IPCS INCHEM Home


    FAO/PL:1967/M/11/1
    WHO/Food Add./68.30

    1967 EVALUATIONS OF SOME PESTICIDE RESIDUES IN FOOD

    THE MONOGRAPHS

    The content of this document is the result of the deliberations of the
    Joint Meeting of the FAO Working Party of Experts and the WHO Expert
    Committee on Pesticide Residues, which met in Rome, 4 - 11 December,
    1967. (FAO/WHO, 1968)

    FOOD AND AGRICULTURE ORGANIZATION OF THE UNITED NATIONS
    WORLD HEALTH ORGANIZATION
    Rome, 1968

    ENDOSULFAN

    IDENTITY

    Chemical Names

    6,7,8,9,10,10-Hexachloro-1,5,5a,6,9,9a-hexahydro-6,9-methano-2,4,3-
    benzodioxathiepin 3-oxide.

    alpha,ß-1,2,3,4,7,7-hexachlorbicyclo-(2,2,1)-hepten-2-bisoxymethylene-
    5,6 sulfite

    Synonym

    Thiodan

    Empirical Formula

    C9H6Cl6O3S = 406.95

    Structural Formulae

    Technical endosulfan contains two stereoisomers, endosulfans A and B
    in the proportion variously reported as from 4:1 to 7:3. The technical
    material is a 90-95 per cent pure mixture of the two isomers.

    CHEMICAL STRUCTURE 

    Other relative chemical properties including metabolites

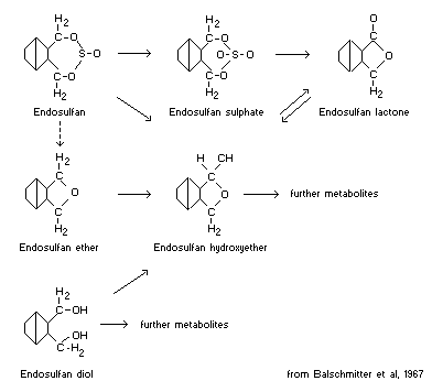
    Balschmitter et al (1967) have considered all of the possible
    metabolites of endosulfan which can hypothetically be formed on
    hydrolysis, oxidation or reduction. They have investigated endosulfan
    metabolism in the mouse and rat using thin layer and gas
    chromatographic techniques and have identified five of the possible
    metabolites, including endosulfan sulfate, diol, ether, hydroxyether
    and lactone as illustrated in the following figure :

    CHEMICAL STRUCTURE 

    EVALUATION FOR ACCEPTABLE DAILY INTAKES

    Biochemical aspects

    Endosulfan is rapidly absorbed from the intestinal tract and about 30
    per cent of a lethal dose is eliminated during 24 hours in the rat
    (Czech, 1958).

    Leaves from apple trees sprayed with endosulfan contained an
    ultraviolet irradiation product equal in toxicity to, and more
    persistent than, the parent compound (Harrison, 1967).

    Endosulfan given to mice in single doses or repeated daily for 49 days
    was found in the tissues as the sulfate. When endosulfan, endosulfan
    sulfate, the diol, or the ether were fed to mice, a metabolite
    considered to be the diol appeared in the urine. Oral doses of the
    isomers were partly excreted in the faeces unchanged, along with
    endosulfan sulfate and the diol. No residue was found in blood or
    brain, but traces of the sulfate appeared in kidney and muscle (Deema
    et al., 1966).

    When endosulfan was administered to rats, no unchanged endosulfan was
    found in the urine. Two metabolites were found in rat urine 48 hours
    after the animals were injected intraperitoneally with endosulfan;
    these appeared to be conjugation products of the alcohol derivative of
    endosulfan (Rahn, 1963).

