IPCS INCHEM Home

    DIMETHIPIN

    EXPLANATION

         Dimethipin is a harvest-aid dessicant or moisture-reduction
    chemical used on oilseeds, potatoes, and tomatoes. It was evaluated
    for the first time by the present Meeting.

    IDENTITY

    CHEMICAL NAME:      2,3-Dihydro-5,6-dimethyl-l,4-dithiin
                        1,1,4,4-tetraoxde

    SYNONYMS:           Harvade(R), UB1-N252

    STRUCTURAL FORMULA:

    CHEMICAL STRUCTURE 1

    OTHER INFORMATION ON IDENTITY AND PROPERTIES

    MOLECULAR WEIGHT:   210

    STATE:              A white crystalline solid with mild odour

    MELTING RANGE:      162-167°C

    SOLUBILITY (gram solute/100 grams solvent at 25°C):

                        Distilled water 0.3; dimethyl formamide 32.4;
                        benzene 1.96; xylene 0.57; methanol 0.05;
                        chloroform 7.92; ethylene dichloride 7.59

    STABILITY:          Stable for at least 2 years at +30°C and -30°C

    OCTANOL/WATER PARTITION COEFFICIENT:

                        1.0 at 1 X concentration
                        2.0 at 5 X concentration

    DENSITY:            0.47 g/ml at 20°C

    Specifications of technical material

         Technical dimethipin has a purity of about 98%. Depending on the
    starting material used in the manufacturing process, as many as 4
    impurities greater than 0.1% could be present. The impurities include:

    (i)       1,4-dithiin, 2,3-dihydro-5,6-dimethyl-l,1,4-trioxide;
    (ii)      1,4-dithiin, 5-ethyl-2,3-dihydro-l,1,4,4-tetraoxide;
    (iii)     1,4-dithiane, 2-methyl-3-methylene-l,1,4,4-tetraoxide; and
    (iv)      1,3-dithiolane, 2-ethyl-2-methyl-l,1,3,3-tetraoxide.

    EVALUATION FOR ACCEPTABLE DAILY INTAKE

    BIOLOGICAL DATA

    Biochemical aspects

    Absorption, distribution, elimination, and biotransformation

    Rat

         In rats (3 males and 2 females) given a single oral dose of
    approximately 3.8 mg/kg b.w. of 14C-dimethipin (labelled in the
    2,3-position of the dithiin ring; 96% radiochemically pure) in
    distilled water, an average of about 89% of the administered
    radioactivity was excreted in 48 hours via the urine and faeces. (One
    female rat, identically treated, eliminated only about 42% of the
    given dose via these routes over the same period. Reason for the low
    14C recovery was said to be unclear, as tissue and blood levels in
    this animal were similar to those in the other treated animals.) In
    general, faecal elimination slightly exceeded urinary excretion. Less
    than 0.1% of the administered 14C was detected in the expired air. At
    sacrifice 96 hours after treatment, mean total-residue levels in the
    tissues analyzed (excluding the blood) amounted to about 1% of the
    given dose. Residue concentrations were highest in lung, heart, liver,
    and kidney, and lowest in the gastrointestinal tract, brain, muscle,
    and fat. Blood-residue levels ranged from 2 to 7.7% of the
    administered 14C dose. No significant sex difference was apparent in
    rate, route of elimination, or tissue-residue levels of the compound
    (Caplan & Merricks, 1978).

         Analysis of pooled urine and faceal samples from the
    above-treated rats (excluding the female rat with unusually-low
    excretary rate) indicated the presence of about 5% of the 14C
    recovered in the urine or in the faeces (corresponding, respectively,
    to 2% and 1% of the administered dose) as the unchanged parent
    compound. The other readioactive components in the urine and the
    faeces were highly polar (Smilo et al., 1978).

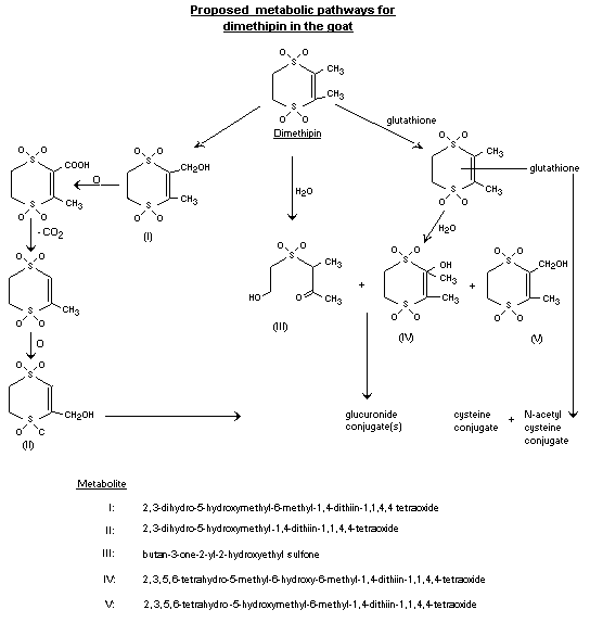
    Goat

         Two goats, 1 of them with a cannulated bile duct, were fed
    14C-dimethipin (98% radiochemically pure) at 500 ppm in the diet for
    3 days. Samples of urine, liver, bile, and kidney were collected for
    characterization and identification of metabolites. (No details of
    experimental conditions were provided. Data were presented apparently
    on only one of the treated animals.) Figure 1 presents the proposed
    metabolic pathways for dimethipin in the goat.

         Invariably, in urine, bile, liver and kidney, metabolites III and
    IV were identified together with the unchanged parent compound. The
    latter accounted for 2-8% of the 14C recovered in each case. Some
    alcohol metabolites of dimethipin, viz. metabolites I, II, and V,
    were identified only in the urine and bile. Most of the radioactive
    components in urine, bile, liver, and kidney were of a highly polar
    nature, and were present as conjugates such as glucuronide, cysteine,
    and acetylcysteine conjugates (McManus, 1984).

    Proposed metabolic pathways for dimethipin in the goat

    CHEMICAL STRUCTURE 2

    TOXICOLOGICAL STUDIES

    Special study on reproduction

    Rat

         Groups of 15 male and 25 female Charles-River CD(SD)BR rats, 5
    weeks old, were fed diets containing technical dimethipin (99.7% pure)
    at 0, 50, 200, or 800 ppm for 105 days prior to mating (1 male and 2
    females; "sibling and half-sibling mating avoided") to initiate a
    2-generation (2 litters/generation) reproduction study (day 0 of
    gestation = day when positive vaginal smear or copulatory plug
    detected). Weanlings of the second litter (F1b) were selected to
    become parents of the next generation and mated after being placed on
    the test diets for 125 days. In each generation, the second mating
    trial took place at least 14 days after weaning at 21 days of age of
    the first litters, i.e. F1a and F2a.

