IPCS INCHEM Home

    FENTHION

    Summary
         Identity and physical and chemical properties
         Sources of human and environmental exposure
         Environmental transport, distribution, and transformation
         Environmental levels
         Effects on organisms in the laboratory and the field
    Identity and physical and chemical properties
         Identity
         Physical and chemical properties
    Sources of human and environmental exposure
         Production levels and processes
         Uses
    Environmental transport, distribution, and transformation
         Transport and distribution between media
              Dissipation from water
              Soil sorption
              Soil mobility
              Dissipation from soil in the field
              Uptake and dissipation from plants
              Entry into the food chain
         Abiotic transformation
              Hydrolytic cleavage and oxidation
              Phototransformation
         Biotransformation
              Water and sediment
              Soil
         Bioconcentration
    Environmental levels
    Effects on organisms in the laboratory and the field
         Laboratory experiments
              Microorganisms
              Aquatic organisms
              Terrestrial organisms
         Field observations
              Microorganisms
              Aquatic organisms
              Terrestrial organisms
    Evaluation of effects on the environment
         Risk assessment
         Use as an avicide
         Agricultural use
    References

    1.  Summary

    1.1  Identity and physical and chemical properties

         Fenthion is an organophosphorus pesticide. The empirical formula
    is C10H15O3PS2. The purity of technical-grade fenthion is
    generally > 95%; it smells like mercaptans and is a colourless-
    to-yellow liquid with a specific gravity of 1.25 and a fairly low
    vapour pressure, slightly soluble in water, and very soluble in
    various organic solvents. The octanol-water partition coefficient (log
    Kow) is 4.8 at 20°C. Henry's law constant indicates no substantial
    volatilization from water. Fenthion is not surface active and has no
    explosive or oxidizing properties.

         Adjuvants in formulations of fenthion, e.g. xylene, emulsifiers,
    and diesel oil, may increase sorption to plant surfaces.

    1.2  Sources of human and environmental exposure

         Fenthion is a systemic organophosphorus pesticide that is used in
    both agricultural and nonagricultural areas all over the world. It is
    applied to many crops, e.g. rice, cotton, and citrus, and may be
    applied in various commercial formulations. Lebaycid is the major
    formulation. Application rates up to 2.4 kg/ha have been reported but
    are dependent on the type of use. Fenthion is also registered for bird
    control and in veterinary use. Environmental exposure may occur
    because of deposition due to drift and accidental release. No data
    were available on exposure after treatment of cattle or domestic
    animals.

    1.3  Environmental transport, distribution, and transformation

         Fenthion dissipates from water with a half-life < 7 days.
    Sediment can be an important sink. Dissipation from water appears to
    occur mainly via phototransformation, biotransformation, and sorption
    to sediment. No data are available on the possibility of dissipation
    via sorption to suspended particles.

         The adsorption coefficients (Ks/l) for fenthion in laboratory
    experiments vary between 7.7 and 38 dm3/kg, indicating strong
    sorption. The mechanism of sorption of fenthion to soil is only
    partially understood. It appears to be positively correlated to the
    organic matter content, but unequivocal data demonstrating this
    correlation are not available.

         Fenthion does not leach substantially to shallow groundwater
    under laboratory or field conditions simulating a temperate climate.
    The Rf values for fenthion do not exceed 0.17. Some transformation
    products appear to be more mobile than the parent compound, although
    their sorption coefficients are not known. In less reliable laboratory

    experiments with aged residues, up to 46% of the applied activity was
    recovered in the leachate after two days of leaching through a sandy
    soil. The transformation products detected in leachates are
    3-methyl-4-methylsulfonyl-phenol, 3-methyl-4-methylsulfinyl-phenol,
    fenthion sulfoxide (thiophosphoric acid,  O,O-dimethyl- O-[3-methyl-
    4-methylsulfinyl-phenyl] ester), and fenthion sulfone (thiophosphoric
    acid,  O,O-dimethyl- O-[3-methyl-4-methylsulfonyl-phenyl] ester).
    These transformation products probably do not leach substantially to
    groundwater, as their half-lives are < 15 days, but no field data
    are available.

         Fenthion dissipates from soil relatively rapidly under aerobic
    laboratory conditions simulating a temperate climate, with a half-life
    of about 10 days. Some experiments indicate slower dissipation
    outdoors (about 30 days) than under controlled laboratory conditions.
    Dissipation appears to occur mainly via phototransformation,
    biotransformation, and sorption.

         The few data on uptake by plants in this report indicate moderate
    persistence, of the order of two weeks.

         Secondary poisoning of raptorial birds with pests treated with
    fenthion may occur within one or a few days after application, as
    dissipation appears to be rapid.

         Hydrolysis of fenthion in sterile buffers at 25°C is slow, with
    half-lives of 56, 41, and 32 days at pH 5, 7, and 9, respectively.
    Phototransformation in water or on soil occurs rapidly via oxidation
    and hydrolysis; the half-lives in water and on soil under laboratory
    conditions are 0.08-4 h and 1- > 4 days, respectively.

         Biotransformation in systems with water and sediments and in
    systems with soils includes oxidation and hydrolysis. Some methylation
    has been reported under anaerobic conditions. In whole water-sediment
    systems, the half-life under dark, aerobic conditions appears to equal
    that under anaerobic conditions, i.e. 10 days. The half-life of about
    10 days in a soil system under dark, aerobic conditions also indicates
    rapid transformation. The half-life under anaerobic conditions (> 32
    days) indicates a more moderate transformation rate, but the
    experiment from which this half-life was derived was unreliable.

         Under temperate climatic conditions, it can be assumed that 50%
    or more of applied fenthion in soil or natural water with sediment is
    degraded to carbon dioxide within six months. Biotransformation in
    soil under anaerobic conditions may be an exception, as no unequivocal
    test results on this subject are available. Generally, the biotrans-
    formation rate in a water-sediment system is lower than that in a soil
    system. It should be noted however, that these rough assumptions are
    based on only a few laboratory experiments.

         The major metabolites in a dark, aerobic water-sediment system at
    about 22°C were fenthion sulfoxide, 3-methyl-4-methylsulfinyl-phenol,
    3-methylsulfonyl-phenol, and demethylfenoxon sulfoxide; the major
    metabolites in a dark, anaerobic water-sediment system were 3-methyl-
    4-methylthio-phenol, 3-methyl-4-methylsulfinyl-phenol, and 3-methyl-
    phenol. The major metabolites in a dark, aerobic soil system were
    fenthion sulfoxide, 3-methyl-4-methylsulfinyl-phenol and 3-methyl-4-
    methylsulfinyl-phenol.

         Fenthion has moderate potential to bioconcentrate in freshwater
    fish. Laboratory experiments with bluegill sunfish, channel catfish,
    and guppies showed bioconcentration factors up to 226. When fish were
    placed in uncontaminated water after exposure in a flow-through system
    for 14 days, the residue levels declined within a few days. In an
    experiment in bluegill sunfish under flow-through conditions, 70% of
    the activity in one fish was recovered in the viscera 11 days after
    the start of the experiment. No residual fenthion was detected after a
    few weeks of depuration.

    1.4  Environmental levels

         Few data derived from regular monitoring programmes are available
    on the occurrence of fenthion in environmental biota and abiota. The
    results of such a program in the Netherlands that was started in 1992
    revealed the occurrence of fenthion in 25% of freshwater locations and
    8% of saltwater locations at concentrations < 0.12 µg/litre. The
    source of the emissions was not clear, as fenthion is allowed in the
    Netherlands only as a veterinary chemical and not for treating
    agricultural crops. The concentrations of fenthion in wildlife have
    been determined only occasionally, and are thus of limited statistical
    value.

         Data from field experiments simulating common agricultural
    practice are also scarce. In field studies of mosquito control in
    wetlands and of bird control, the maximal concentration in water was
    1.7 µg/litre but dissipated rapidly. In sources of bird food,
    0.28 mg/kg was reported in  Polia larvae, an important source for an
    American songbird, 1.1 mg/kg in seed, 38 mg/kg in plants, and 23 µg
    per insect in beetles.

    1.5  Effects on organisms in the laboratory and the field

         Technical-grade fenthion is toxic or even highly toxic to aquatic
    algae under laboratory conditions, with four-day median effective
    concentration (EC50) values of 550-1800 µg/litre and four-day
    no-observed-effect concentrations (NOECs) of 100-1120 µg/litre. The
    fenthion formulations Lebaycid and Baytex are toxic to aquatic algae,
    with four-day EC50 values of 1100-> 2000 µg/litre. Few data are
    available on the effects of fenthion on aquatic microorganisms in the
    field, although in one experiment, phytoplankton were not affected. In

    a laboratory experiment, fenthion at concentrations exceeding its
    solubility in water did not affect the microorganisms in activated
    sludge. Lebaycid did not affect soil respiration or nitrification in a
    sandy loam or a silt loam soil under laboratory conditions at 20°C.
    Baytex increased the biomass of the aquatic macrophyte, duckweed, at
    actual concentrations up to 2.8 mg/litre.

         Technical-grade fenthion is highly toxic to aquatic crustaceans,
    with a two-day EC50 value of 5.7 µg/litre and a 21-day maximal
    acceptable toxicant concentration (MATC) value of 0.042-0.082
    µg/litre. Lebaycid is also highly toxic to aquatic crustaceans, with a
    21-day NOEC value of 0.018 µg/litre. The few data available on
    applications of fenthion in the field at agriculturally recommended
    rates indicated that four to five months were required for recovery of
    a crustacean population in an artificial outdoor pond after a single
    application of fenthion. The adverse effects were due partly, however,
    to a harsh winter period. A comparable experiment without a very cold
    period showed a recovery period of about two months.

         Technical-grade fenthion is moderately to highly toxic to fish,
    with four-day median lethal concentration (LC50) values of 0.83-
    1.7 mg/litre and an 88-day MATC value of 13-27 µg/litre. Lebaycid is
    toxic to fish, with four-day LC50 values of 2.3-4.3 mg/litre. The
    transformation products 3-methyl-4-methylsulfinyl-phenol and 3-methyl-
    4-methylsulfonyl-phenol are very slightly toxic to freshwater fish,
    with four-day LC50 values > 100 mg/litre. The only other aquatic
    vertebrate species for which a toxicity value is available is the
    amphibian  Rana hexadactyla, with a four-day LC50 value of 0.84
    µg/litre, indicating high toxicity. A threshold limit value of 7.4
    µg/litre for  Bufo bufo japonica indicates lower toxicity. One field
    experiment in an artificial outdoor pond showed no adverse effects on
    fish or tadpoles; however, the application rate in this experiment was
    0.22 kg/ha, which is low in comparison with the highest recommended
    rate.

         No data were available on the effects of fenthion on terrestrial
    macrophytes. Technical-grade fenthion is obviously toxic to various
    terrestrial insects; e.g. the contact LD50 value for honey bees is
    0.16-< 2 µg/bee. Laboratory tests with predatory insects such as
    wasps, mites, hoverflies, and green lacewings indicate that fenthion
    is highly toxic for these groups. No data were available on oral
    toxicity to honey bees. Lebaycid is slightly toxic to earthworms, with
    a 14-day NOEC of 100 mg/kg of dry soil.

         Field experiments show variable adverse effects on terrestrial
    invertebrates, owing to differences in the extent of exposure and in
    the sensitivity of species. In a field experiment in Egypt, four
    consecutive sprayings of cotton with Lebaycid induced a mortality rate
    of up to 96% in two populations of ladybirds. The populations
    recovered partially during the 15-day interval between sprayings. The

    ladybird  Scymnus appeared to be less senstitive to fenthion than
     Coccinella in this experiment. In a field experiment in the
    Philippines, no substantial effects of fenthion were found on
    pest-predatory spiders and hemipterous species. In another field
    experiment in Egypt, both the occurrence and absence of adverse
    effects on pest-predatory species were observed within the treated
    area.

         Technical-grade fenthion is also obviously toxic to various
    birds. Laboratory experiments showed a moderately toxic to toxic
    effect, with an LD50 value of 7.2 mg/kg bw and eight-day LC50
    values of 60-1259 mg/kg feed. The main mode of action appears to be
    depression of cholinesterase activity. In experiments in which
    fenthion was used as an avicide, secondary poisoning of starling
    predators was seen after the perches of starlings were smeared with
    fenthion.

         Many cases of poisoning of wild birds have been reported after
    use of fenthion for controlling mosquitos or birds. In some field
    experiments, poisoned birds showed depression of cholinesterase
    activity in both brain and blood. In most field experiments, the
    activity in brain is measured. It is assumed that a depression of >
    50% in cholinesterase activity indicates severe exposure to fenthion.
    In a field experiment in Kenya in which fenthion was used as an
    avicide, cholinesterase activities < 20 µmol/min per g were taken
    to indicate exposure, and activities < 10 µmol/min per g indicated
    severe sickness or death. Data on cholinesterase activity should be
    combined with measurements of fenthion residues in order to establish
    a causal relationship between exposure and its effects. The response
    of some birds to substantial exposure is to hide themselves in e.g.
    thick bushes, and this may lead to underestimation of the number of
    affected birds.

