IPCS INCHEM Home



    PESTICIDE RESIDUES IN FOOD - 1997


    Sponsored jointly by FAO and WHO
    with the support of the International Programme
    on Chemical Safety (IPCS)




    TOXICOLOGICAL AND ENVIRONMENTAL
    EVALUATIONS 1994




    Joint meeting of the
    FAO Panel of Experts on Pesticide Residues
    in Food and the Environment
    and the
    WHO Core Assessment Group 

    Lyon 22 September - 1 October 1997



    The summaries and evaluations contained in this book are, in most
    cases, based on unpublished proprietary data submitted for the purpose
    of the JMPR assessment. A registration authority should not grant a
    registration on the basis of an evaluation unless it has first
    received authorization for such use from the owner who submitted the
    data for JMPR review or has received the data on which the summaries
    are based, either from the owner of the data or from a second party
    that has obtained permission from the owner of the data for this
    purpose.



    AMITROLE (addendum)

    First draft prepared by
    S. Geertsen and T. Jones
    Health Evaluation Division, Pest Management Regulatory Agency
    Health Canada, Ottawa, Ontario, Canada

         Explanation
         Evaluation for acceptable daily intake
              Biochemical aspects
                   Absorption, distribution, excretion
                   Biotransformation
              Toxicological studies
                   Short-term toxicity
                   Reproductive toxicity
                        Multigeneration reproductive toxicity        
         Developmental toxicity
                        Special study: Maternal toxicity
         Comments
         Toxicological evaluation
         References

    Explanation

         Amitrole was first considered by the Joint Meeting in 1974 (Annex
    I, reference 22). A conditional ADI of 0-0.00003 mg/kg bw was
    established at that time, which was extended by the 1977 Meeting
    (Annex I, reference 28) after consideration of additional data, on the
    basis of an NOAEL of 0.025 mg/kg bw per day in a three-month study in
    rats and a 1000-fold safety factor. In 1993, amitrole was re-evaluated
    within the CCPR periodic review programme (Annex I, reference 68),
    when the Meeting established a temporary ADI of 0-0.0005 mg/kg bw on
    the basis of an NOAEL of 0.5 mg/kg bw per day in a two-year study of
    toxicity in rats and a 1000-fold safety factor because of the
    inadequacy of the database. The 1993 Meeting requested submission of
    the results of a two-generation study of reproductive toxicity in
    rats, a one-year study in dogs, a study of developmental toxicity
    after oral administration in rabbits, and a study of metabolism in
    rats. The results of these studies and of a study of effects on the
    thyroid gland of pregnant rabbits were reviewed at the present
    Meeting.

         WHO has published an Environmental Health Criteria monograph on
    amitrole (WHO, 1994).

    Evaluation for acceptable daily intake

    1.  Biochemical aspects

    (a)  Absorption, distribution, and excretion

         Expiration of 14CO2 was measured in five male Wistar BOR:WISW
    (SPF Cpb) rats given [5-14C]-amitrole (77.3 µCi/mg; radiochemical
    purity, 97.5%) at a dose of 1 mg/kg bw over 72 h, and the presence of
    radiolabel was determined by whole-body autoradiography in male rats
    killed sequentially 1, 4, 8, 24, and 48 h after administration of 5
    mg/kg bw labelled material. Groups of five male and five female rats
    received single doses of labelled material at 1 mg/kg bw orally, 500
    mg/kg bw orally, or 1 mg/kg bw intravenously and were killed after 48
    h. A final group of five male and five female animals was given
    unlabelled amitrole in daily doses of 1 mg/kg bw for 14 days, followed
    on the 15th day by a single dose of 1 mg/kg bw 14C-labelled amitrole
    and were killed 48 h after the final dose. 

         Amitrole was rapidly absorbed, attaining a maximal plasma level
    40-60 min after oral administration and 5-20 min after intravenous
    administration. The material was rapidly excreted, mainly in the
    urine; more than 70% was eliminated within 8 h and 87-95% within 48 h.
    Only a small amount (1.5-6.2%) was excreted in faeces and a negligible
    amount in expired air. The total urinary excretion levels were the
    same for the low dose (90%), high dose (94%), repeated doses (88%),
    and intravenous dose (90% in males). The tissue levels of labelled
    material were < 2.9% of the administered dose at sacrifice, the
    majority being found in the liver. More than 94% of the administered
    dose of radiolabel was recovered, except in females treated
    intravenously with 1 mg/kg bw, from which only 77% was recovered,
    indicating a problem in the dosing regime. The absorption,
    distribution, and excretion of the labelled material were similar in
    male and female animals. 

