3, 10, or 30% for induction, and 1, 3, 10, or 30%
    for the first and second challenges (Mihail, 1985).

    Special studies on farm animals

         Cattle tolerated administration of both a single oral dose of
    amitrole at 1000 mg/kg bw as well as repeated 100 mg/kg bw doses on
    10 consecutive days without symptoms (Stendel, 1965).

         Female sheep (1/dose level) were orally treated with amitrole
    at doses of 0, 750, or 1000 mg/kg bw at intervals of 5-7 days over a
    period of 8 weeks.  The only symptom observed was lethargy
    immediately following treatment.  Three days after the last dose the
    animals were slaughtered.  Residues were found in muscular tissues
    at levels of 80 ± 30 ppm and 120 ± 40 ppm in the low- and high-dose
    respectively (semi-quantitative determination).  The thyroids were
    grey-red discoloured.  At histopathology complete cessation of
    colloid formation, with adenomatoid proliferation of the follicle
    epithelia was observed (Hapke  et al., 1965).

         In sheep, a single oral dose of 750 mg/kg bw led to clinical
    symptoms (lethargic behaviour, frequent lying down).  At higher
    doses, the animals became apathetic and did not eat.  At a dose
    level of 4000 mg/kg bw the animals died.  A single oral dose of 200
    mg/kg bw was tolerated by a horse without any symptoms.  Adult geese
    tolerated oral doses up to 1000 mg/kg bw.  At higher doses, these
    birds became somnolent.  Mortality occurred at 10 000 mg/kg bw
    (Hapke, 1967).

         Young cattle and sheep were orally exposed to amitrole at
    dosages of 10, 25 or 50 mg/kg bw for up to 10 consecutive days.  The
    10 mg/kg bw dose was tolerated without symptoms by the cattle. 
    Doses of 25 or 50 mg/kg bw led to toxic symptoms after 3 and 2 days,
    respectively.  One out of three sheep exhibited retarded body-weight
    development at 10 mg/kg bw, whereas at the higher doses all sheep
    showed toxic symptoms.  Hens were treated orally at dosages of 50,
    100 or 250 mg/kg bw on 10 consecutive days.  Retarded body-weight
    development was observed at 100 and 250 mg/kg bw.  Hens dosed at 375
    or 500 mg/kg bw died within 3-7 days after the start of the study
    (Palmer, 1972).

    Observations in humans

         In a patch test conducted with a human volunteer, amitrole
    exerted no primary dermal irritant effect after exposure periods of
    4 or 8 hours.  A slight irritant effect was observed in 3 out of 6
    subjects after 24 hours of exposure (no further details) (Hecht,
    1954).

         A case study of a 41-year old weed control operator with a 6-
    month history of dermatitis involving his face, hands, back, thighs,
    and feet was reported.  Patch testing with 1% amitrole showed a
    strong positive vesicular reaction at 2 and 4 days, indicative of
    allergic contact dermatitis (English  et al., 1986).

         The intentional ingestion of a commercial mixture of amitrole
    and diuron, at a dose equivalent to 20 mg/kg bw amitrole (together
    with about 38 mg/kg bw diuron), was reported to have caused no
    symptoms of poisoning in a female subject.  Within a few hours, the
    compound appeared in the urine at a concentration of 100 mg/100 ml. 
    Metabolites could not be detected in urine (Geldmacher-von
    Mallinckrodt & Schmidt, 1970).

         Astwood (1960) reported in a brief communication that a single
    oral dose of 100 mg amitrole inhibited radioiodine uptake by the
    thyroid of both normal and thyrotoxic subjects for 24 hours. 
    However, a dose of 10 mg was said to have had a slight effect on
    iodine uptake.  Astwood suggested that amitrole could be used
    therapeutically in the treatment of hyperthyroidism.

         An epidemiological study was conducted on Swedish railway
    workers exposed to various herbicides.  A small increase in tumours
    was observed, particularly of the lung.  Amitrole was only one of
    the pesticides (other pesticides were for example phenoxy acids) to
    which these workers were exposed (Axelson, 1980).

         Mild cases of dermatitis on the face due to contact with
    amitrole occurred yearly in one or two production workers of the
    American Cyanamid Company.  The dermatitis was of a primary irritant
    type rather than the sensitive type.  No other medical findings, not
    occurring in the general public, and, in particular, no thyroid or
    liver tumours were observed during the years of observation
    (1955-1970) (Clyne, 1970).

         Skin irritation was also occasionally observed in employees of
    Bayer engaged in production of amitrole.  No other adverse effects
    occurred (Miksche, 1982).

         The thyroid function in 5 employees who had been engaged in
    production and packaging of amitrole for periods between 3 and 16
    years was checked as part of the occupational medical programme. 
    Scintigraphic thyroid imaging findings and determinations of the T3
    and T4 levels afforded no evidence for the presence of an effect on
    thyroid function (Miksche, 1983).

         In a study for a possible phototoxic potential of amitrole, 20
    test subjects were exposed to patches containing amitrole at a level
    of 1% in an ointment base (hydrous eucerin) over a period of 48
    hours.  The treatment areas were then irradiated with ultraviolet

    light (UVA and UVB), and the dermal reactions assessed (no further
    details).  No evidence was found for phototoxic skin reactions
    (Tronnier, 1983).

    General mode of action

         Amitrole is considered a goitrogenic compound.  The mechanisms
    by which goitrogens produce their pharmacologic and potential
    neoplastic effects is through the induction of hormonal imbalance. 
    Most commonly this is the result of interference with the thyroid
    iodide transport system or interference with peroxidases essential
    to the synthesis and secretion of competent thyroid hormone.  The
    sequence of events triggered by this interference is generally
    understood.  Because of the ability of goitrogens to inhibit thyroid
    hormone synthesis, these compounds have the potential to reduce
    circulating levels of T3 and T4 and, consequently, to induce the
    secretion of TSH by the pituitary.  As a result, prolonged exposure
    to such compounds can be expected to induce thyroid gland
    hypertrophy and hyperplasia, nodular hyperplasia and, ultimately,
    may lead to neoplasia.  Evidence indicates that if the pharmacologic
    effects, thyroid hypertrophy and hyperplasia, are prevented or
    controlled within the feedback system, follicular cell neoplasia
    does not develop.  The data also suggest that some degree of
    hypertrophy or hyperplasia of the thyroid gland is tolerated within
    the oscillation of the feedback system without induction of
    neoplasia.  The rat, and to a lesser extent the mouse, appear to be
    very sensitive to goitrogens, since after short exposure periods
    their thyroid glands exhibit hypertrophic and hyperplastic changes. 
    Following continuous, long-term exposure of rats and mice to these
    agents, both the thyroid and the pituitary glands frequently exhibit
    neoplastic changes.  In contrast, humans appear to be less sensitive
    (Paynter  et al., 1988; Hill  et al., 1989).

