IPCS INCHEM Home


    Pesticide residues in food -- 1999



    Sponsored jointly by FAO and WHO
    with the support of the International Programme
    on Chemical Safety (IPCS)



    Toxicological evaluations




    Joint meeting of the
    FAO Panel of Experts on Pesticide Residues
    in Food and the Environment
    and the
    WHO Core Assessment Group

    Rome, 20-29 September 1999

    CHLORPYRIFOS

    First draft prepared by
    D. Wagner 
    Therapeutic Goods Administration,Department of Health and Aged Care,
    Canberra, ACT, Australia


            Explanation
            Evaluation for acceptable daily intake
                Biochemical aspects
                    Absorption, distribution, and excretion
                    Biotransformation
                    Effects on enzymes and other biochemical parameters
                Toxicological studies
                    Acute toxicity
                    Short-term studies of toxicity
                    Long-term studies of toxicity and carcinogenicity
                    Genotoxicity
                    Reproductive toxicity
                        Multigeneration reproductive toxicity
                        Developmental toxicity
                    Special studies: Neurotoxicity
                    Studies on metabolites
                        Acute toxicity
                        Short-term studies of toxicity
                        Genotoxicity
                        Developmental toxicity
                Observations in humans
                    Experimental studies
                    Case reports
                    Monitored field trials
                    Studies of morbidity
            Comments 
            Toxicological evaluation
            References


    Explanation

         Chlorpyrifos [ O,O-diethyl  O-(3,5,6-trichloro-2-pyridinyl)
    phosphorothioate] is a broad-spectrum organophosphorus pesticide. The
    toxicology of chlorpyrifos was first evaluated by the 1972 Joint
    Meeting (Annex 1, reference  18), when an ADI of 0-0.0015 mg/kg bw
    was established on the basis of a NOAEL of 0.014 mg/kg bw per day in a
    1-month study in humans. Further biochemical and toxicological
    information was considered by the 1977 JMPR (Annex 1, reference
     28), when the ADI was changed to 0-0.001 mg/kg bw. Additional
    reports on the toxicology of chlorpyrifos were reviewed by the 1982
    Joint Meeting  (Annex 1, reference  38), which increased the ADI to
    0-0.01 mg/kg bw on the basis of a NOAEL of 0.1 mg/kg bw per day in
    humans exposed to chlorpyrifos for 9 days, with a 10-fold safety

    factor. This ADI was supported by findings in rats and dogs.
    Chlorpyrifos was reviewed at the present meeting within the periodic
    review pro-gramme of the Codex Committee on Pesticide Residues. 

    Evaluation for Acceptable Daily Intake

    1.  Biochemical aspects

    (a)  Absorption, distribution, and excretion

          Rats 

         A dose of 50 mg/kg bw [36Cl]chlorpyrifos given orally to male
    Wistar rats by intubation was eliminated rapidly in the urine (about
    90% of the dose) and faeces (about 10% of the dose). The compounds
    excreted in the urine were identified as 3,5,6-trichloro-2-pyridyl
    phosphated (5-80%), 3,5,6-trichloro-2-pyridinol (TCP; 15-20%), and
    traces of chlorpyrifos. The concentrations of residue were highest in
    liver and kidney 4 h after dosing, but the half-time in these tissues
    was < 20 h. The longest half-time, 62 h, was recorded in fat (Smith
    et al., 1967).

         By 72 h after a single oral dose of 19 mg/kg bw
    [14C]ring-labelled chlorpyrifos was given by intubation to male
    Sprague-Dawley rats, 83-87% had been eliminated, mainly in the urine
    (68-70%), faeces (14-15%), and expired air (0.15-0.39%). The residues
    found at this time represented about 1.7% of the total dose, and the
    concentration, while highest in fat, was < 1 ppm in any tissue
    (Branson & Litchfield, 1971a). In a study to investigate the breakdown
    of chlorpyrifos by microsomal enzymes  in vitro (Branson & Wass,
    1970), TCP was again identified as the major metabolite of
    chlorpyrifos. In cows fed chlorpyrifos at a dose of 5 ppm in the diet
    for four days, hydrolysis to the pyridinol was the major metabolic
    pathway (Gutenmann et al., 1968).

         Female Fischer 344 rats were given chlorpyrifos by oral gavage or
    by inhalation in nose-only or whole-body chambers, while another group
    was given [14C]chlorpyrifos by oral gavage to estimate the
    efficiency of recovery. Oral dosing led to 30-80% recovery of the
    administered dose in urine, while nose-only or whole-body inhalational
    exposure led to an average urinary excretion of 0.28-0.58 µg of TCP
    per ppb of chlorpyrifos in air, after adjustment for the route of
    exposure. Rats with whole-body exposure absorbed more chlorpyrifos
    than would have been expected to occur by inhalation alone, probably
    due to grooming activity. The total combined recovery of radiolabel
    from urine, faeces, and cage wash was 99.8% of the administered dose
    (Nolan et al., 1986). 

         Single doses of [14C]ring-labelled chlorpyrifos (19 mg/kg bw)
    or TCP (7 mg/kg bw) were given by oral gavage to Sprague-Dawley rats,
    and the radiolabel was analysed in blood samples, expired air, and
    excreta. The main compound found in urine was TCP. The biological
    half-time of each chemical was estimated to be 8-17 h, and by 72 h

    > 98% of each compound had been eliminated, mainly in the urine
    (68-70% of chlorpyrifos, 73-76% of TCP) and faeces (14-15% of
    chlorpyrifos, 6-7% of TCP). Elimination in the form of radiolabelled
    carbon dioxide was a minor (< 1%) pathway. The residue concentrations
    were consistently low in the brain, and the highest were found in bone
    and intestine after administration of TCP and in fat and intestine
    after administration of chlorpyrifos. Administration of single oral
    doses of [14C]TCP or [14C]chlorpyrifos did not lead to
    accumulation of these compounds in rat tissues (Branson & Litchfield,
    1970, 1971b).

         Groups of male and female Fischer 344 rats were given
    [14C]chlorpyrifos as a single oral dose of 0.5 or 25 mg/kg bw or
    unlabelled chlorpyrifos as 15 consecutive doses of 0.5 mg/kg bw per
    day followed on day 16 by 0.5 mg/kg bw of [14C]chlorpyrifos. By 3
    days after exposure, essentially all of the radiolabel had been
    recovered (> 97%), mainly in the urine (84-92% of the administered
    dose), with 6-12% in the faeces. Repeated dosing induced a slight
    increase (6-7%) in urinary excretion as compared with the single dose
    of 0.5 mg/kg bw per day. At sacrifice, the residues in the carcass
    accounted for 0.2% of the administered dose of 25 mg/kg bw. The
    residues were found mainly in perirenal fat and livers of males and in
    the ovaries and fat of females. The half-time for excretion was 12 h
    for males and 23 h for females at 25 mg/kg bw. No unchanged
    chlorpyrifos was found in urine. The major metabolites were TCP (12%),
    its glucuronide conjugate (80%), and, tentatively, a sulfate conjugate
    (Nolan et al., 1987).

          Hens 

         Groups of 36 laying hens were fed diets containing chlorpyrifos
    at 0 (two groups), 0.3, 1, 3, or 10 (three groups) ppm for 30-45 days
    before sacrifice. All control birds and 24 birds at each dose were
    killed after 30 days, and the remaining 12 hens at each dose were fed
    treated diet for a further 15 days; eggs were collected from these
    birds throughout treatment. The additional two groups of birds at 10
    ppm were allowed to recover from treatment for 7 and 21 days,
    respectively, after the 30-day treatment period and were then killed.
    Chlorpyrifos residues were detected only in fat, whereas TCP was found
    in liver (0.15 ppm), kidney (0.33 ppm), and eggs (< 0.05 ppm) of hens
    given 10 ppm chlorpyrifos. No residues were detected after the 7-day
    withdrawal period (Dishburger et al., 1972a).

          Goats 

         Two goats were fed [14C]ring labelled (positions 2 and 6)
    chlorpyrifos twice daily in capsules for 10 days at concentrations
    equivalent to 15-19 ppm in the feed. The majority (80%) of the
    radiolabel was recovered in urine, with smaller amounts in faeces
    (3.6%), gut (0.9%), tissues (0.8%), and milk (0.1%). The major urinary
    metabolite (> 75% of the residual radiolabel) was the ß-glucuronide
    conjugate of TCP, with smaller amounts of unconjugated TCP. The major
    residue in fat was chlorpyrifos (0.12 ppm), while TCP was the major

    residue in liver and kidney (Glas, 1981a). A similar pattern of
    elimination was seen in a study in which lactating goats were fed
    [14C]ring labelled chlorpyrifos twice daily by capsule; little
    radiolabel (0.05-0.14%), mainly associated with chlorpyrifos, was
    recovered in milk (Glas, 1981b). 

          Pigs 

         Groups of two boars and one sow were fed basal rations containing
    0, 1, 3, or 10 ppm chlorpyrifos for 30 days, and tissue samples were
    collected after withdrawal periods of 0, 7, and 21 days. Residues were
    initially found predominantly in fat tissues, with lower
    concentrations in muscle, liver, and kidney, but no residues were
    detectable after 7 days of withdrawal (McKellar et al., 1972).
    Weanling piglets of each sex were given daily oral doses of[14C]TCP
    equivalent to 75 ppm in the diet for 7 days, and urine and tissue
    samples were collected after withdrawal periods of up to 7 days. The
    principal urinary excretion product was unchanged TCP. The liver and
    kidney initially contained the highest residues; while the
    concentrations decreased rapidly after withdrawal, the liver had the
    slowest rate of clearance (Bauriedel & Miller, 1981).

          Cattle 

         Calves were fed TCP in the feed at concentrations < 100 ppm
    for 28 days, and tissue samples were taken on day 28 or after a 3-,
    7-, or 21-day withdrawal period. The concentrations of residues were
    highest in liver and kidney, with lower concentrations in fat and
    muscle. These concentrations declined rapidly after the return to
    untreated feed (Glas, 1977a). One calf fed
    2-methoxy-3,5,6-trichloropyridine for 28 days showed significant
    concentrations (> 2 ppm) of TCP but no
    2-methoxy-3,5,6-trichloropyridine in liver, kidney, and fat
    (Glas,1977b). 

         Female calves were fed one capsule of chlorpyrifos per day for 30
    days at doses equivalent to daily concentrations of dry matter in the
    diet of < 100 ppm. Tissue samples were taken on day 30 or after a
    1-5-week withdrawal period. A dose-related increase in the
    concentration of residues was seen in all tissues but especially in
    fat, whereas TCP was found predominantly in the liver and kidney.
    After the dose of 100 ppm, the residues of chlorpyrifos in fat were
    0.93 ppm at 7 days and 0.02 ppm at 35 days after withdrawal of the
    test material (Dishburger et al., 1972b, 1977).

          Humans 

         In persons poisoned with chlorpyrifos formulations, chlorpyrifos
    was detected in serum samples only and at lower concentration than the
    diethylphosphorus metabolites, which were excreted mainly in urine.
    The urinary diethylphosphorus metabolites were excreted by first-order
    kinetics, with an average elimination half-time of 6.1 ± 2.2 h in the
    fastest phase and  80 ± 26 h in the slowest (Drevenkar et al., 1993).

         Male volunteers received chlorpyrifos as an oral dose of 0.5
    mg/kg bw and 1 month later a dermal dose of 5 mg/kg bw. The time to
    the maximal concentration of TCP in blood was 0.5 h after oral dosing
    and 22 h after dermal treatment. The elimination half-time,
    irrespective of the route of administration, was 27 h. The percentage
    of the administered dose recovered from the urine was 70% after oral
    dosing and 1.3% after dermal administration (Nolan et al., 1982,
    1984).

    (b)  Biotransformation

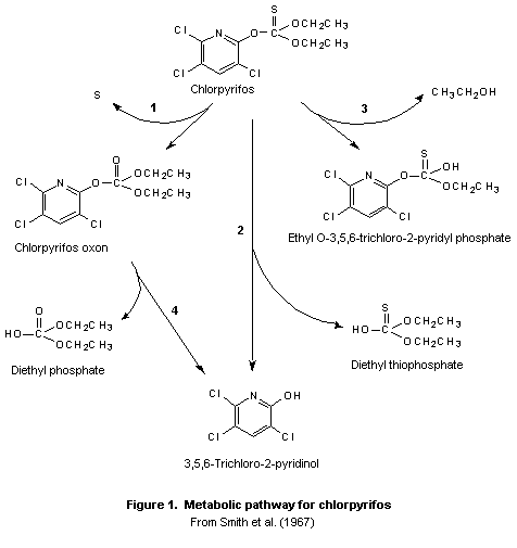
         A generalized metabolic pathway for chlorpyrifos is shown in
    Figure 1. Chlorpyrifos, like many of the most commonly used
    organophosphorus insecticides, is a phosphorothionate.
    Phosphorothionate insecticides are bioactivated by the microsomal
    cytochrome P450 system in the bodies of vertebrates and insects to
    their active oxon (phosphate ester) metabolites, which are about three
    orders of magnitude more potent as anticholinesterases than the parent
    compounds. Most bioactivation takes place in the liver, while
    detoxification takes place in the liver and plasma. Chlorpyrifos is
    rapidly metabolized by mixed-function oxidases to the highly reactive
    chlorpyrifos oxon by oxidative desulfuration (step 1). Oxidative
    metabolism involving concurrent activation and degradation via a
    common intermediate appears to be the general pattern for P=S esters
    (Yang et al., 1971; Wolcott et al., 1972; Nakatsugawa, 1992). The
    oxidative desulfuration is believed to proceed via an electrophilic
    phosphooxathiiran intermediate (Kamataki & Neil, 1976). The
    degradation step occurs by conversion directly to TCP and diethyl
    thiophosphate (step 2). The oxon can be deactivated by hydrolysis to
    diethylphosphate and TCP (step 4) (Ma & Chambers, 1994; Sultatos &
    Murphy, 1983). A minor reaction pathway is hydrolysis to monethyl
    3,5,6-trichloro-2-pyridinyl phosphorothioate (step 3). 

         The moderate toxicity of chlorpyrifos, when compared with some
    other phosphorothionates, may be due to hydrolytic detoxification of
    the oxon by A-esterases, such as paraoxonase, and high serum
    concentrations of paraoxonase may protect against poisoning by
    organophosphorus insecticides with paraoxonase substrates as active
    metabolites (Omenn, 1987; Geldmacher-von Mallinckrodt & Diepgen,
    1988). This effect has been demonstrated in rats directly, in which
    injection of purified paraoxonase before dosing with chlorpyrifos oxon
    reduced the inhibition of brain acetylcholinesterase in these animals
    by 2.5 times when compared with controls (Costa et al., 1990).

         Twelve rats given chlorpyrifos at 5 mg/kg bw (3 mCi per rat)
    orally by gavage excreted 88% of the administered radiolabel in urine
    within 48 h. At least six metabolites were present, three of which
    accounted for 97% of the excreted radiolabel. These were identified as
    the glucuronide of TCP (80%), a glucoside of TCP (4%), and TCP itself
    (12%) (Bakke et al., 1976).

    FIGURE 1

    (c)  Effects on enzymes and other biochemical parameters

         Hydrolysis is the most important route of detoxification of
    organophosphorus esters. Hydrolytic esterases are distributed
    ubiquitously in the blood and tissues of virtually all animal
    organisms and catalyse the hydrolysis of a variety of esters,
    including organophosphorus esters, but have little activity on
    organophosphorus itself. Esterases that interact with
    organophosphoruses have been characterized as A- and B-esterases
    according to their sensitivity to inhibition by organophosphorus
    compounds. Plasma and tissues of mammals have significant
    concentrations of the calcium-activated A-esterases, arylesterase (EC
    3.1.1.2), and the high-density lipoprotein-associated paroxonase (EC
    3.1.8.1). The B-esterases, including aliesterases (EC 3.1.1.1; also
    called carboxylesterases) and cholinesterases (e.g. butyryl
    cholinesterase, EC 3.1.1.8), are inhibited by organophosphorus
    compounds such as chlorpyrifos oxon. While they bind them, they do not
    hydrolyse them (Derelanko & Hollinger, 1995).

         Butyrylcholinesterase is the predominant cholinesterase in human
    serum (> 99%), while in rats there is an approximately equal
    distribution of acetylcholinesterase and butyryl cholinesterase
    (Nolan, 1997). These enzymes detoxify organophosphorus compounds by
    sequestering them through binding to or phosphorylation by blood
    proteins, such as albumin, which stoichiometrically degrades them
    (Aldridge, 1953). These protein-bound organophosphorus esters are
    secreted into the bile. Erythrocyte acetylcholinesterase (EC 3.1.1.7)
    is similar to the acetylcholinesterase in nervous systems and can bind
    to and sequester or hydrolyse organophosphorus compounds. The enzyme
    activities attributable to A-esterases, B-esterases, and
    cholinesterases vary widely within populations and are influenced by
    genetic and environmental factors and disease states (Derelanko &
    Hollinger, 1995). The serum activity of paraoxonase in rabbits is some
    40 times greater than that in rats. Most avians, including hens, have
    relatively low activity of A-esterases, and the mean value of serum
    chlorpyrifos oxonase activity in humans is 10 times that of rat serum
    (Furlong et al., 1989). 

         In humans, a substrate-dependent polymorphism of serum
    paraoxonase is observed, in which one isoform of paraoxonase has a
    high turnover for paraoxon and the other a low turnover (Furlong et
    al., 1989; Smolen et al., 1991). The polymorphism is also observed
    with the oxons of methyl parathion, chlothion, and
    phenylphosphonothioic acid  O-ethyl  O-para-nitrophenyl ester. The
    two isoforms appear, however, to hydrolyse chlorpyrifos oxon and
    phenylacetate at the same rate. Cloning and sequencing of the human
    paraoxonase cDNA has revealed the molecular basis of the polymorphism:
    arginine at position 192 determines high paraoxonase activity, and
    glutamine at this position encodes low paraoxonase activity (Humbert
    et al., 1993). In addition to this polymorphism, a 13-fold variation
    in serum enzyme activity of a given genetic class is seen (Furlong et
    al., 1989). While chlorpyrifos oxon was hydrolysed by the same plasma
    fraction that hydrolysed paraoxon in a study of plasma samples from

    320 white blood donors (Furlong et al., 1988), the population
    distribution of chlorpyrifos oxon hydrolysis was unimodal. This
    contrasted with a bimodal population distribution of the activity for
    paraoxon hydrolysis, and the variation in paraoxonase activity was
    about 11-fold, while that in chlorpyrifos oxonase activity showed a
    four- to fivefold variation.

         Correlation of the LD50 values for orally administered
    chlorpyrifos in rats with the activation rates measured in brain
    rather than liver (Chambers, 1992) suggested that local
    biotransformation in target tissues is an important determinant of its
    toxicity. In a more recent review, however, Chambers & Carr (1995)
    compared published LD50 or LC50 values for a variety of
    insecticides in several vertebrate species. Studies in rats indicated
    that the sensitivity of brain acetylcholinesterase activity to
    inhibition by various phosphorothionate oxons did not correlate with
    their acute toxicity. Chlorpyrifos oxon has a greater affinity for rat
    brain acetylcholinesterase than does paraoxon, with median inhibitory
    concentrations (IC50 values) of 4.0 and 22 nmol/L, respectively, but
    a lower LD50. This finding is consistent with the greater affinity
    (IC50, 0.75 nmol/L) of chlorpyrifos oxon for plasma aliesterases
    than for rat brain acetylcholinesterase, indicating that aliesterases
    provide protection against chlorpyrifos oxon. 

         Further work by Chambers & Carr (1995) indicated longer
    inhibition of esterases after exposure chlorpyrifos than to parathion.
    This was attributed to the greater lipophilicity of chlorpyrifos than
    parathion (hexane:acetonitrile partition coefficients, 0.28 and 0.062,
    respectively) and the assumption that a substantial fraction of the
    dose of chlorpyrifos would have been sequestered by fat and released
    gradually for later bioactivation. Studies of hepatic microsomal
    metabolism of parathion and chlorpyrifos indicated that desulfuration
    of parathion was favoured over dearylation (activation vs
    deactivation), whereas the reverse was seen for chlorpyrifos (Ma &
    Chambers, 1994). In channel catfish, however, the sensitivity of
    acetylcholinesterase to inhibition by oxons reflects the acute
    toxicity of these insecticides, and may be largely responsible for
    their toxicity in this species. Thus, the metabolism of insecticides
    appears to be more influential in some species than in others in
    determining their toxicity.

         Chlorpyrifos oxonase is a calcium-dependent A-esterase that
    hydrolyses chlorpyrifos oxon, the active metabolite of chlorpyrifos.
    As this activity may be related to that of paraoxonase, it was
    determined spectrophotometrically by measuring the generation of TCP
    (Furlong et al., 1989). Mortensen et al. (1996) hypothesized that
    young rats have less chlorpyrifos oxonase activity than adults, and
    they measured the activity of this enzyme in the brain, plasma, and
    liver of male Long-Evans rats (CRL:(LE)BR) at postnatal day 4 and in
    adults. No activity was detected in brain at either age, but the
    activities in plasma and liver were markedly lower in younger than in
    adult animals, the activities in plasma and liver being 1/11 and 1/2
    of those in adults, respectively. 

         As the Michaelis-Menten constant for chlorpyrifos oxonase
    activity was high (210-380 µmol/L), experiments were performed to
    determine whether this enzyme could hydrolyse physiologically relevant
    concentrations (nanomolar to low micromolar) of chlorpyrifos oxon. On
    the assumption that tissue acetylcholinesterase inhibition provides a
    sensitive bioassay for the concentration of chlorpyrifos oxon, changes
    in the tissue acetylcholinesterase IC50 for chlorpyrifos oxon were
    measured in the presence and absence of chlorpyrifos oxonase. Brain
    acetylcholinesterase activity was determined spectrophotometrically,
    while plasma and liver cholinesterase activities were determined by a
    radiometric method with a [3H]acetylcholine iodide substrate. An
    increase in the 'apparent' IC50 would indicate that chlorpyrifos
    oxonase had hydrolysed substantial amounts of chlorpyrifos oxon during
    the  30-min preincubation with the chlorpyrifos oxon. In the adult
    rats, the apparent IC50 values for both plasma and liver
    cholinesterase were higher in the presence of chlorpyrifos oxonase,
    suggesting that the enzyme in those tissues could hydrolyse
    physiologically relevant concentrations of chlorpyrifos oxon within
    30 min. Young animals, however, showed less of a shift in the IC50
    curves than adults, confirming that they have a lower capacity to
    detoxify physiologically relevant concentrations of chlorpyrifos oxon
    with chlorpyrifos oxonase. 

    2.  Toxicological studies

    (a)  Acute toxicity

         (i)  Lethal doses

         Numerous studies have been carried out with technical-grade
    chlorpyrifos to establish LD50 and LC50 values (Table 1). The
    lowest value after oral administration was 96 mg/kg bw (range,
    96-480 mg/kg bw) in rats and 100 mg/kg bw (range, 100-150 mg/kg bw) in
    mice. The signs of acute intoxication were consistent with
    cholinesterase inhibition and included inactivity, salivation,
    dyspnoea, flaccid paralysis, vomiting, piloerection, exophthalmia, and
    diarrhoea; female animals were generally more sensitive to the acute
    effects of chlorpyrifos than males. The LD50 for dermally applied
    chlorpyrifos was consistently lower than that for oral or inhalational
    exposure and indicated the lower dermal absorption of chlorpyrifos
    (about 2% in humans) when compared with the 70-90% absorption after
    inhalational or oral exposure.

         (ii) Dermal and ocular irritation and dermal sensitization 

          Ocular irritation: In a paper in which few procedural details
    were provided (Taylor & Olson, 1963), slight conjunctival redness was
    seen in rabbits treated with chlorpyrifos, regardless of whether the
    eyes were washed after administration of the test material. The
    redness persisted for more than 7 days in some animals. Transient
    conjunctival and iridial irritation, possibly due to a direct physical

    irritating effect of cholorpyrifos powder, was seen in three young
    adult female New Zealand white rabbits after each had received 100 mg
    of a finely ground commercial preparation in the left conjunctival
    sac. The eyes of all animals were normal after 24 h (Jones, 1985a).

         The ocular irritation potential of technical-grade chlorpyrifos
    (purity, 99%) was tested (in accordance with GLP requirements) in six
    young male New Zealand white rabbits, 100 mg of test material being
    placed into the right eye and the untreated left eye serving as a
    control. There were no signs of corneal or iridial irritation. Slight
    to moderate conjunctival redness (mean Draize score, 1 at 1 h, 0.83 at
    24 h), slight chemosis (mean Draize score, 0.83 at 1 h, 0.16 at 24 h),
    and discharge (mean Draize score, 1.6 at 1 h, 0.83 at 24 h) were seen
    up to 24 h after instillation, but no signs of irritation were
    reported at 48 h (Jackson & Ogilvie, 1994b).

         The ocular irritation potential of 0.1 g of chlorpyrifos (purity,
    99.3%) was assessed in three male and three female New Zealand white
    rabbits by instilling the test substance into the conjunctival sac of
    the right eye, the left eye remaining untreated and serving as
    control. This study was conducted according to GLP requirements.
    Diffuse corneal opacities (score 1 for degree and area of opacity)
    were observed in two animals at 24 h, but these effects had
    disappeared by 48 h and no other corneal effects were seen. Iridial
    inflammation (score 1) was noted in four animals at 1 h, and this
    effect persisted for 24 h in one of the animals and for 48 h in
    another. No iridial effects were observed after 72 h. Conjunctival
    irritation was observed in all animals, with redness (score 2:
    diffuse, deeper crimson red at 1-24 h; score 1: vessels definitely
    injected above normal at 48 h), chemosis (score 2: obvious swelling
    with partial eversion of lids up to 48 h), and discharge (scores 2-3:
    moistening of the lids and hairs just adjacent to lids or a
    considerable area around the eye only at 1 h). No signs of
    conjunctival irritation was observed at 72 h. The maximum individual
    irritation scores were seen at 1 h and ranged from 12 to 19, with a
    mean score of 16. The mean scores at 24, 48, and 72 h were 9.3, 2.5,
    and 0, respectively. The overall scores according to EEC Council
    Directive 67/548/EEC were 2 (mean, 0.11) for corneal opacity, 3 (0.17)
    for iridial inflammation, 11 (0.61) for conjunctival redness, and 8
    (0.44) for conjunctival chemosis (Dreher, 1994d)

         Technical-grade chlorpyrifos (100 mg; purity, 96.2%) was
    instilled into the conjunctival sac of the left eye of Himalayan
    albino rabbits, and the right eyes of the animals served as controls.
    A group of control animals was similarly treated with distilled water
    only. All animals were observed for signs of ocular irritation at 1,
    4, 24, 48, and 72 h, and then daily up to day 7. At the 4-h
    observation, very slight iridial irritation (score 1) and conjunctival
    irritation (score 1) were reported. It was not clear from the report
    whether the conjunctival irritation was redness, discharge, or
    chemosis. No signs of irritation were reported at 24 or 72 h. A
    'quality assurance statement' was issued for this study (Frederick
    Institute of Plant Protection and Toxicology, 1995d).


        Table 1. Studies of the acute toxicity of technical-grade chlorpyrifos

                                                                                                                              
    Species       Strain              Sex   Vehicle                LD50 (mg/kg bw;       GLP      Reference
                                                                   95% CI or range)      or QA
                                                                                                                              

     Oral administration 

    Mouse         SmithWebster        M     1% aqueous gum         102 (94-110)                   Coulston et al. (1971)
                                            tragacanth

    Mouse         NAMRU               F     Soya bean oil          152 (143-162)                  Berteau & Deen (1978)

    Mouse         Swiss albino        M&F   Vegetable oil          109 (93-127)          QA       Fredrick Institute (1995a)

    Rat           NR                  M     5% corn oil            163 (97-276)                   Taylor & Olson (1963)
                                      F                            135 (97-188)

    Rat           Sprague-Dawley      F     Soya bean oil          169 (146-196)                  Berteau & Deen (1978)

    Rat           Sprague-Dawley      M     Arachis oil            276 (167-455)         GLP      Dreher (1994a)
                                      F                            350 (285-429)
                                      M&F                          320 (260-393)

    Rat           Wistar              M&F   Vegetable oil          134 (102-163)         QA       Frederick Institute (1995b)

    Rat           Sprague-Dawley      M     Maize oil              264                   GLP      Wilson & MacBeth (1994)
                                      F                            141
                                      M&F                          192

    Rat           Sprague-Dawley      M     Maize oil              475 (311-727)                  Buch & Gardner (1981)
                                      F                            337 (220-515)

    Rat           Sprague-Dawley      M     Corn oil               221 (181-69)                   Nissimov & Nyska (1984a)
                                      F                            144 (105-200)
                                                                                                                              

    Table 1. (continued)

                                                                                                                              
    Species       Strain              Sex   Vehicle                LD50 (mg/kg bw;       GLP      Reference
                                                                   95% CI or range)      or QA
                                                                                                                              

    Rat           Sprague-Dawley      M     Not reported           205 (134-299)                  Henck & Kociba (1980)
                                      F                            96 (72-140)
                                      M                            248 (170-379)
                                      F                            97 (80-112)
                                      M                            270 (188-426)
                                      F                            174 (130-244)

    Guinea-pig    NR                  M     Corn oil               504 (300-850)         GLP      Lackenby (1985a) 

    Rabbit        NR                  M     Corn oil               1000-2000             GLP      Lackenby (1985a)

    Chicken       NR                  M     Capsule                32 (14-72)            GLP      Lackenby (1985a)

    Chicken       Leghorn             M     Diet                   25 (21-31)                     Sherman et al. (1967)

    Chicken       Leghorn             M     Capsule                32                             Stevenson (1963) 

    Chicken       White Rock          M&F   Capsule                50-63                          Stevenson (1966a)

    Chicken       NR                  M&F   Capsule                20-50                          Ross & Roberts (1974) 

    Chicken       NR                  M&F   Corn oil               102 (64-169)                   Ross & Roberts (1974) 

    Chicken       NR                  M     Capsule,               32 (14-72)                     Taylor & Olson (1963)
                                            undiluted

    Turkey        Beltsville          NR    NR                     32-63                          Stevenson (1967)
                  small white

                                                                                                                              

    Table 1. (continued)

                                                                                                                              
    Species       Strain              Sex   Vehicle                LD50 (mg/kg bw;       GLP      Reference
                                                                   95% CI or range)      or QA
                                                                                                                              

     Inhalation 

    Mouse         NAMRU               F     65% xylene             94 (83-106)                    Berteau & Deen (1978)
                                            (27-50 min, 
                                            whole body, 
                                            aerosol)

    Rat           Albino              M&F   Vapour (4 h,           > 200a                GLP      Hardy & Jackson (1984) 
                  (HC/CFHB)                 whole body)

    Rat           Sprague-Dawley      F     65% xylene             78 (57-108)                    Berteau & Deen (1978)
                                            (60-180 min, 
                                            whole body, 
                                            aerosol)

    Rat           Sprague-Dawley      M&F   Undiluted (4 h,        > 230b (max.          GLP      Anderson et al. (1995)
                                            nose only,             attainable            
                                            powder)                concentration)

    Rat           Sprague-Dawley      M     40% xylene             > 4070a                        Buch (1980)
                                      F     (4 h, nose only,       2890b (2010-4160) 
                                            aerosol)

    Rat           Wistar              M&F   Undiluted  (4 h,       > 1020a               GLP      Kenny et al. (1987)
                                            whole body, 
                                            aerosol)

    Rat           Fischer 344         M&F   1% aqueous             > 3200a               GLP      Phillips & Lomax (1989)
                                            solution (4 h, 
                                            whole body, 
                                            aerosol)

                                                                                                                              

    Table 1. (continued)

                                                                                                                              
    Species       Strain              Sex   Vehicle                LD50 (mg/kg bw;       GLP      Reference
                                                                   95% CI or range)      or QA
                                                                                                                              

    Rat           Sprague-Dawley      M&F   Vapour  (4 h,          > 36a (max.           GLP      Blagden (1994)
                                            nose only)             attainable 
                                                                   concentration)

    Rat           Wistar              M&F   Acetone (4 h,          560b (360-950)                 Fredrick Institute (1996a)
                                            whole body, 
                                            nebulized particles 
                                            < 5 µm)

     Dermal application 

    Rat           Sprague-Dawley      M&F   PEG                    > 2000                         Lackenby (1985b)

    Rat           Sprague-Dawley      M&F   Undiluted              > 2000                GLP      Jackson & Ogilvie (1994a) 

    Rat           NR                  M&F   Undiluted              > 2000                QA       Nissimov & Nyska (1984b)

    Rat           Fischer             M&F   Undiluted              > 2000                GLP      Jeffrey et al. (1986)

    Rat           Sprague-Dawley      M&F   Arachis oil            > 2000                GLP      Dreher (1994b)

    Rat           Sprague-Dawley      M&F   Saline                 > 5000 (intact                 Buch et al. (1980)
                                                                   and abraded)

    Rabbit        Himalayan           M&F   Water                  1233 (993-1531)       QA       Fredrick Institute (1995c)

    Rabbit        New Zealand         M&F   Undiluted              1580 (828-2606)                Henck & Kociba (1980)
                  white               M&F                          1598 (1243-1919)
                                      M&F                          1801 (1023-3152)

                                                                                                                              

    Table 1. (continued)

                                                                                                                              
    Species       Strain              Sex   Vehicle                LD50 (mg/kg bw;       GLP      Reference
                                                                   95% CI or range)      or QA
                                                                                                                              

    Rat           CFY                 M&F   Tween 20/              147 (120-179)                  Davies & Kynoch (1970)
                                            DMSO/water 
                                            2:3:5 (subcutaneous)
                                                                                                                              

    M, male; F, female; NR, not reported; GLP, good laboratory practice; QA, quality assurance; PEG, polyethylene glycol; 
    DMSO, dimethyl sulfoxide
    

         Technical-grade chlorpyrifos (100 mg; fine powder) was placed
    into the right eye of nine young adult albino rabbits. The eyes of
    three animals were irrigated with saline solution 30 s after
    treatment, while the eyes of the remaining animals were not irrigated.
    Ocular examinations were conducted after 24, 48, and 72 h and at 4 and
    7 days. Most of the animals displayed slight initial pain after
    instillation of the test material. No signs of irritation were
    observed in the cornea or the iris. Slight conjunctival redness was
    observed in all animals with unwashed eyes, and in two animals whose
    eyes were irrigated after 30 s. The irritation disappeared in most
    animals by days 3-4 but persisted for 7 days in a single animal with
    unirrigated eyes. The mean irritation scores in rabbits with unwashed
    eyes were 2.3 at 24 h and 0.3 at 7 days, while in the rabbits with
    irrigated eyes the scores were 1.3 and 0, respectively (Buch &
    Gardner, 1980a).

          Dermal irritation: A finely ground commercial preparation of
    chlorpyrifos (500 mg) moistened with distilled water was applied under
    an occlusive dressing to about 6 cm2 of clipped skin on the back of
    three young adult female New Zealand white rabbits as a single 4-h
    application. No primary irritation was observed (Jones, 1985b).

         The dermal irritation potential of technical-grade chlorpyrifos
    (purity, 99%) was tested in a study conducted according to GLP in six
    young male New Zealand white rabbits, to which 500 mg of the material
    (moistened with water) were applied under a gauze patch on clipped
    intact skin on the trunk and then covered with an occlusive dressing.
    The dressings were removed after 4 h and the skin wiped to remove
    residual material. The skin was examined for signs of irritation 1,
    24, 48, and 72 h after removal of the patch and scored for irritation
    on the basis of a system recommended by the US Environmental
    Protection Agency. Further assessments were conducted after 4, 5, and
    6 days to determine the reversibility of the effects. Slight erythema
    (score 1) was noted on three of six test sites at 1 h, and this effect
    persisted until 72 h at one site and until day 5 in another animal. No
    skin irritation was seen on day 6 (Jackson & Ogilvie, 1994dc). 

         A technical-grade, fine-powder commercial preparation (purity not
    stated) was impregnated at a dose of 0.5 g onto unmedicated lint
    patches and tested in six young adult male New Zealand white rabbits
    on shaved abraded and intact sites on the back. The patches were held
    in place under impermeable dressings, which were removed after 23 h.
    The reactions at the test sites were assessed by the method of Draize
    at 24 and 72 h and 7 days after administration of the test material.
    Well-defined or very slight erythema was seen in all animals at 24 h,
    on both intact and abraded sites. Very slight oedema was also seen at
    the intact and abraded test sites of one animal at 24 h, another at 72
    h, and a third at 7 days. No skin reactions were seen in other animals
    at these intervals. The primary irritation index was calculated to be
    0.67 (Buch & Gardner, 1980b).

         Technical-grade chlorpyrifos (purity, 96.2%) was applied at a
    dose of 500 g to clipped intact and abraded skin on the trunks of
    three male and three female Himalayan albino rabbits, and the trunks
    were wrapped with plastic sheets held in place with tapes for 24 h. A
    control group was treated with distilled water. After exposure, the
    coverings were removed, but the report did not indicate whether the
    test sites were washed or cleaned. The skin was observed 24 and 72 h
    after application for signs of irritation. No sign of erythema or
    oedema was reported. A 'quality assurance statement' was issued for
    this study (Frederick Institute of Plant Protection and Toxicology,
    1995e).

         Technical-grade chlorpyrifos (purity, 99.3%), moistened with
    0.5 ml distilled water, was applied at a dose of 0.5 g to clipped
    areas on the backs of New Zealand white rabbits in a study carried out
    in accordance with GLP. Surgical gauze was applied over the sites and
    held in place with a strip of surgical adhesive tape, and the trunk of
    each rabbit was wrapped in an elasticized corset. After the 4-h
    contact period, the corset and patches were removed, and the treated
    skin was wiped with cotton-wool soaked in distilled water. One hour
    and approximately 24, 48, and 72 h after removal of the patches, the
    test sites were examined for evidence of dermal irritation and scored
    according to the method of Draize. Very slight (score 1) to
    well-defined (score 2) erythema and very slight (score 1) to slight
    (score 2) oedema were observed in all animals 1-24 h after removal of
    the patches. At 48 h, very slight erythema was observed in three
    animals and very slight oedema in one. No sign of skin irritation was
    seen at 72 h. The sum of the readings at 24 and 72 h was 10, and the
    primary irritation index (the sum of the readings/12) was 0.8. This
    score indicates mild irritation according to Draize (Dreher, 1994d).

          Dermal sensitization: The skin sensitizing potential of
    technical-grade chlorpyrifos (purity, 99.3%) was assessed in female
    albino Dunkin-Hartley guinea-pigs in a study conducted according to
    GLP. Very slight (score 1; 10 animals) to well-defined (score 2; 2
    animals) erythema and very slight (score 1; 1 animal) oedema were
    observed 1 h after topical induction, but no signs of irritation were
    observed at 24 h. No skin reaction was observed in control animals,
    and no skin reactions were observed at the test or vehicle control
    sites after topical challenge 21 days after induction. One animal was
    found dead at this stage of the study, but the cause of death was not
    determined. The test material was not a skin sensitizer in this study
    (Dreher, 1994e).

         Technical-grade chlorpyrifos (purity, 96.2%) was prepared as a 1%
    solution in 0.5% carboxymethyl cellulose and tested at a dose of
    100 mg in male Hartley guinea-pigs. Test and positive control groups
    received induction by exposure of the shaven skin of the left flank,
    and challenge 14 days after the third induction dose. Control animals
    received only a challenge with 0.5 ml of a 0.1% solution. The test
    animals had barely perceptible (score 1; 4/10 animals) erythema or
    slight oedema (score 1; 2/10 animals) 24 h after the challenge, but no
    signs of irritation were observed at 48 h. A single control animal had

    barely perceptible erythema at 24 h, but no other signs of skin
    irritation were seen in this group. Positive control animals had
    barely perceptible to deep-red erythema (score 1-3) and slight to
    marked oedema (score 1-3) 24 h after the challenge and barely
    susceptible erythema and slight to marked oedema at 48 h. This study
    was issued a 'quality assurance statement' (Frederick Institute of
    Plant Protection and Toxicology, 1996b).

         After a study to determine a suitable dosing regimen, six male
    and six female young albino Dunkin-Hartley guinea-pigs were treated
    with a commercial preparation of chlorpyrifos in a standard Beuhler
    skin sensitization assay. The test substance (0.3 ml, 100% w/v in
    polyethylene glycol on a lint pad) was applied for 6 h under an
    occlusive bandage to the freshly clipped left flank of the animals on
    days 1, 8, and 15. Challenge doses of chlorpyrifos and solvent were
    applied for 6 h on day 29 to the right and left flanks, respectively.
    The negative controls were treated only on day 29, when they received
    the same treatment as the test animals. The challenge sites of both
    groups were evaluated 24 and 48 h after removal of the patch. No
    adverse skin reactions were seen after exposure to chlorpyrifos or
    vehicle alone (Jones, 1985c).