         Whole-body autoradiography showed wide distribution of radiolabel
    in all organs and tissues at 1 and 4 h. The distribution shifted at 8
    h to increasing density in the gastrointestinal tract, liver, and
    kidneys. By 24 and 48 h after administration, most 14C-labelled
    amitrole was found in the liver and minor amounts in the renal cortex
    and nasal mucosa (Anderson & Brauner, 1995).

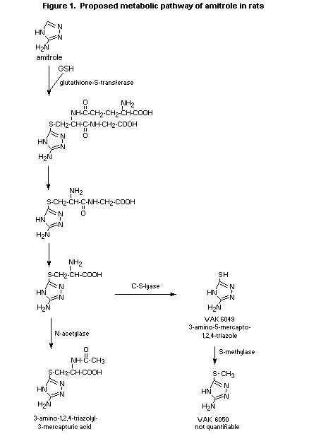
    (b) Biotransformation

         The metabolites in the urine were quantified for all groups in
    the study described above. Most of the amitrole (60-90%) remained
    unmetabolized. After administration of the low dose (1 mg/kg bw), the
    primary metabolite was 3-amino-1,2,4-triazolyl-5-mercapturic acid,
    which accounted for 2-7% of the administered dose.
    3-Amino-5-mercapto-1,2,4-triazole (WAK 6049) was present in a very
    small amount (< 2.6%). While the metabolic profile did not differ
    significantly with route or frequency of dosing, mercapturic acid was

    not found in urine collected after administration of the high dose of
    500 mg/kg bw, and only samples from males contained trace amounts
    (< 1%). WAK 6050 was identified in trace amounts only after repeated
    dosing. Biotransformation of amitrole to volatile metabolites was
    negligible (0.1%). Figure 1 summarizes the metabolic pathway of
    amitrole in rats proposed in this study (Anderson & Brauner, 1995).

    2.  Toxicological studies

    (a)  Short-term toxicity

         Groups of four beagle dogs of each sex were fed diets containing
    amitrole (purity, 97%) at concentrations of 0, 10, 500, or 1500 ppm
    (equal to 0, 0.29, 13, or 32 mg/kg bw per day in males and 0, 0.31,
    13, or 37 mg/kg bw per day in females). The animals were obsrved for
    deaths, clinical signs (including neurological reflexes and reactions,
    cardiac waves, blood pressure, and heart rate), body weight, food
    consumption, and ophthalmoscopic, haematological, urinary, and
    clinical chemical parameters (including thyroxine, triiodothyronine,
    and thyroid stimulating hormone); more than 45 tissues were examined
    grossly and histologically. 

         The primary target for the toxicity of amitrole was the thyroid,
    with evidence of hypothyroidism in males and females at the
    intermediate and high doses characterized by statistically
    significantly lower levels of thyroxine and triiodothyronine. Some
    adaptation of these levels was seen after three months in males and
    females at the intermediate dose, as the concentrations had returned
    to normal by day 91; however, no such adaptation was seen in dogs at
    1500 ppm. The levels were lower than those in controls throughout the
    study. Although the authors stated that the level of thyroid
    stimulating hormone was reduced in males and females at the high dose,
    the results were too variable to conclude that there was a
    treatment-related change. Clinical signs consistent with
    hypothyroidism were observed in dogs at the intermediate and high
    doses, including palpably enlarged thyroids and rough coats (in males
    at 500 ppm and males and females at 1500 ppm); raised and/or
    discoloured zones on the skin of the nose, outer ear margins, and
    hindlimbs, described histologically as acanthosis, hyperkeratosis, and
    inflammation, in animals at the high dose; and markedly increased
    thyroid weights, by 5-8-fold in males and females at the intemediate
    dose and by 16-33-fold at the high dose, coupled with pathological
    changes in the thyroid and pituitary gland. A range of lesions in the
    thyroids was noted, including follicular-cell hyperplasia (in males
    and females at 500 and 1500 ppm) and capsular fibrosis, vasculitis,
    and dilatation of the vasculature (in males at 500 ppm and males and
    females at 1500 ppm). Thrombosis, pigmentation, and haemorrhage were
    seen in the thyroids of males and females at the high dose; pituitary
    hyperplasia (in males at 1500 ppm) and hypertrophy (in males at
    500 ppm and males and females at 1500 ppm) were also seen. Males and
    females at 500 and 1500 ppm also had ectopic thyroids in the adipose
    tissue surrounding the aortas. Follicular hyperplasia with or without
    capsular fibrosis was seen in these ectopic thyroids. Typical of

    FIGURE 1

    hypothyroidism were the statistically significantly lower erythrocyte,
    haemoglobin, and haematocrit counts and the slightly lower mean cell
    volume and mean cell haemoglobin in males and females at 1500 ppm.
    There was also a statistically significantly increased incidence of
    hypochromasia. Although the authors concluded that there was mild,
    non-regenerative, normochromic anaemia, the effect on mean cell volume
    and mean cell haemoglobin would indicate mild, hypochromic, microcytic
    anaemia. An increase in cholesterol levels was also seen in males at
    the high dose. 