    COMMENTS

         Amitrole is rapidly and almost completely absorbed from the
    gastrointestinal tract following oral administration to rats and
    mice.  It is rapidly distributed throughout most body tissues, but
    with a slight accumulation in tissues with a rapid cell turnover
    (bone marrow, spleen, thymus, gastrointestinal tract).  In a study
    with pregnant mice it was observed that amitrole passes through the
    placenta into the fetuses with the same distribution pattern as in
    the mothers.  Excretion is rapid after oral exposure.  Within 24
    hours, 70-95% of the administered radioactivity is excreted via the
    urine, mainly as the parent compound.

         The metabolic transformation in mammals produces two minor
    metabolites detectable in the urine.  Metabolism of amitrole occurs
    mainly in the liver and involves substitution of the hydrogen atom
    in the 5-position.  The metabolites identified were 3-amino-5-
    mercapto-1,2,4-triazole and 3-amino-1,2,4-triazolyl-5-mercapturic
    acid.

         Amitrole has a low acute toxicity when tested in several
    species by various routes of administration.  In old studies,
    amitrole was reported to have slight irritating effects on the skin
    and eyes.  Evidence of a moderate sensitizing potential was observed
    in a Magnusson-Kligman test but not in a Klecak open epicutaneous
    test.  WHO has classified amitrole as unlikely to present acute
    hazard in normal use.

         Oral exposures of up to four weeks in rats revealed that
    effects on the thyroid occurred at levels > 60 ppm in the diet or
    104 ppm in drinking-water.  No effects were observed at 30 ppm in
    the diet (equivalent to 3 mg/kg bw/day) or 10 ppm in drinking-water
    (equivalent to 1.5 mg/kg bw/day).  Furthermore, it was shown that
    after a recovery period the effects on the thyroid were reversible.

         In a 30-day study in mice at concentrations in drinking-water
    of 0, 5000, 10 000 or 20 000 mg/l, liver effects were observed at
    all dose levels.

         Several short-term oral studies were performed with rats. 
    These were mainly focused on the effects on the thyroid, as this is
    the target organ in rats.

         Only two oral studies were suitable for assessment.  In one
    study, male rats were exposed to dietary concentrations of 0, 2, 10
    or 50 ppm for 13 weeks or to 0, 0.25 or 0.50 ppm for 11 weeks.  The
    NOAEL was 2 ppm (equivalent to 0.1 mg/kg bw/day) based on
    histological changes in the thyroid (appearance of follicular cells,
    contents of colloid and capillary density).  Decreases in protein-
    bound iodine were not considered to be biologically significant.

         The other study consisted of four short-term experiments in
    female rats.  Dietary concentrations in one experiment were 0, 2, 20
    or 200 ppm with exposure for six weeks, in two subsequent
    experiments 0, 20, 50 or 200 ppm with exposure for 6 or 13 weeks and
    in the fourth experiment 0, 20, 50, 200 or 500 ppm with exposure for
    six weeks.  From these four experiments, the overall NOAEL was 2 ppm
    (equivalent to 0.1 mg/kg bw/day) based on increased iodine uptake
    (shortly after injection), increased thyroid weight and
    histopathological changes of the thyroid (goitre and clearly
    activated thyroids).

         From several short-term studies in rats with administration in
    drinking-water, slight effects on the thyroid (moderate stimulation
    of the thyroid epithelium) were seen at the lowest concentration
    tested, 50 ppm.

         In a one-year study in dogs, no effects on the thyroid were
    observed at the highest dose tested (12.5 mg/kg bw/day).  The only
    effect observed at this level was pale-coloured pancreas.  The test,
    however, was performed with a low number of animals.

         Long-term toxicity and/or carcinogenicity studies have been
    performed in mice, rats, and golden hamsters.  Studies in mice were
    focused on induction of liver and thyroid tumours.  In a
    carcinogenicity study in mice with only one but very high dose level
    (1000 mg/kg bw/day by gavage), survival time was significantly
    reduced and liver and thyroid tumours were observed in all treated
    mice.  A slight increase in the incidence of liver tumours was
    observed in a special carcinogenicity study in which pups were
    treated for a period of 90 weeks at a level of 500 ppm in the diet.

         In an 18-month carcinogenicity study in mice at levels of 0, 1,
    10 or 100 ppm in the diet, an increased incidence of tumours was not
    observed.  In this study, a thyroid function test was also performed
    with a small number of animals.  At 100 ppm an increase in thyroid
    weight and in iodine accumulation in the thyroid was observed.  The
    NOAEL was 10 ppm (equivalent to 1.5 mg/kg bw/day).

         In a carcinogenicity study in rats with levels of 0, 1, 10 or
    100 ppm in the diet, a slight decrease in survival time, an increase
    in the incidence of thyroid tumours and an increase in the incidence
    of (mainly benign) pituitary tumours were observed at 100 ppm.  In
    this study, a thyroid function test was also performed with a small
    number of animals.  At 100 ppm, thyroid weight was increased during
    the whole study period as was the percentage accumulation of
    radioiodine in the thyroid.  The NOAEL was 10 ppm (equivalent to 0.5
    mg/kg bw/day).

         In another limited long-term toxicity study in rats, the NOAEL
    was 10 ppm (equivalent to 0.5 mg/kg bw/day) based on thyroid

    hyperplasia.  A clearly enhanced thyroid tumour incidence was found
    at 50 and 100 ppm.  In this study, animals suffered from apparent
    respiratory infection.

