IPCS INCHEM Home


    CHLORPYRIFOS                          JMPR 1972

    IDENTITY

    Chemical name

         O,O-Diethyl-O-(3,5,6-trichloro-2-pyridyl) phosphorothioate

    Synonyms

         Dowco(R)179, ENT 27311, OMS 971, DURSBAN(R)

    Structural formula
    
    CHEMICAL STRUCTURE 1

         Mol. Wt. 350.6

         Empirical Formula C9H11Cl3NO3PS

    Other relevant chemical and physical properties

         State:              white, granular, crystalline solid

         Melting point:      42 - 43.5°C

         Vapour pressure:    1.87 × 10-5mm Hg (at 25°C)
                             8.87 × 10-5mm Hg (at 35°C)

         Solubility:         readily soluble in acetone, benzene,
                             chloroform, methanol and iso-octane; slightly
                             soluble (0.4 ppm) in water.

    When chlorpyrifos was exposed to UV light or to sunlight, it underwent
    hydrolysis in the presence of water to liberate
    3,5,6-trichloro-2-pyridinol, which underwent further decomposition to


    diols and triols and ultimately cleavage of the ring to fragmentary
    products (Smith, 1968). Hydrolysis in water occurs least readily at
    about pH 6 and very readily above pH 8.

    The technical product is supplied in a variety of concentrations and
    formulations (emulsifiable concentrates, dusts, wettable powders and
    granules).

         Purity:  99.5%

    EVALUATION FOR ACCEPTABLE DAILY INTAKE

    BIOCHEMICAL ASPECTS

    Absorption, distribution and excretion

    As with other phosphorothioate esters chlorpyrifos is rapidly
    absorbed, metabolized and excreted by mammals following oral
    administration. When 36Cl chlorpyrifos was fed by intubation to rats
    as a single sublethal dose (50 mg/kg), the radioactivity was
    eliminated rapidly (90.1% in 26 h) via the urine (90%) and faeces
    (10%). Products excreted were identified as 36Cl 3,
    5,6-trichloro-2-pyridyl phosphate (75-80%),
    3,5,6-trichloro-2-pyridinol (15-20%) and traces of chlorpyrifos. The
    pyridyl phosphate was indicated to be a transient intermediary in the
    hydrolysis of chlorpyrifos to the pyridinol moiety. Analyses showed
    no appreciable residue in any tissue except fat, which showed
    temporary retention of radioactivity (halflife of ca 62 h) identified
    principally as chlorpyrifos (Smith et al., 1967b). This study
    suggests that desethylation is a significant metabolic pathway in
    rats. An additional study in the rat involving administration of 14C
    chlorpyrifos by single dose intubation (19.1 mg/kg) essentially
    verified the earlier result (Branson and Litchfield, 1971a,b). In this
    study, as well as in an in vitro study involving breakdown of
    chlorpyrifos by rat liver microsomes (Branson and Wass, 1970),
    3,5,6-trichloro-2-pyridinol was identified as the only major
    metabolite. A study in cows involving feeding of chlorpyrifos in the
    diet at 5 ppm for four days indicated that the major pathway for
    degradation was by hydrolysis to the pyridinol, as no desethyl
    phosphate esters were found. In addition no chlorpyrifos or
    metabolites were found in milk (Gutenmann et al., 1968).

    Studies of 3,5,6-trichloro-2-pyridinol, the major enolic metabolite of
    chlorpyrifos, have shown absorption, distribution and excretion in the
    rat following single oral administration to be similar to that
    reported for the parent compound. The metabolite is rapidly absorbed
    and excreted primarily in the urine and faeces. Small tissue residues
    (<0.3 ppm) were present and occurred mainly in the biological systems
    involved with urinary excretion, i.e. liver, kidney and blood. Unlike
    chlorpyrifos, residues of the pyridinol in fat were trivial, which is
    consistent with its much greater polarity (Branson and Litchfield,
    1971a,b; Smith et al., 1970).

    Biotransformation

    The metabolic fate of chlorpyrifos has been investigated in plants
    (Smith et al., 1967a, 1967b) and data indicate an oxidative and/or
    hydrolytic breakdown yielding des-mono-ethylchloropyrifos; desethyl
    chlorpyrifos; 3,5,6-trichloro-2-pyridinol and further degradation
    products. This is discussed further in the section on "Fate of
    residues."

    Effects on enzymes and other biochemical parameters

    Chlorpyrifos is a cholinesterase inhibitor affecting this enzyme in
    brain or blood, although differing in its response with different
    animal species. In vitro studies have shown the oxygen analogue of
    chlorpyrifos to be 106 times more active as an inhibitor of
    cholinesterase than chlorpyrifos (I50 values: chlorpyrifos approx.
    2.5 x 10-3M; oxygen analogue approx. 2.5 x 10-9M) (Smith, 1966).
    Equimolar concentrations of chlorpyrifos administered to dogs and
    monkeys affected RBC cholinesterase in monkeys while having almost no
    effect on RBC cholinesterase in dogs. Plasma cholinesterase is the
    most sensitive indicator of exposure to chlorpyrifos. In dogs and
    monkeys administered subacute levels of chlorpyrifos, plasma
    cholinesterase was maximally inhibited within 8 hours following
    exposure. Recovery in dogs was complete within 24 hours while with
    monkey, plasma cholinesterase in monkeys remained depressed at 48
    hours (Coulston et al., 1971).

    TOXICOLOGICAL STUDIES

    Acute toxicity of the metabolite 3,5,6-trichloro-pyridinol has been
    studied in rats and mice. Results are summarized in Table 1. Signs of
    poisoning with this metabolite include facial paralysis with dyspnoea
    and slight hypersalivation and exophthalmia (mice only) (Gerbig and
    Emerson, 1970 a,b).

    Special short-term studies on metabolites

    Rat

    Groups of rats (10 males and 10 females/group) were fed the metabolite
    of chlorpyrifos, 3,5,6-trichloro-2-pyridinol, in the diet for 90 days
    at dosage levels of 0, 100, 300, 1 000, 3 000 and 10 000 ppm. Diuresis
    was observed at 3 000 ppm. At 10 000 ppm a reduction in body-weight
    was observed which reflected a general retardation in growth in both
    sexes. No effects were observed on mortality, terminal haematology or
    gross and histological examination of tissues (Beatty and McCollister,
    1964).

    Dog

    Groups of dogs (3 males and 3 females/group, 4 of each sex were
    controls) were fed the metabolite of chlorpyrifos,
    3,5,6-trichloro-2-pyridinol, in the diet for 91 days at dosage levels
    of 0, 1, 3, 10 and 30 mg/kg/day (Emerson and Gerbig, 1970). Another
    study utilized groups of dogs (2 males and 2 females at the higher
    level and 4 male and 4 female at the lower level) which were fed the
    metabolite at dietary levels of 26 and 80 mg/kg/day for 93 days
    (Copeland, 1964). At 80 mg/kg the metabolite produced abnormalities
    including growth depression in females, increased spleen/body-weight
    ratios and histological changes in the liver. At 26 mg/kg an elevated
    SAP accompanied by equivocal changes in the liver was observed. At 30
    mg/kg increased SAP, SGOT and SGPT values were observed in the second
    study. The increased biochemical parameters were noted in 1 of 3 dogs
    examined at 10 mg/kg. Hepatic lesions noted in 1 dog at 10 mg/kg and
    1 dog at 30 mg/kg did not appear to be chemically induced. No effects
    were noted at 3 mg/kg/day on growth, behaviour, haematology, blood
    biochemistry, urinalysis or gross and microscopic examination of
    tissues.


    TABLE 1  Acute toxicity of the metabolite 3,5,6-trichloropyridinol

                                                                             

    Species    Sex     Route     LD50 (mg/kg)   Reference
                                                                             

    Rat        M       Oral      794            Gerbig and Emerson, 1970a

               F                 870

    Mouse      M       Oral      380            Gerbig and Emerson, 1970b

               F                 415
                                                                             

    Duckling

    Groups of Peking ducklings (10 per group, 20 used as controls) were
    fed the metabolite at dosage levels of 0, 1, 3, 10, 30, 60, 100, 300
    and 1 000 ppm for 3 weeks to determine cataractogenicity. Growth
    retardation was evident at 1 000 ppm, and 3 of 10 ducklings had
    elevated prothrombin values. Levels of 300 ppm and below produced no
    effect on these parameters and no cataractous changes were observed at
    any level (Molello and Sharp, 1968).

    Special studies in neurotoxicity

    Hens (3 DeKalb leghorns/group) were administered chlorpyrifos orally
    at dosage levels of 40, 75, 100 and 150 mg/kg and observed for 27
    days. Mortality occurred at the higher levels. Surviving birds showed
    no signs of delayed ataxia or paralysis. Crufomate administered as a
    positive control (1 000 mg/kg) produced clinical signs of paralysis
    (Stevenson, 1966).

    Special studies on potentiation

    Rats administered subacute oral dosages (1/2 the LD50 value) of
    chlorpyrifos in combination with malathion or dichlorvos showed slight
    evidence for potentiation of the acute toxicity. A three-fold increase
    in the acute toxicity was noted with malathion, but this was judged to
    be of no practical significance (Dow Chemical Co., 1964; Norris,
    1970).

    Special studies on reproduction and teratogenicity

    Groups of rats (10 males and 20 females/group with 20 males and 10
    females/group as controls) were fed chlorpyrifos in the diet for one
    generation (two litters) at dosage levels of 0, 0.03, 0.1 and 0.3
    mg/kg and for two generations (two litters per generation) at dosage
    levels of 0, 0.1, 0.3 and 1.0 mg/kg. The F3b litter was used in a
    teratology study where the parents were fed dietary levels of
    chlorpyrifos until day 6 - 15 of organogenesis when the dietary
    supplement was removed and chlorpyrifos administered by gavage once
    daily. After day 15 chlorpyrifos was again administered by dietary
    supplement until day 20 when the females were sacrificed, foetuses
    removed by caesarean section and viscera and skeletal structure
    examined. Neonatal mortality was somewhat higher in F2a, F2b and F3a
    litters at 1.0 mg/kg. No other significant effects were observed on
    fertility, reproduction or lactation indices or on teratological
    examination of F3b pups as a result of feeding chlorpyrifos at levels
    up to 1.0 mg/kg/day. Cholinesterase depression was observed at levels
    of 0.3 mg/kg and above, primarily in plasma (Thompson et al., 1971).

    Acute toxicity

    The acute toxicity of chlorpyrifos has been studied in several animal
    species, and the results are summarized in Table 2.


    TABLE 2  Acute toxicity of chlorpyrifos in different animal species

                                                                             

    Species     Sex    Route    LD50 (mg/kg)     Reference
                                                                             

    Rat         M      Oral     118 - 245        Taylor and Olson, 1963;
                                                 Gaines, 1969; Tucker and
                                                 Crabtree, 1970

                F      Oral     82 - 135         Taylor and Olson, 1963;
                                                 Gaines, 1969

    Mouse       M      Oral     102              Coulston et al., 1971
                -      i.p.     31               USAEHA, 1968

    White
    footed      -      Oral     64               Kenaga, 1967
    Mouse

    Rabbit      -      Oral     1 000 - 2 000    Taylor and Olson, 1963

    Cavy        M      Oral     504              Ibid.

    Goat        F      Oral     500 - 1 000      Tucker and Crabtree, 1970

    Chukar      F      Oral     61.1             Ibid.
                M      Oral     60.7             Ibid.

    Bullfrog    M      Oral     >400             Ibid.

    Chick       M      Oral     25 - 35          Taylor and Olson, 1963;
                                                 Stevenson, 1966; Sherman
                                                 et al., 1967; Brust
    Chicken     -      Oral     32 - 63          et al., 1971
                                                                             


    The LD50 in a number of avian species has been determined by Tucker
    and Crabtree (1970). The toxicity values range from 8 mg/kg in male
    ring necked pheasant to 167 mg/kg in mallard ducklings.

    Signs of poisoning with chlorpyrifos are typical of cholinesterase
    inhibiting compounds. Mortality following acute oral dosing may be
    delayed for as long as nine days in some species of animals (Tucker
    and Crabtree, 1970).

    Chlorpyrifos administered to the conjunctival sac of rabbits produced
    transient redness of the conjunctiva. No corneal injury was observed
    (Taylor and Olson, 1963). When applied to intact or abraded abdominal
    skin of rabbits daily for up to 2 weeks no significant dermal damage
    was observed. Prolonged contact produced burning and hardening of the
    skin, slight swelling and mild hyperemia which returned to normal
    within three weeks. Chlorpyrifos administered dermally as a technical
    product to rabbits in an undiluted form produced no untoward
    physiological effects. When administered as a 50% solution in
    dipropylene glycol methyl ether, the same dose (2 000 mg/kg) was
    rapidly absorbed and resulted in death in four out of six animals when
    applied to either intact or abraded skin (Taylor and Olson, 1963).
    Chlorpyrifos did not induce sensitization when examined on the guinea
    pig (USAEHA, 1968).