         Variable effects on wild birds were observed in field experiments
    in Wyoming (USA) in which about the same aerial application rate was
    used (50 g/ha). In the first experiment, the mortality rates of three
    common bird species were treatment-related, and the deaths were
    correlated with substantial depressions in cholinesterase activity. In
    the second experiment, only the growth rate of nestlings of a common
    songbird was significantly decreased in one of two treated plots;
    however, the decrease may have had no biological consequences, as the
    transient depression in cholinesterase activity in the nestlings was
    not significant. No other parameter related to mortality, biomass, or
    reproduction was influenced by the treatment. It was notable that
    although the abundance of an important feed item -- the caterpillar --
    like larvae of  Polia -- was decreased by 50%, the feeding behaviour
    of the adults was not altered. The percentage of larvae in the feed
    collected for the nestlings was also not altered.

         No clear treatment-related effects on non-target birds
    (free-roaming galliformous and raptorial birds and caged granivorous
    doves) were found in outdoor experiments in Kenya in which red-billed
    quelea colonies were sprayed aerially with Queletox, except for a
    significant depression in plasma cholinesterase activity in 70% of the
    raptorial birds analysed; the biological significance of this finding
    was not clear.

    2.  Identity and physical and chemical properties

    2.1  Identity

         Fenthion is the primary name of an organophosphorus pesticide,
    the chemical name of which is thiophosphoric acid,  O,O-dimethyl-
     O-[3-methyl-4-(methylthio)phenyl] ester according to IUPAC
    nomenclature. The Chemical Abstracts name is  O,O-dimethyl
     O-[3-methyl-4-(methylthio)phenyl]phosphorothioate, and its CAS
    registry number is 55-38-9. The empirical formula is C10H15O3PS2,
    and the structural formula is:

    CHEMICAL STRUCTURE

         The relative molecular mass of fenthion is 278.3. Technical-grade
    fenthion has a purity of > 90%, generally exceeding 95%. Fenthion
    is usually formulated as an emulsifiable concentrate. Emulsifiers,
    such as Toximul MP-8, and solvents such as xylene, 'fog' (a fine water
    spray), and diesel oil, may be added to formulations of fenthion, the
    type of adjuvant differing according to the formulation. The addition
    of oily materials increases the sorption of fenthion to plant surface
    tissues. There is no up-to-date survey of the adjuvants currently used
    in formulations.

    2.2  Physical and chemical properties

         The physical and chemical properties of fenthion are shown in
    Table 1. Fenthion is slightly soluble in water at room temperature and
    is readily soluble in organic solvents, the solubility in xylene,
    acetone, acetonitrile, and dimethylsulfoxide exceeding 250 000
    mg/litre. Fenthion is slightly volatile, in view of its vapour
    pressure, and is essentially nonvolatile from water, in view of its
    Henry's law constant. It is not surface active.

        Table 1.  Physical and chemical properties of fenthion
                                                                                                             

    Property                                                         Remarks
                                                                                                             

    Physical state                  Liquid
    Colour                          Colourless to yellow brown
    Odour                           Like mercaptans
    Boiling-point                   284°C                            Calculated at 1013 hPa
    Specific gravity (density)      1.25                             At 20°C
    Vapour pressure                 3.7 × 10-4 Pa                    Extrapolated at 20°C
                                    7.4 × 10-4 Pa                    Extrapolated at 25°C
    Solubility in water             4.2 mg/litre                     At 20°C
    Solubility in n-hexane          100 000 mg/litre                 At 20°C
    Solubility in n-octanol         > 300 000 mg/litre
    Henry's law constant            24 × 10-2 Pa . m3/mol            Calculated at 20°C (with dimensions)
                                    10 × 10-5                        Calculated at 20°C (dimensionless)
    Octanol-water partition         4.8                              At 20°C
      coefficient (log Kow)
    Surface tension                 70 mN/m
    Explosiveness                                                    Not explosive
    Oxidizing properties                                             No oxidizing properties
    Ignition temperature            365°C
    Flash-point                     170°C
    Quantum yield                   0.8
                                                                                                             
    Data provided by Bayer AG for fenthion with a purity > 95%
    
    3.  Sources of human and environmental exposure

    3.1  Production levels and processes

         No data were available on world production of fenthion and its
    formulations, and there were no data on losses to the environment
    during normal production and formulation or accidental losses.

    3.2  Uses

         Fenthion is a systemic pesticide used primarily against insects
    such as lice, ticks, cockroaches, flies, leaf-miners, rice stem
    borers, and cereal pests. It can be used to protect livestock,
    domestic animals, and various crops such as olives, sugar beet,
    cotton, cacao, citrus, coffee, and rice. Agricultural use in the
    countries of the European Union is primarily in horticulture and
    orchards (Bayer AG, 1995). It is no longer used on cotton crops (Bayer
    AG, personal communication). Fenthion is also used against birds such
    as the red-billed weaver  (Quelea quelea), the European starling
     (Sturnus vulgaris), and the rock dove  (Columbia livea), which can
    destroy crops substantially. Bayer AG does not recommend its use in
    urban areas (personal communication). It is also used for mosquito
    control in wetlands.

         Fenthion is used worldwide. In 1985, 39 417 litres of the
    formulation Queletox were sprayed over 23 370 ha to control grain pest
    birds in five eastern African countries (Bruggers  et al., 1989). No
    other quantitative data on the use of fenthion are available. FAO/WHO
    (1973) estimated that the main uses of fenthion in 1971 were field
    crops (50%), fruit and vines (30%), and other uses such as ornamental
    plants, public health, and animal health (20%). In 1971, fenthion was
    admitted for use on crops in 31 countries. It is registered for use in
    bird control in Canada and the USA.

         Fenthion can be applied in various formulations, summarized in
    Table 2. This summary is far from complete, and some of these
    formulations may have been withdrawn from the market. The major
    formulations of fenthion used currently are probably Lebaycid EC50 and
    Lebaycid EC500, which contain 535 and 506 g of fenthion per litre,
    respectively. Other synonyms for fenthion and its formulations are
    Baycid, Entex, BAY 29493, OM-2,51725, sulfidophos, quilitox, and Antex
    (FAO/WHO, 1973).

         Various other active ingredients can be mixed with fenthion. In
    Germany, a mixture with propineb is registered. In Japan, various
    mixtures were registered with disulfoton and edinphos, especially for
    rice. The application rates of fenthion depend on the formulation and
    type of use. Bayer AG (1995) recommends rates of 60-1250 g/ha for
    various horticultural and fruit crops. FAO/WHO (1973) recommended

    rates up to 2 kg/ha on cotton. Lebaycid is generally applied as a
    0.05-0.075% solution in water by spraying. The most commonly used
    formulations contain an emulsifiable concentrate, a fogging 
    concentrate or an ultra-low volume liquid, the last being frequently 
    used under (sub)tropical conditions to minimize losses by 
    volatilization. Fenthion can also be applied as granules on rice or as 
    a dustable powder.

        Table 2.  Composition of some commercial formulations of fenthion
                                                                                              

    Name                   Concentration of         Remarks
                           fenthion (g/litre)
                                                                                              

    Lebaycid 50EC          535                      Also contains 2% of emulgator A, 8% of
                                                    emulgator B, and up to 39% xylene
    Lebaycid 500EC         506
    Rid-A-Bird 1100        110
    Tiguvon                Not reported
    Baytexa                Not reported             Sprayed with 'fog' or diesel oil
    Queletox               Not reported
                                                                                              

    All formulations produced by Bayer AG; data provided by Bayer AG
    a   Liquid concentrate with 93% pure fenthion, which can be mixed with the
        emulsifier Toximul MP-8 and a xylene-type solvent at ratios of 30:3.1:1.7;
        can also be mixed with diesel oil (Powell, 1984)
    
         Fenthion can be applied in various ways. For large-scale
    treatments, aerial application may be appropriate; small-scale
    treatment can be done with e.g. back-pack spraying equipment or behind
    vehicles. Aerial application may lead to substantial losses due to
    drift by wind, and crops, flora, and fauna may be exposed to
    off-target deposits. Such downwind deposits can be assumed to depend
    on meteorological conditions, the plant canopy structure, the
    application method, including the release height, the droplet size,
    the occurrence of overlapping spray swathes, the calibration of the
    spraying apparatus, the placement of nozzles on the boom, and the
    speed of the aircraft (Seabloom  et al., 1973; DeWeese  et al.,
    1983; Bruggers  et al., 1989).

    4.  Environmental transport, distribution, and transformation

         The term 'biotransformation' is used in this monograph in
    preference to 'biodegradation', as the first refers to a microbial
    transformation process resulting in a smaller or greater molecule,
    whereas the latter refers to a smaller molecule only. Fenthion
    molecules can either increase or decrease in size. Dissipation is the
    decrease in size due to microbial activity, to other chemical
    transformation processes, and to transfer to other compartments. As
    the metabolism of fenthion is preferably called transformation rather
    than degradation, the term half-life is preferred to median
    dissipation rate (DT50). Thus, confusion about whether D refers to
    degradation or dissipation is avoided. It should become clear from the
    context whether the half-life refers to a particular process.

         The types of sediment or soil mentioned are within the textural
    groupings of the system of the US Department of Agriculture (1951).

         Only the results of reliable tests are discussed below. In
    general, only studies with an adequate method and description are
    listed in the tables. Studies that were considered less or not
    reliable are sometimes mentioned in the text in order to confirm or
    contradict conclusions based on the results of intrinsically reliable
    tests.

    4.1  Transport and distribution between media

    4.1.1  Dissipation from water

         Fenthion dissipates rapidly from water in laboratory experiments
    under both aerobic and anaerobic conditions, with half-lives up to
    seven days (Eichelberger & Lichtenberg, 1971; Bayer AG, 1988a,b;
    O'Neill  et al., 1989; see also Table 3). Dissipation under anaerobic
    conditions is slightly slower than that under aerobic conditions, but
    the rate follows first-order kinetics under either condition. The
    half-lives shown in Table 3 were deduced from laboratory experiments
    with sediment. Dissipation from water appears to occur primarily by
    sorption to sediment, phototransformation, and biotransformation (see
    sections 4.2.2 and 4.3).

         In an indoor microcosm, the presence of plants in the sediment
    did not influence dissipation from the water column (O'Neill  et al.,
    1989). In salt-marsh water and its associated sediment, half of the
    applied technical-grade fenthion was dissipated within 1.5 days.

         Whereas the parent compound dissipates rapidly from a water
    column, the residues, including transformation products, do not
    necessarily do so. In a laboratory experiment with water, sediment,
    and fish, the total amount of 14C-fenthion residues in the water
    remained fairly constant over 28 days after a single application of

    fenthion equivalent to 0.011 kg/ha (ChemAgro, 1975a). Immediately
    after application, however, 100% of the recovered residues was soluble
    in chloroform, whereas after 28 days 66% was water-soluble, indicating
    that the composition had shifted towards more polar residues, probably
    by phototransformation and biotransformation.

         In outdoor experiments, fenthion also dissipated rapidly from the
    water column. In jars containing pond water, with or without the
    accompanying sediment, that were buried outdoors in the soil for 16
    days in Kansas (USA) in 1971, fenthion dissipated with a half-life of
    up to two days (ChemAgro, 1972, 1976a). In one of these experiments,
    the dissipation rate in the system with sediment was comparable to
    that in the system without sediment. This experiment corroborates the
    report of Bayer AG (1988a) that other processes influence dissipation
    before accumulation in the sediment, regardless of the presence of
    sediment. In the other experiment (ChemAgro, 1976a), sediment was an
    important sink, as the sediment-bound residues in silt gradually
    increased up to 49% of the applied activity after 46 days. Detection
    of fenthion in Dutch surface water at concentrations up to
    0.12 µg/litre, however, may indicate that dissipation in the field is
    less rapid than that under more controlled conditions (see section
    5.1).

    4.1.2  Soil sorption

         Fenthion binds readily to various soils. In laboratory
    experiments in which fenthion was added to aqueous soil suspensions,
    the adsorption coefficient Ks/l (= Kd = Kom) was 7.7-38 dm3/kg
    in six soil types ranging from sand to silty clay loam (ChemAgro,
    1972; Mobay Corp., 1978a; ABC Inc., 1988). These values indicate
    strong sorption, which can be described by the Freundlich equation.
    Three additional Ks/l values (6.4, 8.6, and 67 dm3/kg) obtained in
    these experiments must be considered inaccurate, as the accompanying
    1/n constants deviate substantially from unity (< 0.7 or > 1.1).

         The mechanism of sorption of fenthion to soil is only partially
    understood, and several factors may be involved. Sorption to organic
    matter appears to be important, as soils with the highest organic
    matter content showed the highest adsorption coefficients (ChemAgro,
    1972; Mobay Corp., 1978a; ABC Inc., 1988).

         In a laboratory experiment with 14C-fenthion, the desorption
    coefficients were about two times higher than the sorption coefficents
    (ABC Inc., 1988). Although 0.01 mol/litre of calcium chloride were
    added to simulate potential desorption in the field, sorption may not
    be reversible under outdoor conditions.