         Technical-grade chlorpyrifos (purity, 99%) was tested in young
    female Dunkin-Hartley guinea-pigs by the Magnusson-Kligman
    maximization test in a study conducted according to GLP. The test
    consists of an induction with intradermal injections of the test
    material followed after 1 week by topical application, and a challenge
    3 weeks after induction. The test sites were assessed for irritation
    24, 48, and 72 h after injection and 24 and 48 h after removal of the
    patch (48-h exposure). A concentration of 25% of the test material in
    maize oil was selected for injection in the induction phase and 75% in
    maize oil for the topical induction phase; a concentration of 75% in
    maize oil was also selected for the challenge. During the induction
    phase, slight or discrete erythema was observed in all test and
    control animals 1 and 24 h after injection and 1 h after topical
    application. A number of test and control animals also showed slight
    or discrete erythema 24 h after topical application. During
    application, two test animals became ataxic, thin, and subdued and
    were removed from the study, and one test animal was removed from the
    study before the challenge application because it had lesions at the
    test site. A single test animal showed a positive response to
    challenge, with slight to discrete erythema. None of the animals given
    the vehicle alone reacted to the challenge application (Jackson &
    Ogilvie, 1994a). 

         Technical-grade chlorpyrifos (purity, 96.8%) dissolved in 100%
    dimethylsulfoxide and diluted in the same solvent to achieve the
    desired concentrations was tested in a study that conformed to GLP in
    albino Dunkin-Hartley guinea-pigs. In animals treated with a single
    dose, irritation ranging from scattered mild redness to moderate and
    diffuse redness was seen at 24 h in 5/10 animals; only mild redness
    was seen at 48 h in 4/10 animals. In 20 animals induced and then
    challenged with chlorpyrifos, only one had scattered mild redness

    after the challenge dose at 24 h, and no skin reaction was seen at 48
    h. In a positive control group, 9/10 animals had mild redness at 24 h
    and 4/10 at 48 h (Berman, 1987).

    (b)  Short-term studies of toxicity

          Mice 

         In a 2-week study conducted according to GLP requirements, young
    adult CD-1 mice, were given a commercial preparation of
    technical-grade chrlopyrifos (purity, 96.3%) at dietary concentrations
    of 0 (control), 75, 150, 300, 600, or 1200 ppm, equaivalent to 0,
    14-18, 30-32, 56-67, 89-100, and 130-180 mg/kg bw per day,
    respectively. Deaths and treatment-related clinical signs, including
    tremor, ocular opacity, ocular staining, hunching, and lachrymation,
    were seen mainly in animals at the highest dose. Marked reductions in
    body weight and feed consumption were observed in animals at doses
    > 600 ppm. In males, cholinesterase activity was reduced at all
    doses. At 75 ppm, plasma cholinesterase activity was reduced by
    > 95%, erythrocyte acetylcholinesterase activity by almost 40%, and
    brain acetylcholinesterase activity by about 50%. Inhibition of
    erythrocyte acetylcholinesterase activity was not dependent on dose,
    and approximately 35% inhibition being seen at all doses, but plasma
    and brain cholinesterase activities were reduced in a dose-related
    manner, with an inhibition of 99% in plasma and about 89% in brain at
    the high dose. Similar patterns of cholinesterase inhibition were seen
    in females. On the basis of the results of this study, doses of 5, 50,
    200, 400, and 800 ppm were selected for a 13-week dietary study in
    mice (Crown et al., 1984a). 

         Groups of 40 male and 40 female CD-1 mice were given chlorpyrifos
    (purity, 95.7%) in the diet at 0 or 15 ppm, equal to 2.7 mg/kg bw per
    day for males and 3.4 mg/kg bw per day for females; 20 animals of each
    sex per group were killed after 1 week, and 20 were treated for a
    total of 4 weeks. There were no significant clinical signs or
    unscheduled deaths. Food consumption was unaffected by treatment, but
    the body-weight gain of male mice was decreased by 25% at the end of
    the study. Organ weights were not affected by treatment, and there
    were no significant differences between groups. The findings at
    necropsy were within normal limits for all groups. After 1 week,
    plasma cholinesterase activity was depressed by 88-91% and erythrocyte
    acetylcholinesterase activity was depressed by 40-53%; after 4 weeks,
    plasma cholinesterase activity was depressed by 91% and erythrocyte
    acetylcholinesterase activity by 53%. Brain acetylcholinesterase
    activity was unaffected by treatment at either time. There was no
    difference between the sexes in the alterations in plasma and
    erythrocyte cholinesterase activity (Davies et al., 1985). 

         Groups of 12 Crl CD-1 mice of each sex were given chlorpyrifos
    (purity, 93.5%) in the diet at concentrations of 0, 5, 50, 200, 400,
    or 800 ppm (equivalent to 0, 0.7-1.3, 7.1-14, 32-53, 41-140, and
    110-300 mg/kg bw per day, respectively) for 13 weeks. This study was
    conducted to the requirements of GLP. Dose-related increases in the

    mortality rate and the frequency of ocular opacities were seen at 400
    and 800 ppm. Body weights were reduced by 10-15% in mice at 800 ppm
    throughout the study. Plasma cholinesterase activity was markedly
    decreased at all doses, and decreased erythrocyte acetylcholinesterase
    activity was seen, but with no clear dose-dependency; brain
    acetylcholinesterase activity was inhibited in a dose-dependent manner
    in males at doses > 200 ppm and in females at doses > 50 ppm
    (Table 2). 


    Table 2. Group mean values for inhibition of cholinesterase activity in 
             Crl CD-1 mice given chlorpyrifos in the diet  (expressed as a 
             percentage of control values)

                                                                            

    Cholinesterase    Sex      Dose (ppm)
                                                                            
                               5        50       200      400       800
                                                                            

    Plasma            Male     45***    95***    98***    99***     99***
                      Female   36***    97***    98***    99 ***    99 ***

    Erythrocyte       Male     34a      21       16       12        26
                      Female   11       57***    44**     48**      44**

    Brain             Male     43a      14*      80***    85***     87**
                      Female   3a       28***    58***    84***     88***
                                                                            

    Plasma, butyryl cholinesterase; erythrocyte and brain, 
    acetylcholinesterase
    *  p < 0.05; **  p < 0.01; ***  p < 0.001 
    a Increased in comparison with controls

         A single malignant lymphoma was reported in a female at the high
    dose at terminal sacrifice, but no other neoplastic lesions were
    reported. Given the isolated nature of this finding, it was considered
    not to be related to treatment. The absolute and relative organ
    weights were generally unaffected by treatment, although the relative
    liver weights were increased in females at 200, 400, and 800 ppm. The
    clinical signs included urogenital staining in males at doses 
    > 200 ppm and in females at 800 ppm. Ocular opacities occurred in
    some animals at 400 and 800 ppm. Dose-related histopathological
    findings were seen in the adrenal glands (including lipogenic
    pigmentation at doses > 200 ppm in females and at > 400 ppm in
    males) and in the eyes (acute or subchronic keratitis in two males and
    four females at 800 ppm and in a single female at 400 ppm).
    Erythrocyte acetylcholinesterase activity was variable, and the effect
    of treatment on this parameter was equivocal. The NOAEL was 5 ppm,
    equal to 0.7 mg/kg bw per day, on the basis of inhibition of brain
    acetylcholinesterase activity at higher doses (Crown et al., 1987).

          Rats 

         In a 2-week study to establish the doses to be used in a 13-week
    study, technical-grade chlorpyrifos (purity, 95.5%) was administered
    to groups of five rats of each sex at dietary concentrations of 0
    (controls), 10, 30, 84, 240, or 694 ppm for 14 days, equivalent to 0,
    1.4-1.9, 4.1-5.2, 12-14, 34-39, and 66-95 mg/kg bw per day,
    respectively. At the high dose, clinical signs of intoxication were
    reported, consisting of irritability, hunching, tremor, ataxia,
    urogenital staining, pigmented orbital secretion, failure to groom,
    and proneness. No treatment-related clinical signs were observed at
    other doses, and treatment-related deaths were confined to animals at
    the high dose. Body weights were reduced in males and females at
    694 ppm and in females at 240 ppm, and food consumption was also
    reduced in animals at 694 ppm. Dose-related decreases in blood
    cholinesterase activity were seen at all doses, the inhibition ranging
    from 42% at 10 ppm to 93% at 694 ppm. On the basis of these findings,
    the doses selected for the 13-week study were 0.5, 10, and 100 ppm
    (Crown et al., 1984b).

         Plasma, erythrocyte, and brain cholinesterase activities were
    markedly reduced in rats after dietary administration of chlorpyrifos
    for 14 days at doses of 5 or 10 mg/kg bw per day in a study carried
    out according to GLP. Inhibition of cholinesterase activity occurred
    in the absence of clinical signs of intoxication. Feed consumption,
    body weights, and gross pathological appearance were similar in
    control and treated groups. Statistically significant increases in
    absolute and relative adrenal weights (about 20% compared with
    controls) were observed in females only at 10 mg/kg bw per day
    (Liberacki et al., 1990).

         Fischer 344 rats received technical-grade chlorpyrifos (purity,
    95%) by nose-only inhalation for 6 h/day for 5 days at a target
    concentration of 20 ppb in a study that conformed to GLP. No deaths or
    treatment-related clinical signs were reported. Exposure of female
    rats to a concentration of 0.34 mg/m3 (23 ppb) resulted in a
    significant decrease in plasma cholinesterase activity. No effect on
    erythrocyte or brain acetylcholinesterase activity was seen in females
    or on plasma, erythrocyte, or brain cholinesterase activity in males
    (Newton, 1988a).

         Chlorpyrifos was administered by nose-only inhalation to female
    Fischer 344 rats at a time-weighted average concentration of 12 ppb
    (equivalent to 172 µg/m3) for 6 h/day on 5 days per week for 2 weeks
    in a study that met GLP requirements. No clinical signs of
    intoxication or treatment-related changes in body weights were
    reported, and all rats survived until the scheduled termination.
    Clinical chemistry showed no treatment-related changes in
    haematological, clinical chemical, or urinary parameters, including
    plasma, brain, and erythrocyte cholinesterase activity (Landry et al.,
    1986).

         In a study to determine a dose range, conducted to GLP
    requirements, technical-grade chlorpyrifos was administered by
    whole-body exposure of groups of Wistar rats for 6 h/day, 5 days per
    week for 2 weeks at target concentrations of 0 (air control), 10, 100,
    and 400 mg/m3 (actual concentrations, 0, 10, 94, and 388 mg/m3).
    Exposure of animals to the high dose was terminated after five
    exposures because they became moribund, with rapid weight loss and
    deterioration of their general condition, and all surviving animals
    were killed on day 9. No deaths was observed at other doses. There was
    no NOAEL in this study, as significant inhibition of plasma,
    erythrocyte, and brain cholinesterase activity was seen at all doses
    in males and females. Plasma cholinesterase activity was inhibited by
    78, 86, and 88% at the three doses, respectively, in males and by 91,
    93, and 95%, respectively, in females when compared with controls.
    Erythrocyte cholinesterase activity was inhibited by 78, 58, and 75%
    in males and by 60, 80, and 73% in females, respectively. Brain
    cholinesterase activity was inhibited by 50% at 10 mg/m3, about 70%
    at 94 mg/m3, and about 72% at 388 mg/m3 in males and females.
    Clinical signs of toxicity (tremors, salivation, and lachrymation),
    decreased food consumption, and decreased body weights were observed
    at the two higher doses. Increased adrenal weights were seen at 94 and
    388 mg/m3, and effects in the forestomach including thickening and
    congestion were observed at 388 mg/m3 (Kenny et al., 1988).

         Fischer 344 rats were exposed to time-weighted average
    concentrations (nominal) of 0, 1, or 5 ppb (0, 0.014, and
    0.072 mg/m3) of chlorpyrifos vapour for 6 h/day, 5 days per week for
    2 weeks in a study conducted according to GLP. The mean daily
    time-weighted average concentrations found by analysis were 0.7 and
    5 ppb, respectively. Although two control groups were used, their
    cholinesterase activity did not differ statistically significantly,
    and the activity in test groups was compared with that of the combined
    control group. Statistically significant decreases in plasma,
    erythrocyte, and brain cholinesterase activity were observed at 5 ppb,
    but as the reductions in brain and erythrocyte acetylcholinesterase
    activity did not reach 20% when compared with the control group, the
    effect was considered not to be of toxicological significance. Plasma
    cholinesterase activity was inhibited by  > 20% in females at 5 ppb.
    A statistically significant decrease in plasma cholinesterase activity
    in females at 0.7 ppb was considered to be incidental to treatment.
    There were no treatment-related deaths, clinical signs of toxicity, or
    changes in body weight during the study. No treatment-related effects
    were seen on body or organ weights, and no lesions were found at gross
    examination. No significant adverse treatment-related effects were
    observed at 5 ppb (approximately 0.07 mg/m3) (Landry et al., 1985;
    Streeter et al., 1987).

         Groups of 10 CDF Fischer 344 rats of each sex were fed diets
    containing chlorpyrifos (purity, 95.7%) at concentrations that
    provided doses of 0, 0.1, 1, 5, or 15 mg/kg bw per day for 13 weeks in
    a study that conformed to GLP. The treatment-related effects seen at
    the highest dose consisted of decreased body weight and body-weight
    gain in males, increased fatty vacuolation of the adrenal zone

    fasciculata in males, and changes in haematological and clinical
    chemical parameters consisting of decreased erythrocyte counts in both
    sexes; increased platelet counts, reduced serum total protein,
    albumin, and globulin concentrations, and decreased alanine
    aminotransferase and alkaline phosphatase activity in males; and
    decreased serum glucose concentration and increased urinary specific
    gravity in females. Plasma and erythrocyte cholinesterase activities
    were depressed at doses > 1 mg/kg bw per day, and the activity of
    brain acetylcholinesterase was depressed at 5 and 15 mg/kg bw per day.
    The NOAEL was 0.1 mg/kg bw per day on the basis of depression of
    erythrocyte and brain acetylcholinesterase activity (Szabo et al.,
    1988). 

         Groups of 10 rats of each sex were given diets containing
    chlorpyrifos at 0, 10, 30, 300, or 1000 ppm, but treatment at the
    highest concentration was discontinued after 4 weeks because of severe
    clinical signs. Plasma cholinesterase activity was reduced in a
    dose-related manner and was significantly lower than that of controls
    at all doses. Erythrocyte cholinesterase activity was similarly
    significantly reduced at all doses, but no dose-dependency was
    demonstrated. Brain cholinesterase activity showed a clear
    dose-related depression in animals of each sex at doses > 30 ppm.
    At 30 ppm, the activity was inhibited by 22% in males and 24% in
    females 41 days after administration. No other significant effects
    were found on haematological or clinical chemical parameters, but few
    were examined. No histopathological lesions were found that could be
    linked to treatment. The NOAEL for inhibition of brain cholinesterase
    activity was 0.5 mg/kg bw per day, and the LOAEL was 1.5 mg/kg bw per
    day. There was no NOAEL for inhibition of erythrocyte or plasma
    cholinesterase activity, as effects were seen at concentrations
    > 10 ppm (0.5 mg/kg bw per day) (JMPR 1972; modified by reference
    to the original reports of Beatty & McCollister, 1964; Beatty &
    McCollister, 1971).

         Five groups of 10 rats (strain not specified) of each sex
    received chlorpyrifos (purity not specified) in the diet at
    concentrations that provided doses of 0.03-10 mg/kg bw per day. The
    doses of 0 and 0.3 mg/kg bw per day were fed for 90 days; the doses of
    1, 3, and 10 mg/kg bw per day were fed for 28 days, when these animals
    were fed control diets for 3 weeks and then diets containing 0, 0.03,
    or 0.1 mg/kg bw per day. Behaviour and growth were affected at 3 and
    10 mg/kg bw per day. Cholinesterase activity was depressed at 0.3
    mg/kg bw per day. During the period of removal from treated diet, the
    cholinesterase activity returned to pre-test levels; on resumption of
    feeding at 0.1 mg/kg bw per day, only a slight depression was observed
    in plasma and erythrocyte cholinesterase activity. In view of of the
    unusual design of this study, the toxicological relevance of this
    effect is considerede equivocal. No depression of brain or blood
    enzymes was seen at 0.03 mg/kg bw per day (Blackmore, 1968). 

         Groups of 10 Crl rats of each sex were fed diets containing
    chlorpyrifos (purity, 97.5%) at concentrations that provided a dose of
    0.3 mg/kg bw per day for 13 weeks or 1, 3, or 10 mg/kg bw per day for
    4 weeks. No deaths occurred during the study. After 4 weeks, there was
    a clear dose-response relationship for inhibition of erythrocyte and
    plasma cholinesterase activity at all doses, and animals at higher
    doses showed clinical signs of toxicity. These animals were therefore
    removed from exposure and allowed to recover for 3 weeks, during which
    time the plasma and erythrocyte cholinesterase activities returned to
    control values. These groups were then fed chlorpyrifos at doses of 0,
    0.03, or 0.1 mg/kg bw per day for 13 weeks. The dose of  0.03 mg/kg bw
    per day had no unequivocal effect on cholinesterase activity in
    erythrocytes, plasma, or brain in either sex, but the dose of
    0.1 mg/kg bw per day significantly reduced the erythrocyte
    cholinesterase activity. The NOAEL was 0.03 mg/kg bw per day on the
    basis of inhibition of erythrocyte cholinesterase activity after 13
    weeks at 0.1 mg/kg bw per day (Hazleton Laboratories, 1968).

         Groups of 20 Sprague-Dawley rats of each sex were given
    chlorpyrifos (purity not stated) in the diet at 0, 0.03, 0.15, or
    0.75 mg/kg bw per day for 6 months; an interim sacrifice of five
    animals of each sex per dose was conducted after 3 months. A total of
    16 animals across dose groups died from chronic murine pneumonia.
    Cholinesterase activity was inhibited at the high dose in both
    erythrocytes (50%) and plasma (65%), but the activity in brain was not
    inhibited at any dose. Treatment did not change body-weight gain, food
    consumption, or haematological or other clinical chemical parameters.
    The NOAEL was 0.15 mg/kg bw per day, on the basis of inhibition of
    erythrocyte acetylcholinesterase activity at 0.75 mg/kg bw per day
    (JMPR, 1972; modified by reference to the original report of Coulston
    et al., 1971).

         Groups of 20 Crl CD Sprague-Dawley-derived rats of each sex were
    given chlorpyrifos (purity, 95.5%) at dietary concentrations of 0
    (control), 0.5, 10, or 200 ppm for 13 weeks in a study conducted
    according to GLP. The minimum and maximum achieved doses of the test
    material were calculated to be 0, 0.03 and 0.078, 0.6 and 1.5, and 13
    and 31 mg/kg bw per day, respectively. All animals were inspected once
    or twice daily for signs of ill-health and other treatment-related
    signs and all were examined closely each week. No deaths or
    significant clinical signs were observed at any dose. Clinical
    chemistry, urinary analysis, and ophthalmoscopy revealed no findings
    that were considered to be related to treatment. At 200 ppm
    (approximately 13 mg/kg bw per day), reduced body weights, erythrocyte
    count, erythrocyte volume fraction, and haemoglobin and increased food
    consumption were observed. Statistically significant reductions
    (> 20% inhibition compared with controls) in plasma cholinesterase
    activity were observed in males at doses > 0.5 ppm (approximately
    0.03 mg/kg bw per day) at 12 weeks and in females at doses > 10 ppm
    (approximately 0.6 mg/kg bw per day). The inhibition was dose-related
    in males but not in females. Erythrocyte and brain cholinesterase
    activities were not measured in this study. The NOAEL was 10 ppm,
    equal to 0.6 mg/kg bw per day, on the basis of reduced body weights

    and statistically significant reductions in packed cell volume,
    haemoglobin, and erythrocyte volume fraction at 200 ppm (Crown et al.,
    1985).

         Groups of 10 Fischer 344 rats of each sex were exposed to
    chlorpyrifos (purity, 100%) by nose only at concentrations of 0, 5.2,
    10.3, or 20.6 ppb (0, 75, 150, or 300 µg/m3) for 6 h/day, 5 days per
    week for 13 weeks in a study that conformed to GLP. No
    treatment-related deaths and only minimal clinical signs were observed
    during the study. Body weights and urinary, haematological, and
    clinical chemical parameters were unaffected by treatment. No effects
    on plasma, erythrocyte, or brain cholinesterase activity were seen at
    any dose. Gross and histopathological examination revealed no effects
    associated with administration of chlorpyrifos (Corley et al., 1986).

         Groups of 15 Fischer 344 rats of each sex were exposed to
    chlorpyrifos (purity, 95%) by nose only for 6 h/day, 5 days per week,
    for 13 weeks at target concentrations of 0 (control), 5, 10, and
    20 ppb (0, 0.07, 0.14, and 0.28 mg/m3, respectively). The study was
    conducted according to GLP requirements. There were no
    treatment-related deaths or ophthalmic, haematological, or clinical
    chemical changes. Plasma cholinesterase activity was inhibited by 23%
    in males at the high dose ( p < 0.01), but other changes in plasma
    cholinesterase activity were considered not to be related to
    treatment. Erythrocyte and brain cholinesterase activities were
    unaffected. Pathological and histopathological examination showed no
    effect of treatment. The NOAEL was 20 ppb (0.28 mg/m3), on the basis
    of inhibition of plasma cholinesterase activity. The absence of frank
    toxicity at any dose in this study makes it difficult to draw
    conclusions about the toxic potential of inhaled chlorpyrifos at doses
    > 0.28 mg/m3 (Newton, 1988b).

         In a study in Fischer 344 rats treated dermally, conducted
    according to GLP requirements, the animals received chlorpyrifos
    (purity, 100%) at 0, 0.1, 0.5, or 5 mg/kg bw per day in corn oil for a
    total of 15 days over a 21-day period. No treatment-related effects
    were observed at any dose, and plasma, erythrocyte, and brain
    cholinesterase activities were not inhibited. Gross and microscopic
    examination did not reveal any treatment-related changes, and body
    weights and organ weights were unaffected by treatment. In the 4-day
    range-finding component of this study, decreased plasma cholinesterase
    activity (45%) and erythrocyte cholinesterase activity (16%) were
    observed at 10 mg/kg bw per day, in the absence of clinical signs of
    intoxication (Calhoun & Johnson, 1988, 1989).

          Rabbits 

         No skin irritation was found when a formulation containing 61.5%
    chlorpyrifos and 35% xylene was applied to the skin of the back and
    abdomen of groups of two rabbits at doses of 5, 10, 25, and 50 mg/kg
    bw 20, 4, 3, and 1 times, respectively. Both plasma and erythrocyte
    cholinesterase activities were significantly inhibited in each dose
    regimen. The values for plasma recovered more quickly than those for

    erythrocytes, which were still significantly inhibited at day 40 after
    the 3-, 4-, and 20-day exposure patterns (Pennington & Edwards, 1971).

         Three rabbits were exposed for 5 min to a formulation containing
    61.5% chlorpyrifos and 34.5% xylene from an ultra-light vapour cold
    aerosol fog generator delivering 3.8 L/h. Two rabbits were exposed at
    a distance of 8 m at a height of 1.3 m and one at a height of 0.8 m.
    Exposure was terminated after 5 min because of ocular and pulmonary
    irritation. The recorded concentration of chlorpyrifos in
    breathing-space air was about 108 mg/L (range,  83-133 mg/L). By 24 h
    after treatment, the rabbits had decreased activities of plasma
    cholinesterase (< 33%) and erythrocyte cholinesterase (< 12%),
    but these values had recovered almost to the control level by 72 h
    after treatment (Pennington & Edwards, 1971).

          Chickens 

         White Leghorn chickens were given chlorpyrifos in their
    drinking-water at 1 ppb, 1 ppm, or 100 ppm for up to 84 days. Only
    plasma cholinesterase activity was reported because of technical
    difficulties with blood sampling. Significant inhibition (54%) of
    plasma cholinesterase activity was recorded on day 84 in birds at 100
    ppm (Stevenson, 1965).

          Dogs 

         Technical-grade chlorpyrifos (purity, 95.8%) was administered to
    groups of two pure-bred beagles of each sex orally in gelatine capsule
    at doses of 0 (control; lactose only), 0.01, 0.03, 0.5, or 5 mg/kg bw
    per day for 4 weeks, although only one animal of each sex was exposed
    at 0 and 0.5 mg/kg bw per day. This study met GLP requirements. No
    deaths occurred during the study, and no clinical signs associated
    with treatment were observed. All animals gained weight steadily
    during treatment, and food consumption was similar in all groups.
    Rapid inhibition of plasma cholinesterase activity was observed at 0.5
    and 5 mg/kg bw per day at all intervals, and the inhibition was both
    dose- and time-dependent. Plasma cholinesterase activity was reduced
    at 0.03 mg/kg bw per day, but the inhibition was considered not to be
    significant owing to variation between groups and the small group
    sizes. In animals at 5 mg/kg bw per day, erythrocyte cholinesterase
    activity was 47% that of controls on day 7 and was still inhibited by
    > 70% at the end of the study; brain cholinesterase activity was
    inhibited by 32% in comparison with concurrent controls at the end of
    the study. In animals at 0.5 mg/kg bw per day, erythrocyte
    cholinesterase activity was inhibited by 30% on days 27-28 only, and
    the effect was considered not to be toxicologically significant owing
    to its transient nature. Macroscopic post-mortem examination showed no
    changes that were considered to be of toxicological significance. The
    NOAEL was 0.5 mg/kg bw per day, on the basis of inhibition of
    erythrocyte and brain cholinesterase activity at 5 mg/kg bw per day
    (Harling et al., 1989a).

         Five dogs received 10 applications of a 0.087% commercial aerosol
    formulation of chlorpyrifos in dichlorophene on their backs (with the
    fur brushed against the grain) for 2 weeks, each application lasting
    30 s. No deaths occurred, and no abnormalities were seen in clinical
    signs, body-weight gain, or opthalmoscopic, haematological or clinical
    chemical parameters. Erythrocyte cholinesterase activity was not
    decreased, but plasma cholinesterase activity was inhibited from the
    beginning of treatment, returning to normal 72 days after treatment.
    The inhibition of plasma cholinesterase activity was not accompanied
    by clinical signs (Sharp & Warner, 1968).

         Groups of two young adult beagles of each sex were given daily
    doses of chlorpyrifos orally by capsule at doses of 0, 0.03, 0.1, 0.3,
    or 1 mg/kg bw per day for 90 days. Plasma cholinesterase activity was
    inhibited at all doses. The NOAEL for inhibition of erythrocyte
    cholinesterase activity was 0.03 mg/kg bw per day, and that for
    inhibition of brain cholinesterase activity was 1 mg/kg bw per day
    (Blackmore, 1968).

         Technical-grade chlorpyrifos (purity, 95.8%) was administered
    orally by capsule to groups of four pure-bred beagles of each sex at
    doses of 0 (control), 0.01, 0.22, or 5 mg/kg bw per day for 13 weeks.
    There were no unscheduled deaths or unequivocal clinical signs during
    the study. The group mean body weights of animals at the high dose
    were reduced. Haematology, clinical chemistry, urinary analysis, and
    ophthalmoscopy revealed no findings that were considered to be related
    to treatment. No treatment-related pathological macroscopic or
    microscopic change was found. Statistically significant, dose-related
    reductions in plasma cholinesterase activity were seen at 0.01 mg/kg
    bw per day (bitches only; week 6 only; < 25%) and above (dogs and
    bitches; all sample intervals; < 87%). Erythrocyte cholinesterase
    activity was significantly inhibited in a dose-dependent manner at
    0.22 mg/kg bw per day (< 46%) and at 5 mg/kg bw per day (< 85%).
    At 0.01 mg/kg bw per day, erythrocyte cholinesterase was inhibited by
    17-18% at week 12, but the reduction was not statistically significant
    at any sample interval. Brain cholinesterase activity was inhibited in
    animals of each sex (by 46%) at 5 mg/kg bw per day, and the NOAEL for
    this effect was 0.22 mg/kg bw per day. The NOAEL for the study, on the
    basis of inhibition of erythrocyte acetylcholinesterase activity, was
    0.01 mg/kg bw per day (Harling et al., 1989b).

         Beagles aged 10 and 11 months were given diets containing
    chlorpyrifos (purity, 97.2%) at concentrations that provided doses of
    0, 0.01, 0.03, 0.1, 1, or 3 mg/kg bw per day for 1 year (one animal of
    each sex per dose), 1 year with a 3-month recovery period (two animals
    of each sex per dose), or 2 years (four animals of each sex per dose).
    Clinical signs were recorded daily, and body weights were recorded
    weekly for the first 6 months and every 2 weeks thereafter. Food
    intake was recorded weekly during the first 3 months and monthly
    thereafter. The clinical investigations in the groups receiving 0, 1,
    or 3 mg/kg bw per day included haematology (packed cell volume,
    haemoglobin, erythrocyte and leukocyte counts, and prothrombin time)
    and urinary analyses (specific gravity, occult blood, ketones, solids,

    pH, albumin, and sugar). The serum concentration of blood urea
    nitrogen and the activities of alkaline phosphatase and alanine and
    aspartate aminotransferases were measured in all dogs before treatment
    and at various intervals thereafter. Bromsulphalein retention was
    measured before treatment and at the 1-year sacrifice of animals at 0,
    1, or 3 mg/kg bw per day. Cholinesterase activity was determined in
    plasma and erythrocytes in most groups before treatment and at various
    intervals during the study, and the activity in brain was measured at
    necropsy. Fasted dogs were necropsied and the brain, heart, liver,
    kidney, spleen, and testes were weighed. Portions of these organs and
    a standard set of tissues were preserved from the controls and animals
    at 1 (after 1 year only) and 3 mg/kg bw per day for histopathological
    examination. The animals fed chlorpyrifos for 2 years were given
    complete physical examinations before the end of the study, including
    routine neurological and opthalmoscopic evaluations. The data were
    evaluated only with Student's  t test.

         The body weights were not significantly affected by treatment,
    and food consumption was comparable in groups of the same sex.
    Consumption of the test compound was monitored regularly and reported
    to approximate the nominal concentrations closely. The organ weights
    were not affected by treatment, except for an increase in the mean
    relative liver weight in males at 3 mg/kg bw per day (3.5 g/100 g vs
    2.5 g/100 g in controls) in the 2-year study. Details of the recorded
    clinical signs were not presented, and the authors simply stated that
    "No clinical signs of toxicity were observed in any of the dogs in
    either phase of the experiment." The results of clinical pathology
    were presented as individual and summary data. There were no
    unequivocal treatment-related differences between control and treated
    groups in the limited haematological parameters measured nor in
    urinary analyses. No effect of treatment was found on blood urea
    nitrogen, alkaline phosphatase or alanine and aspartate
    aminotransferase activities or Bromsulphalein retention. The results
    of gross pathological examination were reported in the form of a
    general summary. None of the findings indicated an effect of
    treatment. The results of the limited histopathological examinations
    (control and high dose only) were reported in a summary table with no
    indication of the severity of lesions or abnormalities; individual
    data were not presented. The available data did not indicate any
    treatment-related effects.

         Cholinesterase activity was presented for individual animals and
    for groups (Table 3). Inhibition was evident within nine days (the
    first assay time) of the start of the study, and the values recorded
    at termination were similar to those recorded at interim assays.
    Plasma cholinesterase activity was decreased in a dose-related manner
    at both times, and erythrocyte cholinesterase activity was similarly
    depressed, females being slightly more severely affected than males.
    Brain cholinesterase activity was the least affected by treatment. The
    cholinesterase activity of animals that were allowed to recover,
    assayed after 2, 6, and 13 weeks on normal diet, showed a return to
    control levels after 2 weeks for plasma activity and after 13 weeks
    for erythrocyte activity. 

        Table 3. Percentage inhibition of cholinesterase activity in beagles treated with 
             chlorpyrifos in the diet in comparison with concurrent controls

                                                                                      
    Dose                  Inhibition of cholinesterase activity (%)
    (mg/kg bw per day)                                                                

                          Plasma              Erythrocytes       Brain
                                                              
                          Male    Female      Male    Female
                                                                                      

    One year                                                     (males and females)
    3                     72      70          79      82           8
    1                     62      62          63      61           3
    0.1                   39      36          18      30           0
    0.03                  18      17           2      33           0
    0.01                   1       1          16      13           0

    Two years                                                     (males)
    3                     77      67          83      70          20
    1                     69      50          68      66           7
    0.1                   52      38          27      41           8
    0.03                  23      22           0       6           7
    0.01                   2       0          14       6           1
                                                                                      

    Average values at terminal sacrifice
    

         Inadequacies in data collection and recording were noted.
    Although the long-term effects of dietary intake of chlorpyrifos could
    not be evaluated in the absence of complete pathological and
    histopathological examination, the data were adequate for analysis of
    inhibition of cholinesterase. Plasma cholinesterase activity was
    inhibited in animals of each sex at 0.03 mg/kg bw per day. Erythrocyte
    cholinesterase activity was inhibited by > 20% at 0.1 mg/kg bw per
    day at both the 1- and 2-year intervals, but the inhibition did not
    consistently reach statistical significance when compared with the
    values in concurrent controls or with pre-treatment values. This was
    due in part to the small group sizes and the variation in this
    parameter between groups, including the control group, the activity
    differing by as much as twofold between individual animals. Under
    these conditions, the erythrocyte cholinesterase activity would have
    had to be inhibited by as much as 50% in comparison with controls
    before statistical significance was achieved. The NOAEL was 0.1 mg/kg
    bw per day on the basis of inhibition of erythrocyte cholinesterase
    activity at higher doses. Inhibition of brain cholinesterase activity
    was seen only at 3 mg/kg bw per day after 2 years (JMPR, 1972;
    modified by reference to the original report of McCollister et al.,
    1971a).

         A supplementary report provided some of the data that were
    lacking or inadequate in the original report, but the observations
    made in individual animal during life were limited and did not
    consistently include basic observations. Individual body weights,
    ophthalmological data, the results of pre-treatment and terminal
    physical examinations, and an inventory of histopathological findings
    were included. The conclusions of the original study were unchanged,
    with the additional observation that no effect of treatment was
    detected by ophthalmology (Kociba et al., 1985).

          Rhesus monkeys 

         Groups of one or two rhesus monkeys of each sex were given
    technical-grade chlorpyrifos in 1% aqueous gum tragacanth by stomach
    tube at doses of 0, 0.08, 0.4, or 2 mg/kg bw per day for 6 months.
    There were no treatment-related changes in body-weight gain, food
    consumption, clinical findings, or haematological, clinical chemical,
    or histopathological parameters. Plasma cholinesterase activity was
    depressed at all doses at 16 weeks and at > 0.4 mg/kg bw per day at
    24 weeks, and erythrocyte cholinesterase activity was depressed at 0.4
    and 2 mg/kg bw per day (Table 4). The NOAEL for erythrocyte
    cholinesterase inhibition was 0.08 mg/kg bw per day and that for brain
    cholinesterase inhibition was 2 mg/kg bw per day. The usefulness of
    this study was limited by the small number of animals tested (JMPR
    1972; modified by reference to the original paper of Coulston et al.,
    1971).


    Table 4. Mean cholinesterase activity (and percent inhibition in 
             comparison with controls) in rhesus monkeys given chlorpyrifos 
             by stomach tube

                                                                          
    Cholinesterase   Time     Dose (mg/kg bw per day)
    activity         (weeks)                                              
                              0      0.08         0.4         2
                                                                          

    Plasma           16       6.0    4.4 (26%)    1.6 (72%)   1.8 (70%)
                     24       4.4    3.8 (14%)    1.7 (61%)   2.0 (55%)

    Erythrocytes     16       9.5    8.2 (13%)    6.5 (32%)   2.6 (72%)
                     24       8.6    7.6 (13%)    6.3 (27%)   5.4 (38%)
                                                                          


    (c)  Long-term studies of toxicity and carcinogenicity

          Mice 

         In a study of carcinogenicity conducted in accordance with test
    guidelines 83-2 of the US Environmental Protection Agency and OECD 451
    and in compliance with GLP standards, technical-grade chlorpyrifos

    (stated purity, 95.9%) was mixed in maize oil and incorporated into a
    commercially available powdered animal diet to produce dietary
    concentrations of 0 (control), 5, 50, and 250 ppm, calculated to be
    equal to 0.7-1.1, 6.1-12, and 32-55 mg/kg bw per day in males and
    0.7-1.2, 6.6-12, and 34-62 mg/kg bw per day in females. The test diets
    were administered to groups of 64 CD-1 of each sex, 3 weeks old, for
    at least 79 weeks, terminal sacrifice being undertaken during weeks
    80-82. The animals continued to receive the treated diets until
    scheduled necropsy. An additional 12 males per group were treated
    identically to the mice in the main groups and were used to replace
    animals for reasons unrelated to treatment (such as excessive
    aggression). All of the unused spares were discarded after 10 weeks of
    treatment. Each animal was weighed weekly for the first 13 weeks of
    the study and every 2 weeks thereafter, while food consumption was
    measured weekly for 13 weeks and monthly thereafter. The animals were
    examined daily for clinical signs of intoxication, and a careful
    examination, including palpation, was conducted weekly. Blood smears
    were prepared from all mice after 12 and 18 months for differential
    leukocyte counts, but only those from controls and animals at the high
    dose were examined. Plasma, erythrocyte, and brain cholinesterase
    activity was determined in five animals of each sex at each dose at 9
    and 18 months. All animals were examined grossly, the examination
    including all external surfaces, the cranial, thoracic, abdominal, and
    pelvic cavities, and the carcass. A large number of organs and tissues
    from all animals were fixed for histopathological examination; the
    eyes, kidneys, livers, lungs, and thyroids/parathyroids from animals
    at all doses were examined, as were other tissues from control and
    animals at the high dose and those from animals that died during the
    study. 

         There was no adverse effect on survival, and no treatment-related
    increase in the incidence of neoplastic lesions. Treatment-related
    clinical signs (ocular opacities, excess lachrymation, and cranial
    hair loss) and reductions in body weights and food consumption were
    observed at 250 ppm (approximately 32 mg/kg bw per day). The effects
    on cholinestrase activity are summarized in Table 5. Plasma
    cholinesterase activity was inhibited at all doses. Determinations of
    erythrocyte cholinesterase activity revealed > 20% inhibition at 42
    weeks and about 30% inhibition at week 78 in animals at 250 ppm but
    considerable intra-group variation at other doses. In addition, the
    erythrocytes were washed with saline before the cholinesterase
    determinations at 78 weeks but not at 42 weeks. The NOAEL for
    inhibition of erythrocyte cholinesterase activity was 5 ppm, with a
    statistically significant inhibition of 29% in males at 78 weeks and
    41% in females at 42 weeks in animals at 50 ppm. Significant
    inhibition of brain cholinesterase activity ( p < 0.001 or
     p < 0.01) was observed in males and females at 250 ppm at 42 and 78
    weeks, the activity being reduced by 80-86% when compared with
    controls. At 50 ppm, decreases in activity of 43-47% were seen in
    males at 42 and 78 weeks and in females at 42 weeks, but this finding
    reached statistical significance ( p < 0.05) in females only at 42
    weeks and in males only at 78 weeks. At 5 ppm, brain cholinesterase
    activity was reduced in males at 78 weeks (27% reduction), but this

        Table 5. Percent inhibition of cholinesterase activity in groups of five mice 
             fed diets containing chlorpyrifos

                                                                                    
    Cholinesterase    Interval   Dose (ppm)
                      (weeks)                                                       
                                 5               50                250
                                                                                    
                                 Male   Female   Male    Female    Male    Female
                                                                                    

    Plasma            42         4***   45***    95***   97***     98***   99***
                      78         49*    50***    95***   96***     98***   98***

    Erythrocyte       42         1      15       11      41**      22      23
                      78         -      +10a     29*     4         31*     29**

    Brain             42         8      1        43      46*       80**    85***
                      78         27     +13a     47      9         86**    84***
                                                                                    

    *  p < 0.05; **  p < 0.01; ***  p < 0.001 
    a Increased activity in comparison with controls
    

    finding was not statistically significant and was considered to be
    incidental to treatment. The NOAEL for inhibition of brain
    cholinesterase activity was 5 ppm.

