IPCS INCHEM Home


    Pesticide residues in food -- 1999



    Sponsored jointly by FAO and WHO
    with the support of the International Programme
    on Chemical Safety (IPCS)



    Toxicological evaluations




    Joint meeting of the
    FAO Panel of Experts on Pesticide Residues
    in Food and the Environment
    and the
    WHO Core Assessment Group

    Rome, 20-29 September 1999

    DIMETHIPIN

    First draft prepared by
    W. Dykstra
    Environmental Protection Agency, Washington DC, United States

            Explanation
            Evaluation for acceptable daily intake
                Biochemical aspects
                    Absorption, distribution, and excretion
                    Biotransformation
                Toxicological studies
                    Acute toxicity
                    Short-term studies of toxicity
                    Long-term studies of toxicity and carcinogenicity
                    Genotoxicity 
                    Reproductive toxicity 
                        Multigeneration reproductive toxicity
                        Developmental toxicity 
            Comments 
            Toxicological evaluation 
            References 


    Explanation

         Dimethipin was first evaluated by the 1985 Joint Meeting (Annex
    1, reference  44), when a temporary ADI of 0-0.003 mg/kg bw was
    established on the basis of a NOAEL of 100 ppm, equivalent to 2.5
    mg/kg bw per day, in a 90-day study in dogs treated in the diet.
    Dimethipin was evaluated again by the 1988 Joint Meeting (Annex 1,
    reference  53), which reviewed additional data and established an ADI
    of 0-0.02 mg/kg bw on the basis of a NOAEL of 2 mg/kg bw per day for
    increases in the absolute and relative (to body weight) weights of the
    liver in female rats fed dimethipin in the diet in a 2-year study.
    Further data have been provided. The compound was re-evaluated within
    the periodic review programme of the Codex Committee on Pesticide
    Residues.

    Evaluation for Acceptable Daily Intake

    1.  Biochemical aspects

    (a)  Absorption, distribution, and excretion

          Rats 

         Three male and two female CD rats received a single oral dose of
    approximately 3.8 mg/kg bw of [2,3-14C-dithiin ring]dimethipin
    (radiochemical purity, 96%) in distilled water. About 89% of the
    administered radiolabel was excreted in urine and faeces within 48 h,
    although one of the females eliminated only about 42% of the dose by
    these routes over the same period. The reason for the low recovery of

    label in this animal was unclear, as the tissue and blood
    concentrations were similar to those in the other treated animals. In
    general, faecal elimination slightly exceeded urinary excretion. Less
    than 0.1% of the administered label was detected in expired air. At
    sacrifice 96 h after treatment, the mean concentration of total
    residue in the tissues analysed (excluding blood) amounted to about 1%
    of the administered dose. The concentrations of residue were highest
    in the lung, heart, liver, and kidney and lowest in the
    gastrointestinal tract, brain, muscle, and fat. The concentration in
    blood represented 2-7.7% of the administered dose. No significant sex
    difference was apparent in the rate, route of elimination, or
    concentrations of residue in tissues (Caplan & Merricks, 1978; JMPR,
    1985).

         Groups of four to five male and female CD Sprague-Dawley rats
    received a single oral dose of 1.2 mg/kg bw of labelled dimethipin; a
    single intravenous dose of 2 mg/kg bw (targeted at 1.2 mg/kg bw) of
    labelled dimethipin; a single oral dose of 50 mg/kg bw of labelled
    dimethipin; or 1000 ppm of unlabelled dimethipin in the diet
    continuously for 14 days followed immediately on day 15 by a single
    oral dose of 50 mg/kg bw radiolabelled dimethipin. Urine, faeces,
    blood, and tissue samples were analysed at numerous intervals after
    treatment. Significant absorption and rapid excretion were found
    (Billings, 1987; JMPR, 1988).

    (b)  Biotransformation

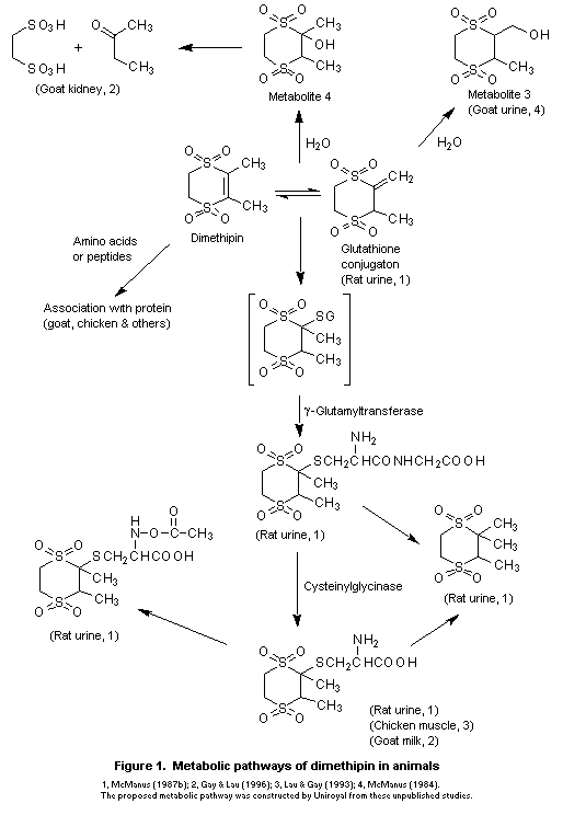
         The metabolic pathways of dimethipin in animals are shown in
    Figure 1.

          Rats 

         In the study of Caplan & Merricks (1978) described above,
    analysis of pooled urinary and faecal samples from the treated rats,
    except for the female rat with an unusually low excretory rate, showed
    that about 5% of the label was in the urine or faeces as the unchanged
    parent compound. The other radiolabelled components were highly polar
    (Smilo, et al., 1978; JMPR 1985).

         In the study of Billings et al. (1987) described above, urine
    samples collected from rats treated in the diet were analysed by
    high-performance liquid chromatography (HPLC). During the first 24-h
    collection period, the amounts of the reduced product,
     N-acetylcysteine, and polar fractions increased while those of
    cysteinylglycine conjugates decreased. There were no sex differences.
    These results supported the proposed metabolic pathway involving
    glutathione conjugation. The glutathione concentrations in liver and
    blood from three male and three female rats treated in the diet were
    no different from control values (McManus, 1987a; JMPR, 1988).

    FIGURE 1

         Three young male Charles River CD rats weighing approximately
    225 g each received a single oral dose of 800 mg/kg bw of
    14C-dimethipin. Urine and faeces were collected separately 24, 48,
    and 72 h after dosing. The samples collected at 24 h were used for
    identification of metabolites. Only trace amounts of dimethipin were
    detected in the urine by HPLC, but seven metabolites were detected.
    The three identified polar products, which accounted for 77% of the
    urinary radioactivity, were a cysteinylglycine conjugate (54%), an
     N-acetylcysteine conjugate (12%), and a reduced metabolite,
    2,3-dimethyl-5,6-dihydro-1,4-dithiane-1,1,4,4-tetraoxide (11%). The
    proposed metabolic pathway involves conjugation with glutathione
    followed by degradation to cysteinylglycine and cysteine conjugates
    and formation of mercapturic acid conjugates (McManus, 1987b; JMPR
    1988).

          Goats 

         A goat with a cannulated bile duct received 14C-dimethipin
    (radiochemical purity, 98%) at a dietary concentration of 500 ppm for
    three days. Samples of urine, liver, bile, and kidney were collected
    for characterization and identification of metabolites. No details of
    the experimental conditions were provided, and although two animals
    appear to have been treated, data were presented on only one. Only 18%
    of the labelled residues in liver and 15% of those in kidney were
    identified: (butan-3-one-2-yl)-2-hydroxyethyl sulfone (due to ring
    cleavage) and 2,3,5,6,-tetrahydro-5-hydroxy-5,6-dimethyl-1,4-dithiine
    1,1,4,4,-tetraoxide being the predominant residues. Metabolites 3 and
    4 were invariably identified together with unchanged parent compound
    in urine, bile, liver, and kidney. Metabolite 4 accounted for 2-8% of
    the radiolabel recovered in each case. Some alcohol metabolites of
    dimethipin were identified only in urine and bile. Most of the
    radiolabelled components in urine, bile, liver, and kidney were highly
    polar and were present as glucuronide, cysteine, and acetylcysteine
    conjugates. Studies  in vitro confirmed that these are the likely
    major metabolic steps. It was not reported whether total radioactivity
    was measured or whether residues were identified in muscle, fat, or
    milk (McManus, 1984; FAO/WHO, 1985). 

         Goats received a normal ration supplemented with 14C-dimethipin
    at 1 or 10 mg/kg of feed until a plateau was reached in the milk after
    17 days. After 18 days of dosing, about 97% of the total administered
    radiolabel was excreted in the urine and faeces, but none were
    detected in muscle and the concentrations were low in milk, liver, and
    kidney. The concentrations added to the feed were higher than the
    so-called 'worst case' situation in which every component of the diet
    contains residues at the tolerable maximum residue level (TMRL)
    proposed by the JMPR in 1985. Thus, if animals are exposed to a normal
    feeding regime, the concentrations in meat, milk, and edible offal
    will not exceed the limit of determination (JMPR, 1987).