    Dogs and sheep were exposed for a 4-hour period to a thermal fog or
    liquid aerosol at a concentration of 4 or 8 mg/cu ft. Mild plasma
    cholinesterase depression in dogs at the higher dose was the only
    effect noted (Dow Chemical Co., 1966a).

    Five female rats were exposed for 7 hours/day to an atmosphere of
    chlorpyrifos (calculated at 7 mg/l air) for 16 exposures over a 21-day
    interval. There were no effects on growth, appearance, behaviour or
    plasma and RBC cholinesterase activity (Dow Chemical Co., 1966b).

    Short-term studies

    Mallard duck

    Groups of mallard ducklings (6 - 8 birds/group, 5 days old) were fed
    chlorpyrifos for five days at dosage levels of 0, 100, 200, 300, 500,
    700, 1 000 and 2 000 ppm in the diet. Mortality occurred at all dosage
    levels (100-2/8; 200-4/7; 300-5/8; 500-6/8; 700 - 2000 - all dead)
    except in controls (0/7 dead) (Stevenson, 1965).

    Chickens

    Groups of chicks (20 chicks/group) were fed chlorpyrifos in the diet
    for two weeks at dosages of 0, 200, 400 and 800 ppm. Mortality was
    observed at 400 ppm and plasma cholinesterase depression and reduced
    weight gain was observed at all levels (Sherman et al., 1967).

    Groups of chickens (30 per group) were administered chlorpyrifos in
    the drinking water at dosage levels of 0, 1 ppb, 1 ppm and 100 ppm for
    84 days. A higher level (1000 ppm) resulted in clinical signs of
    cholinergic stimulation. Plasma cholinesterase was depressed at 100
    ppm but not at 1 ppm. A 10 ppm group was tested for two weeks with no
    signs of cholinesterase depression. Growth and behaviour were not
    affected at 100 ppm (Stevenson and Daering, 1969). Chlorpyrifos added
    to the drinking water of chicks at dosages of 0, 0.08, 0.32, 1.25, 5,
    20, 80, 320 and 1 280 ppm for periods varying from 3 - 5 weeks induced
    mortality and reduced growth at levels of 80 ppm and above. Whole
    blood cholinesterase depression was evident only at 80 ppm and above
    (Brust et al., 1971).

    Chickens fed chlorpyrifos in the diet at levels of 0, 25, 50 and 100
    ppm for four weeks exhibited reduced plasma cholinesterase activity
    and reduced weight gain at all feeding levels. Calculations of food
    conversion data show a reduced yield in production as a result of 25
    ppm in the diet. No clinical signs of toxicity were observed
    (Schlinke, 1970).

    Rat

    Groups of rats (20 males and 20 females/group) were fed chlorpyrifos
    in the diet for six months at dosage levels of 0, 0.03, 0.15 and 0.75
    mg/kg/day. Cholinesterase depression was noted at 0.75 mg/kg/day in
    RBC and plasma. Brain cholinesterase activity was unaffected. No
    effects were noted at any feeding level on mortality, behaviour,
    growth, haematology or gross or histological examination of tissue
    (Coulston et al., 1971).

    Groups of rats (10 males and 10 females/group) were fed chlorpyrifos
    in the diet for 90 days at levels of 0,10, 30, 100 and 300 ppm. Growth
    reduction was observed in both males and females at 300 ppm. Increased
    liver and kidney organ to body-weight ratios were also observed
    (possibly as a result of reduced body-weight as organ weights were
    comparable to the controls). Cholinesterase depression was observed at
    30 ppm in blood and brain; at 10 ppm, brain cholinesterase was normal
    although enzyme inhibition was observed in RBC and plasm. No adverse
    effects were noted on growth, appearance, food consumption, mortality,
    behaviour, haematology or gross and microscopic pathology at 100 ppm
    (Beatty and McCollister, 1964).

    Five groups of rats (10 males and 10 females/group) were fed
    chlorpyrifos at levels varying from 0.03 - 10.0 mg/kg/day for 28 - 90
    days to determine a "no-effect" level on cholinesterase depression.
    Dosage levels of 0 and 0.3 mg/kg/day were fed for 90 days while
    dosages of 1, 3 and 10 mg/kg/day were fed for 28 days, stopped for
    three weeks (during which time the rats were fed control diets) and
    the rats refed diets containing 0, 0.03 and 0.1 mg/kg/day for a full
    90-day study. Behaviour and growth were affected at 3 and 10
    mg/kg/day. Cholinesterase was depressed at 0.3 mg/kg/day and above in

    both male and female rats. The rats in the three highest groups were
    removed for three weeks during which time cholinesterase activity
    returned to pretest intervals. On resumption of feeding chlorpyrifos
    at 0.1 mg/kg/day, slight cholinesterase depression was observed in
    plasma and erythrocytes. No cholinesterase depression was noted on
    brain or blood enzymes at 0.03 mg/kg/day (Blackmore, 1968b).

    Dog

    Groups of dogs (2 males and 2 females/group; 4 of each sex were
    controls) were fed chlorpyrifos for 93 days. The dosage levels of
    feeding were initially 200, 600 and 2 000 ppm in the diet, but because
    of the appearance of signs of cholinergic poisoning the dosages were
    changed from 2 000 to 60 ppm after 5 days while the 200 ppm (5.8
    mg/kg/day) level was maintained for 45 days. The dogs were then placed
    on control diets for the remainder of the test. Another group of 2
    male and 2 female dogs was added to the study at a dietary level of
    200 ppm (3.4 mg/kg/day) for 27 days, removed from the test for 5 days
    and returned to this dietary level for the final 2 weeks. A decrease
    in food consumption at the 200 ppm level was accompanied by reduced
    growth, especially in females. Growth of all dogs was slightly lower
    than control levels. Increased SGPT values were seen in several dogs
    at all feeding levels. RBC, plasma and brain cholinesterase values
    were reduced in all animals fed chlorpyrifos in the diet at a level of
    20 ppm (0.8 mg/kg/day) and above. No adverse effects were observed on
    haematology, BUN, SAP, organ weights and gross or microscopic
    examination of tissues (Copeland, 1964).

    Groups of dogs were orally administered chlorpyrifos daily in a
    gelatin capsule for periods of 32 to 90 days at doses of 0 (2 males
    and 2 females - 90 days), 0.01 mg/kg/day (2 males and 2 females - 32
    days), 0.03, 0.10, 0.30 and 1.00 mg/kg/day (2 males and 2
    females/group - 90 days), and a final group (2 males and 2 females)
    was given 1.00 mg/kg/day from day 0 to 18, control diet from days 19
    to 42, 0.03 mg/kg/day from days 43 to 58, control diet from days 59 to
    77, 0.01 mg/kg/day from days 78 to 94 and control diet until day 124.
    Data obtained on appearance, body-weight and food consumption were
    normal. A dose-dependent cholinesterase depression in plasma was
    observed to begin at 0.03 mg/kg/day. At this level inhibition was
    moderate and was more marked as the dietary level increased. Brain
    cholinesterase was not affected at any level, and RBC cholinesterase
    was affected at levels of 0.1 mg/kg/day and above. No effects were
    noted at 0.01 mg/kg/day on any parameters tested over the 32-day
    administration interval (Blackmore, 1968a).

    Groups of dogs (7 males and 7 females/group) were fed chlorpyrifos in
    the diet for up to two years at dose levels of 0, 0.01, 0.03, 0.1, 1.0
    and 3.0 mg/kg/day. Inhibition of cholinesterase activity was the only
    abnormality detected. Inhibition of RBC cholinesterase in males and
    females was evident at 1.0 and 3.0 mg/kg. Marginal depression of brain
    cholinesterase was shown at the highest level of feeding. Plasma
    cholinesterase was depressed at 0.1 mg/kg/day in both males and
    females. Occasional reduction at 0.03 mg/kg was noted. Studies on the
    recovery of cholinesterase activity following one year feeding
    indicate that plasma activity recovered to normal within two weeks
    while RBC recovery was much slower. No significant effects were noted
    on mortality, behaviour, food consumption, growth, haematology, blood
    biochemistry, urinalysis, or gross and microscopic examination of
    tissues. Gross examination showed an increased liver weight and ratio
    at 3.0 mg/kg at two years but not at one year. All other tissues were
    normal (McCollister et al., 1971a).

    Monkey

    Groups of Rhesus monkeys (2 males and 2 females - control; 2 males and
    1 female - 0.08 or 0.40 mg/kg/day; 2 males and 2 females - 2.0
    mg/kg/day) were administered chlorpyrifos orally by gavage daily for
    six months. Plasma and RBC cholinesterase activity was depressed in
    those animals that received 2.0 and 0.4 mg chlorpyrifos/kg/day. Plasma
    cholinesterase activity was slightly depressed and RBC cholinesterase
    activity was not depressed in animals that received 0.08 mg/kg/day.
    Brain cholinesterase activity was not affected at any level. No
    significant effects were noted on behaviour, growth, haematology,
    clinical chemistry or gross or histological examination of tissues.
    The histological examination included electron microscopy of liver and
    kidneys and histochemical delineation of lysosomal distribution in
    these two organs (Coulston et al., 1971).

    Long-term studies

    Rats

    Groups of rats (57 males and 57 females/group) were fed dietary levels
    of chlorpyrifos of 0, 0.01, 0.03, 0.1, 1.0 and 3.0 mg/kg/day for two
    years. Blood cholinesterase activity, primarily in plasma, was
    depressed in females at 0.1 mg/kg and above. Brain cholinesterase was
    inhibited at 3.0 mg/kg and slightly depressed at 1.0 mg/kg.
    Chlorpyrifos at all dosage levels had no significant effect on
    behaviour, appearance, growth, mortality, haematology, urinalysis,
    clinical biochemistry, gross or histopathology of tissues and organs
    or the incidence of neoplasms (McCollister et al., 1971b).

    OBSERVATIONS IN MAN

    Groups of men (4 men/group) were administered chlorpyrifos by tablet
    daily for 27 days (0.014 mg/kg/day), 20 days (0.03 mg/kg/day), 9 days
    (0.10 mg/kg/day) and 48 days (control). No effects were noted on
    behaviour, haematology, urinalysis or biochemical determinations in
    blood. Blood plasma cholinesterase was depressed at the highest dosage
    and this regimen was discontinued. Recovery was complete in four
    weeks. At 0.03 mg/kg/day a statistically non-significant, although
    suggestive, depression of plasma cholinesterase was noted. No effects
    were noted at 0.014 mg/kg on plasma cholinesterase. RBC activity was
    unaffected at any level of chlorpyrifos. The level of 0.03 mg/kg/day
    appears to be the minimal threshold response level in humans to
    chlorpyrifos based on plasma cholinesterase (Coulston et al., 1972).

    COMMENT

    The compound is rapidly absorbed and metabolized by mammals, the major
    metabolite being a chlorinated pyridonal hydrolysis product of low
    mammalian toxicity.

    There is no evidence of neurotoxicity or cataractogenicity.
    Potentiation has been demonstrated only with malathion.

    Reproduction studies and examination of offspring for teratogenic
    abnormalities did not reveal adverse effects other than an increase in
    neonatal mortality at 1 mg/kg/day. Chlorpyrifos is an active
    cholinesterase inhibitor, inhibiting plasma cholinesterase to a far
    greater degree than other cholinesterases. One short-term study in
    rats indicated an increase in sensitivity to plasma cholinesterase
    depression following withdrawal after initial treatment. This study
    needs confirmation.

    No-effect levels have been demonstrated in dog, rat and man.

    TOXICOLOGICAL EVALUATION

    Level causing no toxicological effect

         Rat: 0.03 mg/kg/day

         Dog: 0.01 mg/kg/day

         Man: 0.014 mg/kg/day orally for 1 month

    ESTIMATE OF ACCEPTABLE DAILY INTAKE FOR MAN

         0 - 0.0015 mg/kg body-weight

    RESIDUES IN FOOD AND THEIR EVALUATION

    USE PATTERN

    In animals

    Chlorpyrifos is used to control various species of fever ticks
    (Boophilus sp.), ear ticks, lice and horn flies on beef cattle and
    non-lactating dairy cattle, by use of emulsifiable liquid formulations
    in water varying from 0.025 to 0.125% applied as a spray or dip.
    Treatment for all but ear ticks is limited to six applications at
    21-day intervals, and not within two weeks of slaughter.