         Non-neoplastic effects were observed at the high dose, in the
    livers (slight subchronic pericholangitis, histiocytic proliferation,
    and centrilobular hepatocytic fatty vacuolation) of males and in the
    eyes of males and females. No treatment-related lesions were seen at
    lower doses. In males at the high dose, an increased incidence of lung
    nodules was seen macroscopically, with rates of 5/31 in controls, 4/26
    at 5 ppm, 2/37 at 50 ppm, and 14/49 at 250 ppm. The nodules were
    diagnosed histologically as bronchio-alveolar adenomas or carcinomas,
    but the incidences were stated to be within the range in historical
    controls. Nevertheless, two sets of data were reported for the
    incidence of neoplasms in historical controls: values obtained from
    24-month studies and a published report on spontaneous neoplasms in
    CD-1 mice in a number of testing laboratories. Those used in the
    report were less than ideal. The use of background incidence from
    24-month studies would be expected to increase the range of
    spontaneous tumours over that in the 78-week protocol used in this
    study. In addition, the tumour incidence was reported in a published
    paper (Maita et al., 1988) as a percentage of the animals examined,
    while the historical data from the 24-month study and the tumour
    incidence in this study were given as percentages of the number of
    organs examined. Histopathological examination did not reveal any
    statistically significant increase in the incidence of neoplasms in

    treated animals when compared with controls. The NOAEL was 5 ppm
    (0.7 mg/kg bw per day) on the basis of inhibition of erythrocyte and
    brain acetylcholinesterase activity (Gur et al., 1991).

         Groups of 56 CD-1 mice of each sex were maintained on diets
    containing 0, 0.5, 5, or 15 ppm of chlorpyrifos (purity, 99.6%) for
    105 weeks. They were observed daily for clinical signs, body weights
    were recorded monthly, and daily food consumption was calculated from
    a 3- or 4-day measurement made once a month. Gross pathological
    examination was performed on all animals that died, when the weights
    of the brain, testes, heart, kidneys, and liver were recorded and a
    range of other tissues were collected. Sections were prepared of all
    the these tissues for histopathology. Haematology was limited to
    examination of smears of blood collected from the tail vein at
    terminal sacrifice. 

         The body weights and absolute and relative organ weights were not
    significantly affected by treatment over the course of the study, and
    the mean body weight of all treated female mice was greater (< 13%)
    than that of controls from day 84 onwards, although food consumption
    was comparable in all groups. The mortality rate was also generally
    unaffected by treatment, and treated males had slightly higher
    survival rates than controls: 39% in controls, 46% at 0.5 ppm, 50% at
    5 ppm, and 48% at 15 ppm; the survival rates of females were lower
    than those of controls only at the highest dose: 46% in controls, 59%
    at 0.5 ppm, 46% at 5 ppm, and 38% at 15 ppm. There were no clinical
    signs or pathological findings that indicated an effect related to
    treatment. A significant increase was observed in the incidence of
    spindle-cell hyperplasia of the adrenal gland in animals of each sex
    given 0.5 ppm chlorpyrifos and in males given 5 ppm. This finding was
    not considered to be related to treatment as there was a high
    background incidence in ageing mice and no dose-response relationship.
    Vacuolation was found in sciatic nerve preparations from 2/56 male and
    3/54 female controls, 5/54 males and 8/55 females at 0.5 ppm, 2/56
    males and 2/52 females at 5 ppm, and 6/52 males and 8/53 females at 15
    ppm. The incidences of alveologenic adenomas and hyperplastic nodules
    in the liver were significantly increased only in males at 5 ppm.
    These findings were considered to be incidental. 

         This study was barely adequate for assessing the carcinogenicity
    and long-term toxicity of chlorpyrifos, as it had serious shortcomings
    in design, method, and data collection. No clinical pathology was
    performed, and in particular cholinesterase activity was not measured;
    no clinical signs were reported; individual data were not presented
    for several parameters, including histopathology; and intestinal
    parasites (nematodes) were present in all groups (JMPR, 1982; modified
    by reference to the original report of Warner et al., 1980).

          Rats 

         In a 2-year study, groups of 25 male and 25 female Sherman rats
    received chlorpyrifos (purity, 97.2%) in the diet at doses of 0, 0.01,
    0.03, 0.1, 1, or 3 mg/kg bw per day (dietary concentrations not
    provided). Supplementary animals were included at each dose to allow
    interim sacrifices. The design of the study is shown in Table 6.
    Clinical signs were recorded 'frequently', body weights were recorded
    twice weekly for the first 4 weeks, weekly for 2-6 months, and every 2
    weeks for the remainder of the study. The food intake of the main
    group was recorded continuously during the first 3 months and once a
    month thereafter. The clinical investigations included haematology
    (packed cell volume, haemoglobin, and erythrocyte and leukocyte
    counts) and urinary analysis (solids, pH, albumin, sugar, occult
    blood, ketones) for five rats of each sex at 0, 1, and 3 mg/kg bw per
    day; the serum concentration of urea nitrogen and the activities of
    alkaline phosphatase and alanine aminotransferase were measured in all
    rats at sacrifice at 12 and 18 months, in all male survivors and in
    four to five females at 24 months. Cholinesterase activity was
    determined in plasma, erythrocytes, and brain samples, as shown in
    Table 6. Rats in groups A, H, I, and K were necropsied in a standard
    manner, and the weights of the brain, heart, liver, kidney, spleen,
    and testes were recorded. Portions of these organs and a standard set
    of tissues were preserved for histopathology, but only the slides for
    the controls, animals at the high dose, and animals at 1 mg/kg bw per
    day at the 12-month necropsy were examined. Some tissues from animals
    that died during the study and from those animals killed when moribund
    were also examined histologically. Statistical evaluation of the data
    was limited to Student's  t test.

         Body weights (data presented only as graphs) were generally not
    significantly affected by treatment. No details of the recorded
    clinical signs were presented; rather, the authors stated that "No
    changes in appearance or demeanour or signs of toxicity were observed
    grossly in any of the rats. No evidence of a cholinergic response was
    noted at any time." The results of clinical pathology were presented
    as individual and summary data, and no unequivocal treatment-related
    differences between control and treated groups were found for the
    limited haematological parameters measured or for the results of
    urinary analyses. Treatment had no effect on serum concentrations of
    urea nitrogen or on alkaline phosphatase and alanine aminotransferase
    activity. 

         Plasma cholinesterase activity was significantly decreased at 3
    mg/kg bw per day at all assay times, the inhibition ranging from 20 to
    40% in males and 55 to 74% in females; the activity was less severely
    inhibited at 1 mg/kg bw per day, but from 6 months onwards the
    inhibition was 18-38% in males and 50-69% in females when compared
    with controls, and these differences were statistically significant at
    most assay times. Erythrocyte cholinesterase activity was severely
    inhibited in animals of each sex at the higher doses at all assay
    times, with rates of 60-100% at 3 mg/kg bw per day, 13-90% at 1 mg/kg
    bw per day, and little effect at the other doses. Animals that had

        Table 6. Design of the long-term study of toxicity and carcinogenicity in groups of 
             56 mice fed diets containing chlorpyrifos

                                                                                           
    Group     No. of rats of       Sacrifice interval     End-point examined
              each sex per dose
                                                                                           

    A         25                   2 years                Necropsy, blood and brain 
                                                             cholinesterase
    B         5                    1 week                 Blood cholinesterase
    C         5                    1 month                Blood cholinesterase
    D         5                    3 months               Blood cholinesterase
    E         5                    6 months               Blood and brain cholinesterase
    F         5                    9 months               Blood cholinesterase
    G         6                    12 months              Blood and brain cholinesterase
    H         5                    12 months              Necropsy
    I         7                    12 months,             Necropsy, blood and brain 
                                   7-8-week recovery         cholinesterase
    J         7                    18 months              Blood and brain cholinesterase
    K         7                    18 months              Necropsy
                                                                                           
    

    been allowed to recover showed full restoration of cholinesterase
    activity. Brain cholinesterase activity was significantly inhibited by
    treatment at 3 mg/kg bw per day (30-53% inhibition) at all assay
    times, to a lesser degree at 1 mg/kg bw per day (3-16%), and was
    comparable to that of controls at other doses. Animals that were
    allowed to recover showed restoration of brain cholinesterase
    activity.

         This study was considered to be inadequate for assessing the
    carcinogenicity and long-term effects of chlorpyrifos, other than
    clinical chemical findings including cholinesterase inhibition, as
    there were serious shortcomings in data collection, and the reports of
    gross and histopathology were inadequate and no clinical findings were
    reported. The NOAEL for inhibition of plasma and erythrocyte
    cholinesterase activity was 0.1 mg/kg bw per day on the basis of
    significant inhibition at 1 mg/kg bw per day. The NOAEL for inhibition
    of brain acetylcholinesterase activity was 1 mg/kg bw per day on the
    basis of significant inhibition at 3 mg/kg bw per day (JMPR, 1972;
    modified by reference to the original report of McCollister et al.,
    1971b).

         A supplementary report provided some of the data that were
    lacking or inadequate in the original report, but the observations
    made in individual animal during life were limited and did not include
    basic observations such as abnormal behaviour or gait. Individual body
    weights and gross and histopathological findings were included in the
    supplement, but the histopathology was limited and variable, only a

    small number of tissues from each rat being examined consistently. The
    results were not presented as summary tables of incidence and
    severity. The conclusions of the original study remain unchanged by
    this supplement (McCollister et al., 1985).

         In a 2-year study conducted according to accepted test guidelines
    (OECD 451, USEPA 83-5) and GLP, groups of 60 Fischer 344 rats of each
    sex were fed diets containing technical-grade chlorpyrifos (purity,
    96.1%) at concentrations of 0, 0 (vehicle control), 0.2, 5, or
    100 ppm. The vehicle used was 0.04% w/w maize oil. The diets were
    prepared weekly and assayed regularly for stability and accuracy of
    dosing. Body weights were generally recorded weekly; food consumption
    was recorded weekly for 13 weeks and monthly thereafter. Clinical
    signs were recorded daily and palpation performed weekly.
    Cholinesterase activity was measured before treatment and at weeks 14,
    32, 45, 50 (interim sacrifice of five animals of each sex per group
    for measurement of brain acetylcholinesterase activity), 78, and 104
    weeks (terminal sacrifice with measurement of brain
    acetylcholinesterase activity in 10 animals of each sex per group),
    and generally on 10 rats of each sex per dose. Haematological
    parameters were measured in blood smears from 10 rats of each sex in
    the vehicle control group and at 100 ppm at months 12 and 18. Gross
    pathological findings were recorded for all animals at necropsy,
    including those that died during the study or were killed at early
    sacrifices. Necropsy included removal of the eyes with the optic nerve
    and adnexa. The weights of the brain, testes, thyroids, adrenals,
    kidneys, and liver were recorded, and a range of tissues was
    collected. All gross lesions were sectioned, and sections from all
    control animal and those at 100 ppm were examined. Appropriate
    statistical tests were used to analyse the data.

         The mean consumption of chlorpyrifos was estimated to be 0.012,
    0.3, and 6 mg/kg bw per day for animals of each sex. Mortality rates
    and the incidences of clinical signs or palpable masses were not
    affected by treatment. A 5% reduction in the mean body weights of
    males at 100 ppm was significant in comparison with controls at most
    times during weeks 3-94, and the weights of females at this dose were
    significantly lower (about 4%) than those of controls at most times
    during weeks 2-64. A variety of non-neoplastic and neoplastic lesions
    were recorded, and the incidence of these lesions occasionally showed
    a positive trend with dose; however, the incidence was generally
    within the range of historical controls in the laboratory or within
    the range of published values from the National Toxicology Program in
    the USA. The incidences of neoplastic lesions did not show unequivocal
    or statistically significant dose-response relationships. The only
    observation that was considered to be related to treatment was an
    increased incidence of cataracts and diffuse retinal atrophy in
    females (Table 7).

        Table 7. Incidences of ocular abnormalities found microscopically in rats given 
             diets containing chlorpyrifos

                                                                                           

    Abnormality                Sex       Dose (ppm)
                                                                                           
                                         0        0 (vehicle)   0.2      5        100
                                                                                           

    Diffuse retinal atrophy    Male      4/60     0/60          3/23     1/28     3/60
                               Female    5/60     15/59*        9/60     5/58     24/60*

    Cataract                   Male      31/60    31/60         7/23     6/28     30/60
                               Female    38/60    38/59         33/60    32/58    51/60*
                                                                                           

    * Significantly different from controls at  p < 0.01 or  p < 0.001
    

         Significant (> 20%) inhibition of plasma cholinesterase activity
    relative to the control values was observed at doses > 0.3 mg/kg bw
    per day (Table 8). While erythrocyte cholinesterase activity was
    inhibited in animals at 100 ppm, the variation in the data and the
    lack of statistical significance and/or dose-response relationships
    mitigated against an unequivocal finding. The NOAEL for inhibition of
    brain cholinesterase activity was 0.3 mg/kg bw per day (Crown et al.,
    1988).

         In a study conducted in compliance with GLP standards, groups of
    60 Fischer 344 rats of each sex received diets containing chlorpyrifos
    (purity, 98.5%) at concentrations that provided doses of 0 (control),
    0.05, 0.1, 1, or 10 mg/kg bw per day for 24 months. Ten rats of each
    sex at each dose were randomly designated at the start of the study
    for interim sacrifice at 12 months. Blood was collected for
    haematology, clinical chemistry, and measurement of plasma and
    erythrocyte cholinesterase activity at 6, 12, and 18 months as well as
    at the 24-month terminal sacrifice. The groups were observed daily for
    deaths and signs of toxicity. All rats were examined clinically at
    least once a week from after the sixth month. All animals were
    palpated for externally detectable masses before treatment, before the
    12-month kill, and monthly thereafter. Body weights and feed
    consumption were determined weekly for the first 3 months and monthly
    thereafter. All rats were weighed, but feed consumption was determined
    for only 20 rats of each sex per group. 

         All clinical laboratory procedures scheduled for 6 and 12 months
    were performed on rats designated for the 12-month interim kill,
    whereas tests scheduled for 18 and 24 months were performed on rats
    designated for terminal sacrifice. Blood samples were obtained for
    haematology and clinical chemistry by orbital sinus puncture under

        Table 8. Group mean percent inhibition of cholinesterase activity in comparison 
             with vehicle controls in rats given diets containing chlorpyrifos

                                                                                     
    Assay time    Dose       Cholinesterase inhibition (%)
    (weeks)       (ppm)                                                              
                             Plasma             Erythrocytes        Brain
                                                                                     
                             Male     Female    Male     Female     Male    Female
                                                                                     

    50            0          0        7         0*       31         0       35
                  0.2        1        4         0        42         0       14
                  5          15       51        0*       39         9       10
                  100        93       98        13       45         57*     80*

    78            0          0        3         27       0
                  0.2        4        3         11       0
                  5          28*      47*       0        0
                  100        93*      97*       10       0

    104           0          8        9         0        0          18      4
                  0.2        13       0         0        0          0       0
                  5          36       37*       17       11         0       0
                  100        95*      96*       34       18         58*     61*
                                                                                     

    Values the same as or higher than those of the vehicle control are recorded as 
    0 inhibition.
    * Significantly different from control at  p < 0.01 or  p < 0.001
    

    light anaesthesia. The haematological determinations consisted of
    packed cell volume, haemoglobin concentration, erythrocyte count,
    total and differential leukocyte counts, and platelet count. The
    clinical biochemical determinations included blood urea nitrogen,
    alkaline phosphatase and alanine and aspartate aminotransferase
    activities, glucose, total protein, albumin, globulin (calculated),
    creatine phosphokinase, total bilirubin, cholesterol, calcium,
    phosphorus, sodium, potassium, and chloride. Urine samples were
    obtained 1-2 weeks before the scheduled sacrifices at 12 and 24 months
    and at 6 and 18 months from 10 rats of each sex per group. The urinary
    parameters measured included specific gravity and semi-quantitative
    estimates of bilirubin, glucose, ketones, occult blood, pH, protein,
    and urobilinogen. Microscopy of a pooled sample was also conducted.
    Plasma and erythrocyte cholinesterase activities were assayed in 10
    rats of each sex per group at 6, 12, 18, and 24 months, and
    acetylcholinesterase activity was measured in half-brain samples
    obtained at the 12-month and 24-month scheduled necropsies. All
    animals killed at the interim and terminal sacrifices or which died or
    were killed when moribund were necropsied and subjected to a complete

    gross examination. The brain, liver, kidneys, testes, ovaries, and
    adrenal glands were weighed, and many organs and tissues were removed
    and preserved in neutral, phosphate-buffered 10% formalin for
    subsequent histopathological evaluation. Histological sections of the
    formalin-fixed tissues from all controls and those at the highest dose
    were prepared, stained with haematoxylin and eosin and examined
    microscopically. Histopathological examination of tissues from animals
    at the three lower doses was limited to the liver, kidneys, adrenals,
    and tissues with gross lesions at both sacrifices. At terminal
    sacrifice, the lungs, spleen, testes, pituitary, and
    thyroid/parathyroid were also examined microscopically. Appropriate
    statistical tests were applied to the data.

         Males at the high dose showed a consistent decrease in
    body-weight gain relative to controls in the absence of reduced food
    consumption, depression of plasma (56-87%), erythrocyte  (20-40%) and
    brain (56-58%) cholinesterase activities, and an increase in the
    weight of their adrenal glands which was characterized microscopically
    by exacerbated fatty vacuolation of the zona fasciculata. Similar
    effects were observed in females at this dose, but were generally less
    pronounced than in males: for example, a transient decrease in
    body-weight gain relative to controls with no reduction in food
    consumption, depression of plasma (82-95%), erythrocyte (generally
    > 20%), and brain (57-61%) cholinesterase activities, and an
    increase in adrenal weight at the terminal sacrifice with no
    associated histopathological lesions. At 1 mg/kg bw per day, the only
    effects attributable to treatment were inhibition of plasma
    cholinesterase activity (39-71% in males and 60-86% in females) and
    erythrocyte cholinesterase activity (20-40% in males and < 22% in
    females); brain cholinesterase activity was not affected. These
    results are summarized in Table 9. No treatment-related effects were
    observed at the two lower doses. There was no increase in the
    incidence of any type of tumour. The NOAEL for inhibition of
    erythrocyte cholinesterase activity was 0.1 mg/kg bw per day, on the
    basis of toxicologically (> 20%) or statistically significant
    inhibition at 1 mg/kg bw per day, and the NOAEL for inhibition of
    brain cholinesterase activity was 1 mg/kg bw per day on the basis of
    toxicologically and statistically significant inhibition at 10 mg/kg
    bw per day (Young & Grandjean, 1988).

          Chickens 

         Hens were fed diets containing chlorpyrifos at concentrations of
    0, 25, 50, or 200 ppm (approximately 0, 2.5, 5, and 20 mg/kg bw per
    day) for 52 weeks. Mortality was unaffected by treatment, with rates
    of 13% in controls, 3% at 25 ppm, 7% at 50 ppm, and 10% at 200 ppm.
    Plasma cholinesterase activity was assayed in three hens at each dose
    1, 3, 7, 14, 22, and 29 days after the start of treatment, monthly
    thereafter, and 1, 2, and 3 weeks after the end of treatment. The
    onset of inhibition of cholinesterase activity was rapid and
    dose-related, with 22% inhibition in week 1 at 25 ppm, 45% inhibition
    at 50 ppm, and 76% inhibition at 200 ppm. It persisted at similar
    levels throughout the study but returned to control levels during the

        Table 9. Group mean cholinesterase activities in rats given diets containing chlorpyrifos, 
             expressed as percent of the respective control values for each sampling period

                                                                                                 
    Cholinesterase      Sex       Sampling period    Dose (mg/kg bw per day)
                                  (months) 
                                                                                                 
                                                     0       0.05     0.1       1          10
                                                                                                 
    Plasma              Male      6                  100     96.5     95.1      60.9*      44.2*
                                  12                 100     94.5     97.8      28.6*      13.3*
                                  18                 100     93.4     80.1      36.6*      22.5*
                                  24                 100     92.4     85.5      40.0*      19.7*
                        Female    6                  100     97.9     91.0      34.6*      16.9*
                                  12                 100     104      87.0*     13.8*      4.8*
                                  18                 100     99.1     85.8*     30.4*      12.4*
                                  24                 100     103      94.4      39.7*      17.9*

    Erythrocytes        Male      6                  100     107      88.8      76.1*      75.6*
                                  12                 100     107      93.2      67.4       63.1
                                  18                 100     109      95.3      66.2*      71.0*
                                  24                 100     105      108       86.5       73.5*
                        Female    6                  100     93.3     106       104        87.5
                                  12                 100     88.2     109       82.2       59.5*
                                  18                 100     114      99.7      78.0       81.9
                                  24                 100     107      87.2      83.6       79.9

    Brain               Male      12                 100     93.8*    93.1*     91.0*      42.1*
                                  24                 100     102      100       103        44.3*
                        Female    12                 100     97.9     102       95.3*      38.9*
                                  24                 100     101      100       96.2       42.9*
                                                                                                 
    * Statistically significantly different from control by Dunnett's or Wilcoxon's test, 
      alpha = 0.05, one-sided
    

    recovery period. Overall feed consumption, body weight, egg
    production, feed efficiency, egg weight, and shell thickness were not
    affected by treatment. There was no NOEL for inhibition of plasma
    cholinesterase activity in this study, as significant inhibition was
    seen at the lowest dose tested (Sherman & Herrick, 1973).

    (d)  Genotoxicity

         Chlorpyrifos was not genotoxic  in vitro or  in vivo in a range
    of studies (Table 10).


        Table 10. Results of studies for the genotoxicity of chlorpyrifos

                                                                                                                                        
    End-point            Test object             Concentration                  Purity    Results       GLP      Reference
                                                                                (%)                     or QA
                                                                                                                                        

     In vitro 

    Gene mutation        S. cerevisiae D3        NR                             NR        Negative               Poole et al. (1977; 
                         rec locus                                                                               abstract only)

    Gene mutation        B. subtilus H17,        20 (100, 200, 500, 1000        95.83     Negative               Shirasu et al. (1980)
                         M45                     2000 µg/plate in DMSO

    Reverse mutation     S. typhimurium TA98,    10, 50, 100, 500, 1000,        95.83     Negativea              Shirasu et al. (1980)
                         TA100, TA1535,          5000 µg/plate in DMSO
                         TA1537, TA1538

    Reverse mutation     S. typhimurium TA98,    1, 3.162, 10, 31.62,           95.7      Negativea,b   QA       Bruce & Zempel (1986)
                         TA100, TA1535,          100 µg/plate in DMSO
                         TA1537, TA1538

    Reverse mutation     S. typhimurium TA98,    0.01, 0.1, 1, 5, 10,           95        Negativea,c            Jai Research Foundation 
                         TA100, TA1535,          100 µg/plate in DMSO                                            (1996a)
                         TA1537

    Reverse mutation     S. typhimurium TA98,    30, 100, 300, 3000,            96.8      Negativea     GLP      Loveday et al. (1987)
                         TA100, TA1535,          10 000 µg/plate in DMSO
                         TA1537, TA1538

    Reverse mutation     S. typhimurium TA98,    NR                             NR        Negative               Poole et al. (1977; 
                         TA100, TA1535,                                                                          abstract only)
                         TA1537

    Reverse mutation     E. coli WP2             NR                             NR        Negative               Poole et al. (1977; 
                                                                                                                 abstract only)
                                                                                                                                        

    Table 10. (continued)

                                                                                                                                        
    End-point            Test object             Concentration                  Purity    Results       GLP      Reference
                                                                                (%)                     or QA
                                                                                                                                        

    Relative toxicity    E. coli and             NR                             NR        Negative               Poole et al. (1977; 
                         B. subtilis                                                                             abstract only)

    Reverse mutation     S. typhimurium TA98,    5, 500, 5000 µg/plate          96.2      Negativea,d   QA       Fredrick Institute 
                         TA100, TA1535,          in DMSO                                                         (1996c)
                         TA1537, TA1538

    Forward mutation     Chinese hamster ovary   10, 20, 25, 30, 40,            95.7      Negativea              Mendrala (1985)
                         cells, hprt locus       50 µmol/L

    Forward mutation     Chinese hamster ovary   5, 10, 25, 50, 75 µg/ml,       96.8      Negativea,e   GLP      Tu (1987)
                         cells, hprt locus       16 h, - S9 
                                                 5, 10, 20, 30, 40, 50 µg/ml, 
                                                 16 h, - S9 
                                                 30, 50, 100, 300, 1000 µg/ml, 
                                                 +S9, in DMSO

    Sister chromatid     Human lymphocytes       0.02, 0.2, 2 or 20 µg/ml       NR        Negativea,f            Sobti et al. (1982)
    exchange             (Laz-007)               in ethanol

    Chromosomal          Chinese hamster ovary   0.975, 1.47, 2.93, 4.89,       96.8      Negativea,g   GLP      Loveday (1987)
    aberration           cells                   9.75, 14.7, 29.3, 48.9, 97.5, 
                                                 147 µg/ml, 19 h, - S9
                                                 1.56, 3.12, 5.2, 10.4, 15.6, 
                                                 31.2, 52, 104, 156 µg/ml, 
                                                 10 h, - S9
                                                 9.75, 14.7, 29.3, 48.9, 97.5, 
                                                 147, 293 µg/ml, 19 h, +S9
                                                 1, 1.5, 3, 5, 10, 15, 30, 50, 
                                                 100 µg/ml, 10 h, + S9
                                                 2.95, 4.95, 9.85, 14.8, 29.6, 
                                                 49.4, 98.5, 296 µg/ml, 10 h, 
                                                 +S9
                                                                                                                                        

    Table 10. (continued)

                                                                                                                                        
    End-point            Test object             Concentration                  Purity    Results       GLP      Reference
                                                                                (%)                     or QA
                                                                                                                                        

    Chromosomal          Rat hepatocytes         16.7, 50, 167, 500, 1667,      98.6      Negativea,h   GLP      Linscombe et al. (1992)
    aberration                                   5000 µg/ml harvested after 
                                                 24 h and 5, 16.7, 50, 167 
                                                 µg/ml harvested after 
                                                 24 and 48 h, in DMSO

    Sister chromatid     Chinese hamster ovary   1, 10, 100 µg/ml in acetone    NR        Negative               Muscarella et al. (1984)
    exchange             cells

    Unscheduled DNA      Rat hepatocytes         1, 3.16, 10, 31.6,             95.7      Negative               Mendrala & Dryzaga 
    synthesis                                    100 µmol/L in DMSO                                              (1986)

    Reverse mutation     S. typhimurium TA98,    0, 1, 3.16, 10, 31.6,          95.7-     Negativea              Gollapudi et al. (1995)
                         TA100, TA1535,          100 µg/plate in DMSO           98.6
                         TA1537, TA1538

    Forward mutation     Chinese hamster ovary   0, 3.5, 7, 8.8, 10.5, 14,      95.7-98.6 Negativea,i            Gollapudi et al. (1995)
                         cells, hprt locus       17.5 µg/ml in DMSO

    Chromosomal          Rat lymphocytes         16.7-5000 µg/ml in             95.7-95.6 Negativea,j            Gollapudi et al. (1995)
    aberration                                   DMSO

    Unscheduled          Rat hepatocytes         1, 3.16, 10, 31.6,             95.7-95.6 Negative               Gollapudi et al. (1995)
    DNA synthesis                                100 µmol/L in DMSO

     In vivo 

    Micronucleus         Mouse (CD-ICR BR)       0, 7, 22, 70 mg/kg bw          95.7      Negative      QA       Gollapudi et al. (1985)
    formation            marrow cells            orally in corn oil

    Micronucleus         Mouse (Swiss albino)    0, 15, 30, 60 mg/kg bw         96.2      Negative      QA       Fredrick Institute 
    formation            marrow cells            orally in vegetable oil                                         (1996d)

                                                                                                                                        

    Table 10. (continued)

                                                                                                                                        
    End-point            Test object             Concentration                  Purity    Results       GLP      Reference
                                                                                (%)                     or QA
                                                                                                                                        

    Chromosomal          Mouse (Swiss albino)    0.6, 3, 15 mg/kg bw per        96.2      Negative      QA       Fredrick Institute 
    aberration           marrow cells            day orally in vegetable oil                                     (1996e)

    Chromosomal          Chick embryo (Cornell   1.11, 11.1, 111, 1110,         NR        Negativek              Muscarella et al. (1984)
    aberration           K strain eggs)          2220 µg/embryo

    Chromosomal          Bovine blastocysts      NR                             NR        Negative               Muscarella et al. (1984)
    aberration

    Micronucleus         Mouse (CD-1 (ICR) BR)   90 mg/kg bw orally in          97.9      Negative      GLP      McClintock & Gollapudi 
    formation            marrow cells            corn oil                                                        (1989a)
                                                                                                                                        

    QA, quality assurance; GLP, good laboratory practice; NR, not reported; S9, exogenous metabolic activation system from 9000 × g 
        fraction of rat liver; DMSO, dimethyl sulfoxide
    Positive control substances were used in all assays and gave the expected results.

    a   With and without metabolic activation
    b   Cytotoxicity observed at 100 µg/plate in TA100, 1535, 1537, 1538 with precipitation of test material; in TA98, precipitation in the
        absence of toxicity
    c   Cytotoxicity at > 10 µg/plate; dose-related increase in revertant frequency (> twofold than controls) in all strains ± S9, but
        increases lower than in positive controls by 2-50-fold and not statistically significant
    d   Increase in revertants at all dose, - S9 in TA1537 only; no dose-response relationship
    e   Cytotoxicity at 50 µg/ml in one assay - S9
    f   At 2 and 20 µg/ml, frequency was statistically significantly different from controls but not double the control frequency
    g   - S9: cytotoxicity at highest doses; increase in gaps only at 52 µg/ml and 10-h exposure; no increases in other aberrations
        +S9: cytotoxicity at 15 µg/ml and 10-h incubation; in one 10-h assay, a significant increase in number of cells with aberrations
        (including gaps) at 3 and 10 µg/ml; incidence of aberrations (excluding gaps) not statistically significantly increased and not 
        dose-dependent In repeat 10-h assay, no increase in incidence of aberrations.
    h   Cytotoxicity at > 500 µg/ml -S9 and > 167 µg/ml +S9 in first assay; no mitotic index measurable at 50 µg/ml - S9 or 
        167 µg/ml ±S9
    i   Test material precipitated at 10.5, 14, and 17.5 µg/ml ± S9
    j   Test material cytotoxic at > 50 µg/ml ± S9
    k   Increased mortality at 1110 and 2220 µg/embryo
    

    (e)  Reproductive toxicity

         (i)  Multigeneration reproductive toxicity

          Rats 

         In a three-generation study, Sprague-Dawley rats (two litters per
    generation) were given diets containing chlorpyrifos (purity not
    specified) at concentrations that provided doses of 0, 0.03, 0.1, or
    0.3 mg/kg bw per day for the first generation and 0, 0.1, 0.3, or
    1 mg/kg bw per day for the second and third generations. The sizes of
    the groups were consistent in all generations, the controls comprising
    20 males and 40 females and the treated groups comprising 10 males and
    20 females. Treatment was started at 58 days of age, and F0 parents
    were mated at 118 days of age at a 1:2 male:female ratio. Evidence of
    conception (vaginal plug or sperm) was considered to be day 0 of
    gestation. Pairing for the second litter in each generation was
    started approximately 10 days after the first litter was weaned at 21
    days, and the treated diets were fed to the litters from weaning. When
    the progeny of the F1b or F2b numbered more than 10 per litter,
    each litter was reduced to 10 after 5 days of age. The F3b fetuses
    were examined for teratogenic changes. F2b parent animals were
    continued on the test diet throughout the breeding period, except that
    females were placed on normal diet during organogenesis and the test
    substance was administered by gavage in acetone or corn oil. Dams were
    killed on day 20 of gestation and the fetuses removed surgically and
    examined for external abnormalities. Onethird were fixed for
    examination of soft tissues, and two-thirds were stained with alizarin
    red for skeletal examination; however, only the controls and rats at 1
    mg/kg bw per day were examined. Clinical observations were stated to
    have been performed 'frequently'. Body weights and food consumption
    were recorded weekly until breeding commenced. During gestation and
    lactation, the diets were adjusted on the basis of an average feed
    consumption of 25 and 40 g/day; rats were weighed before breeding to
    allow dietary adjustment. In the investigation of teratogenic effects,
    the body weights of the dams were recorded on days 0, 6, 15, and 20 of
    gestation, while food consumption was measured during the gestational
    intervals 0-6, 6-16, and 16-20 days. Various indices of reproductive
    performance were calculated: fertility index as pregnancies per
    mating; gestation index as live litters born per number of
    pregnancies; viability as rats alive at day 5 per rats born alive; and
    lactation index as rats alive at day 21 per rats alive at day 5. All
    animals that died and five pups of each sex per dose from the F1a,
    F2a, and F3a litters were examined grossly. An extensive set of
    tissues was prepared and fixed from these pups, but in the absence of
    gross abnormalities only tissues from the F3a pups were examined
    histopathologically. Clinical chemistry was limited to the F2
    animals, and consisted of measurements of plasma and erythrocyte
    cholinesterase activity in 11 control and five or six treated dams at
    the time of removal of their litters and in five males per group.
    Statistical analysis was limited.

         No clinical signs of toxicity were seen in the parents or
    offspring. The parental body weights were not significantly affected
    by treatment, and food consumption was variable but unaffected. The
    fertility, gestation, and lactation indices were comparable between
    groups and generations. The viability index was decreased at 1 mg/kg
    bw per day, but this effect was considered not to be clearly related
    to treatment in view of the isolated nature of the finding and the
    study design. The mean body-weight gain of the dams that produced the
    F3b pups showed a dose-related increase, with gains of 114 g in
    controls, 120 g at 0.1 mg/kg bw per day, 123 g at 0.3 mg/kg bw per
    day, and 126 g at 1 mg/kg bw per day. This generation showed no
    treatment-related effects on fertility (per cent pregnant), the mean
    number of corpora lutea or implantations, viable litter size, or pup
    weight after surgical removal. The skeletons of the pups showed common
    minor variants such as incomplete ossification of sternebrae and the
    occurrence of extra ribs. Visceral examination of the pups showed that
    minor variants of the urogenital system (hydronephrosis or left,
    right, or bilateral hydroureter) were more common in the treated
    group. A single fetus with multiple abnormalities was found at 1 mg/kg
    bw per day, but this isolated finding was considered not to be related
    to treatment. The group average activity of plasma and erythrocyte
    cholinesterase was decreased by > 20% at 1 mg/kg bw per day in males
    and females of the F2 generation. The NOAEL was 0.1 mg/kg bw per day
    on the basis of decreased plasma and erythrocyte cholinesterase
    activity at 1 mg/kg bw per day and decreased erythrocyte
    cholinesterase activity at 0.3 mg/kg bw per day (JMPR, 1972; modified
    by reference to the original report of Thompson et al., 1971).

         To supplement the finding of an equivocal decrease in neonatal
    survival at 1 mg/kg bw per day, groups of 30 Sprague-Dawley rats of
    each sex were fed diets containing chlorpyrifos (purity, 96.6-99%) at
    concentrations providing doses of 0, 0.5, 0.8, or 1.2 mg/kg bw per day
    for 135 days and then bred to produce F1 litters. On day 21 of
    lactation, 30 pups of each sex were selected randomly, dosed in the
    same manner as the F0 animals for 120 days, and then bred to produce
    the F2 litters. The F2 pups were weaned on day 21 of lactation.
    The F0 and F1 matings were in a 1:1 ratio, with pairing for 5
    days, a 7-day rest, and a pairing with a different male for a further
    5 days. The litters were culled on day 4  post partum, and the litter
    weights and pup survival were recorded on days 1, 4, 7, 14, and 21;
    individual pups were weighed on day 21. The parental animals were
    examined daily for signs of toxicity, and body weight and food intake
    were recorded weekly for animals of each sex until pairing;
    thereafter, males were weighed after pairing until sacrifice, and
    females were weighed on days 1, 4, 7, 14, and 21 of lactation. The
    date of parturition, litter size at birth, and the numbers of live and
    dead pups at birth were recorded. The dietary concentrations were
    adjusted weekly during the pre-mating period according to the food
    consumption and body weights of the rats; the concentrations were then
    maintained at the last adjusted concentration from commencement of
    cohabitation until sacrifice. Appropriate statistical tests were
    applied.

         The parental animals showed no significant clinical signs in
    either generation. Body weight and food intake were unaffected by
    treatment. The mean fertility index (number of females delivering a
    litter expressed as the percentage of the total number of females
    placed with a male) was reduced at 0.5 and 0.8 mg/kg bw per day but
    not at the highest dose, and a similar inverted dose-response
    relationship was seen for length of gestation; data on individual
    animals were not presented. The litter sizes (10-11) were comparable
    at all doses, as were the survival indices (> 91% in all groups on
    days 1, 4, 7, 14, and 21) during lactation. The pup weights
    (presumably litter weight per number of pups) were also comparable. In
    F1 adults, the body weight of males was reduced at 1.2 mg/kg bw per
    day on days 160-182 after cohabitation, and those of females showed
    slight, sporadic increases when compared with controls. Food intake
    was sporadically decreased in males but not in females. No effects
    were seen on female body weight during lactation. The fertility index
    in treated groups exceeded the control values. The litter sizes were
    comparable in all groups, as were the pup weights and pup survival
    during lactation. The adequacy of this study for regulatory purposes
    was limited by the doses selected. As no adverse effects were found at
    the highest dose, it was unclear whether the study clearly
    demonstrated the reproductive toxicity of the test material in rats.
    The lack of data for individual animals and the inverted dose-response
    relationships for some parameters rendered the findings equivocal. In
    the absence of clear adverse effects on reproductive parameters at any
    dose, the NOAEL was 1.2 mg/kg bw per day (Dietz et al., 1983).

         In a study conducted in compliance with GLP standards and the
    requirements of the US Environmental Protection Agency 83-4,
    technical-grade chlorpyrifos (stated purity, 95.8%) was given in the
    diet to groups of male and female CrL: COBS CD (SD) BR rats at
    concentrations of 0, 2, 10, or 50 ppm over two generations. These
    concentrations corresponded to achieved intakes of 0.1-0.2, 0.5-0.9,
    and 2.5-4.5 mg/kg bw per day, respectively, in F0 males and 0.1-0.2,
    0.6-0.9, and 2.9-4.6 mg/kg bw per day, respectively, in F0 females.
    The corresponding intakes in the F1 generation were 0.1-0.3,
    0.7-1.6, and 3.3-8.1 mg/kg bw per day in males and 0.2-0.3, 0.8-1.6,
    and 4-8.1 mg/kg bw per day in females. The animals of the F0
    generation (28 of each sex per dose) were approximately 7 weeks of age
    at the beginning of treatment and were maintained on their respective
    diets for at least 56 days before mating. They were mated at a 1:1
    ratio for 20 days, and then the dams were allowed to rear their young
    to day 21  post partum. Before weaning, all F1 offspring in all
    litters were examined for developmental indices (surface righting
    reflex, startle reflex, air righting reflex, and pupil reflex). At day
    21  post partum, 24 pups from each group were selected for mating;
    excess pups were sacrificed on day 22  post partum and examined
    macroscopically, and specified organs were weighed and tissues
    preserved for histopathological examination from one animal of each
    sex per litter. Shortly after the F1 pups were weaned, the F0
    adults were killed and examined macroscopically, and a wide range of
    organs and tissues were preserved, the ovaries, pituitary, prostate,
    testes with epididymides, and uterus with cervix and vagina being

    examined histopathologically.The animals in the F1 generation that
    were selected for mating were reared on their respective diets for at
    least 56 days (i.e. until they were approximately 12 weeks of age) and
    were then mated 1:1 for 20 days; the dams were allowed to rear their
    young until day 21  post partum. Pathological examination was
    conducted as for the F0 generation. All animals were handled
    regularly and examined for signs associated with treatment. All
    animals that died or were killed were examined. The weight of each
    animal was determined at the start of each generation and subsequently
    at weekly intervals. All pups were weighed at birth and at 4, 8, 12,
    and 21 days  post partum. Cholinesterase activity was not determined
    in the study. The doses were selected on the basis of those that
    decreased cholinesterase activity in a preliminary study in which
    chlorpyrifos was given in the diet for a single generation at doses up
    to 250 ppm. In this preliminary study, plasma cholinesterase activity
    was inhibited when compared with that in controls by 86% in adult
    females and by about 60% in weanling males and females at 50 ppm. At
    50 ppm, erythrocyte cholinesterase activity was also inhibited in
    adult females (70% inhibition) and weanlings (about 50% inhibition),
    and brain cholinesterase was inhibited by 38% in adult females 

         Food consumption was similar in control and treated groups and no
    adverse, treatment-related effects on group mean body weights were
    observed at any dose in either generation. Mating performance and the
    duration of gestation were similar in control and treated groups.
    Slight inter-group variation was observed in the incidence of total
    pre-birth loss in both the F0 and F1 generations, but these
    findings were considered not to be related to treatment in the absence
    of a consistent relationship between dose and effect. The F0
    generation showed statistically significant increases in litter size
    and litter weight and decreased mean pup weight at a number of doses
    at most sample intervals (Table 11), but these values were generally
    only slightly different from those in controls and showed no
    consistent relationship with dose. The decrease in mean pup weights
    was probably related to the increased litter size. The data for the
    litters of the F1 generation were similar for control and treated
    groups, with the exception of a single, statistically significant
    decrease in litter weight at 50 ppm on day 21. This isolated finding
    was considered to be incidental to treatment. No consistent,
    dose-related effect on organ weights was reported during the study.
    Pathological examination revealed no macro- or microscopic effects
    that were related to treatment. Under the conditions of this study, no
    adverse treatment-related effects were observed at any dose. The
    slight increase in mean body weights of F0 males at the high dose
    was the only effect attributed to treatment. The NOAEL was 50 ppm,
    equal to 2.5 mg/kg bw per day (James et al., 1988).