         In a third study in rats, thyroid hyperplasia and thyroid
    tumours were observed in animals fed 100 ppm (during the first 40
    weeks of the 115-120 week study, the dose level was 5 ppm).  In rats
    treated at pulsed intervals (alternate four week periods) at levels
    of 60 ppm (first 3 ppm) and 200 ppm (first 10 ppm) thyroid tumours
    were also observed.  Slight thyroid hyperplasia was also observed at
    the lowest dose level of 20 ppm (first 1 ppm; intermittent dosing
    regimen).  A NOAEL could not be established.

         In an 18-month carcinogenicity study in Syrian hamsters at
    dietary concentrations of 0, 1, 10 or 100 ppm, the NOAEL was 10 ppm,
    equivalent to 1 mg/kg bw/day, based on decreased body-weight gain
    and increased mortality.  No effects on the thyroid were observed at
    100 ppm.  There was no evidence of carcinogenic potential.

         A well-performed reproduction study was not available.  From a
    limited study in rats at dietary concentrations ranging from 25 to
    1000 ppm, effects on reproductive capability were observed at 500
    ppm and above.  Reduction of liver weight and thyroid hyperplasia
    were the most sensitive effects observed at the lowest dose level
    (25 ppm, equivalent to 1.3 mg/kg bw/day).

         In a teratogenicity study, rats were exposed by gavage at doses
    of 0, 100, 300 or 1000 mg/kg bw/day on days 6 to 15 of gestation. 
    No effects were observed in this study.  The NOAEL for
    maternotoxicity and embryo/ fetotoxicity was 1000 mg/kg bw/day.

         In another teratogenicity study, rats were exposed by gavage at
    doses of 0, 100, 500 or 1000 mg/kg bw/day.  Slight maternal toxicity
    (reduced weight gain and food consumption and increased thyroid
    weights) was observed at doses of 500 and 1000 mg/kg bw/day. 
    Reduced fetal body weight/litter and reduced skeletal ossifications
    were observed in the high-dose group.  Increased incidences of
    enlarged and/or dark thyroids were seen in fetuses at 500 and 1000
    mg/kg bw/day.  The NOAEL for maternotoxicity and embryo/fetotoxicity
    was 100 mg/kg bw/day.  Amitrole was considered not to be teratogenic
    in rats at dose levels up to 1000 mg/kg bw/day.

         In a teratogenicity study in rabbits the animals were exposed
    by gavage to dose levels of 0, 4, 40 or 400 mg/kg bw/day.  Decreased
    weight gain during the gestation period was observed at 40 and 400
    mg/kg bw/day and increased liver weight at 400 mg/kg bw/day.  A
    dose-related increased incidence of abortions was observed in all
    treated groups.  Embryo/fetotoxicity were observed at 40 and 400
    mg/kg bw/day.  Increased incidences of irreversible structural
    changes were also found at these dose levels, which involved mainly

    the head and limbs.  The NOAEL for maternotoxicity,
    embryo/fetotoxicity and teratogenicity was 4 mg/kg bw/day.

         In a dermal teratogenicity study in rabbits at dose levels of
    0, 1000, 1500 or 2000 mg/kg bw/day, maternotoxicity (decreased body
    weight and food consumption, thin appearance and anorexia) was
    observed at 2000 mg/kg bw/day.  At this level, irreversible
    structural changes (anencephaly and microphthalmia) were observed. 
    The NOAEL for maternotoxicity, embryo/fetotoxicity and
    teratogenicity after dermal exposure was 1500 mg/kg bw/day.

         Amitrole has been tested adequately in series of  in vitro and
     in vivo genotoxicity assays.  Positive responses were obtained in
    a number of mutation assays in bacteria, recombinogenicity assays in
    yeast and some mammalian cell assays for mutation, sister-chromatid
    exchange and cell transformation.  No genotoxicity was demonstrated
     in vivo.  The Meeting concluded that the genotoxic potential of
    amitrole was equivocal.

         Amitrole is a goitrogen in mice, rats and sheep but not in
    Syrian hamsters, dogs, or cattle at the doses that have been tested. 
    The mechanism of thyroid toxicity involves inhibition of thyroid
    peroxidase.  This inhibition results in decreases in circulating
    levels of T4 and T3 which stimulate the pituitary to increase
    secretion of TSH which in turn may cause thyroid hypertrophy,
    hyperplasia and neoplasia.  Threshold doses have been identified in
    the sensitive species.  Amitrole is not genotoxic in  in vivo
    assays.

         The Meeting withdrew the conditional ADI and established a
    temporary ADI, based on the NOAEL of 0.5 mg/kg bw/day in the 24-
    month dietary study in rats, using a safety factor of 1000 because
    of inadequacy of the data.

    TOXICOLOGICAL EVALUATION

    Level causing no toxicological effect

         Mouse:    10 ppm, equivalent to 1.5 mg/kg bw/day
                   (18-month study)

         Rat:      10 ppm, equivalent to 0.5 mg/kg bw/day
                   (24-month study)

                   100 mg/kg bw/day (teratogenicity study)

         Hamster:  10 ppm, equivalent to 1.0 mg/kg bw/day
                   (18-month study)

         Dog       12.5 mg/kg bw/day (12 month study)

    Estimate of temporary acceptable daily intake for humans

                   0-0.0005 mg/kg bw

    Studies without which the determination of a full ADI is
    impracticable

         Results be submitted to WHO by 1996 
         (all known to have been initiated):

         Two-generation reproduction study in rats

         One-year study in dogs

         Oral teratogenicity study in rabbits

         Metabolism study in rats

    Studies which will provide information valuable in the continued
    evaluation of the compound

         Further observations in humans.
         Comparative biotransformation (including humans).
         Clarification of genotoxic potential of amitrole.

    REFERENCES

    Alexander, N.M. (1959). Antithyroid action of 3-amino-1,2,4-
    triazole.  J. Biol. Chem. 234: 148-150.