         In a study conducted in compliance with GLP standards and with a
    signed and dated quality assurance statement, two lactating goats
    received 14C-dimethipin (radiochemical purity, > 98%) at a
    concentration of 0.15 or 50 mg/kg bw per day for 5 days before being
    killed about 22 h after the last dose. The doses were equivalent to
    dietary concentrations of 3.1 ppm (10 times actual exposure) and
    1000 ppm (3200 times actual exposure), respectively. Urine and faeces
    were collected once daily, and milk was collected twice daily.
    Overall, 97% of the total radiolabel administered was recovered from
    the animal given the low dose and 96% from that given the high dose.
    More than 95% of the total administered dose was identified in the
    excreta, and 0.1-0.2% was eliminated in the milk. The average daily
    concentrations in milk were 0.005 ppm at the low dose and 1 ppm at the
    high dose. Fat, muscle, and whole blood contained the lowest
    concentrations of radiolabel at both the low dose (0.001 ppm in fat,
    0.002 ppm in muscle, and 0.006 ppm in whole blood and the high dose
    (0.32 ppm in fat, 0.64 ppm in muscle, and 2.7 ppm in whole blood),
    whereas the liver and kidney contained the highest concentrations,
    with 0.27 and 0.14 ppm at the low dose and 79 and 28 ppm at the high
    dose, respectively. The sensitivity of the method was < 0.0004 ppm
    for the low dose and < 0.011 ppm for the high dose (Byrd, 1992). 

         Enzymatic digestion followed by acid hydrolysis of liver tissue
    from this study suggested that the radiolabelled residues of
    dimethipin were covalently bound to tissue proteins. After acid
    hydrolysis, acetyldithiane was identified as the single radiolabelled
    peak in liver. Kidney samples from the animals at the low dose
    contained ethane disulfonic acid as the only metabolite, whereas renal
    tissue from the animal at the high dose also contained ethane
    disulfonic acid; acid hydrolysis of the bound material from this
    kidney showed that acetyl dithiane was also present. Milk from both
    animals contained dimethipin cysteine conjugate as the major
    metabolite. Acid hydrolysis of muscle from the goat at the high dose,
    which contained 0.64 ppm of radiolabelled material, yielded reduced
    dimethipin as the major metabolite. The results of this study suggests
    that dimethipin is metabolized primarily via Michael addition to
    glutathione or its derivatives or to protein (Gay & Lau, 1996).

          Chickens 

         Laying hens were fed a normal diet fortified with
    14C-dimethipin at concentrations of 1, 6, or 30 mg/kg for 30 days,
    when half of the birds were slaughtered; the remainder were killed
    after a withdrawal period of 11 days. By day 30, more than 95% of the
    total administered radiolabel had been excreted in the faeces. No
    residues were detectable in muscle or fat at the end of dosing with
    1 mg/kg or in fat after administration of 6 mg/kg. The concentrations
    found in tissues corresponded roughly to the doses. The concentrations
    found in the tissues of birds after 11 days of withdrawal were
    considerably lower, and none of the tissues except blood from hens at
    1 mg/kg contained measurable residues. The birds fed 6 or 30 mg/kg
    14C-dimethipin had measurable residues in all tissues except fat. In
    eggs, the residual radiocarbon increased slowly over 10 days and

    remained fairly constant for the remainder of the dosing period.
    Except in birds given 30 mg/kg, the concentrations in eggs decreased
    to below the limit of determination during the 11 days of withdrawal.
    Extrapolation from these data indicates that residues in birds fed a
    hypothetical 'worst case' diet in which all or nearly all of the
    components contain residues at the level of the MRL proposed by the
    1985 JMPR would not exceed the limit of determination (JMPR, 1987). 

         In a study conducted in compliance with GLP, with a signed and
    dated quality assurance statement, [14C-6]dimethipin (radiochemical
    purity, > 95%) was administered orally to white Leghorn laying hens
    daily for five consecutive days at a dose of 15.8 mg/kg bw per day
    (five hens) or 152 mg/kg bw per day (two hens), equivalent to
    concentrations of 203 ppm (7000 times that caclulated to result from
    use of dimethipin at the permitted level on the cereals in the diet)
    and 2770 ppm (92 000 times the calculated concentration),
    respectively. Five untreated birds served as controls. Excreta and
    eggs were collected once daily during treatment. More than 90% of the
    total administered radiolabel was found in the excreta. The hens were
    killed within 24 h of the last dose, and tissues were collected,
    examined, and weighed. Edible tissues and eggs contained 5.5% and 5.1%
    of the total radiolabel at the low and high doses, respectively. The
    liver and kidney had the highest concentrations, with 9.7 and 65 ppm
    in liver and 4.5 and 39 ppm in kidney at the low and high doses,
    respectively. Breast and thigh muscle each contained 10 ppm at the
    high dose and 0.63 and 0.72 ppm at the low dose, respectively. Egg
    yolk and egg white contained 6.9 and 6.6 ppm, respectively, at the
    high dose and 1.1 and 0.68 ppm at the low dose. Fat had the lowest
    concentrations, with 0.20 ppm at the low dose and 2.4 ppm at the high
    dose. Multiple metabolites were identified in eggs and tissues, all
    formed as conjugates of glutathione followed by degradation, resulting
    in the following compounds: glutathionyl-dimethipin,
    gamma-glutamyl-cysteinyl-dimethipin, cysteinyl-dimethipin,
    mercaptodimethipin, thioacetyl-dimethipin, thiomethyl-dimethipin, and
    methyl sulfoxide-dimethipin. The major metabolite was
    gamma-glutamylcysteinyl-dimethipinin most tissues and
    cysteinyl-dimethipin in liver (Lau & Gay, 1993).

         While the metabolism of dimethipin in plants was found to be
    negligible, because it is applied at or close to the harvesting stage
    when the biochemical activities of the plant are at a minimum, its
    metabolism in animals is quite extensive. As a result, the main
    residues in crops are the parent product, while in animals dimethipin
    undergoes glutathione conjugation with subsequent degradation. In a
    second pathway, dimethipin undergoes hydration followed by ring
    cleavage.

    2.  Toxicological studies

    (a)  Acute toxicity

         The acute toxicity of dimethipin after administration by the
    oral, dermal, and inhalation routes and its ocular and dermal
    irritation and dermal sensitizing capacity are summarized in Table 1. 

        Table 1.  Acute toxicity of dimethipin

                                                                                               
    Species    Purity     Sex     Route              LD50 or LC50         Reference
               (%)                                   (mg/kg bw or mg/L)
                                                                                               

    Mouse      > 97.5     M       Oral                    440             Shapiro (1977a)
                          F                               600
    Rat        > 97.5     M&F     Oral                    1 200           Varner & Matthews 
                                                                          (1977)
    Rat        98         M       Oral                    460             Blaszcak (1992a)
                          F                               550
    Rat        NR         M       Intraperitoneal         240             Shapiro (1977b)
                          F                               240
    Rat        NR         M&F     Inhalation (1 h)        > 20            Babish (1977)
    Rat        98.9       M       Inhalation (4 h)        1.5             Hoffman (1992)
                          F                               0.88
    Rabbit     NR         M&F     Dermal (24 h)           > 12 000        Reagen & Becci (1982)
    Rabbit     98         M&F     Dermal (24 h)           > 5 000         Blaszcak (1992b)
                                                                                               

    NR, not reported
    

         In rats (strain unspecified), the LD50 for dimethipin (purity,
    > 97.5%) administered orally was 1200 mg/kg bw for animals of each
    sex (Varner & Matthews, 1977; JMPR, 1985). In another study, the
    LD50 for dimethipin (purity, 98.0%) was 550 mg/kg bw in male and 460
    mg/kg bw in female Sprague Dawley CD rats (Blaszcak, 1992a). Surviving
    animals lost weight during week 1, but gained weight during the
    remainder of the observation period. The signs of toxicity included
    nasal discharge, hypoactivity, and rales. At necropsy, discoloured
    lungs, red distended stomachs, and red fluid in the intestines were
    noted. 

         The LC50 in Sprague-Dawley CD rats exposed by inhalation by
    nose only for 4 h was 1.5 mg/L for males and 0.88 mg/L for females
    (Hoffman, 1992). The clinical signs of toxicity included respiratory
    distress. Body weights were substantially decreased (41% in males and
    18% in females) during the first week, but weight was gained after
    that time. At necropsy, discoloured lungs were observed. 

         The LD50 in rabbits was > 5000 mg/kg bw, as no deaths were
    seen (Blaszcak, 1992b). It severely irritated the eyes (Griffiths &
    Koschier, 1980), but the material tested was a recrystallized form of
    dimethipin, which may not be representative of the technical-grade
    material. Technical-grade dimethipin was not irritating to rabbit skin
    (Blaszcak, 1992c). It was a weak dermal sensitizer in Hartley
    guinea-pigs (Madison, 1983).

         WHO (1999) has classified dimethipin as 'slightly hazardous'.

    (b)  Short-term studies of toxicity

          Rats 

         Groups of six male and six female Charles River CD Sprague-Dawley
    rats, eight weeks of age, received technical-grade dimethipin (purity,
    98%) moistened with distilled water dermally for 6 h/day at doses of
    0, 10, 100, or 1000 mg/kg bw per day for 21 days. The study was
    conducted under GLP requirements, and a signed and dated quality
    assurance statement was available. There were no treatment-related
    alterations in mortality rate, body weight, food consumption, clinical
    signs, clinical pathology, or gross and histopathological appearance.
    Traces of hyperkeratosis were present in the skin of treated males at
    all doses and in females at the intermediate and high doses. The
    weights of the liver relative to body weights were statistically
    significantly increased in males (20%) and females (15%) at 1000 mg/kg
    bw per day, but the absolute liver weights of these animals were
    statistically nonsignificantly increased, by 18% in males and 12% in
    females. In the absence of clinical pathological or histopathological
    effects, the NOAEL for systemic toxicity was 1000 mg/kg bw per day,
    the highest dose tested (Goldenthal, 1991).