         Four groups of Sprague-Dawley rats were used in a two-generation
    (one litter per generation) study of reproductive toxicity in which
    diets containing chlorpyrifos (purity, 97.8-98.5%) at doses of 0, 0.1,
    1, or 5 mg/kg bw per day were administered. The study was conducted in
    accordance with FIFRA guideline 83-4, OECD guideline 416, and GLP
    principles. The F0 parental animals (30 of each sex per dose) were 

    Table 11. Statistically significant differences in group data for 
              litters of the F0 generation of rats given diets containing 
              chlorpyrifos

                                                                            
    Time        Litter parameter       Dose (ppm)
                                                                            
                                       0       2         10          50
                                                                            

    At birth    Litter size, total     12      13        14**        13
                Litter size, live      12      13        14**        13
                Litter weight (g)      70      72        79*         71
                Pup weight (g)         6.1     5.6***    5.7**       5.7*

    Day 4       Litter size, live      11      13*       14***       12
                Litter weight (g)      100     110       120*        110
                Mean pup weight (g)    9.3     8.7       8.6*        9.2

    Day 8       Litter size, live      11      13**      13***       12
                Mean pup weight (g)    15      14*       14*         15

    Day 12      Litter size, live      11      13**      13***       12
                Litter weight (g)      240     270       280**       250
                Mean pup weight (g)    22      21        21*         22

    Day 21      Litter size, live      11      13*       13***       12
                Litter weight (g)      460     520       530*        480
                Mean pup weight (g)    44      42        40*         42
                                                                            

    *  p < 0.05; **  p < 0.01; ***  p < 0.001


    6 weeks of age at the beginning of the study and were mated after 10
    weeks of exposure to produce the F1 litters. Groups of 30 rats of
    each sex per dose were selected from the F1 weanlings and were
    treated for 12 weeks before breeding to produce the F2 litters.
    Pairing in both generations allowed for three periods of 7 days'
    cohabitation in a 1:1 ratio, the males being changed weekly. Care was
    taken to avoid sibling pairings. Females were removed from pairing
    when vaginal lavage showed sperm, and this was considered to be day 0
    of gestation. The F1 and F2 litters were culled if appropriate to
    a total of eight pups on day 4. Clinical observations were performed
    daily on all animals; litter size at birth, the numbers of live and
    dead pups on days 0, 1, 4, 7, 14, and 21  post partum, and the sex
    and weight of each pup were recorded on days 1, 4, 7, 14, and 21 of
    lactation. Body weights and food consumption were recorded weekly
    before and after breeding. The body weights of dams were recorded on
    days 0, 7, 14, and 21 of gestation and on days 1, 4, 7, 14, and 21 of
    lactation, whereas food consumption was recorded once during the first
    week of lactation, twice during the second week, and every 2-3 days
    during the third week. Inhibition of cholinesterase activity in

    plasma, erythrocytes, and brain was measured in 10 F0 and F1
    parental animals of each sex at necropsy after 19 and 21 weeks of
    exposure. Complete necropsies were conducted on all F0 and F1
    adults, and included ocular examinations and collection ofmany
    tissues. Histopathological examinations were made of the adrenals,
    brain, gross lesions, and reproductive tissues (cervix, coagulating
    glands, epididymides, ovaries, oviducts, pituitary, prostate, seminal
    vesicles, testes, uterus, and vagina) of controls and animals at the
    high dose. The livers of 10 F1 parental males in the control and
    high-dose groups were also examined microscopically. Only the adrenals
    from animals at the intermediate and low doses were examined. Ten F1
    and F2 pups of each sex per dose were autopsied grossly. Appropriate
    statistical tests were applied to all data.

         No significant effects of treatment were seen on clinical signs,
    food intake, or body weight. A slight but not statistically
    significant decrease in body weight was seen in F1 males at 5 mg/kg
    bw per day, and F1 females at this dose showed reduced body-weight
    gain during lactation. Plasma cholinesterase activity was inhibited in
    parental F0 and F1 rats of each sex at 1 mg/kg bw per day (40-57%)
    and at 5 mg/kg bw per day (< 72%). Plasma cholinesterase activity
    was also inhibited in animals of both generations at 0.1 mg/kg bw per
    day as part of a dose-related trend, although the inhibition was
    generally not statistically significant at this dose. Erythrocyte
    cholinesterase activity was strongly inhibited at 1 and 5 mg/kg bw per
    day, but that of brain was inhibited only at 5 mg/kg bw per day (Table
    12).

         Gross observation of F0 and F1 parents revealed no
    significant alterations, and the only significant histopathological
    change in the parental animals was vacuolation consistent with fatty
    changes in the adrenal zone fasciculata. Treatment had no effect on
    fertility, length of gestation, survival dring gestation, time to
    mating, sex ratio, or litter size in either generation. F1 pups at
    1 mg/kg bw per day showed slightly decreased body-weight gain during
    lactation and statistically significantly decreased body-weight gain
    and survival at 5 mg/kg bw per day. No effect of treatment was seen
    during gross or daily observation of the F1 weanlings. F2 pups did
    not show dose-related decreases in body-weight gain during lactation,
    but the survival of pups at 0 and 5 mg/kg bw per day was decreased,
    with total loss of three and five litters, respectively; this effect
    was stated to be due to maternal neglect, since the stomachs of pups
    in these litters contained no milk. No effect of treatment was seen
    during gross or daily observation of the F2 weanlings. The NOAEL for
    inhibition of erythrocyte cholinesterase in adults was 0.1 mg/kg bw
    per day and that for inhibition of brain cholinesterase activity and
    materal toxicity was 1 mg/kg bw per day. The NOAEL for developmental
    effects was 1 mg/kg bw per day, and the NOAEL for effects on fertility
    and reproductive effects was 5 mg/kg bw per day (Breslin et al.,
    1991).


        Table 12. Mean cholinesterase activity in F0 and F1 parent rats at necropsy (percentage inhibition compared 
              with controls)

                                                                                                                           
    Generation   Dose (mg/kg    Cholinesterase activity (% inhibition)
                 bw per day)                                                                                               
                                Plasma (IU/ml)                  Erythrocytes (IU/ml)            Brain (IU/g)
                                                                                                                           
                                Male            Female          Male            Female          Male          Female
                                                                                                                           

    F0           0              0.54            2.0             1.1             1.0             9.3           9.0
                 0.1            0.46 (15%)      1.6 (20%)       1.0 (5%)        1.0             9.2 (1%)      9.1
                 1              0.30a (44%)     0.8a (59%)      0.3b (92%)      0.36b (65%)     8.8 (6%)      8.7 (3%)
                 5              0.21a (61%)     0.6a (67%)      0.3b (92%)      0.31b (70%)     4.9b (48%)    4.6a (49%)
    F1           0              0.53            1.8             1.1             0.96            9.7           9.4
                 0.1            0.43 (19%)      1.6 (15%)       0.98a (13%)     0.97            9.7           9.2 (2.5%)
                 1              0.30a (43%)     0.93a (52%)     0.37a (67%)     0.32b (67%)     9.4 (3%)      9.0 (4.5%)
                 5              0.19a (64%)     0.52a (72%)     0.33a (70%)     0.24b (75%)     4.6a (52%)    4.0b (58%)
                                                                                                                           

    a   Statistically significantly different from control mean by Wilcoxon's test
    b   Statistically significantly different from control mean by Dunnett's test
    


         (ii) Developmental toxicity

          Mice 

         In the range-finding portion of a study of developmental
    toxicity, pregnant mice were given chlorpyrifos at doses of up to 60
    mg/kg bw per day by gavage. No toxic effects were seen in the dams or
    offspring at 3, 10, and 20 mg/kg bw per day. In the main study, groups
    of 40-47 pregnant CF-1 mice were initially given chlorpyrifos (purity,
    96.8%) at 0, 1, 10, or 25 mg/kg bw per day by gavage in cottonseed oil
    on days 6-15 of gestation. The day on which a vaginal plug was
    observed was considered to be day 0 of gestation. Owing to severe
    maternal toxicity at 25 mg/kg bw per day, additional groups of 35-41
    mice were given 0, 0.1, 1, or 10 mg/kg bw per day by gavage on days
    6-15 of gestation. The mice were observed for signs of toxicity and
    were weighed daily on day 6-16 of gestation and then sacrificed on day
    18. At the time of surgical removal of their fetuses, the weights of
    the liver and gravid uterus with ovaries were recorded. The uteri of
    non-pregnant mice were stained with sodium sulfide to ensure that no
    implantations had occurred. The fetuses were weighed, measured
    (crown-rump length), sexed, and examined externally. One-third of the
    fetuses were dissected to examine the soft tissues. All of the heads
    were preserved in Bouin's solution and subsequently sectioned. All
    fetuses were stained with Alizarin red for examination of the
    skeletons.

         Additional mice were added to the study to assess clinical
    changes. Cholinesterase (erythrocyte and plasma) activity was measured
    in groups of 4-10 mice given 1, 10, or 25 mg/kg bw per day on day 6,
    days 6-10, or days 6-15 of gestation, and these measurements were also
    made in a group treated with 0, 0.1, 1, or 10 mg/kg bw per day. Blood
    was collected for assay of cholinesterase 5 h after dosing on days 6,
    10, and 15 of gestation, respectively. A homogenate of fetal tissue
    was prepared from litters of mice killed on day 15 of gestation. Data
    were not provided on the body weights or food and water consumption of
    the animals in these groups.

         Appropriate statistical analysis was applied to the experimental
    data: fetal body weights and body measurements, maternal body weights,
    weights of maternal livers and uteri, and food and water consumption
    were analysed by one-way analysis of variance and Dunnett's test. The
    incidences of fetal resorptions and alterations were analysed by a
    modified Wilcoxon test. The Fisher exact test was applied to other
    data.

         In the dose-ranging study, severe cholinergic signs and
    consequent reproductive failure were found at doses > 30 mg/kg bw
    per day. In the first main study, dose-related increases in the
    incidence of clinical signs including mortality, excessive salivation,
    tremors, urine-soaked coat, ataxia and lethargy were found at 10 and
    25 mg/kg bw per day. A single death and isolated clinical signs at
    1 mg/kg bw per day were considered not to be related to treatment.
    Body-weight gain was reduced at 25 mg/kg bw per day, but no effects

    were observed on litter size, resorption incidence, or sex ratio.
    Fetal body weight and crown-rump length were significantly reduced at
    25 mg/kg bw per day. Plasma cholinesterase activity was depressed in a
    dose-related manner, while the activities in erythrocytes and fetal
    tissue homogenate were inhibited at 10 and  25 mg/kg bw per day (Table
    13). Exencephaly was reported in all groups, but with no dose-response
    relationship, and a statistically significant incidence of delayed
    ossification was seen at 25 mg/kg bw per day (Table 14). 

         The second main study showed no cholinergic signs in dams at any
    dose up to 10 mg/kg bw per day. Body weight, food intake, maternal
    liver weights, gravid uterine weight, and adjusted body weights were
    also unaffected. Cholinesterase activity was rapidly and significantly
    inhibited in plasma and erythrocytes at 1 and 10 mg/kg bw per day but
    was depressed in fetal tissue homogenates only at the high dose. No
    effects were observed on materna1 parameters or on litter size, the
    incidence of resorptions, the incidence of dead fetuses, the sex
    ratio, fetal body weight, or crown-rump length (Table 15). Significant
    fetal alterations are shown in Table 16. 

         Neither study provided evidence of teratogenic activity at any
    dose, but fetal toxicity was seen at 25 mg/kg bw per day. The NOAEL
    for developmental toxicity was therefore 10 mg/kg bw per day. The
    NOAEL for inhibition of erythrocyte cholinesterase activity was 0.1
    mg/kg bw per day, and the NOAEL for maternal toxicity was 1 mg/kg bw
    per day (JMPR, 1982; modified by reference to the original reports of
    Deacon et al., 1979, 1980).

          Rats 

         In a range-finding study of developmental toxicity, which was
    given a statement of quality assurance, Fischer 344 rats were fed
    chlorpyrifos (purity, 96.6%) by gavage at doses of 0, 3, 10, 15, or
    30 mg/kg bw per day during organogenesis. Slight maternal toxicity was
    observed at 15 mg/kg bw per day, and severe toxicity was observed at
    30 mg/kg bw per day, with typical cholinergic signs of excessive
    salivation, lachrymation, urination, defaecation, and body tremors and
    general observations of unkempt appearance, decreased body size, and
    matting of perineal and facial hair. Deaths were also seen at 30 mg/kg
    bw per day, and animals in this group had decreased body-weight gain,
    decreased food consumption, enlarged adrenal glands, decreased liver
    weight, and shrunken thymus glands. Both plasma and erythrocyte
    cholinesterase activities were depressed at all doses. Maternal
    toxicity was thus observed at all doses, but fetal toxicity was seen
    only at 30 mg/kg bw per day (Ouelette et al., 1983a).

         In the main study, which also had a statement of quality
    assurance, groups of 31-33 pregnant Fischer 344 rats were given
    chlorpyrifos (purity, 96.6%) by gavage in corn oil at doses of 0, 0.1,
    3, or 15 mg/kg bw per day on days 6-15 of gestation. They were mated
    1:1, and the day sperm were observed in a vaginal smear was considered
    to be day 0 of gestation. The rats were observed daily for signs of
    toxicity, were weighed daily on days 6-16 and day 21 of gestation, and


        Table 13. Significant findings in mice and offspring given chlorpyrifos by gavage on days 6-15 of 
              gestation

                                                                                                           
    Finding                                       Dose (mg/kg bw per day)
                                                                                                           
                                                  0              1              10             25
                                                                                                           

    No. of females                                51             40             44             47
    No. of animals with cholinergic signs         0              2              9              32
    Deaths                                        0              1              1              4
    Total pregnanta                               40 (4)         31 (1)         32 (1)         34 (1)
    No. with litters                              36             29             30             29
    Maternal body weight gain (g)b                21 ± 5         22 ± 3         22 ± 4         18 ± 4*
    No. of implantation sites per dam             13 ± 3         13 ± 2         13 ± 1         12 ± 3
    No. of fetuses per litter                     11 ± 3         12 ± 2         12 ± 2         11 ± 3
    Fetal body weight (g)                         1.14 ± 0.10    1.13 ± 0.07    1.15 ± 0.08    1.03 ± 0.17*
    Fetal crown-rump length (mm)                  25.0 ± 1.2     25.2 ± 0.9     25.3 ± 0.9     24.4 ± 1.6*
    Plasma cholinesterase activityc               100 (10)       15 (7)         4 (8)          2 (9)
    Erythrocyte cholinesterase activityc          100 (10)       86 (6)         57 (9)*        43 (9)*
    Fetal homogenate cholinesterase activity      100            81             65             35
                                                                                                           

    *   Significantly different from control at  p < 0.05
    a   Numbers in parentheses are pregnancies detected by sodium sulfide staining (not resulting in 
        litters).
    b   Days 6-17 of gestation
    c   Percent of control; numbers in parentheses are numbers of animals
    

    Table 14. Incidences (no. of fetuses/no. of litters) of significant 
              alterations in fetuses of mice given chlorpyrifos by gavage 
              on days 6-15 of gestation

                                                                           
    Alteration                             Dose (mg/kg bw per day)
                                                                           
                                           0       1        10       25
                                                                           

    No. of fetuses examined                408     347      359      326
    Exencephalya                           1/1     5/5*     1/1      4/3
    Ablephariaa                            1/1     1/1      1/1      2/2
    Cleft palatea                          0       2/2      1/1      2/1
    Small cerebral hemispherea             1/1     1/1      1/1      0
    Multiple skeletal malformationsa       0       0        1/1      0
    Fused ribsa                            1/1     0        1/1      0
    Skull: delayed ossification            5/5     9/5      10/6     34/10*
    Sternebrae: delayed ossification       37/17   24/11    19/11    78/22*
    Sternebrae: unfused                    2/2     7/6*     3/3      8/7*
    Sternebrae: fused                      24/16   9/16*    23/12    6/5*
                                                                           

    *  Significantly different from control group 
    a  Considered to be a major malformations


    were sacrificed on day 21. At the time their fetuses were surgically
    removed, the body and liver weights were recorded. The number of
    corpora lutea and the number and position of live and resorbed fetuses
    were recorded at necropsy. Fetuses were sexed, examined, and measured.
    The uteri of non-pregnant rats were stained with sodium sulfide to
    determine whether implantations had occurred in the absence of
    litters. Separate groups of 10 rats were dosed on days 6-15 of
    gestation and killed, when samples of maternal blood were collected by
    heart puncture to measure erythrocyte and plasma cholinesterase
    activity. Appropriate statistical analysis of the data was reported.

         There were no unscheduled deaths. Clinical signs of maternal
    toxicity were found, including excessive salivation, urine staining in
    the perineal region, porphyrin deposits around the eyes, and vaginal
    bleeding. Tremors were observed only at 15 mg/kg bw per day, and
    animals at this dose also had decreased body-weight gain; no other
    maternal findings were reported at necropsy. Both plasma and
    erythrocyte cholinesterase activities were depressed at doses of 3 and
    15 mg/kg bw per day (Table 17). No adverse effects were observed on
    reproductive parameters, and no teratogenicity was observed.
    Variations and malformations were found which were distributed
    randomly by dose, and no effect of treatment on skeletal development
    was seen. The NOAEL for maternal toxicity was 0.1 mg/kg bw per day, on
    the basis of inhibition of erythrocyte cholinesterase activity in all
    adult animals at higher doses. No fetal toxicity was observed
    (Ouelette et al., 1983b).


        Table 15. Significant findings in mice and offspring given chlorpyrifos by gavage on days 
              6-15 of gestation

                                                                                                         
    Finding                                     Dose (mg/kg bw per day)
                                                                                                         
                                                0             0.1           1             10
                                                                                                         

    No. of females bred                         41            35            36            35
    Total no. pregnanta                         30 (0)        25 (1)        23 (0)        28 (3)
    No. with litters                            30            24            23            25
    Maternal body weight gain (g)b              12 ± 6        14 ± 5        14 ± 5        14 ± 5
    No. of implantation sites per dam           10 ± 3        10 ± 3        10 ± 3        9 ± 4
    No. of fetuses per litter                   8 ± 3         7 ± 3         7 ± 3         7 ± 3
    Fetal body weight (g)                       1.04 ± 1.11   1.07 ± 0.15   1.08 ± 0.18   1.09 ± 0.12*
    Fetal crown-rump length (mm)                24.4 ± 1.1    24.8 ± 1.6    24.9 ± 2.1    24.8 ± 1.2*
    Plasma cholinesterase activityc             100 (8)       86 (6)        25 (7)*       3 (6)*
    Erythrocyte cholinesterase activityc        100 (8)       88 (6)        75 (7)*       50 (6)*
    Fetal homogenate cholinesterase activityc   100           84            95            77
                                                                                                         

    * Significantly different from control at  p < 0.05
    a Numbers in parentheses are pregnancies detected by sodium sulfide staining.
    b Days 6-17 of gestation
    c Percent of control; numbers in parentheses are numbers of animals.
    


    Table 16. Incidences (no. of fetuses/no. of litters) of significant 
              alterations in fetuses of mice given chlorpyrifos by gavage 
              on days 6-15 of gestation

                                                                          
    Alteration                           Dose (mg/kg bw per day)
                                                                          
                                         0        0.1      1       10
                                                                          

    Exencephalya                         1/1      1/1      0       1/1
    Ablephariaa                          1/1      0        0       0
    Cleft palatea                        0        0        1/1     0
    Omphalocelea                         0        0        0       1/1
    Skull: delayed ossification          18/10    11/6     3/2     3/3
    Sternebrae: delayed ossification     50/20    25/13    25/13   17/11
    Sternebrae: unfused                  3/3      6/5      0       1/1
    Sternebrae: fused                    13/7     9/7      3/3     12/8
                                                                          

    a  Considered to be major malformations


         Female CD Sprague-Dawley rats were mated 1:1 with stock males
    from the same source and strain. Technical-grade chlorpyrifos (stated
    purity, 96.1%) was formulated daily as solutions in maize oil and
    given to groups of 32 mated females in a volume of 5 ml/kg bw by oral
    gavage at doses of 0.5, 2.5, or 15 mg/kg bw per day on days 6-15
     post coitum. A further group received maize oil only. This study was
    conducted in accordance with US Food and Drug Administration and
    Environmental Protection Agency guidelines for GLP and testing
    guidelines of the OECD (No. 414) and US Environmental Protection
    Agency (section 83-3). All females were examined daily for signs
    associated with treatment. Animals were weighed on days 0, 3, 6-15,
    17, and 20 of gestation, and food consumption was measured twice
    weekly. Ten mated females were bled on day 15 for measurement of
    plasma cholinesterase activity, blood samples being obtained from the
    retro-orbital sinus under ether anaesthesia. The same procedure was
    repeated for an additional 10 animals per dose immediately before
    necropsy on day 20. The animals used for cholinesterase determinations
    on day 15 were discarded without necropsy after being bled. All
    remaining animals were killed on day 20, and the following were
    recorded for each animal: any macroscopic abnormality of the
    reproductive tract; number of corpora lutea in each ovary; weight of
    gravid uterus; distribution of live and dead fetuses and distribution
    of resorption sites in each uterine horn; individual placental
    weights; individual fetal weight, length, and sex; and external
    anomalies of individual fetuses. The thoracic and abdominal contents
    of approximately one-half of each litter were dissected and examined,
    and these fetuses were used for skeletal staining and evaluation; the
    remaining fetuses were used for preparation of free-hand sections and
    examination of visceral organs.

        Table 17. Adverse effects in rats given chlorpyrifos by gavage

                                                                                               
    Finding                                        Dose (mg/kg bw per day)
                                                                                               
                                                   0         0.1          3           15
                                                                                               

    No. of females                                 31        32           33          31
    No. of animals with cholinergic signs          0         0            0           12
    Total no. pregnanta                            30 (0)    28 (0)       26 (0)b     29 (1)
    No. of litters                                 29        26           24          26
    Maternal body weight gain (g)c                 65 ± 11   64 ± 14      71 ± 12     58 ± 11
    No. of implantation sites per dam              11 ± 2    10 ± 2       10 ± 2      10 ± 3
    No. of fetuses per litter                      10 ± 3    9 ± 2        10 ± 3      9 ± 3
    Mean fetal body weight (g)                     4.28      4.37         4.52*       4.46*
    Mean fetal crown-rump length (mm)              43.91     43.93        43.96       43.64
    Plasma cholinesterase activity (IU/ml)d        46.0      42.8 (93%)   4.9 (11%)   1.5 (3%)
    Erythrocyte cholinesterase activity (IU/ml)d   12.1      11.9 (98%)   3.1 (26%)   2.5 (21%)
                                                                                               

    *  Significantly different from control 
    a  Numbers in parentheses are pregnancies detected by sodium sulfide staining.
    b  Two dams removed during dosing for reasons not related to treatment
    c  Days 6-20
    d  Mean of 6-8 dams on day 15, IU/ml (percentage of control)
    

         No treatment-related deaths occurred during the study, and
    clinical signs of intoxication were confined to tremors late in the
    study in three animals at 15 mg/kg bw per day. Slight but
    statistically significant decreases in mean food consumption (8%
    reduction during day 79 only) and body-weight gain were seen at
    15 mg/kg bw per day. Statistically significant, dose-related decreases
    in plasma cholinesterase activity were observed at all doses;
    erythrocyte and brain cholinesterase activities were not determined.
    The effects on litters are summarized in Table 18. The total live
    litter sizes were unaffected by treatment, but at 15 mg/kg bw per day
    the mean number of live male fetuses was statistically significantly
    decreased and post-implantation loss was slightly elevated.
    Statistically significant increases in pre-implantation loss were seen
    at all doses, but there was no consistent dose-response relationship
    and the incidence was within historical control values for this
    laboratory; the finding was considered not to be related to treatment.
    At 15 mg/kg bw per day, slight but statistically significant increases
    were seen in mean fetal weight and mean crown-rump length, but as the
    increase in fetal weight was not accompanied by a decrease in litter
    size, this finding may have been due to advanced fetal development and
    was considered to be of no toxicological significance. Similarly, the
    statistically significant decrease in the incidence of small fetuses
    observed in all test groups was considered not to be toxicologically

    significant. A number of minor structural variations were reported,
    including a single incidence of anophthalmia at 0.5 mg/kg bw per day
    and instances of microphthalmia at 0.5 and 2.5 mg/kg bw per day, but
    the incidence of such findings was low and/or were not related to
    dose. These findings were therefore considered to be incidental to
    treatment. Skeletal examination showed no adverse treatment-related
    findings. The NOAEL for frank maternal toxicity was 2.5 mg/kg bw per
    day, on the basis of reduced body weight, tremors, and transient
    reductions in food consumption at 15 mg/kg bw per day. The NOAEL for
    fetal toxicity was 2.5 mg/kg bw per day, on the basis of a slight
    increase in post-implantation loss at 15 mg/kg bw per day, probably
    associated with maternal toxicity (Rubin et al., 1987a).

          Rabbits 

         Groups of 14 female New Zealand white rabbits were mated 1:1 with
    stock males from the same source and strain and given technical-grade
    chlorpyrifos (stated purity, 96.1%), formulated daily as solutions in
    maize oil, by oral gavage at doses of 1, 9, 81, or 140 mg/kg bw per
    day (in a volume of 2 ml/kg bw) on days 7-19  post coitum. The doses
    for animals at 81 and 140 mg/kg bw per day were prepared directly, and
    those for the animals at 1 and 9 mg/kg bw per day were prepared by
    diluting the dose of 81 mg/kg bw per day with maize oil. A further
    group received maize oil only. This study was conducted in accordance
    with US Food and Drug Administration and Environmental Protection
    Agency guidelines for GLP and testing guidelines of the OECD (No. 414)
    and US Environmental Protection Agency (section 83-3). The doses were
    selected after a preliminary range-finding study. On day 15, three
    does at 81 mg/kg bw per day were accidentally given a dose of
    140 mg/kg bw, and the group was expanded to 21 animals so that the
    overdosed animals could be excluded from the study if that was found
    to be warranted. Two of the three animals were pregnant, but no
    apparent difference was found from the females treated at 81 mg/kg bw
    per day, and the maternal and fetal data for these animals were
    included in the report. All animals were examined daily for clinical
    signs associated with treatment. Any animals found dead or killed
     in extremis were autopsied to determine the cause of death. Animals
    were weighed on days 0, 3, 7-19, 22, 25, and 29 of gestation, and food
    consumption was determined twice weekly. Plasma cholinesterase
    activity was measured before mating and again after at least 10 days
    of dosing. The does were killed on day 29 and the following were
    recorded: any macroscopic abnormality of the reproductive tract; the
    number of corpora lutea in each ovary; the weight of gravid uterus;
    the distribution of live and dead fetuses and of resorption sites in
    each uterine horn; individual placental weights; individual fetal
    weight and crown-rump length; sex; and external anomalies of
    individual fetuses. The thoracic and abdominal contents were dissected
    and examined, and the skull of each fetus was sectioned transversely
    through the frontal-parietal suture, and the brain examined. Each
    fetus was used for skeletal staining and evaluation.


        Table 18. Effects on fetuses of rats given chlorpyrifos by gavage

                                                                                                        
    Effect                                           Dose (mg/kg bw per day)
                                                                                                        
                                                     0          0.5          2.5           15
                                                                                                        

    Pre-implantation loss (%)                        8.6        12.2***      11.5***       11.4***
    Post-implantation loss (%)                       7.0        6.0          5.8           9.0**
    Mean fetal weight (g)                            3.33       3.40         3.44          3.51**
    Mean crown-rump length (mm)                      36.0       36.2         36.3          36.7**
    Live fetuses: 
        Male                                         7.6        8.0          6.8           6.0*
        Female                                       6.8        7.0          7.3           7.5
        Total                                        14.4       15.0         14.1          13.4
    Small fetuses (no. observed)                     48 (317)   25 (315)**   20 (311)***   13 (282)***
    Ablepheron (no. observed)                        0 (317)    0 (315)      1 (311)       0 (282)
    Major cranio-facial malformations:               0 (317)    1 (315)      0 (311)       0 (282)
        proboscis, anophthalmia  (no. observed)
    Hydronephrosis (no. observed)                    0 (161)    0 (158)      1 (158)       0 (146)
    Hydroureter                                      0 (161)    0 (158)      1 (158)       0 (146)
    Anophthalmia: free-hand section                  0 (156)    1 (157)a     0 (153)       0 (136)
    Microthalmia: free-hand section                  0 (156)    1 (157)a     0 (153)       0 (136)
                                                                                                        

    *,  p < 0.05; **,   p < 0.01; ***,   p < 0.001
    a  Same fetus
    

         No treatment-related deaths were observed during the study, and
    no treatment-related clinical signs were reported. Maternal group mean
    food consumption was unaffected by treatment, and group mean body
    weights and body-weight gains were not affected by treatment at doses
    up to 81 mg/kg bw per day. At 140 mg/kg bw per day, body-weight gain
    was inhibited during most of the treatment period, although it was
    greater than normal after cessation of treatment, and by day 29 the
    animals in this group had attained body weights similar to those in
    the control group. Statistically significant, dose-related decreases
    in plasma cholinesterase activity were seen at all doses after 10 days
    of treatment, with inhibition of 56% at 1 mg/kg bw per day, 68% at 9
    mg/kg bw per day, 70% at 81 mg/kg bw per day, and 72% at 140 mg/kg bw
    per day compared with controls. Erythrocyte and brain cholinesterase
    activities were not determined. 

         Statistically significant decreases in pre-implantation loss were
    observed at most doses, but this finding was considered not to be
    toxicologically significant. Statistically significant increases in
    post-implantation loss were observed at 9 and 140 mg/kg bw per day but
    not at 81 mg/kg bw per day. In the absence of a consistent
    dose-response relationship, the toxicological significance of this
    finding was unclear; no historical control data were supplied for this
    effect from the laboratory. A slight but statistically significant
    decrease in mean fetal crown-rump length and a decrease in mean fetal
    weight were observed in animals at 140 mg/kg bw per day, and these
    effects were considered to be related to treatment. A number of fetal
    anomalies were observed but were considered not to be
    treatment-related as the incidence was generally low and unrelated to
    dose. An increased incidence of fetuses with fifth sternebra and/or
    unossified xiphisternum seen at 140 mg/kg bw per day was considered to
    be related to slightly delayed development at this dose, as indicated
    by reduced fetal weight and length in this group. Given the variation
    in the incidence of other skeletal observations in treated groups,
    however, this finding may have been due to chance. The NOAEL for frank
    maternal toxicity was 81 mg/kg bw per day, on the bais of decreased
    body-weight gain at the higher dose. The NOAEL for fetal toxicity was
    81 mg/kg bw per day, on the basis of a slight decrease in mean fetal
    crown-rump length, decreased mean fetal weight, and an increased
    incidence of fetuses with fifth sternebra and/or unossified
    xiphisternum at the higher dose (see Table 19) (Rubin et al., 1987b).

    (f)  Special studies: Neurotoxicity

          Chickens 

         No signs of delayed ataxia or paralysis were reported in groups
    of three hens treated with single oral doses of chlorpyrifos at 40,
    75, 100, or 150 mg/kg bw. The two higher doses resulted in deaths and
    other clinical signs of toxicity (Stevenson, 1966a). Similarly, groups
    of 10 hens given single oral doses of chlorpyrifos at up to 100 mg/kg
    bw did not display delayed neurotoxicity, and no neuropathological
    findings associated with treatment were detected (Rowe et al., 1978).
    In another study, single oral doses of chlorpyrifos at up to five


        Table 19. Effects on litters and fetuses of rabbits given chlorpyrifos by gavage

                                                                                                          
    Effect                                                    Dose (mg/kg bw per day)
                                                                                                          
                                                              0       1        9         81       140
                                                                                                          

    Number of fetuses examined                                108     117      126       142      99
    Pre-implantation loss (%)                                 15.2    13.1     8.9***    11.9*    11.5*
    Post-implantation loss (%)                                6.5     8.6      13.8***   8.7      13.9***
    Mean fetal weight (g)                                     45.4    44.3     43.3      41.8     40.7
    Mean crown-rump length (mm)                               97.4    95.9     95.0      94.2     93.2*
    Teeth absent                                              0       0        1         0        0
    Arthrogryposis, forelimb                                  0       0        2         0        0
    Irregularly shaped thorax                                 0       0        0         0        1
    Hydrocephalus                                             0       0        1         0        0
    Enlarged aortic arch                                      0       0        1a        0        0
    Rudimentary pulmonary artery                              0       0        1a        0        0
    Agenesis of interventricular cardiac septum               0       0        1a        0        0
    Hydronephrosis (bilateral)                                2       0        0         4        1
    Hydronephrosis (unilateral)                               2       2        1         2        1
    Diffuse opacity of eye                                    0       0        0         2        0
    No. of fetuses examined for skeletal defects              108     117      126       142      99
    Reduced or incomplete ossification of interparietal bone  3       4        3         5        2
    Unossified interparietal bone                             0       1        0         0        3
    Reduced or incomplete ossification of hyoid bone          2       10*      17***     16**     8*
    Irregular ossification of one or more of sternebrae 1-4   1       2        7*        8*       1
    Bony plaque adjacent to sternebra                         10      6        2**       3*       1**
    Unossified fifth sternebra and/or xiphisternum            1       1        2         3        6*
    Multiple malformations of ribs and lumbar spine           0       0        0         0        1
                                                                                                          

    *,   p < 0.05; **,  p < 0.01; ***,   p < 0.001
    a  Same fetus
    

    times the oral LD50 in hens (> 150 mg/kg) resulted in significant
    inhibition of neuropathy target esterase and cholinesterase activity
    (Capodicasa et al., 1991), with signs consistent with
    organophosphate-induced delayed neuropathy. Extensive, aggressive
    antidotal treatment, both before and throughout the treatment and
    recovery periods, was required for the birds' survival. 

         Technical-grade chlorpyrifos (purity, 96.8%) was tested for acute
    toxicity and delayed neurotoxicity in adult domestic hens in a study
    carried out according to GLP. In the assessment of neurotoxicity,
    groups of 10 birds were given corn oil, tri- ortho-cresyl phosphate
    (positive control; 20% in corn oil; 500 mg/kg), chlorpyrifos
    (110 mg/kg bw) plus atropine sulfate (intramuscular injection;
    10 mg/kg bw), chlorpyrifos (110 mg/kg bw; 5.5% in corn oil) plus
    pyridine 2-aldoxime methane sulfonate (intramuscular injection;
    50 mg/kg bw; 5% aqueous solution), or were not treated and were
    maintained as a source of additional birds if necessary. The hens were
    observed for 21 days, at which time all those given the corn oil were
    given a second dose, and all treated birds were given chlorpyrifos,
    followed by another 21-day observation period. 

         No clinical signs of toxicity were observed in those given the
    vehicle. In birds given tri- ortho-cresyl phosphate, no signs of
    toxicity were observed immediately after dosing, but all birds
    developed signs of delayed locomotor ataxia as early as day 11 after
    treatment. The birds given chlorpyrifos showed signs of toxicity after
    either dose, including subdued appearance, unsteadiness, inability to
    stand, and weakness. Deaths were observed in both chlorpyrifos-treated
    groups, four birds that died after the first dose with atropine
    sulfate (no deaths after the second dose) and three after the first
    dose of chlorpyrifos with pyridine 2-aldoxime methane sulfonate (one
    death after the second dose). Surviving birds recovered completely
    within 5-8 days of treatment. Additional doses of atropine sulfate
    were given to several birds in both groups treated with chlorpyrifos
    owing to the severity of the clinical signs observed.
    Histopathological examination revealed a low incidence of minor
    neurological changes (grade II on a scale of I-V of increasing
    severity) in several birds given the vehicle, which was considered to
    show a normal background incidence of axonal degeneration. Most of the
    birds given tri- ortho-cresyl phosphate had grade III changes at at
    least one level of spinal cord and grade III or IV changes in at least
    one level of peripheral nerve, indicating significant
    treatment-related axonal degeneration. Three birds treated with
    chlorpyrifos showed grade II changes at one level of peripheral nerve
    only, and these findings were considered to be similar to the
    incidence and severity of changes seen in the vehicle controls. Thus,
    oral administration of a single dose of chlorpyrifos at 110 mg/kg bw
    to hens and another dose after 21 days did not induce clinical signs
    of delayed neurotoxicity, as confirmed by histopathological
    examination of nervous tissues (Roberts et al., 1987)

         When chlorpyrifos was given to chickens for 91 days in the diet
    at doses of < 10 mg/kg bw per day in a study conducted according to
    GLP, the only compound-related clinical signs were transient, slight
    gait alterations in a number of birds at the high dose. No
    histopathological lesions of nerve tissues characteristic of
    organophosphate-induced delayed neuropathy were seen. Concurrent
    positive controls showed both toxic signs and histopathological
    lesions of nerve tissues typical of those induced by a delayed
    neurotoxicant (Barna-Lloyd et al., 1986).

         To determine whether repeated doses of chlorpyrifos at the
    maximum tolerated dose caused cumulative inhibition of neuropathy
    target esterase and organophosphate-induced delayed neuropathy,
    chlorpyrifos (purity, 100%) was given orally to 15 white Leghorn hens,
    18 months of age, for 20 days at a dose of 10 mg/kg bw per day. Corn
    oil was given to a control group of 18 birds. Physical observations
    (including posture and gait) were made daily. Three hens per group
    were killed on days 0 (controls only), 4, 10, 15, 20, and 48, and
    brain acetylcholinesterase, plasma butyryl cholinesterase, and
    lymphocyte and brain neuropathy target esterase were assayed. Body
    weights were decreased during treatment, by 25% when compared with
    controls on day 20, but had recovered to about 87% of that of controls
    by the end of the study. Some birds showed acute effects (staggering
    gait and diarrhoea) during week 1 of treatment. Diarrhoea was also
    seen in controls and may have been associated with the corn oil. No
    behavioural or perching defects were seen during the observation
    period. During days 4-20, brain cholinesterase activity was depressed
    by 58-70% and plasma cholinesterase activity by 49-80% when compared
    with control values, but after the 4-week observation period brain
    cholinesterase activity had recovered to 86% and plasma cholinesterase
    to 134% of the controls values; neuropathy target esterase activity in
    brain and lymphocytes throughout the study was 82-99% and 85-128% of
    that in controls, respectively. This finding was not statistically
    significant for lymphocytes, but the 18% inhibition of brain
    neuropathy target esterase activity on days 10 and 20 was
    statistically significant. There were no indications of delayed
    neurotoxicity after repeated administration of a dose that caused
    significant inhibition of brain cholinesterase activity and loss of
    body weight (Richardson et al., 1993a). 

         In order to clarify the magnitude of the neuropathic risk
    associated with exposure to chlorpyrifos, groups of three 18-month-old
    white Leghorn hens were given single oral doses of chlorpyrifos
    (purity, 100%) at 0, 75, 150, or 300 mg/kg bw with atropine (20 mg/kg
    bw subcutaneously at the time of the first dose of chlorpyrifos and
    additional doses as needed to maintain the hens for 4 days). Four days
    after treament, when the hens were killed, brain acetylcholinesterase
    activity was depressed by 0, 58, 75, and 86% and neuropathy target
    esterase activity by 0, 21, 40, and 77% at the three doses,
    respectively. In a further study, 18 hens were given corn oil alone
    and 15 atropine-protected hens were given chlorpyrifos at a single
    oral dose of 150 mg/kg bw. Three controls were killed on day 0, and
    three treated and three control hens were killed on days 1, 2, 4, 8,

    and 16. Brain acetylcholinesterase activity was inhibited by 86, 82,
    72, 43, and 29% on days 1, 2, 4, 8, and 16 after treatment, and brain
    neuropathy target esterase activity was inhibited by 30, 28, 38, 29,
    and 6%. No signs of organophosphate-induced delayed neuropathy were
    observed. 