    Astwood, E.B. (1960). Cranberries, turnips and goiter.  J. American
     Med. Assoc. 172: 1319-1320.

    Axelson, O., Sundell, L., Andersson, K., Edling, C., Hogstedt, C.,
    Kling, H. (1980). Herbicide exposure and tumor mortality. An updated
    epidemiologic investigation on Swedish railroad workers.  Scan. J.
     Work Environ. Health, 6: 73-79.

    Babish, J.G. (1977). Triiodothyronine (T3) and Thyroxine (T4)
    levels in male rats consuming Amitrole (3-amino-1,2,4-triazole) in
    their diets for four weeks followed by a four week recovery period.
    Unpublished report No 5539 (dated: 29-11-1977) from Food and Drug
    Research Laboratories, Inc.. Submitted to WHO by Bayer AG.

    Bagdon, R.E., Shaffer, C.B., Vidone, L.B., Golz, H.H. (1956).
    Aminotriazole - acute and subacute toxicity. Unpublished report No
    56-29 (dated: 14-12-1956) from American Cyanamid Company. Submitted
    to WHO by Bayer AG.

    Bamford, D., Sorsa, M., Gripenberg, U., Laamanen, I., Meretoja, T.
    (1976). Mutagenicity and toxicity of amitrole. III. Microbial tests.
     Mutation Research, 40: 197-202.

    Becci, P. (1983). Evaluation of the chronic inhalation toxicity and
    carcinogenicity of amitrole in rats. Unpublished report No 5821
    (dated: 13-01-1983) from Food and Drug Research Laboratories, Inc..
    Submitted to WHO by Bayer AG.

    Ben-Dyke, R., Perry, M.C., Wall, I. (1973). The short-term
    cumulative toxicity of aminotriazole in the rat. Unpublished report
    Tox/73/39-6 (dated: September 1973) from Fisons Limited Agrochemical
    division, Toxicology department. Submitted to WHO by Bayer AG.

    Bignami, M., Aulicino, F., Velcich, A., Carere, A., Morpurgo, G.
    (1977). Mutagenic and recombinogenic action of pesticides in
     Aspergillus nidulans. Mutation Research, 46: 395-402.

    Bionetics Research Laboratories (1968). Evaluation of carcinogenic,
    teratogenic, and mutagenic activities of selected pesticides and
    industrial chemicals. Volume II: Teratogenic study in mice and rats.
    Report PB-223 160 (dated: August 1968) from Bionetic Research Labs,
    Inc., prepared for National Cancer Institute.

    Braun, R., Schöneich, J., Ziebarth, D. (1977).  In vivo formation
    of N-nitroso compounds and detection of their mutagenic activity in
    the host-mediated assay.  Cancer Research, 37: 4572-4579.

    Brooks, T.M. & Dean, B.J. (1981). Mutagenic activity of 42 coded
    compounds in the salmonella/microsome assay with preincubation.
     Progress in Mutation Research, 1: 261-270.

    Brusick, D.J. (1975). Mutagenic evaluation of compound 3-amino-
    1,2,4-triazole. Unpublished report No 2547 (dated: 14-08-1975) from
    Litton Bionetics, Inc. Submitted to WHO by Bayer AG.

    Brusick, D.J. (1976). Mutagenicity evaluation of 3-amino-1,2,4-
    triazole;  in vitro cellular transformation in BALB/3T3 cells.
    Unpublished report No 2549 (dated: 26-10-1976) from Litton
    Bionetics, Inc. Submitted to WHO by Bayer AG.

    Clyne, R.M. (1970). Statement before the amitrole advisory
    committee. Unpublished document from the American Cyanamid Company
    dd 16 December 1970. Submitted to WHO by Bayer AG.

    Cox, G.E. & Re, T.A. (1978). Inhalation toxicity study with 3-amino-
    1,2,4-triazole (Amitrole) in adult Fisher 344 rats. Unpublished
    report No 5492 (dated: 08-09-1978) from Food and Drug Research
    Laboratories, Inc., Submitted to WHO by Bayer AG.

    Daniel, M.R. & Dehnel, J.M. (1981). Cell transformation test with
    baby hamster kidney cells.  Progress in Mutation Research, 1: 626-
    637.

    Den Tonkelaar, E.M. & Kroes, R. (1974). Schildklierfunctieonderzoek
    na subacute en semichronische toediening van aminotriazol.
    Unpublished report No. 64/74 Tox. from the National Institute of
    Public Health, Bilthoven, the Netherlands.

    Dunkel, V.C., Pienta, R.J., Sivak, A., Traul, K.A. (1981).
    Comparative neoplastic transformation responses of Balb/3T3 cells,
    Syrian hamster embryo cells, and Rauscher murine leukemia virus-
    infected Fischer 344 rat embryo cells to chemical compounds.  J.
     Nat. Cancer Inst. 67: 1303-1315.

    Dunkel, V.C., Zeiger, E., Brusick, D., McCoy, E., McGregor, D.,
    Mortelmans, K., Rosenkranz, H.S., Simmon, V.F. (1984).
    Reproducibility of microbial mutagenicity assays: I. Tests with
     Salmonella typhimurium and  Escherichia coli using a standardized
    protocol.  Environmental Mutagenesis, 6: 1-25.

    Dunkel, V.C., Schechtman L.M., Tu, A.S., Sivak, A., Lubet, R.A.,
    Cameron, T.P. (1988). Interlaboratory evaluation of the C3H/10T1/2
    cell transformation assay.  Env. Mol. Mutagen. 12: 21-31.

    Elsea, J.R. (1954). Amino Triazole. Acute dermal application - acute
    eye application. Unpublished report from Hazleton Laboratories,
    Virginia (dated: 23-12-1954). Submitted to WHO by Bayer AG.

    English, J.S., Rycroft, R.J., Calnan, C.D. (1986). Allergic contact
    dermatitis from aminotriazole.  Contact Dermatitis, 14: 255-256.

    Fang, S.C., George, M., Yu, T.C. (1964). Metabolism of 3-amino-
    1,2,4-triazole-5-C14 by rats. J.  Agric. Food Chem. 12: 219-223.