    Three female pigs weighing 31 to 39 kg were treated for 27, 54 and 81
    days with technical endosulfan (97 per cent pure) in capsules with
    their feed in an amount equivalent to 2 ppm in the diet. During the
    test periods these animals received, respectively, total doses of 81.8
    mg, 196.6 mg and 332.4 mg of endosulfan. At the end of each of those
    treatments no endosulfan could be detected in any of 13 different
    organs and tissues including liver and brain but excluding fat. In the
    fat from five different areas only one of the isomers (endosulfan A)
    was consistently found, at an average level of 0.06 ppm, with values
    ranging from 0.01 to 0.1 ppm. No endosulfan B was detected in any of
    the 15 fat analyses. Endosulfan sulfate was found in 3 of the 15
    samples at levels of 0.04 to 0.05 ppm. The amount present after the
    81-day trial was no higher than after 27 days. In a parallel test with
    DDT administered to 3 pigs at a rate of 7 ppm in the diet, the level
    in the fat was 8.3, 9.1 and 9.7 ppm, respectively, at the end of the
    three test periods. In a further experiment, 5 pigs were given 2 ppm
    endosulfan in their diet for 30 days. On the 11th day thereafter 0.002
    ppm was found in one of five fat samples, and none was detectable
    after 27 days (Maier-Bode, 1967a).

    Milk cows fed 2 ppm endosulfan for 26 days excreted an average of 1
    ppm unchanged in the faeces after the second day, or about 20 per cent
    of the amount consumed. The milk contained 0.02 to 0.1 ppm endosulfan
    sulfate and no unchanged material. The urine showed 0.1 to 1 ppm of
    the alcohol derivative and was positive for an unidentified
    metabolite. At the end of the test period no unchanged endosulfan was
    detected in muscle, liver, kidney, brain or fat, though muscle
    contained <0.01 ppm and fat 0.1 to 0.3 ppm of the sulfate (Gorbach,
    1966).

    When endosulfan was fed to 3 female pigs at the rate of 2 ppm for up
    to 81 days, mean recoveries of endosulfan A and B and endosulfan
    sulfate at 27, 54 and 81 days were 0.07, 0.09 and 0.04 ppm from body
    fat but none was found in other tissues and organs examined. In
    another experiment in which the pigs were fed endosulfan at 2 ppm for
    30 days, the residue in the fat of those slaughtered on the last day
    of feeding was 0.003 - 0.01 ppm, and the residues in the fat of those
    slaughtered 11 days after the last administration was 0.002 ppm in 1
    of the 5 samples and not detectable (<0.001 ppm) in the others
    (Maier-Bode, 1967a).

    Beef cattle that grazed for 31-36 days on Bermuda grass pasture
    sprayed 7 days previously with endosulfan showed no endosulfan in
    their body fat. No residue was found in the milk of cows fed silage
    containing 0.41 to 2.35 ppm of endosulfan for 21 days. Two beef cattle
    fed 5 and 2.5 mg/kg/day of endosulfan showed toxic effects in 2 and 13
    days respectively. Treatment with 1.1 mg/kg/day produced no
    intoxication, but resulted in residues in the fat (Beck et al., 1966).

    Three geese were allowed to feed for 17 days on weeds in a strawberry
    field sprayed twice, once before the trial and again after the first 7
    days, with 50 per cent endosulfan wettable powder at 2-lb. per 100
    gal. (amount per unit area not indicated). The geese showed no signs
    of poisoning, and at the end of the 17-day feeding period no
    endosulfan could be detected in the liver, kidney, fat or stomach
    contents (Dustan, 1965).

    Acute toxicity (technical grade)

    Animal       Route          LD50 mg/kg        References
                                body-weight
                                                                             

    Rat          Oral           40-50 and 110*    Hazelton Laboratories, 1957

    Rat     Intraperitoneal          8            Czech, 1958
                                                                             

    * Dependent on the vehicle used

    A dose of 15 mg/kg orally of purified endosulfan was estimated to be
    an LD10 in mice (BALB/c strain). A dose of 20 mg/kg killed most of
    the mice in 24 hours (Deema et al., 1966).

    By oral administration in the rat the LD50 of endosulfan A is
    reported to be 76 mg/kg, and of endosulfan B 240 mg/kg (Maier-Bode,
    1967a).