         In studies  in vitro in which chlorpyrifos-oxon was added to
    whole brain homogenate, the rate constant for the enzyme-inhibitor
    complex was 15.5 per mm per min for acetylcholinesterase and 0.145 per
    mm per min for neuropathy target esterase. The calculated 20-min
    fixed-time IC50 values were 2.2 nmol/L for acetylcholinesterase and
    240 nmol/L for neuropathy target esterase. The measured IC50 values
    based on fixed-time (20 min) preincubation were 2.2 nmol/L for
    acetylcholinesterase and 210 nmol/L for neuropathy target esterase.
    The ratio of the calculated values for neuropathy target
    esterase:acetylcholinesterase is 110. As a ratio of > 1 generally
    indicates that the dose that would be required to cause
    organophosphate-induced delayed neuropathy would be in excess of the
    LD50, acute exposure to chlorpyrifos, except at doses well in excess
    of the LD50, would not be anticipated to induce this condition
    (Richardson et al., 1993b).

         The potential of chlorpyrifos to cause acute delayed
    neurotoxicity was tested in white Leghorn hens given doses < 12
    mg/kg bw per day for 21 days by oral gavage in peanut oil. Dose- and
    time-related increases in the incidence and severity of ataxia were
    observed. Plasma and whole blood cholinesterase activities were
    reduced at 5 and 12 mg/kg bw per day. Ataxia was observed at 2, 5, and
    12 mg/kg bw per day. Necropsy did not reveal any findings associated
    with treatment. Histopathological examination of the brain and spinal
    cord revealed a low incidence of several lesions, with no relation to
    dose, and these findings were considered to be incidental to
    treatment. Since continued administration of chlorpyrifos resulted in
    ataxia, it would have been difficult to observe any delayed
    neurological effects had they occurred (Jai Research Foundation,
    1996b).

          Rats 

         In rats, single oral doses of chlorpyrifos at 50-100 mg/kg bw
    resulted in treatment-related effects and clinical signs for several
    days after dosing. No deaths occurred at any dose. At 10 mg/kg bw,
    effects were confined to isolated observations of perineal staining
    and/or decreased activity. No neuropathological lesions were reported
    (Wilmer, 1992; Mattsson et al., 1996).

         In a study in adult Long-Evans rats carried out in accordance
    with GLP, oral administration of chlorpyrifos at doses < 10 mg/kg
    bw per day for 4 weeks resulted in dose-related inhibition of plasma
    and erythrocyte cholinesterase activity at > 1 mg/kg bw per day and
    of brain cholinesterase activity at > 3 mg/kg bw per day. These
    effects were accompanied by clinical signs of intoxication at 10 mg/kg
    bw per day. Cognitive behavioural tests indicated some non-cognitive

    changes associated with impaired motor activity at 10 mg/kg bw per
    day, but no clear treatment-related effects on cognitive function were
    observed (Maurissen et al., 1996).

         After oral administration of chlorpyrifos to rats at single doses
    < 100 mg/kg bw in a study that conformed to GLP, no
    treatment-related effects on neuropathy target esterase activity were
    observed at any dose. Plasma, erythrocyte, and heart cholinesterase
    activity was statistically significantly lower than that in controls
    at doses > 5 mg/kg bw, and brain cholinesterase activity was
    decreased at > 50 mg/kg bw. No significant inhibition was observed
    at 0.5 or 1 mg/kg bw (Dittenber, 1997).

         The neurotoxic potential of chlorpyrifos (purity, 99.5%) was
    assessed in groups of 20 male Long-Evans hooded rats, approximately 70
    days old with a mean body weight of 350 g. The test material was
    dissolved in corn oil and given to the rats by oral gavage in a volume
    of 1 ml/kg bw at doses of 0, 10, 30, 60, or 100 mg/kg bw. All rats
    were evaluated for behavioural signs 3.5 h after dosing with a
    functional observational battery of tests consisting of evaluations of
    home cage, open-field, and manipulative neurobehaviour. The measures
    were autonomic activity (lachrymation, salivation, miosis,
    defaecation), motor activity (rearing, home cage posture), convulsive
    activity (tremors), neuromuscular activity (gait score, landing foot
    splay, righting reaction), general reactivity (arousal, removal
    reactivity), sensorimotor activity (responses to tail pinch, click,
    approach), and physiological reactions (body temperature, body
    weight). Data on motor activity were recorded during a 1-h session in
    a maze shortly after testing. Tissue samples were obtained after the
    motor activity tests, 4.5 and 25 h after dosing. Half of the animals
    in each group were killed at 3.5 h, and the remaining 10 animals were
    examined again at 24 h and then killed. Immediately after sacrifice,
    the brain, retina, liver, heart, diaphragm, and quadriceps femoris
    muscle were collected from all animals. The brain was sectioned
    mid-sagitally, and the remaining half-brain was further sectioned to
    obtain the frontal cortex, hippocampus, striatum, hypothalamus,
    cerebellum, and pons/medulla. Blood was collected from the trunk.
    Muscarinic receptor density was determined in all brain regions and in
    the heart and retina. Cholinesterase activity was determined in brain,
    muscle, retina, plasma, erythrocytes, whole blood, and liver. 

         Cholinesterase activity was significantly inhibited in a range of
    tissues, including brain, plasma, and erythrocytes, at all doses at
    both 4.5 and 25 h (Table 20). As the data were represented only as
    graphs, the percentages are approximations. Erythrocyte cholinesterase
    activity was slightly more sensitive than that of plasma at the doses
    used in this study, and plasma cholinesterase activity recovered more
    quickly than that of erythrocytes. The degree of inhibition of
    whole-blood cholinesterase activity lay between that of plasma and
    erythrocyte activity at both 4.5 and 25 h. Whole-brain cholinesterase
    activity can be considered representative of that in various regions
    of the brain, although a number of regions showed less inhibition than
    was measured in the half-brain in this study. In peripheral tissues,


        Table 20. Percentage inhibition of cholinesterase activity compared with controls in rats given chlorpyrifos by gavage

                                                                                                                           
    Time (h)   Dose         Inhibition of cholinesterase activity (%) 
               (mg/kg bw)                                                                                                  
                            Plasma   Erythrocytes   Blood   Half-brain   Retina    Heart   Diaphragm   Quadriceps   Liver
                                                                                                                           

    4.5          10          80          90          85        40          40        55        40           5         70
                 30          85          95          90        70          65        65        55          20         70
                 60          85         100          90        85          80        70        70          70         80
                100          90         100          95        90          90        75        85          85         85

    2.5          10          35          75          55        30          30        40        5         + 10         25
                 30          75          90          85        60          60        75        35          20         70
                 60          95         100          95        80          75        90        65          35         85
                100          95         100          95        85          85        90        75          55         85
                                                                                                                           

    When inhibition was > 20% in comparison with corresponding controls, the change in cholinesterase activity was 
    statistically significant ( p < 0.05).
    

    the inhibition was much lower in the quadriceps than in other tissues
    at 4.5 h, and inhibition of heart, liver, and retina cholinesterase
    activity was similar at 25 h.

         Clinical and behavioural signs were observed at doses
    > 30 mg/kg bw at 4.5 h. The doses selected for this study resulted
    in a skew of some correlations, especially for cholinesterase
    inhibition in blood and blood components, with behavioural and
    clinical findings. In order to examine the relationship between
    clinical and behavioural findings and cholinesterase inhibition, the
    authors grouped rats according to the extent of cholinesterase
    inhibition (instead of by dose) and indicated the incidence of
    cholinergic signs related to individual cholinesterase inhibition. The
    10 'cardinal' cholinergic signs that were used for this analysis were
    temperature, gait, motor activity, smacking, foot splay, tail pinch,
    tremors, lachrymation, pupil response, and salivation (Table 21). None
    of these signs was observed in the 18 animals with < 60% inhibition
    of brain cholinesterase activity. The incidence of these findings
    increased in relation to brain cholinesterase inhibition. In animals
    with < 80% inhibition of whole-blood cholinesterase activity, no
    signs were observed, while all of the signs were seen at varying
    incidences in animals with 90-100% inhibition. The correlation between
    these end-points and inhibition of cholinesterase in other tissues or
    in erythrocytes or plasma was not provided. These results were
    interpreted by the authors as indicating a threshold effect, since no
    clinical signs were observed until a certain percentage inhibition of
    cholinesterase activity was reached. Because of the doses selected for
    this study, marked inhibition was observed at the lowest dose in the
    absence of clinical findings. The use of a single dose also limited
    the usefulness of the findings. No clinical signs were seen when brain
    cholinesterase activity was inhibited by < 60% or when whole blood
    cholinesterase activity was inhibited by < 80% after a single dose of
    chlorpyrifos. The data do not suggest that these values could be
    extrapolated to repeated doses (Nostrandt et al., 1997).

         Technical-grade chlorpyrifos (purity, 98.1%) was given to groups
    of 10 male and 10 female Fischer 344 rats in the diet for 13 weeks at
    doses of 0, 0.1, 1, 5, or 15 mg/kg bw per day. The dietary
    concentrations were adjusted on the basis of measured weight and food
    consumption, but the range of dietary concentrations used to achieve
    these target doses was not provided. The study was conducted in
    accordance with GLP requirements and to meet US Environmental
    Protection Agency FIFRA guideline No. 82-7. Body weights and feed
    consumption were measured before treatment and weekly during
    treatment. Ophthalmic examinations were conducted before treatment and
    at necropsy. Cage-side observations were made twice daily and clinical
    examinations weekly. A functional observational battery of tests was
    applied to all rats before treatment and during weeks 4, 8, and 13 of
    treatment. Five rats of each sex per dose were examined for gross
    pathological alterations. Tissues for histopathological evaluation
    were prepared only from rats in the control and high-dose groups. Nine
    transverse sections of the brain included the olfactory bulb, cerebral
    cortex (frontal, parietal, temporal, and occipital lobes),


        Table 21. Incidence (%) of cardinal cholinergic signs in rats given chlorpyrifos by gavage and grouped according to 
              extent of inhibition of cholinesterase activity (numbers of rats in parentheses)

                                                                                                                              
    End-point        Inhibition of brain cholinesterase activity (%)      Inhibition of blood cholinesterase activity (%)
                                                                                                                               
                     90-100 (10)   80-90 (8)    70-80 (7)    60-70 (7)    < 60 (18)     90-100 (25)   80-90 (14)    < 80 (11)
                                                                                                                              

    Temperature          100          100           86           57            0            92            36            0
    Gait                 100          100           57           71            0            84            43            0
    Motor activity        90           88           86           57            0            84            36            0
    Smacking              90           63           57            0            0            64            14            0
    Foot splay            40           38           29            0            0            32            14            0
    Tail pinch            70           38            0            0            0            40             0            0
    Tremors               90           25            0            0            0            44             0            0
    Lachrymation          80           13            0            0            0            32             7            0
    Pupil response        60            0            0            0            0            24             0            0
    Salivation            30            0            0            0            0            12             0            0
                                                                                                                              
    

    thalamus/hypothalamus, midbrain, pons, cerebellum, medulla oblongata,
    and nucleus gracilis/cuneatus. Other tissues examined were the
    trigeminal ganglion and nerve, pituitary, eyes (retina and optic
    nerve), spinal cord (cervical and lumbar), olfactory epithelium, and
    skeletal muscles (gastrocnemius and anterior tibial). 

         A low incidence of perineal staining was seen in females at 5 and
    15 mg/kg bw per day. No decrease in body weight was recorded at any
    dose. Gross pathological examination did not reveal any
    treatment-related effects. Histopathological examination revealed a
    small number of isolated findings that were similar in control and
    treated groups and which were not considered to be related to
    treatment. These included slight degeneration of individual nerve
    fibres in the trapezoid body of the medulla oblongata in four control
    males and three control females and in one male and two females at the
    high dose; slight degeneration of individual nerve fibres in the
    cervical spinal cord of a single male at the high dose; and myelin
    ellipsoids in the lumbar spinal cord of one male at the high dose and
    one female control. A slight reduction in motor activity was observed
    at 15 mg/kg bw per day during week 4 only, but the toxicological
    significance of this finding was unclear. Cholinesterase activity was
    not measured in this study. No neuropathological findings related to
    treatment were observed at any dose. The NOAEL for cholinergic effects
    was 1 mg/kg bw per day, and that for neuropathy was 15 mg/kg bw per
    day (Shankar et al., 1993).

         In a study designed to investigate the effects of age on the
    toxicity of chlorpyrifos, rats received corn oil or chlorpyrifos
    orally at doses of 80 mg/kg bw for adults and 15 mg/kg bw for young
    rats (at postnatal day 17). These doses were equally effective in
    inhibiting cholinesterase activity. In adult rats, peak behavioural
    changes and cholinesterase inhibition occurred in males 3.5 h after
    dosing, while in females the onset of functional changes occurred
    sooner, the time course was more protracted, and recovery was slower.
    In young rats, the maximal behavioural effects and cholinesterase
    inhibition occurred 6.5 h after dosing, with no sex-related
    difference. Partial to full recovery from the behavioural changes was
    seen at 24-72 h, whereas the cholinesterase activity recovered more
    slowly. The blood and brain cholinesterase activity in young rats had
    almost recovered by 1 week after dosing, whereas the brain
    cholinesterase activity in adults had not recovered by 2 weeks. Assays
    for binding to muscarinic receptors showed apparent down-regulation in
    some areas of the brain, mostly at 24 and 72 h. Rats at postnatal day
    17 generally showed more receptor down-regulation than adults, whereas
    only adult females showed receptor changes in striatal tissue that
    persisted for 2 weeks. Thus, young rats showed similar behavioural
    changes and cholinesterase inhibition to adults, although at a
    fivefold lower dose; the onset of maximal effects was somewhat delayed
    in the young rats; cholinesterase activity tended to recover more
    quickly in the young rats; young rats appeared to have more extensive
    muscarinic receptor down-regulation; and young rats showed no
    sex-related difference in functional changes (Moser & Padilla, 1998). 

         Chlorpyrifos was administered subcutaneously to neonatal rats at
    1 or 5 mg/kg bw per day on postnatal days 1-4 or daily at 5 or 25
    mg/kg bw per day on days 11-14, and the two groups of pups were
    examined at postnatal days 5 and 10 or 15 and 20, respectively. Pups
    treated at postnatal days 1-4 had a significant increased mortality
    rate (> 50%) at 5 but not at 1 mg/kg bw per day; the body weights of
    the affected pups were decreased by 10-15% and the brain was
    significantly smaller than that of controls. The survivors showed
    severe cell loss in the brainstem; brainstem growth was maintained by
    enlargement of the remaining cells. The lower dose did not compromise
    survival or growth. Neither dose had an adverse effect on the
    forebrain, despite the fact that the brainstem and forebrain have
    comparable cholinergic projections. Pups treated on postnatal days
    11-14 showed no increase in mortality rate at 5 mg/kg bw per day but a
    significant increase (> 80%) at 25 mg/kg bw per day at day 15. The
    body weights of the affected pups were significantly decreased
    (> 40%), and the major target for cell loss shifted from the
    brainstem to the forebrain. The pups at 5 mg/kg bw per day had a
    small, transient loss in body weight; there was no significant effect
    on whole brain weight, but these pups showed loss of forebrain cells
    between 15 and 20 days of age, and the total amount of DNA in the
    forebrain declined whereas an increase was seen in the forebrains of
    control pups. The brainstem showed a smaller but not significant cell
    loss during this period. The cerebellum differed from the other
    regions in that it showed short-term increases in DNA after exposure
    to chlorpyrifos in either the early or the late postnatal period;
    nevertheless, the values then regressed to subnormal, in parallel with
    loss of cells in other regions. 

         Although regions rich in cholinergic projections, such as the
    brainstem and forebrain, may be more severely affected than
    non-cholinergic regions such as the cerebellum, the time of maturation
    of each region (brainstem earliest, forebrain intermediate, cerebellum
    last) appears to be more important in determining vulnerability. The
    weights of the various regions remained within normal limits despite
    severe reductions in cell numbers, probably because reactive
    hypertrophy of the remaining cells masked the cell loss. These results
    suggest that chlorpyrifos induces cellular deficits in the developing
    brain even when growth or survival is unaffected; however, the route
    of administration and the doses used in this study limit the relevance
    of these findings to humans (Campbell et al., 1997). 

         Chlorpyrifos was administered subcutaneously to neonatal rats at
    doses of 1 or 5 mg/kg bw per day on postnatal days 1-4, or at 5 mg/kg
    bw per day on days 11-14, and the two groups of pups were examined on
    postnatal days 5 and 10 or 15 and 20, respectively. Signs of
    interference with the adenyl cyclase signalling cascade were
    determined in the heart and developing brainstem and cerebellum. Pups
    treated on postnatal days 1-4 at 1 mg/kg bw per day showed no signs of
    toxicity, while there was significant mortality (> 50%) at 5 mg/kg bw
    per day. Pups treated on postnatal days 11-14 at 5 mg/kg bw per day
    showed no deaths or clinical signs. No significant changes in the
    weights of the brain region were found at these apparently non-toxic

    doses. Cholinesterase activity in the brainstem of the pups given
    1 mg/kg bw per day was inhibited by 25% when measured 24 h after the
    last dose, but recovery was substantial (< 10% inhibition) by day 10.
    Cholinesterase activity in the brainstem of the pups given 5 mg/kg bw
    per day on days 11-14 was inhibited by > 60% when measured 24 h after
    the last dos, but recovery was again substantial (< 30% inhibition)
    by postnatal day 20. Separate examinations of the forebrain,
    cerebellum, and heart showed that chlorpyrifos had evoked deficits in
    multiple components of the adenyl cyclase cascade: the expression and
    activity of adenyl cyclase itself, functioning of the G-proteins that
    link neurotransmitter and hormone receptors to cyclase activity, and
    expression of neurotransmitter receptors that act through this
    cascade. Disruption of signalling function was not restricted to
    transduction of cholinergic signals but extended to adrenergic signals
    as well. In most cases, the adverse effects were not evident during
    administration of chlorpyrifos but appeared after several days. Most
    of the results of this study were presented in summary form only (Song
    et al., 1997). 

         The acute neurobehavioural effects (as determined by
    observational tests of function and motor activity) of two carbamates,
    carbaryl and aldicarb, and five organophosphates, chlorpyrifos,
    diazinon, parathion, fenthion, and diisopropyl fluorophosphate, were
    evaluated in 10-week-old male Long-Evans rats on the day of dosing at
    the time of the peak effect, at 1 and 3 days, and 1 week after dosing.
    All doses were administered by oral gavage in corn oil in a volume of
    1 ml/kg bw, except carbaryl, which was given in 2 ml/kg bw. A weight
    loss of about 10% was recorded with each substance only at the high
    dose. Generally, all of the cholinesterase inhibitors induced
    autonomic signs of cholinergic over-stimulation (salivation,
    lachrymation, and miosis), hypothermia, mild tremors, mouth-smacking
    (chewing motions), decreased motor activity, decreased tail-pinch
    response, and altered neuromuscular function (gait changes and
    increased foot splay). The measures found to be most sensitive on the
    day of dosing were body temperature, motor activity, gait, and the
    presence of mouth-smacking and fine tremors, although no single
    measure was the most sensitive for all compounds. Differences in the
    slopes of the dose-response curves were evident for some measures.
    Many effects were still present at 24 h, but the rats recovered from
    the effects of all compounds. Interestingly, residual effects were
    found at 72 h with the carbamates and with the organophosphate
    fenthion, but not with the other compounds; this may be due, at least
    in the case of the carbamates, to slow absorption from the gut. Thus,
    the overall clinical toxicity profile of these cholinesterase
    inhibitors was similar, but compound-specific differences emerged in
    terms of individual measures, dose-response relationships, and time
    course; the behavioural effects induced by these compounds may be due
    to both cholinergic and non-cholinergic mechanisms. Only summary data
    were available for evaluation (Moser, 1995).

         Chlorpyrifos was administered subcutaneously to neonatal rats at
    2 mg/kg bw on postnatal day 1 or at 11 mg/kg bw per day on postnatal
    days 6-9. The developing brain regions (brainstem, forebrain, and

    cerebellum) were examined for signs of interference with cell
    development by using markers of cell division. The 1-day-old rats
    showed significant inhibition (about 15%) of DNA synthesis in all
    brain regions within 4 h of treatment. Equivalent results were
    obtained when a small dose (0.6 or 2 µg/g brain) was introduced
    directly into the brain by intracisternal injection, indicating that
    the effect was not secondary to systemic toxicity. Comparable
    inhibition (> 10%) of DNA synthesis was seen in these animals at 8
    days of age, but at this point there was regional selectivity, with
    sparing of the cerebellum (about 1% inhibition). In another phase of
    this study, 6-8-day-old animals were pretreated with mecamylamine, a
    nicotinic receptor antagonist, and then with chlorpyrifos at 11 mg/kg
    bw. The pretreatment caused a decrease in DNA synthesis and also
    prevented any further decrement in DNA synthesis due to chlorpyrifos.
    Administration of chlorpyrifos at 1 day of age caused severe (> 30%)
    inhibition of protein synthesis throughout the brain; the effect was
    distinct from that on DNA synthesis, as it had diminished
    substantially by 8 days of age (< 10%) and did not show regional
    selectivity. Assays of ornithine decarboxylase activity 4 and 48 h
    after treatment with chlorpyrifos in 1- and 8-9-day-old rat pups
    showed no significant alteration of activity in any brain region in
    comparison with appropriate controls. The authors concluded that the
    effects of chlorpyrifos on DNA and protein synthesis are not secondary
    to generalized cell damage or suppression of cell metabolism, as
    evidenced by the maintenance of normal ornithine decarboxylase
    activity. The results of this study were presented only in summary
    form (Whitney et al., 1995) 

         Pregnant Sprague-Dawley rats were given chlorpyrifos at doses of
    0, 0.3, 1, or 5 mg/kg bw per day by gavage in corn oil from day 6 of
    gestation through day 11 of lactation, and their neurobehavioural
    performance was evaluated. A satellite group of mated females was
    dosed similarly every day on days 6-20 of gestation and used to obtain
    blood and brain samples for analysis of cholinesterase. This study was
    conducted in accordance with GLP standards. There were no deaths and
    only a few clinical signs (fasciculations, hyperpnoea,
    hyper-reactivity, and decreased body-weight gain) in the dams at the
    high dose. Between days 1 and 5 of lactation, three dams at 5 mg/kg bw
    per day had total litter loss and an additional 57 pups died or were
    cannibalized; these losses led to a decreased viability index.
    Necropsy of many of the dead pups indicated treatment-related lack of
    maternal care (no milk in the stomach). No similar effects of
    treatment were seen at the other doses. In dams, cholinesterase
    activity in plasma and erythrocytes was inhibited at all three doses,
    with > 40% inhibition at 0.3 mg/kg bw per day. Brain cholinesterase
    activity was inhibited at the two higher doses, but the inhibition at
    1 mg/kg bw per day was not > 20% that of controls. Pups that were
    exposed to chlorpyrifos  in utero and for a period  post partum 
    showed signs of toxicity at the high dose: the weights of male and
    female pups were significantly lower than those at the other doses,
    consistent with the decreased food consumption and lack of body-weight
    gain by dams at this dose. Morphometric measurements of the brain and
    brain sections of six pups of eachsex per dose showed a pattern of an

    increase at the low dose and a decrease at the high dose, which was
    more pronounced in male pups, paralleling the differences in brain
    weight between the groups. Hence, the NOAEL for maternal toxicity was
    1 mg/kg bw per day. The LOAEL for inhibition of plasma and erythrocyte
    cholinesterase activity was 0.3 mg/kg bw per day, and the NOAEL for
    inhibition of brain acetylcholinesterase activity was 1 mg/kg bw per
    day. The NOAEL for toxic effects in the pups was 1 mg/kg bw per day on
    the basis of the decreased viability index, relative brain weight, and
    delayed sexual maturity, possibly associated with maternal toxicity
    and subsequent diminished maternal care at the high dose. Cognitive
    function (learning, memory, and habituation) in the pups were not
    affected by treatment (Hoberman, 1998).

         Adult male Long-Evans rats were trained to perform a test of
    memory and motor function and were then injected subcutaneously with
    single doses of 0, 60, 125, or 250 mg/kg bw of chlorpyrifos in peanut
    oil (2 ml/kg bw) and tested on 5 days/week for 7 weeks. Unconditioned
    behaviour was also rated for signs of cholinergic toxicity.
    Cholinesterase activity was measured in whole blood and in several
    brain regions, and muscarinic receptor density and the hypothermic
    effect of oxotremorine challenge were determined. Clinical signs of
    toxicity were seen in one rat at 250 mg/kg bw. Whole-blood
    cholinesterase activity was inhibited by 60-75% in a dose-dependent
    fashion on day 4 but had recovered to near control values by day 53 in
    animals given 60 mg/kg bw and by day 74 in those given 125 mg/kg bw.
    Brain cholinesterase activity was strongly inhibited in a
    dose-dependent manner and was inhibited by < 95% on day 7 in
    animals given 250 mg/kg bw. By day 21, partial recovery of
    cholinesterase activity was seen in some brain regions after the doses
    of 60 and 125 mg/kg bw, but no significant recovery was seen in
    animals given 250 mg/kg bw. Muscarinic receptor density decreased with
    dose and time. At 250 mg/kg bw, the receptor density in the
    hippocampus, frontal cortex, and striatum had fallen to 70-75% of the
    control values after 7 days and to 60% 21 days after dosing; the
    hypothalamic receptors were less severely affected. In comparison with
    controls, the hypothermia induced by oxotremorine challenge was
    significantly less pronounced in each group receiving chlorpyrifos on
    days 8 and 32, but was comparable to that of controls by day 52.
    Unconditioned behaviour was relatively unaffected by treatment, with
    fine tremor in the head and limbs, the only sign of cholinergic
    overstimulation, peaking on day 9 and no longer observed by 14 days
    after dosing. Functional deficits in working memory and motor function
    appeared within 2 days of injection of a dose of chlorpyrifos that
    caused severe cholinergic effects, but the animals recovered within
    3 weeks. The definition of working memory in this paper was
    non-specific, and the short-term memory of the animals was unaffected
    by treatment (Bushnell et al., 1993).

         The authors contrasted these findings to those seen in rats dosed
    with the organophosphate diisopropyl fluorophosphate (Bushnell et al.,
    1991). These rats showed progressive, persistent impairment of
    cognitive and motor function over a 3-week period of daily exposure,
    despite neurochemical and pharmacological evidence of tolerance to

    diisopropyl fluorophosphate-induced inhibition of cholinesterase. This
    difference suggests that the diisopropyl fluorophosphate-induced
    behavioural changes cannot be attributed entirely to its effects on
    cholinesterase activity and changes in muscarinic receptor binding.

         Pregnant Sprague-Dawley rats were injected subcutaneously with
    either peanut oil or chlorpyrifos (purity, 98%) at 200 mg/kg bw as a
    single dose on day 12 of gestation and then killed on day 16 or 20 of
    gestation or on postnatal day 3 for measurement of maternal and
    developmental indicators of toxicity. While most treated dams showed
    no overt cholinergic signs, 4/28 showed moderate-to-severe signs 2-3
    days after treatment, and these rats were omitted from further
    studies. Maternal body weight was decreased by 15% 3 days after
    treatment, after which the body-weight increase was comparable to that
    of controls. Chlorpyrifos did not significantly affect fetal body
    weights or brain weights when assayed on day 16 or 20 of gestation.
    Inhibition of acetylcholinesterase activity (by 82-88%) was seen in
    maternal brain at all three times after exposures. At days 16 and 20
    of gestation, fetal brain acetylcholinesterase activity was  inhibited
    by 42-44%. While some degree of recovery in acetylcholinesterase
    activity was seen in pup brain by postnatal day 3, it was still
    inhibited (by 30%) in treated pups cross-fostered by control dams.
    Maternal brain muscarinic receptor binding at day 20 of gestation and
    postnatal day 3 was more extensively reduced (30-32%) than in the
    developing brain (16 and 11%, respectively). The response to a simple
    postnatal reflex test of righting was transiently altered (present at
    on day 1 but not on day 3) by exposure to chlorpyrifos. The results
    suggested that acute exposure of dams during gestation induced more
    extensive neurotoxicological effects in the dams than in their
    developing fetuses, but the dose and the route of administration make
    the relevance of this finding unclear (Chanda et al., 1995). 

         The maximum tolerated dose of chlorpyrifos in Sprague-Dawley rats
    injected subcutaneously in peanut oil was 45 mg/kg bw in 7-day-old
    pups and 280 mg/kg bw in adults (80-100 days old) (Pope et al., 1991).
    At this dose, the neonates showed an initial transient decrease in
    body weight when compared with controls. Adult rats also had an
    initial decrease in body weight, but this had recovered by the end of
    the 7-day observation period. Brain cholinesterase activity increased
    by about 42% in neonates on days 7-14, whereas it remained constant in
    adults. Neonatal brain cholinesterase activity was inhibited by 80% on
    day 1 and by 45% on day 7, whereas 90% inhibition was seen in adults
    on day 4, with little or no recovery. In plasma, inhibition of
    cholinesterase activity was rapid and marked (95%) in pups on day 1
    but had recovered to 50% of control by day 7. In adults, such
    inhibition persisted through day 7, with no recovery of activity.

         In a study to determine whether a measure of inhibitory potency
     in vivo, the ED50, could be correlated with a measure of acute
    toxicity, the maximum tolerated dose, in neonatal and adult rats,
    chlorpyrifos was given by subcutaneous injection in peanut oil.
    Cholinesterase inhibition was measured at the time of peak inhibition
    (24 h in neonates and 4 days in adults). Depression of cholinesterase

    activity versus log dose gave a straight line, and the slope of the
    curve of inhibition of plasma cholinesterase was slightly steeper than
    that of brain cholinesterase. The ED50 values for brain
    cholinesterase activity were 20 (range, 17-23) in neonates and 44
    (31-63) in adults, and those for plasma cholinesterase activity were
    20 (13-31) in neonates and 70 (40-120) in adults. The correlation
    between the two values was good for neonates but not for adult rats
    (Pope & Chakraborti, 1992).

         Groups of five 3-month old Sprague-Dawley rats were given
    chlorpyrifos (purity, 98%) in peanut oil by subcutaneous injection at
    a dose of 280 mg/kg bw, and trunk blood, cerebral cortex, and corpus
    striatum were collected 2, 4, 6, and 12 weeks after dosing.
    Acetylcholinesterase activity was assayed, and the binding of
    [3H]quinuclidinyl benzilate to muscarinic receptors was measured in
    membranes of the cortex and striatum. Locomotor activity was measured
    for 30 min on 5 days/week. A challenge of scopolamine (1 mg/kg bw
    intraperitoneally) was given 2 weeks after chlorpyrifos treatment and
    then every two weeks for 12 weeks. Extensive inhibition of cortical
    and striatal cholinesterase activity was seen 2 (94-96%), 4 (about
    80%), 6 (about 60%), and 12 (15-20%) weeks after treatment. Plasma
    cholinesterase activity was inhibited to a lesser extent, and recovery
    was more rapid, with 85% inhibition at 2 weeks, 55% at 4 weeks, and
    30% at 6 weeks; the activity was normal at 12 weeks. The changes in
    cholinesterase activity were accompanied by reductions in muscarinic
    receptor binding sites in the cortex (34, 33, and 18% reductions in
    maximal binding) and striatum (48, 40, and 23% reductions) 2, 4, and 6
    weeks after exposure. Tests of locomotor activity showed hypoactivity
    in treated rats for 2-3 days after treatment. After the scopolamine
    challenge, chlorpyrifos-treated rats showed increased activity at all
    times except week 10 (Pope et al., 1992). 

         Chlorpyrifos was given to groups of six adult male Sprague-Dawley
    rats by subcutaneous injection at a dose of 280 mg/kg bw, and the
    animals were killed 2, 7, and 14 days after treatment. A significant
    ( p < 0.05), approximately 6% decrease in body weight was seen after
    2-3 days, but the body weights recovered during the remainder of the
    study. Chlorpyrifos caused marked inhibition of cholinesterase
    activity in brain regions and plasma at all times, with about 90%
    inhibition in the cortex, striatum, and plasma at day 2, and there was
    virtually no recovery of this activity within the 14-day recovery
    period. Reductions of < 55% in atropine-sensitive quinuclidinyl
    benzilate binding (total muscarinic receptors) and binding in the
    cortex and striatum were also observed (Chaudhuri et al., 1993).

         Pregnant Sprague-Dawley rats were injected subcutaneously with
    either peanut oil or chlorpyrifos (purity, 98%) at 25 mg/kg bw per day
    on days 12-19 of gestation and killed on day 20 of gestation or
    postnatal day 3. In a separate study to determine the dose-response
    relationship, rats were similarly exposed to chlorpyrifos at 6.25 or
    12.5 mg/kg bw per day on days 12-19 of gestation and killed on day 20
    for analysis of various neurochemical markers. No maternal toxicity
    was seen at any dose. Treatment with 25 mg/kg bw per day induced only

    an initial, slight, transient decrease in maternal body weight.
    Treatment from day 12 of gestation did not affect fetal weight at day
    16 or 20, but pup weight on postnatal day 1 was significantly reduced
    by treatment at this dose. Maternal brain cholinesterase activity
    measured on day 20 of gestation was significantly inhibited in a
    dose-related manner, with 75 and 90% inhibition at 6.25 and 25 mg/kg
    bw per day, respectively. Fetal brain cholinesterase activity was less
    severely inhibited, with 40 and 60% inhibition at the two doses,
    respectively. Extensive inhibition of acetylcholinesterase activity,
    to 10-17% of the control value, was seen in dams treated with 25 mg/kg
    bw per day. Significant, dose-related downregulation of muscarinic
    receptors in maternal and fetal brain was noted on day 20 of gestation
    after exposure at all doses. The responses to righting reflex and
    cliff avoidance tests were markedly altered after repeated exposures.
    Generally, the neurochemical effects were more severe in dams than in
    the developing fetuses, despite the greater sensitivity of fetal brain
    cholinesterase to inhibition by chlorpyrifos. Comparison of these
    results with those of an earlier study of acute exposure to
    chlorpyrifos (Chanda et al., 1995) indicated that repeated exposure
    causes greater down-regulation of muscarinic receptors than the
    equivalent acute dose (Chanda & Pope, 1996).

          Cats 

         Technical-grade chlorpyrifos dissolved in methylene chloride and
    mixed in olive oil was given to adult male, colony-raised, short-hair
    cats at doses of 0, 0.1, 0.5, 1, 5, 10, or 50 mg/kg bw to establish a
    dose that would induce clinical signs of toxicosis but not death. Two
    cats were used in this segment of the study, and each received
    increasing doses of chlorpyrifos. On the basis of deaths at 50 mg/kg
    bw, a dose of 40 mg/kg bw was selected for the next phase of the
    study, in which three groups of six cats received corn oil,
    chlorpyrifos, or chlorpyrifos followed by injections of atropine
    sulfate every 12 h for 2 days. Two cats receiving the antidote also
    received pyridine 2-aldoxime methane sulfonate every 12 h until the
    clinical signs had abated. All cats given chlorpyrifos showed clinical
    signs of toxicity, and one cat died 4 days later. Whole-blood and
    plasma cholinesterase activity was reduced in all treated animals, but
    the levels had returned to pre-test levels after 7-28 days. Brain
    cholinesterase activity was normal in all animals that survived until
    the end of the study, 28 days after treatment. Gross pathology
    revealed no treatment-related lesions, and haematological parameters
    were unaffected (Hooser et al., 1988).

         Groups of five adult male cats received a single intramuscular
    injection of corn oil (vehicle), diisopropyl fluorophosphate (positive
    control; 5 mg/kg bw), or chlorpyrifos (purity, 99%; 300 mg/kg bw) and
    were observed for 60 days. Atropine and pyridine 2-aldoxime methane
    sulfonate were given to chlorpyrifos-treated animals once or twice
    daily for 14-24 days. Ataxia was observed in positive controls (mean
    onset, 16 days; range, 14-19 days) and in those given chlorpyrifos
    (mean onset, 19 days; range, 17-21 days) . Functional deficits were
    seen, characterized by a crouched-waddling gait, hypermetria, and

    proprioceptive deficits, and these effects were still present in both
    groups 56 days after exposure; the effects in chlorpyrifos-treated
    animals began to subside after day 35. Lymphocyte neuropathy target
    esterase activity was inhibited by < 96% in positive control
    animals (24 h after dosing) and by 46% in chlorpyrifos-treated cats
    (7 days after dosing) but had reached control levels by day 28 in the
    latter group. Whole-blood cholinesterase activity was reduced by
    < 86% by day 4 and slowly recovered to control levels by day 56.
    Diisopropyl fluorophosphate had inhibited cholinesterase activity by
    < 63% 24 h after dosing, but the recovery of activity was similar
    to that in chlorpyrifos-treated animals. Histological examination
    (Table 22) revealed degeneration of axons in animals treated with
    chlorpyrifos and with diisopropyl fluorophosphate, and, while the
    lesions were similar, they were more severe in chlorpyrifos-treated
    animals. The effects were characterized by axonal degeneration with
    vacuolar (spongy) changes in the white matter tracts of the cerebrum,
    cerebellum, and spinal cord and occasionally in the peripheral nerves.
    Vacuolization was seen, resulting from distension of axonal spaces
    associated with focal axonal swelling and degeneration of myelin and
    myelin-forming cells, with infiltration of snall numbers of
    macrophages (Fikes et al., 1992). The route of administration and
    magnitude of the dose in this study limit its usefulness. 

    (g)  Studies on metabolites

         (i)  Acute toxicity

         The main metabolite of chlorpyrifos, TCP, was generally of lower
    acute toxicity than chlorpyrifos (Table 23).

         (ii) Short-term studies of toxicity

         Groups of 10 rats of each sex were fed diets containing 0, 0.01,
    0.03, 0.1, 0.3, or 1% TCP for 90 days. The three lower doses had no
    treatment-related effects on body-weight gain, mortality, food
    consumption, haematological values, blood urea nitrogen, alkaline
    phosphatase, or average body and organ weights. The NOAEL was 0.1% in
    the diet, approximately 50 mg/kg bw per day, on the basis of reduced
    body-weight gain at 1% (Beatty, 1964).

         Groups of 15 rats of each sex were fed diets containing sodium
    TCP at concentrations providing doses of 0, 10, 30, or 100 mg/kg bw
    per day for 91 days. The dietary concentration was varied to allow for
    increasing body weight and ranged from about 85, 250, and 825 ppm at
    day 0 to about 160, 460, and 1540 ppm at day 84 at the three doses,
    respectively. Significantly increased body-weight gain was observed in
    males at 30 mg/kg bw per day from day 48 onwards. There were no
    treatment-related changes in haematology, urinary analysis, or blood
    chemistry values. The absolute weight of the heart was increased in
    males at 100 mg/kg bw per day, and increased absolute and relative
    liver and kidney weights were seen in animals of each sex at this
    dose. There were no gross or histopathological alterations due to
    treatment. The NOAEL was 30 mg/kg bw per day on the basis of increased
    relative liver and kidney weights (Barna-Lloyd & Szabo, 1985).


        Table 22. Occurrence and severity (score ± SD of histological changes in the nervous system of cats 
              given a single intramuscular injection of chlorpyrifos, diisopropyl fluorophosphate 
              (positive control), or corn oil

                                                                                                             
    Location           Treatment
                                                                                                             
                       Corn oil                     Diisopropyl fluorophosphate   Chlorpyrifos
                                                                                                             
                       No. affected  Score          No. affected   Score          No. affected   Score
                                                                                                             

    Brain
        Cerebruma      2/5           0.40 ± 0.49    4/5            0.80 ± 0.40    4/5            2.00 ± 0.63
        Cerebellumb    1/5           0.20 ± 0.40    2/5            0.40 ± 0.49    3/5            1.00 ± 0.89

    Spinal cord
        C2             2/5           0.20 ± 0.49    4/5            0.80 ± 0.40    5/5            1.40 ± 0.49
        C7             1/5           0.20 ± 0.40    3/5            0.60 ± 0.49    5/5            1.40 ± 0.49
        T-L            4/5           0.80 ± 0.40    5/5            1.00 ± 0.0     4/5            0.80 ± 0.40
        L4             0/5           0.00 ± 0.0     5/5            1.60 ± 0.49    5/5            1.80 ± 0.40

    Sciatic nerve      0/5           0.00 ± 0.0     3/5            0.60 ± 0.49    1/5            0.20 ± 0.40
                                                                                                             

    Severity of lesions (axonal swelling, vacuolar change, myelin degeneration) in each section was given the 
    score of the most severely affected area. The lesions were scored as 0 = normal or equivocal, 1 = mild 
    (1-5 nerve fibres affected/high power field), 2 = moderate (6-10 nerve fibres affected), 3 = marked 
    (11-15 nerve fibres affected), and 4 = severe change (> 20 nerve fibres affected).

    a  Anterior parietal cerebrum sectioned transversely immediately posterior to the optic chiasm and 
       anterior to the infundibulum
    b  Transverse section through the cerebellum and brain stem at the level of the trigeminal nerves

    Table 23. Acute toxicity of 3,5,6-trichloro-2-pyridinol (TCP) administered orally

                                                                                                                     
    Species   Strain            Sex    Vehicle                     LD50 (mg/kg bw          Reference
                                                                   and 95% CI or range)
                                                                                                                     

    Mouse     Swiss             M      0.5% hydroxypropylmethyl    380 (333-433)           Gerbig & Emerson (1970a)
                                F      cellulose (Methocel)        414 (367-469)

    Rat       Sprague-Dawley    M      0.5% hydroxypropylmethyl    794 (709-889)           Gerbig & Emerson (1970b)
                                F                                  870 (758-1009)

    Doga      Beagle            NR     Gelatine capsule            > 1000                  Gerbig & Emerson (1970c)
                                                                                                                     

    NR, not reported
    a  One dog received two doses of 1000 mg/kg bw TCP, a second received four doses of 500 mg/kg bw, and a third 
       received eight doses of 50 mg/kg bw. Emesis was seen in all animals within 1-3 h of dosing. There were no deaths.
    