         Statistically significantly decreased absolute and relative heart
    weights (by about 25%) were seen in males at 1500 ppm, which were
    reflected in decreases in P-wave and R-wave amplitudes in this group.
    The neurological examinations showed decreased jaw tone (related to
    the trigeminal nerve) and/or temporal muscle atrophy in males at the
    high dose. Limb muscle weakness and decreased postural hopping
    reactions (hemiwalk and hemihop) accompanied by proprioceptive
    deficits and reluctance to walk and/or dragging of the limbs were seen
    in two males and one female at 1500 ppm. The authors stated that these
    effects are consistent with the weakness, exercise intolerance, and
    stiffness associated with canine hypothyroidism. While muscle atrophy
    and inactivity are commonly observed in hypothyroidism, no
    documentation was provided to specifically link proprioceptive
    deficits and postural hopping reactions with hypothyroidism, and these
    changes may be independent of the effects on the thyroid. Another
    significant sign of systemic toxicity was a treatment-related
    reduction in the body-weight gain of males at the high dose during the
    first six months, which was coupled with 40% reductions in food
    consumption throughout the study. Although the authors considered that
    amitrole had no meaningful effects on body weight, the body weights of
    these animals were consistently 10% lower and their weight gain 20-30%
    lower than those of controls (not statistically significant). The food
    consumption of females at the high-dose was also reduced, but to a
    lesser extent (15-20%). Other indications of systemic toxicity
    included a clear eye discharge in males at the intermediate dose and
    males and females at the high dose, increased levels of lactic
    dehydrogenase in males at the high dose, statistically significantly
    increased platelet counts in males and females at the high dose,
    statistically significantly lower brain weights (15%) and inflammation
    with or without perivascular cuffing in the brains of males and
    females at 1500 ppm, and pigmentation and epithelial-cell hyperplasia
    in the gall-bladders of these animals. The authors also concluded that
    amitrole induced changes in the blood levels of albumin, aspartate
    aminotransferase, and sodium. Owing to the high variability, both over
    time and among groups, the observed changes in these parameters could
    not, however, be clearly attributed to treatment. There were no
    effects on mortality, heart rate, blood pressure, or urinary
    parameters. Males appeared to be more sensitive than females. The
    NOAEL was 10 ppm, equal to 0.29 mg/kg bw per day, on the basis of
    goitrogenic effects at doses of 500 ppm and above (Jones & Lake,
    1994).

    (b)  Reproductive toxicity

    (i)  Multigeneration reproductive toxicity

         In a one-generation, one-litter, dose-finding study of
    reproductive toxicity, groups of 10 male and 10 female Sprague-Dawley
    Crl:CD(SD)BR rats were fed amitrole (purity, 97.4%) in the diet at
    levels of 2, 10, 40, or 160 ppm. F0 animals were treated for 29 days
    before mating up to weaning of the F1 pups, providing doses of 0.12,
    0.62, 2.5, and 8.3 mg/kg bw per day for F0 males; 0.19, 0.94, 3.7,
    and 12 mg/kg bw per day for F0 females; 0.29, 1.4, 5.3, and 28 mg/kg
    bw per day for F1 males; and 0.31, 1.6, 5.8, and 28 mg/kg bw per day
    for F1 females. When possible, one F1 pup of each sex per litter was
    killed for histopathological examination on day 14  post partum, and
    two pups of each sex per litter were selected after weaning for
    treatment for a further 36 days. Mortality, clinical signs, body
    weight, and food consumption were monitored at all stages of the
    study, and the following indices were calculated: male mating, female
    mating, male and female fertility, gestation, viability on days 4, 14,
    and 21  post partum, and numbers of live births. In addition, oestrus
    cycles, litter size, number of implantations, gestation length, and
    sex ratio were recorded. Gross and microscopic examinations were
    performed. 