    Endosulfan is highly toxic to fish, lethal concentrations in the water
    ranging from 0.001 to 0.0125 ppm for several species. In young birds
    the LD50, in terms of ppm in the diet over a 10-day feeding period,
    is reported as 270 ppm for the bobwhite, 620 ppm for the pheasant and
    200 ppm for the mallard duck (Maier-Bode, 1967b).

    Short-term studies

    Rat. Rats tolerated daily 1.6 - 3.2 mg/kg body-weight orally for 12
    weeks without any influence on growth-rate (Czech, 1958)

    Dog. Endosulfan technical grade was administered daily in gelatin
    capsules to 4 dogs for 3 days in a dose of 2.5 mg/kg body-weight.
    Vomiting was observed in one dog and vomiting, tremors, convulsions,
    rapid respiration, and mydriasis in 3 dogs. (Hazelton Laboratories,
    1959).

    Three groups of dogs each consisting of 2 males and 2 females were
    given endosulfan orally in gelatin capsules 6 days a week for one year
    in doses corresponding to 0.075, 0.25 and 0.75 mg/kg body-weight. No
    signs of toxicity were observed. At autopsy gross and microscopic
    examination of the tissues showed no difference between treated and
    control animals (Hazelton Laboratories, 1959).

    Long-term studies

    Rat. Groups of 25 male and 25 female rats received 10, 30 and 100
    ppm of endosulfan technical grade in the diet for 104 weeks. Survival
    of the female rats in the 10-and 30-ppm groups was lower than that of
    the female control group during the second year. In the 100-ppm female
    group, survival was significantly lower after 26 weeks and
    abnormalities were observed in weight gain and on haematological
    examinations. At autopsy the relative weight of the testes in the
    10-ppm male group was significantly lower than in the control group.
    Consistent histopathological findings were apparent only in the
    100-ppm male group. In these the kidneys were enlarged and there were
    signs of renal tubular damage with interstitial nephritis. Hydropic
    cells were seen in the liver. The tumour incidence was within normal
    limits in all test groups (Hazelton Laboratories, 1959).

    Comments

    A number of studies on several species of animals have provided
    evidence that endosulfan does not have cumulative properties. Failure
    of endosulfan to accumulate in the body is also reflected in the
    toxicity data on dogs, which showed marked toxic effects in 3 days
    from 2.5 mg/kg/day but no effects from 0.75 mg/kg/day for one year.

    Re-evaluation of the data for rats indicated that 30 ppm in the diet
    can be considered a no effect level in this species.

    TOXICOLOGICAL EVALUATION

    Pending evaluation of the results on reproduction study in the rat,
    the meeting was unable to set an ADI.

    Further work required

    Results of reproduction studies in the rat.

    EVALUATION FOR TOLERANCES

    USE PATTERN

    Endosulfan use is approved in many countries for pest control in a
    wide range of fruit and vegetables; it is also used on a number of
    important non-food crops, e.g. cotton, tobacco. Various minimum
    intervals between final application and harvest are in operation: for
    European countries this varies from 15 to 42 days and averages about
    30 days whilst in the United States intervals up to 30 days are used.
    Endosulfan is not used in veterinary practice.

    RESIDUES RESULTING FROM SUPERVISED TRIALS

    The results of over one thousand analyses, mainly using
    microcoulometric gas chromatography, in field crop trials collected by
    Hoechst are summarized in the following table. It is emphasized that
    the dose-rates indicated have in many cases been chosen from a range
    of dose-rates which have been studied and are in some cases higher
    than the recommended dose rates. Whilst the information in the table
    represents the summary of a much greater volume of data, the results
    of individual trials have occasionally shown residues which are above
    or below the general average levels indicated; however, the maximum
    levels seldom exceed three times the general average levels indicated.
    Only in a few cases have endosulfan sulphate residues been measured in
    addition to endosulfan: for tomatoes about 0.1 ppm endosulfan sulphate
    was found after 23 days and for alfalfa from 0.0 to 2.0 ppm
    approximately although individual figures varied considerably.