         Groups of two beagles of each sex were given diets containing TCP
    at concentrations providing doses of 0, 26, or 80 mg/kg bw per day for
    93 days. At termination, haematological parameters were normal. There
    was no NOAEL as elevated serum alkaline phosphatase activity and
    histopathological evidence of liver damage and increased testicular
    weights were seen in the treated animals (JMPR, 1972; modified by
    reference to the original report of Copeland, 1964).

         Groups of three dogs of each sex were given diets containing TCP
    at concentrations providing doses of 1, 3, 10, or 30 mg/kg bw per day
    for 91 days. No toxic effects were seen at the three lower doses, but
    at 30 mg/kg tbw per day evidence of liver toxicity was seen, with
    increased activity of alkaline phosphatase and alanine and aspartate
    aminotransferases although there was no unequivocal sign of liver
    damage on histopathological examination (JMPR, 1972; modified by
    reference to the original report of Emerson & Gerbig, 1970).

         Groups of four beagles of each sex were fed diets containing TCP
    at concentrations providing doses of 0, 3, 12, or 48 mg/kg bw per day
    for 1 year in a study conducted according to GLP. No details of the
    clinical observations were reported. The body weights of males were
    not statistically significantly different between groups, but females
    at the high dose had consistently lower body weights than controls and
    statistically significantly lower body-weight gains. No changes in
    food consumption were found in treated groups, and no alterations in
    haematological or urinary parameters. The dose-related changes in
    clinical chemistry values that were attributed to treatment were
    increased serum alkaline phosphatase and alanine aminotransferase
    activities in males and females at 3, 6, and 12 months. The values
    were comparable to those of controls at 3 mg/kg bw per day,
    consistently elevated but generally not to a statistically significant
    degree at 12 mg/kg bw per day, and were statistically significantly
    increased at 48 mg/kg bw per day at most times. There were no gross or
    histopathological lesions that were associated with treatment and no
    changes in absolute or relative organ weights. The NOAEL for systemic
    effects was 12 mg/kg bw per day, on the basis of a lack of a
    consistent, statistically significant increase in enzyme activities at
    that dose (Zempel et al., 1987).

         (iii) Genotoxicity

         TCP was not genotoxic in a range of assays  in vitro and
     in vivo (Table 24).

         (iv) Developmental toxicity

         In a range-finding study, Fischer 344 rats were given TCP
    (purity, 99.7%) at doses of 0, 43, 75, or 127.5 mg/kg bw per day on
    days 6-15 of gestation by oral gavage. Clinical signs (perineal
    soiling) were seen sporadically in all dams at the highest dose and in
    some at 75 mg/kg bw per day. Food and water consumption were
    unaffected by treatment. The signs of maternal toxicity were limited
    to reduced body-weight gain in dams at the high dose. The relative and


        Table 24. Results of tests for the genotoxicity of 3,5,6-trichloro-2-pyridinol

                                                                                                                    
    End-point           Test object               Concentration         Purity   Results      Reference
                                                                         (%)
                                                                                                                    

     In vitro 
    Reverse mutation    S. typhimurium            3.16, 10, 31.6,       99.7     Negativea,b  Zempel & Bruce (1986)
                        TA98, TA100,              100, 316 µg/plate
                        TA1535, TA1537,           in DMSO
                        TA1538

    Unscheduled         Rat hepatocytes           1-100 µg/ml in        99.7     Negativec    Gollapudi (1987)

    DNA synthesis       (Fischer CDF 344)         DMSO

    Forward mutation    Chinese hamster           62.5, 125, 250,       99.7     Negativea    Linscombe & Gollapudi 
                        ovary cells, hprt locus   500, 750 µg/ml                              (1986)

     In vivo 
    Micronucleus        Mouse (CD-1)              250, 500, 750,        99.9     Negative     McClintock & Gollapudi 
    formation           marrow cells              1000, 1500, 2000,                           (1989b; GLP)
                                                  3000 mg/kg bw 
                                                  orally in corn oil

    Micronucleus        Mouse (CD-1)              0, 24, 76, 240 mg/kg  99.7     Negative     Bruce et al. (1985)
    formation           marrow cells              bw orally in 
                                                  corn oil
                                                                                                                    

    GLP, good laboratory practice; DMSO, dimethyl sulfoxide
    a   With and without an exogenous metabolic system
    b   Toxic at 100 (some strains) and 316 (all strains) µg/plate
    c   Toxic at 50 and 100 µg/ml
    

    absolute weights of the liver and kidney were unaffected by treatment,
    and there was no observable effect on reproductive parameters
    (Scortichini et al., 1986a).

         Groups of Fischer 344 rats were given 0, 50, 100, or 150 mg/kg bw
    per day of TCP (purity, 99.7%) on days 6-15 of gestation by oral
    gavage in a study that conformed to GLP. No clinical signs of toxicity
    were seen in any group. Slight vaginal bleeding occurred in one animal
    at 50 mg/kg bw per day and two at 150 mg/kg bw per day on day 13. Food
    consumption was slightly decreased in animals at 100 mg/kg bw per day
    and decreased by about 10% in those at the high dose. Significant,
    dose-related decreases in body-weight gain were recorded throughout
    treatment at 100 and 150 mg/kg bw per day. Changes in the relative and
    absolute liver and kidney weights were restricted to a significant
    increase (4%) in the relative liver weight at 150 mg/kg bw per day,
    consequent to a significant decrease (5%) in body weight at this dose.
    There was a dose-related trend in the number of implantation sites per
    dam, which was reflected in the number of fetuses per litter and
    probably in gravid uterine weight; the latter trend may also reflect
    the trend to lower body weight with higher dose. Fetal examination
    revealed a small number of findings in each group, including controls.
    Overall, treatment had no significant effect on reproductive
    parameters or fetuses. The NOAEL for maternal effects was 50 mg/kg bw
    per day on the basis of decreased body-weight gain, and that for fetal
    toxicity and teratogenic effects was 150 mg/kg bw per day, the highest
    dose tested (Hanley et al., 1987a).

         In the first phase of a study in inseminated New Zealand white
    rabbits, the animals were given TCP (purity, 99.7%) on days 6-18 of
    gestation by oral gavage at doses of 0, 48.5, 80, or 130 mg/kg bw per
    day. As there was uncertainty that the maximum tolerated dose had been
    reached in this phase, additional groups of animals were given 130 or
    210 mg/kg bw per day (phase 2). Maternal body-weight gain during
    gestation was depressed but not statistically significantly and was
    highly variable at the highest dose in both phases. Gross examination
    of all animals showed no significant findings or any differences
    between groups. At 210 mg/kg bw per day, resorptions were seen in all
    litters, and the percent implantations resorbed and the percent
    litters with resorptions were statistically significantly different
    from those in the comparable control group in phase 2. There was no
    observable effect of treatment on reproductive parameters at doses up
    to 130 mg/kg bw per day (Scortichini et al., 1986b).

         Groups of New Zealand white rabbits were given TCP (purity,
    99.7%) by oral gavage on days 7-19 of gestation at doses of 0, 25,
    100, or 250 mg/kg bw per day in a study that met GLP requirements.
    Female animals were given injections of human chorionic gonadotropin
    to synchronize estrus and were inseminated 3 weeks later, which was 
    presumed to be day 0 of gestation. No clinical signs of toxicity were
    seen in any group. Water and food consumption were not reported. A
    dose-related decrease in body-weight gain was seen during treatment,
    which reached statistical significance at the high dose. There were no
    treatment-related changes in the relative or absolute weights of the

    liver or kidney. Fetal examination revealed a small number of
    malformations in each group, including controls. Overall, there was no
    statistically significant effect of treatment on reproductive
    parameters or fetuses, but an increased incidence of central nervous
    system malformations at the intermediate and high doses suggested a
    possible teratogenic effect, and the authors concluded that these
    findings provided evidence of teratogenic potential, despite a lack of
    statistical significance. The malformations included severe dilatation
    of the cerebral ventricles and hydrocephaly. The incidences of minor
    external, visceral, or skeletal alterations were unchanged. The NOAEL
    for maternal effects was 100 mg/kg bw per day on the basis of
    decreased body-weight gain during treatment. The NOAEL for fetal
    toxicity and teratogenic effects was 25 mg/kg bw per day, on the basis
    of central nervous system malformations at higher doses (Hanley et
    al., 1987b).

    3.  Observations in humans

    3.1  Experimental studies

         A commercial preparation of chlorpyrifos containing 35% xylene
    was applied to the skin of the back and abdomen of four volunteers
    (skin area not stated) at a dose of 5, 10, 25, or 50 mg/kg bw 20 (5
    days/week), four, three, and two times, respectively. The material was
    covered with an occlusive patch for 12 h, and after removal of the
    patch each site was scored for irritation before washing. Each site
    was used only once. Plasma and erythrocyte cholinesterase activity was
    determined before and several times after treatment (exact times not
    stated; for results, see Table 25). In another study, five volunteers
    received dermal doses of 94-620 mg/kg bw for 12 h and showed similar
    inhibition of erythrocyte and plasma cholinesterase activity 24, 48,
    and 72 h after exposure, even at the highest dose. No skin irritation
    was recorded. Plasma cholinesterase activity was significantly
    inhibited with two of the dose regimens, the activity reaching a
    minimum around 3 days after the last dose and then recovering to
    control values within 4-10 days; erythrocyte cholinesterase activity
    were not inhibited with any regimen (Kilian et al., 1970).

         Four volunteers were exposed for 5 min to a formulation
    containing 61.5% chlorpyrifos and 34.5% xylene from an ultra-low
    volume cold aerosol fog generator delivering 3.8 L/h. Air sampling
    showed a concentration of chlorpyrifos in the breathing space of about
    108 mg/L (range, 83-133 mg/L). The subjects were exposed at a distance
    of 8 m and wore plastic coveralls allowing exposure of the heads and
    hands of two subjects and the heads, hands, and arms of the other two.
    Exposure was terminated after 5 min because of the ocular and
    pulmonary irritation induced. Plasma and erythrocyte cholinesterase
    activity was not depressed 24 h after exposure (Pennington & Edwards,
    1971).

        Table 25. Cholinesterase activity after dermal dosing of humans (% of pre-treatment value)

                                                                                                          
    Dose regimen                End of dosing           Day 1                   Day 3
                                                                                                          
                                Plasma   Erythrocytes   Plasma   Erythrocytes   Plasma     Erythrocytes
                                                                                                          

    10 mg/kg bw for 4 × 12 h      99         102          97         103          97           100
    50 mg/kg bw for 2 × 12 h     100         100         100         100         102           100
    25 mg/kg bw for 3 × 12 h                              67          98          48            98
    5 mg/kg bw for 20 × 12 h      67         103          64         104          74           104
                                                                                                          

    One subject per dose regimen
    

         Groups of four healthy, adult, male volunteers received
    chlorpyrifos in tablet form at doses of 0, 0.014, 0.03, or 0.1 mg/kg
    bw per day for 27, 20, and 9 days, respectively, with breakfast.
    Control subjects received a placebo for 48 days. Although not
    specifically stated, the high dose appears to have been withdrawn
    because of the severity of plasma cholinesterase inhibition on day 9.
    No rationale was given for termination of treatment at the lower
    doses. Heparinized blood samples were obtained from the subjects twice
    weekly for determination of plasma and erythrocyte cholinesterase
    activity until all values had returned to pre-treatment levels. As it
    was not stated whether the blood samples were taken at the same time
    on each sampling day, the interval between administration and sampling
    is unknown. No indication was given of the frequency of observation
    for clinical signs after treatment or how such observations were made.

         A single subject at 0.1 mg/kg bw per day reported having a runny
    nose, blurred vision, and a feeling of faintness on the final day of
    dosing, and his plasma cholinesterase activity was found to be
    inhibited by 70% when compared with pre-treatment levels. No decrease
    in erythrocyte cholinesterase activity was seen in any subject during
    the study, and no other treatment-related effects were noted. Rapid,
    marked depression of plasma cholinesterase activity was observed in
    subjects at the high dose, and the activity did not return to control
    levels until about day 34. Similar results were obtained when the
    plasma cholinesterase activity in these subjects was compared with the
    baseline activity of the group before treatment. The mean plasma
    cholinesterase activity of men at 0.03 mg/kg bw per day was inhibited
    by > 20% on days 16-20 of treatment when compared with those given
    placebo, and the activity did not return to control levels for several
    weeks after cessation of treatment. The plasma cholinesterase activity
    of men at 0.014 mg/kg bw per day was inhibited by 20% only on day 13
    and was similar to the baseline activity from day 20 to day 27, even
    with continued administration of chlorpyrifos. Two-way analysis of
    variance indicated that the inhibition of mean plasma cholinesterase
    activity was significant only at 0.1 mg/kg bw per day ( p < 0.05)
    when compared with controls. The NOAEL for inhibition of erythrocyte
    cholinesterase activity was 0.1 mg/kg bw per day, the highest dose
    tested (JMPR, 1972; modified by reference to the original report of
    Coulston et al., 1972).

         Six white male volunteers aged 27-50 years were used in another
    study. One volunteer was given a single oral dose of 0.5 mg/kg bw
    chlorpyrifos in a lactose capsule, about 30 min after food, and about
    1 month later the other volunteers received the same treatment and the
    first volunteer was given a dermal dose of 0.5 mg/kg bw chlorpyrifos
    dissolved in methylene chloride. Two weeks after the first dermal
    dose, the first volunteer was given a further dermal dose of 0.5 mg/kg
    bw in dipropylene glycol methyl ether. The other volunteers were given
    a dermal dose of 5 mg/kg bw of chlorpyrifos in dipropylene glycol
    methyl ether 4 weeks after their oral dose. All urine was collected
    from volunteers from 24-48 h before dosing until 120 h after dosing. 

         No signs or symptoms of toxicity were reported in any of the men
    during the study. After oral administration of 0.5 mg/kg bw, the
    plasma cholinesterase activity of the first volunteer was inhibited by
    71% from that before treatment and that of the other men by a mean of
    85% within 12-24 h of treatment. The range of individual values was
    not provided. Plasma cholinesterase activity had returned to > 80% of
    the mean baseline value by 30 days after oral treatment. After dermal
    application on day 30, the plasma cholinesterase activity had
    decreased to approximately 70% of baseline, and returned to about
    80-90% of those levels by day 40 of the study. The intra-group
    variation was stated to be considerable, but the figures were not
    provided. Erythrocyte cholinesterase activity was not significantly
    inhibited by either oral or dermal doses of chlorpyrifos (Nolan et
    al., 1982, 1984).

         In a double-blind, randomized, placebo controlled study of the
    effects of single oral doses of chlorpyrifos (purity, 99.8%), groups
    of six fasted men and women aged 18-55 received doses of 0, 0.5, 1, or
    2 mg/kg bw in lactose powder. The study was conducted in two phases
    separated by 14 days. The volunteers were dosed with 0, 0.5, or 1
    mg/kg bw in the first phase and the results were assessed before
    administration of 0 or 2 mg/kg bw in the second phase. Blood samples
    were collected 10 and 0 h before treatment and 2, 4, 8, 12, 24, 36,
    48, 72, 96, 120, 144, and 168 h after treatment and analysed for
    erythrocyte cholinesterase activity and chlorpyrifos and its
    metabolites. In addition, all urine voided from 48 h before dosing to
    168 h after dosing was collected at 12- or 6-h intervals and analysed
    for chlorpyifos and metabolites. Haematology, clinical chemistry,
    urinary analysis and a brief physical examination were performed at
    completion of the study. Blood and urine were collected to determine
    each volunteer's paraoxonase status and the concentrations of
    chlorpyrifos and metabolites, but these data have not yet been
    reported. The volunteers were screened for general health according to
    set criteria and instructed to refrain from alcohol, strenuous
    exercise, and prescription medications before and during the study.
    The doses were taken by capsule after an overnight fast. The health
    status of subjects was monitored closely; vital signs (blood pressure,
    pulse, respiration, and temperature) were assessed before dosing and
    1, 2, 4, 8, 12, 24, 48, and 168 h after treatment. The subjects were
    questioned about their well-being at each sampling time, and the
    symptoms were evaluated clinically. The subjects were aware of the
    signs and symptoms of cholinergic toxicity and were instructed to
    inform the study physician of any adverse effects. The subjects were
    unaware of their treatment, and the signs and symptoms were assessed
    and treated by a physician who was also unaware of the treatment
    status of the subject.

         There were no significant deviations from the study protocol. One
    male control in phase 1 and one woman receiving 2 mg/kg bw did not
    provide a complete series of blood and urine samples. Treatment had no
    effect on general health or on clinical chemical parameters measured 7
    days after dosing. The only treatment-related effect was found in the
    woman who withdrew from the study, who had decreased erythrocyte

    cholinesterase activity when compared with her pre-treatment values at
    most sampling times, with 98.4% of the pretreatment value at 4 h after
    dosing, 77% at 8 h, 72% at 12 h, 74% at 24 h, 81% at 36 h, and 80% at
    48 h (Table 26). When the data for this subject are removed from the
    analysis, the mean for women receiving 2 mg/kg bw is indistinguishable
    from the value for concurrent controls (Table 26). The NOAEL for
    clinical signs or symptoms was thus the highest dose tested, and the
    NOAEL for inhibition of erythrocyte cholinesterase activity was 1
    mg/kg bw on the basis of significant inhibition in one of 12 subjects
    (Kisicki et al., 1999). 

    3.2  Case reports

         Blondell & Dobozy (1997) summarized the case reports, case
    series, statistical surveys, and epidemiological studies of acute and
    chronic health effects reported to be related to exposure to
    chlorpyrifos. The authors noted the limitations of their review,
    including inadequate documentation of exposure and effects, reporting
    biases, and absence of information on the denominator population at
    risk. They concluded, largely on the basis of an examination of
    reports from poison control centres, that chlorpyrifos is one of the
    leading causes of acute insecticide poisoning in the USA. Certain uses
    were considered to pose greater risks than others, the main concern
    being use of liquid formulations in households or by pest control
    operators indoors or outdoors, termite treatment, and application of
    liquid sprays and dips to domestic animals. Most of the more serious
    cases were associated with misuse or inappropriate use such as spills
    and inadvertent contamination by a pest control operator.

         Shurdut et al. (1997) commented that deficiencies in the report
    of Blondell & Dobozy (1997) invalidated its use for reaching a
    conclusion about the safety of chlorpyrifos. They concluded that the
    data from poison control centres had been misinterpreted and in fact
    indicated the relative safety of products containing chlorpyrifos.
    They also claimed that the report failed to respect the limitations of
    anecdotal information, failed to consider the extensive testing with
    regard to neurological damage and the long history of use of products
    containing chlorpyrifos, made inappropriate use of anecdotes and
    studies of organophosphates to characterize the safety of
    chlorpyrifos, failed to consider the extensive database on exposure
    after use of chlorpyrifos products, and presented the data
    selectively.

         In a case report, a previously well 3-year-old boy was found
    playing near an open, spilled bottle of insecticide containing
    chlorpyrifos (concentration not stated). The authors noted that
    clinical manifestations of organophosphate-induced polyneuropathy
    usually begin 1-3 weeks after an acute cholinergic crisis and that the
    results of examination of the child were consistent with distal,
    symmetric, predominantly motor polyneuropathy. In this patient, the
    symptoms of cholinesterase inhibition and manifestations of weakness
    and areflexia 11 days after ingestion and electromyographic findings
    confirmed the presence of acute transient polyneuropathy with a more


        Table 26. Mean erythrocyte cholinesterase activity as percent of mean baseline values in volunteers given single oral 
              doses of chlorpyrifos

                                                                                                                             
    Dose         Time in relation to dosing (h)
    (mg/kg bw)                                                                                                               
                 - 10         0             4            8             12            24            36           48
                                                                                                                             

    Women
    0.0a         99.5 (2.1)   100.5 (2.1)   98.3 (2.0)   102.1 (2.4)   100.7 (1.8)   99.7 (3.9)    98.4 (1.7)   100.2 (2.3)
    0.0b         99.2 (4.4)   100.8 (4.4)   102.5 (5.9)  103.1 (5.4)   98.4 (3.2)    99.4 (3.7)    94.6 (5.3)   97.7 (5.1)
    0.5          101.2 (6.7)  98.8 (6.7)    96.3 (6.5)   98.1 (2.1)    95.8 (3.9)    97.0 (3.6)    94.7 (4.7)   97.1 (4.1)
    1            98.2 (0.9)   101.8 (0.9)   104.6 (4.2)  100.8 (3.5)   98.9 (3.7)    100.9 (5.6)   96.0 (4.1)   98.9 (2.1)
    2            99.8 (1.8)   100.2 (1.8)   100.3 (3.2)  96.6 (6.81)   91.1 (9.7)    95.2 (10.6)   95.9 (7.4)   94.5 (7.7)

    Men
    0.0a         100.6 (1.8)  99.4 (1.8)    99.1 (2.2)   99.6 (4.6)    99.8 (4.3)    98.4 (4.3)    97.6 (2.8)   98.2 (3.1)
    0.0b         96.1 (5.1)   103.9 (5.1)   101.6 (4.0)  102.5 (5.2)   102.9 (5.8)   102.6 (2.3)   98.2 (3.8)   95.9 (6.8)
    0.5          98.7 (1.1)   101.3 (1.1)   102.0 (3.0)  103.4 (4.9)   99.7 (3.0)    101.9 (3.3)   98.1 (3.0)   92.8 (4.7)
    1            98.6 (1.9)   101.4 (1.9)   104.5 (7.8)  101.1 (4.2)   101.1 (4.7)   101.7 (4.7)   98.5 (4.6)   92.1 (2.0)
    2            101.2 (2.3)  98.8 (2.3)    99.2 (3.1)   98.9 (3.5)    98.7 (4.0)    99.2 (2.6)    99.5 (5.1)   98.4 (3.1)
                                                                                                                             

    a  Phase 2 control
    b  Phase 1 control
    


    proximal distribution than is usually seen in adults. The acute,
    reversible bilateral vocal cord paralysis reported in this patient had
    not been seen previously in organophosphate-induced delayed
    neuropathy, but the authors noted that the onset of stridor and vocal
    cord paralysis coincided with the onset of muscle weakness and
    resolved at the same time as normalization of the peripheral
    neuropathy (Aiuto et al., 1993a).

         Gutmann & Bodensteiner (1993), responding to the report of Aiuto
    et al. (1993), suggested that this case may not be a clear example of
    organophosphate-induced delayed neuropathy. They noted that
    chlorpyrifos has been associated with such symptoms only after severe
    intoxication characterized by extensive cholinesterase inhibition. The
    inhibition of plasma cholinesterase activity in the reported case was
    instead suggestive of mild chlorpyrifos intoxication. They also noted
    that the clinical findings associated with organophosphate-induced
    delayed neuropathy are predominantly motor polyneuropathy, flaccid
    weakness and atrophy primarily in the distal limb muscles, and often
    incomplete recovery usually after months or years. The case report
    implied that the evoked compound muscle action potentials and sensory
    nerve action potentials were of normal amplitude, which would run
    counter to a diagnosis of organophosphate-induced delayed neuropathy.

         In response to these comments, Aiuto et al. (1993b) noted that
    the patient's symptoms were consistent with > 90% inhibition of
    cholinesterase activity and that the plasma cholinesterase activity
    did not necessarily correlate with the severity of poisoning. The
    authors concluded that the patient had developed delayed,
    life-threatening neuropathy, although they were unable to determine
    the mechanism of the condition.

         In another case report, a 38-year-old man drank an undefined
    quantity of a solution of 25% chlorpyrifos. He was treated with 3 mg
    of atropine intravenously every 2 h for 6 days (total, 400 mg), but
    any attempt to stop the atropine treatment resulted in reappearance of
    respiratory distress. After 6 days, the patient was stuporous,
    catatonic, and suffering from respiratory distress with white mucous
    secretions, and no cholinesterase activity could be detected in his
    serum. When ipratropium was administered endotracheally at a dose of
    0.5 mg as an aerosol mist over 10 min, the patient's clinical
    condition improved, although the salivary secretion continued. The
    patient continued to receive ipratropium at 1-2 mg/day, and
    respiratory support was discontinued on the fifth day. Severe
    catatonia and coarse tremor were relieved by administration of
    dantrolene at 10 mg intravenously, followed by 25 mg orally, three
    times daily. Cholinesterase activity was still undetectable in serum
    1 month after the man was discharged (Shemesh et al., 1988). 

         In a case in which a 26-year-old man intentionally ingested
    approximately 360 ml of a 6.7% chlorpyrifos formulation containing
    2,4-D (10.8%) and mecoprop (11.6%) and a few granules of a warfarin
    (0.025%) concentrate, the main clinical findings on admission were
    coma, myoclonus, miosis, cardiac arrythmia with progression to

    hypotension, oliguria, and death after several episodes of asystole.
    The authors stated that such symptoms are consistent with those seen
    in patients who have ingested chlorophenoxy acetic acids such as 2,4-D
    and mecoprop. The patient did not show many of the usual signs of
    organophosphate poisoning, such as lachrymation, salivation,
    respiratory paralysis, or muscle fasciculation, but his erythrocyte
    cholinesterase activity was inhibited by about 70% at 13 h and by
    < 90% by 26 h. Plasma cholinesterase activity was inhibited
    completely at all times. Lymphocyte neurotoxic esterase activity was
    inhibited by about 50% after 13 h but was within normal limits after
    19 h. The activity of neurotoxic esterase in the cerebral cortex was
    within normal limits but that in peripheral nerves was inhibited by
    about 70% when compared with normal levels. The inhibition of
    neurotoxic esterase activity was found in the absence of significant
    signs of organophosphate intoxication (Osterloh et al., 1983).

         A 21-year-old man who ingested an unknown quantity of a
    chlorpyrifos formulation required large amounts of atropine and
    pyridine 2-aldoxime methane sulfonate, endotracheal intubation, and
    ventilation to overcome the cholinergic effects, which consisted of
    pupillary constriction, excess secretions, tachycardia, and impaired
    consciousness. Bilateral vocal cord paralysis developed 16 days after
    extubation (28 days after exposure), and this finding was considered
    to be indicative of organophosphate-induced delayed neuropathy. The
    patient was asymptomatic within 4 weeks of the onset of symptoms (de
    Silva et al., 1994).

         A 42-year-old man who attempted suicide by drinking a commercial
    formulation of 41% chlorpyrifos (estimated dose, 300 mg/kg bw) went
    into coma and showed respiratory insufficiency, lachrymation,
    salivation, sweating, miosis, fasciculations, and bronchorrhoea on
    admission to hospital 18 h after exposure. A chest X-ray showed right
    basal bronchopneumonitis, electroencephalographic signs of diffuse
    irritation were recorded, and chlorpyrifos was detected in gastric
    lavage fluid. Plasma cholinesterase activity was inhibited by almost
    100% by 36 h. The coma and cholinergic signs persisted for 17 days,
    during which time atropine, pyridine 2-aldoxime methane sulfonate,
    mechanical respiration, and antibiotics were used. The patient was
    asymptomatic on day 24 after exposure, and drug administration was
    stopped; no signs of peripheral or central nervous system involvement
    were observed. On day 30, lymphocytic neurotoxic esterase, blood
    acetylcholinesterase, and plasma butyryl cholinesterase activities
    were markedly below the normal range but recovered slowly thereafter.
    On day 43, weakness and paraesthesia in the legs with reduced tendon
    reflexes and sensory conduction velocity were noted. By day 62, the
    leg weakness was more severe, gait was impaired, and tendon reflexes
    were absent. Electromyography of the leg muscles showed symmetrical
    signs of denervation with spontaneous activity, and motor conduction
    velocity was reduced. Electrophysiological studies of the arms
    confirmed a symmetrical reduction of sensory conduction velocity of
    the ulnar nerves. Sural nerve biopsy on day 63 revealed a few altered
    myelinated fibres. Aspects of axon and myelin degeneration were also
    found occasionally. The changes were consistent with mild distal

    axonopathy. Chlorpyrifos was still detectable 10 days after exposure,
    and neurotoxic esterase activity was still inhibited by 60% 4 weeks
    after exposure (Lotti et al., 1986). 

         In a study in which toxicological and/or electrophysiological
    examinations were conducted in 11 patients who had acute
    organophosphate poisoning, three of the patients, one of whom had been
    poisoned with chlorpyrifos, developed organophosphate-induced delayed
    neuropathy (Moretto & Lotti, 1998). The findings in this individual
    were reported by Lotti et al. (1986). The electro-physiological data
    indicated organophosphate-induced delayed neuropathy with sensory and
    motor components which persisted for 3 months, at which time the
    patient was lost to follow-up.

         Four incidents of birth defects allegedly associated with
    exposure to chlorpyrifos were reported. The children were found to
    have a range of birth defects, including ventricular, ocular, and
    palate defects and growth retardation (all children), hydrocephaly,
    microcephaly, mental retardation, blindness, hypotonia, widely spread
    nipples, and deformities of the teeth, ears, and external genitalia.
    The mothers of the affected children had reportedly been exposed to
    chlorpyrifos either at the workplace or at home during the pregnancy.
    Two of the children were born to the same mother. The exposure of the
    mothers to chlorpyrifos was poorly characterized, and it was not
    indicated whether it was severe or sustained during organogenesis. The
    range of birth defects reported was not consistent with the results of
    studies in laboratory animals (Sherman, 1996).

         In a comment on this paper, Gibson (1996) noted that the medical
    records of the cases indicated that the same effects were not seen in
    all children and that the effects in some of the children were
    consistent with a diagnosis of an autosomal recessive birth defect
    syndrome of the brain and eye known as cerebro-oculo-facio-skeletal
    syndrome or a closely related one known as the 'MICRO' syndrome.

         Eight cases were reported in which exposure to chlorpyrifos was
    claimed to have caused sensory neuropathy. The patients each presented
    with a range of symptoms, and characterization of exposure was poor.
    One patient who reported signs of cholinesterase inhibition, including
    lachrymation, muscle twitching, and diarrhoea, was a pesticide
    applicator who had reportedly been exposed to chlorpyrifos in a closed
    environment for 6 months. The patient's erythrocyte cholinesterase
    activity was reportedly to be 'low' initially but returned to normal
    levels within 2 months. Neurological evaluations were conducted only 6
    weeks after the other symptoms were reported; at this time, sensory
    loss of all modalities was found in a 'stocking-glove distribution'
    test, with mild distal weakness and areflexia in the lower
    extremities. Studies of nerve conduction and quantitative sensory
    threshold revealed changes consistent with peripheral neuropathy of
    the distal anonopathy type. The decreased reflexes and mild distal
    weakness were consistent with polyneuropathy. Follow-up examination at
    1 year revealed remission of all symptoms. In the other seven patients
    (four from the same family), the symptoms were nonspecific, and the

    absence of symptoms of cholinesterase inhibition suggested that these
    patients had not been as exposed to chlorpyrifos as extensively as the
    first patient. The lack of immediate electrodiagnostic testing, the
    poor exposure characterization, and the variation in the reported
    clinical findings make interpretation of the case studies difficult.
    Additionally, subjective questioning was used to obtain information
    from the patients. Follow-up examinations for a range of parameters
    were not conducted on several patients, and the patients did not
    undergo the same initial testing regimen. Thus, one patient was
    exposed to chlorpyrifos occupationally at a level sufficient to
    decrease cholinesterase activity and cause cholinergic symptoms; he
    also showed evidence of mild, reversible polyneuropathy, possibly in
    the presence of decreased erythrocyte cholinesterase activity. For two
    other patients, there was limited evidence of mild polyneuropathy
    (Kaplan et al., 1993).

    3.3  Monitored field trials

         A monitored field test was used to determine the effect of
    chlorpyrifos on spraymen applying treatment at the rates used in
    programmes for the eradication of mosquitoes. Three studies were
    conducted in 1966, 1967, and 1968. Cholinesterase activity was
    measured, and exposure was terminated if the inhibition reached 50% of
    the baseline values. In the first study, three spraymen showed marked
    depression of plasma cholinesterase activity, with reductions of
    68-82% from baseline values. The two remaining spraymen showed
    reductions of 52-56% over 9 days, but the baseline values were not
    available. The study was discontinued after 2 weeks because of the
    significant decrease in cholinesterase activity. In the second study,
    no treatment-related effect on cholinesterase activity was seen during
    a short period. In the third study, erythrocyte cholinesterase
    activity was not affected by treatment, but plasma cholinesterase
    activity was reduced by 50-80% in spraymen using a suspension
    formulation. The activity had generally returned to pre-exposure
    levels within 2 months of cessation of use. Four spraymen using an
    emulsion formulation did not show reduced plasma cholinesterase
    activity during the exposure period (Kenaga, 1967; Eliason et al.,
    1969).

    3.4  Studies of morbidity

         In a study in which the sample size was small and the statistical
    power was limited, comparisons were made between 175 employees
    potentially exposed to chlorpyrifos at a manufacturing plant where
    they had held jobs between 1 January 1977 and 31 July 1985 and 335
    unexposed controls matched on age (within 5 years), date of hire
    (within 5 years), sex, race, and pay status. The source of information
    for the observations (self, nurse, company physician, private
    physician, laboratory) was recorded, as were use of tobacco, alcohol,
    and cholinergic drugs. Exposure was grouped into high, moderate, and
    low on the basis of industrial hygiene surveys and consultation with
    veteran manufacturing personnel. The plasma cholinesterase activities
    of the potentially exposed employees before exposure were available,

    and follow-up was conducted at roughly monthly intervals. The mean
    inhibition of plasma cholinesterase activity was 19 ± 2.9% in the
    group with low exposure, 32 ± 2.8% in that with moderate exposure, and
    32 ± 5.3% in that with high exposure. No cases of peripheral
    neuropathy were recorded in the study group. Inhibition of plasma
    cholinesterase activity was observed but was not associated with
    illness. The exposed groups reported symptoms of dizziness, malaise,
    and fatigue more frequently than the unexposed group, but the analysis
    did not indicate any correlation with increasing exposure (Brenner et
    al., 1989).

         In a follow-up to this study (Burns et al., 1998), the data were
    updated to include the period 1987-94, and additional medical
    disorders were considered. Data on self-reported paraesthesia were
    collected from 1982 to 1994. The prevalence of peripheral neuropathy
    was not significantly increased in the group of workers exposed to
    chlorpyrifos. 

    Comments

         After oral administration to rats, radiolabelled chlorpyrifos was
    rapidly and extensively absorbed (up to about 90% of the dose) and
    eliminated, predominantly in the urine (68-93%) and faeces (6-15% of
    the dose), within about 72 h of administration. The urinary
    metabolites included the glucuronide (about 80%) and sulfate (about
    5%) conjugates of chlorpyrifos, and 3,5,6-trichloro-2-pyridyl
    phosphate (TCP; about 12%). The tissue concentrations of residues of
    [14C]chlorpyrifos were very low (generally < 1 ppm) within 72 h of
    dosing. The longest half-time of residues in rats was 62 h in fat, and
    low levels were also detected in the fat of several other species and
    in the milk of goats. 

         In humans who were poisoned with chlorpyrifos formulations,
    diethylphosphorus metabolites were excreted in the urine by
    first-order kinetics, with an average elimination half-time of 6.1 ±
    2.2 h in the fast phase and of 80 ± 26 h in the slow phase. In
    volunteers, the time to maximal concentration of 3,5,6-TCP in the
    blood was 0.5 h after oral dosing and 22 h after dermal treatment, but
    the elimination half-time by both routes was 27 h, and the percentage
    of the administered dose recovered from the urine was 70% after oral
    dosing and 1.3% after dermal administration. 

         Chlorpyrifos is rapidly metabolized by mixed-function oxidases to
    the highly reactive chlorpyrifos oxon by oxidative desulfuration. The
    oxon can be deactivated by hydrolysis to diethylphosphate and
    3,5,6-trichloropyridinol, while a minor reaction pathway is hydrolysis
    to monoethyl 3,5,6-trichloro-2-pyridinyl phosphorothioate. 

         The lowest oral LD50 value was 96 mg/kg bw (range, 96-475 mg/kg
    bw) in rats and 100 mg/kg bw (range, 100-150 mg/kg bw) in mice. Female
    rats were generally more sensitive to the acute effects of
    chlorpyrifos than males. The signs of acute intoxication with
    chlorpyrifos were consistent with cholinesterase inhibition. The acute

    dermal LD50 of chlorpyrifos was > 2000 mg/kg bw in rats and > 1200
    mg/kg bw in rabbits. 

         WHO (1999) has classified chlorpyrifos as 'moderately hazardous'.

         Chlorpyrifos was irritating to the eye and skin of rabbits, but
    it did not sensitize the skin of guinea-pigs in Magnusson-Kligman
    maximization or Buehler tests.

         In short-term studies, the NOAEL for inhibition of erythrocyte
    cholinesterase activity was 0.03 mg/kg bw per day in dogs and 0.1
    mg/kg bw per day in rats. The NOAEL for inhibition of brain
    cholinesterase activity was 1 mg/kg bw per day in dogs and rats. The
    signs of toxicity were largely limited to cholinergic signs and
    decreased body weights and/or food consumption. The NOAEL for these
    effects in short-term studies was 1 mg/kg bw per day in rats, and the
    NOAEL for clinical signs was 3 mg/kg bw per day in dogs. In mice,
    ocular effects and histopathological alterations (including adrenal
    lipogenic pigmentation and ocular keratitis) were observed (NOAEL, 50
    ppm; equal to 7 mg/kg bw per day). In rats, the NOAEL for increased
    fatty vacuolation of the adrenal zonal fasciculata and changes in
    haematological and clinical chemical parameters was 5 mg/kg bw per
    day. When rats received chlorpyrifos dermally for 21 days, the NOAEL
    for inhibition of cholinesterase activity in erythrocytes and brain
    was 5 mg/kg bw per day.

         In long-term studies, inhibition of cholinesterase activity was
    again the main toxicological finding in all species. In rats, the
    NOAEL was 0.1 mg/kg bw per day for inhibition of erythrocyte
    acetylcholinesterase activity and 1 mg/kg bw per day for inhibition of
    brain acetylcholinesterase activity, but clinical signs were not seen
    at doses up to 10 mg/kg bw per day, and the NOAEL for reduction in
    body weight was 1 mg/kg bw per day. In mice, erythrocyte and brain
    acetylcholinesterase activities were inhibited at 50 ppm, equal to 6.1
    mg/kg bw per day, and the NOAEL was 5 ppm, equal to 0.7 mg/kg bw per
    day. Cholinergic signs and reductions in body weight were reported
    only at the highest dietary concentration of 250 ppm (equal to 32
    mg/kg bw per day). Other treatment-related findings included effects
    on the liver in mice, with a NOAEL of 50 ppm (equal to 6.6 mg/kg bw
    per day), and increased adrenal weight in rats with a NOAEL of 1 mg/kg
    bw per day. There was no treatment-related increase in the incidence
    of neoplastic lesions in any of the long-term studies. The Meeting
    concluded that chlorpyrifos is unlikely to pose a carcinogenic risk to
    humans.

         Chlorpyrifos was not genotoxic in an adequate range of studies
     in vitro and  in vivo. The Meeting concluded that chlorpyrifos is
    not genotoxic.

         In multigeneration studies of reproductive toxicity in rats, the
    treatment-related effects of chlorpyrifos were limited to inhibition
    of cholinesterase activity, consistent with that seen in other short-
    and long-term studies, and fetotoxicity characterized by reduced pup

    viability, body weights and survival. No significant,
    treatment-related clinical signs were reported. The NOAEL for
    inhibition of maternal acetylcholinesterase activity was 0.1 mg/kg bw
    per day for erythrocytes and 1 mg/kg bw per day for brain. The NOAEL
    for developmental toxicity was 1 mg/kg bw per day. No effects on
    reproductive parameters were observed at the highest dose tested,
    5 mg/kg bw per day.