         In the parental generations, mortality (the incidence of which
    was not dose-related) occured only in the females. No compound-related
    behavioural abnormalities were apparent. F0 and F1b female adults at
    800 ppm weighed less than the concurrent controls during the premating
    period, throughout gestation, and practically throughout the lactation
    periods. Food consumption was depressed at 800 ppm in the pre-mating
    period in F0 females from weeks 6-10, in F1b females from weeks
    6-17, and in F1b males at weeks 1, 4, and 9. Fertility in males ("a
    demonstrated ability to impregnate at least 1 female"), mating index
    (% females mated), gestation index (% mated females with viable
    litters), the number of days required by females to mate, and the
    duration of gestation period in treated groups were all comparable to
    control values. With respect to the progeny generations, the mean
    number of pups per litter born alive, survival of pups to days 4, 7,
    14, and 21, sex ratio, and behaviour of pups were not adversely
    affected. Pup weight was reduced at 800 ppm in F1a and F1b litters on
    days 7, 4, and 21. Pup weights on day 21 were decreased in F1a
    litters at 200 ppm and in F2a litters at 800 ppm. Gross external
    examination of all pups, including those found dead, revealed only one
    abnormal pup in the study, which was a stillbirth in a F1a litter at
    200 ppm.

         Findings from gross pathological examination of all parental
    animals sacrificed after weaning (F0) or 30 days after weaning (F1b)
    of the second litters (i.e. after 32 weeks and 39 weeks of dietary
    feeding, respectively) and weanlings from each progeny generation were
    not significantly different between control and treated groups.
    Organ-weight determinations on all F1b adults and on 5 male and 5
    female weanlings per group of F1b and F2b litters showed increased
    organ/body-weight ratios of the liver at both 200 and 800 ppm, and of
    the kidney and brain at 800 ppm in F1b adult females. The
    organ/body-weight ratio of the liver was, however, depressed at 50 ppm
    in F1b adult females. Microscopic evaluation of a wide range of
    tissues, including the liver and kidney, from all F1b adults plus 5
    male and 5 female weanlings per group from F1b and F2b litters, and
    of gross lesions and gonads from F0 adults, indicated no significant
    changes attributable to treatment.

         The study showed 200 ppm as a no-effect level for reproduction
    (The finding of a decrease in pup weight on day 21 at 200 ppm in F1a
    litters was unlikely to be compound-induced, as it occurred only in a
    single generation and was not recurrent in nature) (Kehoe & MacKenzie,
    1982).

    Special studies on teratogenicity

    Rat

         Groups of sexually-mature mated female rats (BLU:(SD)BR) were
    intubated with technical dimethipin (97.5% purity) as a suspension in
    corn oil at 0, 80, 400, or 800 mg/kg b.w./day from day 6 through day
    15 of gestation (Day 0 = day vaginal plug observed). An additional
    group of mated female rats, treated with 250 mg/kg b.w./day of
    acetylsalicylic acid (aspirin), was used as the positive control. Due
    to "excessive deaths" of dams at both 400 and 800 mg/kg b.w./day
    within 8 days of initiation of treatment, these dosage groups were
    terminated and were not investigated further. Two new dosage groups,
    30 and 160 mg/kg b.w./day, were then added to the test 2 weeks after
    the study began, with the original dosage group of 80 mg/kg b.w./day
    being maintained as the intermediate level (no concurrent control
    groups were included for the 2 new dosage groups). The dams were
    sacrificed on day 20 of gestation and the foetuses were removed by
    Caesarean section for gross external, visceral, and skeletal
    examination.

         At dosage levels up to 160 mg/kg b.w./day, no compound-related
    mortality or clinical signs were observed. Growth rate of dams during
    gestation was comparable in all groups. The total number of dams per
    group that were pregnant and alive on day 20 ranged from 20 to 22. The
    mean number of implantation sites or live foetuses, foetal weight, and
    sex ratio were unaffected. An increase in the mean number of
    resorptions per dam, without a concomitant rise in the incidence of
    pregnant dams with resorption(s), was noted at 160 mg/kg b.w. There
    were no significant differences between control and treated groups in
    skeletal or visceral malformations of foetuses. The positive control
    group exhibited a number of foetal abnormalities such as
    encephalomenigocele and gastroschisis.

         The study demonstrated that the compound was non-teratogenic,
    non-fetotoxic, and non-toxic to the dams at levels as high as
    160 mg/kg b.w. (Knickerboker et al., 1977).

    Rabbit

         Groups of 16 sexually-mature female Dutch Belted rabbits,
    artificially inseminated, were intubated with technical dimethipin
    (98.3% purity) as a suspension in 0.5% carboxymethyl cellulose at 0,
    7.5, 20, or 40 mg/kg b.w./day (at a constant volume of 1 ml/kg b.w.)
    on days 6-27 of gestation (day 0 of gestation = the day of
    insemination). The does were sacrificed on day 28 of pregnancy, and
    the uterine contents were examined. Foetuses (including those aborted
    or dead) were subjected to examination for gross, skeletal, and
    visceral abnormalities.

         No deaths were noted. A slight increase, as compared to
    concurrent controls, "in the number of females with a reduction in the
    amount of faeces observed beneath the cage" was reportedly seen at
    both 20 and 40 mg/kg b.w. at various intervals during gestation. Food
    consumption data were not available. Does at 40 mg/kg b.w. showed an
    actual weight loss between days 6 and 12, and maternal weight gain was
    depressed in a dose-response pattern in all treated groups between
    days 6 and 28. Fertility rate ranged from approximately 88 to 94% in
    control and treated groups. One doe each at 0, 20, and 40 mg/kg b.w.
    "aborted" on day 28. Seven non-viable foetuses were found in the one
    doe each at 0 and 20 mg/kg b.w. that "aborted". The doe at 40 mg/kg
    b.w. which "aborted" had 3 late resorptions.