         Five F1 males and three females given 160 ppm died after
    weaning, and three males and three females in this group showed one or
    more of the following signs before premature sacrifice: piloerection,
    cold to touch, pale extremities, hypersensitivity to touch, soiled
    urogenital region, hypokinesia, dyspnoea, staggering gait, swollen
    abdomen, sedation, and tremors. Statistically significantly decreased
    body weights were seen at 160 ppm among F0 males, among F0 females
    during gestation and lactation, among F1 pups on days 7-21  post
    partum and after weaning, and in F1 males at 40 ppm. Significantly
    decreased food consumption was seen throughout the study in F0 and
    F1 animals given the high dose and in males of the F1 generation at
    40 ppm. All of these effects were considered to be toxicologically
    significant. Females at the high dose had a lower implantation rate
    (12.1 implantation sites) than controls (16.6 sites), which was
    reflected in significantly lower birth rates and day-1 litter sizes.
    The viability indices on days 4, 14, and 21 were not decreased by
    treatment. The number of females with a normal oestrus cycle was
    decreased in a dose-related fashion among animals at 40 or 160 ppm,
    due in the latter group to the smaller number of implantations.

         The thyroid glands of F0 males and females showed a dose-related
    increase in size and in the incidence of reddish colour, starting at
    10 ppm in the males and at 40 ppm in the females. All animals at 160
    ppm had reddened pituitary glands and greyish-white foci on the lungs,
    and the adrenal glands and spleens were reduced in size. Male and
    female F1 adults given 40 or 160 ppm and killed at the end of the
    study had enlarged, reddened thyroid glands and reddened pituitary
    glands. Histopathological examination showed dose-related effects in

    the liver and pituitary gland in F0 and F1 animals at these doses,
    decreased colloid content in females of both generations at 10, 40, or
    160 ppm, vascular ectasia in all animals of both generations treated
    with 40 or 160 ppm, and peri-adenitis in a small number of F0 males
    at 160 ppm. No treatment-related histopathological lesions were seen
    in pups killed on day 14  post partum.

         Doses were selected for use in the main study on the basis of the
    reproductive effects and toxicity seen at 160 ppm and the minimal
    toxicity observed in males treated with 40 ppm amitrole (Savary,
    1994). 

         In the main study, groups of 30 male and 30 female Sprague-Dawley
    Crl:CD(SD)BR rats were fed diets containing amitrole (purity, 97-98%)
    at levels of 0.5, 2, 15, or 110 ppm for two generations, with one
    litter per generation. These doses were equivalent to 0.03, 0.12, 0.9,
    or 5.9 mg/kg bw per day in F0 males; 0.04, 0.16, 1.2, or 12 mg/kg bw
    per day in F1 males; 0.04, 0.16, 1.2, or 7.8 mg/kg bw per day in F0
    females; and 0.05, 0.21, 1.6, or 16 mg/kg bw per day in F1 females.
    Treatment was begun in the parental animals 72 days before mating and
    was continued throughout gestation and lactation. Mortality, clinical
    signs, body weight, and food consumption were monitored at all stages
    of the study, and the following indices were calculated: male mating,
    female mating, male and female fertility, gestation, viability on days
    4 and 21  post partum, and numbers of live births. Additional
    parameters measured included pup development, litter size, number of
    implantations, and length of gestation. All animals were examined
    grossly, and controls and animals at the high dose were examined
    microscopically. The absolute and relative weights (as a percentage of
    body weight) of 11 organs were determined. 

         Death or clinical signs were observed in 10/32 F1 males and
    16/31 females treated with 110 ppm amitrole, and both F0 and F1
    parental animals at this dose had statistically and toxicologically
    significant decreases in body weight throughout the study. By the end
    of pre-mating, the body weights of F0 males were 60% those of the
    controls, and those of the females were 85% those of controls. The F1
    animals at this dose were more severely affected, their mean body
    weights being only about 35% of those of controls. All parental
    animals at this dose had statistically and toxicologically
    significantly decreased food consumption. 

         Animals at the two lower doses had no changes in organ weight or
    histopathological appearance; however, those at 110 ppm had changes
    indicative of widespread systemic toxicity, including significantly
    increased relative thyroid gland weights and treatment-related
    histopathological lesions such as follicular epithelial hyperplasia
    and vascular ectasia, in most animals. The relative pituitary gland
    weights were also significantly increased in F0 and F1 males and F1
    females, with treatment-related histopathological changes, including
    vacuolated cells and decreased numbers of acidophils, in F0 females
    and F1 males and females. At this dose, significant increases were