    Fang, S.C., Khanna, S., Rao, A.V. (1966). Further study on the
    metabolism of labelled 3-amino-1,2,4-triazole (ATA) and its plant
    metabolites in rats.  J. Agric. Food Chem. 14: 262-265.

    Feinstein, R.N., Fry, R.J.M, Staffeldt, E.F. (1978). Carcinogenic
    and Antitumor effects of aminotriazole on acatalasemic and normal
    catalase mice.  J. Natl. Cancer Inst. 60: 1113-1116.

    Fogleman, R.W. (1954). Amizole: Acute administration -
    pharmacodynamics - subacute feeding. Unpublished report from
    Hazleton Laboratories, Virginia (dated: 02-12-1954). Submitted to
    WHO by Bayer AG.

    Franco, L., Municio, A.M. (1975). Comparative metabolism of 3-amino-
    1,2,4-triazole.  Gen. Pharmac. 6: 163-169.

    Fregly, M.J. (1968). Effect of aminotriazole and thyroid function in
    the rat.  Toxicol. Appl. Pharmacol. 13: 271-286.

    Fujii, T., Miyazaki, H., Hashimoto, M. (1984). Autoradiographic and
    biochemical studies of drug distribution in the liver. III. (14C)
    Aminotriazole.  Eur. J. Drug Metab. Pharmacokinet. 9: 257-265.

    Gaines, T.B., Kimbrough, R.D., Linder, R.E. (1973). The toxicity of
    amitrole in the rat.  Toxicol. Appl. Pharmacol. 26: 118-129.

    Gatehouse, D. (1981). Mutagenic activity of 42 coded compounds in
    the microtiter fluctuation assay.  Progress in Mutation Research, 
    1: 376-386.

    Geldmacher-von Mallinckrodt, M. & Schmidt, H.P. (1970). Toxicity and
    metabolism of aminotriazole in man.  Arch. Toxikol. 27: 13-18.

    Grunow, W., Altmann, H.-J., Böhme, Chr. (1975). Metabolism of 3-
    amino-1,2,4-triazole in rats.  Arch. Toxicol. 34: 315-324.

    Hapke, H.-J., Rüssel, H., Ueberschär, S. (1965). Dangers in the use
    of aminotriazol. Dtsch.  Tierärztl. Wochenschrift, 72: 204-206.

    Hapke, H.-J. (1967). The toxicity of aminotriazole for domestic
    animals.  Zbl. Vet. Med. 14: 469-486.

    Hayes, S., Gordon, A., Sadowski, I., Hayes, C. (1984). RK bacterial
    test for independently measuring chemical toxicity and mutagenicity:
    Short-term forward selection assay.  Mutation Research, 130: 97-
    106.

    Hecht (1954). Aminotriazol - Letter report of May 11, 1954 from
    Bayer AG Institute of Toxicology. Submitted to WHO by Bayer AG.

    Hecht & Kimmerle (1962). Aminotriazol - Letter report of August 23,
    1962 from Bayer AG Institute of Toxicology. Submitted to WHO by
    Bayer AG.

    Heimann, K.G. (1982). Aminotriazol techn. - Letter report of April
    7, 1982 from Bayer AG Institute of Toxicology. Submitted to WHO by
    Bayer AG.

    Henwood, S.M. (1988). Percutaneous teratology study with amitrole
    technical in rabbits.  Unpublished report on number HLA 6224-107
    from Hazelton Laboratories America, Inc., submitted to WHO by Rhône-
    Poulenc Ag. Company

    Herbold, B. (1980). Amitrole;  Salmonella/microsome test for
    detection of point-mutagenic effects. Unpublished report No 9339
    (dated: 01-08-1980) from Bayer AG Institute of Toxicology. Submitted
    to WHO by Bayer AG.

    Herbold, B. (1982). Amitrole; Micronucleus test on the mouse to
    evaluate for mutagenic effect. Unpublished report No 11139 (dated:
    13-09-1982) from Bayer AG Institute of Toxicology. Submitted to WHO
    by Bayer AG.

    Hill, R.N., Erdreich, L.S., Paynter, O.E., Roberts, P.A., Rosenthal,
    S.L., Wilkinson, C.F. (1989). Thyroid follicular cell
    carcinogenesis.  Fund. Appl. Toxicol. 12: 629-697.

    Hubbard, S.A., Green, M.H.L., Bridges, B.A., Wain, A.J., Bridges,
    J.W. (1981). Fluctuation test with S9 and hepatocyte activation.
     Progress in Mutation Research, 1: 361-370.

    Ichinotsubo, D., Mower, H., Mandel, M. (1981). Testing of a series
    of paired compounds (carcinogen and non-carcinogenic structural
    analog) by DNA repair-deficient  E. coli strains.  Progress in
     Mutation Research, 1: 195-198.

    Innes, J.R., Ulland, B.M., Valerio, M.G., Petrucelli, L., Fishbein,
    L., Hart, E.R., Palotta, A.J. (1969). Bioassay of pesticides and
    industrial chemicals for tumorigenicity in mice: A preliminary note.
     J. Nat. Cancer Inst. 42: 1101-1114.

    Inoue, K., Katoh, I., Takayama, S. (1981).  In vitro transformation
    of hamster embryo cells by 3-(N-salicycloyl)amino-1,2,4-triazole.
     Toxicol. Letters, 7: 211-215.

    Johnson, W.D. (1981). Lifetime feeding study of amitrole in Fischer
    344 rats. Unpublished report No 5651 (dated: 07-08-1981) from Food
    and Drug Research Laboratories, Inc. Submitted to WHO by Bayer AG.

    Jukes, T.H & Shafer, C.B. (1960). Antithyroid effects of
    aminotriazole.  Science, 132: 296-297.

    Kada, T. (1981). The DNA-damaging activity of 42 coded compounds in
    the rec-assay.  Progress in Mutation Research, 1: 171-182.

    Kassinova, G.V., Kovaltzova, S.V., Marfin, S.V., Zakharov, I.A.
    (1981). Activity of 40 coded compounds in differential inhibition
    and mitotic crossing-over assays in yeast.  Progress in Mutation
     Research, 1: 434-455.