    Sheep dipped or sprayed with wettable powder or emulsifiable
    formulations of chlorpyrifos are protected from blowfly, ticks, body
    lice and sheep keds. A minimum interval of seven days is required
    between treatment and slaughter.

    Turkey chiggers are controlled through the use of wettable powder
    formulations sprayed on soil in turkey pens at the rate of 4 lb/acre
    chlorpyrifos, before the turkeys are introduced into the pens.
    Treatment is limited to two applications, not within seven days of
    slaughter.

    In plants

    Soil treatments

    1.   Europe, Near East and South Africa

         Chlorpyrifos is used to control soil pests such as wireworms,
         white grubs, mole crickets, Maulwurf's Grill, garden symphylans,
         seed corn maggots, cereal maggots, beet root weevils, the
         Atomaria, Blaniulus, Tipula and cutworms. The chemical is
         applied by means of broadcast row or furrow treatments and is
         varied in concentrations from 300 to 4 000 g/ha a.i. as wettable
         powder, emulsifiable or granular formulations before and after
         planting, previous to harvest. The crops involved are maize,
         spring cereals, beans, onions, tobacco, turnips, bulb flowers and
         carrots.

    2.   Canada

         Chlorpyrifos is used to control soil insect pests of lettuce,
         onions and carrots before and after planting at dosages of 1 to 2
         lb/acre applied as needed, but with the indicated 28- to 60-day
         withdrawal period before harvest. Tobacco plants are treated in
         soil water, preplant and by soil and foliar application.

    Foliar treatments

    1.   Europe, Near East and South Africa

         Chlorpyrifos is used to control insect pests of rape, cereals,
         potatoes, fodder crops, beans, peas and deciduous fruits such as
         apples and pears.

    2.   Japan, Thailand, Philippines, India and Malaysia

         Chlorpyrifos is used to control insect pests of apples, pears,
         rice, tobacco, Chinese cabbage and kale.

    RESIDUES RESULTING FROM SUPERVISED TRIALS

    In animals

    Cattle

    Considerable work has been done in U.S.A. on the analysis of cattle
    tissues for residues of chlorpyrifos as well as its oxygen analogue
    and pyridinol moiety. Typical distribution of residues in cattle
    dipped in chlorpyrifos is shown in Table 3 (Claborn et al., 1970a).
    In this study, 57 beef cattle were dipped one to six times in a 0.025%
    emulsion of chlorpyrifos at intervals of 21 days. Animals were removed
    from the dipping schedule after each dip, except the fifth, for

    post-treatment slaughter at various time intervals. Fat muscle, kidney
    and liver tissue samples were collected and analysed for residues of
    chlorpyrifos, its oxygen analogue, and the 3,5,6-trichloro-2-pyridinol
    moiety. Residues of chlorpyrifos were predominately in the fatty
    tissues, and residues of 3,5,6-trichloro-2-pyridinol were in the
    kidney and liver tissues. No residue of the oxygen analogue was
    detected in any tissue.

    Residues of the hydrolytic pyridinol were not detectable in muscle
    tissue or in kidney and liver tissues of cattle, except at low levels
    for the first 1 - 2 weeks after the last dip, even after six dippings.

    It should be noted that this experiment began in February, so the
    animals had their winter coat of hair through the first three dippings
    and were shedding it at approximately the fourth dipping period. The
    heavy winter hair coat carries more insecticide out of the vats than
    the summer coat, as evidenced by the higher residues after the second
    and third dippings and the drop in residues after the fourth dipping.
    The effect of the winter coat is also reflected by the higher residues
    after the first dip when compared to levels of residues after a single
    dip (in the same concentration or higher concentration - 0.05% - of
    chlorpyrifos) in the animals reported by Mann, 1966; Claborn et al.,
    1968a,b; and Dishburger et al., 1966a,b.

    Since the season for ticks extends from approximately April or May to
    mid-September, animals would be expected to shed their winter coat
    after the first or second dipping when treated according to label
    instructions. Therefore, in practice residue levels as high as those
    found in the test animals would not be expected after the third
    dipping, since these animals would have been dipped three times before
    shedding their winter coat of hair. In any case, it is believed that
    this experiment represents the highest levels of chlorpyrifos that
    would ever be encountered in the use of 0.025% chlorpyrifos as a dip.

    In an early test, cattle were sprayed once with a 0.5% emulsion of
    chlorpyrifos (20 times the label recommendation). Residues of the
    compound in the fat were 1.3 ppm (maximum) at 20 days post-treatment
    and had declined to 0.08 ppm (maximum) at 30 days post-treatment
    (Dishburger and Rice, 1965).

    In cattle treated with an emulsion containing 0.05% chlorpyrifos
    (twice the label recommendation), the average amounts of residue in
    the fat one week after a single-dip application were about twice those
    resulting from a single-spray application. The maximum residues were
    well below 1 ppm (0.209 for spray and 0.525 for dip application) at
    the first sampling period at seven days post-treatment. Approximately
    two weeks were required for residues to be reduced to 1 ppm in the fat
    of animals given multiple treatments (3 dippings at 2-week intervals)
    at this level (Mann, 1966; Claborn et al., 1968a,b).


        TABLE 3  Chlorpyrifos residues in cattle in the United States1
                                                                             

                                                    Mean residues of 
    Weeks        Mean residues of chlorpyrifos2     3,5,6-trichloro-2-pyridinol3
    after last   fat      muscle         kidney     kidney      liver
    dipping               (ppm)                            (ppm)
                                                                             

                          1 dipping

    1            0.672    0.004          0.003      0.12        0.12
    2            0.142    0.002          0          <0.05       <0.05
    3            0.083    0.001          0          0           0
    4            0.038    0              0          0           0

                          2 dippings4

    1            1.245    0.011          0.008      0.30        0.26

                          3 dippings4

    1            1.589    0.028          0.008      0.24        0.29
    2            0.085    0.011          0.001      0.05        0.05
    4            0.158    0              0          0           0
    6            0.038    0              0          0           0
    8            0.041    0              0          0           0
    10           0.001    0              0          0           0

                          4 dippings4

    1            0.693    0.011          0.001      0.10        0.12

                          6 dippings4

    1            0.744    0.015          0.003      0.12        0.10
    2            0.141    0.001          0          0           0
    4            0.069    0              0          0           0
    6            0.018    0              0          0           0
    8            0.007    0              0          0           0
    10           0        0              0          0           0
                                                                             

    1    Residues of chlorpyrifos and 3,5,6-trichloro-2-pyridinol in tissues
         of beef cattle dipped in an emulsion containing 0.025% chlorpyrifos.
         Residue levels corrected for % recovery from tissues.

    2    No chlorpyrifos found in liver (0 - <0.002 ppm) or oxygen
         analogue (0 - <0.005 ppm) in any tissue analysed (Claborn, 1970).

    3    No 3,5,6-trichloro-2-pyridinol found in fat or muscle tissues
         (0 - <0.05 ppm) (Dishburger and McKellar, 1971).

    4    Dipping schedule was at 21 day intervals.
        The oxygen analogue was found only in samples of fat containing the
    higher residues of chlorpyrifos (approximately 2 ppm); it amounted to
    about 1% of the residue. No increase occurred in the amount of the
    oxygen analogue as the chlorpyrifos was eliminated, and no residues of
    the analogue were detected in the muscle, brain or spleen tissues of
    the animals that had the highest residues of chlorpyrifos in the fat
    (Claborn et al., 1968a).

    Data from Mann (1966), Claborn et al. (1968a) and Dishburger
    et al. (1966a,b) indicated that the biological half-life of
    chlorpyrifos in tissues of cattle following a single treatment with
    DURSBAN insecticide containing 0.025% and 0.05% chlorpyrifos is
    approximately 4 - 6 days. Data from Mann (1966) and Claborn et al.
    (1968a,b) showing multiple dippings in DURSBAN insecticide containing
    0.025% and 0.05% chlorpyrifos, further establish the consistency of
    the degradation ratio following the last treatment. The data of
    Claborn et al. (1968b) indicate that the biological half-life of
    chlorpyrifos in tissues of cattle treated at three-week intervals for
    as long as six weeks with DURSBAN 24E containing 0.025% chlorpyrifos
    is approximately seven days. In summary, the experiments illustrate
    the consistency of a 4 - 7 day biological half-life for chlorpyrifos
    in fat.

    Considerable work has been carried out in Australia on the
    determination of residues from the vat dip and spray application of
    chlorpyrifos to cattle (Hall, 1969; Snelson, 1969b). Results shown in
    table 4 indicate that residues of chlorpyrifos in omental fat are in
    the same order of magnitude as those for United States, considering
    the fact that most tests were at double the concentration (0.05%) in
    Australia.

    Snelson (1969a) studied the disappearance rate of chlorpyrifos in
    butterfat in milk after a single dip application of chlorpyrifos at
    0.025% to milk cows. Residue declined from 1.1 ppm after 1 day to 0.01
    ppm in 9 days, and a non-detectable level at 15 days (see Table 5).

    Sheep

    Sheep dipped in an 0.05% chlorpyrifos emulsion showed inconsistent
    levels of residues of chlorpyrifos with no apparent change in residue
    levels (0.081 - 0.179 ppm) from 3 - 28 days after application. No
    detectable levels (<0.005 ppm) were seen in muscle, liver or kidney
    tissues at any time (Dow Chemical Co., 1967).



        TABLE 4  Chlorpyrifos residues in cattle in Australia

                                                                                                             

                                                                         Chlorpyrifos
                                          Days                           residues in
    Chlorpyrifos       Application        between last      No. of       omental fat            Reference
    %                 type      no.       treatment and     cattle       (mean values
                                          slaughter                      or range, ppm)
                                                                                                             

    0.025             Vat dip   3         1                              0.2                    Watts, 1968
                                          4                              0.96
                                          7                              0.25
                                1         1
                                          3                              0.11 - 0.22            Ibid.
                                1         1,4,8,15                       0.29 - 2.18            Ibid.
                                3,6       1,4,8,15                       0.05 - 1.19            Ibid.
    0.05              Vat dip   1         1,4,8                          0.41 - 0.48            Ibid.
                                3         1                              1.17                   Ibid.
                                          4                              0.98
                                6         1                              1.75                   Ibid.
                                          8                              1.36
                                          15                             1.11
                                          22                             0.6
                                          29                             0.38
    0.05              Vat dip   2         0                 3            1.46 - 2.26            Hall, 1969
                                1         2                 3            2.4 - 3.87
                                1         2                 3            1.23 - 3.09
                                1         2                 3            0.98 - 2.54
                                1         1                 3            0.42 - 0.79
                                3         1                 4            1.32 - 3.80
    0.05              Dip       10        5?                12           0.70 - 7.131           Snelson, 1969b
    0.05              Spray     30        1                 3            1.6 - 4.2              Ibid.
                                          5                 3            0.34 - 1.1
                                          9                 2            0.1 - 0.15
                                          13                1            0.06
                                          28                1            0.01
                                                                                                             

    1  Omental and/or perirenal fat.
    

    TABLE 5  Chlorpyrifos residues in milk of cows in Australia

                                                                      

    Days between        Chlorpyrifos1
    last treatment      residue in butterfat
    and sampling        (ppm avg. 4 cows)             Reference
                                                                      

    1                   1.1                           Snelson, 1969a
    2                   0.96
    3                   0.57
    4                   0.14
    5                   0.08
    6                   0.05
    9                   0.01
    15                  N.D.2
                                                                      

    1  One dip application containing 0.025% chlorpyrifos.

    2  N.D. = not detectable


    Turkeys and chickens

    Claborn et al. (1970b) determined residues of chlorpyrifos in the
    body tissues of turkeys confined in pens containing soil treated with
    4 or 8 lb/acre of chlorpyrifos (in a 25% wettable powder formulation)
    for control of the chigger, Neoschongastia americana. The higher
    concentration caused maximum residues of 0.157 and 0.066 ppm of
    chlorpyrifos in the skin and fat, respectively, one week
    post-treatment, that decreased to less than 0.001 ppm after six weeks.
    No significant residues were found in the other tissues (thigh,
    breast, liver). The oxygen analogue of chlorpyrifos (diethyl
    3,5,6-trichloro-2-pyridyl phosphate) was not detected (<0.005 ppm) in
    any tissues.