    also seen in the relative weights of the testis, epididymides, and
    seminal vesicles (both generations), prostate (F1), and uterus (F1);
    decreased relative ovarian weights were seen in the F0 generation.
    Slightly increased incidences of histopathological effects were seen
    in the testis and epididymides of F1 animals and in the ovaries,
    uterus, and vagina in both generations. Many of the histopathological
    effects on the reproductive tissues, including the prostate and
    seminal vesicles, were related to immaturity, which is consistent with
    the small size of the animals at this dose. Other signs of systemic
    toxicity in animals at the high dose included significantly decreased
    relative weights of the adrenal glands in F0 males and females and
    F1 females but a significant increase in F1 males. Both generations
    of males showed an increased frequency of ceroid-laden cortical cells,
    and the F0 females had an increased incidence of cortical atrophy.
    All animals at the high dose had significantly increased relative
    spleen weights, and treatment-related histopathological effects were
    seen in F0 males and females and F1 males. While only F1 males had
    increased relative kidney weights, the remaining animals had
    treatment-related increases in the incidence of numerous renal
    lesions. Hepatocellular hypertrophy was seen in most animals at
    110 ppm, but the decrease in relative liver weight was significant
    only in F1 males. F1 pups at this dose had toxicologically
    significantly increases in absolute and relative thyroid gland weights
    and related gross pathological and histopathological lesions. Owing to
    the low survival rate of F2 pups, treatment-related changes in organ
    weight and pathological effects could not be identified in this group.

         The following reproductive effects seen in animals at 110 ppm
    were considered to be toxicologically significant: significantly
    decreased mating indices among F1 males and females, decreased F1
    male and female fertility indices, increased length of gestation in
    F1 females (from 21-22 to 23 days), low implantation rate in F0 and
    F1 females, low prenatal survival (59%) in the F2 generation,
    significantly decreased mean litter size at day 1 (F1 and F2) and
    day 21 (F2 only)  post partum, significantly decreased mean litter
    size on day 4  post partum (F2), very low viability indices for the
    F2 generation on days 4 (33%) and 21 (37%), and decreased F1 and F2
    pup body weights during lactation. In the F2 generation at 110 ppm,
    the pups in four of five liveborn litters died during the first day,
    and only three pups out of 24 liveborn pups of the remaining litter
    survived to the end of lactation. There appeared to be no effects on
    F1 pup development, sex ratio, or gross appearance at necropsy; there
    were insufficient data to assess these parameters in the F2
    generation. The author reported an NOAEL of 2 ppm for systemic
    toxicity on the basis of minimally increased thyroid activity;
    however, thyroid hormone levels were not measured and no other effects
    on the thyroid were noted in rats at 15 ppm. The NOAEL for systemic
    toxicity and reproductive toxicity was 15 ppm, equal to 0.9 mg/kg bw
    per day (Richard, 1995).

    (ii)  Developmental toxicity

         Groups of 16 mated female Mol:Russian rabbits were given amitrole
    (purity, 97.5%) at doses of 0, 5, 20, or 80 mg/kg bw per day by gavage
    on days 6-18 of gestation. The observations included daily monitoring
    for clinical signs, food consumption during six periods, and maternal
    body weight on day 0 and daily on days 6-18 and day 29. The animals
    were killed on day 29, their fetuses were removed, and the does were
    examined grossly for number of corpora lutea and implantation sites,
    uterine weight, individual pup weights, appearance of fetuses or
    embryos, sex of all live fetuses, individual weights of live fetuses,
    and the occurrence of external malformations, visceral effects, and
    effects on the skeletal system. 

         Statistically significantly lower maternal food consumption was
    seen among does at 80 mg/kg bw per day during treatment on days 6-10
    and 14-19 and throughout days 0-29, and their mean weight gain was 31%
    lower than that of controls (not statistically significant) on days
    6-18. Treatment at 80 mg/kg bw per day significantly reduced the body
    weights of male fetuses and lowered the mean litter weight by 17%. The
    NOAEL for maternal and fetal toxicity was 20 mg/kg bw per day. There
    was no evidence of teratogenicity (Kolb, 1994a).

    (iii)  Special study: Maternal toxicity

         Groups of five mated female Mol:Russian rabbits given amitrole
    (purity, 97.5%) at doses of 0, 5, 20, or 80 mg/kg bw per day by gavage
    on days 6-18 of gestation and monitored daily for clinical signs, food
    consumption during four periods, maternal body weight on day 0 and
    daily on days 6-18 and day 19. The animals were killed on day 19 and
    examined grossly for the numbers of corpora lutea, implantations, and
    resorptions. Clinical chemical and haematological parameters were
    measured on days 6, 7, 13, and 19 before treatment, and the weights of
    the liver, spleen, thyroid glands, and adrenal glands were recorded.
    The liver, spleen, thyroid glands, adrenal glands, and pituitary
    glands were examined histologically. 