    Keller, J. (1959). Aminotriazole: Two-year chronic feeding - rats.
    Unpublished report from Hazleton Laboratories Virginia (dated: 02-
    01-1959). Submitted to WHO by Bayer AG.

    Kimmerle (1968). Aminotriazol - Letter report of June 12, 1968 from
    Bayer AG Institute of Toxicology. Submitted to WHO by Bayer AG.

    Knickerbocker, M. (1978). A study to determine the potential of
    amitrole to induce dominant lethal mutations in Ha (ICR) mice.
    Unpublished report no 5502 (dated: 28-02-1978) from Food and Drug
    Research Laboratories, Inc. Submitted to WHO by Bayer AG.

    Laamanen, I., Sorsa, M., Bamford, D., Gripenberg, U. Meretoja, T.
    (1976). Mutagenicity and toxicity of amitrole. I.  Drosophila
    tests.  Mutation Research, 40: 185-190.

    Lemoine, N.R., Mayall, E.S., Williams, E.D., Thurston, V., Wynford-
    Thomas, D. (1988). Agent-specific  ras oncogene activation in rat
    thyroid tumours.  Oncogene, 3: 541-544.

    MacDonald, C.M., Pullinger, D.H. (1976). A pharmacokinetic study to
    compare "head only" and "whole body" inhalation methods of 14C-
    amitrole exposure. Unpublished report No 291/1 (dated: March 1976)
    from Hazleton Laboratories Europe Ltd. Submitted to WHO by Bayer AG.

    Machemer, L. (1977a). Amitrole/Dominant lethal test on the male
    mouse to evaluate for mutagenic effects. Unpublished report no 6679
    (dated: 23-03-1977) from Bayer AG, Institute of Toxicology.
    Submitted to WHO by Bayer AG.

    Machemer, L. (1977b). Amitrole; Study for embryotoxic and
    teratogenic effects after oral administration to the rat.
    Unpublished report No 6634 (dated: 24-02-77) from Bayer AG Institute
    of Toxicology. Submitted to WHO by Bayer AG.

    Mamber, S.W., Bryson, V., Katz, S.E. (1983). The  Escherichia coli
    WP2/WP100 rec assay for detection of potential chemical carcinogens.
     Mutation Research, 119: 135-144.

    Mamber, S.W., Bryson, V., Katz, S.E. (1984). Evaluation of the
     Escherichia coli K12 inductest for detection of potential chemical
    carcinogens.  Mutation Research, 130: 141-151.

    Martin, C.N. & McDermid, A.C. (1981).  Testing of 42 coded compounds
    for their ability to induce unscheduled DNA repair synthesis in HeLa
    cells.  Progress in Mutation Research, 1: 533-537.

    McDonald, D.J. (1981).  Salmonella/microsome tests on 42 coded
    chemicals. Progress in  Mutation Research, 1: 285-297.

    McGregor, D.B., Martin, R., Cattanach, P., Edwards, I., McBride, D.,
    Caspary, W.J. (1987). Response of the L5178Y Tk+/Tk-mouse lymphoma
    cell forward mutation assay to coded chemicals. I. Results for nine
    compounds.  Env. Mutagen. 9: 143-160.

    Mehta, R.D., von Borstel, R.C. (1981). Mutagenic activity of 42
    coded compounds in the haploid yeast reversion assay, strain XV185-
    14C.  Progress in Mutation Research, 1: 414-423.

    Meretoja, T., Gripenberg, U., Bamford, D., Laamanen, I., Sorsa, S.
    (1976). Mutagenicity and toxicity of amitrole, II. Human lymphocyte
    culture tests.  Mutation Research, 40: 191-196.

    Mihail, F. (1984). Aminotriazole - Studies for skin sensitization
    effect on guinea pigs. Unpublished report No 12607 (dated 12-04-
    1984) from Bayer AG Institute of Toxicology. Submitted to WHO by
    Bayer AG.

    Mihail, F. (1985). Aminotriazole - Study for skin-sensitising effect
    on guinea pigs in the open epicutaneous test. Unpublished report No
    13775 (dated: 27-08-1985) from Bayer AG Institute of Toxicology.
    Submitted to WHO by Bayer AG.

    Mihail, F. & Schilde, B. (1984). Aminotriazole - Study for subacute
    dermal toxicity to rabbits Unpublished report No 12369 (dated: 09-
    01-1984) from Bayer AG Institute of Toxicology. Submitted to WHO by
    Bayer AG.

    Miksche, L.W. (1982). Letter report of 22-06-82 - BBA request-
    effects on man. Unpublished document from the Bayer AG, LE Medical
    Department Leverkusen. Submitted to WHO by Bayer AG.

    Miksche, L.W. (1983). Letter report of 22-04-83 - Production of
    amitrole-medical monitoring. Unpublished document from the Bayer AG,
    LE Medical Department Leverkusen. Submitted to WHO by Bayer AG.

    Mori, S., Takeuchi, Y., Toyama, M., Makino, S., Ohhara, T., Tochino,
    Y., Hayashi, Y. (1985). Amitrole: Strain differences in
    morphological response of the liver following subchronic
    administration to mice.  Toxicology Letters, 29: 145-152.

    Moriya, M., Ohta, T., Watanabe, K., Miyazawa, T., Kato, K., Shirasu,
    Y. (1983). Further mutagenicity studies on pesticides in bacterial
    reversion assay systems.  Mutation Research, 116: 185-216.

    Morpurgo, G., Bellincampi, D., Gualandi, G., Baldinelli, L., Serlupi
    Crescenzi, O. (1979). Analysis of mitotic nondisjunction with
     Aspergillus nidulans. Env. Health Perspect. 31: 81-95.

    Napalkov, N.P. (1962). Blastomogenic action of 3-amino-1,2,4-
    triazole. (Russ). Gig. Tr. prof. Zabol. 6: 48-51. In: Amitrole; IARC
    Monographs on the evaluation of carcinogenic risk of chemicals to
    humans (1986).  World Health Organization, Vol. 41: 293-317, Lyon. 