         Groups of 15 male and 15 female Charles River rats, 28 days old,
    were fed diets containing technical-grade dimethipin (purity,
    > 99.2%) at concentrations of 0, 100, 300, or 1000 ppm for 95 days.
    There was no treatment-related change in mortality rate or abnormal
    behaviour. Food consumption was slightly depressed in females at the
    highest dose throughout the study, but body weights were unaffected.
    Haematology, blood chemistry, and urinalysis performed in 10 males and
    10 females from the control and high-dose groups after 45 and 85 days
    of treatment indicated no significant compound-related effects. At
    termination, the ratios of organ:body weight of liver and kidney were
    increased in females at the highest dose. No significant differences
    in gross pathological changes were observed between control and
    treated groups. Histopathological evaluation of a variety of tissues,
    including liver and kidney, from 10 males and 10 females from the
    control and high-dose groups showed no lesions attributable to
    treatment. The NOAEL was 300 ppm, equivalent to 15 mg/kg bw per day
    (Marias et al., 1976; JMPR, 1985).

         Groups of 10 male and 10 female Charles River CD Sprague-Dawley
    rats aged four week were fed diets containing technical-grade
    dimethipin (purity, 98.5%) at concentrations of 0, 40, 1750, or 3500
    ppm (equal to 2.5, 110, and 220 mg/kg bw per day in males and 3.1,
    130, and 260 mg/kg bw per day in females) for 13 weeks. The study was
    conducted under GLP requirements, and a signed quality assurance
    statement was available. The animals were observed for deaths and
    clinical signs of toxicity twice daily, and body weight and food
    consumption were measured weekly. Ophthalmoscopic examinations were
    made before treatment and at the end of the study. Clinical data were
    collected on all surviving animals at 13 weeks. The weights of the
    brain, kidneys, liver, and testis were recorded for all animals, and
    all tissues were examined microscopically. 

         One male at the low dose was killed  in extremis, but this
    animal showed no significant gross or microscopic changes, and the
    cause of death was not identified. No clinical signs of toxicity or
    ophthalmoscopic findings were reported. Males at the high dose had
    significantly decreased food consumption (11%), body weight (6%), and
    body-weight gain (8%) in comparison with controls; and females at the
    intermediate and high doses had significantly decreased food
    consumption (12% at the intermediate and 16% at the high dose), body
    weight (10% and 11%), and body-weight gain (20% and 28%). Males at the
    high dose had slightly decreased erythrocyte volume fractions (8%) and
    haemoglobin values (7%). Significantly increased cholesterol
    concentrations were found in females at the intermediate (37%) and
    high doses (41%), and those at the high dose had increased serum
    activity of aspartate aminotransferase (30%). There were no gross
    findings at necropsy that were considered to be related to treatment.
    The weight of the liver relative to body weight was significantly
    increased in males at the high dose (18%) and was correlated with
    microscopic hepatocellular hypertrophy in 5 of 10 animals. Females at
    the intermediate and high doses showed increased relative weights of
    the brain, kidney, and liver, in the absence of microscopic changes,
    and these changes were considered to be related to the decreased body
    weights of those animals. The NOAEL was 40 ppm, equal to 2.5 mg/kg bw
    per day (Goldenthal, 1993). 

          Dogs 

         Groups of four male and four female pure-bred beagles, about six
    months old, were given diets containing technical-grade dimethipin
    (purity, > 99.2%) at concentrations of 0, 100, 300, or 1000 ppm for
    90 days. No deaths occurred, and no treatment-related effects were
    seen on behaviour, body weight, or food consumption or in blood
    chemistry or haematology conducted after 42 and 85 days of treatment.
    Urinary analysis at the same two intervals indicated an increase (not
    dose-related) in the incidence of moderate-to-large amounts of
    'crystals' in the urinary sediments of all treated females after 85
    days. No other urinary parameters were affected. At terminal
    sacrifice, the organ weights and gross appearance were not affected by
    treatment. Microscopic examination of a large number of tissues,
    including the testis, from each animal revealed oesophageal lesions

    characterized by focal mucosal vesicles containing a few acute
    inflammatory cells in one of eight animals at 300 ppm and three of
    eight animals at 1000 ppm, but in none of the concurrent controls or
    those at the lowest dose. The NOAEL was 100 ppm, equivalent to 2.5
    mg/kg bw per day (Burtner et al., 1976).

         Groups of six male and six female pure-bred beagles, about 7.5
    months old and caged individually, were given diets containing
    technical-grade dimethipin (purity, 99.7%) at concentrations of 0,
    300, 1000, or 3000 ppm for one year. One male and three females at the
    highest dose died or were sacrificed  in extremis between weeks 13
    and 52. 'Thinness', a major clinical sign, was seen frequently in most
    animals at 3000 ppm and infrequently in one animal at 1000 ppm. Other
    signs, including dehydration and paleness of the gums, were also noted
    infrequently at 3000 ppm. Weight loss or growth depression and
    decreased food consumption were seen in animals of each sex at 3000
    ppm throughout most of the study. Bitches at 300 or 1000 ppm showed a
    marginal (10%) but not consistently dose-dependent reduction in growth
    between weeks 12 and 48. Animals of the highest dose had abnormalities
    in the T-wave on electrocardiograms at the end of the study, and
    ophthalmoscopic examination showed increased incidences of
    conjunctival discharge, inflammation and corneal irregularities and
    roughening at week 27 but not at week 52. 'Severe to slight thinness
    and irregular or erratic heartbeat' were seen almost exclusively in
    animals at 3000 ppm throughout the study.

         Monthly haematological and blood chemical determinations revealed
    deviations from control values in many parameters mainly in animals of
    each sex at 3000 ppm, including decreased erythrocyte volume fraction,
    increased platelet count, and depressed values of total protein,
    albumin, globulin, calcium, blood urea nitrogen, and creatinine at
    most sampling intervals. Animals at 1000 ppm had decreased values of
    blood urea nitrogen (both sexes) and creatinine (dogs) at many
    sampling intervals. When compared with concurrent controls, treated
    dogs showed a slight but consistent, generally dose-related decrease
    in erythrocyte counts and haemoglobin levels. These findings were
    considered unlikely to be related to treatment, because the values
    were within the normal ranges for control beagles in the published
    literature (Bushby, 1970) and those recorded for control beagle dogs
    maintained in the testing laboratory. Urinalysis, including microscopy
    of urinary sediments, conducted twice monthly showed no significant
    changes related to treatment.

         At termination, the gross pathological appearance in the treated
    groups was not significantly different from that in the controls. The
    ratio of organ:body weight for the kidneys was increased at both 1000
    and 3000 ppm (both sexes), for liver in dogs at 3000 ppm and in
    bitches at > 1000 ppm, for brain at 3000 ppm (both sexes), and for
    testis at 3000 ppm. Histopathological evaluation of a large number of
    tissues from each animal showed testicular degeneration in 0/6, 2/6,
    1/6, and 3/6 dogs at 0, 300, 1000, and 3000 ppm, respectively. Severe
    and diffuse testicular degeneration was seen in one affected dog at
    300 ppm and one at 3000 ppm, while generally mild focal degeneration

    of the testis was seen in the other affected animals. Although the
    incidence and severity of testicular degeneration did not show a
    dose-response relationship, the complete absence of this lesion in
    concurrent controls and in seven similar 1-year studies conducted in
    the same laboratory and comprising over 20 control dogs (McGee, 1983)
    indicated that the possibility that the testicular lesion is related
    to treatment cannot be ruled out. Nevertheless, the testicular lesions
    were considered not to be a direct effect of dimethipin on the testes,
    but rather the result of the prolonged poor nutritional status of the
    dogs or an incidental finding, as they were similar to incidental
    findings in other studies in dogs in the same laboratory.
    Additionally, no testicular lesions were seen in dogs in a 90-day
    study. Other microscopic findings likely to be attributable to
    treatment included hypocellularity of the bone marrow, lesions in the
    gastrointestinal tract (gastritis, oedema, and ulceration) and heart
    (haemorrhage), and thymic atrophy at the high dose, and an increased
    incidence of nephritis, centrilobular degeneration in the liver,
    lymphadenitis, and splenic hyperplasia at both 1000 and 3000 ppm. The
    NOAEL was 300 ppm, equivalent to 7.5 mg/kg bw per day, on the basis of
    the increased relative liver weight, increased alanine
    aminotransferase and alkaline phosphatase activities, and
    hepatocellular degeneration in bitches at 1000 ppm (Benson, 1981;
    JMPR, 1985, 1999).

    (c)  Long-term studies of toxicity and carcinogenicity

          Mice 

         Groups of 50 male and 50 female CD-1 mice, about 50 days old,
    housed five per sex per cage, were fed diets containing
    technical-grade dimethipin (purity, 97-98%) at 0, 80, 400, or 2000 ppm
    for 78 weeks. The animals fed dimethipin were kept for about 35 weeks
    in the same room as animals receiving a highly photodegradable
    compound identified only by a code name. It was stated, but
    unsubstantiated by data, that dietary analysis showed that dimethipin
    was stable in the diet for 7 days and that the mixture of dimethipin
    and basal diet was satisfactorily homogeneous. All animals killed
     in extremis or that died during the study and those killed at the
    end were examined grossly, and a wide range of tissues, including the
    brain, were examined microscopically. 

         The mortality rate was not affected by treatment: 58-78% of males
    and 76-86% of females in all groups were still alive at the conclusion
    of the study. A slight (< 10%), non-dose-related decrease in
    body-weight gain was seen in males at doses > 400 ppm during the
    first 13 weeks. Food consumption was not affected in a consistent
    dose-related pattern. There were no significant differences between
    control and treated groups in the incidence of clinical signs or
    palpable nodules or tissue masses. Haematological examination of five
    males and five females per group at three intervals during the study
    revealed a significant increase in erythrocyte volume fraction in
    males at 2000 ppm at week 13 and in erythrocyte volume fraction,
    haemoglobin, and erythrocyte values at week 78. At termination, the

    erythrocyte volume fraction was elevated in females at both 400 and
    2000 ppm. All treated females showed a statistically significant,
    albeit not strictly dose-dependent, increase in erythrocyte counts at
    week 78. Blood chemical and urinary parameters were not evaluated. No
    significant gross pathological alterations or changes in organ weights
    were seen. No detailed histopathological data with morphological
    descriptions of lesions in individual animals were available, but
    tabulated 'individual histopathology findings' indicated that no
    compound-induced non-neoplastic changes were found.