    In a study conducted by Mann and Ivey (1971), turkeys were maintained
    on soils treated two times, at an interval of 28 days, with 4 lb
    chlorpyrifos/acre each time. Two or three birds were necropsied at
    weekly intervals for six weeks after the first application and for
    eight weeks after the second application. Tissue samples of fat, skin,
    muscle, liver and kidney were analysed for residues of chlorpyrifos,
    the oxygen analogue and the pyridinol moiety
    (3,5,6-trichloro-2-pyridinol). Lowlevel residues of chlorpyrifos were
    found in fat (0.022 - 0.005 ppm), skin (0.033 - 0.152 ppm) and kidney
    (<0.002 - 0.005 ppm) of birds after one week of exposure to the
    first application of compound to the soil. Fat only was analysed for
    the remainder of the test for each application. The residues in fat
    were reduced to <0.002 ppm (the sensitivity of the method) six weeks
    after the first application and eight weeks after the second

    application. No oxygen analogue was detected in any of the tissues.
    Small residues of the pyridinol moiety were found in the skin of one
    hen (<0.003 - 0.007 ppm), the liver of one tom (<0.01 - 0.025 ppm)
    and the kidney of one tom (<0.01 - 0.098 ppm) after one week of
    exposure to the first application; and in the skin (<0.003 - 0.003
    ppm), liver (<0.01 - 0.078 ppm) and kidney (<0.01 - 0.165 ppm) in
    one hen after one week of exposure to the second application of
    compound to the soil.

    Hunt et al. (1969) developed a new rapid gas chromatographic method
    for analyses of chlorpyrifos in turkey and chicken tissues. The
    residues reported are from the same experiments as the toxicological
    results reported by Schlinke (1970) in chickens and Schlinke et al.
    (1969) in turkeys. The tests consisted of dietary and contact tests
    with chlorpyrifos for four weeks. Residue analyses of muscle, liver,
    heart, brain, gizzard, skin and fat tissues were taken after 28 days
    of treatment. Only skin and fat tissues showed detectable amounts of
    chlorpyrifos. In chickens fed 100, 50 and 25 ppm in the diet, the
    highest tissue residue was 0.87 ppm chlorpyrifos in fat. In turkeys
    fed 100 and 50 ppm in the diet, the highest residue was 0.34 in fat.

    Dishburger et al. (1969b) determined the presence of chlorpyrifos
    residues in skin, fat, muscle and liver tissues of turkeys which had
    been confined to soil treated with 4.5 lb chlorpyrifos/acre as
    emulsifiable, granular, or wettable powder formulations. Muscle and
    liver tissues contained undetectable amounts of chlorpyrifos in all
    tests. Skin and fat tissues contained <0.1 ppm at all times, but were
    higher at seven days post-treatment than any of the other weekly
    samplings up through 28 days post-treatment.

    In plants

    Residues found in experiments with plants in United States

    Chlorpyrifos has been applied to various species of plants and
    generally found to be lacking in residual insecticidal properties on
    plant-feeding insects. The residue determinations reported here
    actually never exceeded 28 ppm at the dosages tested (up to 1 lb/acre)
    and soon diminished, exhibiting a half-life of 1 - 2 days, thus
    confirming the reason for the observed lack of residual effectiveness
    on plant-feeding insects (see Table 6).

    There was no evidence of residue buildup on plants from repeated
    application of chlorpyrifos.


        TABLE 6  Chlorpyrifos residues found in experiments in plants in United States

                                                                                                             

    Dosage             Application                              Chlorpyrifos
    chlorpyrifos    (no.)   (no. of days    Crop                residues               Reference
    (lb/A)                  since last)                         (ppm)
                                                                                                             

    1.0             1       0               Bermuda grass       13.2                   Leuck et al., 1968
                            14                                  0.37
    1.0             1       0               Maize               5.60                   Ibid.
                            14                                  0.42
    0.05            8       0               Pasture grass       0.7 - 8.2              Winterlin et al.,
                            7                                   <0.1 - 0.2             1968
    0.05            1       0               Grass               0.11 - 8.1             Ibid.
                            3                                   0.012 - 1.8
    0.025           1       0               Rice                0.09 - 0.64            Ibid.
                            6-14                                <0.005 - 0.07
    1.0             1       0               Various wild        26.9                   Hurlbert et al.,
                            1               plants              27.4                   1970
                            7                                   1.1
                            14                                  0.1
    0.025           4       0               Rice                0.07 - 0.21            Dishburger et al.,
                            9                                   <0.01                  1969c.
    1.0             1       0               Maize silage        15.1                   Johnson et al., 1969
                            1                                   4.4
    0.25            1       0               Maize silage        2.5                    Ibid.
                            1                                   1.1
                                                                                                             
    

    Leuck et al. (1968) studied the persistence of chlorpyrifos and its
    oxygen analogue on field plots of coastal Bermuda grass and maize
    forage using the method of Bowman and Beroza (1967a) with a minimum
    sensitivity of 0.002 - 0.01 ppm. Chlorpyrifos was applied at the rate
    of 1 lb/acre. The oxygen analogue constituted a very low residue and
    was only a small proportion of the total insecticide. Chlorpyrifos
    residues varied from about 6 - 13 ppm at the time of application to 4
    - 8 ppm after 1 day, to around 1 ppm after 7 days and to nearly
    negligible levels after 21 days. The residue half-life of chlorpyrifos
    appeared to be in the order of 2 - 3 days on Bermuda grass and maize
    plants.

    Winterlin et al. (1968) studied the residues of chlorpyrifos on rice
    and pasture grass and environment when applied experimentally for the
    control of mosquitoes around Colusa, California. They used the method
    of Bowman and Beroza (1967a) i.e. gas chromatography with a flame
    ionization detector, which is sensitive to 0.005 ppm chlorpyrifos in
    rice and 0.01 ppm in pasture grass, and found residues as high as 8.11
    ppm chlorpyrifos immediately after application of 0.05 lb
    chlorpyrifos/acre. Residues decreased rapidly after application to
    below 1 ppm.

    Myers et al. (1968) reported on residues resulting from application
    of chlorpyrifos sprayed by aircraft at the rate of 0.1 lb/acre, eight
    times, over a period of five months on irrigated pastures. Samples of
    grass analysed for the insecticide 1 - 3 hours after each spray
    application varied from 0.4 - 8.2 ppm, and after seven days varied
    from <0.1 - 0.2 ppm, using an analytical method sensitive to 0.1 ppm
    chlorpyrifos. No evidence of accumulated residues of chlorpyrifos were
    detected as the result of multiple applications to grass with
    chlorpyrifos.

    Hurlbert et al. (1970) reported on the residues of chlorpyrifos on
    watergrass, sprangletop and smartweed on the dikes surrounding ponds,
    resulting from hand-sprayed applications of chlorpyrifos emulsifiable
    insecticide. Dosages used were 1, 0.1, 0.05, and 0.01 lb/acre diluted
    in a constant spray volume of 8 gal/acre. Under these conditions
    residues over 1 ppm occurred only at 1 lb/acre after 4 h, 1 day, and 7
    days, but not 14 days; and at 0.1 lb/acre after 4 h. Residues
    determined at other dosages and post-application times were less than
    1 ppm. The half-life of the foliar residues of chlorpyrifos was in the
    order of 1 - 3 days.

    Dosages of 0.025 lb chlorpyrifos were applied aerially four times, at
    monthly intervals, to rice fields. Residues of chlorpyrifos in raw
    (rough) rice grain ranged from 0.07 to 0.21 ppm at 0 day, following
    the last of the four applications. No residues of the oxygen analogue
    of chlorpyrifos were detected, nor did detectable chlorpyrifos
    residues persist more than 9 days after application (Dishburger
    et al., 1969c).

    Johnson et al. (1969) treated maize plants in the field with 0.25,
    0.5 and 1.0 lb chlorpyrifos/acre. The initial residues in maize and
    silage were 2.5, 3.9 and 15.1 ppm, respectively (on an as-collected
    basis). After one day the losses of residues were 56, 40 and 71%,
    respectively. This represents a half-life of about one day. One day
    after treatment the maize and silage were enclosed in a silage bin
    where chlorpyrifos residues declined slowly over a period of seven
    weeks.

    Dishburger et al. (1969a) analysed samples of tobacco leaves from
    soil and foliage treated with 0.5, 1.0 and 1.5 lb chlorpyrifos/acre.
    No residues (<0.01 ppm) were detected on the samples harvested (2
    months or more post-application).

    Residues found in experiments with plants in Canada

    Residue data from experiments with onions, lettuce, carrots, and
    tobacco are shown in Tables 7 and 8 using the analytical method of
    Braun (1971) for chlorpyrifos and McKellar (1971c) for the pyridinol.

    TABLE 7  Residues of chlorpyrifos from treatments of lettuce,
             onions and carrots1
                                                                             
    Application                     Residues on crop (ppm)
    (lb/acre)   (No.)2         lettuce       onions        carrots3
                                                                             

    0.5         2              <0.001        0.001         <0.001
                               0.005         0.003         0.003
                               (54)4         (119)         (138)
                3              0.001         0.002         0.012
                               0.020         0.003         0.020
                               (31)          (104)         (123)
    1.0         2              <0.001        0.002         0.012
                               0.008         0.005         0.034
                               (54)          (118)         (138)
                3              0.002         0.002         0.006
                               0.009         0.005         0.018
                               (31)          (104)         (123)
    2.0         2              0.003         0.008         0.015
                               0.029         0.013         0 046
                               (54)          (119)         (138)
    2.0         3              0.008         0.003         0.019
                               0.034         0.005         0.033
                               (31)          (104)         (123)
                                                                             

    1    McEwen and Frank, 1970.
    2    First application was preplant soil treatment; second and third
         soil and foliar treatments (Canada).
    3    3,5,6-trichloro-2-pyridinol analysed for but not found at
         detection limit of 0.005 ppm.
    4    Days after chlorpyrifos withdrawal shown in ().

    TABLE 8  Residues of chlorpyrifos from treatments of lettuce, onions,
             carrots and celery

                                                                             

                Withdrawal   Applications1   Residues range
    Crop        (days)       (no.)           (ppm)              References
                                                                             

    Onions      57           1               0.001 - 0.003      McEwen, 1970

                19           4               <0.0012            Harris, 1971

    Celery      57           1               N.D.3 - 0.016      McEwen, 1970

    Carrots     57           1               0.001 - 0.015      Ibid.

    Lettuce     27           1               N.D.               Ibid.
                                                                             

    1  Treatments all post-planting, 2 lb/acre (Canada).

    2  No oxygen analogue of chlorpyrifos detected at 0.01 ppm sensitivity
       level.

    3  N.D. = <0.001 ppm.


    Residues found in experiments with plants in Europe and the Near
    East

    Residue data from experiments with cauliflower, red cabbage, eggplant,
    beans, peppers, lettuce, mushrooms, carrots, potatoes, sugar beet,
    corn, cotton, tomatoes, grapes, pears and apples are shown in Tables 9
    and 10. These tests include soil and foliar applications.

    Residues found in experiments with plants in Japan, Thailand,
    Malaysia, and the Philippines

    Residue data from experiments with Chinese cabbage and kale, rice and
    apples are shown in Tables 11, 12 and 13.


    
    TABLE 9  Residues of Chlorpyrifos in Food Crops, Europe/Near East Trials

                                                                                                                                               

    COUNTRY             YEAR      FORMULATION          APPLICATION         DOSAGE1       INTERVAL2    RESIDUES       REFERENCES
    and CROP                                         TYPE          NO.                                (ppm)
                                                                                                                                               

    FRANCE
    Potatoes            1970      Granules           Soil          1       1 500 g/ha    5 mo         <0.005         Graf and Engeler,
                                  5% active          insecticide   1       3 500 g/ha    5 mo         <0.005         1971a

    W. GERMANY
    Sugar beets         1971      Dursban EC         Broadcast     1       1.15 kg/ha    112 d        <0.13          Scheuerer & Hahn,
                                  40.8% active       Soil insect.                        118 d                       1972

    Maize               1971      Dursban 4 EC       Soil insect.  1       0.95 kg/ha    123 d        <0.13          Ibid.
                                  40.8% active       Broadcast

    HOLLAND
    Cauliflower                   Strewpowder        Soil insect.  1       120 mg        8 wk         0.002
    Red cabbage (1)     1969      4% active                                              11 wk        <0.002         Wit, 1970
    Red cabbage (2)                                                                      85 wk        <0.002
    Lettuce (under      1970      3.2% active        Soil insect.  1       1 900 g/ha    9 wk         <0.01          Wit, 1971
    glass)                        granule
    Mushrooms           1971      25% wettable       Spray         3       5 000 g/ha    3 wk         0.01           Olthof, 1971a
                                  powder                                                 3 wk         0.03
    Carrots             1971      Dursban 25W        Soil insect.  1       6 000 g/ha    3-4 mo       0.14           Olthof, 1971b
                                                                   1       6 000 g/ha    3-4 mo       0.28

    ISRAEL
    Cotton              1970      Dursban E.C.       Spray         6       730 g/ha      15 d         <0.05          Graf, 1970a
                                  40.8% active
    Apples              1970      Dursban E.C.       Spray         1       2 400 g/ha    7 d          0.54           Graf &
                                  40% active                                             14 d         0.20           Engeler, 1970a
    Tomatoes            1970      Dursban E.C.       Spray         1       720 g/ha      1 d          0.24           Aharonson
                                  40.8% active                                           4 d          0.16           et al., 1969
                                                                                         8 d          0.12
                                                                                         16 d         0.04
                                                                   1       1 440 g/ha    1 d          0.45

    TABLE 9  (Cont'd.)