         The absolute and relative weights of the liver and the levels of
    albumin and protein were decreased on day 19 in rabbits treated with
    20 mg/kg bw per day or more. Those at 80 mg/kg bw per day also had
    lower food consumption during days 6-10 (but not days 10-18) of
    treatment, increased creatine kinase activity by day 19, decreased
    albumin and protein levels by day 13, decreased triiodothyronine and
    thyroxine levels on days 7, 13, and 19, and slight hypertrophy of the
    thyroid follicular cells, which was considered to be a minimal effect
    related to the thyroid hormone levels. Changes observed in the liver
    that were not considered to be adverse included a slight
    treatment-related increase in the incidence and number of Kupffer-cell
    foci in animals at 80 mg/kg bw per day and cytoplasmic changes
    described as fine net-like markings on centrilobular heptocyte centres
    and eosin-stained bands on the cell membrane in animals at 20 and 80
    mg/kg bw per day. No deaths, adverse clinical signs, or body-weight
    changes were reported. The numbers of corpora lutea, implantations,

    and resorptions and the weights of the thyroid glands were not
    affected by treatment.

         The author concluded that treatment had increased cholesterol
    levels in rabbits at 80 mg/kg bw per day, but that the increase was
    due to one outlier and was thus spurious. The author considered the
    NOAEL for maternal toxicity to be 20 mg/kg bw per day, as only
    non-adverse cytoplasmic changes in the liver were seen at this dose
    (Kolb, 1994b). The Meeting did not agree with this conclusion since
    decreased absolute and relative liver weights and statistically
    significantly decreased albumin and protein levels were seen at 20
    mg/kg bw per day and above. The Meeting concluded that the NOAEL for
    maternal toxicity was 5 mg/kg bw per day.

    Comments

         In rats, amitrole was rapidly absorbed, approximately 90% of the
    administered dose being eliminated within 48 h. The primary route of
    elimination was the urine, which accounted for over 87% of the dose;
    faecal elimination accounted for less than 6% of the dose and volatile
    metabolites represented only 0.1%. Forty-eight hours after dosing, the
    tissue residues amounted to less than 3% of the dose, with the
    majority found in the liver. Most of the radiolabel (62-90%) was
    excreted as the parent compound. Several metabolites were present at
    very low concentrations, a mercapturic acid derivative being
    predominant (2.1-7.3% of the administered 14C).

         In a one-year study of toxicity, dogs were fed diets containing
    0, 10, 500, or 1500 ppm amitrole. At doses 500 ppm (equal to 13 mg/kg
    bw per day) and above, the levels of triiodothyronine and thyroxine
    were reduced and there were increases in the incidence of rough coats,
    in thyroid weights, and in the frequency of lesions of the thyroid
    (follicular-cell hyperplasia, capsular fibrosis, vasculitis, and
    dilatation of the vasculature). In addition, ectopic thyroids with
    follicular hyperplasia and capsular fibrosis were noted, and changes
    in the pituitary (hyperplasia and hypertrophy) were evident in both
    males and females. At 1500 ppm (equal to 32 mg/kg bw per day), both
    males and females were anaemic and had increased platelet counts,
    decreased food intake, decreased brain weights (with histopathological
    lesions), and neurological effects. At this dose, males also had
    decreased weight gain, increased lactate dehydrogenase activity and
    cholesterol levels, decreased heart weights, and decreased P- and
    R-wave amplitudes. The NOAEL was 10 ppm, equal to 0.29 mg/kg bw per
    day.

         In a two-generation study of reproductive toxicity, rats were fed
    diets containing 0, 0.5, 2, 15, or 110 ppm amitrole. At 15 ppm (equal
    to 0.9 mg/kg bw per day), the only effect observed was a slight
    increase in the severity of some histopathological changes in the
    thyroid, including small follicles, decreased colloid content, and
    follicular epithelial hypertrophy. Parental toxicity at 110 ppm was
    severe and was characterized by mortality, clinical signs,
    considerably decreased weight gain, thyroid effects (increased

    relative thyroid weights, follicular epithelial hyperplasia, and
    vascular ectasia), changes in relative organ weights (increased
    weights of pituitary, testes, epididymides, seminal vesicles,
    prostate, uterus, spleen, and kidneys and decreased weights of
    ovaries, adrenal glands, and liver), and histopathological lesions in
    the liver, adrenal glands, kidneys, and numerous reproductive tissues.
    In pups, the only observations were increased thyroid weights with
    accompanying histopathological lesions. The effects on reproduction
    included decreased mating and fertility indices, increased gestation
    length, and decreased prenatal survival, litter size, pup body weight,
    and viability. The NOAEL for systemic toxicity was 2 ppm, equal to
    0.12 mg/kg bw per day. This value is supported by the findings of the
    range-finding study, in which enlarged, reddened thyroids and
    decreased colloid content were noted at 10 ppm (equal to 0.62 mg/kg bw
    per day). The NOAEL for reproductive toxicity was 15 ppm, equal to 0.9
    mg/kg bw per day.