        Table 3.  Biotransformation and dissipation of technical-grade fenthion in water and sediments in the laboratory
                                                                                                                                              

    Water type      Sediment      Test          Sediment   Organic matter    Temperature    pH          Length of    Half-life   Reference
                    type                        (%)        in sediment (%)   (°C)                       experiment   (days)
                                                                                                        (days)
                                                                                                                                              

    Biotransformation in whole system

    Pond water      Loamy sand    Aerobic       10         0.9               approx. 22     6.8-8.      66           9a          Bayer
                                  in dark                                                   approx. 8                            (1988a)
    Pond water      Silt loam     Anaerobic     0.2        1.8               approx. 22     5.6-7.6     360          11a,b       Bayer
                                  in dark                                                                                        (1988b)

    Dissipation from water column

    Pond water      Loamy sand    Aerobic       10         0.9               approx. 22     6.8-8.8     66           4a          Bayer
                                  in dark                                                                                        (1988a)
    Pond water      Silt loam     Anaerobic     0.2        1.8               approx. 22     5.6-7.6     360          7a          Bayer
                                  in dark                                                                                        (1988b)

    Surface waterc  Not           Aerobic       Not        Not               20             Not         8            1.5         O'Neill et al.
                    reported      with          reported   reported                         reported                             (1989)
                                  light-dark
                                  cycle
                                                                                                                                              

    a    Approximate value derived from authors' data by linear regression of the recovered percentages after logarithmic
         (In) transformation. Times until 90-99% of the applied fenthion has been transformed were used for calculation.
    b    Although the half-life under anaerobic conditions equals that under aerobic conditions, the initial transformation
         rate under anaerobic conditions is slower
    c    Water from a salt marsh with 11% salinity
        4.1.3  Soil mobility

         In view of its Ks/l values, fenthion should be immobile in many
    soils, as confirmed in several experiments both in the laboratory and
    in the field. In thin-layer chromatography studies, which do not
    generate reliable Ks/l values, the Rf values for 14C-fenthion in
    five soil types with organic matter contents of 0.6-5.1% were
    0.14-0.17 (ChemAgro, 1976b). In less reliable leaching experiments
    with columns of 45 cm, in which the leaching time was not reported,
    water fluxes of 50, 95, and 490 ml were imposed on a sandy loam with
    1.4% organic matter, a silty clay loam with 2% organic matter, and a
    silty clay loam with 4.4% organic matter, respectively (ChemAgro,
    1972). Fenthion was recovered only in the leachate of the silty clay
    loam with a high organic matter content, representing 1.8% of the
    recovered fenthion. In these experiments, 64-92% of the recovered
    fenthion was found in the upper 3-cm layer of the columns.

         Transformation products of fenthion appear to be more mobile than
    fenthion itself; however, the only data on the mobility of transform-
    ation products are those from leaching experiments with aged residues.
    The adsorption coefficients of metabolites have not been reported.

         In studies under laboratory or greenhouse conditions with
    residues aged for 4-30 days, 1.9-46% of the applied activity was
    leached (ChemAgro, 1974, 1975b; Mobay Corp., 1987a). The greatest
    amount of leaching was found in a sandy soil with the lowest
    percentage of organic matter (0.2%) of all soils tested, with 36%
    leaching after four days of aging and 46% after 25 days (Mobay Corp.,
    1987a). The columns were 30 cm long, the water flux over two days was
    high (51 cm), and the soil that had been aged prior to leaching was a
    sandy loam soil. These experiments cannot be considered reliable, as
    the type of soil placed on the top of the column was different from
    that inside the column, and the amounts of fenthion residues after
    aging and before application on the column were not reported. In spite
    of the high maximal leaching percentages in sand, more than 50% of the
    applied activity was recovered in the upper 12 cm of the columns. Four
    transformation products were recovered in the sand column segments and
    leachates. Those in the leachate, in decreasing order of magnitude,
    were 3-methyl-4-methylsulfonyl-phenol, 3-methyl-4-methylsulfinyl-
    phenol, fenthion sulfoxide (thiophosphoric acid,  O,O-dimethyl- O-
    [3-methyl-4-methylsulfinyl-phenyl] ester), and fenthion sulfone
    (thiophosphoric acid,  O,O-dimethyl- O-[3-methyl-4-methylsulfonyl-
    phenyl] ester). The maximal percentages of recovered activity at the
    end of the experiments were 20, 15, 11, and 0.8%, respectively. It can
    be concluded that at least the more polar transformation products of
    fenthion, which generally remain primarily organosoluble, may leach
    into shallow groundwater; however, as the half-lives of these
    transformation products are probably < 15 days (see section 4.3.2),
    substantial leaching of these products to shallow groundwater is
    unlikely.

        Table 4.  Biotransformation and phototransformation of fenthion in soils
                                                                                                                                              

    Soil type       Test type     Moisture        Temperature     pH         Organic        Length of     Half-life     Reference
                                  content (%)     (°C)                       matter (%)     experiment    (days)
                                                                                            (days)
                                                                                                                                              

    Biotransformation
    Silty loama     Laboratory,   approx. 30      Not             5.9        3.0            120           10c           Mobay Corp.
                    aerobic                       reportedb                                                             (1978b)
    Silty loama     Laboratory,   approx. 30      Not             5.9        3.0            32            > 32          Mobay Corp.
                    aerobic                       reportedb                                                             (1978b)

    Phototransformation
    Sandy loam      Field,        Not             16-37           5.1        2.4            1.2           1c            Mobay Corp.
                    aerobicd      reported                                                                              (1987b)
    Sandy loam      Field,        Not             Not             4.5-7.5    0.8-6.3        4             > 4           Gohre & Miller
                    aerobic       reported        reported                                                              (1986)
                                                                                                                                              

    a    Silty loam is assumed to have a moisture content of 40% (v:v) at field capacity; moisture content was kept at 75% of the
         field capacity
    b    Possibly room temperature, but not clearly stated
    c    Approximate value derived from authors' data of by linear regression of the recovered percentages after logarithmic
         (In) transformation. As transformation of up to 99% of the applied fenthion was in accordance with first-order
         kinetics, the coinciding times were used for calculation.
    d    A slurry of soil, water, and acetonitrile in a photomodule was exposed to fenthion by pipetting it onto the slurry.
        4.1.4  Dissipation from soil in the field

         No substantial dissipation of fenthion due to run-off on an 8°
    slope was found on a sandy loam or a silty clay loam soil on a fallow,
    raked field (ChemAgro, 1972). The silty clay loam site had been
    divided into one with a low (2%) and the other with a high (4.4%)
    organic matter content. Maximal percentages of 0.9% and 1.2% of the
    applied fenthion were recovered in the run-off water as the parent
    compound and fenthion sulfoxide, respectively, in the sandy loam and
    silty clay loam with the low organic matter contents, corresponding to
    concentrations of 0.12 and 0.23 µg/litre, respectively. The lowest
    run-off of fenthion residues and the largest amount of fenthion
    residues (at the site of application) were seen on soil with the
    highest percentage of organic matter, coinciding with the strong
    sorption of fenthion on various soils. As the soil and the run-off
    water were analysed after weekly irrigation for one month, the
    dissipation of fenthion must be low, due mainly to strong sorption
    (see also section 4.1.2). In these experiments, the soils were
    irrigated for one month with 10-17 cm of water (total), and the rate
    of application of fenthion was 11.2 kg/ha. The results indicate that
    dissipation of fenthion under outdoor conditions may be slower than
    that under controlled laboratory conditions. Thirty days after
    application, up to 38 and 55% of the applied fenthion were recovered
    at the site of application as the parent compound and fenthion
    sulfoxide, respectively. Dissipation in laboratory experiments due to
    microbial action is much faster (see Table 4 and section 4.3).

    4.1.5  Uptake and dissipation from plants

         Fenthion can be taken up by plants, and its ability to penetrate
    plant tissues results in destruction of e.g. larvae even within fruit.
    Fenthion is reported to persist for some time after being taken up.
    The amount of fenthion residues in Bermuda grass  (Cynodon dactylon)
    and corn  (Zea mays) decreased by about 60 and 80% within the first
    two weeks after application (FAO/WHO, 1973).

    4.1.6  Entry into the food chain

         Fenthion is used primarily against insects and birds (see section
    3.1.2). As the amount of fenthion found in these species after
    ingestion or on them after contact may increase immediately after
    application, it may enter the food chain by ingestion or direct
    contact with e.g. insectivorous and bird-predatory species. Hunt
     et al. (1991) investigated the possibility of secondary poisoning of
    the American kestrel  (Falco sparverius) through predation on house
    sparrows  (Passer domesticus) exposed to fenthion by smearing of
    their perches with the formulation Rid-A-Bird(R). Exposure of the
    kestrels by contact with the sparrows' feet may have contributed
    substantially to the observed toxicity. When the contaminated sparrows

    were penned with the kestrels for three days, 79% of the kestrels died
    from fenthion poisoning within one day, and all were dead within three
    days. The contaminated kestrels showed 78-92% depression of brain
    cholinesterase activity and 97% of that in plasma, which correlated
    with concentrations of fenthion up to 14 µg/g in the gastrointestinal
    tract and 19 µg/g in feet. Most of the contaminated sparrows died
    within 8 h of exposure and contained fenthion at concentrations of up
    to 6 µg/g in the internal carcass, 631 µg/g in the external carcass
    (i.e. feathers and skin), and 1152 µg/g in the feet.

         The route of exposure before secondary intoxication is often
    unclear. In five bald eagles  (Haliaeetus leucocephalus) found dead
    in Iowa (USA) in 1984, brain cholinesterase activity was depressed by
    80-92% (Henny  et al., 1987). The remains of piglets found in their
    stomachs contained fenthion at concentrations of 0.1-6.8 mg/kg wet
    weight. The two possible sources of the fenthion are intentional
    primary poisoning of the eagles with contaminated bait or secondary
    poisoning from contaminated piglets. This case indicates the
    vulnerability of scavenging species like eagles.

    4.2  Abiotic transformation

    4.2.1  Hydrolytic cleavage and oxidation

         Fenthion is transfomed slowly in sterile phosphate buffers, with
    half-lives of 56, 41, and 32 days at pH 5, 7, and 9, respectively, at
    25°C for 70 days (ChemAgro, 1976c); comparable results were found at 5
    and 40°C. These results indicate slower transformation rates under
    more acid conditions. This pH-dependent transformation was confirmed
    in other studies (eg. Bayer AG, 1983a). In the experiments of ChemAgro
    (1976c) at 25°C, the main transformation products were fenthion
    sulfoxide, 3-methyl-4-methylsulfinyl-phenol, fenoxon (phosphoric acid,
     O,O-dimethyl- O-[3-methyl-4-methylthio-phenyl] ester), fenoxon
    sulfone (phosphoric acid,  O,O-dimethyl- O-[3-methyl-4-methyl-
    sulfonyl-phenyl] ester), fenthion sulfone, and fenoxon sulfoxide
    (phosphoric acid,  O,O-dimethyl- O-[3-methyl-4-methylsulfinyl-
    phenyl] ester). The maximal percentages of the administered activity
    were 14, 12, 10, 8, 7, and 6%, respectively. The transformation
    products indicate both oxidation (fenthion sulfoxide, fenoxon, fenoxon
    sulfone, fenthion sulfone, and fenoxon sulfoxide) and hydrolysis
    (3-methyl-4-methylsulfinyl-phenol).

         A low abiotic transformation rate in the dark was confirmed in
    other laboratory experiments (ChemAgro, 1972; Bayer AG, 1983a). In
    buffered aqueous solutions, the extrapolated half-lives at 22°C were
    223, 200, and 151 days at pH 4, 7, and 9, respectively (Bayer AG,
    1983a), and the transformation product was 3-methyl-4-methylthio-
    phenol. In aqueous phosphate buffers at 30°C, the experimental
    half-lives at pH 5, 7, and 9 were 31, 26, and 24 days, respectively
    (ChemAgro, 1972).

    4.2.2  Phototransformation

    (a)  Water

         Photochemical transformation may occur rapidly in water under
    both laboratory and field conditions. In a sterile aqueous buffer at
    pH 5, substantial phototransformation of 13C/14C-1-ring-labelled
    fenthion was observed after exposure to artificial light simulating
    sunlight for 4 h at 23°C (Mobay Corp., 1987c); the half-life was
    0.5 h. Rapid phototransformation in the laboratory was confirmed by
    Bayer AG (1983b, 1988c) and ChemAgro (1976b).

         The major photochemical transformation products in the study
    reported by the Mobay Corp. (1987c) were 3-methyl-4-methylthio-phenol
    (maximal totally recovered activity, 23%), fenthion sulfoxide
    (maximum, 17%), and 3-methyl-4-methylsulfinyl-phenol (maximum, 15%).
    Transformation products found in minor quantities in this experiment
    were 3-methyl-4-sulfo-phenol (maximum, 8%), fenoxon sulfone (maximum,
    7%), fenoxon sulfoxide (maximum, 6%), and 3-methyl-4-methylsulfonyl-
    phenol (maximum, 6%). Fenoxon was also found as a phototransformation
    product in other experiments (maximum, 10-11% of the applied activity)
    (ChemAgro, 1976b).