        Summary of Field Residue Data for Endosulfan (Hoechst papers)
              (all values are in parts per million)
                                                                                       

                      * Total Dose           General Average
                        a.i. lb/acre           Residue at:                 Note
                                          15 days       30 days
                                                                                       

    Alfalfa                  1             0.5            0.3        different methods

    Corn                     4            <0.5                       Normal rate 1

    Peas                     1             0.1

    Potatoes                11                           <0.1

    Soybeans                 2                           <0.1

    Summary of Field Residue Data (cont'd)
                                                                                       

                      * Total Dose           General Average
                        a.i. lb/acre           Residue at:                 Note
                                          15 days       30 days
                                                                                       

    Watermelons              2            <0.1

    Artichokes               1            <0.1

    Broccoli                 2             0.1 - 0.3      0.1

    Brussels sprouts         3             1.3

    Cabbage                  1             1.0           <0.1

    Celery                   1             3              8          (sic)

    Collards                 5             0.5

    Cucumber                 4            <0.1

    Dried lima beans         3             0             <0.1        60 days

    Green lima beans         2´           <0.1

    Kale                     8             1.0                       Normal rate 1

    Lettuce                  2             2.0           (0.1)       Variable

    Pepper                   2            <0.1

    Spinach                  1             0.5

    String beans             1            <0.1

    Tomatoes                 3            <0.1                       Normal rate 1

    Apples                   3             0.5           <0.1

    Cherries                 2             1              0.3

    Blackcurrant             4             0.2            0.1

    Prunes                   2´ (b)        0.2            0.1

    Peaches                  2                            0.3        Variable data

    Pears                    1´                          <0.1

    Summary of Field Residue Data (cont'd)
                                                                                       

                      * Total Dose           General Average
                        a.i. lb/acre           Residue at:                 Note
                                          15 days       30 days
                                                                                       

    Strawberries             3             0.3

    Sugarbeets               1                           <0.1
                                                                                       

    *   These are not necessarily the recommended dose rates
    (b) lb per 100 gallons
    
    This summary shows that, with the possible exception of celery,
    lettuce, spinach and strawberries, harvest residue levels are probably
    normally less than 0.1 ppm. Maier-Bode (1967) gives further field
    trial residue data for most of these commodities and states that
    endosulfan is less persistent on plant surfaces than residues of DDT,
    aldrin or toxaphene and that residues of endosulfan A disappear more
    quickly than those of endosulfan B. He also states that up to 0.3 ppm,
    but usually less than 0.1 ppm, of endosulfan sulphate has been found
    on leaves and fruits and that this compound is toxicologically
    equivalent to technical endosulfan. Other metabolites, including
    endosulfan diol and endosulfan ether, can also be detected
    occasionally in plants but not in crops intended for human
    consumption. Maier-Bode concludes that less than 0.5 ppm of residue is
    found in the field 2 to 3 weeks after normal application to a large
    number of fruits and vegetables and fodder plants; but that residues
    in grass or clover are not apparently reduced by ensilage or on drying
    for hay. As a general conclusion, when endosulfan is used to protect
    food crops against insect infestation in accordance with good
    agricultural practice, residues in the treated produce are unlikely to
    exceed 0.5 ppm at harvest, except possibly for lettuce, celery and
    brassicae which should not exceed 2.0 ppm. Not all samples of these
    commodities will contain such amounts of residue, in fact only a small
    proportion of each individual commodity is likely to be treated.

    RESIDUES IN FOOD AT TIME OF CONSUMPTION

    There is only very limited evidence suggesting that residues do not
    normally occur in total diet studies in the United States.

    FATE OF RESIDUES

    General considerations

    Both endosulfan isomers are slowly hydrolysed in acid, alkaline and
    neutral environment to endosulfan alcohol and sulphur dioxide.
    Although in some ways resembling the cyclodienes structurally, the

    degree of persistence of endosulfan residues is not so great as for
    aldrin or endrin residues but is similar to that of lindane. Sunlight
    (or artificial ultra-violet irradiation) gives rise to some
    transformation to the more persistent compound endosulfan sulphate
    (6,7,8,9,10,10-hexachloro-1,5,5a,6,9,9a-hexahydro-6,9-methano-2,4,
    3-benzodioxathiepin 3,3-dioxide) (United Kingdom, 1963; Forman, et al,
    1965), the toxicity of which is similar to that of endosulfan. The
    sulphate itself is further degraded to endosulfan alcohol. Harrison et
    al (1967) have shown in field trials on black-currant that, unless
    deliberately oversprayed, the total residue of endosulfan A,
    endosulfan B and endosulfan sulphate does not normally exceed 0.5 ppm
    at harvest.