         At terminal sacrifice, gross pathological findings in treated
    does were comparable to those in the contols. No significant
    differences between controls and treated groups were found in the mean
    number of corpora lutea, implantations, early or late resorptions,
    viable or non-viable foetuses, or foetal weight. A non-dose-related
    increase in post-implantation loss due mainly to a non-dose-dependent
    increase in early resorptions was noted in all treated groups. The
    values of this particular parameter in the treated groups, however,

    were within the range of historical control values submitted. The sex
    ratio (M/F) of foetuses was elevated at 40 mg/kg b.w., with the mean
    number of female foetuses being reduced. An increase in incidence of
    foetuses (as well as litters containing foetuses) with 27 presacral
    vertebrae and with scoliosis (with or without associated rib
    anomalies) was observed at 40 mg/kg b.w., as compared to concurrent
    control or historical control incidences presented in the report from
    a total of 951 foetuses from 149 litters (from an unspecified number
    of studies with Dutch Belted rabbits over an unspecified period of
    time). There was no apparent dose- or compound-related increase in
    frequency of foetal soft-tissue abnormalities.

         Although the possibility exists that the increase in incidence of
    the particular skeletal anomalies seen at 40 mg/kg b.w. might be
    related to maternal toxicity, prudence dictates that 20 mg/kg b.w. be
    considered as a clear-cut teratogenic no-effect level (McMeekin
    et al., 1981).

    Special studies on mutagenicity

         Dimethipin was without mutagenic activity in a number of assays
    with micro-organisms and mammalian cells, except with the mouse
    lymphoma forward-mutation assay in the presence of metabolic
    activation (Table 1).

    Special studies on eye and skin irritation

         In an eye irritation study with New Zealand White rabbits,
    dimethipin (presumably technical grade of unspecified purity) was
    found to be extremely irritating to the eye (Baker et al., 1976).

         Dimethipin (presumably technical grade of unspecified purity) was
    shown to be slightly irritating to the skin of New Zealand White
    rabbits in a primary skin-irritation test (Baker et al., 1976).

    Special study on skin sensitization

         Results of a dermal-sensitization study in male guinea-pigs
    (Hartley strain) indicated technical dimethipin (purity not given) to
    be a weak skin sensitizer (Madison, 1983).

        Table 1.  Results of mutagenicity assays on dimethipin*
                                                                                                           

    Test                     Organisms/               Dosage levels  Results        References
                             tissues                  tested
                                                                                                           

    In vitro

    Reverse                  S. typhimurium           1-1000         Negative       Jagannath &
    mutation                 strains TA1538,          µg/plate       (1)            Brusick,
                             TA1537, TA1535,                                        1978, 1981
                             TA98, & TAlO0

                             S. cerevisiae            1-1000         Negative       Jagannath &
                             strain D4                µg/plate       (1)            Brusick, 1978

    Mitotic non-             S. cerevisiae            1-2000         Negative       Bootman & Lodge,
    dysjunction,             strain D6                µg/plate       (1)            1982
    recombination,
    & mutation

    Mitotic gene             S. cerevisiae            125-2000       Negative       Forster et al.,
    conversion               strain D4                µg/ml          (1)            1984a

    Chromosome               Chinese hamster          5-50           Negative       Sorg et al., 1983
    aberration               ovary cells              µg/ml          (1)

    Sister chromatid         Chinese hamster          1.56-25        Negative       Galloway & Brusick,
    exchange                 ovary cells              µg/ml(3)       (1)            1981
                                                      3.1-200
                                                      µg/ml(4)

    Mouse lymphoma           L5178Y TK+/-             1.56-75        (2)            Myhr & Brusick,
    forward                  mouse lymphoma           µg/ml(3)                      1981
    mutation                 cells                    12.5-200
                                                      µg/ml(4)
                                                                                                           

    Table 1.  (Con't)
                                                                                                           

    Test                     Organisms/               Dosage levels  Results        References
                             tissues                  tested
                                                                                                           

    In vivo

    Micronucleus             Mouse                    2 successive   Negative       Forster et al.,
                                                      daily oral     (5)            1984b
                                                      doses at
                                                      22,73.3, or
                                                      220 mg/
                                                      kg b.w./day
                                                      (males) or
                                                      at 30, 100, or
                                                      300 mg/ kg b.w./
                                                      day (females)
                                                                                                           

    *    Technical dimethipin (> 98% purity) was used in all the above studies.
    (1)  With or without metabolic activation.
    (2)  Negative without metabolic activation but positive with metabolic activation at 75 µg/ml and above.
    (3)  Non-activated.
    (4)  Activated.
    (5)  1/5 Males and 5/5 females at the top dosage level died after the first dose.
    
    Acute toxicity

    Table 2.  Acute toxicity of dimethipin*
                                                                        

                                       LD50
    Species   Sex     Route            (mg/kg b.w.)   Reference
                                                                        

    Mouse     M       oral             440            Shapiro, 1977a
              F                        600

    Rat       M&F     oral             1180           Varner &
                                                      Matthews, 1977

              M       i.p.             235            Shapiro, 1977b
              F                        236

              M&F     inhalation       LC50           Babish, 1977
                      (1h exposure)    > 20 mg/l

    Rabbit    M&F     dermal           > 12,000       Reagen & Becci,
                      (24h exposure)                  1982
                                                                        

    *    Technical dimethipin of > 97.5% purity was used in the
         oral studies.

         In both mice and rats, death occurred 24 to 48 hours after
    treatment. The principal toxic effects in rats were a decrease in body
    tone and slowed respiration. Data were not provided on mice with
    respect to toxic signs (Shapiro, 1977a; Varner & Matthews, 1977).

    Dog

         Groups of 24-hour fasted crossbred dogs were given single oral
    doses of technical dimethipin (98.3% purity) in gelatin capsules at 0
    (4 males), 464 (4 females), 600 (3 males and 1 female), 1000 (2 males
    and 2 females), or 1560 mg/kg b.w. (1 male and 3 females). All 4
    animals at 1560 mg/kg b.w., 1 male and 2 females at 1000 mg/kg b.w.,
    and 1 male and 1 female at 600 mg/kg b.w. died 8-28 hours post-dosing.
    Emesis, observed in all animals of all treated groups, usually within
    1 hour of dosing, was recurrent in many of the affected animals,
    generally during the next 2 to 4 hours. Other frequently-noted toxic
    signs included general "depression" and inappetance, salivation,
    tremor, and loose blood-stained stools. Survivors recovered from the
    toxic signs 2 to 10 days after treatment. The major finding at
    necropsy was marked irritation to the stomach and the intestine at and
    above 600 mg/kg b.w. The author calculated the oral LD50 of the
    compound in dogs to be 690 mg/kg b.w. (Strong, 1981).