         The phototransformation pattern is temperature-dependent: at
    25°C, the rate of production of fenthion sulfoxide via oxidation is
    comparable to that of 3-methyl-4-methylthio-phenol via hydrolysis.
    Oxidation to fenoxon sulfoxide is assumed to prevail at higher
    temperatures and hydrolysis to 3-methyl-4-methylthio-phenol at lower
    temperatures (ChemAgro, 1976d). When 2% acetone was added to an
    aqueous solution of fenthion as a photosensitizer before irradiation
    with artificial light for 2 h, oxidation via fenthion sulfoxide to
    unknown polar transformation products was accelerated. Thus, changes
    in temperature and the presence of sensitizers can result in different
    mixtures of fenthion transformation products.

         Fenthion also undergoes rapid phototransformation outdoors,
    although possibly at a somewhat slower rate than in laboratory
    experiments. Fenthion in distilled water exposed to sunlight in the
    summer was phototransformed with a half-life of 4 h (Bayer AG, 1983b);
    in a comparable experiment under laboratory conditions with artificial
    light, the half-life was 0.08 h. Fenthion is phototransformed rapidly
    in sunlight (lambda > 290 nm), primarily because of its high quantum
    yield.

    (b)  Soil

         As fenthion applied to soil appears to be phototransformed
    rapidly by sunlight, with half-lives of 1-> 4 days (see Table 4),
    phototransformation is an important route of dissipation. In an
    outdoor experiment, 13C/14C-1-ring-labelled fenthion mixed with

    unlabelled fenthion was exposed for 1.2 days to natural sunlight after
    application to a sandy loam at a rate of 53 mg/kg soil (see also Table
    4). Fenthion was rapidly phototransformed, and the main photochemical
    transformation product was fenthion sulfoxide (maximum, 58% of the
    recovered activity); fenoxon sulfoxide, 3-methyl-4-methylsulfinyl-
    phenol, and fenthion sulfone were minor transformation products (i.e.
    < 10% of the recovered activity). The oxidation path apparently
    prevails (Mobay Corp., 1987b). As the temperature during this
    experiment rose to about 37°C, a shift to the oxidation rather than to
    the hydrolysis pathway seems to have occurred, as in the
    phototransformation experiments with water (ChemAgro, 1976d).

    (c)  Air

         Phototransformation occurs rapidly in the troposphere. The
    half-life of fenthion in air is estimated to be 1.7 h (Bayer AG,
    1994a) on the basis of the assumption that phototransformation occurs
    via the reaction of hydroxyl radicals with fenthion. The primary
    target of the radicals is probably the P=S bond. Such attacks may
    result in secondary oxidation products (e.g. fenoxon), which can be
    deposited on soil, water, and vegetation by wet and dry deposition.

    4.3  Biotransformation

         Biotransformation may contribute to the general processes of
    dissipation (see section 4.1). No data from primary sources on the
    microorganisms that can metabolize fenthion have been incorporated in
    this monograph. It has been reported to be biotransformed to fenoxon
    sulfoxide by the soil fungus  Rhizopus japonicus (Wallnöfer, 1978,
    cited by Mobay Corp., 1978b). Similarly, no data on the biodegrad-
    ability of the adjuvants in formulations of fenthion have been
    incorporated; however, it can be assumed that the biodegradability of
    e.g. 'fog' and diesel oil in a natural environment is slight.

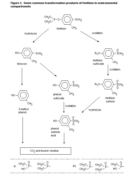
         A simplified scheme, showing some common transformation products
    in environmental compartments, is presented in Figure 1. The scheme
    includes both abiotic and biotic transformation products.

    4.3.1  Water and sediment

         The relevant laboratory experiments in which biotransformation in
    water-sediment systems was studied were summarized in Table 3. The
    results indicate that the rate of biotransformation is rapid under
    both aerobic and anaerobic conditions: 50% biotransformation of
    fenthion (half-life) in a whole water-sediment system occurs within
    about 10 days. Experimental conditions other than the availability of

    oxygen, e.g. temperature, salinity, the presence of plants, the type
    of water, and the type of sediment, probably have less effect on the
    transformation rate. In microcosms of salt-marsh water, sediment and
    sediment-rooted plants, however, the amount of detritus and the extent
    of bioperturbation of the sediment may also influence the biotrans-
    formation rate (O'Neill  et al., 1989).

         In general, sediments appear to function as a major sink for
    fenthion under both aerobic and anaerobic conditions. Rapid
    partitioning to sediment was seen under aerobic and anaerobic
    conditions, as 21-28% of the applied activity was recovered in the
    sediment within 1 h after application (Bayer AG, 1988a,b); maxima of
    41-80% of the applied activity were recovered in sediment. Under
    aerobic conditions, the amount in the sediment increased gradually up
    to 62-80% of the applied activity (Bayer AG, 1988a) by the end of the
    test at 66 days. Under anaerobic conditions, the maxima were 66-70%
    and were reached after 7-14 days (Bayer AG, 1988b). The total amounts
    of activity in the sediments decreased thereafter, probably due to
    further mineralization to 14C-carbon dioxide (see below). Under
    either aerobic or anaerobic incubation, most of the activity in the
    sediment shifted from water-and acetone-extractable compounds to
    non-extractable (i.e. sediment-bound) residue in the course of the
    experiments.

         The rate of biotransformation in non-sterile sediment without
    plants was best modelled by assuming biotransformation in the upper
    1 mm of the sediment (O'Neill  et al., 1989). When plants were
    present, biotransformation in the upper 7 mm was the best assumption.

         In aerobic experiments with water and associated sediments, the
    amount of fenthion declines rapidly over time, with transient
    increases in various metabolites, an increase in 14C-carbon dioxide,
    and an increase in sediment-bound residues (Bayer AG, 1988a,b). Under
    anaerobic conditions, a small amount (3-4%) of 14C-methane was
    formed. The production of 14C-carbon dioxide appears to be more
    rapid under aerobic than anaerobic conditions, but the final amounts
    of 14C-carbon dioxide differed substantially with the duration of
    the test: 12-15% after 66 days under aerobic conditions and 52% after
    120-190 days under anaerobic conditions. As the amount of oxygen was
    very low under anaerobic conditions (0-0.4 mg/litre), the oxygen in
    the carbon dioxide may have been supplied by nitrates or sulfates. The
    redox potential during the experiment varied between -186 and 137 mV.
    The main transformation products were demethyl fenoxon sulfoxide
    (maximum, 30% of whole water-sediment system after 7-14 days),
    fenthion sulfoxide (maximum, 28% after 14 days), 3-methyl-4-methyl-
    sulfinyl-phenol (maximum, 13% after 66 days), and 3-methyl-4-methyl-
    sulfonyl-phenol (maximum, 11% after 66 days) under aerobic conditions,

    CHEMICAL STRUCTURE

    and 3-methyl-4-methylthio-phenol (maximum, 35% after 60 days),
    3-methyl-4-methylsulfinyl-phenol (maximum, 26% after 30 days), and
    3-methyl-phenol (maximum, 10% after 60 days) under anaerobic
    conditions. In these experiments, only the moieties with a phenyl
    group were qualified or quantified; the fate of the thiophosphoric
    acid moiety is less well described. Eichelberger and Lichtenberg
    (1971) assumed that  O,O-dimethyl- O-thiophosphoric acid was formed
    by hydrolysis.

    4.3.2  Soil

         Fenthion appears to be biotransformed rapidly in soil under
    aerobic conditions and more slowly under anaerobic conditions: the
    half-life of 13C/14C-1-ring-labelled fenthion in a silty loam soil
    was 10 days under aeobic conditions and more than 32 days under
    anaerobic conditions (Mobay Corp., 1978b; see Table 4). The latter
    value is not reliable, however, as the anaerobic incubation was
    started when about 99% of the parent molecule had been biotransformed
    aerobically. These experiments and some important experimental
    conditions are summarized in Table 4, which indicates that fenthion is
    transformed rapidly under optimal conditions, such as sufficient
    oxygen and a moisture content > 75% of the field capacity. Rapid
    transformation of fenthion under aerobic conditions was confirmed by
    Bayer AG (1974), with half-lives of 1.7 and 0.5 days in a sand and a
    sandy loam soil. These results are somewhat unreliable, however, as
    the moisture content of the soils during the tests was not reported
    and they may have been stored under overly dry conditions. The rate of
    biotransformation of fenthion in soils can be described by linear
    first-order kinetics, although few studies are available for
    verification.

         The main metabolites of fenthion under aerobic conditions are
    fenthion sulfoxide, 3-methyl-4-methylsulfinyl-phenol, and 3-methyl-
    4-methylsulfonyl-phenol (Mobay Corp., 1978b). In laboratory
    experiments, the maximal amounts of these metabolites in silt loam
    were 30-33, 15-18, and 30-31%, respectively, of the total activity.
    These maxima were reached within 14 days after application at rates of
    1-10 mg/kg dry weight. Substantial amounts of these metabolites appear
    to be formed microbially, as only fenthion sulfoxide and to a lesser
    extent 3-methyl-4-methylsulfonyl-phenol were formed under sterile
    conditions in the same soil; they were formed more slowly under
    sterile conditions. Some minor metabolites quantified in these
    experiments were fenthion sulfone and 1-methoxy-3-methyl-4-methyl-
    sulfonyl-benzene, which were found at 4-8 and 4-6%, respectively, of
    the total activity within 59 days after application. It should be
    noted that the formation of 1-methoxy-3-methyl-4-methylsulfonyl-
    benzene indicates methylation.

         Under aerobic conditions, the amounts of soil-bound residues
    gradually increased up to a plateau of 41% of the total activity 30
    days after application and continued until the end of the experiment
    after 120 days (Mobay Corp., 1978b). These soil-bound residues were
    due mainly to microbial action, as under sterile conditions only 9%
    was recovered as soil-bound residues 30 days after application.

         Mineralization to carbon dioxide occurs in soil in the laboratory
    under both aerobic and anaerobic conditions, although more slowly
    under the latter conditions. After application of 13C/14C-1-ring-
    labelled fenthion at 1 mg/kg dry weight to a silt loam soil under
    aerobic conditions in the laboratory, about 50% 14C-carbon dioxide
    evolved within 120 days (Mobay Corp., 1978b). In the same soil under
    anaerobic conditions, the mineralization rate was substantially lower
    than that under aerobic conditions after aerobic preincubation for 30
    days; during 32 days of anaerobic incubation, only 4% of the total
    activity was degraded to 14C-carbon dioxide.

    4.4  Bioconcentration

         Fenthion is a lipophilic compound which is only slightly soluble
    in water and has an octanol-water partition coefficient (log Kow) of
    4.8. These properties indicate possible bioconcentration, as confirmed
    in a laboratory experiment in which fenthion was shown to be
    moderately concentrated in fish (ChemAgro, 1975a).

         In a flow-through test in which bluegill sunfish  (Lepomis
     macrochirus) were exposed to 14C-fenthion at 0.008-0.12 mg/litre
    (actual concentrations) for 14 days, the calculated daily biocon-
    centration factors based on the wet weight of the whole fish increased
    from 226 by 0.2 days after the start of the test to 400-500 by 4-7
    days (ChemAgro, 1975a); after 14 days of exposure, the daily
    bioconcentration factors were 200-300. The maximal concentrations of
    labelled residues in the whole fish were 58 mg/kg wet weight four days
    after the start. When the fish were subsequently exposed to uncontam-
    inated water, all of the residues were eliminated within 11 days.
    Eleven days after the start of exposure, 62% of the activity recovered
    from a dissected fish was water-soluble and 38% chloroform-soluble;
    the latter fraction contained fenthion (as 73% of the activity, in the
    fraction), fenthion sulfoxide (20%), 3-methyl-4-methylsulfinyl-phenol
    (5%), and fenoxon sulfoxide (2%). Seventy percent of the labelled
    residues in one exposed fish was recovered in the viscera, but it was
    unclear to what extent transformation products had been formed. These
    products can be formed in water by photo- and biotransformation (see
    above).

         Bluegill sunfish  (Lepomis macrochirus) and channel catfish
     (Ictalurus punctatus) were exposed under static conditions to a
    single dose of 14C-ring-labelled fenthion at a concentration of
    about 3.7 µg/litre in aquariums containing both water and sediment and
    were observed for 28 days. The calculated maximal daily biocon-
    centration factors were 118 and 115 after 8 and 24 h for the sunfish
    and the catfish, respectively. The maximal amount of labelled residues
    in both species was 0.3 mg/kg bw 8-24 h after application. No residues
    were recovered in fish after 21 days. The maximal amounts were not
    related to the maximal depressions in brain cholinesterase activity,
    which were 97% after three days for the sunfish and 76% after six days
    for the catfish. There appeared to be a lag of a few days between
    exposure and effects. The fish appeared to have recovered 21 days
    after application (ChemAgro, 1975a).

         De Bruijn & Hermens (1991) confirmed that fenthion is moderately
    concentrated in fish. They found a bioconcentration factor of 170 in
    guppies  (Poecilia reticulata) exposed for 11 days to a mixture of
    toxicants, including fenthion. Uptake and elimination were equili-
    brated after three days.