         In a study of developmental toxicity, rabbits were treated with
    0, 5, 20, or 80 mg/kg bw per day amitrole on days 6-18 of gestation.
    At 80 mg/kg bw per day, maternal food consumption and body-weight gain
    were reduced during treatment. Male fetal body weights and mean litter
    weights were reduced at 80 mg/kg bw per day. Clinical chemistry was
    not evaluated in this study. The NOAEL for maternal and fetal toxicity
    was 20 mg/kg bw per day.

         In a special study to further characterize the toxicity in
    pregnant rabbits, the animals were treated with amitrole at 0, 5, 20,
    or 80 mg/kg bw per day on days 6-18 of gestation and were killed on
    day 19 of gestation. At 20 and 80 mg/kg bw per day, albumin and
    protein levels were decreased and absolute and relative liver weights
    were decreased. At 80 mg/kg bw per day, there were reductions in food
    consumption, increased creatine kinase levels, decreased
    triiodothyronine and thyroxine levels, and thyroid follicular-cell
    hypertrophy. The NOAEL for maternal toxicity was 5 mg/kg bw per day.

         The results of these supplemental studies correlate well with the
    results of the studies reviewed by the 1993 JMPR, showing that the
    thyroid is the primary target organ of amitrole. Contrary to the
    conclusions of the 1993 JMPR, the results demonstrate that amitrole is
    also goitrogenic in the dog. In the one-year study in dogs reviewed
    previously, no effects on the thyroid were noted at a dose of
    12.5 mg/kg bw per day. In the current one-year study, however, there
    were extensive effects at 13 mg/kg bw per day.

         The rat was the most sensitive species, the NOAELs being 2 ppm in
    both the two-generation study of reproductive toxicity (equal to 0.12
    mg/kg bw per day) and the 90-day dietary study (equivalent to 0.1
    mg/kg bw per day), on the basis of histopathological changes in the
    thyroid. The Meeting noted that the rat is more sensitive to the
    development of thyroid hyperplasia and subsequent neoplasia after
    exposure to goitrogenic compounds than are humans. Therefore, a
    smaller safety factor of 50 was used to take into account the reduced
    uncertainty of interspecies extrapolation, giving an ADI of 

    0-0.002 mg/kg bw. This ADI provides a 150-fold margin of safety over
    the NOAEL of 0.29 mg/kg bw per day in the one-year study in dogs. 

    Toxicological evaluation

    Levels that cause no toxic effect

         Mouse:    10 ppm, equivalent to 1.5 mg/kg bw per day (18-month
                   study of toxicity and carcinogenicity)

         Rat:      10 ppm, equivalent to 0.5 mg/kg bw per day (two-year
                   study of toxicity and carcinogenicity)
                   2 ppm, equal to 0.12 mg/kg bw per day (parental
                   toxicity in a two-generation study of reproductive
                   toxicity)
                   100 mg/kg bw per day (maternal and fetal toxicity
                   in a study of developmental toxicity)

         Rabbit:   5 mg/kg bw per day (maternal toxicity in a study of
                   developmental toxicity)
                   20 mg/kg bw per day (fetal toxicity in a study of
                   developmental toxicity)

         Hamster:  10 ppm, equivalent to 1 mg/kg bw per day (18-month
                   study of toxicity)

         Dog:      10 ppm, equal to 0.29 mg/kg bw per day (one-year study
                   of toxicity)

    Estimate of acceptable daily intake for humans

         0-0.002 mg/kg bw

    Studies that would provide information useful for continued evaluation
    of the compound

         1.   Clarification of the genotoxic potential of amitrole (e.g.
              DNA adducts  in vivo)
         2.   Further observations in humans.


        Toxicological criteria for estimating guidance values for dietary and non-dietary exposure to amitrole

                                                                                                                                   
    Human exposure      Relevant route, study type, species                  Results, remarks
                                                                                                                                   

    Short-term
    (1-7 days)          Oral, acute toxicity, rat                            LD50 > 2500 mg/kg bw
                        Dermal, acute toxicity, rat                          LD50 > 2500 mg/kg bw 
                        Inhalation, acute toxicity, 4 h, rat                 LC50 > 439 mg/L
                        Dermal, irritation, rabbit                           Minimally irritating
                        Ocular, irritation, rabbit                           Mildly irritating
                        Dermal, sensitization, guinea-pig                    Moderately sensitizing (Magnusson-Kligman test)
                                                                             Non-sensitizing (Klecak open epicutaneous test)