    Short-term studies

    Rat

         Male and female Charles-River rats (15 per sex per group, 28 days
    old) were fed dietary levels of technical dimethipin (> 99.2% purity)
    at 0, 100, 300, or 1000 ppm for 95 days. There was no treatment-
    related mortality or abnormal behaviour. Food consumption was slightly
    depressed in females at 1000 ppm throughout the study. Body weight was
    unaffected. Haematology, blood chemistry, and urinalysis, determined
    in 10 males and 10 females per control and top-dosage group after 45
    and 85 days of the study, indicated no significant compound-related
    effects. At termination, organ/body-weight ratios of liver and kidney
    were elevated in females at 1000 ppm. Significant differences were not
    observed between control and treated groups in gross pathological
    changes. Histopathological evaluation of a variety of tissues,
    including liver and kidney, from 10 males and 10 females per control
    and top-dosage group failed to show any lesions attributable to
    inclusion of the compound in the diet. The no-effect level appeared to
    be 300 ppm (Marias et al., 1976).

    Dog

         Groups of 4 male and 4 female purebred Beagle dogs (about 6
    months old) were given technical dimethipin (> 99.2% purity) in their
    diet at 0, 100, 300, or 1000 ppm for 90 days. No mortality occurred.
    Compound-related effects were not apparent on behaviour, body weight,
    or food consumption during the study or on blood chemistry or
    haematology conducted after 42 and 85 days of dietary feeding.
    Urinalysis determined at the same 2 intervals indicated an increase
    (not dose-related) in incidence of females of all treated groups with
    moderate to large amounts of "crystals" in their urinary sediments
    after 85 days. Other urinalysis parameters were not affected (that the
    particular urinary finding in females of all treated groups was not
    likely to be compound-related was supported by the absence of effect
    on any of the urinalysis parameters monitored in the 1-year feeding
    study in dogs, summarized below). At terminal sacrifice, organ weights
    and gross pathology were not altered by treatment. Microscopic
    examination of a large number of tissues, including the testis, from
    each animal in the study revealed esophagus lesions characterized by
    "focal mucosal vesicles containing a few acute inflammatory cells" in
    1/8 animals at 300 ppm and 3/8 animals at 1000 ppm, but in none of the
    concurrent control or of the lowest-dosage (100 ppm) groups. Based on
    the data, 100 ppm could be considered as the no-effect level (Burtner
    et al., 1976).

         Male and female purebred Beagle dogs (6 males and 6 females per
    group; about 7.5 months old), individually caged, were given technical
    dimethipin (99.7% purity) in their diet at 0, 300, 1000, or 3000 ppm
    for one year. One male and three females at 3000 ppm died or were
    sacrificed in extremis between weeks 13 and 52. "Thinness", a major
    clinical sign, was seen frequently in most animals at 3000 ppm and
    infrequently in one animal at 1000 ppm. Other signs such as
    dehydration and paleness of the gums were also noted infrequently at
    3000 ppm. Actual weight loss or growth depression and a decrease in
    food consumption were evident in both sexes at 3000 ppm throughout, or
    practically throughout, the study. Females at both 300 and 1000 ppm
    exhibited a marginal, but not consistently dose-dependent, growth
    reduction (= 10%) between weeks 12 and 48. Animals of the top-dosage
    group exhibited abnormalities in the T-wave in the electrocardiograms
    taken at termination and, upon ophthalmoscopic examination, increased
    incidence of conjunctival discharge and inflammation as well as
    corneal irregularities and roughening at week 27, but not at week 52.
    Findings at physical examination described as "severe to slight
    thinness and irregular or erratic heart beat" were noted almost
    exclusively in animals at 3000 ppm throughout the study.

         Monthly determinations of haematology and blood chemistry
    revealed deviations from control values, mainly at 3000 ppm (both
    sexes), in many parameters including decreased haematocrits, increased
    platelet counts, and depressed values of total protein, albumin,
    globulin, calcium, BUN, and creatinine at most sampling intervals.
    Animals at 1000 ppm displayed decreased values of BUN (both sexes) and
    creatinine (males) at many of the sampling intervals. As compared to
    concurrent controls, males of all treated groups seemingly showed a
    slight but consistent and generally dose-related decrease in
    erythrocyte counts and haemoglobin levels. However, these findings
    were unlikely to be treatment-associated, because values of these 2
    haematological parameters for males even at 3000 ppm were within the
    normal ranges given both for control Beagles in the published
    literature (Bushby, 1970) and those reportedly recorded for control
    Beagle dogs maintained in the testing laboratory. Urinalysis,
    including microscopy of urinary sediments, conducted bi-monthly gave
    no significant findings related to treatment.

         At termination, gross pathological findings in the treated groups
    were not significantly different from those in the controls. There was
    an increase in organ/body-weight ratio of kidneys at both 1000 and
    3000 ppm (both sexes), of liver in males at 3000 ppm and in females at
    1000 ppm and above, of brain at 3000 ppm (both sexes), and of testes
    at 3000 ppm. Histopathological evaluation of an extensive number of
    tissues from each animal showed the occurrence of testicular
    degeneration in 0/6, 2/6, 1/6, and 3/6 males at 0, 300, 1000, and
    3000 ppm respectively. Severe and diffuse testicular degeneration was
    seen in one affected male each at 300 ppm and 3000 ppm, while

    generally mild and focal degeneration of the testes was present in the
    other affected males. Admittedly, the incidence and severity of
    testicular degeneration did not follow a dose-response relationship.
    However, on account of the complete absence of the lesion from the
    concurrent controls, and from a total of 7 similar 1-year studies
    conducted at the testing laboratory comprising over 20 control male
    dogs (McGee, 1983), the possibility of the testicular lesion being
    related to the compound could not be completely ruled out. Other
    microscopic findings likely to be attributable to treatment included
    the presence in the top-dosage group of hypocellularity of the bone
    marrow, lesions in the gastrointestinal tract (gastritis, edema,
    ulceration) and heart (haemorrhage), and thymus atrophy, as well as an
    increased incidence of lesions in the kidney (nephritis), liver
    (centrilobular degeneration), lymph node (lymphadenitis), and spleen
    (hyperplasia) at both 1000 and 3000 ppm.

         The study did not permit the setting of a no-effect level, mainly
    because of uncertainty concerning the occurrence of testicular
    degeneration, which occurred at all dose levels (Benson, 1981).