                                                                                                                                               

    COUNTRY             YEAR      FORMULATION          APPLICATION         DOSAGE1       INTERVAL2    RESIDUES       REFERENCES
    and CROP                                         TYPE          NO.                                (ppm)
                                                                                                                                               

                                                                                         4 d          -
                                                                                         8 d          0.18
                                                                                         16 d         0.10
                        1971      Dursban E.C.       Spray         1       1 440 g/ha    1 d          0.27           Graf & Engeler,
                                  40.8% active                                           5 d          0.25           1971b
    Apples              1971      Dursban E.C.       Spray         1       1 440 g/ha    1 d          0.57           Graf & Engeler,
                                  40.8% active                                           7 d          0.23           1971c
                                                                                         14 d         0.14
                                                     Spray         1       2 880 g/ha    1 d          0.52
                                                                                         7 d          0.28
                                                                                         14 d         0.24
                                  Dursban            Spray         1       1 440 g/ha    1 d          0.13
                                  40.8% active                                           7 d          0.11
                                                     Spray         1       2 880 g/ha    1 d          0.29           Ibid.
                                                                                         7 d          0.24

    ITALY

    Sugar beets         1970      Dursban 5%         Soil insect.  1       2 500 g/ha    3-6 mo       <0.004         Foschi, 1971
    Maize               1970      Granule            Soil insect.  1       2 500 g/ha    3-6 mo       <0.004
    Lettuce             1971      Dursban E.C.       Spray         1       500 g/ha      14 d         0.05           SIAPA, 1971
                                  22.5%                            1       1 000 g/ha    14 d         0.07
    Apples              1970      Dursban E.C.       Spray         1       816 g/ha      15 d         0.16           Graf, 1970b
                                  40.8% active                                           29 d         0.10
                                                                   1       1 224 g/ha    15 d         0.25
                                                                                         29 d         0.16
    Pears               1970      Dursban E.C.       Spray         1       816 g/ha      15 d         0.22           Graf, 1970c
                                  40.8% active                                           29 d         0.14
                                                                   1       1 224 g/ha    15 d         0.22
                                                                                         29 d         0.27

    TABLE 9  (Cont'd.)

                                                                                                                                               

    COUNTRY             YEAR      FORMULATION          APPLICATION         DOSAGE1       INTERVAL2    RESIDUES       REFERENCES
    and CROP                                         TYPE          NO.                                (ppm)
                                                                                                                                               

    Turkey
    Eggplant            1972      Dursban 4          Spray         3       0.96 kg/ha    0 d          0.26-0.40      Hollick &
                                  E.C.                                                   7 d          0.02-0.03      Collison, 1972
                                                                                         14 d         0.02-0.02
    Beans               1972      Dursban 4          Spray         2       0.96 kg/ha    0 d          0.65-1.20      Ibid.
                                  E.C.                                                   7 d          0.08
                                                                                         14 d         <0.04
    Tomatoes            1970      Dursban E.C.       Spray         1       347 g/ha      3 h          1.3            Graf & Engeler,
                                  40.8% active                                           5 d          0.26           1970b
    Peppers (under      1972      Dursban 4          Spray         3       0.96 kg/ha    0 d          2.00-5.20      Hollick &
    glass)                        E.C.                                                   7 d          0.04-0.10      Collison, 1972
                                                                                         14 d         0.13-0.25

    UNITED KINGDOM
    Raspberries         1971      Dursban E.C.       Spray         1       0.1%          0 d          1.40           Burrows et al.,
                                  40.8% active                                           5 d          0.32           1971d
                                                                   2       0.5%          10 d         0.14
                                                                                         18 d         0.18
    Tomatoes            1971      Dursban E.C.       Spray         1                     0 d          1.26           Burrows et al.,
                                  40.8% active                                           3 d          0.10           1971e
                                                                                         7 d          0.08
                                                                                         14 d         0.01
                                                                                         28 d         0.01
                                                                                                                                               

    1  All dosages given in a.i.
    2  Last application to harvest
    3  Limit of detection

    TABLE 10  RESIDUES OF CELORPYRIPOS AND PYRIDINOL IN FOOD CROPS, EUROPE/NEAR EAST TRIALS

                                                                                                                                     

    CROP,             SAMPLE     DOSAGE1          TIME BETWEEN       RESIDUES          RESIDUES                           REFERENCES
    COUNTRY           NO.                         LAST TREATMENT     CHLORPYRIFOS      3,5,6-TRICHLORO-2-PYRIDINOL (ppm)
    & YEAR                                        AND HARVEST        (ppm)             
                                                                                                                                     

    TURKEY
    1971
     Tomatoes         1 A        825 g/ha         3 hours            1.3*              <0.05
                      2 A        "                3 hours                              <0.05
                      4 A        "                3 hours                              0.05                               Barrows & Mullin,
                      3 B        "                5 days                               0.05                               1971b
                      5 B        "                5 days             0.26              <0.05
                      6 B        "                5 days                               <0.05
    ENGLAND
    1971
     Tomatoes                    720 g/ha         0 day              1.28              0.14
                                                                     1.24              0.12
                                                  3 days             0.14              0.10
                                                                     0.05              0.10                               Burrows et al
                                                  7 days             0.08              0.08                               1971e
                                                                     0.08              0.08
                                                  14 days            0.01              0.12
                                                                     0.01              0.10
                                                  28 days            <0.01             0.10
                                                                     <0.01             0.16
    ITALY 1971
     Apples           1            816 g/ha       29 days            0.10              <0.05                              Burrows & Mullin,
                      4          1 224 g/ha       15 days            0.25              <0.05                              1971b
     Grapes           11           816 g/ha       29 days            0.10              <0.05
                      13           816 g/ha       15 days            1.10              0.06                               Ibid.
                      12         1 224 g/ha       29 days            0.22              <0.05
                      14         1 224 g/ha       15 days            1.50              0.29
                                                                                                                                     

    *  Composite samples
    1  All dosages given in a.i.

    TABLE 11  CHLORPYRIPHOS RESIDUES ON CROPS IN JAPAN1

                                                                                                             

    CROP                FORMULATION         CHLORPYRIFOS   APPLIC.        DAYS BETWEEN        RESIDUE2
    &                   and DILUTION        IN SPRAY       (no.)          LAST SPRAY          (ppm)
    YEAR                                    (ppm)                         AND HARVEST
                                                                                                             

    Chinese
     cabbage
      1967              40E                 267            1              4                   0.13-0.23
                        1100 l/ha

    1969                40E                 267            2              8                   0.02-0.09
                        1000 l/ha                          2              16                  0.43-0.44
                        "                   267            4              8                   0.16-0.22
                                                           4              16                  0.62-0.86

    1969                40E                 267            2              7                   0.02-0.06
                        1500 l/ha                          2              14                  0.06-0.08
                        "                   267            4              7                   0.08-0.14
                                                           4              14                  0.06-0.12

    Apples
    Rall's Janet
    1967                25W                 250            4              66                  N.D.3

    Johnathan
    1967                25W                 250            5              42                  0.01-0.05

    1969                25W                 250            3              30                  0.05-0.07
                        30 l/tree                                         45                  0.05-0.06

    1969                "                   250            2              17                  0.03-0.07
                                                                          28                  0.02-0.05
                                                                          46                  0.02-0.03

    TABLE 11  (Cont'd.)

                                                                                                             

    CROP                FORMULATION         CHLORPYRIFOS   APPLIC.        DAYS BETWEEN        RESIDUE2
    &                   and DILUTION        IN SPRAY       (no.)          LAST SPRAY          (ppm)
    YEAR                                    (ppm)                         AND HARVEST
                                                                                                             

                        25W                 250            3              7                   0.03-0.09
                        30 l/tree
                                                                          14                  0.05-0.17
                                                                          31                  0.08-0.16
                                                                          45                  0.03-0.05

    Aomori
    1969                25W                 250            2              7                   0.10
                                                                          14                  0.12-0.14
                                                                          21                  0.08-0.03
                                                                                                             

    1  Hamaguchi, 1970
    2  Range of averages for two laboratories
    3  N.D. = not detectable (<0.005 ppm)

    TABLE 12  CHLORPYRIFOS RESIDUES ON CROPS IN THAILAND AND MALAYSIA

                                                                                                                              

    CROP            FORMULATION          APPLIC.     DAYS BETWEEN    TESTS        RESIDUE1              REFERENCES
                    & DILUTION           (no.)       LAST SPRAY      (no.)        (ppm)
                                                     & HARVEST
                                                                                                                              

    Chinese         25W                  6           5               6            N. D.2 - 0.023        Tucker & Zielinski,
    cabbage                                                                                             1972a

    Chinese         187 ppm(a.i.)        "           "               "            0.10 - 0.243          Ibid., 1972b
    kale            "                    "           "               "            0.09 - 0.763

    Chinese         25W                  "           "               "            N.D.3                 Ibid., 1972a
    cabbage

    Chinese         375 ppm(a.i.)        "           "               "            0.38 - 0.753          Ibid., 1972b
    kale            "                    "           "               "            0.35 - 0.763

    Chinese         25W                  16          2               3            0.07 - 0.104          Ibid., 1972,
    kale
                    3 oz a.i./A          "           "               "            0.01 - 0.35

                    25W                  "           "               "            0.13 - 0.244
                    4 oz a.i./A          "           "               "            0.01 - 0.035

    Tobacco         25W                  10          7               4            0.03 - 0.053          Ibid., 1972d
                    187 ppm (a.i.)

                    25W                  "           "               "            0.21 - 0.383
                    375 ppm (a.i.)
                                                                                                                              
    1  Two analytical methods used in analyses
    2  N.D. = not detectable (<0.01 ppm)
    3  "Usable leaves" from Thailand
    4  Leaf only from Malaysia
    5  Stem only from Malaysia
    

    TABLE 13  Chlorpyrifos residues on rice in the Philippines1

                                                                             

                                  Chlorpyrifos                 Residue
                                  applied (kg/ha,    Tests     (range of
    Part analysed   Formulation   3 applications)    (no.)     averages,
                                                               ppm)
                                                                             

    Grain           E.C.          0.10               4         N.D.3
                                  0.15               4         N.D. - 0.008
                                  0.20               3         N.D. - 0.005
                                  0.25               2         0.008
                    Granule       0.10               3         N.D.

    Grain and       E.C.          0.10               4         N.D.  - 0.007
     straw2                       0.15               4         N.D.  - 0.006
                                  0.20               4         0.005 - 0.008
                                  0.25               2         0.008
                    Granule       0.10               3         <0.005
                                                                             

    1  Tucker, 1971.
    2  Very little straw, mostly grain.
    3  N.D = not detectable (<0.005 ppm)


    FATE OF RESIDUES

    General comments

    The fate of chlorpyrifos residues and its metabolites in different
    species of animals are discussed in the section on "Biochemical
    aspects".

    In animals

    Cow

    Chlorpyrifos was not found in the urine and milk from a cow fed 5 ppm
    (based on a daily ration of 50 lb) of the compound for four days. The
    compound in absolute ethanol was mixed thoroughly with the grain. A
    compound characterized by retention time as chlorpyrifos was found in
    faecal samples taken on the last three days during which the
    insecticide was fed and the first day after, and represented 1.7% of
    the insecticide fed. Two metabolites were excreted in the urine which,
    following methylation, had retention times identical to the methyl
    esters of diethylthiophosphate and diethyl phosphate. They represented
    35.9 and 26.8%, respectively, of the total insecticide fed on an
    equivalent basis (Gutenmann et al., 1968).

    Fish

    Waters treated with 50 and 300 ppb of ring-labelled 14C chlorpyrifos
    and containing goldfish were analysed for the types of metabolites
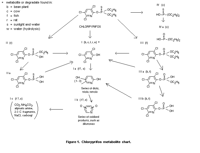
    found in each. Metabolites I, III, IIIa and IIIb, shown in Figure 1,
    as well as chlorpyrifos were found in fish, and metabolites I, IIIa
    and IIIb were found in the water (Smith et al., 1966).