    5.  Environmental levels

         The concentrations of fenthion in the environment are summarized
    in Table 5. Few measurements are available from regular monitoring
    programmes, except in the Netherlands, where fenthion was detected in
    various fresh and marine surface waters in 1992. The only published
    data on residues of fenthion on vegetation and insects after aerial
    application of the pesticide are derived from monitoring after
    application of 2.4 kg a.i./ha to two sites for control of weaver birds
     (Quelea quelea) in Kenya (Bruggers  et al., 1989). The applications
    were the first to be used in the area to control birds. The
    concentrations of residues on young birds were 44 and 84 µg per bird
    on the two sprayed areas, respectively, on day 1 and about 10 µg per
    bird cm days 3-4. Raptors that ate the birds were not killed, but some
    were debilitated; the concentrations in the raptors were not measured.
    Aggregate samples of insects contained fenthion at 7.2 mg/kg; the
    highest concentration of residues was found in carabid beetles (23 µg
    per beetle). The concentrations on grass were 39 and 28 mg/kg on the
    two sprayed areas, respectively, on the first day after spraying and
    1.9 and 1.1 mg/kg on day 44. A sample of millet seed spread on a mesh
    in a sprayed area contained fenthion at 1.1 mg/kg.

         Owing to the scarcity of data from monitoring, Table 5 also shows
    some actual measurements in the field from experiments performed with
    recommended application rates simulating common agricultural practice.
    Only maximal amounts are tabulated as indicative values, and data on
    the rate at which fenthion dissipated, when available, are mentioned
    in the comments (see also sections 4.1 and 4.13). No data were
    available on the occurrence of transformation products.

    6.  Effects on organisms in the laboratory and the field

    6.1  Laboratory experiments

    6.1.1  Microorganisms

    (a)  Water

         The acute and chronic toxicity of technical-grade fenthion and a
    formulation of fenthion to aquatic microorganisms and invertebrates
    are summarized in Tables 6 and 7. Technical-grade fenthion is toxic to
    highly toxic, with four-day EC50 values of 550-1800 µg/litre and
    four-day NOEC values of 100-1120 µg/litre. One formulation of fenthion
    is toxic, with four-day EC50 values of 1500-> 2000 µg/litre. The
    toxicity of fenthion to e.g. algae is dependent on the species or
    strain tested (Wängberg & Blanck, 1988). High toxicity for aquatic
    organisms was confirmed by Saini & Saxena (1986), who reported a
    six-day NOEC of 100 µg/litre for the freshwater protozoan  Tetrahymena
     pyriformis. High toxicity was also reported for some saltwater
    microorganisms, with one-day EC50 values of 1000 µg/litre for the
    alga  Cyclotella nana and 100 µg/litre for the diatom  Skeletonema
    costatum and a one-day NOEC of 10 µg/litre for  Cyclotella nana,
    based on production of oxygen (Derby & Ruber, 1971).

         The toxicity of fenthion for microorganisms in activated sludge
    was tested in a laboratory experiment for 30 min at 20°C (Bayer AG,
    1994b). The sludge had been collected in a plant treating domestic
    waste. Only at the highest nominal dose of fenthion, 10 000 mg/litre,
    was respiration inhibited substantially. The test is of limited value,
    however, as the nominal test concentrations exceeded the water
    solubility by up to 2380 times.

    (b)  Soil

         No unequivocal indications of deleterious effects of fenthion on
    microorganisms in the soil are available. The formulation Lebaycid
    inhibits neither processes involved in the nitrogen transformation
    cycle nor enzymes involved in microbial activity. It did not affect
    soil respiration or nitrification in sandy loam or silt loam soils
    after application at the recommended rate, 0.75 kg/ha, or a rate five
    times higher, 3.8 kg/ha (Bayer AG, 1989a,b). Soil respiration was
    measured over 28 days after amendment with glucose (Bayer AG, 1989a),
    and incubation was at 20°C in the dark. The effects on nitrification
    were analysed by measuring ammonium, nitrite, and nitrate up to and
    including 28 days after application (Bayer AG, 1989b). Only slight,
    transient increases in nitrate were observed in the silt loam soil and
    decreases in the sandy loam soil. The soils had not been treated with
    pesticides for one to two years previously.

        Table 5.  Maximal concentrations of fenthion in environmental water, soil, sediment, and biota
                                                                                                                                              

    Sample           Location         Year     Period        Concentration     Comments                                   Reference
                                                                                                                                              

    Kenya

    Carabid          Kulalu           1985     April-May     23 µg/beetle      Application rate, 1.5-2.4 kg/ha;           Bruggers et al.
    beetle           Ranch                                                     mean in insects, 7.2 mg/kg                 (1989)

    Savannah         Kulalu           1985     April-May     38 mg/kg          Application rate, 1.5-2.4 kg/ha;
    grass            Ranch                                                     whether based on dry or wet                Bruggers et al. 
                                                                               weight not explicitly reported;            (1989)
                                                                               amount decreased to 1.9 and 1.1 mg/kg
                                                                               after 3 and 4 days, respectively

    Millet           Kulalu           1985     April-May     1.1 mg/kg         Application rate, 1.5--2.4 kg/ha;          Bruggers et al.
    seed             Ranch                                                     whether based on dry or wet weight         (1989)
                                                                               not explicitly reported; deliberate
                                                                               overspraying of artificial plot
    Netherlands

    Fresh            Large rivers     1992                   0.01-0.12         Measured in pumping station; fenthion      Van Meerendonk et al.
    surface          and lakes                               µg/litre          detected in 25% of freshwater locations    (1994)
    water                                                                      at a mean concentration of
                                                                               0.022 µg/litre

    Marine           North Sea,       1992                   0.01 µg/litre     Fenthion detected in 25% of freshwater     Van Meerendonk et al.
    surface          Waddensea                                                 locations at a mean concentration of       (1994)
    water                                                                      0.02 µg/litre
                                                                                                                                              

    Table 5.  (cont'd).
                                                                                                                                              

    Sample           Location         Year     Period        Concentration     Comments                                   Reference
                                                                                                                                              

    United States

    Salt-marsh       Indian River     1984     September     1.7 µg/litre      No fenthion detectable (< 0.01 µg/litre)   Wang et al.
    surface          County, Florida                                           within 24-48 h of aerial application       (1987)
    water                                                                      of 0.032 kg a.i./ha

    Salt-marsh       Indian River     1985     March         < 0.01            No explanation for low concentration;      Wang et al.
    surface          County, Florida                         µg/litre          deposition was confirmed, as up to 0.5     (1987)
    water                                                                      µg/litre was detected in dishes with
                                                                               an aqueous medium; application rate,
                                                                               0.032 kg a.i./ha

    Salt-marsh       Indian River     1985     June          0.16              No fenthion detectable (<0.01 µg/litre)    Wang et al.
    surface          County, Florida                         µg/litre          within 24-48 h of aerial application of    (1987)
    water                                                                      of 0.032 kg a.i./ha

    Polia larvae     Laramie,         1979     Summer        0.28 mg/kg        8 h after spraying in field experiment     Powell
    (bird feed)      Wyoming                                                   at an application rate of 52 g/ha; no      (1984)
                                                                               fenthion detected 30 h after treatment
                                                                                                                                              

    Table 6.  Acute toxicity of fenthion and two metabolites to aquatic organisms
                                                                                                                                              

    Sample                 Conditions  Compound   Water          Ph       Hardness (mg  Temperature  Length of   Result            Reference
                                                                          CaCO3/litre)  (°C)         experiment  (mg/litre)
                                                                                                     (days)
                                                                                                                                              

    Crustacean

    Daphnia magna,         Static      Technical  Reconstituted  8.0      10            20           2           EC50, 0.0057a,b   Bayer (1985a)
    first instar

    Fish

    Onchorhynchus mykiss,  Continuous  Technical  Well           8.0-8.1  225-275       12-13        4           LC50, 0.83b,c,d   ABC Inc.
    0.4 cm, 0.8 g                                                                                                                  (1986a)
    Lepomis macrochirus,   Continuous  Technical  Well           8.1-8.2  225-275       21           4           LC50, 1.7b,c      ABC Inc.
    5.4 cm, 1.9 g                                                                                                                  (1987)
    Onchorhynchus mykiss,  Static      Lebaycid   Tap            7.5-7.9  284           16           4           LC50, 2.3b,d      Bayer (1994c)
    5.5-6 cm, 1.5 g                               (adapted)
    Leuciscus idus,        Static      Lebaycid   Tap            7.2-7.9  284           21           4           LC50, 4.3b,d      Bayer (1994d)
    5.5 cm, 1.5 g                                 (adapted
    Onchorhynchus mykiss,  Static      Psx        Well           7.5-7.8  228           12           4           LC50, > 100       Bowmann &
    2.5-3 cm, 0.8 g                                                                                                                Assoc. (1989)
    Onchorhynchus mykiss,  Static      Psn        Well           7.5-7.8  228           12           4           LC50, > 100       Bowmann &
    2.5-3 cm, 0.8 g                                                                                                                Assoc. (1989)
    Lepomis macrochirus,   Static      Psx        Well           7.3-7.6  228           22           4           LC50, > 100       Bowmann &
    1.4-2 cm, 0.4-0.6 g                                                                                                            Assoc. (1989)
    Lepomis macrochirus,   Static      Psn        Well           72-7.9   228           22           4           LC50, > 100       Bowmann &
    1.4-2 cm, 0.4-0.6 g                                                                                                            Assoc. (1989)
                                                                                                                                              
    Psx, 3-methyl-4-methylsulfinyl-phenol; Psn, 3-methyl-4-methylsulfonyl-phenol
    a  Based on immobilization
    b  As phototransformation occurred, value is based on a mixture of fenthion residues
    c  Measured concentrations
    d  Actual concentration

    Table 7.  Long-term toxicity of fenthion to aquatic organisms
                                                                                                                                              

    Sample          Conditions  Compound    Water        Ph         Hardness (mg  Temperature   Length of   Result              Reference
                                                                    CaCO3/litre)  (°C)          experiment  (mg/litre)
                                                                                                (days)
                                                                                                                                              

    Green algae

    Scenedesmus     Static      Technical   Artificial   7.8-10.3   24            22-23         4           EC50, 550a,b        Bayer (1985a)
    subspicatus
    Scenedesmus     Static      Technical   Artificial   7.8-10.3   24            22-23         4           EC50, 1800a,c       Bayer (1985a)
    subspicatus
    Scenedesmus     Static      Technical   Artificial   7.8-10.3   24            22-23         4           NOEC, 100a,b        Bayer (1985a)
    subspicatus
    Scenedesmus     Static      Lebaycid    Artificial   7.7-10.5   24            22-23         4           EC50, 1500a,b       Bayer (1989c)
    subspicatus
    Scenedesmus     Static      Lebaycid    Artificial   7.7-10.5   24            22-23         4           EC50, > 2000a,c     Bayer (1989c)
    subspicatus
    Scenedesmus     Static      Lebaycid    Artificial   7.7-10.5   24            22-23         4           NOEC, 1120a,b       Bayer (1989c)
    subspicatus
    Selenastrum     Static      Baytex      Artificial   NR         1.5           24            4           EC50, 1100a,c,d,e   ABC Inc. (1986b)
    capricornutum
    Selenastrum     Static      Baytex      Artificial   NR         1.5           24            4           NOEC, 700a,c,d,e    ABC Inc. (1986b)
    capricornutum

    Crustaceans

    Daphnia magna,  Continuous  Lebaycid    Artificial   7.5-8.3    204           20            21          NOEC, 0.018d,e,f,g  TNO (1989)
    first instar
    Daphnia magna,  Continuous  Technical   Well         8.1-8.3    206-275       20            21          MATC,               Bayer (1985b)
    first instar                                                                                            0.042-0.082d,e,h
                                                                                                                                              

    Table 7.  (cont'd).
                                                                                                                                              

    Sample          Conditions  Compound    Water        Ph         Hardness (mg  Temperature   Length of   Result              Reference
                                                                    CaCO3/litre)  (°C)          experiment  (mg/litre)
                                                                                                (days)
                                                                                                                                              

    Fish

    Oncorhynchus    Continuous  Technical   Well         6.6-7.8    29-30         12            88          MATC, 13-27d,e,i    SLS Inc. (1988)
    mykiss
                                                                                                                                              

    NR, not reported
    a   As phototransformation occurred, the value is for a mixture of fenthion residues
    b   For decrease in biomass
    c   For inhibition of growth rate
    d   Measured concentration
    e   Actual concentration
    f   All concentrations below the detection limit of 0.1 µg/litre
    g   For reproduction
    h   For mortality, growth, and reproduction
    i   For embryo viability, embryo survival at hatch, survival, and growth of larvae
        6.1.2  Aquatic organisms

    (a)  Plants

         Stimulation but no decrease in biomass was observed in an
    experiment in which duckweed  (Lemna gibba) was exposed in an
    artificial medium to the formulation Baytex at measured concentrations
    up to 2.8 mg/litre for 14 days at 25°C (Malcolm Pirie, 1987). The
    stimulation may be related to hormesis.