         In studies of developmental toxicity in mice, rats, and rabbits,
    the maternal effects included inhibition of erythrocyte and/or brain
    acetylcholinesterase activity and cholinergic signs (lowest NOAEL,
    1 mg/kg bw per day in rats and mice) and reductions in body weight and
    food consumption (lowest NOAEL, 2.5 mg/kg bw per day in rats). The
    observed fetal toxicity (lowest NOAEL, 2.5 mg/kg bw per day in rats)
    and developmental toxicity (NOAEL, 1 mg/kg bw per day in rats) were
    consistent with treatment-related maternal toxicity; there was no
    evidence of treatment-related malformations in any of the studies.
    There was no effect on cognitive function (learning, memory, and
    habituation) in pups exposed to chlorpyrifos  in utero and for a
    period  post partum at doses up to and including the highest dose of
    5 mg/kg bw per day, while inhibition of cholinesterase activity,
    decreased brain weight, and delayed development were seen at lower
    doses, consistent with findings in other studies. 

         In studies of delayed neurotoxicity, chlorpyrifos was given to
    chickens as either single or repeated doses. Significant inhibition of
    both cholinesterase and neuropathy target esterase activity was
    observed, and mild delayed neuropathy was seen in a number of studies;
    aggressive antidotal therapy was always necessary to allow at least
    some of the treated birds to survive. Despite the marked cholinergic
    toxicity of chlorpyrifos, there was no evidence that it caused delayed
    neurotoxicity, and there was no increase in the incidence of
    histopathological lesions in the nerve tissues of birds treated at
    doses up to 10 mg/kg bw per day for up to 91 days. In a number of
    studies in rats given single doses of up to 100 mg/kg bw, repeated
    doses of up to 10 mg/kg bw per day for 4 weeks, or repeated doses of
    up to 15 mg/kg bw per day for 13 weeks, there were no
    treatment-related neurological lesions or effects on cognition and no
    inhibition of neuropathy target esterase activity, although
    significant inhibition of erythrocyte, brain, and peripheral tissue
    cholinesterase activity was seen at some doses. In a study that
    included a functional observational battery of tests, clinical signs
    of intoxication were observed after a single dose only when brain
    acetylcholinesterase activity was inhibited by more than 60% or when
    whole-blood cholinesterase activity was inhibited by more than 80%. 

         When chlorpyrifos was applied as a single dose of up to 5 mg/kg
    bw to the skin of volunteers for 12 h, erythrocyte cholinesterase
    activity was not significantly inhibited. Plasma cholinesterase
    activity was inhibited after 20 12-h dermal exposures to 5 mg/kg bw
    per day over 4 weeks or after three daily 12-h exposures to 25 mg/kg
    bw per day on consecutive days, but erythrocyte cholinesterase
    activity was not inhibited under any treatment regimen.

         A single oral dose of up to 1 mg/kg bw or repeated doses of up to
    0.1 mg/kg bw per day for 9 days did not significantly inhibit
    erythrocyte acetylcholinesterase activity in volunteers. No clinical
    signs were observed in these studies. Inhibition of erythrocyte
    acetylcholinesterase activity was observed in a single female
    volunteer (of a group of six men and six women) given a single oral
    dose of 2 mg/kg bw.

         In a case of human poisoning with chlorpyrifos at an estimated
    dose of 300-400 mg/kg bw, significant inhibition of neuropathy target
    esterase in lymphocytes and of plasma and erythrocyte
    acetylcholinesterase activity was reported, with severe cholinergic
    signs which required aggressive, extensive antidotal therapy and
    artificial ventilation. Mild distal axonopathy consistent with
    organophosphate-induced delayed polyneuropathy was reported some weeks
    after the poisoning incident. 

         The ADI of 0-0.01 mg/kg bw established by the 1982 Meeting was
    based on a NOAEL of 0.1 mg/kg bw per day for inhibition of erythrocyte
    acetylcholinesterase activity in humans. The present Meeting affirmed
    this ADI on the basis of the NOAEL of 1 mg/kg bw per day for
    inhibition of brain acetylcholinesterase activity in studies in mice,
    rats, and dogs, using a 100-fold safety factor, and on the basis of
    the NOAEL of 0.1 mg/kg bw per day for inhibition of erythrocyte
    acetylcholinesterase activity in the study of human subjects exposed
    for 9 days, using a 10-fold safety factor.

         The Meeting allocated an acute reference dose of 0.1 mg/kg bw on
    the basis of the NOAEL of 1 mg/kg bw for inhibition of erythrocyte
    acetylcholinesterase activity in a study in which volunteers received
    a single oral dose of chlorpyrifos, with a safety factor of 10.

    Toxicological evaluation

     Levels that cause no toxic effect 

    Mouse:    5 ppm, equal to 0.7 mg/kg bw per day (toxicity in a 79-week
              study of toxicity and carcinogenicity)

              1 mg/kg bw per day (maternal toxicity in a study of
              developmental toxicity)

              10 mg/kg bw/day (fetal toxicity in a study of developmental
              toxicity)

    Rat:      1 mg/kg bw per day (toxicity in 2-year studies of toxicity
              and carcinogenicity)

              1 mg/kg bw per day (developmental and parental toxicity in a
              two-generation study of reproductive toxicity)

              1 mg/kg bw per day (maternal and developmental toxicity in a
              study of developmental toxicity)

              2.5 mg/kg bw per day (fetal toxicity in a study of
              developmental toxicity)

    Rabbit:   81 mg/kg bw per day (maternal and fetal toxicity in a study
              of developmental toxicity) 

    Dog:      1 mg/kg bw per day (toxicity in a 2-year study of toxicity)

    Human:    0.1 mg/kg bw per day (no inhibition of erythrocyte
              cholinesterase activity at highest dose tested in men dosed
              orally for 9 days)

              1 mg/kg bw (inhibition of erythrocyte cholinesterase
              activity in adult volunteers after a single oral dose)

     Estimate of acceptable daily intake for humans 

         0-0.01 mg/kg bw

     Estimate of acute reference dose 

         0.1 mg/kg bw

     Studies that would provide information useful for continued 
     evaluation of the compound 

         Further observations in humans


        Toxicological end-points relevant for setting guidance values for dietary and non-dietary exposure to chlorpyrifos

     Absorption, distribution, excretion, and metabolism in mammals 

    Rate and extent of oral absorption           Up to 90% in rats within 72 h; about 70% in humans within 96 h
    Dermal absorption                            Less than 2% in humans within 180 h; not determined in animals
    Distribution                                 Initially widely distributed; highest residues in liver, kidneys 
                                                 and fat at 72 h in rats
    Potential for accumulation                   Elimination half-times of < 24 h and low tissue residues after 
                                                 72 h in rats. No evidence of potential for accumulation
    Rate and extent of excretion                 > 95% within 72 h in rats, mainly in urine (68-93%) and faeces (6-15%)
    Metabolism in animals                        Rapidly metabolized by mixed-function oxidases to chlorpyrifos oxon 
                                                 via oxidative desulfuration and an electrophilic phosphooxathiiran 
                                                 intermediate. Degradation by conversion directly to 
                                                 3,5,6-trichloro-2-pyridyl phosphate and diethyl thiophosphate. 
                                                 The oxon is hydrolysed to diethyl phosphate and 
                                                 3,5,6-trichloropyridinol, while a minor reaction pathway is by 
                                                 hydrolysis to monoethyl-3,5,6-trichloro-2-pyridinol phosphorothioate.
    Toxicologically significant compounds        Parent compound and oxon
    (animals, plants and environment)

     Acute toxicity 

    Rat,, LD50, oral                             96 mg/kg bw
    Rat LD50, dermal                             > 2000 mg/kg bw
    Rat, LC50, inhalation                        > 36 mg/m3 (4 h, vapour, nose-only exposure)
                                                 560 mg/m3 (4 h, nebulized particles < 5 mm, whole-body exposure)
    Rabbit, dermal irritation                    Slightly irritating
    Rabbit, ocular irritation                    Slightly irritating
    Guinea-pig, dermal sensitization             Not sensitizing

     Short-term toxicity 

    Target/critical effect                       Inhibition of brain cholinesterase activity
    Lowest critical oral NOAEL                   1 mg/kg bw per day, dog, 2 years 
                                                 1 mg/kg bw per day, rat, 13 weeks
    Lowest relevant dermal NOAEL                 5 mg/kg bw per day, rat; 21 days
    Lowest relevant inhalation NOAEL             20.6 ppb (296 mg/m3), rat; 13 weeks

     Long-term toxicity and carcinogenicity 

    Target/critical effect                       Inhibition of brain cholinesterase activity
    Lowest relevant NOAEL                        2 years, rat; 1 mg/kg bw per day
                                                 78 weeks, mouse; 0.7 mg/kg bw per day
    Carcinogenicity                              Not carcinogenic in rats or mice

    Genotoxicity                                 Not genotoxic 

     Reproductive toxicity 

    Reproductive target/critical effect          Neonatal toxicity (reduced pup body weight and survival)
    Lowest relevant reproductive NOAEL           Two-generation, rat; 1 mg/kg bw per day
    Developmental target/critical effect         Fetal and perinatal toxicity at maternally toxic doses (including 
                                                 an increase in delayed ossification, reduced crown-rump length, 
                                                 reduced pup weight, increased postimplantation loss, delayed sexual 
                                                 maturity)
    Lowest relevant developmental NOAEL          Rats; 1 mg/kg bw per day

    Neurotoxicity/Delayed neurotoxicity          Reversible neurotoxicity consistent with cholinesterase 
                                                 inhibition. No evidence of delayed neurotoxicity or 
                                                 histopathological changes in nerves of hens (10 mg/kg bw per day) 
                                                 and rats (15 mg/kg bw per day) for up to 13 weeks. At high acute 
                                                 doses (up to 150 mg/kg bw), significant inhibition of neuropathy 
                                                 target esterase and mild delayed neuropathy in hens, but at this 
                                                 dose, extensive and aggressive antidote treatment were required 
                                                 for birds' survival.

    Other toxicological studies                  No effect on cognitive function in rat pups in a study of 
                                                 developmental toxicity at doses up to 5 mg/kg bw per day

    Medical data                                 No inhibition of erythrocyte acetylcholinesterase activity in 
                                                 volunteers after repeated oral doses of up to 0.1 mg/kg bw per day 
                                                 (for 9 days), single oral doses of up to 1 mg/kg bw, or a single 
                                                 dermal doses of 5 mg/kg bw. Poisoning case presented with severe 
                                                 cholinergic effects, with evidence of delayed polyneuropathy and/or 
                                                 distal axonopathy at a dose that required antidotal treatment and 
                                                 artificial ventilation.

                                                                                                           
    Summary                  Value                   Study                              Safety factor
                                                                                                           

    ADI                      0-0.01 mg/kg bw         Rat, 2-year dietary                100
                                                     Rat, reproduction
                                                     Mouse, developmental toxicity
                                                     Dog, 2-year dietary
                                                     Human, 9-day oral                  10

    Acute reference dose     0.1 mg/kg bw            Human, single dose                 10
                                                                                                           
    

    References

    Aiuto, L.A., Pavlakis, S.G. & Boxer, R.A. (1993a) Life-threatening
         organophosphate-induced delayed polyneuropathy in a child after
         accidental chlorpyrifos ingestion.  J. Pediatr., 122, 658-660.

    Aiuto, L.A., Pavlakis, S.G. & Boxer, R.A. (1993b)
         Organophosphate-induced delayed polyneuropathy (comment).
          J. Pediatr., 123, 837.

    Aldridge, W.N. (1953) Serum esterases I.  J. Biochem., 53, 110-117.

    Anderson, B.T., Walker, S.A. & Punler, M.J. (1995) Chlorpyrifos tech:
         Acute inhalational toxicity study in rats. Unpublished report No.
         10425 from Inveresk Research International, Tranent, Scotland.
         Submitted to WHO by Luxembourg Industries, Tel Aviv, Israel.

    Bakke, J.E., Feil, V.J. & Price, C.E. (1976). Rat urinary metabolites
         from O,O-diethyl-O(3,5,6-trichloro-2-pyridyl) phosphorthioate.
          J. Environ. Sci. Health Bull., 3, 225-230.

    Barna-Lloyd, T. & Szabo, J.R. (1985) Sodium
         3,5,6-trichloro-2-pyridinol: 3-month rat dietary toxicity study.
         Unpublished report No. TexasT:K-065999-099 from Dow Chemical Co.,
         USA. Submitted to WHO by Dow AgroSciences, Indianapolis, IN, USA.

    Barna-Lloyd, T., Szabo, J.R. & Young, J.T. (1986) Chlorpyrifos:
         Subchronic organophosphate-induced delayed-neurotoxicity (OPIDN)
         study in laying chickens hens. Unpublished report No.
         TexasT:K-044793-064 from Dow Chemical Co., Freeport, Texas, USA.
         Submitted to WHO by Dow AgroSciences, Indianapolis, IN, USA.

    Bauriedel, W.R. & Miller, J.H. (1981) The metabolic fate of the sodium
         salt of C14-labelled 3,5,6-trichloro-2-pyridinol orally
         administered to swine. Unpublished report No. GH-C 1427 from Dow
         Chemical Co., Freeport, Texas, USA. Submitted to WHO by Dow
         AgroSciences, Indianapolis, IN, USA.

    Beatty, S.C. (1964) Results of 90-day dietary feeding studies of
         3,5,6-trichloro-2-pyridinol in rats. Unpublished report from Dow
         Chemical Co., USA. Submitted to WHO by Dow AgroSciences,
         Indianapolis, IN, USA.

    Beatty, S.C. & McCollister, D.D. (1964) Results of 90-day dietary
         feeding studies of O,Odiethyl O-3,5,6-trichloro-2-pyridyl
         phosphorothioate in rats. Unpublished report from Dow Chemical
         Co., Midland, Michigan, USA. Submitted to WHO by Dow
         AgroSciences, Indianapolis, IN, USA.

    Beatty, S.C. & McCollister, D.D. (1971) Results of 90-day dietary
         feeding studies of O,Odiethyl-O-3,5,6-trichloro-2-pyridyl
         phosphorothioate in rats. Unpublished report from Dow Chemical
         Co., Midland, Michigan, USA. Submitted to WHO by Dow
         AgroSciences, Indianapolis, IN, USA.

    Berman, C.L. (1987) Evaluation of chlorpyrifos (Pyrinex) for dermal
         sensitization of guinea pig. Unpublished report No. 59487-01 from
         Arthur D. Little Inc., Cambridge, Massachusetts, USA. Submitted
         to WHO by Makteshim Chemical Works, Beer-Sheva, Israel.

    Berteau, P.E. & Deen, W.A. (1978) A comparison of oral and inhalation
         toxicities of four insecticides to mice and rats.  Bull. 
          Environ. Contam. Toxicol., 19, 113-120.

    Blackmore, R.H. (1968) Oral administration -- dogs Dursban. Final
         report. Unpublished report No. 174-115 from Dow Chemical Co.,
         USA. Submitted to WHO by Dow AgroSciences, Indianapolis, IN, USA.

    Blagden, S.M. (1994) Chlorpyrifos technical: Acute inhalation toxicity
         study four-hour exposure (nose only) in the rat. Unpublished
         report No. CHA 10-CYF from Safepharm Laboratories Ltd, Derby,
         United Kingdom. Submitted to WHO by Cheminova Agro A/S, Lemvig,
         Denmark.

    Blondell, J. & Dobozy, V.A. (1997) Review of chlorpyrifos poisoning
         data. Washington DC, Environmental Protection Agency. 

    Branson, D.R. & Litchfield, N.H. (1970) Comparative absorption,
         elimination and distribution of DOWCO 179, its methyl analog
         DOWCO 214 and their major metabolite,
         3,5,6-trichloro-2-pyridinol. Unpublished report No. 70 4479 from
         Dow Chemical Co., USA. Submitted to WHO by Dow Agrosciences,
         Indianapolis, IN, USA.

    Branson, D.R. & Litchfield, N.H. (1971a) Absorption, excretion and
         distribution of O,Odiethyl O-3,5,6-trichloro-2, 6-C14-2-pyridyl
         phosphorothioate in rats. Unpublished report No. NBA-9 from Dow
         Chemical Co., USA. Submitted to WHO by Dow AgroSciences,
         Indianapolis, IN, USA.

    Branson, D.R. & Litchfield, N.H. (1971b) Absorption, excretion and
         distribution of 3,5,6trichloro-2, 6-C14-2-pyridinol in rats.
         Unpublished report No. NBA-10 from Dow Chemical Co., USA
         Submitted to WHO by Dow Agrosciences, Indianapolis, IN, USA. 

    Brenner, F.E., Bond, G.G., McLaren, E.A., Greene, S. & Cook, R.R.
         (1989) Morbidity among employees engaged in the manufacture or
         formulation of chlorpyrifos.  Br. J. Ind. Med., 46, 133-137.

    Breslin, W.J., Liberacki, A.B., Dittenber, D.A., Brzak, K.A. & Quast,
         J.F. (1991) Chlorpyrifos: Two-generation dietary reproduction
         study in Sprague-Dawley rats. Unpublished report No. K-044793-088
         from the Toxicology Research Laboratory, Dow Chemical Co.,
         Midland, Michigan, USA. Submitted to WHO by Dow AgroSciences,
         Indianapolis, Indiana, USA.

    Bruce, R.J. & Zempel, J.A. (1986) Chlorpyrifos: Evaluation in the Ames
          Salmonella/mammalian-microsome mutagenicity assay. Unpublished
         report No. TexasT:K044793-075 from Lake Jackson Research Center,
         Dow Chemical Co., Freeport, Texas, USA. Submitted to WHO by Dow
         AgroSciences, Indianapolis, Indiana, USA.

    Bruce, R.J., Gollapudi, B.B. & Hinze, C.A. (1985) Evaluation of
         3,5,6-trichloro-2-pyridinol in the mouse bone marrow micronucleus
         test. Unpublished report No. K-038278-008 from Lake Jackson
         Research Center, Dow Chemical Co., Freeport, Texas, USA.
         Submitted to WHO by Dow AgroSciences, Indianapolis, Indiana, USA.

    Buch SA (1980) Pyrinex tech: Acute inhalation toxicity in rats.
         Unpublished report No. 80/MA/025/362 from Life Science Research,
         Stock, Essex, United Kingdom. Submitted to WHO by Makteshim
         Chemical Works, Beer-Sheva, Israel.

    Buch, S.A. & Gardner, J.R. (1980a) Pyrinex tech: Irritance to rabbit
         eye. Unpublished report No. 80/MA/023/143 from Life Science
         Research, Stock, Essex, United Kingdom. Submitted to WHO by
         Makteshim Chemical Works, Beer-Sheva, Israel.

    Buch, S.A. & Gardner, J.R. (1980b) Pyrinex tech: Irritance to rabbit
         skin. Unpublished report No. 80/MAK/024/144 from Life Science
         Research, Stock, Essex, United Kingdom. Submitted to WHO by
         Makteshim Chemical Works, Beer-Sheva, Israel.

    Buch, S.A. & Gardner, J.R. (1981) Pyrinex technical: Acute oral
         toxicity in the rat. Unpublished report No. 81/MAK035/104 from
         Life Science Research, Stock, Essex, United Kingdom. Submitted to
         WHO by Makteshim Chemical Works, Beer-Sheva, Israel.

    Buch, S.A., Gardner, J.R. & Birnie, J.V. (1980) Pyrinex: Acute
         percutaneous toxicity study in rats. Unpublished report No.
         80/MAK022/300 from Life Science Research, Stock, Essex, United
         Kingdom. Submitted to WHO by Makteshim Chemical Works,
         Beer-Sheva, Israel.

    Burns, C.J., Cartmill, J.B., Powers, B.S. & Lee, M.K. (1998) Update of
         the morbidity experienced of employees potentially exposed to
         chlorpyrifos.  Occup. Environ. Med., 55, 65-70.

    Bushnell, P.J., Padilla, S.S., Ward, T., Pope, C.N. & Olszyk, V.B.
         (1991) Behavioral and neurochemical changes in rats dosed
         repeatedly with diisopropylfluorophosphate.  J. Pharmacol. 
          Exp. Ther., 256, 741-750.

    Bushnell, P.J., Pope, C.N. & Padilla, S. (1993) Behavioral and
         neurochemical effects of acute chlorpyrifos in rats: Tolerance to
         prolonged inhibition of cholinesterase.  J. Pharmacol. Exp. 
          Ther., 266, 1007-1017.

    Calhoun, L.L. & Johnson, K.A. (1988) Chlorpyrifos: 4-day dermal probe
         and 21-day dermal toxicity studies in Fischer 344 rats.
         Unpublished report No. HET K 044793-085,086 from Dow Chemical
         Co., Midland, Michigan, USA. Submitted to WHO by Dow
         AgroSciences, Indianapolis, Indiana, USA.

    Calhoun, L.L. & Johnson, K.A. (1989) Supplemental information to the
         report entitled: Chlorpyrifos: 4-day dermal probe and 21 day
         dermal toxicity studies in Fischer 344 rats. Unpublished report
         No. K-044793-085(S) from Dow Chemical Co., Midland, Michigan,
         USA. Submitted to WHO by Dow AgroSciences, Indianapolis, Indiana,
         USA.

    Campbell, C.G., Seidler, F.J. & Slotkin, T.A. (1997) Chlorpyrifos
         interferes with cell development in rat brain regions.  Brain 
          Res. Bull., 43, 179-189.

    Capodicasa, E., Scapellato, M.L., Moretto, A., Caroldi, S. & Lotti, M.
         (1991) Chlorpyrifosinduced delayed polyneuropathy.  Arch. 
          Toxicol., 65, 150-155.

    Chambers, J.E. (1992) The role of target-site activation of
         phosphorothionates in acute toxicity. In: Chambers, J.E., Levi,
         P.E. & Levi, A.P., eds,  Organophosphates, San Diego, Academic
         Press.

    Chambers, J.E. & Carr, R.L. (1995) Biochemical mechanisms contributing
         to species differences in insecticidal toxicity.  Toxicology, 
         105, 291-304.

    Chanda, S.M. & Pope, C.N. (1996) Neurochemical and neurobehavioural
         effects of repeated gestational exposure to chlorpyrifos in
         maternal and developing rats.  Pharmacol. Biochem. Behav., 53,
         771-776.

    Chanda, S.M., Harp, P., Liu, J. & Pope, C.N. (1995) Comparative
         developmental and maternal neurotoxicity following acute
         gestational exposure to chlorpyrifos in rats.  J. Toxicol. 
          Environ. Health, 44, 189-202.

    Chaudhuri, J., Chakraborti, T.K., Chanda, S. & Pope, C.N. (1993)
         Differential modulation of organophosphate-sensitivity muscarinic
         receptors in rat brain by parathion and chlorpyrifos.
          J. Biochem. Toxicol., 8, 207-216.

    Copeland, J.R. (1964) Results of 93-day dietary feeding studies of
         3,5,6-trichloro-2-pyridinol in beagle hounds. Unpublished report
         No. T35.12-38278-3 from Dow Chemical Co., USA. Submitted to WHO
         by Dow AgroSciences, Indianapolis, Indiana, USA.

    Corley, R.A., Landry, T.D., Calhoun, L.L., Dittenber, D.A. & Lomax,
         L.G. (1986) Chlorpyrifos: 13-week nose-only vapor inhalation
         exposure study in Fischer 344 rats. Unpublished report No. HET K
         044793-077 from Dow Chemical Company Laboratory, Midland,
         Michigan, USA. Submitted to WHO by Dow AgroSciences,
         Indianapolis, Indiana, USA.

    Costa, L.G., McDonald, B.E., Murphy, S.D., Omenn, G.S., Richter, R.J.,
         Motulsky, A.G. & Furlong, C.E. (1990) Serum paraoxonase and its
         influence on paraoxon and chlorpyrifosoxon toxicity in rats.
          Toxicol. Appl. Pharmacol., 103, 66-76.

    Coulston, F., Golberg, L., Abraham, R. & Benitz, F.K. (1971) Final
         report on safety evaluations and metabolic studies on Dowco 179
         (Indiana 151). Unpublished report No. K44793-(48)A from Institute
         of Experimental Pathology and Toxicology, Albany Medical College,
         Albany, New York, USA. Submitted to WHO by Dow AgroSciences,
         Indianapolis, Indiana, USA.

    Coulston, F., Golberg, L. & Griffin, T. (1972). Safety evaluation of
         Dowco 179 in human volunteers. Unpublished report from Institute
         of Experimental Pathology and Toxicology, Albany Medical College,
         Albany, New York, USA. Submitted to WHO by Dow AgroSciences,
         Indianapolis, Indiana, USA.

    Crown, S., Weiss, A., Nyska, A. & Waner, T. (1984a) Pyrinex. Toxicity
         in dietary administration to mice for two weeks: A range-finding
         study. Unpublished report No. MAK/109/PYR from Life Science
         Research Israel Inc., Ness Ziona, Israel. Submitted to WHO by
         Makteshim Chemical Works, Beer-Sheva, Israel.

    Crown, S., Nyska, A. & Waner, T. (1984b) Pyrinex technical. Two-week
         range-finding study in dietary administration to rats.
         Unpublished report No. MAK/057/a/PYR from Life Science Research
         Israel Inc., Ness Ziona, Israel. Submitted to WHO by Makteshim
         Chemical Works, Beer-Sheva, Israel.

    Crown, S., Gur, E., Nyska, A. & Waner, T. (1985) Pyrinex technical
         toxicity in dietary administration to rats for 13 weeks.
         Unpublished report No. MAK/058/PYRA from Life Science Research
         Israel Inc., Ness Ziona, Israel. Submitted to WHO by Makteshim
         Chemical Works, Beer-Sheva, Israel.

    Crown, S., Weiss, A., Nyska, A., Waner, T. & Pirak, M. (1987) Pyrinex
         technical. Toxicity in dietary administration to mice for 13
         weeks. A preliminary study. Unpublished report No. MAK/105/PYR
         from Life Science Research Israel Inc., Ness Ziona, Israel.
         Submitted to WHO by Makteshim Chemical Works, Beer-Sheva, Israel.

    Crown, S., Nyska, A., Pirak, M. & Waner, T. (1988) Pyrinex technical.
         Oncogenicity study in the rat. Unpublished report No. MAK/095/PYR
         from Life Science Research Israel Ltd, Ness Ziona, Israel.
         Submitted to WHO by Makteshim Chemical Works, Beer-Sheva, Israel.

    Davies, R.E. & Kynoch, S.R. (1970) Acute subcutaneous toxicity of
         Dursban to rats and the effect of treatment with 1. Atropine
         sulphate 2. Atropine sulphate and PAM. Unpublished report No.
         A1A-275 or 3641/70/453 from Huntingdon Research Centre,
         Huntingdon, United Kingdom. Submitted to WHO by Dow AgroSciences,
         Indianapolis, Indiana, USA.

    Davies, D.B., Tollett, J.T. & Lomax, L.G. (1985) Chlorpyrifos: A
         four-week dietary study in the CD-1 mice. Unpublished report No.
         HET-K-044793-068 from Dow Chemical Co., Midland, Michigan, USA.
         Submitted to WHO by Dow AgroSciences, Indianapolis, Indiana, USA.

    Deacon, M.M., Murray, J.S., Pilny, M.K., Dittenber, D.A., Hanley,
         T.R., Jr & John, J.A. (1979) The effect of orally administered
         chlorpyrifos on embryonal and foetal development in mice.
         Unpublished report No. HET-K-44793-32 from Dow Chemical Co.,
         Midland, Michigan, USA. Submitted to WHO by Dow AgroSciences,
         Indianapolis, Indiana, USA.

    Deacon, M.M., Murray, J.S., Pilny, M.K., Rao, K.S., Dittenber, D.A.,
         Hanley, T.R., Jr & John, J.A. (1980) Embryotoxicity and
         fetotoxicity of orally administered chlorpyrifos in mice.
          Toxicol. Appl. Pharmacol., 54, 31-40.

    Derelanko, M.J. & Hollinger, M.A., eds (1995)  CRC Handbook of 
          Toxicology, Boca Raton, FL, CRC Press Inc.

    Dietz, F.K., Mensik, D.C., Hinze, C.A., Rachunek, B.K. & Taylor, H.W.
         (1983) Dursban insecticide: Assessment of neonatal survival in a
         two-generation reproduction study in rats. Unpublished report No.
         TexasT-K-44793-(45) from Dow Chemical Co., USA. Submitted to WHO
         by Dow AgroSciences, Indianapolis, Indiana, USA.

    Dishburger, H.J., McKellar, R.L. & Wetters, J.H. (1972a) Residues of
         chlorpyrifos and 3,5,6trichloro-2-pyridinol in tissues and eggs
         from chickens fed chlorpyrifos. Unpublished report No. GH-C 555
         from Dow Chemical Co., Midland, Michigan, USA. Submitted to WHO
         by Dow AgroSciences, Indianapolis, Indiana, USA.

    Dishburger, H.J., Rice, J.R., McKellar, R.L. & Pennington, J.Y.
         (1972b) Determination of residues of chlorpyrifos, its oxygen
         analogue, and 3,5,6-trichloro-2-pyridinol in tissues of cattle
         fed chlorpyrifos. Unpublished report No. GH-C 566 from Dow
         Chemical Co., Midland, Michigan, USA. Submitted to WHO by Dow
         AgroSciences, Indianapolis, Indiana, USA.

    Dishburger, H.J., McKellar, R.L., Pennington, J.Y. & Rice, J.R. (1977)
         Determination of residues of chlorpyrifos, its oxygen analogue,
         and 3,5,6-trichloro-2-pyridinol in tissues of cattle fed
         chlorpyrifos.  J. Agric. Food Chem., 25, 1325-1329.

    Dittenber, D.A. (1997) Chlorpyrifos: Evaluation of single oral doses
         on cholinesterase and neurotoxic esterase inhibition in F344
         rats. Unpublished report No. 960036 from Dow Chemical Co., USA.
         Submitted to WHO by Dow AgroSciences, Indianapolis, Indiana, USA.

    Dreher DM (1994a) Chlorpyrifos technical: Acute oral toxicity test in
         the rat. Unpublished report No. CHA 8-CYF from Safepharm
         Laboratories Ltd, Derby, United Kingdom. Submitted to WHO by
         Cheminova Agro A/S, Lemvig, Denmark.

    Dreher DM (1994b) Chlorpyrifos technical: Acute dermal toxicity (limit
         test) in the rat. Unpublished report No. CHA 9-CYF from Safepharm
         Laboratories Ltd, Derby, United Kingdom. Submitted to WHO by
         Cheminova Agro A/S, Lemvig, Denmark.

    Dreher DM (1994c) Chlorpyrifos technical: Acute eye irritation test in
         the rabbit. Unpublished report No. CHA 12-CYF from Safepharm
         Laboratories Ltd, Derby, United Kingdom. Submitted to WHO by
         Cheminova Agro A/S, Lemvig, Denmark.

    Dreher DM (1994d) Chlorpyrifos technical: Acute dermal irritation test
         in the rabbit. Unpublished report No. CHA 11-CYF from Safepharm
         Laboratories Ltd, Derby, United Kingdom. Submitted to WHO by
         Cheminova Agro A/S, Lemvig, Denmark.

    Dreher DM (1994e) Chlorpyrifos technical: Magnusson & Kligman
         maximisation study in the guinea pig. Unpublished report No. CHA
         12-CYF from Safepharm Laboratories Ltd, Derby, United Kingdom.
         Submitted to Who by Cheminova Agro A/S, Lemvig, Denmark.

    Drevenkar, V., Vasilic, Z., Stengl, B., Frobe, Z. & Rumenjak, V.
         (1993) Chlorpyrifos metabolites in serum and urine of poisoned
         persons.  Chem.-Biol. Interactions, 87, 315-322.

    Eliason, D.A., Crammer, M.F., von Windeguth, D.L., Kilpatrick, J.W.,
         Suggs, J.E. & Schoof, H.F. (1969) Dursban premise applications
         and their effect on the cholinesterase levels of spraymen.
          Mosquito News, 29, 591-595.

    Emerson, J.L. & Gerbig, C.L. (1970) 91 day toxicology study in beagle
         dogs treated with 3,5,6-trichloro-2-pyridinol. Unpublished report
         from Dow Chemical Co., USA. Submitted to WHO by Dow AgroSciences,
         Indianapolis, Indiana, USA.

    Fikes, J.D., Zacchary, J.F., Parker, A.J. & Beasley, V.R. (1992)
         Clinical, biochemical, electrophysiologic and histologic
         assessment of chlorpyrifos induced delayed neuropathy in the cat.
          Neurotoxicology, 13, 663-678.

    Fredrick Institute of Plant Protection and Toxicology (1995a) Acute
         oral toxicity study of chlorpyrifos technical in Swiss albino
         mice. Unpublished report No. 2739 from Fredrick Institute of
         Plant Protection and Toxicology, Tamil Nadu, India. Submitted to
         WHO by Ficom Organics, Bombay, India.

    Fredrick Institute of Plant Protection and Toxicology (1995b) Acute
         oral toxicity study of chlorpyrifos technical in Wistar rats.
         Unpublished report No. 2738 from Fredrick Institute of Plant
         Protection and Toxicology, Tamil Nadu, India. Submitted to WHO by
         Ficom Organics, Bombay, India.

    Fredrick Institute of Plant Protection and Toxicology (1995c) Acute
         dermal toxicity study of chlorpyrifos technical in rabbits.
         Unpublished report No. 2748 from Fredrick Institute of Plant
         Protection and Toxicology, Tamil Nadu, India. Submitted to WHO by
         Ficom Organics, Bombay, India.

    Fredrick Institute of Plant Protection and Toxicology (1995d)
         Irritation of chlorpyrifos technical to mucous membrane in
         rabbits. Unpublished report No. 2746 from Fredrick Institute of
         Plant Protection and Toxicology, Tamil Nadu, India. Submitted to
         WHO by Ficom Organics, Bombay, India.

    Fredrick Institute of Plant Protection and Toxicology (1995e) Primary
         skin irritation of chlorpyrifos technical in rabbits. Unpublished
         report No. 2747 from Fredrick Institute of Plant Protection and
         Toxicology, Tamil Nadu, India. Submitted to WHO by Ficom
         Organics, Bombay, India.

    Fredrick Institute of Plant Protection and Toxicology (1996a) Acute
         inhalation study with chlorpyrifos technical in Wistar rats.
         Unpublished report No. 2968 from Fredrick Institute of Plant
         Protection and Toxicology, Tamil Nadu, India. Submitted to WHO by
         Ficom Organics, Bombay, India.

    Fredrick Institute of Plant Protection and Toxicology (1996b) Allergy
         and skin sensitization potential of chlorpyrifos technical in
         guinea pigs. Unpublished report No. 2928 from Fredrick Institute
         of Plant Protection and Toxicology, Tamil Nadu, India. Submitted
         to WHO by Ficom Organics, Bombay, India.

    Fredrick Institute of Plant Protection and Toxicology (1996c)
         Mutagenicity evaluation of chlorpyrifos technical in the
         point-mutation Ames Salmonella typhimurium test system.
         Unpublished report No. 3049 from Fredrick Institute of Plant
         Protection and Toxicology, Tamil Nadu, India. Submitted to WHO by
         Ficom Organics, Bombay, India.

    Fredrick Institute of Plant Protection and Toxicology (1996d)
         Mutagenicity evaluation of chlorpyrifos technical in the mouse
         micronucleus assay. Unpublished report No. 3054 from Fredrick
         Institute of Plant Protection and Toxicology, Tamil Nadu, India.
         Submitted to WHO by Ficom Organics, Bombay, India.

    Fredrick Institute of Plant Protection and Toxicology (1996e)
         Mutagenicity evaluation of chlorpyrifos technical in the mouse
         bone marrow cytogenic assay. Unpublished report No. 3076 from
         Fredrick Institute of Plant Protection and Toxicology, Tamil
         Nadu, India. Submitted to WHO by Ficom Organics, Bombay, India.

    Furlong, C.E., Richter, R.J., Seidel, S.L. & Motulski, A.G. (1988)
         Role of genetic polymorphism of human plasma
         paraoxonase/arylesterase in hydrolysis of the insecticide
         metabolites chlorpyrifos oxon and paraoxon.  Am. J. Hum. 
          Genet., 43, 230-238.

    Furlong, C.E., Richter, R.J., Seidel, S.L., Costa, L.G. & Motulsky,
         A.G. (1989) Spectrophotometric assays for the enzymatic
         hydrolysis of the active metabolites of chlorpyrifos and
         parathion by plasma paraoxonase/arylesterase.  Anal. Biochem., 
         180, 242-247.

    Geldmacher-von Mallinckrodt, M. & Diepgen, T.L. (1988) The human serum
         paraoxonase polymorphism and specificity.  Toxicol. Environ. 
          Chem., 18, 79-196.

    Gerbig,, C.G. & Emerson, J.L. (1970a) Oral median lethal dose (LD50)
         determination of 3,5,6-trichloro-2-pyridinol in mice. Unpublished
         report No. HH-240 from Dow Chemical Co., Zionsville, Indianna,
         USA. Submitted to WHO by Dow AgroSciences, Indianapolis, Indiana,
         USA.

    Gerbig,, C.G. & Emerson, J.L. (1970b) Oral median lethal dose (LD50)
         determination of 3,5,6-trichloro-2-pyridinol in the rat.
         Unpublished report No. HH-239 from Dow Chemical Co., Zionsville,
         Indianna, USA. Submitted to WHO by Dow AgroSciences,
         Indianapolis, Indiana, USA.

    Gerbig,, C.G. & Emerson, J.L. (1970c) Determination of oral minimum
         lethal dose of 3,5,6trichloro-2-pyridinol in beagle dogs.
         Unpublished report No. HH-253 from Dow Chemical Co., Zionsville,
         Indianna, USA. Submitted to WHO by Dow AgroSciences,
         Indianapolis, Indiana, USA.

    Gibson, J.E. (1996) Critical review of allegations associating Dursban
         with human teratogenicity. Unpublished report No. JEG122396, from
         Dow Elanco, USA. Submitted by Dow Agrosciences, Indianapolis,
         Indiana, USA.

    Glas, R.D. (1977a) Residues of 3,5,6-trichloro-2-pyridinol and
         2-methoxy-3,5,6trichloropyridine in tissues from calves fed
         3,5,6-trichloro-2-pyridinol. Unpublished report No. GH-C 1053
         from Dow Chemical Co., Midland, Michigan, USA. Submitted to WHO
         by Dow AgroSciences, Indianapolis, Indiana, USA.

    Glas, R.D. (1977b) Residues of 3,5,6-trichloro-2-pyridinol and
         2-methoxy-3,5,6trichloropyridine in tissues from a calf fed
         2-methoxy-3,5,6-trichloro-2-pyridine. Unpublished report No. GH-C
         1052 from Dow Chemical Co., Midland, Michigan, USA. Submitted to
         WHO by Dow AgroSciences, Indianapolis, Indiana, USA.

    Glas, R.D. (1977c) Residues of triclopyr, 3,5,6-trichloro-2-pyridinol
         and 2-methoxy-3,5,6trichloropyridine in bovine tissues from
         calves fed trichlopyr. Unpublished report No. GH-C 1047 from Dow
         Chemical Co., Midland, Michigan, USA. Submitted to WHO by Dow
         AgroSciences, Indianapolis, Indiana, USA.

    Glas, R.D. (1981a) The metabolic fate of 14C-chlorpyrifos fed to
         lactating goats. Unpublished report No. GH-C 1408 from Dow
         Chemical Co., Midland, Michigan, USA. Submitted to WHO by Dow
         AgroSciences, Indianapolis, Indiana, USA.

    Glas, R.D. (1981b) Identification of 14C-labelled residues in milk
         from goats fed 14Cchlorpyrifos. Unpublished report No. GH-C
         1470 from Dow Chemical Co., Midland, Michigan, USA. Submitted to
         WHO by Dow AgroSciences, Indianapolis, Indiana, USA.

    Gollapudi, B.B. (1987) Evaluation of 3,5,6-trichloro-2-pyridinol (TCP)
         in the rat hepatocyte unscheduled DNA synthesis (UDS) assay.
         Unpublished report No. TexasT-K-38278-012 from Dow Chemical Co.,
         USA. Submitted to WHO by Dow AgroSciences, Indianapolis, Indiana,
         USA.

    Gollapudi, B.B., Linscombe, V.A. & Wilkerson, J.E. (1985) Evaluation
         of chlorpyrifos in the mouse bone marrow micronucleus test.
         Unpublished report No. TexasT-K-044793-067 from Dow Chemical Co.,
         USA. Submitted to WHO by Dow AgroSciences, Indianapolis, Indiana,
         USA.