    Medium-term         Repeated oral, 2-4 weeks, rat                        NOAEL = 3 mg/kg bw per day: effects on the  
    (1-26 weeks)                                                             thyroid, food consumption and body weight
                        Repeated oral, drinking-water, 4 weeks, rat          NOAEL = 10 mg/L water: decreased weight gain, 
                                                                             enlarged thyroids
                        Repeated oral, 6-13 weeks, rat                       NOAEL = 0.1 mg/kg bw per day: effects on the thyroid
                        Repeated dermal, 3 weeks, rabbit                     NOAEL = 100 mg/kg bw per day (highest dose 
                                                                             tested)
                        Repeated inhalation, 4 weeks, rat                    NOAEL = 0.1 mg/L: effects on the thyroid

                        Repeated oral, special maternal toxicity, rabbit     NOAEL = 5 mg/kg bw per day: decreased liver 
                                                                             weights and protein/albumin levels
                        Repeated oral, developmental toxicity, rabbit        NOAEL = 20 mg/kg bw per day: developmental 
                                                                             toxicity
                        Repeated dermal, developmental toxicity, rabbit      NOAEL = 1500 mg/kg bw per day: maternal and 
                                                                             developmental toxicity
                        Repeated oral, reproductive toxicity, rat            NOAEL = 0.12 mg/kg bw per day (systemic): 
                                                                             effects on the thyroid
                                                                             NOAEL = 0.9 mg/kg bw per day: reproductive 
                                                                             toxicity 

    Long-term           Repeated oral, 1 year, dog                           NOAEL = 0.29 mg/kg bw per day: effects on the 
    (> 1 year)                                                               thyroid 
                        Repeated inhalation, intermittent dosing, 2 years,   LOAEL = 50 µg/L (lowest dose tested): effects on 
                        carcinogenicity, rat                                 the thyroid 
                                                                                                                                   
    


    References

    Anderson, C. & Brauner, A. (1995) Amitrole: Investigation of the
    biokinetic behaviour and the metabolism in the rat. Unpublished
    reports Nos MR-508/95, ANC82, and BNA81 (study No. M41819023) from
    Bayer AG, Agrochemicals Division, Institute for Metabolism Research
    and Residue Analysis, Leverkusen, Germany. Submitted to WHO by Bayer
    AG, Leverkusen, Germany.

    Jones, R.D. & Lake, S.G. (1994) Technical grade amitrole: A chronic
    toxicity study in the beagle dog. Unpublished report No. 7413 (study
    No. 92-276-RX) from Miles Inc., Agriculture Division, Toxicology,
    Stilwell, KS, USA. Submitted to WHO by Bayer AG, Leverkusen, Germany. 

    Kolb, J. (1994a) Amitrole: Developmental toxicity study in rabbits
    after oral administration. Unpublished report No. 23486 (study No.
    T5044250) from Bayer AG, Department of Toxicology, Wuppertal, Germany.
    Submitted to WHO by Bayer AG, Leverkusen, Germany.

    Kolb, J. (1994b) Amitrole: Supplementary study on maternal toxicity
    study in pregnant rabbits after oral administration. Unpublished
    report No. 23486 (study No. T5044284) from Bayer AG, Department of
    Toxicology, Wuppertal, Germany. Submitted to WHO by Bayer AG,
    Leverkusen, Germany. 

    Richard, J. (1995) Two generation study by oral route (dietary
    admixture) in rats. Unpublished report No. 6432 (study No. T5041262)
    from Centre International de Toxicologie, Evreux, France. Submitted to
    WHO by Bayer AG, Leverkusen, Germany.

    Savary, M.-H. (1994) Preliminary study to a two-generation study by
    oral route (dietary admixture) in rats. Unpublished report No. 6306
    (study No. T6041263) from Centre International de Toxicologie, Evreux,
    France. Submitted to WHO by Bayer AG, Leverkusen, Germany.
    WHO (1994)  Amitrole (Environmental Health Criteria 158), Geneva
    


    See Also:
       Toxicological Abbreviations
       Amitrole (EHC 158, 1994)
       Amitrole (HSG 85, 1994)
       Amitrole (ICSC)
       Amitrole (WHO Pesticide Residues Series 4)
       Amitrole (Pesticide residues in food: 1977 evaluations)
       Amitrole (Pesticide residues in food: 1993 evaluations Part II Toxicology)
       Amitrole  (IARC Summary & Evaluation, Supplement7, 1987)
       Amitrole  (IARC Summary & Evaluation, Volume 7, 1974)
       Amitrole  (IARC Summary & Evaluation, Volume 41, 1986)
       Amitrole  (IARC Summary & Evaluation, Volume 79, 2001)