    (b)  Invertebrates

         Technical-grade fenthion is highly toxic to the crustacean
     Daphnia magna, with a two-day EC50 value of 5.7 µg/litre and a
    21-day maximal acceptable toxicant concentration (MATC) of 0.042-0.082
    µg/litre. The formulation Lebaycid is also highly toxic to this
    species, with a 21 -day NOEC value of 0.018 µg/litre. Static and
    chronic treatment of other invertebrate species provide more variable
    results, with two- to four-day L(E)C50 values of 0.62-1800 µg/litre
    for various freshwater molluscs, insects, and crustaceans, 17- to
    32-week NOEC values of 1000-2000 µg/litre for the freshwater mollusc
     Lymnea stagnalis, one- to four-day L(E)C50 values of 0.02-550
    µg/litre for saltwater molluscs, insects, and crustaceans, and 8- to
    20-day NOEC values of 0.037-0079 µg/litre for the saltwater crustacean
     Mysidopsis bahia (e.g. Seugé & Bluzat, 1980; Mayer, 1986; Mayer &
    Ellersieck, 1986; McKenney, 1986). These tests were performed with
    technical- or analytical-grade fenthion.

    (c)  Vertebrates

         The acute and long-term toxicity of technical-grade fenthion, the
    metabolites 3-methyl-4-methylsulfinyl-phenol and 3-methyl-4-methyl-
    sulfonyl-phenol, and a formulation of fenthion to aquatic vertebrates
    is summarized in Tables 6 and 7. Technical-grade fenthion is
    moderately to highly toxic to freshwater fish, with four-day LC50
    values of 0.83-1.7 mg/litre and an 88-day MATC value of 13-27
    µg/litre. The formulation Lebaycid is toxic, with four-day LC50
    values of 2.3-4.3 mg/litre. The metabolites 3-methyl-4-methyl-
    sulfinyl-phenol and 3-methylsulfonyl-phenol are very slightly toxic to
    freshwater fish, with four-day LC50 values exceeding 100 mg/litre.
    Other tests show moderate to high toxicity of technical-grade fenthion
    (e.g. Korn & Earnest, 1974; Mayer & Ellersieck, 1986; WHO, 1986
    [original references not checked], with two- to four-day LC50 values
    of 1-3.4 mg/litre for freshwater fish and 0.45-2.5 mg/litre for
    saltwater fish.

         Fenthion is highly toxic for amphibians: Khangarot  et al.
    (1985) reported a four-day LC50 value of 0.84 µg/litre for the frog
     Rana hexadactyla with a length of 20 mm.

         Many sublethal effects have been observed in fish after exposure
    to a wide range of concentrations, including bottom disorientation,
    loss of equilibrium, discolouration, rapid respiration, bloated
    stomach, gulping of air, quiescence, surfacing, and irregular swimming
    behaviour (ABC Inc., 1986; SLS Inc., 1988; Bayer AG, 1994c,d).

    6.1.3  Terrestrial organisms

    (a)  Plants

         No data were available.

    (b)  Invertebrates

         Technical-grade fenthion is obviously toxic to various
    terrestrial insects. Few studies have addressed other terrestrial
    invertebrates.

         Fenthion appears to be toxic to honey bees  (Apis mellifera),
    with contact LD50 values of 0.16-< 2 µg/bee (Bayer AG, 1995
    [original references not checked]). No data were available on the
    toxicity of fenthion for honey bees after oral exposure, but it would
    be expected to be toxic. It is also toxic for predators of pests such
    as wasps, mites, hoverflies, and green lacewings tested at moderately
    high temperatures (22-27°C during the day and night and 16-18°C at
    night).

         Fenthion is highly toxic to a microhymenopterous wasp,
     Trichogramma caoeciae, that parasitizes the eggs of the parasite
     Sitrotroga cereallella (Conrad Appel GmbH, 1989). In one experiment,
    larvae were exposed to Lebaycid sprayed onto glass plates at a rate of
    16 kg/ha as fenthion. All of the larvae died within 24 h. In a second
    experiment, host eggs containing pupae did not hatch after they had
    been dipped in an aqueous solution of 0.1% Lebaycid.

         Fenthion is also highly toxic to the predating mite  Phytoseiulus
     persimilis Athias-Henriot (von Kniehase & Zoebelein, 1990). Male and
    female mites were placed on the leaves of kidney beans  (Phaseolus
     vulgaris) to produce a small population, and five days later the
    leaves were dipped into a solution of 0.075% Lebaycid EC 500 at the
    highest recommended application rate. All mites were killed within
    seven days. Treatment with 0.015% Lebaycid EC 500 did not kill all of
    the mites.

         All early-instar larvae of the aphid predating hover fly
     (Episyrphus balteatus) died within 24 h after spraying of Lebaycid
    500 EC on glass plates at a rate of 0.77 kg/ha as fenthion (University
    of Southampton, 1992).

         Fenthion was highly toxic to the larvae of the green lacewing
     (Chrysoperla carnea) exposed by contact to Lebaycid at 12 kg/ha as
    fenthion in a light-dark cycle for three to five days (GAB Biotech-
    nologie, GmbH, 1991). The rate of mortality was 100% of larvae and
    unhatched imagos and only 7% of controls.

         Artificial soil contaminated with Lebaycid 50EC was slightly
    toxic to earthworms  (Eisenia andrei) (Bayer AG, 1989d), with a
    14-day LC50 of 723 mg/kg soil dry weight and a dose-related weight
    loss. The 14-day NOEC was thus 100 mg/kg dry weight of soil. As the
    vessel containing the worms was lit continuously, some photo-
    degradation may have occurred.

    (c)  Vertebrates

         The acute and subacute toxicity of fenthion to birds is
    summarized in Table 8.

         Technical-grade fenthion is moderately toxic or toxic to birds,
    with an LD50 value of 7.2 mg/kg bw and an eight-day LC50 value of
    60-1259 mg/kg feed. Five- to 10-day LC50 values of 25-231 mg/kg feed
    were reported for the mallard duck  (Anas platyrhynchos), the
    bobwhite quail  (Colinus virginianus), the Japanese quail  (Coturnix
     japonica), and the domestic chicken  (Gallus domestica) (Hill
     et al., 1975; Royal Society of Chemistry, 1995). Fenthion appears to
    be toxic after dermal application in several bird species, with LD50
    values of 1.8 mg/kg bw for the weaver bird  (Quelea quelea) and
    2.4 mg/kg bw for the house sparrow  (Passer domesticus) (Schafer
     et al., 1973).

         The sublethal effects observed in birds treated with fenthion
    experimentally are wing drop, ataxia, salivation, reduced body weight,
    tremors, convulsions, diarrhoea, and laboured breathing (Grue, 1982;
    Mobay Corp., 1987c,d,e). Necropsy of poisoned birds showed fluid-
    filled crops and intestines, mottled spleens (possible due to organ
    hypostasis), and oily fluid in crops or gastrointestinal tract,
    indicating incomplete absorption of fenthion. Common grackles
     (Quiscalus quiscula) found dead after five days' exposure to fenthion
    had lost 28-36% of their initial weight, and muscle tissue on the
    breastbone and observable fat had decreased substantially (Grue,
    1982). The reduced body weights were due to treatment-related
    reductions in feed consumption, perhaps indicating that fenthion is a
    repellent, probably because of its strong mercaptan odour. The
    estimated daily intake remained constant and was thus independent of
    the concentrations tested.

        Table 8.  Acute and subacute toxicity of technical-grade fenthion given to birds for eight days
                                                                                                                                              

    Species                                  Sex              Age          Route      Result                      Reference
                                                                                                                                              

    Mallard duck (Anas platyrhynchos)        Not reported     9 days       Diet       LC50, 1259 mg/kg feed       Mobay Corp. (1987c)
    Bobwhite quail (Colinus virginianus)     Not reported     10 days      Diet       LC50, 60 mg/kg feed         Mobay Corp. (1987d)
    Bobwhite quail (Colinus virginianus)     Male, female     18 weeks     Oral       LD50, 7.2 mg/kg bw          Mobay Corp. (1987e)
    Common grackle (Quiscalus quiscula)      Male, female     Adult        Diet       LC50, 57 mg/kg feeda        Grue (1982)
    Common grackle (Quiscalus quiscula)      Male, female     Adult        Diet       LC50, < 30 mg/kg feedb      Grue (1982)
                                                                                                                                              

    a  Birds caged outdoors 20-27 July 1978
    b  Birds caged outdoors 14-21 August 1978
             A decrease in cholinesterase activity in the brain and plasma is
    an important physiological characteristic of avian poisoning by
    fenthion. Common grackles that had been fed fenthion at rates of
    25-400 mg/kg feed showed a significant, 80% depression in brain
    cholinesterase activity. All birds had died before enzyme analysis
    (Grue, 1982).

         Fenthion appears to be less acutely toxic to terrestrial mammals
    than to birds. Kenaga (1979) reported an LD50 range of 255-298 mg/kg
    bw for the rat  (Rattus norvegicus), indicating moderate toxicity.
    FAO/WHO (1973) reported a three-month LOEC value of 0.25 mg/kg diet
    based on growth reduction. The highest dietary levels that caused no
    toxicological effect were estimated to be 3 mg/kg feed for rats and
    2 mg/kg feed for dogs.

    6.2  Field observations

    6.2.1  Microorganisms

    (a)  Water

         A single application of fenthion at a rate of 0.22 kg/ha did not
    affect phytoplankton in small artificial outdoor ponds with natural
    surface water and sediment in experiments performed in Florida (USA)
    in 1962-63 (Patterson & von Windeguth, 1964).

    (b)  Soil

         No data were available.

    6.2.2  Aquatic organisms

    (a)  Plants

         No data were available.

    (b)  Invertebrates

         The populations of crustaceans and chironomids disappeared within
    one week after application of fenthion to small artificial outdoor
    ponds with natural surface water and sediment at a rate of 0.22 kg/ha
    in experiments performed in Florida in 1962-63 (Patterson & von
    Windeguth, 1964). The period required for complete recovery of the
    numbers of water fleas and midge larvae was four to five months during
    a cold winter period and two months in the absence of a cold period.
    There were substantially more oligochaetes in treated than in
    untreated ponds. Other aquatic invertebrates such as snails,
    ostracods, copepods, and  Hydra appeared to be unaffected by the
    treatment.

    (c)  Vertebrates

         Application of fenthion to small artificial and outdoor ponds at
    a rate of 0.22 kg/ha did not appear to affect fish or tadpoles
    (Patterson & von Windeguth, 1964).

    6.2.3  Terrestrial organisms

    (a)  Plants

         No data were available

    (b)  Invertebrates

         As fenthion is highly toxic to insects in the laboratory, it can
    be expected to be so in the field under certain conditions. Its
    toxicity is linked mainly to the extent of exposure. In field
    experiments in Assiut (Egypt) between June and August at the end of
    the 1960s, the formulation Lebaycid, sprayed at a rate of 2.9 kg/ha
    (as fenthion) four times at intervals of 15 days with back-pack
    spraying equipment, was shown to be toxic to two pest predatory
    coccinellids  (Coccinella undecimpunctata and  Scymnus interruptus)
    in cotton (von Afify  et al., 1970). Although the formulation was
    generally toxic to imago beetles, there was substantial temporal and
    spatial variation. The mortality of  Coccinella was 58-79% (percentages
    corrected for mortality in controls) within three, days of application
    and 61-96% within 10 days of application. The mortality of  Scymnus
    was 55-83% within three days and 28-80% within 10 days. These figures
    show partial recovery, at least of  Scymnus; Coccinella may be more
    susceptible, or  Scymnus may recolonize and re-emerge. There was no
    clear indication of increasing adverse effects in either species.

         Field experiments in Los Baños (Philippines) in 1979-80 showed no
    substantial adverse effects of fenthion on predators of the brown
    planthopper  (Nilaparvata lugens), a common rice pest in South and
    Southeast Asia (Reissig  et al., 1982). In these experiments,
    fenthion was applied three times to plots of lowland rice at a rate of
    0.75 kg/ha per treatment. Both planthoppers and their predators were
    sampled one day before and two days after the treatments; the
    predators sampled were the spiders  Lycosa pseudoannulata, Tetragnatha
    sp., and  Araneus sp. and the hemipterous  Microvelia atrolineata
    and  Cyrtorhinus lividipennis. The numbers of neither the
    planthoppers nor their predators were significantly altered by the
    treatments.

         Field experiments in Egypt in 1965-66 showed that adverse effects
    on pest predatory species may be present and absent in the same area
    (Kira  et al., 1972). Some predators of borers and aphids in corn
     (Zea mays) appeared to increase in number after treatment of crops
    with fenthion at a rate of 1.2 kg/ha per treatment, while some
    decreased.

         The mortality of honey  (Apis mellifera) and alkali bees  (Nomia
     melanderi Cockerell) in outdoor cages, caused by the introduction of
    alfalfa leaves sprayed with fenthion as an ultra-low volume liquid
    with a hand-sprayer at a rate of 0.9 kg/ha, was decreased by 75% when
    the contaminated leaves were brought into the cages 2 h after
    application of fenthion instead of immediately afterwards (Johansen
     et al., 1983), indicating that fenthion can be applied with minimal
    hazard to bees that are not foraging.