    Gollapudi, B.B., Mendrala, A.L. & Linscombe, V.A. (1995) Evaluation of
         the genetic toxicity of the organophosphate insecticide
         chlorpyrifos.  Mutat. Res., 342, 25-36.

    Gur, E., Nyska, A. & Waner, T. (1991) Pyrinex technical oncogenicity
         study in the mouse. Unpublished report from Life Science Research
         Israel Inc., Ness Ziona, Israel. Submitted to WHO by Makteshim
         Chemical Works, Beer-Sheva, Isreal.

    Gutenmann, W.H., St John, L.E., Jr & Lisk, D.J. (1968) Metabolic
         studies with O,O-diethyl O-(3,5,6-trichloro-2-pyridyl)
         phosphorothioate (Dursban) insecticide in a lactating cow.
         Unpublished report from Cornell University, Ithaca, New York,
         USA. Submitted to WHO by Dow AgroSciences, Indianapolis, Indiana,
         USA.

    Gutmann, L. & Bodensteiner, J.B. (1993) Organophosphate-induced
         delayed polyneuropathy (comment).  J. Pediatr., 123, 837.

    Hanley, T.R., Jr, Zielke, G.J. & Lomax, L.G. (1987a)
         3,5,6-Trichloro-2-pyridinol: Oral teratology study in Fischer 344
         rats. Unpublished report No. K-038278-011 from Dow Chemical Co.,
         USA. Submitted to WHO by Dow AgroSciences, Indianapolis, Indiana,
         USA.

    Hanley, T.R., Jr, Zielke, G.J. & Lomax, L.G. (1987b)
         3,5,6-Trichloro-2-pyridinol: Oral teratology study in New Zealand
         white Rrabbits. Unpublished report No. K-038278-015 from Dow
         Chemical Co., USA. Submitted to WHO by Dow AgroSciences,
         Indianapolis, Indiana, USA.

    Hardy, C.J. & Jackson, G.C. (1984) Dursban technical: Acute inhalation
         toxicity in rats. Unpublished report No. DET 368 from Dow
         Chemical Co., USA. Submitted to WHO by Dow AgroSciences,
         Indianapolis, Indiana, USA.

    Harling, R.J., Barker, M.H., Buist, D.P., Crook, D., Dawe, I.S. &
         Anderson, A. (1989a) Chlorpyrifos oral dose range finding
         toxicity study in beagle dogs (final report -- repeated daily
         dosage for 4 weeks). Unpublished report No. MBS 30/88675 from
         Huntingdon Research Centre Inc, Huntingdon, United Kingdom.
         Submitted to WHO by Makteshim Chemical Works, Beer-Sheva, Israel.

    Harling, R.J., Barker, M.H., Buist, D.P., Crook, D., Majeed, S.,
         Gopinath, C., Dawe, I.S. & Anderson, A. (1989b) Chlorpyrifos oral
         toxicity study in beagle dogs (repeated daily dosage for 13
         weeks). Unpublished report No. MBS 31/88999 from Huntingdon
         Research Centre Inc, Huntingdon, United Kingdom. Submitted to WHO
         by Makteshim Chemical Works, Beer-Sheva, Israel.

    Hazleton Laboratories (1968) Short term (subacute) dietary
         administration -- Rats organophosphate insecticide Dursban. Final
         report. Unpublished report No. 174-114 from Hazleton
         Laboratories, Falls Church, Virginia, USA. Submitted to WHO by
         Dow AgroSciences, Indianapolis, Indiana, USA.

    Henck, J.W. & Kociba, R.J. (1980) Three samples of Dursban
         insecticide: Acute oral toxicity and acute percutaneous
         absorption potential. Unpublished report No. A1A-130 from Dow
         Chemical Co., USA. Submitted to WHO by Dow AgroSciences,
         Indianapolis, Indiana, USA.

    Hoberman, A.M. (1998) Developmental neurotoxicity study of
         chlorpyrifos administered orally via gavage to Crl:CD.BR VAF/Plus
         presumed pregnant rats. Unpublished report No. K-044793109 from
         Argus Research Laboratories, Horsham, PA, USA. Submitted to WHO
         by Dow AgroSciences, Indianapolis, Indiana, USA.

    Hooser, S.B., Beasley, V.R., Sundberg, J.P. & Harlin, K. (1988)
         Toxicologic evaluation of chlorpyrifos in cats.  Am. J. Vet. 
          Res., 49, 1371-1375.

    Humbert, R., Adler, D.A., Distechhe, C.M., Hassett, C., Omiecinski,
         C.J. & Furlong, C.E. (1993) The molecular basis of the human
         serum paraoxonase activity polymorphism.  Nature Genet., 3,
         73-76

    Jackson, D. & Ogilvie, S.W. (1994a) Chlorpyrifos tech: Acute dermal
         toxicity (LD50) test in rats. Unpublished report No. 10439 from
         Inveresk Research International, Tranent, Scotland. Submitted to
         WHO by Luxembourg Industries, Tel Aviv, Israel.

    Jackson, D. & Ogilvie, S.W. (1994b) Chlorpyrifos tech: Primary eye
         irritation test in rabbits. Unpublished report No. 10441 from
         Inveresk Research International, Tranent, Scotland. Submitted to
         WHO by Luxembourg Industries, Tel Aviv, Israel.

    Jackson, D. & Ogilvie, S.W. (1994c) Chlorpyrifos tech: Primary skin
         irritation test in rabbits. Unpublished report No. 10440 from
         Inveresk Research International, Tranent, Scotland. Submitted to
         WHO by Luxembourg Industries, Tel Aviv, Israel.

    Jackson, D. & Ogilvie, S.W. (1994d) Chlorpyrifos tech:
         Magnusson-Kligman maximisation test in guinea pigs. Unpublished
         report No. 10442 from Inveresk Research International, Tranent,
         Scotland. Submitted to WHO by Luxembourg Industries, Tel Aviv,
         Israel.

    Jai Research Foundation (1996a) Reverse gene mutation study of
         chlorpyrifos tech (95%) in bacteria by Ames Salmonella/microsome
         test. Unpublished report No. 5/JRF/MichiganC/96 from Department
         of Microbiology, Jai Research Foundation, Gujarat, India.
         Submitted to WHO by Mitsu Industries, Gujarat, India.

    Jai Research Foundation (1996b) Neurotoxicity study of chlorpyrifos
         technical to hen. Unpublished report No. 1539/JRF/TOX/96 from
         Department of Toxicology, Jai Research Foundation, Gujarat,
         India. Submitted to WHO by Mitsu Industries, Gujarat, India.

    James, P., Stubbs, A., Parker, C.A., Offer, J.M. & Anderson, A. (1988)
         The effect of Pyrinex (chlorpyrifos) on reproductive function of
         two generations in the rat. Unpublished report No. MBS 29/881452
         from Huntingdon Research Centre Ltd, Huntingdon, United Kingdom.
         Submitted to WHO by Makteshim Chemical Works, Beer-Sheva, Israel.

    Jeffrey, M.M., Battjes, J.E. & Eisenbrandt, D.L. (1986) Dursban F
         (tech): Acute dermal toxicity study in Fischer 344 rats.
         Unpublished report No. HET-K 044793-083 from Dow Chemical Co.,
         Midland, Michigan, USA. Submitted to WHO by Dow AgroSciences,
         Indianapolis, Indiana, USA.

    Jones, J.R. (1985a) Dursban F: Eye irritation study in the rabbit.
         Unpublished report No. DET 424 from Hazleton Laboratories Europe,
         Harrogate, North Yorkshire, United Kingdom. Submitted to WHO by
         Dow AgroSciences, Indianapolis, Indiana, USA.

    Jones, J.R. (1985b) Dursban F: Primary skin irritation and corrosivity
         study in the rabbit. Unpublished report No. DET 421 from Hazleton
         Laboratories Europe, Harrogate, North Yorkshire, United Kingdom.
         Submitted to WHO by Dow AgroSciences, Indianapolis, Indiana, USA.

    Jones, J.R. (1985c) Dursban F: Delayed contact hypersensitivity study
         in the guinea pig (Buehler Test). Unpublished report No. DET 475
         from Hazleton Laboratories Europe, Harrogate, North Yorkshire,
         United Kingdom. Submitted to WHO by Dow AgroSciences,
         Indianapolis, Indiana, USA.

    Kamataki, T. & Neil, R.A. (1976) Metabolism of diethyl A-nitrophenyl
         phosphorothienate (parathion) by a reconstituted mixed-function
         oxidase enzyme system: Studies of covalent binding of the sulfur
         atom.  Mol. Pharmacol., 12, 933-944.

    Kaplan, J.G., Kessler, J., Rosenberg, N., Pack, D. & Schaumburg, H.H.
         (1993) Sensory neuropathy associated with Dursban (chlorpyrifos)
         exposure [published erratum appears in  Neurology 1994 44, 367].
          Neurology, 43, 2193-2196.

    Kenaga, E.E. (1967) Comments on data concerning cholinesterase effects
         of Dursban in man following US Public Health Service experimental
         yellow fever mosquito eradication tests in Florida during 1966
         and 1967. Unpublished report No.A1A-394, TK 2-1684 from Dow
         Chemical Co., USA. Submitted to WHO by Dow AgroSciences,
         Indianapolis, Indiana, USA.

    Kenny, T.J., Coombs, D.W. & Hardy, C.J. (1987) Chlorpyrifos technical
         acute inhalation toxicity in rats 4-hour exposure. Unpublished
         report No. MBS 20/87575 from Huntingdon Research Centre,
         Huntingdon, United Kingdom. Submitted to WHO by Makteshim
         Chemical Works, Beer-Sheva, Israel.

    Kenny, T.J., Coombs, D.W., Hardy, C.J. & Crook, D. (1988) Chlorpyrifos
         inhalation toxicity in the rat. 14-Day preliminary dose range
         finding study. Unpublished report No. MBS 21/871329 from
         Huntingdon Research Centre Ltd, Huntingdon, United Kingdom.
         Submitted by Makteshim Chemical Works, Beer-Sheva, Israel.

    Kilian, D.J., Edwards, H.N., Benge, M.C. & Tabatabai, Z. (1970)
         Results of human skin exposure to Dowco 179. Unpublished report
         No. TMD-70-2 from Dow Chemical Co., Texas, USA. Submitted to WHO
         by Dow AgroSciences, Indianapolis, Indiana, USA.

    Kisicki, J.C., Seip, C.W. & Combs, M.L. (1999) A rising dose
         toxicology study to determine the no-observable-effect-levels
         (NOEL) for erythrocyte acetylcholinesterase (AChE) inhibition and
         cholinergic signs and symptoms of chlorpyrifos at three dose
         levels. Unpublished report No. LLC Study ID: DR#K-044793-284
         dated 19 April 1999, from MDS Harris, Lincoln, NE, USA. Submitted
         to WHO by Dow Agrosciences, Indianapolis, Indiana, USA. 

    Kociba, R.J., McCollister, S.B., Keyes, D.G. & Dittenber, D.A. (1985)
         Supplement to original report entitled 'Results of two-year
         dietary feeding studies on Dowco 179 in beagle dogs'. Unpublished
         report No. NBT 3512-44793-18 from Dow Chemical Co., USA.
         Submitted to WHO by Dow AgroSciences, Indianapolis, Indiana, USA.

    Lackenby, F. (1985a) Dursban F and Dursban F (OP1): Acute oral
         toxicity studies in the rat. Unpublished report No. 4703-50/390 &
         591 from Hazleton Laboratories Europe, North Yorkshire, United
         Kingdom. Submitted to WHO by Dow AgroSciences, Indianapolis,
         Indiana, USA.

    Lackenby, F. (1985b) Dursban F: Acute dermal median lethal dose in the
         rat. Unpublished report No. 4206-50/391 from Hazleton
         Laboratories Europe, Harrogate, North Yorkshire, United Kingdom.
         Submitted to WHO by Dow AgroSciences, Indianapolis, Indiana, USA.

    Landry, T.D., Streeter, C.M. & Lomax, L.G. (1985) Chlorpyrifos: 2-week
         vapor inhalation toxicity study in Fischer 344 rats. Protocol.
         Unpublished report No. A1A-714 from Dow Chemical Co., Midland,
         Michigan, USA. Submitted to WHO by Dow AgroSciences,
         Indianapolis, Indiana, USA.

    Landry, T.D., Dittenber, D.A., Lomax, L.G., Calhoun, L.L. & Morabito,
         P. (1986) Chlorpyrifos: 2 week nose-only vapor inhalation
         exposure study in Fischer 344 rats. Unpublished report No. HET
         K-44793-81 from Dow Chemical Co., Midland, Michigan, USA.
         Submitted to WHO by Dow AgroSciences, Indianapolis, Indiana, USA.

    Liberacki, A.B., Breslin, W.J., Dittenber, D.A. & Quast, J.F. (1990)
         Chlorpyrifos: Two week dietary probe study in Sprague-Dawley
         rats. Unpublished report No. HET K 044793090 from Dow Chemical
         Co., Midland, Michigan, USA. Submitted to WHO by Dow
         AgroSciences, Indianapolis, Indiana, USA.

    Linscombe, V.A. & Gollapudi, B. (1986) Evaluation of
         3,5,6-trtichloro-2-pyridinol (TCP) in the Chinese hamster ovary
         cell/hypoxanthine-guanine-phosphoribosyl transferase (CHO/HGPRT)
         forward mutation assay. Unpublished report No.
         TexasT:K-038278-013 from Dow Chemical Co., HES, Texas, USA.
         Submitted to WHO by Dow AgroSciences, Indianapolis, Indiana, USA.

    Linscombe, V.A., Mensik, D.C. & Clem, B.A. (1992) Evaluation of
         chlorpyrifos in an  in vitro chromosomal aberration assay
         utilizing rat lymphocytes. Unpublished report No. TexasT:K
         044793-092 from Dow Chemical Co., Freeport, Texas, USA. Submitted
         to WHO by Dow AgroSciences, Indianapolis, Indiana, USA.

    Lotti, M., Moretto, A., Zoppellari, R., Dainese, R., Rizzuto, N. &
         Barusco, G. (1986) Inhibition of lymphocytic neuropathy target
         esterase predicts the development of organophosphate-induced
         delayed polyneuropathy.  Arch. Toxicol., 59, 176-179.

    Loveday, K.S. (1987) In vitro chromosomal aberration assay on Pyrinex
         (chlorpyrifos). Unpublished report No. R4660 from Arthur D.
         Little Inc., Cambridge, Massachusetts, USA. Submitted to WHO by
         Makteshim Chemical Works, Beer-Sheva, Israel.

    Loveday, K.S., Findlen, K.M.B. & Yadlon, S. (1987) Evaluation of
         Pyrinex in the Ames mutagenesis assay. Unpublished report No.
         59487-00 from Arthur D. Little Inc., USA. Submitted to WHO by
         Makteshim Chemical Works, Beer-Sheva, Israel.

    Ma, T. & Chambers, J.E. (1994) Kinetic parameters of desulfuration and
         dearylation of parathion and chlorpyrifos by rat liver
         microsomes.  Food Chem. Toxicol., 32, 763-767.

    Maita, K., Hirano, M., Harada, T., Mitsumori, K., Yoshida, A.,
         Takahashi, K., Nakashima, N., Kitazawa, T., Enomoto, A. & Inui,
         K. (1988) Mortality, major cause of moribundity aqnd spontaneous
         tumours in CD-1 mice.  Toxicol. Pathol., 16, 340-349.

    Mattsson, J.L., Wilmer, J.W., Shankar, M.R., Berdasco, N.M., Crissman,
         J.W., Maurissen, J.P. & Bond, D.M. (1996) Single-dose and 13-week
         repeated-dose neurotoxicity screening studies of chlorpyrifos
         insecticide.  Food Chem. Toxicol., 34, 393-405.

    Maurissen, J.P., Shankar, M.R. & Mattsson, J.L. (1996) Chlorpyrifos:
         Cognitive study in adult Long-Evans rats. Unpublished report No.
         K-044793-096 from Dow Chemical Co., USA. Submitted to WHO by Dow
         AgroSciences, Indianapolis, Indiana, USA.

    McClintock, M.L. & Gollapudi, B.B. (1989a) Evaluation of chlorpyrifos
         in the mouse bone marrow micronucleus test. Unpublished report
         No. TexasT:K 044793-067A from Lake Jackson Research Center, Dow
         Chemical Co., Freeport, Texas, USA. Submitted to WHO by Dow
         AgroSciences, Indianapolis, Indiana, USA.

    McClintock, M.L. & Gollapudi, B.B. (1989b) Evaluation of
         3,5,6-trichloro-2-pyridinol in the mouse bone marrow micronucleus
         test. Unpublished report No. K-038278-008A from Lake Jackson
         Research Center, Dow Chemical Co., Freeport, Texas, USA.
         Submitted to WHO by Dow AgroSciences, Indianapolis, Indiana, USA.

    McCollister, S.B., Kociba, R.J., Gehring, P.J. & Humiston, C.G.
         (1971a) Results of two-year dietary feeding studies on Dowco 179
         in beagle dogs. Unpublished report No. T35.1244793-18 from Dow
         Chemical Co., Midland, Michigan, USA. Submitted to WHO by Dow
         AgroSciences, Indianapolis, Indiana, USA.

    McCollister, S.B., Kociba, R.J., Gehring, P.J. & Humiston, C.G.
         (1971b) Results of two-year dietary feeding studies on Dowco 179
         in rats. Unpublished report No. NBT35.12-4479321 from Dow
         Chemical Co., Midland, Michigan, USA. Submitted to WHO by Dow
         AgroSciences, Indianapolis, Indiana, USA.

    McCollister, S.B., Kociba, R.J. & Keyes, D.G. (1985) Supplement to
         original report entitled 'Results of two-year dietary feeding
         studies on Dowco 179 in rats'. Unpublished report No.
         NBT35.12-44793-21 from Dow Chemical Co., Midland, Michigan, USA.
         Submitted to WHO by Dow AgroSciences, Indianapolis, Indiana, USA.

    McKellar, R.L., Wetters, J.H. & Dishburger, H.J. (1972) Residues of
         chlorpyrifos and 3,5,6trichloro-2-pyridinol in tissues of swine
         fed chlorpyrifos. Unpublished report No. GHC549 from Dow Chemical
         Co., Midland, Michigan, USA. Submitted to WHO by Dow
         AgroSciences, Indianapolis, Indiana, USA.

    Mendrala, A.L. (1985) Evaluation of chlorpyrifos in the Chinese
         hamster ovary cellhypoxanthine (guanine) phosphoribosyl
         transferase (CHO/HGPRT) forward mutation assay. Unpublished
         report No. HET-K-044793-072 from Dow Chemical Co., Midland,
         Michigan, USA. Submitted to WHO by Dow AgroSciences,
         Indianapolis, Indiana, USA.

    Mendrala, A.L. & Dryzaga, M.D. (1986) Evaluation of chlorpyrifos in
         the rat hepatocyte unscheduled DNA synthesis (UDS) assay.
         Unpublished report No. HET K 044793-073 from Dow Chemical Co.,
         Midland, Michigan, USA. Submitted to WHO by Dow AgroSciences,
         Indianapolis, Indiana, USA.

    Moretto, A. & Lotti, M. (1998) Poisoning by
         organophosphorusinsecticides and sensory neuropathy.
          J. Neurol. Neurosurg. Psych., 64, 463-468.

    Mortensen, S.R., Chanda, S.M., Hooper, M.J. & Padilla, S. (1996)
         Maturational differences in chlorpyrifos-oxonase activity may
         contribute to age-related sensitivity to chlorpyrifos.
          J. Biochem. Toxicol., 11, 279-287.

    Moser, V.C. (1995) Comparisons of the acute effects of cholinesterase
         inhibitors using a neurobehavioral screening battery in rats.
          Neurotoxicol. Teratol., 17, 617-625.

    Moser, V.C. & Padilla, S. (1998) Age- and gender-related differences
         in the time course of behavioral and biochemical effects produced
         by oral chlorpyrifos in rats.  Toxicol. Appl. Pharmacol., 149,
         107-119.

    Muscarella, D.E., Keown, J.F. & Bloom, S.E. (1984) Evaluation of the
         genotoxic and embryotoxic potential of chlorpyrifos and its
         metabolites in vivo and in vitro.  Environ. Mutag., 6, 13-23.

    Nakatsugawa, T. (1992) Hepatic disposition of organophosphorus
         insecticides: A synthesis of in vitro, in situ and in vivo data.
         In: Chambers, J.E., Levi, P.E. & Levi, A.P., eds,
          Organophosphates, San Diego, Academic Press, Chapter 10.

    Newton, P.E. (1988a) A 5-day nose-only inhalation toxicity study of
         chlorpyrifos technical (Pyrinex) in the rat. Unpublished report
         from Bio/Dynamics Inc., East Millstone, NJ, USA. Submitted by
         Makteshim Chemical Works, Beer-Sheva, Israel.

    Newton, P.E. (1988b) A thirteen week nose-only toxicity study of
         chlorpyrifos technical (Pyrinex) in the rat. Unpublished report
         No. R-4750 from Bio/dynamics Inc., East Millstone, NJ, USA.
         Makteshim Chemical Works, Beer-Sheva, Israel.

    Nissimov, S. & Nyska, A. (1984a) Pyrinex tech: Acute oral toxicity in
         the rat. Unpublished report No. MAK/056/PYR from Life Science
         Research Israel Inc., Ness Ziona, Israel. Submitted to WHO by
         Makteshim Chemical Works, Beer-Sheva, Israel.

    Nissimov, S. & Nyska, A. (1984b) Pyrinex tech: Acute dermal toxicity
         in rabbits. Unpublished report No. MAK/059/PYR from Life Science
         Research Israel Inc., Ness Ziona, Israel. Submitted to WHO by
         Makteshim Chemical Works, Beer-Sheva, Israel.

    Nolan, R.J. (1997) Proposed reference dose for acute and chronic
         exposure to chlorpyrifos based on the criteria described by the
         Acute Cholinesterase Risk Assessment Task Force and the available
         animal and human data. Unpublished report No. K-044793-110 from
         Dow Chemical Co., Midland, Michigan, USA. Submitted to WHO by Dow
         AgroSciences, Indianapolis, Indiana, USA.

    Nolan, R.J., Rick, D.L., Freshour, N.L. & Saunders, J.H. (1982)
         Chlorpyrifos: pharmacokinetics in human volunteers following
         single oral and dermal doses. Unpublished report No.
         HEB-DR-0043-4946-4 from Dow Chemical Co., Midland, Michigan, USA.
         Submitted to WHO by Dow AgroSciences, Indianapolis, Indiana, USA.

    Nolan, R.J., Rick, D.L., Freshour, N.L. & Saunders, J.H. (1984)
         Chlorpyrifos: pharmacokinetics in human volunteers.  Toxicol. 
          Appl. Pharmacol., 73, 8-15.

    Nolan, R.J., Streeter, C.M. & Kastl, P.E. (1986) Chlorpyrifos:
         Absorption by female Fischer 344 rats exposed for 6 hours to
         vapours of chlorpyrifos in a nose-only or a whole-body inhalation
         chamber. Unpublished report No. HET K-044793-82 from Dow Chemical
         Co., Midland, Michigan, USA. Submitted to WHO by Dow
         AgroSciences, Indianapolis, Indiana, USA.

    Nolan, R.J., Dryzga, M.D., Landenberger, B.D. & Kastl, P.E. (1987)
         Chlorpyrifos: Tissue distribution and metabolism of orally
         administered 14C labelled chlorpyrifos in Fischer 344.
         Unpublished report No. HET K-044793-(76) from Dow Chemical Co.,
         Midland, Michigan, USA. Submitted to WHO by Dow AgroSciences,
         Indianapolis, Indiana, USA.

    Nostrandt, A.C., Padilla, S. & Moser, V.C. (1997) The relationship of
         oral chlorpyrifos effects on behaviour, cholinesterase
         inhibition, and muscarinic receptor density in rat.
          Pharmacol. Biochem. Behav., 58, 15-23.

    Omenn, G.S. (1987) The role of genetic differences in human
         susceptibility to pesticides. In: Costa, L.G., Galli, C.L. &
         Murphy, S.D., eds,  Toxicology of Pesticides: Experimental, 
          Clinical and Regulatory Perspectives, Berlin, Springer-Verlag.

    Osterloh, J., Lotti, M. & Pond, S.M. (1983) Toxicologic studies in a
         fatal overdose of 2,4-D, MCPP, and chlorpyrifos.  J. Anal. 
          Toxicol., 7, 125-129.

    Ouelette, J.H., Dittenber, D.A., Kociba, R.J. & John, J.A. (1983a)
         Chlorpyrifos: Oral teratology probe study in rats. Unpublished
         report No. HET K-44793-(46) from Dow Chemical Co., Midland,
         Michigan, USA. Submitted to WHO by Dow AgroSciences,
         Indianapolis, Indiana, USA.

    Ouelette, J.H., Dittenber, D.A., Kloes, P.M. & John, J.A. (1983b)
         Chlorpyrifos: Oral teratology study in Fischer 344 rats.
         Unpublished report No. HET K-44793-(47) from Dow Chemical Co.,
         Midland, Michigan, USA. Submitted to WHO by Dow AgroSciences,
         Indianapolis, Indiana, USA.

    Pennington, J.Y. & Edwards, N.H. (1971) Comparison of cholinesterase
         depression in humans and rabbits following exposure to
         chlorpyrifos. Unpublished report no. TA-477 from Dow Chemical
         Company USA. Submitted to WHO by Dow Agrosciences, Indianapolis,
         Indiana, USA.

    Phillips, J.E. & Lomax, L.G. (1989) 1% aqueous dilution of Dursban
         acute aerosol inhalation toxicity study in Fischer 344 rats.
         Unpublished report No. M-004803-004A from Dow Chemical Co.,
         Midland, Michigan, USA. Submitted to WHO by Dow AgroSciences,
         Indianapolis, Indiana, USA.

    Poole, D.C., Simmon, V.F. & Newell, C.W. (1977). In vitro mutagenic
         activity of fourteen pesticides.  Toxicol. Appl. Pharmacol., 41,
         196.

    Pope, C.N. & Chakraborti, T.K. (1992) Dose related inhibition of brain
         and plasma cholinesterase in neonatal and adult rats following
         sub-lethal organophosphate exposure.  Toxicology, 73, 35-43.

    Pope, C.N., Chakraborti, T.K., Chapman, M.L., Farrar, J.D. & Arthun,
         D. (1991) Comparison of  in vivo cholinesterase inhibition in
         neonatal and adult rats by three organophosphorothioate
         insecticides.  Toxicology, 68, 51-61.

    Pope, C.N., Chakraborti, T.K., Chapman, M.L. & Farrar, J.D. (1992)
         Long-term neurochemical and behavioral effects induced by acute
         chlorpyrifos treatment.  Pharmacol. Biochem. Behav., 42,
         251-256.

    Richardson, R.J., Moore, T.B., Kayyali, U.S. & Randall, J.C. (1993a)
         Chlorpyrifos: Assessment of potential for delayed neurotoxicity
         by repeated dosing in adult hens with monitoring of brain
         acetylcholinesterase, brain and lymphocyte neurotoxic esterase
         and plasma butyrylcholinesterase activities.  Fundam. Appl. 
          Toxicol., 21, 89-96.

    Richardson, R.J., Moore, T.B., Kayyali, U.S., Fowke, J.H. & Randall,
         J.C. (1993b) Inhibition of hen brain acetylcholinesterase and
         neurotoxic esterase by chlorpyrifos  in vivo and kinetics of
         inhibition by chlorpyrifos oxon  in vitro: Application to
         assessment of neuropathic risk.  Fundam. Appl. Toxicol., 20,
         273-279.

    Roberts, N.L., Phillips, C.N.K., Gopinath, C., Begg, S., Anderson, A.
         & Dawe, I.S. (1987) Acute delayed neurotoxicity study with
         chlorpyrifos in the domestic hen. Unpublished report No. MBS
         16/87764 from Huntingdon Research Centre Ltd, Huntingdon, United
         Kingdom. Submitted to WHO by Makteshim Chemical Works,
         Beer-Sheva, Israel.

    Ross, D.B. & Roberts, N.L. (1974) The acute oral toxicity (LD50) of
         Dursban (DOWCO 179) to the chicken (DWC/234/74877). Unpublished
         report from Huntingdon Research Centre, Huntingdon, United
         Kingdom. Submitted to WHO by Dow AgroSciences, Indianapolis,
         Indiana, USA.

    Rowe, L.D., Warner, S.D. & Johnston, R.V. (1978) Acute delayed
         neurotoxicologic evaluation of chlorpyrifos in white Leghorn
         hens. Unpublished report No. A1A-715 from Dow Chemical Co., USA.
         Submitted to WHO by Dow AgroSciences, Indianapolis, Indiana, USA.

    Rubin, Y.,. Gal, N., Waner, T. & Nyska, A. (1987a) Pyrinex.
         Teratogenicity study in the rat. Unpublished report No.
         MAK/101/PYR from Life Science Research Israel Ltd, Ness Ziona,
         Israel. Submitted to WHO by Makteshim Chemical Works, Beer-Sheva,
         Israel.

    Rubin, Y., Nyska, A. & Waner, T. (1987b) Pyrinex. Pyrinex
         teratogenicity study in the rabbit. Unpublished report No.
         MAK/103/PYR from Life Science Research Israel Ltd, Ness Ziona,
         Israel. Submitted to WHO by Makteshim Chemical Works, Beer-Sheva,
         Israel.

    Scortichini, B.H., Lomax, L.G., Wolfe, E.L. & Hanley, T.R., Jr (1986a)
         3,5,6-Trichloro-2pyridinol: Oral teratology probe study in
         Fischer 344 rats. Unpublished report No. HETK-038278-006 from Dow
         Chemical Co., Midland, Michigan, USA. Submitted to WHO by Dow
         AgroSciences, Indianapolis, Indiana, USA.

    Scortichini, B.H., Lomax, L.G., Wolf, E.L. & Hanley, T.R., Jr (1986b)
         3,5,6-Trichloro-2pyridinol: Oral teratology probe study in New
         Zealand white rabbits. Unpublished report No. HET-K-038278-007
         from Dow Chemical Co., Midland, Michigan, USA. Submitted to WHO
         by Dow AgroSciences, Indianapolis, Indiana, USA.

    Shankar, M.R., Bond, D.M. & Crissman, J.W. (1993) Chlorpyrifos:
         13-week neurotoxicity study in Fischer 344 rats. Unpublished
         report No. K-044793-094 from Dow Chemical Co., USA. Submitted to
         WHO by Dow AgroSciences, Indianapolis, Indiana, USA.

    Sharp, L.D. & Warner, S.D. (1968) The clinical toxicity of Dursban in
         the dog after multiple applications of an aerosol formulation.
         Unpublished report from Dow Chemical Co., USA. Submitted to WHO
         by Dow Agrosciences, Indianapolis, Indiana, USA.

    Shemesh, I., Bourvin, A., Gold, D. & Kutscherowsky, M. (1988)
         Chlorpyrifos poisoning treated with ipratropium and dantrolene: a
         case report.  J. Toxicol. Clin. Toxicol., 26, 495-498.

    Sherman, J.D. (1996) Chlorpyrifos (Dursban)-associated birth defects:
         Report of four cases.  Arch. Environ. Health, 51, 5-8.

    Sherman, J.D. & Herrick, R.B. (1973) Fly control and chronic toxicity
         from feeding Dursban (O,O-diethyl O-3,5,6-trichloro-2-pyridyl
         phosphorothioate) to laying hens.  Poultry Sci., 52, 741-747.

    Sherman, J.D., Herrick, R.B., Ross, E. & Chang, M.T.Y. (1967) Further
         studies on the acute and sub-acute toxicity of insecticides to
         chicks.  Toxicol. Appl. Pharmacol., 11, 49-67.

    Shirasu, Y., Moriya, M. & Ohta, T. (1980) Mutagenicity test of
         chlorpyrifos in bacteria. Unpublished report No. GHF-R-47 from
         Dow Chemical Pacific, USA. Submitted to WHO by Dow AgroSciences,
         Indianapolis, Indiana, USA.

    Shurdut, B.A., Chen, W.L., Burns, C.J., McCormick, R.A., Nolan, R.J. &
         Racke, K.D. (1997) Critical assessment of report entitled 'Review
         of chlorpyrifos poisoning data' (by J. Blondell and V. Dobozy,
         January 14, 1997). Unpublished report No. GH-C 4359, by Dow
         Chemical Co., USA. Submitted to WHO by Dow Agrosciences,
         Indianapolis, Indiana, USA.

    de Silva, H.J., Sanmuganathan, P.S. & Senanayake, N. (1994) Isolated
         bilateral recurrent laryngeal nerve paralysis: A delayed
         complication of organophosphorus poisoning.  Hum. Exp. 
          Toxicol., 13, 171-173.

    Smith, G.N., Watson, B.S. & Fischer, F.S. (1967) Investigations on
         Dursban insecticide. Metabolism of [36Cl] O,O-diethyl
         O-3,5,6-trichloro-2-pyridyl phosphorothiate in rats.  Agric. 
          Food Chem., 15, 132-138.

    Smolen, A., Eckerson, H.W., Gan, K.N., Hailat, N. & LaDu, B.N. (1991)
         Characteristics of the genetically determined allozymic forms of
         human paraoxonase/artylesterase.  Drug Metab. Disposition, 19,
         107-112

    Sobti, R.C., Krishan, A. & Pfaffenberger, C.D. (1982) Cytokinetic and
         cytogenetic effects of some agricultural chemicals on human
         lymphoid cells  in vitro: Organophosphates.   Mutat. Res., 102,
         89-102.

    Song, X., Seidler, F.J., Saleh, J.L., Zhang, J., Padilla, S. &
         Slotkin, T.A. (1997) Cellular mechanisms for developmental
         toxicity of chlorpyrifos: Targeting the adenylyl cyclase
         signaling cascade.  Toxicol. Appl. Pharmacol., 145, 158-174.

    Stevenson, G.T. (1963) An LD50 toxicity study of Dursban in Leghorn
         chickens. Unpublished report from Dow Chemical Co., Midland,
         Michigan, USA. Submitted to WHO by Dow AgroSciences,
         Indianapolis, Indiana, USA.

    Stevenson, G.T. (1966a) A single oral dose LD50 toxicity study of
         Dursban in broiler type chickens. Unpublished report No. A1A-364
         from Dow Chemical Co., Midland, Michigan, USA. Submitted to WHO
         by Dow AgroSciences, Indianapolis, Indiana, USA.

    Stevenson, G.T. (1966b) A neurotoxicity study of Dursban in laying
         hens. Unpublished report No. A1A-390 from Dow Chemical Co.,
         Midland, Michigan, USA. Submitted to WHO by Dow AgroSciences,
         Indianapolis, Indiana, USA.

    Stevenson, G.T. (1967) A single oral dose LD50 toxicity study of
         Dursban in turkey/poultry. Unpublished report No. A1A-362 from
         Dow Chemical Co., Midland, Michigan, USA. Submitted to WHO by Dow
         AgroSciences, Indianapolis, Indiana, USA.

    Streeter, C.M., Lomax, L.G., Landry, T.D. & Dittenber, D.A. (1987)
         Chlorpyrifos: 2-week whole-body vapor inhalation toxicity study
         in Fischer 344 rats. Unpublished report No. HET K 044793-078 from
         Dow Chemical Co., Midland, Michigan, USA Submitted to WHO by Dow
         AgroSciences, Indianapolis, Indiana, USA.

    Sultatos, L.G. & Murphy, S.D. (1983) Hepatic microsomal detoxification
         of the organophosphates paraoxon and chlorpyrifos oxon in the
         mouse.  Drug Metab. Disposition, 11, 232-238.

    Szabo, J.R., Young, J.T. & Granjean, M. (1988) Chlorpyrifos: 13-week
         dietary toxicity study in Fisher 344 rats. Unpublished report No.
         TexasT: K-044793-071 from Lake Jackson Research Center, Health
         and Environmental Sciences, Freeport, Texas, USA. Submitted to
         WHO by Dow AgroSciences, Indianapolis, Indiana, USA.

    Taylor, M.L. & Olson, K.J. (1963) Toxicological properties of
         O,O-diethyl-O-3,5,6trichloro-2-pyridyl phosphorothioate.
         Unpublished report. Submitted to WHO by Dow AgroSciences,
         Indianapolis, Indiana, USA.

    Thompson, D.J., Gerbig, C.C. & Warner, S.D. (1971) Three generation
         reproduction and teratology study in the rat following prolonged
         dietary exposure to Dursban O,O-diethyl
         O-3,5,6-trichloro-2-pyridyl phosphorothioate. Unpublished report
         from Dow Chemical Co., USA. Submitted to WHO by Dow AgroSciences,
         Indianapolis, Indiana, USA.

    Tu, A.S. (1987) CHO/HGPRT  in vitro mammalian cell mutation assay on
         Pyrinex (chlorpyrifos). Unpublished report No. 59487 from Arthur
         D. Little Inc., Cambridge, Massachusetts, USA. Submitted to WHO
         by Makteshim Chemical Works, Beer-Sheva, Israel.

    Warner, S.D., Gerbig, C.G., Strebing, R.J. & Molello, J.A. (1980)
         Results of a two-year toxicity and oncogenic study of
         chlorpyrifos administered to CD-1 mice in the diet. Unpublished
         report from Dow Chemical Co., Indianapolis, Indiana, USA.
         Submitted to WHO by Dow AgroSciences, Indianapolis, Indiana, USA.

    Whitney, K.D., Seidler, F.J. & Slotkin, T.A. (1995) Developmental
         neurotoxicity of chlorpyrifos: Cellular mechanisms.  Toxicol. 
          Appl. Pharmacol., 134, 53-62.

    WHO (1999)  Recommended Classification of Pesticides by Hazard and 
          Guidelines to Classification 1998-1999 (WHO/PCS/98.21/Rev. 1),
         Geneva, International Programme on Chemical Safety.

    Wilmer, J.W. (1992) Acute neurotoxicity study in Fischer 344 rats.
         Unpublished report No. K-044793-093B from Dow Chemical Co.,
         Midland, Michigan, USA. Submitted to WHO by Dow AgroSciences,
         Indianapolis, Indiana, USA.

    Wilson, J.A. & MacBeth, D. (1994) Chlorpyrifos tech: Acute oral
         toxicity (LD50) test in rats. Unpublished report No. 10521 from
         Inveresk Research International, Tranent, Scotland. Submitted to
         WHO by Luxembourg Industries, Tel Aviv, Israel.

    Wolcott, R.M., Vaughn, W.K. & Neal, R.A. (1972) Comparison of the
         mixed function oxidase-catalyzed metabolism of a series of
         dialkyl p-nitrophenyl phosphorothionates.  Toxicol. Appl. 
          Pharmacol., 22, 213-220.

    Yang, R.S.H., Hodgson, E. & Dauterman, W.C. (1971) Metabolism in vitro
         of diazinon and diazoxon in rat liver.  J. Agric. Food Chem., 
         19, 10-13.

    Young, J.T. & Grandjean, M. (1988) Chlorpyrifos: 2 year dietary
         chronic toxicity-oncogenicity study in Fischer 344 rats.
         Unpublished report No. K-044793-079 from Lake Jackson Research
         Center, Dow Chemical Co., Freeport, Texas, USA. Submitted to WHO
         by Dow AgroSciences, Indianapolis, Indiana, USA.

    Zempel, J.A. & Bruce, R.J. (1986) 3,5,6-Trichloro-2-pyridinol:
         Evaluation in the Ames Salmonella/mammalian-microsome
         mutagenicity assay. Unpublished report No. TexasT:K038278-010
         from Lake Jackson Research Center, Dow Chemical Co., Freeport,
         Texas, USA. Submitted to WHO by Dow AgroSciences, Indianapolis,
         Indiana, USA.

    Zempel, J.A., Rachunek, B.L. & Szabo, J.R. (1987)
         3,5,6-Trichloro-2-pyridinol: Results of a one-year dietary study
         in male and female beagle dogs. Unpublished report No.
         TexasT:K038278-009 from Dow Chemical Co., Freeport, Texas, USA.
         Submitted to WHO by Dow AgroSciences, Indianapolis, Indiana, USA.
    


    See Also:
       Toxicological Abbreviations
       Chlorpyrifos (ICSC)
       Chlorpyrifos (WHO Pesticide Residues Series 2)
       Chlorpyrifos (WHO Pesticide Residues Series 5)
       Chlorpyrifos (Pesticide residues in food: 1977 evaluations)
       Chlorpyrifos (Pesticide residues in food: 1981 evaluations)
       Chlorpyrifos (Pesticide residues in food: 1982 evaluations)
       Chlorpyrifos (Pesticide residues in food: 1983 evaluations)