         The only notable neoplastic finding was an increased incidence of
    pulmonary (alveolar and bronchiolar) tumours in males at 2000 ppm. The
    incidence of lung adenocarcinomas, but not of adenomas alone, was
    significantly increased in males at 2000 ppm when compared with
    concurrent or historical controls from five studies ( p < 0.05,
    Fisher exact test), but not when compared with the maximum incidence
    of lung adenocarcinomas in historical controls. The time to appearance
    of adenocarcinomas and the multiplicity of tumours were not modified
    by treatment. Additionally, the pulmonary tumours were not associated
    with an increase in hyperplastic pulmonary changes. The combined
    incidence of lung adenocarcinoma and adenoma was significantly
    increased in comparison with the incidence in historical controls from
    five studies but not when compared with the incidence in concurrent
    controls or the maximum incidence in historical controls. There was no
    dose-related increase in the incidence of benign or malignant lung
    tumours in females. The incidence, location, and type of tumours other
    than lung tumours were comparable to those in controls. About 30% of
    the male and 40% of the female concurrent controls were found to have
    tumours. Lymphoma (in males), lung tumours (in both sexes), and
    hepatocellular carcinoma (in males) were the most frequently observed
    spontaneous tumours. The fact that the animals were about 50 days old
    at initiation of the study may have compromised the sensitivity of the
    test. The NOAEL was 80 ppm, equal to 12 mg/kg bw per day, on the basis
    of criteria other than tumours. The data on lung tumours are unclear
    (Serota et al., 1981a; JMPR, 1985). As lung adenomas and
    adenocarcinomas occur commonly in this strain of mice, this finding
    was considered to be of no toxicological relevance (JMPR, 1988).

          Rats 

         Groups of 50 male and 50 female Sprague-Dawley CD rats, about 40
    days old and caged individually, were fed diets containing
    technical-grade dimethipin (purity, 97-98%) at concentrations of 0,
    40, 200, or 1000 ppm for 104 weeks. The control group was used for
    both this study and another study on a chemical identified only by a
    code, and it was not reported whether treated animals in the two
    studies were kept in the same room. All animals that were killed in
    moribund condition or died during the study and all survivors killed
    at the end of the study during weeks 105 and 106 were necropsied, and
    a variety of tissues including the brain and any 'unusual' lesions
    were examined histopathologically. Sections of the spinal cord and
    'head' of 10 male and 10 female survivors per group were also
    evaluated microscopically. Five males and five females per group were

    studied for haematological and blood chemical parameters at five
    intervals during the study and similar numbers at the same intervals
    for urinary indices.

         The survival of animals at the highest dose appeared to be better
    than that in other groups. By 104 weeks, the survival rates were 44%
    for males at 200 ppm and 50-72% for males and females in all groups,
    including controls. No clinical signs related to treatment were seen,
    and there were no dose- or compound-related effects on food
    consumption or on the incidence of palpable nodules, tissue masses, or
    wart-like lesions. A slight but consistent depression of growth
    (< 5% in males and < 10% in females) was seen at 1000 ppm
    between weeks 43 and 95 in males and between weeks 51 and 87 in
    females. Females in all treated groups had increased total protein at
    week 13 and decreased platelet counts at week 104, the only time at
    which this parameter was measured. Other deviations from control
    values were observed in certain haematological and blood chemical
    parameters, but essentially only in animals at the highest dose. No
    significant differences were seen between control and treated groups
    in urinary parameters. The gross pathological changes seen in treated
    animals were not significantly different from those in controls. A
    non-dose-related increase in the ratio of liver:body weight was seen
    in males in all treated groups, and a dose-related increase was seen
    in females at 200 and 1000 ppm.The absolute weight of the adrenals and
    that relative to body weight were decreased in females in all treated
    groups. Histopathological examination showed focally dilated bile
    ducts containing basophilic homogeneous material in one male and one
    female control, two males and three females at 40 ppm, five males and
    nine females at 200 ppm, and 33 males and 18 females at 1000 ppm. This
    finding was presumed to be related to treatment. The microscopic
    changes in other tissues, including the adrenal gland, were similar to
    those in controls. The finding that 9-27% of the males in the control
    and treated groups showed lactation and/or galactocoele may have been
    associated with the increased incidence of mammary fibroadenoma in
    males at the highest dose. The only other noteworthy neoplastic
    findings were increased incidences of astrocytoma in males and
    hepatocellular carcinoma in females at 200 and 1000 ppm. The
    incidences of these tumours were not, however, significantly different
    from those in concurrent controls (Fisher exact test). The incidence
    of hepatocellular carcinoma was not significantly different from that
    in historical controls, but that of astrocytoma in males was
    significantly increased at both 200 and 1000 ppm ( p < 0.05) when
    compared with the incidence in historical controls from seven studies.
    Comparison with the maximum incidence in historical controls showed no
    significant difference, even at 1000 ppm. An additional glioma was
    reportedly found in the control group by a consultant to the company
    who evaluated three additional brain sections from each control and
    treated male. No preneoplastic lesions (gliosis) were seen in the
    original or additional brain slides (Squire, 1984). The latency to
    appearance of astrocytoma was not reduced by treatment. The
    minimum-effect level on parameters other than tumours was 40 ppm, the
    lowest dose tested, equivalent to 2.0 mg/kg bw per day (Serota et al.,
    1981b; JMPR, 1985). 

         Further data on the changes in organ weights, provided
    subsequently by the testing laboratory, gave a NOAEL of 200 ppm for
    the decrease in relative and absolute weights of the adrenal glands in
    female rats, and a NOAEL of 200 ppm for the increase in absolute and
    relative liver weights in male rats. The NOAEL for the increase in
    absolute and relative liver weights in females was 40 ppm (JMPR, 1998)

         Groups of 60 young Sprague-Dawley rats (Crl:CD BR (VAF/Plus)) of
    each sex were fed diets containing technical-grade dimethipin (purity,
    98.5%) at concentrations of 0, 40, 1750, or 3500 ppm for males (equal
    to 0, 1.8, 78, or 160 mg/kg bw per day) and 0, 40, 875, or 1750 ppm
    for females (equal to 0, 2.2, 50, or 100 mg/kg bw per day) for 104
    weeks. The study was conducted under GLP requirements, and a signed
    quality assurance statement was available. Ten animals of each sex per
    dose were killed after 12 months for interim evaluations of clinical
    signs, deaths, body weight, food consumption, ophthalmological,
    haematological, clinical chemical, and urinary parameters, organ
    weights, and gross and histopathological appearance. The survival of
    females at the high dose was decreased but not statistically
    significantly. Of the 50 rats per sex allocated to the main study,
    only 20, 24, 19, and 21 of the males and 20, 18, 18, and 13 of the
    females in the control, low-, intermediate-, and high-dose groups,
    respectively, survived to week 104. There were no treatment-related
    clinical signs of toxicity, ophthalmic or haematological effects, or
    changes in urinary parameters in any treated group in comparison with
    controls. The mean body weight of males at the high dose was decreased
    by 13-20% during the study; females at the intermediate dose weighed
    < 16% less than controls and those at the high dose weighed
    < 19% less. The mean body-weight gain of males at the high dose was
    consistently decreased by 24%, and those of females at the
    intermediate and high doses by 13 and 29% in comparison with controls.
    No accompanying decrease in food consumption was seen. 

         Significantly increased serum aspartate and alanine
    aminotransferase activities were observed in females at the
    intermediate and high doses at 12, 18, and 24 months and in males at
    the high dose at 18 months. Animals of each sex at the intermediate
    and high doses also had elevated cholesterol levels at all sampling
    intervals, and males at these doses had increased serum concentrations
    of urea nitrogen and creatinine. The findings indicate renal and
    hepatic toxicity. Macroscopic alterations were seen in the liver and
    kidneys of animals that died during the study or were killed at the
    end. Males at the high dose and females at the intermediate and high
    doses had an increased incidence of liver cysts, and males at the
    highest dose had an increased incidence of tan discolouration of the
    liver and small testes. Males at the two higher doses had a slight
    increase in the incidence of enlarged kidneys. Tan discolouration and
    tan foci in the liver and a granular surface on the kidneys were seen
    in females at the highest dose. Significant increases in organ weights
    ( p < 0.05) in males at the highest dose that were considered to be
    related to treatment were in the absolute (115%) and relative (166%)
    weights of the liver and the absolute (132%) and relative (152%)
    weights of the kidney.

         At interim sacrifice at 12 months, the incidence and/or grade of
    bile-duct hyperplasia was increased in treated males (4/12, 5/13, and
    5/12 at the low, intermediate, and high doses, respectively) when
    compared with controls (2/13). In females, the incidence and/or grade
    was increased at both 875 ppm (70%) and 1750 ppm (43%) when compared
    with controls (8%). Epithelial hyperplasia of the duodenum was seen in
    11/12 males and 10/14 females at the high dose and in none of the
    controls by 12 months. In animals killed at the end of the study, the
    incidence and/or grade of biliary cysts in the liver was increased in
    females at the intermediate (12%) and high doses (37%) and in males at
    the high dose (10%) in comparison with controls (2% in females and 0%
    in males). Bile-duct hyperplasia in the liver was increased in
    incidence and/or severity in males at the intermediate (25/47) and
    high doses (29/48) in comparison with controls (21/47), and in females
    at the intermediate (68%) and high doses (61%) when compared with
    controls (33%). Dose-related increases in the severity of the lesion
    were seen in animals of each sex. Male rats fed the high dose also
    showed a significantly increased incidence (33%) of eosinophilic foci
    in comparison with controls (13%).