    (c)  Vertebrates

         Various incidents of poisoning of birds with fenthion have been
    reported. It is generally assumed that a depression in brain
    cholinesterase activity > 50% indicates severe exposure to fenthion
    (e.g. Henny  et al., 1987). In a field experiment in Kenya,
    cholinesterase activity < 20 µmol/min per g was considered to
    indicate exposure to fenthion and activities < 10 µmol/min per g to
    indicate severe sickness or death (Bruggers  et al., 1989).

         On a wet meadow of 1.8 km2 in a field experiment in Wyoming
    (USA) in 1978, 99 birds and 15 mammals were found dead or sick within
    16 days after aerial treatment with fenthion at a rate of 47 g/ha
    (DeWeese  et al., 1983). As mortality is correlated with signifi-
    cantly depressed brain cholinesterase activity in three common bird
    species, it was assumed that the mortality and sickness were
    treatment-related. A lower mortality rate seen on a comparable trial
    site may have been due to factors such as different wind speeds and
    overlap of spray swathes. The route of fenthion that induced poisoning
    was unclear.

         The maximal fenthion residues in dead American kestrels  (Falco
     sparverius) were correlated with cholinesterase activity depressions
    of 78-92% in brain and 97% in plasma (Hunt  et al., 1991). Within
    three days after treatment of sparrow perches with fenthion, all of
    the kestrels were dead. As the kestrels tended to hide in bushes as
    paralysis advanced, the numbers of contaminated birds may have been
    underestimated. The time for a kestrel to catch a sparrow was
    positively correlated with the extent of cholinesterase depression in
    the kestrel's brain. This indicates that a kestrel exposed to more
    potent fenthion residues will have greater cholinesterase depression
    or that kestrels with greater cholinesterase depression are less
    capable of catching sparrows. There are indications that the more
    fenthion sparrows are exposed to, the more sensitive they are to
    kestrel predation (Hunt, 1990, cited by Kendall & Akerman, 1992).

         Two of four flood-irrigated hay meadows were sprayed with the
    formulation Baytex at 52 g/ha (as fenthion) in order to investigate
    the effects on the reproduction of red-winged blackbirds  (Anglaius
     phoeniceus) in an experiment in Wyoming (USA) in June-July 1979
    (Powell, 1984). In one of the treated fields, the growth rate of

    nestlings was significantly decreased by 15%; however, the biological
    interpretation of this effect is difficult, as cholinesterase activity
    was not reduced. It appears to be a transient effect, since the
    surviving nestlings recovered from the growth reduction. No
    significant treatment-related effects on hatching, on fledgling
    survival, or on foraging behaviour of adult blackbirds for nestling
    care were observed. The latter parameter, investigated by counting the
    number of trips per hour and their duration and distance, was
    remarkably stable, as the abundance of the main feed type, the
    caterpillar-like larva  Polia, had been reduced by about 50% within
    one to two days after the treatment.

         The effect of fenthion on non-target birds was studied after
    aerial application against the red-billed weaver bird  (Quelea
     quelea), a grain pest in Africa (Bruggers  et al., 1989). In these
    experiments, conducted in April-May 1985, two quelea colonies in a
    savannah (Kulalu Ranch, Kenya) of low thornbush were sprayed at a rate
    of 1.5-2.4 kg/ha. The brain cholinesterase activities that were
    measured in 19 potentially exposed non-target bird species varied
    substantially. Raptorial birds that were captured in or around the
    quelea colonies, which had been radioequipped and were tracked up to
    14 days after the treatment, were apparently not killed by the
    treatment, but 70% had substantially depressed cholinesterase activity
    in blood plasma, indicating actual exposure. Most raptorial birds were
    assumed by the authors to have been exposed to fenthion by ingesting
    contaminated quelea birds within one day after treatment. As no dead
    radioequipped raptorial birds were recaptured, it may cautiously be
    concluded that the risk of dying through secondary poisoning was
    limited; however, the biological consequences for raptorial birds of
    depressed cholinesterase activities with respect to other end-points
    such as growth and reproduction are unclear.

         The effects of fenthion on granivorous birds were also studied:
    galliform species  (Coturnix delegorguei, Gallus gallus, Pterocles
     decoratus) and laughing doves  (Streptopelia senegalensis) in cages
    that were placed 100, 200, 300, and 400 m downwind of the treated
    quelea colonies showed no mortality or signs of intoxication during an
    observation period of five to seven days.

         An additional experiment showed that the possibility of secondary
    poisoning from scavenged contaminated carcasses cannot be excluded.
    During the first night after the treatment, 24-90% of intentionally,
    placed corpses were removed by scavengers such as jackals  (Canis
     mesomelas), bat-eared foxes  (Otocyon megalotis), and baboons
     (Papio cyanocephalus). This high rate of scavenging substantially
    reduced the numbers of poisoned dead animals that could be collected,
    resulting in an underestimation of the actual risks for non-target
    birds.

    7.  Evaluation of effects on the environment

         Fenthion is a systemic organophosphorus pesticide used for both
    agricultural and nonagricultural purposes. Its major use is in the
    control of insect pests (at an application rate of 1.25 kg a.i./ha),
    but it is also used as a veterinary product to control external
    parasites on domestic animals and to control birds (at an application
    rate of 2.4 kg a.i./ha). Sprays for bird control are composed of a
    formulation that is not available commercially and are used only under
    governmental control. The pesticide is usually formulated as an
    emulsifiable concentrate and is applied by ground spraying (80-85%) or
    from the air (15-20%). It is also formulated as granules and as a
    paste for control of urban birds. It can enter the environment beyond
    the intended zone of treatment by spray drift, as residues on
    potential food items such as birds, and, presumably, by loss of
    surface residues from domestic animals.

         Fenthion that enters the environment is adsorbed rapidly and
    strongly on soil and sediment by a poorly understood mechanism. The
    compound can be considered to be immobile in soil, and the parent
    compound is unlikely to leach below the to firstfew centimetres of the
    soil profile.

         While photodegradation occurs under laboratory conditions, it is
    not considered to be a significant route of breakdown in the field.
    Hydrolysis occurs slowly and is dependent on pH; the half-lives of
    fenthion in sterile buffers range from 30 to 60 days, with slower
    degradation at low pH. Fenthion is degraded by microorganisms in
    laboratory soil, with a half-life of 10 days; field degradation is
    slower, about half of the compound being degraded to carbon dioxide
    within six months in temperate climates. Generally, breakdown is
    slower in water-sediment systems than in soil. Fenthion has been
    measured in surface waters in untreated areas at concentrations up to
    0.12 µg/litre. As the properties of fenthion would not result in its
    entering the aquatic environment by leaching or run-off, there is no
    satisfactory explanation for the aquatic residues found. It does not
    bioaccumulate to a significant extent, despite its high solubility in
    fat, since its metabolism and depuration in organisms are rapid.

         Because fenthion is broken down rapidly in the environment, its
    acute toxicity is relevant. Most species are not exposed chronically,
    and its binding to soil and sediment particles would be expected to
    reduce its bioavailability. Fenthion and formulations are toxic to
    highly toxic to microorganisms, with four-day EC50 values of 550 and
    1100 µg/litre. No data were available on its acute toxicity to algae,
    but it is of low toxicity after long-term exposure. Screening tests
    have indicated no phytotoxicity. Its acute and long-term toxicity to
    crustaceans is high, with an EC50 value of 5.7 µg/litre and an NOEC
    value of 0.018 µg/litre. Fenthion is very toxic to fish, with an

    LD50 of 830 µg/litre and an MATC of 20 µg/litre. One study showed
    toxicity to larvae at 0.84 µg/litre. Fenthion is moderately toxic to
    birds, with an LD50 value of 7.2. µg/kg bw and a five-day LC50
    value of 60 µg/kg feed. It is also toxic to honey bees, with a contact
    LD50 of 0.16 µg per bee, and is slightly toxic to earthworms, with a
    1-h LC50 of 723 µg/kg dry weight.

    7.1  Risk assessment

         Exposure concentrations have been derived from the results of
    monitoring programs or field experiments simulating common agricul-
    tural practice and from a simple calculation after spraying. The model
    used for calculating the predicted environmental concentration (PEC)
    is similar to that used currently by the US Environmental Protection
    Agency, the Pesticides Safety Directorate in the United Kingdom, and
    the Uniform System for the Evaluation of Substances in the
    Netherlands. The method is presented in Figure 2. The data used in the
    calculation are those from a two-year monitoring programme in 15
    freshwater locations in the Netherlands where fenthion was detected;
    however, the sources of these emissions are not clear. No other data,
    such as concentrations in surface water, were available. The results
    used in the hazard evaluation are those of field experiments of aerial
    application of fenthion for mosquito control. No data were available
    from field experiments on concentrations in surface water or residues
    in sediment.

         The concentrations resulting from long-term exposure are assumed
    to result from dissipation in accordance with first-order kinetics:

    (a)  monitoring programme in salt-marsh (see Table 9)

    FIGURE

    FIGURE

    (b)  spraying (see Table 10)

    FIGURE


         The following data are used in the calculations for situations
    (a) and (b):

    -    water depth, 0.3 m

    -    'worst-case' application rate on ornamental plants, three times 1
         kg a.i./ha at seven-day interval, taking into account half-life
         of seven days: 1.75 kg a.i./ha

    -    emission factor, 0.05 spray drift at 1 m

    -    tests periods of four days for algae, 21 days for crustaceans,
         and 88 days for fish.

    The half-life used is the longest value reported (see Table 3), which
    can be considered a realistic 'worst-case' value. The lowest L(E)C50,
    and NOEC values for algae, crustaceans, and fish were taken from
    Tables 6 and 7.

         It should be noted that limited information is available on
    concentrations in the environment and toxicity. Only the water
    compartment and a few species living in open water have been included.
    Data on the toxicity of transformation products for aquatic organisms
    were available only for 3-methyl-4-methylsulfinyl-phenol and
    3-methylsulfonyl-phenol. The exposure concentrations are calculated
    for the times equal to the duration of an experiment; e.g. the 21-day
    NOEC for water fleas must be compared with the PEC21 days, calculated
    as described above.

         Table 9 gives a comparison of the estimated mean and maximal
    exposure concentrations in the field with the lowest reported
    L(E)C50 and NOEC values for acute and long-term exposure of
    organisms in open water. The ratio between exposure and effect
    concentration (TER) has been calculated. The Table is meant to serve
    as a guide to classifying risk in the field and is not intended for
    use in estimating the degree of effect likely to be seen. The
    classification 'possible risk' is a simple one based on different
    classification phrases for order-of-magnitude segments of the ratios.

         Table 9 shows that crustaceans are at possible risk after either
    acute or long-term exposure, but fish and algae appear not to be
    affected. The few field observations available confirm the risk for
    crustaceans (see above), but they are not altogether reliable, as some
    relevant test conditions (e.g. physicochemical characteristics of the
    water, temperature, actual concentrations of fenthion) are
    incompletely described.

         Table 10 gives a summary of results obtained for the example of
    spraying ornamental plants. Crustaceans are again the organisms at
    risk after either acute or long-term exposure. Algae are not affected,
    and the effect on fish can be considered low.

         It should be noted on the one hand that the risk classifications
    shown in Tables 9 and 10 are for realistic 'worst-case' conditions:
    the lowest reported values for toxicity were included; the slowest
    reported dissipation rate was used; the concentrations used to
    estimate mean exposure are only those from sites where fenthion was
    actually detected; and the maximal estimated exposure concentration is
    that used in aerial application for mosquito control. On the other
    hand, only four groups of aquatic organisms are considered (e.g. no
    sediment-dwelling organisms were included), adjuvants and transform-
    ation products were not taken in to account, and the risks are not
    relevant for water temperatures exceeding 22°C.