    In animals

    Endosulfan does not accumulate in animals. Sheep fed 15 mg endosulfan
    daily for 26 days showed 0.05 ppm of endosulfan sulphate in the milk,
    this being the limit of detection by the analytical method used.
    Similar experiments with cows fed a diet containing 5 ppm each of
    endosulfan and endosulfan sulphate showed only endosulfan sulphate
    residues in the milk up to 0.16 ppm (Hoechst, 1965). When sows are fed
    a diet containing 2 ppm endosulfan for 81 days, residues (found only
    in the fatty tissue) do not exceed 0.1 ppm (Maier-Bode, 1968)

    Residues of endosulfan have not so far been detected in human fat in
    Britain whereas residues of all of the other commonly used
    organochlorine compounds have been reported (United Kingdom, 1963).
    This may be due to the relatively small use of endosulfan in Britain,
    but even in the United States, where it in used on a much larger
    scale, its presence in human fat has not been reported.

    In storage and processing

    Little work has been done on the investigation of residue losses on
    washing and other preparation for consumption

    METHODS OF RESIDUE ANALYSIS

    Methods of residue analysis for endosulfan have been reviewed by
    Maier-Bode (1968). A number of multidetection systems are available
    for the detection and determination of organochlorine compounds and
    most of these can be applied to residues of endosulfan A and
    endosulfan B (Terranova and Ware, 1963; Zweig et al, 1960; Carroll,
    1962; Burke and Mills, 1963; Byers, et al, 1965). These methods also
    include the AOAC system (1966) though this, as normally carried out,
    may not detect endosulfan B. The methods can usually also be used,
    with some modifications to extraction and clean-up conditions where
    necessary, for the detection and determination of residues of
    endosulfan sulphate, as described by Harrison et al, 1967. A number of
    thin layer chromatographic systems have been described and are useful
    in this connection (Junichi and Tetsukichi, 1962; a and b; Abbott et
    al, 1964; Walker and Berosa, 1963; Kovacs, 1966; Balschmitter and
    Tölg, 1966, a and b). A number of general points in connection with

    multidetection systems of residue analysis are set out in the
    introductory note on page 4. The methods are normally sensitive to
    about 0.05 ppm of each isomer or of endosulfan sulphate. Both electron
    capture and microcoulometric detection methods may be used and
    alternative methods for the confirmation of the identity of residues
    such as infra-red spectrophotometry are available (Forman et al,
    1965). Less sensitive and less specific colorimetric methods of
    residue analysis, based on alkaline hydrolysis to give sulphur dioxide
    which is then reacted with p-rosaniline and formaldehyde (Mohoney,
    1962; Zweig, 1964) or with methanolic potassium hydroxide and pyridine
    (Butler, et al, 1962; Maitlen et al, 1963) have also been described.
    Biological methods based on pyridine toxicity to fish (Romer, 1960) or
    Drosophila (Varis and Tittanen, 1963; Beye, 1962; Huesman, 1961) are
    also available.

    Endosulfan metabolites can also be detected and determined by many of
    the multidetection systems described above provided a suitable
    extraction method is used: Maier-Bode (1968) suggests benzene or
    benzene-isopropanol as extraction solvents. The gas chromatography of
    the sulphate, ether, hydroxyether and lactone using three different
    columns has been described by Ballschmitter and Töld (1966a).

    Whilst some of these techniques may require further study before they
    can be applied generally to residue determinations in crops and total
    diets, it is recommended that wherever possible results of such
    analyses should record separately endosulfan A, endosulfan B and
    endosulfan sulphate.