    The major metabolic product in fish is 3,5,6-trichloro-2-pyridinol
    which appears to be slowly broken down by dehalogenation and cleavage
    of the ring (Smith et al., 1966).

    Some of the derivatives of 3,5,6-trichloro-2-pyridinol may be those
    shown in Smith (1968) which consist of dechlorination forming a series
    of transient pyridine diols, triols and tetrols (Ia), followed by a
    series of transient ring diketones (Ib), followed by a breakage of the
    ring to elemental fragments (carbon dioxide and possibly aliphatic
    amines).

    Cholinesterase inhibition properties of metabolites

    The house fly head cholinesterase activity of chlorpyrifos, and
    metabolites I, II, III, IIIa and IIIb shown in Figure 1, were tested
    for comparative purposes by Smith et al. 1966). Only the phosphate
    derivative of chlorpyrifos (metabolite III) shows significant
    inhibition and is the compound most likely to be responsible for the
    cholinesterase inhibition found in mammals and other animal organisms
    (Smith et al., 1966).

    In plants

    Studies on the absorption, translocation and metabolism of 14C and
    36Cl labelled chlorpyrifos in plants show that for all practical
    purposes uptake of the chemical or its degradation products into
    plants does not occur, either through the foliage or through the roots
    (Smith et al., 1967a, 1967c).

    When radioactive chlorpyrifos was applied to single bean or corn
    leaves, about 75 to 80% of the chemical was lost by vapourization from
    the leaf surface within the first 48 h following treatment. The
    chlorpyrifos remaining on the leaf was rapidly degraded (>95% in 5
    days) and a trace of the resulting breakdown products (representing
    <2% of the applied dose of chlorpyrifos) absorbed into and
    translocated within the plant. The identity of the degradation
    products was not totally elucidated; however, a variety of hydrolysis
    products appeared to be formed, mainly the 3,5,6-trichloro-2-pyridinol
    (I), ethyl-3,5,6-trichloro-2-pyridyl phoshate (IIIa) and
    3,5,6-trichloro-2-pyridyl phosphate (IIIb) shown in figure 1 (Smith
    et al., 1967a).
    FIGURE 1
    
    Nutrient culture experiments have shown uptake of chlorpyrifos by
    plant roots to be essentially nil. Bean plants grown in nutrient
    solution containing 10 mg (50 ppm) of 14C chlorpyrifos absorbed and
    translocated to the plant tops less than 0.07% of the applied dose
    during a 144 h exposure period. Based on the weight of plant tissue
    analysed, this represented a residue <0.002 ppm of radioactive
    compounds (expressed as chlorpyrifos). In this same experiment,
    sizable amounts of chlorpyrifos were sorbed on the outside of the
    plant roots, reaching 5 mg (50%) in 72 h. The negligible amounts of
    radioactivity taken into the plants in this and other tests have made
    it difficult to determine the nature of the compounds involved. Only
    the 3,5,6-trichloro-2-pyridonol was identified. This compound, the
    principal hydrolysis product of chlorpyrifos in soil, may or may not
    be taken up by the plant depending on pH of the soil medium. The free
    pyridinol, which is the predominant form of the compound below pH 6.0,
    is essentially insoluble in water. Soil and nutrient culture
    experiments have shown its uptake by plants to be insignificant. For
    example, bean plants grown in nutrient solution (pH 5.5) containing 10
    mg (50 ppm) of 36Cl labelled 3,5,6-trichloro-2-pyridinol showed about
    0.007 ppm of radioactive compounds (expressed as the pyridinol) in the
    plant tops after 72 h exposure. At or above pH 7, the pyridinol is
    readily converted to a salt in which form water solubility (4.4 g/100
    ml at 25°C for the Na salt) as well as rate of absorption by the plant
    are enhanced relative to the free pyridinol. Regardless, soil and
    nutrient culture tests have again shown only negligible amounts of the
    compound to enter the plant and these undergo metabolism with the
    liberation of chloride and the formation of trivial amounts of several
    unidentified water soluble decomposition products (Smith et al.,
    1967c).

    Only through the use of specialized techniques has it been possible to
    introduce sufficient chlorpyrifos into plants to determine the extent
    to which the compound might be metabolized. Using the string
    technique, 14C chlorpyrifos was introduced into the stems of
    cranberry bean plants and the plants harvested at various time
    intervals. Subsequent analysis of the plant tissues revealed the
    presence principally of chlorpyrifos and its primary hydrolysis
    products. Under these artificial conditions, chlorpyrifos once
    introduced inside the stem, was distributed throughout the plant
    (Smith et al., 1967c).

    METHODS OF RESIDUE ANALYSIS

    Chlorpyrifos, its oxygen analogue and hydrolytic pyridinol

    Based on previously mentioned metabolite determinations, the main
    residues from chlorpyrifos treatments searched for in various tissues
    are chlorpyrifos, its oxygen analogue and the hydrolysed pyridinol.
    Since the oxygen analogue is infrequently encountered in animal or
    plant tissues, the principal analyses of residues are for chlorpyrifos
    and 3,5,6-trichloro-2-pyridinol. The latter appears in small amounts,
    mostly in non-fatty tissues. Analytical methods are available to
    determine each of these two residues individually. However, for
    regulatory purposes, chlorpyrifos is the most important residue to be
    determined.

    Claborn et al. (1968a,b) and Ivey and Claborn (1968) described the
    basic extraction and cleanup procedures using an electron capture gas
    chromatography method for detection of chlorpyrifos and its oxygen
    analogue in milk and body tissues of cattle. Claborn et al. (1970b)
    used a gas chromatography method and a flame photometric detector to
    determine chlorpyrifos and its oxygen analogue in body tissues of
    turkeys. Since the phosphate analogue is not searched for routinely, a
    quicker method for determination of chlorpyrifos only is useful. In
    order to do this a modification of the flame photometric gas
    chromatography method of Claborn et al. (1970a,b) using a hexane
    extraction for fat tissues was used instead of a
    hexane-dichloromethane extraction. The method is sensitive to 0.01
    ppm.

    Further minor variations in the analytical method are related to
    extraction and cleanup procedures, depending on the nature of the
    substrate. Three analytical procedures are generally suitable for the
    various substrates when the substrates are defined as (A) water; (B)
    wet tissues and soil; and (C) dry or fatty tissues. The procedural
    scheme for methods A, B and C is outlined in Figure 2.

    More detailed procedures are specifically outlined as follows: Only
    those asterisked methods accounted for the oxygen analogue. Procedure
    for substrate (A), water (Rice and Dishburger, 1968; Wetters and
    Dishburger, 1971c). Procedure for substrate (B), wet media, such as
    sweet corn (Wetters, 1972c), corn forage (Wetters and Dishburger,
    1971b), soil (Wetters, 1971a*,b), vegetables (Braun, 1971), liver,
    kidney and muscle of pig (Wetters, 1972a; Bowman and Beroza, 1967b),
    chicken muscle, liver, kidney and egg (Wetters, 1972b; Bowman and
    Beroza, 1967b), peach (Wetters and Dishburger, 1971a*), milk (Craig,
    1971), cattle tissues except fat (Claborn et al., 1968a), turkey
    tissues except fat (Claborn et al., 1970b). Procedure for substrate
    (C), dry or fatty media, such as corn grain and stover (Wetters and
    Dishburger, 1971b; Wetters, 1972c), pig fat (Wetters, 1972a), chicken
    fat (Wetters, 1972b; Bowman and Beroza, 1967a), cream (Graig, 1971),
    cattle fat (Claborn et al., 1968a,b; Bowman and Beroza, 1967a),
    turkey fat (Claborn et al., 1970b). Many other references on
    chlorpyrifos in various media have been published (see References).

    FIGURE 2

    Residues of 3,5,6-trichloro-2-pyridinol may be determined by the
    method of McKellar and Dishburger (1970) in bovine tissues; McKellar
    (1971b) in corn grain, forage and stover; McKellar (1971c) in grass;
    Dishburger et al. (1972) in chicken tissues and eggs and McKellar
    (1971a) in milk and cream, at a detection level of 0.05 ppm.

    The general cleanup procedures shown in Figure 2 followed by a gas
    chromatographic determination utilizing one of the phosphorus specific
    detectors would be suitable for most regulatory uses.

    Examples of national tolerances as reported to meeting

    Animals

    Australia has a 2 ppm residue tolerance for chlorpyrifos in beef fat
    when cattle are treated for ticks by dip or spray.

    Plants

    Canada has a tentative 0.1 ppm residue tolerance for head lettuce,
    onions and carrots with 28, 60 and 60 days, respectively, required
    between treatment and harvest.

    APPRAISAL

    Chlorpyrifos is a non-systemic organophosphorus insecticide used to
    control ectoparasites of cattle, sheep and poultry; as a soil
    insecticide for vegetables, cereals and tobacco; and as a foliar
    insecticide for deciduous fruit, cereals, fodder crops, rape, cotton,
    some vegetables, tobacco and rice.

    Animal residues are found predominantly in the fat and are excreted
    rapidly after cessation of treatment. When cattle were given multiple
    dippings at the recommended dosage rates of 0.025%, the maximum total
    residue in fat one week after the last dipping was 1.6 ppm. When milk
    cows were dipped once in 0.025% chlorpyrifos, the residue in butterfat
    fell to 0.01 ppm in nine days and was not detectable (<0.005 ppm)
    after 15 days. When turkeys were confined over soil treated with
    chlorpyrifos (4 or 8 lb/acre) for chigger control, maximum residues of
    0.16 and 0.07 ppm were found in skin and fat, respectively, one week
    post-treatment; the oxygen analogue was not detected in any tissues.
    Small amounts of the pyridinol were found in the skin, livers and
    kidneys of two birds with a maximum residue of 0.17 ppm in kidney
    after one week exposure to the second application.

    Extensive supervised experiments with foliar treatments on plants have
    shown chlorpyrifos to have little persistence and virtually no uptake
    occurs from either soil or foliar application. Up to 80% of applied
    radioactive chlorpyrifos was lost by vapourization from single leaf
    surfaces within the first 48 hours following treatment. There was no
    evidence of residue buildup on plants from repeated applications.

    The residues most likely to be found in either plants or animals are
    chlorpyrifos and its hydrolysis product 3,5,6-trichloro-2-pyridinol;
    the oxygen analogue or other possible metabolites are very rarely
    found.

    Both specific and general gas chromatographic methods of analysis are
    available which are suitable for regulatory purposes. The generalized
    cleanup schemes shown in Figure 2 followed by gas chromatographic
    determination using a phosphorus specific detector are recommended.
    Separate analytical procedures for determining
    3,5,6-trichloro-2-pyridinol in animal tissues (liver, kidney, poultry
    skin), fruits and vegetables have been developed. The pyridinol is
    excreted rapidly in the urine and faeces of animals and there would
    appear to be no need to include this compound in regulatory analysis.
    In field experiments with plants the pyridinol is rarely found and
    when present constitutes only a fraction of the total residue.

    Although chlorpyrifos is recommended in some countries for use on
    rape, cereal grains and certain vegetables, there were no data
    available on these commodities from supervised experiments and no
    recommendations for tolerances could be made for these commodities.

    RECOMMENDATIONS

    TOLERANCES
                                                      ppm

         Fat of meat of cattle                        2

         Chinese cabbage, grapes, kale, apples        1

         Carrots, pears, tomatoes                     0.5

         Fat of meat of sheep, poultry, beans,
         eggplants, peppers, raspberries              0.2

         Lettuce, rice (in husk), sugarbeets          0.1

         Celery, cottonseed, cottonseed oil
         (crude), mushrooms, onions                   0.05

         Cauliflower, milk (fat basis),
         potatoes, red cabbage                        0.01*

         * at or about the limit of determination

    FURTHER WORK OR INFORMATION

    REQUIRED (before tolerances can be recommended)

    Residue data from supervised trials for rape seed, cereal grains and
    any vegetables not listed.

    DESIRABLE

    1.   Elucidation of possible increased sensitivity to plasma
         cholinesterase depression after withdrawal from an initial dose
         regime.

    2.   Further information on residues in milk and milk products arising
         from dipping of dairy cattle.

    REFERENCES

    Aharonson, N., Grünberg, R. and Resnick, C. (1969) Dursban residue
    level in tomatoes and cotton. Ministry of Agriculture, Jaffa, Israel.

    Beatty, S.C. and McCollister, D.D. (1964) Results of 90-day dietary
    feeding studies of O,O-diethyl O-3,5,6-trichloro-2-pyridyl
    phosphorothioate in rats. Report The Dow Chemical Co., revision.
    (unpublished)

    Blackmore, R.H. (1968a) Oral administration-dogs-Dursban final report.
    Hazleton Lab. Inc. (unpublished)

    Blackmore, R.H. (1968b) Short-term (subacute) dietary
    administration-rats-organophosphate insecticide Dursban - final
    report. Hazleton Lab. Inc. (unpublished)

    Bowman, M.C. and Beroza, M. (1967a) Determination of Dursban and its
    oxygen analogue in corn and grass by gas chromatography with flame
    photometric detection. J. Agr. Fd. Chem., 15(4): 651-653.