    Palmer, J.S. (1972). Toxicity of 45 organic herbicides to cattle
    sheep, and chickens. Production Research report no 137 (dated: March
    1972) from US Department of Agriculture. Submitted to WHO by Bayer
    AG.

    Paynter O.E., Burin, G.J., Jaeger, R.B., Gregorio C.A. (1988).
    Goitrogens and thyroid follicular cell neoplasia: evidence for a
    threshold process.  Regul. Toxicol. Pharmacol. 8: 102-119.

    Perry, P.E. & Thomson, E.J. (1981). Evaluation of sister chromatid
    exchange method in mammalian cells as a screening system for
    carcinogens.  Progress in Mutation Research, 1: 560-569.

    Prince, H.N. (1977). Microbial mutagen assays with amitrole (3-
    amino-1,2,4-triazole). Unpublished report no 5634 (dated: 12-09-
    1977) from Gibraltar Biological Laboratories (submitted via Food and
    Drug Research Laboratories, Inc.). Submitted to WHO by Bayer AG.

    Reitze, H.K. & Seitz, K.A. (1985). Light and electron microscopical
    changes in the liver of mice following treatment with aminotriazole.
     Exp. Pathol. 27: 17-31.

    Richold, M. & Jones, E. (1981). Mutagenic activity of 42 coded
    compounds in the  Salmonella/microsome assay.  Progress in Mutation
     Research, 1: 314-322.

    Rosenkranz, H.S., Hyman, J., Leifer, Z. (1981). DNA polymerase
    deficient assay. Progress in  Mutation Research, 1: 210-218.

    Rowland, I. & Severn, B. (1981). Mutagenic of carcinogens and
    noncarcinogens in the  salmonella/micrososme test.  Progress in
     Mutation Research, 1: 323-332.

    Seidenberg, I.L. & Gee, A.H. (1953). Report on acute toxicity of
    aminotriazole as established by oral administration to rats.
    Unpublished report from Foster D. Snell Inc. (dated: 08-06-1953).
    Submitted to WHO by Bayer AG.

    Shah, P.V. & Guthrie, F.E. (1977). Dermal absorption, distribution,
    and the fate of six pesticides in the rabbit. In: Pesticide
    Management and Insecticide Resistance. pp 547-554. Academic Press.

    Sharp, D.C. & Parry, J.M. (1981a). Induction of mitotic gene
    conversion by 41 coded compounds using the yeast culture JD1.
     Progress in Mutation Research, 1: 491-501.

    Sharp, D.C. & Parry, J.M. (1981b). Use of repair deficient strains
    of yeast to assay the activity of 40 coded compounds.  Progress in
     Mutation Research, 1: 502-516.

    Shirasu, Y., Moriya, M., kato, K., Furuhashi, A., Kada, T. (1976).
    Mutagenicity screening of pesticides in the microbial system.
     Mutation Research, 40: 19-30.

    Simmon, V.H., Rosenkranz, H.S., Zeiger, E., Poirer, L.A. (1979).
    Mutagenic activity of chemical carcinogens and related compounds in
    the intraperitoneal host-mediated assay. J.  Natl. Cancer Inst. 62:
    911-918.

    Steinhoff, D. & Boehme, K. (1978). Aminotriazole; carcinogenesis
    study with oral administration to Syrian golden hamsters.
    Unpublished report No 7521 (dated: 16-05-1978) from Bayer AG,
    Institute of Toxicology. Submitted to WHO by Bayer AG.

    Steinhoff, D. & Boehme, K. (1979a). Aminotriazole; carcinogenesis
    study with oral administration to rats. Unpublished report No 8450
    (dated: 11-06-1979) from Bayer AG, Institute of Toxicology.
    Submitted to WHO by Bayer AG.

    Steinhoff, D. & Boehme, K. (1979b). Aminotriazole; carcinogenesis
    study with oral administration to mice. Unpublished report No 8490
    (dated: 17-07-1979) from Bayer AG, Institute of Toxicology.
    Submitted to WHO by Bayer AG.

    Steinhoff, D., Weber, H., Mohr, U., Boehme, K. (1983). Evaluation of
    Amitrole (Aminotriazole) for potential carcinogenicity in orally
    dosed rats, mice, and golden hamsters.  Toxicol. Appl. Pharmacol.
    69: 161-169.

    Stendel (1965). Aminotriazole/oral toxicity to cattle. Unpublished
    letter report of March 15, 1965 from Bayer AG, Institute of
    Toxicology. Submitted to WHO by Bayer AG.

    Strum, J.M. & Karnovsky, M.B. (1971). Aminotriazole goiter. Fine
    structure and localization of thyroid peroxidase activity.
     Laboratory Investigation, 24: 1-12.

    Styles, J.A. (1979). Studies on the detection of carcinogens using a
    mammalian cell transformation assay with liver homogenate
    activation. In: Norpoth, K. & Garner, R.C. (eds), Short-term
    mutagenicity test systems for detecting carcinogens. Proceedings of
    the International Symposium on short-term mutagenicity test systems.
    Dortmund, Nov. 15-17, 1978 pp 226-238. Springer Verlag, New York.

    Styles, J.A. (1981). Activity of 42 coded compounds in the BHK-21
    cell transformation test.  Progress in Mutation Research, 1: 638-
    646.

    Thomson, J.A. (1981). Mutagenic activity of 42 coded compounds in
    the lambda induction assay.  Progress in Mutation Research, 1: 224-
    235.

    Thyssen, J. (1974a). Aminotriazol Batch no 143 - Determination of
    acute toxicity. Letter report of June 10, 1974 from Bayer AG,
    Institute of Toxicology. Submitted to WHO by Bayer AG.

    Thyssen, J. (1974b). Aminotriazol - Determination of acute toxicity.
    Letter report of September 26, 1974 from Bayer AG, Institute of
    Toxicology. Submitted to WHO by Bayer AG.

    Thyssen, J. (1983). Aminotriazole - Acute inhalation toxicity.
    Unpublished report No 11707 (dated: 11-04-1983) from Bayer AG,
    Institute of Toxicology. Submitted to WHO by Bayer AG.