         The incidence and severity of chronic progressive nephropathy was
    increased in 47/47 males and 37/50 females at the intermediate dose
    and 46/48 males and 38/46 females at the high dose in comparison with
    controls (33/47 in males and 18/48 in females). The incidence and
    grade of epithelial hyperplasia of the duodenum was increased in males
    at the intermediate (38%) and high doses (46%) in comparison with
    controls (2%), and in females at the intermediate (14%) and high doses
    (33%) in comparison with controls (0%). Signs of gastrointestinal
    tract toxicity were seen in animals of each sex at the high dose;
    males at this dose had an increased incidence and severity of
    epithelial hyperplasia of the nonglandular stomach (15%, 2% in
    controls), and females showed demineralization of the glandular
    stomach (7/46, 0/48 in controls). Males at the high dose had an
    increased incidence (21/47) and grade of seminiferous tubular
    degeneration of the testis (eight had grades of moderate and six
    severe; 12/47 in controls of which 0 were moderate and four severe)
    and hypospermia of the epididymis (13/47, 5/47 in controls).The
    incidence of seminiferous tubular degeneration was 13/27 (three
    moderate and two severe) in males at the low dose and 16/34 (four
    moderate and three severe) at the intermediate dose. Although the
    testes of all rats at the low and intermediate doses were not
    examined, a treatment-related increase in the incidence of testicular
    lesions at the intermediate dose could be discerned. The occurrence of
    testicular degeneration at the intermediate and high doses was
    considered to be related to treatment, as was the increased incidence
    of epididymal hypospermia, which was probably a result of the
    seminiferous tubular degeneration. Females at the high dose showed an
    increased incidence and severity of vascular mineralization of the
    heart (5/46, 0/46 in controls) and aortic artery (6/45, 0/48 in
    controls). The other histological lesions reported were considered not
    to be related to treatment.

         The doses tested were adequate to assess the tumorigenic
    potential of dimethipin. The only statistically significant increase
    in neoplastic lesions was in the incidence of benign
    phaeochromocytomas (17%, 4% in concurrent controls) in the adrenal
    medulla of male rats at the high dose. There was no accompanying
    increase in hyperplasia in this tissue and no increase in the
    incidence of malignant phaeochromocytomas, and the combined incidence
    of benign and malignant neoplasms was not increased significantly.
    Furthermore, the incidence of benign phaeochromocytomas in historical
    controls ranged from about 0 to 18%, and the combined incidence of
    malignant and benign tumours ranged from about 0 to 20% in similar
    studies conducted in the same laboratory during the 5 years preceding
    termination of this study. The increased incidence of benign
    phaeochromocytomas was therefore considered not to be related to
    treatment. Slight but biologically insignificant increases or
    decreases in the incidences of other tumours were seen in treated
    groups in comparison with controls. The tumour incidences in this
    study are presented in Table 2. During the first 12 months of the
    study, additional fibroadenomas and adenocarcinomas were found in
    females in both control and treated groups and an additional
    fibroadenoma was found in a male at the intermediate dose. The other
    tumour types listed in Table 2 were not found during the first 12
    months. The increased incidences of astrocytomas in males at 200 and
    1000 ppm, hepatocellular carcinomas in females at 200 and 1000 ppm,
    and mammary fibroadenomas in males at 1000 ppm in the study of Serota
    et al. (1981b) were not found in this study, even though the doses and
    the number of rats per sex at each dose exceeded those in the earlier
    study. The NOAEL was 40 ppm, equal to 1.8 mg/kg bw per day
    (Goldenthal, 1996).

    (d)  Genotoxicity 

         Dimethipin had no mutagenic activity in a number of assays in
    microorganisms, mammalian cells, and rodents  in vitro and  in 
     vivo. The only exception was the induction of forward mutation in
    mouse lymphoma cells in the presence of metabolic activation
    (Table 3).

    (e)  Reproductive toxicity

         (i)  Multigeneration reproductive toxicity

         Groups of 15 male and 25 female Charles-River CD(SD)BR rats, 5
    weeks old, were fed diets containing technical-grade dimethipin
    (purity, 99.7%) at 0, 50, 200, or 800 ppm for 105 days before mating
    (one male:two females; sibling and half-sibling mating avoided). he
    day on which a positive vaginal smear or copulatory plug was detected
    was considered to be day 0 of gestation. Weanlings of the second
    litter (F1b) were selected to become parents of the next generation
    and mated after receiving the test diets for 125 days. In each
    generation, the second mating was allowed at least 14 days after the
    first litter (F1a and F2a) had been weaned at 21 days of age.


        Table 2. Tumour incidencea in rats dying between weeks 52 and 104 in a 2-year study of dimethipin

                                                                                                                       
    Tumour site                                  Males (dose, ppm)                   Females (dose, ppm)
                                                                                                                       
                                                 0        40       1750     3500     0        40       875      1750
                                                                                                                       

    Mammary gland
        Adenoma                                  1/7      0/3      1/2      2/7      4/48     3/41     7/46     2/46
        Fibroadenoma                                                                 28/48    23/41    27/46    16/46
        Adenocarcinoma                                                               9/48     6/41     10/46    4/46

    Brain
        Astrocytoma                              1/44     0/24     0/28     1/48     0/48     0/31     0/33     0/46
        Granular-cell tumour                     1/44     0/24     0/28     1/48

    Liver
        Adenoma                                  1/47     0/48     3/47     2/48     1/48     0/49     1/50     3/46
        Carcinoma                                1/47     1/48     2/47     1/48     0/48     0/49     0/50     0/46

    Interstitial-cell tumour of the testis 
        Benign                                   2/47     1/27     2/34     5/47
        Malignant                                0/47     0/27     1/34     0/47
        Combined                                 2/47     1/27     3/34     5/47

    Phaeochromocytoma of the adrenal medulla
        Benign                                   2/47     4/28     0/28     8/48*    1/48     1/32     0/35     0/46
        Malignant                                2/47     1/28     1/28     0/48     0/48     0/32     0/35     0/46
        Combined                                 4/47     5/28     1/28     8/48
                                                                                                                       

    a Number of rats with tumours/Number of rats examined microscopically
    * Significantly different from incidemce in concurrent controls at  p < 0.05

    Table 3.  Results of assays for the genotoxicity of dimethipin (purity, > 98%)

                                                                                                                            

    End-point                      Test system                   Dose                   Result       Reference
                                                                                                                            

     In vitro 
    Reverse mutation               S. typhimurium TA1538,        1-1000 mg/plate        Negativea    Jagannath & Brusick 
                                   TA1537, TA1535, TA98,                                             (1978, 1981)

    Mitotic non-disjunction,       S. cerevisiae D4              1-1000 mg/plate        Negativea    Jagannath & Brusick 
    recombination, and                                                                               (1978)
    mutation                       S. cerevisiae D6              1-2000 mg/plate        Negativea    Bootman & Lodge
                                                                                                     (1982)

    Mitotic gene conversion        S. cerevisiae D4              125-2000 mg/ml         Negativea    Forster et al. (1984a)

    Chromosomal aberration         Chinese hamster ovary cells   5-50 mg/ml             Negativea    Sorg et al. (1983)

    Sister chromatid exchange      Chinese hamster ovary cells   1.56-24 mg/mlb         Negativea    Galloway & Brusick 
                                                                 3.1-200 mg/mlc                      (1981)

    Forward mutation               L5178Y Tk+/- mouse            1.56-75 mg/mlb         ?            Myhr & Brusick 
                                   lymphoma cells                125-200 mg/mlc                      (1981)

     In vivo 
    In vivo/in vitro unscheduled   Wistar rat                    100, 300, or 1000      Negative     McManus (1987c)
    DNA synthesis                                                mg/kg bw

    Micronucleus formation         Swiss CD-1 mouse              220 mg/kg bw           Negative     McManus (1986)

    Micronucleus formation         Mouse                         Two successive         Negatived    Forster et al. (1984b)
                                                                 daily oral doses of 
                                                                 22, 73.3, or  220 
                                                                 mg/kg bw per day 
                                                                 (males) or at 30, 
                                                                 100, or 300 mg/kg 
                                                                 bw per day (females)
                                                                                                                            
    

         In the parental generations, deaths (the incidence of which was
    not dose-related) occurred only among females. No compound-related
    behavioural abnormalities were seen. F0 and F1b adult females at
    800 ppm weighed less than the concurrent controls before mating,
    throughout gestation, and throughout most of the the lactation
    periods. Food consumption was depressed in animals at 800 ppm, in F0
    females before mating in weeks 6-10, in F1b females in weeks 6-17,
    and in F1b males in weeks, 1, 4, and 9. Fertility in males, as
    determined by a demonstrated ability to impregnate at least one
    female, mating index (% females mated), gestation index (% mated
    females with viable litters), the number of days required by females
    to mate, and the duration of gestation in treated groups were all
    comparable to the control values. In the progeny, the mean number of
    pups per litter born alive, survival of pups to days 4, 7, 14, and 21,
    the sex ratio, and the behaviour of pups were not adversely affected.
    The weights of pups in the F1a and F1b litters at 800 ppm were
    reduced on days 7, 4, and 21, and the weights of those in the F1a
    litters at 200 ppm and in the F2a litters at 800 ppm were decreased
    on day 21. Gross external examination of all pups, including those
    found dead, revealed only one abnormal pup, which was a stillborn in
    an F1a litter at 200 ppm.

         Gross pathological examination of all parental animals of the
    second litters killed after weaning (F0) or 30 days after weaning
    (F1b) (i.e. after 32 weeks and 39 weeks of dietary feeding,
    respectively) and weanlings in each generation revealed no significant
    difference between control and treated groups. Determinations of the
    weights of organs from all F1b adults and five male and five female
    weanlings from the F1b and the F2b litters showed increased
    organ:body-weight ratios for the liver at 200 and 800 ppm and for the
    kidney and brain at 800 ppm in adult F1b females; however, the
    organ:body-weight ratio of the liver in F1b adult females was
    depressed at 50 ppm. Microscopic evaluation of a wide range of
    tissues, including the liver and kidney, from all F1b adults and
    five male and five female weanlings from the F1b and the F2b
    litters and of gross lesions and gonads from F0 adults indicated no
    significant changes attributable to treatment.