    NATIONAL TOLERANCES

        Country          Tolerance, ppm         Crop
                                                                                

    Benelux               0.5          fruit and vegetables

    Canada                1.0          fruit
                          2.0          vegetables

    Fed.Rep. Germany      0.5          fruit and vegetables

    Switzerland           0.5          strawberries

    United States         2.0          apples, apricots, artichokes, broccoli,
                                       cabbage, cherries, cucumbers, egg-plants,
                                       grapes, lettuce, melons, nectarines,
                                       peaches, peas, peppers, plums, prunes,
                                       pumpkins, squash, strawberries, tomatoes,
                                       watercress.
                                                                                
    
    FAO/WHO RECOMMENDATIONS FOR TOLERANCES

    No acceptable daily intake level is available so no recommendation for
    tolerances can be made at present.

    FURTHER WORK

    Further work required before tolerances can be recommended

    1.   Submission of data required for an estimation of acceptable daily
         intake (see page 138).

    2.   Fuller details of the purity and composition or technical
         endosulfan and the determination of residues of endosulfan A,
         endosulfan B and endosulfan sulphate in treated produce and total
         diets by appropriate methods of analysis.

    REFERENCES PERTINENT TO EVALUATION FOR ACCEPTABLE DAILY INTAKES

    Beck, E.W., Johnson, J.C., Woodham, D.W., Leuck, D.B., Dawsey, L.H.,
    Robbins, J.E. and Bowman, M.C. (1966) J. econ. Entomol., 59, 1444.

    Czech, M. (1958) Medizin u. Chemie., 6, 574

    Deema, P., Thompson, E. and Ware, G.W. (1966) J. econ. Entomol., 59,
    546

    Dustan G.G. (1965) Pesticide Progress 3 : 131

    Gorbach, S. (1966) Unpublished report.

    Harrison, R.B., Holmes, D.C., Roburn, J. and Tatton, O'G (1967) 
    J. Sci. Food Agr. 18, 10

    Hazelton Laboratories, (1957) Unpublished report

    Hazelton Laboratories, (1959) Unpublished report

    Maier-Bode, H. (1967a) Archiv. f. Pflanzenschutz., 3 : 201

    Maier-Bode, H. (1967b) Residue Review, 21 (in press)

    Rahn, H.W. (1963) Arch. internat. Pharmacodyn., 144: 126

    REFERENCES PERTINENT TO EVALUATION FOR TOLERANCES

    Abbott, D.C., Egan, H., Thomson, J. (1964) Thin-layer chromatography
    of organochlorine pesticides, J. Chromatog. 16 : 481

    AOAC. (1966) Changes in Methods of Analysis, J. Assoc. Offic. Analyt.
    Chem., 49 : 222 - 230.

    Ballschmitter, K., Tölg, G. (1966a) Metabolisms des Thiodans in
    Insekten. Angew. Chem. 78: 775.

    Ballschmitter, K., Tölg, G. (1966b) Fluorescenzindikatoran zum
    Nachveis von Organchalogeniden in der Dünnschicht chromatographie. 
    Z. anal. Chem. 215 : 305

    Ballschmitter, K., Schophan, I. and Tölg, G. (1967) The metabolization
    of endosulfan in insects and mammals. Paper presented to the VI
    International Plant Protection Congress, Vienna.

    Beye, F. (1962) Biodetection of insecticides in Coleus blumei with
    Drosophila melanogaster. Anzeiger f. Schadlingskunde, 35 : 9 - 12.

    Burke, J. and Mills, P.A. (1963) Microcoulometric gas chromatographic
    determination of thiodan and tedion in green vegetables. J. Assoc.
    Offic. Agric. Chem., 46 : 177 - 182.

    Butler, L.I., Maitland, J.C. and Fakey, J.E. (1962) Microdetermination
    of thiodan residues. J. Agric. Food Chem. 10 : 479 - 481.

    Byers, R.A., Woodham, D.W. and Bowman, M.C. (1965) Residues on coastal
    Bermuda grass, trash and soil treated with granular endosulfan. 
    J. Econ. Entomol. 58 : 160 - 161.