    Tjälve, H. (1974). Fetal uptake and embryogenetic effects of
    aminotriazole in mice.  Arch. Toxicol. 33: 41-48.

    Tjälve, H. (1975). The distribution of labelled aminotriazole in
    mice.  Toxicology, 3: 49-67.

    Topham, J.C. (1980). Do induced sperm-head abnormalities in mice
    specifically identify mammalian mutagens rather than carcinogens?
     Mutation Research, 74: 379-387.

    Tronnier, H. (1983). Aminotriazole - Expertise by consultant
    dermatologist on testing for phototoxicity in test subjects.
    Unpublished report No R 2544 (dated: 05-08-1983) from City Clinics
    Dortmund. Submitted to WHO by Bayer AG

    Trueman, R.W. (1981). Activity of 42 coded compounds in the
     Salmonella reverse mutation test.  Progress in Mutation Research,
    1: 343-350.

    Tsuchimoto, T. & Matter, B.E. (1981). Activity of coded compounds in
    the micronucleus test.  Progress in Mutation Research, 1: 705-711.

    Tsuda, H., Takahashi, M., Fukushima, S., Endo, Y. (1973). Fine
    structure and localization of peroxidase activity in aminotriazole
    goiter.  Nagoya Med. J., 18: 183-197.

    Tsutsui, T., Maizumi, H., Barrett, J.C. (1984). Amitrole-induced
    cell transformation and gene mutations in Syrian hamster embryo
    cells in culture.  Mutation Research, 140: 205-207.

    Turner, D.M., Gilbert, C.M. (1976). Evidence of metabolismus of
    (14C) Amitrole in the rat after inhalation administration.
    Unpublished report No 291/1a (dated May 1976) from Hazleton
    Laboratories Europe Ltd. Submitted to WHO by Bayer AG.

    Tweats, D.J. (1981). Activity of 42 coded compounds in a
    differential killing test using  Escherichia coli strains Wp2, WP67
    (uvrA polA), and CM871 (uvrA lexA recA).  Progress in Mutation
     Research, 1: 199-209.

    Tyl, R.W. (1986a). Teratogenicity evaluation of aminotriazole
    technical administered by gavage to CD rats. Unpublished report No
    49-45 (dated: 29-05-1986) from Union Carbide Bushy Run Research
    Center. Submitted to WHO by Bayer AG and Rhône-Poulenc Ag. Company.

    Tyl, R.W. (1986b). Teratogenicity evaluation of aminotriazole
    technical administered by gavage to New Zealand White rabbits.
    Unpublished report No 49-66 (dated: 30-05-1986) from Union Carbide
    Bushy Run Research Center. Submitted to WHO by Rhône-Poulenc Ag.
    Company. 

    Venitt, S. & Crofton-Sleigh, S. (1981). Mutagenicity of 42 coded
    compounds in a bacterial assay using  Escherichia coli and
     Salmonella typhimurium. Progress in Mutation Research, 1: 351-360.

    Vesselinovitch, S.D. (1983). Perinatal hepatocarcinogenesis.
     Biological Research in Pregnancy and Perinatology, 4: 22-25.

    Vogel, E., Blijleven, W.G.H., Kortselius, M.J.H., Zijlstra, J.A.
    (1981). Mutagenic activity of 17 coded compounds in the sex-linked
    recessive lethal test in  Drosophila melangolaster. Progress in
     Mutation Research, 1: 660-665.

    Weber, H. (1983). Aminotriazole feeding study: Determination of the
    threshold dose level affecting the thyroid function of female rats
    by radioiodine assay and by T3 and T4 radioimmunoassay. Unpublished
    report No. 11739 (F) (dated: 13-04-1983) from Bayer Health Care
    Division. Submitted to WHO by Bayer AG.

    Weber, H. & Patzschke, K. (1978). Effect of long-term administration
    of aminotriazole on thyroid function of male and female rats, mice
    and hamsters. Unpublished report No 7690 (dated: 14-07-1978) from
    Bayer AG, Institute of Pharmacokinetics. Submitted to WHO by Bayer
    AG.

    Weir, R. (1958). 3-Amino-1,2,4-triazole Chronic oral administration
    - beagle dogs. Unpublished report from Hazleton Laboratories
    Virginia dd December 1, 1958. Submitted to WHO by Bayer AG.

    WHO (1992).  The WHO recommended classification of pesticides by
    hazard and guidelines to classification 1992-1993 (WHO/PCD/92.14).
    Available from the International Programme on Chemical Safety, World
    Health Organization, Geneva, Switzerland.

    WHO (1994). International Programme on Chemical Safety Environmental
    Health Criteria 158: Amitrole. Geneva, World Health Organization.

    Wynford-Thomas, D., Stringer, B.M., Williams, E.D. (1982a).
    Dissociation of growth and function in the rat thyroid during
    prolonged goitrogen administration.  Acta Endocrinologica, 101:
    210-216.

    Wynford-Thomas, D., Stringer, B.M., Williams, E.D. (1982b).
    Goitrogen-induced thyroid growth in the rat: a quantitative
    morphometric study.  J. Endocr. 94: 131-140.

    Zimmermann, F.K. & Scheel, I. (1981). Induction of mitotic gene
    conversion in strain D7 of  Saccharomyces cerevisiae by 42 coded
    chemicals.  Progress in Mutation Research, 1: 481-490.


    See Also:
       Toxicological Abbreviations
       Amitrole (EHC 158, 1994)
       Amitrole (HSG 85, 1994)
       Amitrole (ICSC)
       Amitrole (WHO Pesticide Residues Series 4)
       Amitrole (Pesticide residues in food: 1977 evaluations)
       Amitrole (Pesticide residues in food: 1997 evaluations Part II Toxicological & Environmental)
       Amitrole  (IARC Summary & Evaluation, Supplement7, 1987)
       Amitrole  (IARC Summary & Evaluation, Volume 7, 1974)
       Amitrole  (IARC Summary & Evaluation, Volume 41, 1986)
       Amitrole  (IARC Summary & Evaluation, Volume 79, 2001)