    Bowman, M.C. and Beroza, M. (1967b) Temperature-programmed gas
    chromatography of 20 phosphorus-containing insecticides on 4 different
    columns and its application to the analysis of milk and corn silage.
    J. Ass. off. analyt. Chem., 50(6): 1228-1236.

    Branson, D.R. and Litchfield, N.H. (1971a) Absorption, excretion and
    distribution of 3,5,6-trichloro-2,6-14C-2-pyridinol in rats. Report
    NBA-10 Dow Chemical Company. (unpublished)

    Branson, D.R. and Litchfield, N.H. (1971b) Absorption, excretion and
    distribution of O,O-diethyl O-3,5,6-trichloro-2,6-14C-2-pyridyl
    phosphorothioate (14C Dowco 179) in rats. Report NBA-9 Dow Chemical
    Company. (unpublished)

    Branson, D.R. and Wass, M.N. (1970) Comparative metabolism of
    insecticides. I. Preliminary studies of ring labelled O,O-diethyl
    O-3,5,6-trichloro-2-pyridyl phosphorothioate breakdown with rat
    liver microsomes. Report R-582 Dow Chemical Company. (unpublished)

    Braun, H.E. (1971) Dursban residues in vegetables. Ontario Department
    of Food and Agriculture, Guelph, Ontario. Personal communications to
    T. Haagsma.

    Brust, R.A., Miyazaki, S. and Hodgson, G.C. (1971) Effect of Dursban
    in the drinking water of chicks. J. Econ. Entomol., 64(5): 1179-1183.

    Burrows, I.E., Fraser, W.D., Joyce, C.A., Jenkins, G. and Eden, A.
    (1971a) Determination of decay curves for Dursban and its metabolite
    in stored tomatoes. 4211/71/369. Huntingdon Research Centre.

    Burrows, I.E. and Mullin, L.W. (1971b) Determination of residues of
    Dursban metabolite in tomatoes, grapes and apples. 4109/71/267.
    Huntingdon Research Centre.

    Burrows, I.E. and Mullin, L.W. (1971c) Determination of residues of
    Dursban in lettuce. 4140/71/298. Huntingdon Research Centre.

    Burrows, I.E., Mullin, L.W. and Eden, A. (1971d) Determination of
    residues of Dursban and its metabolites in raspberries. 4371/71/527.
    Huntingdon Research Centre.

    Burrows, I.E., Orme, J.P.R. and Ashton, J. (1971e) Determination of
    residues of Dursban and its metabolite in tomatoes. 4496/71/652.
    Huntingdon Research Centre.

    Claborn, H.V., Hoffman, R.A., Mann, H.D. and Oehler, D.D. (1968a)
    Residues of Dursban and its oxygen analogue in the body tissues of
    treated cattle. J. Econ. Entomol., 61(4): 983-986.

    Claborn, H.V., Mann, H.D. and Oehler, D.D. (1968b) Dursban(R)
    determination in milk and body tissues of cattle. J. Ass. off. analyt.
    Chem., 51(6): 1243-1245.

    Claborn, H.V., Ivey, M.C., Mann, H.D. and Oehler, D.D. (1970a) Report
    of residue analysis - Omental fat, muscle, kidney and liver. Report
    PCK-70-1. USDA-ARS-Entomol. Res. Div.

    Claborn, H.V., Kunz, S.E. and Mann, H.D. (1970b) Residues of Dursban
    in the body tissues of turkeys confined in pens containing treated
    soil. J. Econ. Entomol., 63(2): 422-424.

    Copeland, J.R. (1964) Results of 93-day dietary feeding studies of
    0,0-diethyl 0-3,5,6-trichloro-2-pyridyl phosphorothioate in Beagle
    hounds. Biochem. Res. Lab. Report T35.12-44793-3 Dow Chemical Co.
    (unpublished)

    Coulston, F., Goldberg, L., Abraham, R., Benitz, K.F., Griffin, T.B.
    and Norvell, M. (1971) Final report on safety evaluation and metabolic
    studies on Dowco 179 (IN 151). Inst. Exp. Pathol. Toxicol., Albany
    Medical College. (unpublished)

    Coulston, F., Goldberg, L. and Griffin, T. (1972) Safety evaluation of
    Dowco 179 in humans. Inst. Exp. Pathol. Toxicol., Albany Medical
    College. (unpublished)

    Craig, L.F. (1971) Determination of residues of O,O-diethyl
    O-3,5,6-trichloro-2-pyridyl phosphorothioate in milk and cream by
    gas chromatography. Method ACR 71.1. Dow Chemical Co.

    Czech, F.P. (1967) Analysis of Dursban in livestock dips and sprays.
    J. Ass. off. analyt. Chem., 50(4): 861-868.

    Dishburger, H.J. and Rice, J.R. (1965) Residues of O,O-diethyl
    O-3,5,6-trichloro-2-pyridyl phosphorothioate in animal fat when
    applied as a spray on cattle. Report TA-301 Dow Chemical Co.
    (unpublished)

    Dishburger, H.J., Rice, J.R. and Muniza, R.A. (1966a) The effect of
    formulation on Dursban residues in omental fat of cattle following
    single spray application. Report TA-336 Dow Chemical Co. (unpublished)

    Dishburger, H.J., Rice, J.R. and Muniza, R.A. (1966b) Dursban residues
    in the omental fat of cattle following dip applications. Report TA-349
    Dow Chemical Co. (unpublished)

    Dishburger, H.J., Rice, J.R. and Muniza, R.A. (1967) Dursban residues
    in the omental fat of cattle following two dip applications. Report
    TA-372 Dow Chemical Co. (unpublished)

    Dishburger, H.J., Pennington, J. and Rice, J.R. (1969a) Determination
    of O,O-diethyl-O-(3,5,6-trichloro-2-pyridyl) phosphorothioate in
    tobacco by gas chromatography. Report TA-430 Dow Chemical Co.
    (unpublished)

    Dishburger, H.J., Rice, J.R., McGregor, W.S. and Pennington, J.
    (1969b) Residues of Dursban(R) insecticide in tissues from turkeys
    confined on soil treated for chigger control. J. Econ. Entomol.,
    62(1): 181-183.

    Dishburger, H.J., Rice, J.R and Pennington, J. (1969c) Determination
    of residues of Dursban insecticide and its oxygen analogue in soil by
    gas chromatography. Report TA-439 Dow Chemical Co. (unpublished)

    Dow Chemical Co. (1964) Potentiation studies with Dursban in
    combination with Ruelene and malathion in rats. Report Dow Chemical
    Co. (unpublished)

    Dow Chemical Co. (1966a) Report submitted by Dow Chemical Co.
    (unpublished)

    Dow Chemical Co. (1966b) Report submitted by Dow Chemical Co.
    (unpublished)

    Dow Chemical Co. (U.K.) Ltd. (1967) Data sheets containing summarized
    data supporting notification of Dursban(R) insecticide for
    commercial use in the control of sheep ectoparasites. Submitted to
    the Technical Secretary, Scientific Sub-Committee, Veterinary
    Products Safety Precautions Scheme.

    Düsch, M.E., Westlake, W.E. and Gunther, F.A. (1970) Determination of
    Dursban insecticide in water, mud, vegetation, fish, ducks, insects
    and crustacea. J. Agr. Fd. Chem., 18(1): 178-179.

    Emerson, J.L. and Gerbig, C.G. (1970) 91 day-toxicology study in
    Beagle dogs treated with 3,5,6-trichloro-2-pyridinol. Report HH-263
    Dow Chemical Co. (unpublished)

    Foschi, S. (1971) Determination del Dursban. Istituto di Patologia
    Vegetale, Bologna, Italy. Personal communication to K.N. Komblas.

    Gaines, T.B. (1969) Acute toxicity of pesticides. Toxicol. Appl.
    Pharmacol., 14: 515-534.

    Gerbig, C.G and Emerson, J.L. (1970a) Oral median lethal dose (LD50)
    determination of 3,5,6-trichloro-2-pyridinol in the rat. Report HH-239
    Dow Chemical Co. (unpublished)

    Gerbig, C.G and Emerson, J.L. (1970b) Oral median lethal dose (LD50)
    determination of 3,5,6-trichloro-2-pyridinol in mice. Report HH-240
    Dow Chemical Co. (unpublished)

    Graf, W.C. (1970a) Analyses of Dursban residues on cotton seeds. Dow
    Chemical Europe S.A. Personal communication to K. Komblas.

    Graf, W.C. (1970b) Dursban residue analyses on apples from SIAPA,
    Italy. Report DC 53. Dow Chemical Europe S.A.

    Graf, W.C. (1970c) Dursban residue analyses on pears from SIAPA,
    Italy. Report DC 54 Dow Chemical Europe S.A.

    Graf, W.C. and Engeler, V. (1970a) Dursban residue analyses on apples
    from Israel. Report DEC 55 Dow Chemical Europe S.A.

    Graf, W.C. and Engeler, V. (1970b) Dursban residue on tomatoes from
    Turkey. Report DEC 56 Dow Chemical Europe S.A.

    Graf, W.C. and Engeler, V. (1971a) Dowco 179 residue analysis in
    potatoes from France. Report DEH 2 Dow Chemical Europe S.A.

    Graf, W.C. and Engeler, V. (1971b) Dowco 179 residue analysis on
    tomatoes from Israel. Dow Chemical Europe S.A.

    Graf. W.C. and Engeler, V. (1971c) Dowco 179 residue analysis in
    apples from Israel. Report DEH 36 Dow Chemical Europe S.A.

    Gutenmann, W.H. St. John, Jr., L.E. and Lisk, D.L. (1968) Metabolic
    studies with O,O-diethyl O-(3,5,6-trichloro-2-pyridyl)
    phosphorothioate (Dursban) insecticide in a lactating cow. J. Agr. Fd.
    Chem., 16(1): 45-47.

    Hall, R.A. (1969) Dursban residues. Department of Agriculture,
    Australia. Personal communication to J. Tollett.

    Hamaguchi, H. (1970) Dowco 179 - residue analysis. Translation of
    analytical data furnished by Japan Plant Protection Association.
    Nissan Chemical Laboratory and Japan Analytical Chemical Research
    Laboratory. Personal communication to R.H. Ferguson.

    Harris, C.R. (1971) Dursban residue in onions. Canada Department of
    Agriculture. Personal Communication to T. Haagsma.

    Hollick, C.B. and Collison, R.J. (1972) Determination of residues of
    O,O-diethyl O-(3,5,6-trichloro-2-pyridyl) phosphorothioate
    (Dowco-179) in eggplant, tomatoes, beans and peppers treated with
    Dursban 4 insecticide in Turkey. Report Dow Chemical Company Ltd.
    (unpublished)

    Hunt, L.M., Gilbert, B.N. and Schlinke, J.C. (1969) Rapid gas
    chromatographic method for analysis of O,O-diethyl
    O-3,5,6-trichloro-2-pyridyl phosphorothioate (Dursban) in turkey and
    chicken tissues. J. Agr. Fd. Chem., 17(6): 1166-1167.

    Hurlbert, S.H., Mulla, M.S., Keith, J.O., Westlake, W.E. and Düsch,
    M.E. (1970) Biological effects and persistence of Dursban(R) in
    freshwater ponds. J. Econ. Entomol., 63(1): 43-52.

    Ivey, M.C. and Claborn, H.V. (1968) Dursban oxygen analogue:
    Determination in fortified milk and body tissues of cattle. J. Assoc.
    Offic. Anal. Chem., 51(6): 1245-1246.

    Johnson, J.C. Jr., Bowman, M.C. and Leuck, D.B. (1969) Responses from
    cows fed silages containing Dursban residues. J. Dairy Sci., 52(8):
    1253-1258.

    Kenaga, E.E. (1967) Toxicity and repellency of Dursban to the
    white-footed mouse (Peromyscus maniculatus). Report Dow Chemical Co.
    (unpublished).

    Leuck, D.B., Bowman, M.C. and Beck, E.W. (1968) Dursban(R) insecticide
    persistence in grass and corn forage. J. Econ. Entomol., 61(3):
    689-690.

    Mann, H.D. (1966) Report of Dursban(R) insecticide residue analysis in
    treated cattle. Report PCK-66-2. USDA-ARS-Entomol. Res. Div.