    Long-term studies

    Mouse

         Male and female CD-1 mice (50 animals per sex per group, about 50
    days old), housed 5 per sex per cage, were fed dietary levels of
    technical dimethipin (97-98% purity) at 0, 80, 400, or 2000 ppm for 78
    weeks to evaluate the chronic toxicity and carcinogenic potential of
    the compound. (Animals fed dimethipin were kept in the same room for
    about 35 weeks as animals in a companion study receiving a highly
    photodegradable compound identified only with a code name. It was
    stated, but unsubstantiated with data, that, based on results of diet
    analyses, dimethipin was stable in the diet for 7 days and that the
    mixture of dimethipin and basal diet was satisfactorily homogeneous.)
    All animals in the study, viz., those sacrificed in extremis or
    that died during the study, and those sacrificed terminally, were
    subjected to gross pathological examination and to microscopic
    evaluation of a wide range of tissues, including the brain.

         Mortality was not influenced by treatment. Between 58 and 78% of
    the males and 76 and 86% of the females of the control and treated
    groups were still alive at the conclusion of the study. A slight
    (< 10%) and non-dose-related decrease in body-weight gain was noted
    in males at 400 ppm and above during the first 13 weeks. Food
    consumption was not affected in any consistent dose-related pattern.
    There were no significant differences between control and treated
    groups in clinical signs and incidence of palpable nodules or tissue
    masses. Haematology determined on 5 males and 5 females per group at 3
    intervals of the study revealed a significant increase in males at
    2000 ppm of haematocrit levels at week 13 and of haemotocrit,

    haemoglobin, and erythrocyte values at week 78. Terminal haematocrit
    levels were elevated in females at both 400 and 2000 ppm. Females of
    all treated groups showed a statistically-significant increase, albeit
    not strictly dose-dependent, of erythrocyte counts at week 78. Blood-
    chemistry and urinalysis parameters were not studied. Gross
    pathological alterations and weights of selected organs were not
    significantly different between control and treated groups.

         Based on tabulated data on "individual histopathology findings"
    (no detailed histopathological data with morphological descriptions of
    lesions on individual animals were available), compound-induced non-
    neoplastic changes were not evident. The only notable neoplastic
    finding appeared to be an elevated incidence of pulmonary
    (aveolar/bronchiolar) tumours in males at 2000 ppm, as shown in
    Table 3.

        Table 3  Number of males with lung tumours/number of males with the lung
             examined microscopicallya
                                                                                               

    Pulmonary tumour        Control    80 ppm    400 ppm     2000 ppm     Historical controlb
    (alveolar/bronchiolar)                                                Total      Range
                                                                                               

    adenocarcinomac         1/49       3/49      3/50        7/50         6/168      0/13(0)-
                            (2)        (6.1)     (6)         (14)d        (3.6)      2/24(8.3)

    adenoma                 5/49       3/49      3/50        5/50         15/168     1/24(4.2)-
                            (10.2)e    (6.1)     (6)         (10)f        (8.9)      2/13(15.4)

    adenocarcinoma          6/49       6/49      6/50        12/50        21/168     7/61(11.5)or
    or adenoma              (12.2)     (12.2)    (12)        (24)         (12.5)     2/13(15.4)
                                                                                               

    a    Figure in parenthesis indicates incidence in %.
    b    Data presented in the submitted report on a total of 168 CD-1 control male
         mice from five 78-week studies over an unspecified timeframe.
    c    Multiple adenocarcinomas noted in 1 control and 2 animals at 2000 ppm.
    d    1/7, ...
    e    1/5, or ...
    f    2/5 of the lung-tumour bearers died or were sacrificed at an unspecified time
         during the study. All other bearers of pulmonary tumours were terminal
         survivors.
    
         When compared to concurrent-control or historical-control
    incidences from a total of 5 studies, the incidence of lung
    adenocarcinoma, but not of adenoma alone, was significantly increased
    in males at 2000 ppm (P < 0.05, Fisher exact probability). However,
    comparison with the maximum historical-control incidence with respect
    to lung adenocarcinoma at 2000 ppm was not significant (P > 0.05).
    Time-to-tumour (adenocarcinoma) or the multiplicity of tumours was not
    modified by treatment. The combined incidence of lung adenocarcinoma
    and adenoma was significantly elevated when compared to the
    historical-control incidence from a total of 5 studies, but not when
    compared with concurrent-control or maximum historical-control
    incidences. There was no dose-related increase in the incidence of
    benign and/or malignant lung tumours in the females. Other than lung
    tumours, the incidence, location, and type of tumours in treated
    groups were comparable to controls. About 30% of the male and 40% of
    the female concurrent controls were found to have tumours. Lymphoma
    (in males), lung tumours (in both sexes), and hepatocellular carcinoma
    (in males) were the most frequently-observed spontaneous tumours. It
    should be noted that the animals were about 50 days old at the
    initiation of the study. This could compromise the sensitivity of the
    test as a carcinogenicity study.

         The study demonstrated that 80 ppm, equal to 12.3 mg/kg b.w./day,
    is a virtual no-effect level, based on the monitored criteria other
    than tumours. The lung-tumour data are unclear (Serota et al.,
    1981a).

    Rat

         Groups of 50 male and 50 female rats (Sprague-Dawley CD strain,
    about 40 days old), individually caged, were fed technical dimethipin
    (97-98% purity) in their diet at 0, 40, 200, or 1000 ppm for 104 weeks
    to assess the chronic toxicity and carcinogenic potential of the
    compound. (The control group served as common controls for this study
    and for a companion study on a chemical identified only by a code
    name. Whether treated animals from the two studies were kept in the
    same room was not specified.) All animals sacrified in moribund
    condition or dying during the study, and all survivors sacrificed
    terminally (during weeks 105 and 106), were subjected to necropsy and
    histopathological examination of a variety of tissues, including the
    brain plus any "unusual" lesions. Sections of spinal cord and "head"
    from 10 male and 10 female terminal survivors per group were also
    evaluated microscopically.