         The NOAEL was 200 ppm, equivalent to 10 mg/kg bw per day, as the
    finding of a decrease in pup weight on day 21 in F1a litters at 200
    ppm was unlikely to be treatment-related, as it occurred in only a
    single generation and was not recurrent (Kehoe & Mackenzie, 1982;
    JMPR, 1985).

         (ii) Developmental toxicity

          Rats 

         Groups of sexually mature mated female rats (BLU:(SD)BR) received
    technical-grade dimethipin (purity, 97.5%) by intubation as a
    suspension in corn oil at a dose of 0, 80, 400, or 800 mg/kg bw per
    day on days 6-15 of gestation, the day on which a vaginal plug was
    observed being considered day 0. An additional group of mated female

    rats treated with 250 mg/kg bw per day of acetylsalicylic acid was
    used as the positive control. The groups at 400 and 800 mg/kg bw per
    day were terminated within 8 days of initiation of treatment owing to
    'excessive deaths' and were not investigated further. Two new groups,
    at 30 and 160 mg/kg bw per day, were added 2 weeks after the study
    began, but no concurrent control groups were included for the two new
    doses. The dams were killed on day 20 of gestation and their fetuses
    were removed surgically for gross external, visceral, and skeletal
    examination. 

         No compound-related deaths or clinical signs were observed at
    doses up to 160 mg/kg bw per day, and the growth rates of dams during
    gestation were comparable in all groups. The number of dams in each
    group that became pregnant and were alive on day 20 was 20-22. The
    mean number of implantation sites or live fetuses, fetal weight, and
    sex ratio were unaffected. An increase in the mean number of
    resorptions per dam, with no concomitant increase in the incidence of
    pregnant dams with resorptions, was seen at 160 mg/kg bw per day. The
    incidence of skeletal or visceral malformations of fetuses did not
    differ significantly between control and treated groups. The positive
    control group had a number of fetal abnormalities, including
    encephalomenigocoele and gastroschisis. The NOAEL for both maternal
    and developmental toxicity was 160 mg/kg bw per day (Knickerboker et
    al., 1977; JMPR, 1985).

          Rabbits 

         Groups of 16 sexually mature female Dutch belted rabbits were
    artificially inseminated and were intubated with technical-grade
    dimethipin (purity, 98.3%) as a suspension in 0.5% carboxymethyl
    cellulose at 0, 7.5, 20, or 40 mg/kg bw per day at a constant volume
    of 1 ml/kg bw, on days 6-27 of gestation, day 0 of gestation being
    considered the day of insemination. They were killed on day 28 of
    gestation, and the uterine contents were examined. All fetuses,
    including those that were aborted or dead, were examined grossly and
    for skeletal and visceral abnormalities.

         No deaths occurred. A slight increase in the number of females at
    20 and 40 mg/kg bw per day that had a reduced amount of faeces beneath
    the cage was seen at various intervals during gestation as compared
    with concurrent controls. No data on food consumption were available.
    Does at 40 mg/kg bw per day showed weight loss between days 6 and 12,
    and maternal weight gain was depressed in a dose-response pattern in
    all treated groups between days 6 and 28. The fertility rate was
    88-94% in control and treated groups. One doe each at 0, 20, and 40
    mg/kg bw per day aborted on day 28; seven non-viable fetuses were
    found in does at 0 and 20 mg/kg bw per day; and three late resorptions
    occurred in the doe at 40 mg/kg bw per day. At terminal sacrifice, the
    gross pathological findings in treated does were comparable to those
    in the controls. No significant differences were found between
    controls and treated groups in the mean numbers of corpora lutea,
    implantations, early or late resorptions, or viable or non-viable
    fetuses, or in fetal weight.

         A non-dose-related increase in postimplantation loss, due mainly
    to an increased number of early resorptions, was seen in all treated
    groups, although the values for this parameter were within the range
    of historical controls. The sex ratio of fetuses at 40 mg/kg bw per
    day was increased, the mean number of females being reduced. Increases
    in the incidence of fetuses and of litters containing fetuses with 27
    presacral vertebrae and with scoliosis (with or without associated rib
    anomalies) were observed at 40 mg/kg bw per day, when compared with
    concurrent or historical control incidences, in a total of 951 fetuses
    in 149 litters from an unspecified number of studies with Dutch belted
    rabbits over an unspecified period. There was no apparent dose- or
    compound-related increase in the frequency of fetal soft-tissue
    abnormalities. The NOAEL for maternal and developmental toxicity was
    20 mg/kg bw per day (McMeekin et al., 1981; JMPR, 1985).

    Comments

         After oral administration to rats, goats and hens,
    14C-dimethipin was extensively absorbed (69% within 24 h) and
    rapidly excreted (89% within 48 h), mainly in the urine. Unchanged
    dimethipin represented only a small fraction of the residue in
    animals. In one metabolic pathway, dimethipin undergoes glutathione
    conjugation and subsequent degradation to several metabolites,
    including its mercapturic acid. In another pathway, dimethipin is
    hydrated and then undergoes ring cleavage. Dimethipin also binds
    covalently to amino acids, peptides and proteins, although the extent
    to which this binding is catalysed by enzymes is unknown. 

         Dimethipin (purity, 98.5%) was moderately toxic to rats given
    single oral doses, with LD50 values of 460 mg/kg bw in males and 550
    mg/kg bw in females, or after exposure by inhalation, with LC50
    values of 1.5 mg/L in males and 0.88 mg/L in females. It showed little
    toxicity in rabbits exposed dermally, with an LD50 value greater
    than 5000 mg/kg bw. A recrystallized form of dimethipin was severely
    irritating to the eye in rabbits. Technical-grade dimethipin was not
    irritating to rabbit skin but weakly sensitized the skin of
    guinea-pigs. 

         WHO (1999) has classified dimethipin as 'slightly hazardous'.

         In 90-day and long-term tests for toxicity in rats, the liver was
    the main target at doses of 10 mg/kg bw per day and above. The
    clinical findings consisted of increased absolute and relative weights
    of the liver and increased serum cholesterol concentration and
    transaminase activity. At doses greater than 85 mg/kg bw per day,
    hepatocellular hypertrophy was seen in 90-day studies, whereas in
    long-term studies the hepatocellular effects included focal dilatation
    of bile ducts, biliary cysts and bile-duct hyperplasia. 

         The testis was identified as another target organ. In a one-year
    study in dogs given dimethipin, testicular changes were seen at all
    doses, the lowest dose being 300 ppm (equivalent to 7.5 mg/kg bw per
    day), but these were considered not to be related to treatment but to

    be a result of poor nutritional status or incidental findings, as they
    were similar to testicular lesions seen in other studies in dogs in
    the same laboratory. Additionally, no testicular lesions were seen in
    dogs in a 90-day study. In contrast, Sprague-Dawley rats fed diets
    containing technical-grade dimethipin for two years showed increased
    incidences and severity of seminiferous tubular degeneration at the
    two highest doses, 1750 and 3500 ppm (equal to 78 and 160 mg/kg bw per
    day), associated at the high dose with hypospermia in the
    epididymides. The NOAEL for testicular degeneration was 40 ppm
    (2 mg/kg bw per day).

         In a 90-day study in dogs given dimethipin in the diet, the
    lowest dose of 100 ppm (equivalent to 2.5 mg/kg bw per day) was the
    NOAEL, on the basis of oesophageal lesions at the LOAEL of 300 ppm
    (equivalent to 7.5 mg/kg bw per day).

         In the 1-year study in dogs described above, the effects seen at
    1000 and 3000 ppm (equal to 25 and 75 mg/kg bw per day) included
    'thinness' and increased relative kidney weights in animals of each
    sex. At this dose, males had decreased blood urea nitrogen and
    creatinine concentrations and females had increased relative liver
    weights. One male and three females at the highest dose died, and
    animals of each sex had decreased body weights and food consumption,
    hypocellularity of the bone marrow, gastritis, oedema, ulceration of
    the gastrointestinal tract, thymic atrophy, nephritis, centrilobular
    degeneration of the liver, splenic hyperplasia and lymphadenitis. The
    NOAEL was 300 ppm (equivalent to 7.5 mg/kg bw per day) on the basis of
    increased relative liver weights, increased alanine aminotransferase
    and alkaline phosphatase activities, and hepatocellular degeneration
    in females at 1000 ppm (equivalent to 25 mg/kg bw per day).

         In a 78-week study of carcinogenicity in mice, a statistically
    significant increase in the incidence of alveloar and bronchiolar
    carcinomas was seen in males at the highest dose (2000 ppm, equal to
    300 mg/kg bw per day). The combined incidence of lung adenocarcinoma
    and adenoma was significantly greater than the mean for controls in
    five previous studies but not when compared with that for concurrent
    controls or with the mean maximum incidence in controls in previous
    studies. As lung adenomas and adenocarcinomas occur commonly in this
    strain of mice, this finding was not considered to be of toxicological
    relevance. The NOAEL for systemic toxicity was 80 ppm (equal to 12
    mg/kg bw per day) on the basis of increased erythrocyte volume
    fraction at the LOAEL of 400 ppm (equal to 60 mg/kg bw per day).

         In two 2-year studies in rats, the NOAEL for systemic toxicity
    was 40 ppm (equal to 2 mg/kg bw per day) on the basis of decreased
    body weights, increased absolute and relative weights of the liver, an
    increased incidence of biliary hyperplasia, and testicular
    degeneration at higher doses. No increase in tumour incidence was
    observed in rats at any dose. The Meeting concluded that dimethipin is
    not carcinogenic in mice or rats and is unlikely to pose a
    carcinogenic risk to humans.