    Mann, H.D. and Ivey, M.C. (1971) Report of residues analysis - Fat,
    skin, muscle, liver and kidney tissues of turkeys. Report PCK-71-1.
    USDA-ARS-Entomol. Res. Div.

    McCollister, S.B., Kociba, R.J., Gehring, P.J. and Humiston, C.G.
    (1971a) Results of two-year dietary feeding studies on Dowco(R) 179 in
    Beagle dogs. Report T35.12-44793-18 Dow Chemical Co. (unpublished)

    McCollister, S.B., Kociba, R.J., Gehring, P.J. and Humiston, C.G.
    (1971b) Results of two-year dietary feeding studies on Dowco(R) 179 in
    rats. Report, NBT35.12-44793-21 Dow Chemical Co. (unpublished)

    McCray, C.W. (1969) Field trials using Dursban. Letter report Animal
    Res. Inst., Queensland.

    McEwen, F.L. (1970) Tests with Dursban on onions, carrots and lettuce.
    University of Guelph. Personal communication to T. Haagsma.

    McEwen, F.L. and Frank, R. (1970) Tests with Dursban on onions,
    carrots and lettuce. University of Guelph. Personal communication to
    T. Haagsma.

    McKellar, R.L. (1971a) Determination of residues of
    3,5,6-trichloro-pyridinol in milk and cream by gas chromatography.
    Method ACR 71.2. Dow Chemical Co.

    McKellar, R.L. (1971b) Determination of residues of
    3,5,6-trichloro-pyridinol in corn grain, forage and stover by gas
    chromatography. Method ACR 71.19. Dow Chemical Co.

    McKellar, R.L. (1971c) Determination of residues of
    3,5,6-trichloro-pyridinol in grass by gas chromatography. Method ACR
    71.5. Dow Chemical Co.

    McKellar, R.L. and Dishburger, H.J. (1970) Determination of residues
    of 3,5,6-trichloro-2-pyridinol in bovine tissues by gas
    chromatography. Method ACR 70.19. Dow Chemical Co.

    Molello, J.A. and Sharp, L.D. (1968) Three week study on
    cataractogenicity of 3,5,6-trichloro-2-pyridinol as part of the
    dietary intake of Pekin ducklings. Report HH-134 Dow Chemical Co.
    (unpublished)

    Myers, C.M., Lewallen, L.L. and Nobe, B. (1968) Residue studies of
    fenthion (Baytex(R)) and Dursban(R) in central California pastures.
    California Vector Views, 15(5): 51-54.

    Norris, J.M. (1970) Potentiation Study on Dowco(R) 179 and Vapona(R)
    insecticide. Report Dow Chemical Co. (unpublished)

    Olthof, P.D.A. (1971a) Residuen van Dursban in champignons. Report R
    3563. Centraal Instituut voor Voedingsonderzoek, The Netherlands.

    Olthof, P.D.A. (1971b) Residues of Dursban in carrots. Report R 3633.
    English translation from report by Centraal Instituut voor
    Voedingsonderzoek, The Netherlands.

    Rice, J.R. and Dishburger, H.J. (1968) Determination of
    O,O-diethyl O-3,5,6-trichloro-2-pyridyl phosphorothioate in
    water and silt by gas chromatography. J. Agr. Fd. Chem., 16(5):
    867-869.

    Scheuerer, W. and Hahn, I. (1972) Dursban residues on vegetables.
    Badische Anilin and Soda-Fabrik AG, West Germany. Communication to Dow
    Chemical (Nederland) N.V.

    Schlinke, J.C. (1970) Chronic toxicity of Dursban in chickens, 1969.
    J. Econ. Entomol., 63(1): 319.

    Schlinke, J.C., Palmer, J.S. and Hunt, L. (1969) Preliminary
    toxicological study of a phosphorothioate compound in turkeys. Am. J.
    Vet. Res., 30(9): 1705-1709.

    Sherman, M., Herrick, R.B., Ross, E. and Chang, M.T.Y. (1967) Further
    studies on the acute and subacute toxicity of insecticides to chicks.
    Tox. Appl. Pharmacol., 11: 49-67.

    SIAPA. (1971) Residue determinations on lettuce after treatment with
    Dursban insecticide. Centro Esperienze e Ricerche, Italy.

    Smith, G.N. (1966) Basic studies of Dursban insecticide. Down to
    Earth, 22(2): 3-7.

    Smith, G.N. (1968) Ultraviolet light decomposition studies with
    Dursban and 3,5,6-trichloro-2-pyridinol. J. Econ. Entomol., 61(3):
    793-799.

    Smith, G.N. and Taylor, Y.S. (1970) An analytical method for the
    determination of 3,5,6-trichloro-2-pyridinol in animal tissues and the
    metabolism of the pyridinol in rats. Report OL 3132 Dow Chemical
    (unpublished)

    Smith, G.N., Watson, B.S. and Fischer, F.S. (1966) The metabolism of
    (14C) O,O-diethyl O-(3,5,6-trichloro-2-pyridyl)
    phosphorothioate (Dursban) in fish. J. Econ. Entomol., 59(6):
    1464-1475.

    Smith, G.N., Watson, B.S. and Fischer, F.S. (1967a) Investigations on
    Dursban insecticide. Uptake and translocation of (36Cl)
    O,O-diethyl O-3,5,6-trichloro-2-pyridyl phosphorothioate by
    beans and corn. J. Agr. Fd. Chem., 15(1): 127-131.

    Smith, G.N., Watson, B.S. and Fischer, F.S. (1967b) Investigations on
    Dursban insecticide. Metabolism of (36Cl) O,O-diethyl
    O-3,5,6-trichloro-2-pyridyl phosphorothioate in rats. J. Agr. Fd.
    Chem., 15(1): 132-138.

    Smith, G.N., Watson, B.S. and Fischer, F.S. (1967c) Investigations on
    Dursban insecticide. Metabolism of O,O-diethyl
    O-3,5,6-trichloro-2-pyridyl phosphorothioate and
    3,5,6-trichloro-2-pyridinol in plants. J. Agr. Fd. Chem., 15(5):
    870-877.

    Smith, G.N., Taylor, Y.S. and Watson, B.S. (1970) An analytical method
    for the determination of 3,5,6-trichloro-2-pyridinol in animal tissues
    and the metabolism of the pyridinol in rats. Report OL-3132 Dow
    Chemical Co. (unpublished)

    Snelson, J.T. (1969a) Dursban residues. Dept. of Primary Ind.,
    Australia. Personal communication.

    Snelson, J.T. (1969b) Dursban residues. Dept. of Primary Ind.,
    Australia. Personal communication.

    Stevenson, G.T. (1965) A gamebird toxicology study - acute dietary
    feeding of Dursban to wild type mallard ducklings. Report GH-A-122 Dow
    Chemical Co. (unpublished)

    Stevenson, G.T. (1966) A neurotoxicity study of Dursban in laying
    hens. Report GH-A-195 Dow Chemical Co. (unpublished)

    Stevenson, G.T. and Daering, K.L. (1969) The effects of Dursban
    insecticide (O,O-diethyl O-3,5,6-trichloro-2-pyridyl
    phosphorothioate) on blood plasma cholinesterase in chickens. Report
    GH-A-410 Dow Chemical Co. (unpublished)

    Taylor, M.L. and Olson, K.J. (1963) Toxicological properties of
    O,O-diethyl O-3,5,6-trichloro-2-pyridyl phosphorothioate. Report
    T35.12-44793-4 Dow Chemical Co. (unpublished)

    Thompson, D.J., Gerbig, C.G. and Warner, S.D. (1971) Three generation
    reproduction and teratology study in the rat following prolonged
    dietary exposure to Dursban O,O-diethyl
    O-3,5,6-trichloro-2-pyridyl phosphorothioate. Report HH-382 Dow
    Chemical Co. (unpublished)

    Tucker, K.E.B. (1971) Dursban/Dowco 214 residues in rice and straw.
    Report 160 Dow Chemical (Australia) Ltd.

    Tucker, R.K. and Crabtree, D.G. (1970) Handbook of toxicity of
    pesticides to wildlife. U.S. Dept. of the Interior, Fish and Wildlife
    Service Resource Publication #84, p. 56-57.

    Tucker, K.E.B. and Zielinski, W. (1972a) Chlorpyrifos and Dowco 214
    residues in Chinese cabbage. Report 175 Dow Chemical (Australia) Ltd.

    Tucker, K.E.B. and Zielinski, W. (1972b) Chlorpyrifos and Dowco 214
    residues in Chinese kale. Report 174 Dow Chemical (Australia) Ltd.

    Tucker, K.E.B. and Zielinski, W. (1972c) Residues of chlorpyrifos in
    Chinese kale. Report 179 Dow Chemical (Australia) Ltd.

    Tucker, K.E.B. and Zielinski, W. (1972d) Residues of chlorpyrifos and
    Dowco 214 in tobacco. Report 180 Dow Chemical (Australia) Ltd.

    USAEHA. (1968) Report U.S. Army Environmental Hygiene Agency.

    Watts, R.M. (1968) Residues of chlorpyrifos in cattle. Dept. of
    Agriculture, Australia. Communication to M.K. Astill.

    Wetters, J.H. (1971a) Determination of residues of O,O-diethyl
    O-(3,5,6-trichloro-2-pyridyl) phosphorothioate and O,O-diethyl
    O-(3,5,6-trichloro-2-pyridyl) phosphate in soils by gas
    chromatography with flame photometric detection. Method ACR 71.3. Dow
    Chemical Co.

    Wetters, J.H. (1971b) Determination of residues of O,O-diethyl
    O-(3,5,6-trichloro-2-pyridyl) phosphorothioate in soils by gas
    chromatography using flame photometric detection and direct injection.
    Method ACR 71.20. Dow Chemical Co.

    Wetters, J.H. (1972a) Determination of residues of O,O-diethyl
    O-(3,5,6-trichloro-2-pyridyl) phosphorothioate in pig tissues by gas
    chromatography with flame photometric detection. Method 72.1. Dow
    Chemical Co.

    Wetters, J.H. (1972b) Determination of residues of O,O-diethyl
    O-(3,5,6-trichloro-2-pyridyl) phosphorothioate in chicken tissues
    and eggs by gas chromatography with flame photometric detection.
    Method 72.3. Dow Chemical Co.

    Wetters, J.H. (1972c) Determination of residues of O,O-diethyl
    O-(3,5,6-trichloro-2-pyridyl) phosphorothioate in sweet corn by gas
    chromatography with flame photometric detection. Method ACR 72.9. Dow
    Chemical Co.

    Wetters, J.H. and Dishburger, H.J. (1971a) Determination of residues
    of O,O-diethyl O-(3,5,6-trichloro-2-pyridyl) phosphorothioate
    and O,O-diethyl O-(3,5,6-trichloro-2-pyridyl) phosphate in
    peaches by gas chromatography with flame photometric detection. Method
    ACR 71.14. Dow Chemical Co.

    Wetters, J.H. and Dishburger, H.J. (1971b) Determination of residues
    of O,O-diethyl O-(3,5,6-trichloro-2-pyridyl) phosphorothioate in
    corn by gas chromatography with flame photometric detection. Method
    ACR 71.18. Dow Chemical Co.

    Wetters, J.H. and Dishburger, H.J. (1971c) Determination of residues
    of O,O-diethyl O-(3,5,6-trichloro-2-pyridyl) phosphorothioate in
    water by gas chromatography with flame photometric detection. Method
    ACR 71.21. Dow Chemical Co.

    Winterlin. W., Moilanen, K. and Burgoyne, W.E. (1968) Residues of
    Dursban insecticide following mosquito control applications. Down to
    Earth, 24(2): 34-37.

    Wit, S.L. (1970) Residues of Dursban in cabbage. Report 49/70 Tox RoB.
    English translation from report by State Institute for the Public
    Health, The Netherlands.

    Wit, S.L. (1971) Residues of O,O-diethyl
    O-(3,5,6-trichloro-pyridine-(2)-yl) phosphorothioate (Dursban) for
    the control of cutworms in lettuce under glass. Report 63/71 Tox-RoB.
    English translation from report by Rijks Instituut voor de
    Volksgezondheid, The Netherlands.
    


    See Also:
       Toxicological Abbreviations
       Chlorpyrifos (ICSC)
       Chlorpyrifos (WHO Pesticide Residues Series 5)
       Chlorpyrifos (Pesticide residues in food: 1977 evaluations)
       Chlorpyrifos (Pesticide residues in food: 1981 evaluations)
       Chlorpyrifos (Pesticide residues in food: 1982 evaluations)
       Chlorpyrifos (Pesticide residues in food: 1983 evaluations)
       Chlorpyrifos (JMPR Evaluations 1999 Part II Toxicological)