         Survival, not adversely affected by treatment, appeared to be
    better in the top-dosage group than in the concurrent control or in
    lower-dosage groups. At the end of 104 weeks, with the exception of
    males at 200 ppm having a survival rate on only 44%, between 50 and
    72% of the males and females of all groups, including the control,
    were still alive. Clincial signs related to treatment were not

    evident. There were no dose- or compound-related effects on food
    consumption or incidences of palpable nodules, tissue masses, or wart-
    like lesions. A slight but consistent growth depression (< 5% in
    males and < 10% in females) was seen at 1000 ppm between weeks 43
    and 95 in males and between weeks 51 through 87 in females.
    Haematology and blood chemistry conducted on 5 males and 5 females per
    group at 5 intervals over the course of the study indicated that
    females of all treated groups displayed an increase of total-protein
    values at week 13 only, and a decrease of platelet counts at week 104,
    the only sampling interval for this particular parameter. Other
    deviations from controls were also observed in certain haematological
    and blood-chemistry values, but these were essentially confined to the
    top-dosage group. Significant differences were not apparent between
    control and treated groups in urinalysis parameters monitored on 5
    males and 5 females per group at the same intervals as the blood
    studies. Gross pathological changes in treated animals were not
    significantly different from those in the controls. Organ-weight
    determinations showed an increase (non-dose-related in males and dose-
    related in females) of the organ/body-weight ratio of the liver in
    males of all treated groups and in females at both 200 and 1000 ppm.
    In addition, absolute weight and organ/body-weight ratios of the
    adrenal gland were decreased in females of all treated groups.
    Histopathologically, "focally-dilated bile ducts containing basophilic
    homogeneous material" occurred in 1 male and 1 female in the control
    group, 2 males and 3 females at 40 ppm, 5 males and 9 females at 200
    ppm, and 33 males and 18 females at 1000 ppm. This finding was likely
    to be related to inclusion of the compound in the diet. Microscopic
    changes in other tissues, including the adrenal gland, were comparable
    in treated animals to those in the controls. An interesting but non-
    dose- or compound-related microscopic finding was that 9-27% of the
    males in the control and treated groups showed lactation and/or
    galactocoele. Whether this might be connected with the observation of
    an increased incidence of mammary fibroadenoma in males of the top-
    dosage group, as pointed out later, was not certain. An evaluation of
    the tumour data revealed that the only noteworthy findings were those
    tabulated in Table 4.

         The data in Table 4 seem to indicate increased incidences of
    astrocytoma in males and hepatocellular carcinoma in females at both
    200 and 1000 ppm and of mammary fibroadenoma in males at 1000 ppm. The
    incidence of none of these tumours was, however, significantly
    different from the concurrent controls (P > 0.05, Fisher exact
    probability). This result was confirmed for hepatocellular carcinoma
    when compared with historical control incidences. However, with
    respect to astrocytoma in males, the incidence was significantly
    increased at both 200 and 1000 ppm (P< 0.05) when compared with
    historical-control incidence from a total of 7 studies. Comparison
    with maximum historical-control incidence was nevertheless not
    significant (P > 0.05), even at 1000 ppm. It might be noted that one
    additional glioma was reportedly found (by a consultant to the
    company) in the control group upon microscopic evaluation of 3

    additional brain sections from each animal of the male control and
    treated groups. In addition, no pre-neoplastic lesions (gliosis) were
    seen in the original or additional brain slides (Squire, 1984). The
    latency period of astrocytoma was apparently not reduced by treatment.
    Overall, no significant differences between control and treated groups
    were noted in the incidence of animals with tumours (benign and/or
    malignant), benign tumours, malignant tumours, or multiple primary
    tumours. Over 80% of the males and 90% of the females of the
    concurrent control group were tumour bearers, with pituitary adenoma
    and adrenal tumours in both sexes and mammary tumours in females being
    the most prevalent tumours.

         The study indicated that 40 ppm, the lowest tested-level, was a
    minimum-effect level on parameters other than tumours (Serota
    et al., 1981b).

    EVALUATION

    COMMENTS

         In rats, the compound is readily absorbed, metabolized, and
    eliminated via the urine and faeces. It is degraded primarily to polar
    metabolites, with less than 5% of a single oral dose being recovered
    as unchanged dimethipin in the excreta. In goats, dimethipin is
    extensively degraded, also primarily to polar metabolites.
    Biotransformation of the compound includes hydrolysis, oxidation,
    decarboxylation, a ring opening, and conjugation.

         Dimethipin has an oral LC50 value of about 500 mg/kg b.w. in
    mice and 1200 mg/kg b.w. in rats.

         A 2-generation (2 litters/generation) reproduction study in rats,
    as well as teratology studies in rats and rabbits, were negative.
    Practically all of the mutagenic studies available were negative. The
    only positive mutagenic response was seen with the mouse lymphoma
    forward mutation assay and only in the presence of metabolic
    activation.

         A 1-year feeding study in dogs failed to show a no-effect level,
    mainly because of the uncertainty concerning the presence of
    testicular degeneration even at 300 ppm, the lowest tested level.
    However, taking into consideration the lack of a dose-response
    relationship regarding incidence and severity of the testicular
    lesion, the absence of effect of the compound on the testes of rats in

                               No. of animals with the tumour/No. of animals with the tissue examined
                           microscopically
    Location                                                                                              *Historical Control
    & type of
    tumour                  Control             40 ppm            200 ppm             1000 ppm            Total            Range
                        Male       Female   Male     Female   Male       Female   Male       Female   Male    Female  Male       Female
                                                                                                                                              

    Brain
    Astrocytoma         1a/-50(2)  1/49(2)  0/49(0)  2/50(4)  3b/-50(6)  0/50(0)  5c/50(10)  0/50(0)  1/279   0/266   0/43-1/21  0/21-0/37
                     ** 2/50(4)                                                                       (0.4)   (0)     (0)-(4.8)  (0)

    Mammary
    gland ***
    Fibroadenoma        0/43(0)    N.P.     0/31(0)  N.P.     0/33(0)    N.P.     3/45(6.7)  N.P.     N.A.    N.A.    N.A.       N.A.

    Liver
    Hepatocellular
    cardnoma            2/50(4)    1/50(2)  1/50(2)  1/50(2)  5/50(10)   4/50(8)  2/50(4)    4/50(8)  13/305  8/285   0/35-3/34  0/32-2/31
                                                                                                      (4.3)   (2.8)   (0)-(8.8)  (0)-(6.5)

    Neoplastic
    nodule ****         2/50       6/50     2/50     5/50     5/50       5/50     2/50       5/50     N.A.    N.A.    N.A.       N.A.
                                                                                                                                              

    Figure in parenthesis indicates incidence in %
    a    astrocytoma present in one animal found dead at 20 weeks. This incidence (1/50 or 2%) was used as a basis of comparison in statistical
         analyses.
    b    all 3 brain tumours found in terminal survivors.
    c    the time of detection of the brain tumour ranging irom 71 to 101 weeks with the mean being 83.4 weeks.