         Dimethipin has been tested in an adequate range of tests for
    genotoxicity  in vitro and  in vivo. Negative results were obtained
    in most assays. It induced a weak mutagenic response in one test for
    forward mutation in mouse lymphoma cells in the presence of metabolic
    activation. The Meeting concluded that dimethipin is unlikely to be
    genotoxic.

         In a two-generation study of reproductive toxicity in rats, the
    highest dose of 800 ppm (equivalent to 40 mg/kg bw per day) caused
    decreased body weights and food consumption in parental animals of
    each sex and decreased body weights in pups on days 7, 14, and 21 of
    lactation. The NOAEL for both systemic toxicity in the parental
    generation and developmental toxicity in the pups was 200 ppm
    (equivalent to 10 mg/kg bw per day). 

         In a study of developmental toxicity in rats, excess mortality
    occurred at doses of 400 and 800 mg/kg bw per day. The NOAEL for both
    maternal and developmental toxicity was 160 mg/kg bw per day. In
    rabbits, the NOAEL for both maternal and developmental toxicity was 20
    mg/kg bw per day. Does at the maternal LOAEL of 40 mg/kg bw per day
    showed body-weight loss on days 6-12 of gestation and decreased weight
    gain on days 6-28 of gestation. The LOAEL for developmental toxicity
    was 40 mg/kg bw per day on the basis of an increased incidence of
    fetuses with skeletal malformations (scoliosis). 

         The present Meeting confirmed the ADI of 0-0.02 mg/kg bw
    established by the 1988 Joint Meeting on the basis of the NOAEL of 2
    mg/kg bw per day in the 2-year study in rats conducted in 1981 and a
    safety factor of 100. This ADI is supported by the NOAEL of 40 ppm,
    equivalent to 2 mg/kg bw per day, in the 2-year study in rats
    conducted in 1996. The ADI provides a 1000-fold margin of safety with
    respect to the NOAEL of 20 mg/kg bw per day for developmental toxicity
    in rabbits, which showed skeletal malformations at the LOAEL of 40
    mg/kg bw per day.

         An acute reference dose of 0.02 mg/kg bw was established on the
    basis of the NOAEL of 20 mg/kg bw per day for skeletal malformations
    in the study of developmental toxicity in rabbits and a safety factor
    of 1000. This high safety factor was used because of the nature of the
    effect.

    Toxicological evaluation

     Levels that cause no toxic effect 

    Mouse:         80 ppm, equivalent to 12 mg/kg bw per day (toxicity in
                   a 78-week study of toxicity and carcinogenicity)

    Rat:           40 ppm, equivalent to 2 mg/kg bw per day (toxicity in
                   two 2-year studies of toxicity and carcinogenicity)

                   160 mg/kg bw per day (maternal and developmental
                   toxicity in a study of developmental toxicity)

                   10 mg/kg bw per day (parental and reproductive toxicity
                   in a two-generation study of reproductive toxicity)

    Rabbit:        20 mg/kg bw per day (maternal and developmental
                   toxicity in a study of developmental toxicity)

    Dog:           100 ppm, equivalent to 2.5 mg/kg bw per day (toxicity
                   in a 90-day study of toxicity)

     Estimate of acceptable daily intake for humans 

         0-0.02 mg/kg bw 

     Estimate of acute reference dose 

         0.02 mg/kg bw 

     Studies that would provide information useful for continued 
     evaluation of the compound 

         Further observations in humans


        Toxicological end-points relevant for setting guidance values for dietary and non-dietary exposure to dimethipin

     Absorption, distribution, excretion and metabolism in mammals 

    Rate and extent of oral absorption      69% within 24 h, rats 
    Dermal absorption                       Low dermal penetration, rabbits
    Distribution                            Widely distributed, rats
    Potential for accumulation              No evidence of accumulation
    Rate and extent of excretion            89% within 48 h mainly via urine
    Metabolism in animals                   Parent < 5%; metabolites consist of glutathione conjugates and degradates, rats
    Toxicologically significant compounds   Parent compound
    (animals, plants and environment)

    Acute toxicity                          Oral toxicity is moderate, but only slightly toxic by dermal and inhalation 
                                            routes of exposure
    Rat, LD50, oral                         440 mg/kg bw (males) and 600 mg/kg bw (females)
    Rabbit, LD50, dermal                    > 5000 mg/kg bw 
    Rat, LC50, inhalation                   0.88 mg/L, 4 h (female) and 1.5 mg/L, 4 h (males)
    Rabbit, dermal irritation               Not irritating
    Rabbit, ocular irritation               Severely irritating
    Guinea-pig, dermal sensitization        Weakly sensitizing

     Short-term toxicity
    Target/critical effect                  Liver: hepatotoxicity, hepatic hypertrophy, rats
    Lowest relevant oral NOAEL              2 mg/kg bw per day, rats
    Lowest relevant dermal NOAEL            1000 mg/kg bw per day (highest dose tested), rats
    Lowest relevant inhalation NOAEL        Not determined

     Long-term toxicity and carcinogenicity 
    Target/critical effect                  Rat liver: increased weight, liver enzymes, bile-duct hyperplasia; rat 
                                            testis: degeneration
    Lowest relevant NOAEL                   2 mg/kg bw per day in two 2-year studies, rat
    Carcinogenicity                         Not carcinogenic in mice or rats

    Genotoxicity                            Not genotoxic

     Reproductive toxicity 
    Reproductive target/critical effect     None. Decreased pup body weight on days 7, 14, and 21 of lactation at 
                                            maternally toxic doses, rats
    Lowest relevant reproductive NOAEL      10 mg/kg bw per day
    Developmental target/critical effect    Increased incidence of skeletal malformations, rabbit
    Lowest relevant developmental NOAEL     Rabbit, 20 mg/kg bw per day

    Neurotoxicity/Delayed neurotoxicity     No evidence of neurotoxicity

    Medical data                            None

                                                                                                           
    Summary                   Value                Study                                  Safety factor
                                                                                                           

    ADI                       0-0.02 mg/kg bw      Two 2-year studies in rats             100
    Acute reference dose      0.02 mg/kg bw        Skeletal malformations in rabbits      1000
                                                                                                           
    

    References

    Babish, J.G. (1977) Harvade(R) (N252) Tech. C-8-1162-00. Acute
         inhalation study in rats. Unpublished report from Food and Drug
         Research Laboratories, Inc. Submitted to WHO by Uniroyal Inc.,
         USA. 

    Benson, B.W. (1981) 1-Year dietary toxicity study in dogs with N252.
         Unpublished report from International Research and Development
         Corp., USA. Submitted to WHO by Uniroyal Chemical Co., Inc.,
         Bethany, Connecticut, USA

    Billings, T.J. (1987) A (C14)-radiolabeled pharmacokinetics and
         metabolism study in the rat using Harvade. Southwest Bio-Labs,
         Inc. (Project No. 8656r). Submitted to WHO by Uniroyal Inc., USA.

    Blaszcak, D.L (1992a) Acute oral toxicity study in rats with Harvade
         technical (Project No. 6169-91), unpublished report from
         Bio/dynamics, Inc. Submitted to WHO by Uniroyal Inc., USA.

    Blaszcak, D.L. (1992b) Acute dermal toxicity study in rabbits with
         Harvade technical (Project No. 6170-91), unpublished report from
         Bio/dynamics, Inc. Submitted to WHO by Uniroyal Inc., USA.

    Blaszcak, D.L. (1992c) Primary dermal irritation study in rabbits with
         Harvade technical (Project No. 6171-91), unpublished report from
         Bio/dynamics, Inc. Submitted to WHO by Uniroyal Inc., USA.

    Bootman, J. & Lodge, D.C. (1982) ARS7728 (technical grade
         Harvade(R)): Assessment of its ability to induce genetic damage
         in  Saccharomyces cerevisiae. Unpublished report from Life
         Science Research, United Kingdom. Submitted to WHO by Uniroyal
         Inc., USA.

    Byrd, J.W. (1992), Nature of the residue of radiolabeled Harvade in
         lactating goat; Part I: Dosing, specimen collection, and
         quantitation of Harvade residues in lactating goats (Project No.
         9202), unpublished study. Submitted to WHO by  Uniroyal Chemical
         Co., Inc., Bethany, Connecticut, USA.

    Burtner, B.R., Kennedy, G.L., Kinoshita, F.K. & Keplinger, M.L. (1976)
         90-Day sub-acute oral toxicity study with UBI-N252 technical in
         dogs. Unpublished report (IBT No. 61108063) from Industrial
         Bio-Test Laboratories, Inc., USA (validated by the Canadian
         Health Protection Branch). Submitted to WHO by Uniroyal Inc.,
         USA.

    Bushby, S.R.M. (1970) Hematological studies during toxicity tests. In:
         Paget, G.E., ed.,  Methods in Toxicology, Oxford, Blackwell
         Scientific Publications.

    Caplan, J. & Merricks, D.L. (1978) 14C-Harvade(R) radiocarbon
         study in rats. Unpublished report from Biospherics, Inc., USA.
         Submitted to WHO by Uniroyal Chemical Co., Inc., Bethany,
         Connecticut, USA.

    Forster, R., Edwards, N.& Nunziata, A. (1984a) Mitotic gene conversion
         in  Saccharomyces cerevisiae D4. Test substance: Dimethipin
         tech. 131001-M-00284. Final report. Unpublished report from Life
         Science Research, Roma Toxicology Centre, Italy. Submitted to WHO
         by Uniroyal Chemical Co., Bethany, Connecticut, USA.

    Forster, R., Mosesso, P. & Nunziata, A. (1984b) Micronucleus test.
         Test substance: Dimithipin tech. Final report. Unpublished report
         from Life Science Research, Roma Toxicology Centre, Italy.
         Submitted to WHO by Uniroyal Chemical Co., Inc., Bethany,
         Connecticut, USA.