    Carroll, C.C. (1962) Pesticide residue analysis by microcoulometric
    gas chromatography. Residue Reviews, 1 : 37 - 65.

    Forman, S.E., Durbetaki, A.J., Cohen, M.V. and Olefson, R.A. (1965) 
    Conformational equilibria in cydic sulphites and sulphates:
    configurations of the two isomeric thiodans. J. Org. Chem., 30 : 169 -
    175.

    Harrison, R.B., Ruzicka, J.H.A. and Tatton, J. O'G. (1967) Endosulfan
    residues on blackcurrants. J. Sci. Food Agric. 18 : 262 - 264.

    Hoechst. (1965) Farbwerke Hoechst AG. Data sheet for
    endosulfan/thiodan : Frankfurt am-Main.

    Huesman, H. (1961) Z. angew. Zool., 48 : 1 - 29.

    Junichi, Y. and Tetsukichi, N. (1962a) Identification of organic
    chlorinated pesticides by plate chromatography. Proc. Japan Acad. 38 :
    129

    Junichi, Y. and Tetsukichi, N. (1962b) Separation and identification
    of organic chlorinated pesticides by plate chromatography. Kagaku
    Keisatsu Kantyusho Hokoku, 15 : 321.

    Kovacs, H.F. (1966) The rapid detection of chlorinated pesticide
    residues by an improved thin-layer chromatographic technique. 
    J. Assoc. Offic. Agric. Chem. 49 : 365.

    Maier-Bode, H. (1967) Meded. Landb. Hoogesch. Opzoek. Stn. Gent, in
    press 

    Maier-Bode, H. (1968) Endosulfan. Residue Reviews, 21 : in press

    Maitlen, J.C., Walker, K.C. and Westlake, W.E. (1963) An improved
    colorimetric method for determining endosulfan residues in vegetables
    and beef fat. J. Agric. Food Chem., 11 : 416 - 418.

    Mohoney, C.H. (1962) Flavour and quality changes in fruits and
    vegetables in the United States caused by application of pesticide
    chemicals. Residue Reviews, 1 : 11 - 23.

    Romer, D. (1960) Determination of insecticide residues and assay of
    lasting coatings. Anzeiger f. Schadlingskunde, 33 : 138 - 140.

    Terranova, A.C. and Ware, G.W. (1963) Studies of endosulfan in bean
    plants by paper and gas chromatography. J. Econ. Entomol., 56 : 596
    - 599.

    United Kingdom. (1963) Report of the Government Chemist, H.M.
    Stationery Office, London. p.78

    Varis, A.L. and Tittanen, K. (1963) Montalous Koetoiminta, 17 : 252
    - 255. 

    Walker, K.C. and Berosa, M. (1963) Thin-layer chromatography for
    insecticide analysis. J. Assoc. Offic. Agric. Chem. 46 : 250.

    Zweig, G. (editor). (1964) Pesticides, Plant Growth Regulators and
    Food Additives, Vol. II, p. 511 London, Academic Press.

    Zweig, G., Archer, T.E. and Robenstein, D. (1960) Residue analysis of
    endosulfan by combination of gas chromatography and infrared
    spectrophotometry. J. Agric. Food Chem. 8 : 403 - 405.
    


    See Also:
       Toxicological Abbreviations
       Endosulfan (EHC 40, 1984)
       Endosulfan (HSG 17, 1988)
       Endosulfan (PIM 576)
       Endosulfan (FAO Meeting Report PL/1965/10/1)
       Endosulfan (FAO/PL:1968/M/9/1)
       Endosulfan (WHO Pesticide Residues Series 1)
       Endosulfan (WHO Pesticide Residues Series 4)
       Endosulfan (WHO Pesticide Residues Series 5)
       Endosulfan (Pesticide residues in food: 1982 evaluations)
       Endosulfan (Pesticide residues in food: 1989 evaluations Part II Toxicology)
       Endosulfan (JMPR Evaluations 1998 Part II Toxicological)