    N.P. data not presented due to the complete absence of a dose-response relationship re incidence
    N.A. not available

    (Con't)

    *    Data included in the submitted report from a total of seven 104-week studies In Sprague-Dawley rats over an unspecified time-frame.
    **   The histopathological examination of 3 additional brain section from each male of control and all treated groups reportedly yielded
         one additional glioma which was found in one control terminal survivor. It was also indicated that no preneoplastic lesions (gliosis)
         were found in the original and the additional brain slides (Squire, 1984)
    ***  The historical control incidence of mammary fibroadenoma in an unspecified number of male Sprague-Dawley rats maintained in the
         testing laboratory was stated to range from 0 to 3% (Serota 1985).
    **** Not considered as tumour per se but included for information only.
        the 2-generation reproduction study, and the similarly-negative effect
    on the testes of mice and rats in the long-term studies, plus the
    virtual absence of other toxic effects at the lowest-tested level, it
    was concluded that a level somewhat below 300 ppm could reasonably be
    taken as a no-effect level for this species. In this connection, the
    Meeting agreed that 100 ppm, the no-effect level established in an
    available 90-day dog-feeding study, be accepted as a 1-year no-effect
    level for this species.

         In the long-term mouse and rat studies, there was seemingly an
    increase in the incidence of lung adenocarcinoma in male mice of the
    top-dosage group (2000 ppm) and of astrocytoma in male rats of both
    the intermediate- and top-dosage groups (i.e. 200 ppm and 1000 ppm).
    Although the evidence for a causal relationship between these
    particular tumour findings and treatment did not appear to be
    convincing, such a possibility could not be excluded at this time.
    Before a more definitive opinion on the tumourigenic/carcinogenic
    potential of the compound can be expressed, additional information, as
    indicated under "Further work or information required", is needed on
    those mouse and rat studies from which data on historical control
    incidences of certain tumours (specifically lung tumours in mice and
    astrocytoma and liver tumours in rats) were obtained.

         In view of the concerns with respect to increased incidence of
    lung adenocarcinoma in male mice and of astrocytoma in male rats of
    the long-term studies, a temporary ADI was allocated.

    TOXICOLOGICAL EVALUATION

    LEVEL CAUSING NO TOXICOLOGICAL EFFECT

         Mouse: 80 ppm in the diet, equal to 12.3 mg/kg b.w.

         Dog: 100 ppm in the diet, equivalent to 2.5 mg/kg b.w.

    ESTIMATE OF TEMPORARY ACCEPTABLE DAILY INTAKE FOR MAN

         0-0.003 mg/kg b.w.

    FURTHER WORK OR INFORMATION REQUIRED (by 1987)

    1.   Information on those mouse and rat studies from which data on
         historical control incidences of certain tumours, viz. lung
         tumours in CD-1 mice and astrocytoma and liver tumours in
         Sprague-Dawley rats, were obtained and presented in the submitted
         reports. (Information for each of the studies should include date
         of each study, age of animals at initiation, mortality rate of
         animals, and experimental conditions such as diet, number of
         animals per cage, etc.)

    2.   Further pharmacokinetic and metabolic studies in rats and/or a
         non-rodent mammalian species using appropriate multiple-dosage
         levels.

    3.   Acute oral toxicity studies on major plant metabolites which are
         not found in animals if these are liable to occur at substantial
         residues.

    DESIRED

    1.   Results of diet analysis for the 18-month mouse and 2-year rat
         feeding studies.

    2.   Studies on any potential oestrogenic or other hormonal effect of
         dimethipin, including the determination of the affinity of the
         compound for steroid receptors.

    3.   Further studies in dogs to assess effects, if any, of dimethipin
         on the testis.

    4.   Observations in man.

    REFERENCES

    Babish, J.G. Harvade(R) (N252) Tech. C-8-1162-00. Acute inhalation
    (1977)    study in rats. Unpublished report from Food and Drug
              Research Laboratories, Inc., submitted to WHO by Uniroyal
              Inc., USA.

    Baker, R.C., Mastri, C.W., Kinoshita, F.K., & Keplinger, M.L. Acute
    (1976)    irritation tests with a sample coded N252-C10406, Lot No.
              BL7668 in albino rabbits. Unpublished report (IBT No. 8530-
              08861) from Industrial Bio-Test Laboratories, Inc., USA,
              submitted to WHO by Uniroyal Inc., USA (validated by the
              Canadian Health Protection Branch).

    Benson, B.W. 1-Year dietary toxicity study in dogs with N252.
    (1981)    Unpublished report from International Research and
              Development Corp., USA, submitted to WHO by Uniroyal Inc.,
              USA.

    Bootman, J. & Lodge, D.C. ARS7728 (technical grade Harvade (R):
    (1982)    Assessment of its ability to induce genetic damage in
              Saccharomyces cerevisiae. Unpublished report from Life
              Science Research, England, submitted to WHO by Uniroyal
              Inc., USA.

    Burtner, B.R., Kennedy, G.L., Kinoshita, F.K, & Keplinger, M.L. 90-Day
    (1976)    sub-acute oral toxicity study with UBI-N252 technical in
              dogs. Unpublished report (IBT No. 611-08063) from Industrial
              Bio-Test Laboratories, Inc., USA, submitted to WHO by
              Uniroyal Inc., USA (validated by the Canadian Health
              Protection Branch).

    Bushby, S.R.M. "Hematological studies during toxicity tests." In
    (1970)    Methods in Toxicology, edited by Paget, G.E. Blackwell
              Scientific Publications, Oxford and Edinburgh.

    Caplan, J. & Merricks, D.L. 14C-Harvade(R) radiocarbon study in rats.
    (1978)    Unpublished report from Biospherics Inc., USA, submitted to
              WHO by Uniroyal Inc., USA.

    Forster, R., Edwards, N., & Nunziata, A. Mitotic gene conversion in
    (1984a)   Saccharomyces cerevisiae D4. Test substance: Dimethipin
              tech. 131001-M-00284. Final report. Unpublished report from
              Life Science Research, Roma Toxicology Centre, Italy,
              submitted to WHO by Uniroyal Inc., USA.