    Galloway, S.M. & Brusick, D. J. (1981) Mutagenicity evaluation of
         Harvade(R) (N252) 90% D-11401 in the sister chromatid exchange
         assay with Chinese hamster ovary (CHO) cells. Final report.
         Unpublished report from Litton Bionetics, Inc., USA. Submitted to
         WHO by Uniroyal Chemical Co., Inc., Bethany, Connecticut, USA. 

    Gay, M.H. & Lau, R.C.M. (1996) Nature of the residue of dimethipin in
         lactating goat (Project No. 9202), unpublished study. Submitted
         to WHO by Uniroyal Chemical Co., Inc., Bethany, Connecticut, USA.

    Goldenthal, E.I. (1991) 21-Day dermal toxicity study in rats with
         Harvade technical (Report No. 399-116), unpublished study from
         International Research and Development Corp. Submitted to WHO by
         Uniroyal Inc., USA.

    Goldenthal, E.I. (1993) 13 Week dietary toxicity study in rats with
         Harvade technical (Project No. 399-133), unpublished study from
         International Research and Development Corp. Submitted to WHO by
         Uniroyal, Inc. USA.

    Goldenthal, E.I. (1996) Two year dietary chronic toxicity and
         oncogenicity study in rats (with) Harvade technical (dimethipin)
         (Project No. 399-134), unpublished study from MPI Research.
         Submitted to WHO by Uniroyal Chemical Co., Inc., Bethany,
         Connecticut, USA.

    Griffiths, J.T. & Koschier, F.J. (1980) Rabbit eye irritation study
         with Harvade technical (recrystallized) (Project No. 6413a),
         unpublished report from Food and Drug Research Laboratories, Inc.
         Submitted to WHO by Uniroyal Inc., USA

    Hoffman, G.M. (1992) An acute nose-only inhalation toxicity study of
         Harvade technical in the rat (Project No. 91-8376), unpublished
         study from Bio/dynamics, Inc. Submitted to WHO by Uniroyal Inc.,
         USA.

    Jagannath, D.R. & Brusick, D.J. (1978) Mutagenicity evaluation of
         N-252, technical lot D10406 BL8998 CC0005 in the Ames
          Salmonella/microsome plate test. Final report. Unpublished
         report from Litton Bionetics, Inc., USA. Submitted to WHO by
         Uniroyal Chemical Co., Inc., Bethany, Connecticut, USA.

    Jagannath, D.R. & Brusick, D.J. (1981) Mutagenicity evaluation of
         Harvade(R) (N252) 98% D-11401 in the Ames
          Salmonella/microsome plate test. Final report. Unpublished
         report from Litton Bionetics, Inc., USA. Submitted to WHO by
         Uniroyal Chemical Co., Inc., Bethany, Connecticut, USA. 

    Kehoe, D.F. & Mackenzie, K.M. (1982) Final report. Two-generation rat
         reproduction study with N252. Unpublished report from Hazleton
         Raltech, Inc., USA. Submitted to WHO by Uniroyal Inc., USA.

    Knickerbocker, M., Re, T.A. & Babish, J.G. (1977) Teratologic
         evaluation of N252 (Harvade (R)) technical in Sprague-Dawley
         rats. Unpublished report from Food and Drug Research
         Laboratories, Inc., USA, submitted to WHO by Uniroyal Chemical
         Co., Inc., Bethany, Connecticut, USA

    Lau, R.C.M. & Gay, M.H. (1993) Nature of the residue of 14C-Harvade
         in laying hens (Uniroyal Chemical Co. Project No. 91121),
         unpublished stud. Submitted to WHO by Uniroyal Chemical Co.,
         Inc., Bethany, Connecticut, USA.

    Madison, W.A. (1983) Technical grade Harvade(R). Dermal
         sensitization in guinea pigs (modified closed patch technique).
         Unpublished report from Hazleton Raltech, Inc., USA. Submitted to
         WHO by Uniroyal Inc., USA.

    Marias, A.J., Kennedy, G.L., Kinoshita, F.K. & Keplinger, M.L. (1976)
         90-Day sub-acute oral toxicity study with UBI-N252 technical in
         albino rats. Unpublished report (IBT NO. 622-08070) from
         Industrial Bio-Test Laboratories, Inc., USA (validated by the
         Canadian Health Protection Branch). Submitted to WHO by Uniroyal
         Chemical Co., Inc., Bethany, Connecticut, USA.

    McGee, D.H. (1983) Unpublished letter from International Research
         Development Corp., USA, to Uniroyal Chemical Co. Submitted to WHO
         by Uniroyal Chemical Co., Inc., Bethany, Connecticut, USA

    McManus, J.P. (1984) Metabolism of Harvade(R) in goats. Unpublished
         report from Uniroyal Chemical Co. Submitted to WHO by Uniroyal
         Chemical Co., Inc., Bethany, Connecticut, USA.

    McManus, J.P. (1986) Mouse micronucleus test with dimethipin
         technical, Life Sciences Research, Rome (Report 180001-M-06886).
         Submitted to WHO by Uniroyal Chemical Co., Inc., Bethany,
         Connecticut, USA

    McManus, J.P. (1987a) Analysis of urine samples from dimethipin
         (Harvade) rat pharmacokinetic study. Submitted to WHO by Uniroyal
         Chemical Co., Inc., Bethany, Connecticut, USA.

    McManus, J.P. (1987b) Metabolism of (C14) Dimethipin (Harvade) in the
         Rat - Urinary Metabolite Identification. Uniroyal Project No.
         85125. Submitted to WHO by Uniroyal Chemical Co., Inc., Bethany,
         Connecticut, USA.

    McManus, J.P. (1987c)  In vivo/in vitro UDS study in rats, Robens
         Institute (Report No. 4/86/TX). Submitted to WHO by Uniroyal
         Chemical Co., Inc., Bethany, Connecticut, USA.

    McMeekin, S.O.., Schardein, J.L. & Blair, M. (1981) N252 (Harvade(R)
         technical). Teratology study in rabbits. Unpublished report from
         International Research and Development Corp., Inc., USA.
         Submitted to WHO by Uniroyal Chemical Co., Inc., Bethany,
         Connecticut, USA.

    Myhr, B.C. & Brusick, D.J. (1981) Mutagenicity evaluation of
         Harvade(R) (N252) in the mouse lymphoma forward mutation assay.
         Revised final report. Unpublished report from Litton Bionetics,
         Inc., USA. Submitted to WHO by Uniroyal Chemical Co., Inc.,
         Bethany, Connecticut, USA.

    Reagan, E.L. & Becci, P.J. (1982) Acute dermal toxicity study (LD50)
         in albino rabbits of Harvade(R) (N252). Unpublished report from
         Food and Drug Research Laboratories, Inc., USA. Submitted to WHO
         by Uniroyal Chemical Co., Inc., Bethany, Connecticut, USA.

    Serota, D.G., Alsaker, R.D. & Banas, D. (1981a) 18-month toxicity and
         oncogenicity study in mice. N252 technical. Final report.
         Unpublished report from Hazleton Laboratories America, Inc., USA.
         Ssubmitted to WHO by Uniroyal Chemical Co., Inc., Bethany,
         Connecticut, USA.

    Serota, D.G., Alsake, R.D., Dawkins, K.K. & Kunalzins, W. (1981b)
         104-Week chronic toxicity study in rats. N252 (Harvade(R)
         technical) final report. Unpublished report from Hazleton
         Laboratories America, Inc., USA, submitted to WHO by Uniroyal
         Chemical Co., Inc., Bethany, Connecticut, USA.

    Shapiro, R. (1977a) Untitled and unpublished report from Product
         Safety Labs, USA. Submitted to WHO by Uniroyal Chemical Co.,
         Inc., Bethany, Connecticut, USA.

    Shapiro, R. (1977b) Untitled and unpublished report from Product
         Safety Labs, USA. Submitted to WHO by Uniroyal Chemical Co.,
         Inc., Bethany, Connecticut, USA.

    Smilo, A.R., Fuller, G.B., Tortora, N.J., Curtiss, K. & Cardona, R.A.
         (1978) Characterization of excretory metabolites from
         14C-Harvade(R) rat balance study. Unpublished report from
         Uniroyal Chemica. Submitted to WHO by Uniroyal Chemical Co.,
         Inc., Bethany, Connecticut, USA.

    Sorg, R.M., Naismith, R.W. & Matthews, R.J. (1983) CHO metaphase
         analysis  in vitro chromosome aberration analysis in Chinese
         hamster ovary cells (CHO). PH320-UN-00183 Harvade(R),
         unpublished report from Pharmakon Research International, Inc.,
         USA. Submitted to WHO by Uniroyal Chemical Co., Inc., Bethany,
         Connecticut, USA.

    Squire, R.A. (1984) Unpublished letter to Uniroyal Chemical. Submitted
         to WHO by Uniroyal Chemical Co., Inc., Bethany, Connecticut, USA.

    Varner, L.L. & Matthews, R J. (1977) Acute oral LD50 in rats.
         Uni-N-252 CND-9801 Lot No. BL-6731. Revised report. Unpublished
         report from Pharmakon Laboratories, USA. Submitted to WHO by
         Uniroyal Chemical Co., Inc., Bethany, Connecticut, USA.

    WHO (1999)  Recommended Classification of Pesticides by Hazard and 
          Guidelines to Classification 1998-1999 (WHO/PCS/98.21/Rev. 1),
         Geneva, International Programme on Chemical Safety.
    


    See Also:
       Toxicological Abbreviations
       Dimethipin (Pesticide residues in food: 1985 evaluations Part II Toxicology)
       Dimethipin (Pesticide residues in food: 1988 evaluations Part II Toxicology)