    Forster, R., Mosesso, P., & Nunziata, A. Micronucleus test. Test
    (1984b)   substance: Dimithipin tech. Final report. Unpublished report
              from Life Science Research, Roma Toxicology Centre, Italy,
              submitted to WHO by Uniroyal Inc., USA.

    Galloway, S.M. & Brusick, D.J. Mutagenicity evaluation of Harvade(R)
    (1981)    (N252) 98% D-11401 in the sister chromatid exchange assay
              with Chinese hamster ovary (CHO) cells. Final Report.
              Unpublished report from Litton Bionetics, Inc., USA,
              submitted to WHO by Uniroyal Inc., USA.

    Jagannath, D.R. & Brusick, D.J. Mutagenicity evaluation of N-252,
    (1978)    technical lot D10406, BL8998 CC0005 in the Ames
              Salmonella/microsome plate test. Final report. Unpublished
              report from Litton Bionetics, Inc., USA, submitted to WHO by
              Uniroyal Inc., USA.

    Jagannath, D.R. & Brusick, D.J. Mutagenicity evaluation of Harvade(R)
    (19981)   (N252) 98% D-11401 in the Ames Salmonella/microsome plate
              test. Final report. Unpublished report from Litton
              Bionetics, Inc., USA, submitted to WHO by Uniroyal Inc.,
              USA.

    Kehoe, D.F. & MacKenzie, K.M. Final report. Two-generation rat
    (1982)    reproduction study with N252. Unpublished report from
              Hazleton Raltech Inc., USA, submitted to WHO by Uniroyal
              Inc., USA.

    Knickerbocker, M., Re, T.A., & Babish, J.G. Teratologic evaluation of
    (1977)    N252 (Harvade(R)) technical in Sprague-Dawley rats.
              Unpublished report from Food and Drug Research Laboratories,
              Inc., USA, submitted to WHO by Uniroyal Inc., USA.

    Madison, W.A. Technical grade Harvade(R). Dermal sensitization in
    (1983)    guinea pigs (modified closed patch technique). Unpublished
              report from Hazleton Raltech, Inc., USA, submitted to WHO by
              Uniroyal Inc., USA.

    Marias, A.J., Kennedy, G.L., Kinoshita, F.K., & Keplinger, M.L. 90-Day
    (1976)    sub-acute oral toxicity study with UBI-N252 technical in
              albino rats. Unpublished report (IBT No. 622-08070) from
              Industrial Bio-Test Laboratories, Inc., USA, submitted to
              WHO by Uniroyal Inc., USA (validated by the Canadian Health
              Protection Branch).

    McGee, D.H. Unpublished letter from International Research Development
    (1983)    Corp., USA, to Uniroyal Chemical Co., submitted to WHO by
              Uniroyal Inc., USA.

    McManus, J.P. Metabolism of Harvade(R) in goats. Unpublished
    (1984)    report from Uniroyal Chemical Co., submitted to WHO by
              Uniroyal Inc., USA.

    McMeekin, S.O., Schardein, J.L., & Blair, M. N252 (Harvade(R)
    (1981)    technical). Teratology study in rabbits. Unpublished report
              from International Research and Development Corp., USA,
              submitted to WHO by Uniroyal Inc., USA.

    Myhr, B.C. & Brusick, D.J. Mutagenicity evaluation of Harvade(R) (N252)
    (1981)    in the mouse lymphoma forward mutation assay. Revised final
              report.  Unpublished report from Litton Bionetics, Inc.,
              USA, submitted to WHO by Uniroyal Inc., USA.

    Reagan, E.L. & Becci, P.J. Acute dermal toxicity study (LD50) in
    (1982)    albino rabbits of Harvade(R) (N252). Unpublished report from
              Food and Drug Research Laboratories Inc., USA, submitted to
              WHO by Uniroyal Inc., USA.

    Serota, D.G., Alsaker, R.D., & Banas, D. 18-Month toxicity and
    (1981a)   oncogenicity study in mice. N252 technical. Final report.
              Unpublished report from Hazleton Laboratories America, Inc.,
              USA, submitted to WHO by Uniroyal Inc., USA.

    Serota, D.G., Alsake, R.D., Dawkins, K.K., & Kunalzins, W. 104-Week
    (1981b)   chronic toxicity study in rats. N252 (Harvade(R) technical)
              final report. Unpublished report from Hazleton Laboratories
              America, Inc., USA, submitted to WHO by Uniroyal Inc., USA.

    Serota, D.G. Unpublished letter from Hazleton Laboratories America,
    (1985)    Inc. to Uniroyal Inc., USA, submitted to WHO by Uniroyal
              Inc., USA.

    Shapiro, R. Untitled and unpublished report from Product Safety Labs,
    (1977a)   USA, submitted to WHO by Uniroyal Inc., USA.

    Shapiro, R. Untitled and unpublished report from Product Safety Labs,
    (1977b)   USA, submitted to WHO by Uniroyal Inc., USA.

    Smilo, A.R., Fuller, G.B., Tortora, N.J., Curtiss, K.. & Cardona, R.A.
    (1978)    Characteriztion of excretory metabolites from a 14C-
              Harvade(R) rat balance study. Unpublished report from
              Uniroyal Chemical, submitted to WHO by Uniroyal Inc., USA.

    Sorg, R.M., Naismith, R.W., & Matthews, R.J. CHO metaphase analysis
    (1983)    in vitro chromosome aberration analysis in Chinese hamster
              ovary cells (CHO). PH320-UN-001-83 Harvade(R).  Unpublished
              report from Pharmakon Research International Inc., USA,
              submitted to WHO by Uniroyal Inc., USA.

    Squire, R.A. Unpublished letter to Uniroyal Chemical, submitted to WHO
    (1984)    by Uniroyal Inc., USA.

    Strong, M.B. Studies on the acute oral toxicity of N252 (Harvade(R)) in
    (1981)    crossbred dogs. Unpublished report from Ciba-Geigy Australia
              Ltd., submitted to WHO by Uniroyal Inc,, USA,

    Varner, L.L. & Matthews, R.J. Acute oral LD50 in rats. Uni-N-252
    (1977)    C.N.D.-9801 Lot No. BL-6731. Revised report. Unpublished
              report from Pharmakon Laboratories, USA, submitted to WHO by
              Uniroyal Inc., USA.
    


    See Also:
       Toxicological Abbreviations
       Dimethipin (Pesticide residues in food: 1988 evaluations Part II Toxicology)
       Dimethipin (JMPR Evaluations 1999 Part II Toxicological)