        Table 9.  Indications of environmental risk for aquatic organisms due to technical-grade fenthion
                                                                                                                                              

    Effect        Organism        Estimated exposure   Toxicity          End-point              Toxicity:     Risk
                                  concentration        (µg/litre)                               exposure      classification
                                  (µg/litre)                                                    ratio
                                                                                                                                              

    Mean estimated exposure concentration (monitoring programme)
    Acute         Crustaceans     0.020                EC50 = 5.7        Immobilization         285           Negligible
    Acute         Fish            0.020                LC50 = 830        Mortality              > 1000        Negligible
    Acute         Amphibia        0.020                LC50 = 0.84       Mortality              42            Low
    Chronic       Algae           0.017                EC50 = 550        Biomass decrease       > 1000        Negligible
    Chronic       Crustaceans     0.0084               NOEC = 0.018      Reproduction           2.1           Present
    Chronic       Fish            0.0023               MATC = 20a        Reproduction           > 1000        Negligible

    Maximum estimated exposure concentration (salt-marsh)
    Acute         Crustaceans     1.7                  EC50 = 5.7        Immobilization         3.4           Present
    Acute         Fish            1.7                  LC50 = 830        Mortality              488           Negligible
    Acute         Amphibia        1.7                  LC50 = 0.84       Mortality              0.5           High
    Chronic       Algae           1.4                  EC50 = 550        Biomass decrease       393           Negligible
    Chronic       Crustaceans     0.71                 NOEC = 0.018      Reproduction           0.03          Very high
    Chronic       Fish            0.2                  MATC = 20a        Reproduction           100           Negligible
                                                                                                                                              

    a  Mean of 13 and 27 µg/litre (see Table 7)

    Table 10.  Risk assessment for highest recommended rate of agricultural application based on
               predicted environmental concentration
                                                                                                                                              

    Effect        Organism        Preicted             Toxicity          End-point              Toxicity:     Risk
                                  environmental        (µg/litre)                               exposure      classification
                                  concentration                                                 ratio
                                  (µg/litre)
                                                                                                                                              

    Acute         Crustaceans     29                   EC50 = 5.7        Immobilization         0.2           High
    Acute         Fish            29                   LC50 = 830        Mortality              28.6          Negligible
    Acute         Amphibia        29                   LC50 = 0.84       Mortality              0.03          Very high
    Chronic       Algae           23.9                 EC50 = 550        Biomass decrease       23.0          Negligible
    Chronic       Crustaceans     12.2                 NOEC = 0.018      Reproduction           0.0015        Very high
    Chronic       Fish            3.3                  MATC = 20         Reproduction           6.1           Present
                                                                                                                                              
             Fenthion kills some beneficial insect predators, although the
    results are variable; less effect was seen in the field than in the
    laboratory. It is considered not to be hazardous to earthworms at
    recommended rates of application. The risk to honey bees is considered
    to be negligible provided they are not foraging. Fenthion is highly
    acutely toxic to birds and is used as an avicide at high application
    rates. Risk was assessed for both avicidal and general agricultural
    use.

    7.2  Use as an avicide

         A single report has been made of secondary poisoning of a bird of
    prey after ingestion of poisoned house sparrows. The dietary LC50
    for the bobwhite quail is 60 mg/kg diet. On the basis of comparative
    figures for body weight and food consumption, the LC50 values for
    predatory birds that eat avian prey can be estimated from the
    following equations to be 267 mg/kg diet for the European kestrel and
    282 mg/kg diet for the sparrowhawk:

    [Test species] LD50         [Test species] LD50 (mg/kg diet) × bw (kg)
    (mg/kg per day) =                                                   
                                            Food consumption (kg)

    LC50 (mg/kg dry weight      [Test species] LD50 (mg/kg diet) × bw (kg)
    diet per day) =                                                     
                                           Food consumption (kg)

    The total daily intake that leads to death is 4.2 and 4.8 mg for the
    two species, respectively. The residue concentrations reported in
    house sparrows poisoned by fenthion used as an avicide were 6 µg/g in
    carcass, 631 µg/g in feathers and skin, and 1152 µg/g in feet; the
    total fenthion content of the carcass would be 166 µg on the basis of
    a body weight of 27.7 g. Ingestion of the carcass of a sparrow should
    not therefore result in a lethal dose, but ingestion of residues on
    feathers and feet during plucking of the prey could result in a lethal
    intake. A range of bird species may therefore have comparable
    sensitivity to fenthion, and it can be assumed that any bird-eating
    raptor would be killed by eating contaminated prey.

    7.3  Agricultural use

         Use of the vertebrate scheme of the European and Mediterranean
    Plant Protection Organisation/Council of Europe and the highest
    recommended agricultural application rate of 1.25 kg/ha gave predicted
    environmental concentrations of 140 mg/kg for grass, 3.4 mg/kg for
    insects, and 3.4 mg/kg for grains. The LC50 and TER values for

    various bird species that use these items as food were estimated on
    the basis of the data on toxicity for the bobwhite quail and are shown
    in Table 11, which shows that use of fenthion at the highest
    recommended application rate would be likely to cause deaths among
    birds. The most susceptible species are those with a low body weight
    that feed on vegetation.

        Table 11.  Toxicity:exposure ratios for birds after application of fenthion at 1.25 kg/ha
                                                                                                                                              

    Species                                    Estimated LC50    Predicted environmental    Toxicity:exposure    Risk
                                               (mg/kg diet)      concentration (mg/kg)      ratio                classification
                                                                                                                                              

    Common quail (Coturnix coturnix)           211               140                        1.5                  Present
    Greylag goose (Anser anser)                658               140                        4.7                  Present
    Wren (Troglodytes troglodytes)             46                3.4                        13.5                 Low
    Jackdaw (Corvus monedula)                  285               3.4                        84                   Low
    Reed bunting (Emberiza shoeniclus)         73                3.4                        21.5                 Low
    Red-legged partridge (Alectroris nifa)     355               3.4                        104                  Very low
                                                                                                                                              
        References

    ABC Inc. (1986a) Acute flow-through toxicity of Baytex to rainbow
         trout. Unpublished report No. 35313 by Analytical Biochemistry
         Laboratories Inc., Columbia, Missouri, USA. Submitted to WHO by
         Bayer AG.

    ABC Inc. (1986b) Acute toxicity of Baytex to  Selenastrum
          capricornutum. Unpublished report No. 35314 by Analytical
         Biochemistry Laboratories Inc., Columbia, Missouri, USA.
         Submitted to WHO by Bayer AG.

    ABC Inc. (1987) Acute flow-through toxicity of Baytex to bluegill
         sunfish  (Lepomis macrochirus). Unpublished report No. 35597 by
         Analytical Biochemistry Laboratories Inc., Columbia, Missouri,
         USA. Submitted to WHO by Bayer AG.

    ABC Inc. (1988) Soil adsorption/desorption with 14C-Baytex (Project
         No. 36998). Unpublished report No. 98450 by Analytical
         Biochemistry Laboratories Inc., Columbia, Missouri, USA Submitted
         to WHO by Bayer AG.

    von Afify, A.M., Farghaly, H.T., & Hassanein, M.H. (1970) Freiland-
         Untersuchungen über die Wirkung verschiedener Insektizide auf das
         Vorkommen von zwei entomophagen  Coccinelliden an Baumwolle in
         Oberägypten.  Schaedlungskd Pflanzensch. Umweltsch., 43, 8-13.

    Bayer AG (1974) Verhalten des Pflanzenschutzmittelwirkstoffes im
         Boden. Unpublished report No. RR5000/74 from Bayer AG
         Pflanzenschutz Anwendungstechnik, Biologische Forschung,
         Leverkusen, Germany. Submitted to WHO by Bayer AG.

    Bayer AG (1983a) Note on hydrolytic stability of fenthion. Unpublished
         report submitted to WHO by Bayer AG.

    Bayer AG (1983b) Note on photolytic stability of fenthion. Unpublished
         report submitted to WHO by Bayer AG).

    Bayer AG (1985a) Growth inhibition of green algae  (Scenedesmus
          subspicatus) by fenthion (technical). Unpublished report
         No. 89082 from Bayer Institute of Environmental Biology,
         Leverkusen, Germany. Submitted to WHO by Bayer AG.

    Bayer AG (1985b) Acute toxicity of fenthion (technical) to water
         fleas. Unpublished report No. HBF/Dm 52 from Bayer Institute of
         Environmental Biology, Leverkusen, Germany. Submitted to WHO by
         Bayer AG.

    Bayer AG (1988a) Degradation of fenthion ((R)Baytex) in the system
         water/sediment (Project No. M 151 0186-2). Unpublished report
         No. 3026 from Bayer AG Geschäftsbereich Pflanzenschutz, Institut
         für Metabolismusforschung, Leverkusen, Germany. Submitted to WHO
         by Bayer AG.

    Bayer AG (1988b) Degradation of crop protectants under anaerobic
         conditions in the system water/sediment: fenthion (Project
         No. 1520194-2). Unpublished report No. PF-3028 from
         Bayer AG Geschäftsbereich Pflanzenschutz, Institut für
         Metabolismusforschung, Leverkusen, Germany. Submitted to WHO by
         Bayer AG.

    Bayer AG (1988c) Method of estimating the direct photodegradation of
         organic compounds in water under environmental conditions.
         Unpublished report No. 2974 from Bayer AG Geschäftsbereich
         Pflanzenschutz, Institut für Metabolismusforschung, Leverkusen,
         Germany. Submitted to WHO by Bayer AG.

    Bayer AG (1989a) Influence of the commercial product (R)Lebaycid on
         soil respiration after amendment with glucose (Study No. E 330
         0279-4). Unpublished report No. AJO/71589 from Bayer Crop
         Protection Research, Chemical Product Development, Institute for
         Environmental Biology, Leverkusen, Germany. Submitted to WHO by
         Bayer AG.

    Bayer AG (1989b) Influence of the commercial product (R)Lebaycid on
         nitrification in soils (Study No. E 331 0278-4). Unpublished
         report No. BSI/71689 from Bayer Crop Protection Research,
         Chemical Product Development, Institute for Environmental
         Biology, Leverkusen, Germany. Submitted to WHO by Bayer AG.

    Bayer AG (1989c) Growth inhibition of green algae  (Scenedesmus
          subspicatus) by (R)Lebaycid EC 50 (Study No. E 323 0280-8).
         Unpublished report No. HBF/A1 68 from Bayer Crop Protection
         Research, Chemical Product Development, Institute for
         Environmental Biology, Leverkusen, Germany. Submitted to WHO by
         Bayer AG.

    Bayer AG (1989d) Toxicity of (R)Lebaycid to earthworms (Study
         No. E 310 0293-8). Unpublished report No. HBF/Rg 105 from Bayer
         Crop Protection Research, Chemical Product Development, Institute
         for Environmental Biology, Leverkusen, Germany. Submitted to WHO
         by Bayer AG.

    Bayer AG (1994a) Calculation of the chemical lifetime of fenthion in
         the troposphere. Unpublished report No. HPO-114 from Bayer Crop
         Protection Research, Chemical Product Development, Institute for
         Environmental Biology, Leverkusen, Germany. Submitted to WHO by
         Bayer AG.

    Bayer AG (1994b) Studies on the ecological behaviour of Lebaycid N.
         Unpublished report from Bayer AG, Institute for Environmental
         Analysis and Assessments, Leverkusen, Germany. Submitted to WHO
         by Bayer AG).

    Bayer AG (1994c) Lebaycid 500 EC-acute toxicity (96 hours) to rainbow
         trout in a static test. Unpublished revised study report No. DOM
         94003 from Bayer Crop Protection Development, Institute for
         Environmental Biology, Leverkusen, Germany. Submitted to WHO by
         Bayer AG.

    Bayer AG (1994d) Lebaycid 500 EC-acute toxicity (96 hours) to golden
         orfe in a static test. Unpublished revised study report No. DOM
         94002 from Bayer Crop Protection Development, Institute for
         Environmental Biology, Leverkusen, Germany. Submitted to WHO by
         Bayer AG.

    Bayer AG (1995) JMPE monograph for fenthion. Unpublished report of
         28-03-95 submitted to WHO by Bayer AG.

    Bowman & Assoc. (1989) Fenthion-acute toxicity test for freshwater
         fish (Project No. FEN89C,D,E & F). Unpublished report No. 73916
         from MC Bowman & Assoc., Inc., Mount Ida, Arkansas, USA.
         Submitted to WHO by Bayer AG.

    Bruggers, R.L., Jaeger, M.M., Keith, J.O., Hegdal, P.L., Bourassa,
         J.B., Latigo, A.A. & Gillis, J.N. (1989) Impact of fenthion on
         nontarget birds during  Quelea control in Kenya.  Wildl. Soc.
          Bull., 17, 149-160.

    ChemAgro (1972) The mobility and persistence of Baytex in soil and
         water. Unpublished report No. 31985 from ChemAgro, Research and
         Development Department, Kansas City, Missouri, USA Submitted to
         WHO by Bayer AG.

    ChemAgro (1974) Leaching of aged residues of Baytex-ring-UL-14C in
         sandy loam soil. Unpublished report No. 40566 from ChemAgro,
         Research and Development Department, Kansas City, Missouri, USA.
         Submitted to WHO by Bayer AG.

    ChemAgro (1975a) Accumulation and persistence of residues in catfish
         and bluegill fish exposed to Baytex-14C. Unpublished report
         No. 43455 from ChemAgro Agricultural Division, Mobay Chemical
         Corp., Research and Development, Kansas City, Missouri, USA.
         Submitted to WHO by Bayer AG.

    ChemAgro (1975b) Leaching characteristics of Baytex. Unpublished
         report No. 45653 from ChemAgro Agricultural Division, Mobay
         Chemical Corp., Research and Development Department, Kansas City,
         Missouri, USA. Submitted to WHO by Bayer AG.

    ChemAgro (1976a) Persistence and fate of Baytex in a natural aquatic
         environment. Unpublished report No. 47404 from ChemAgro, Research
         and Development Department, Kansas City, Missouri, USA. Submitted
         to WHO by Bayer AG.

    ChemAgro (1976b) Soil thin-layer mobility of twenty four pesticides
         chemicals. Unpublished report No. 51016 from ChemAgro
         Agricultural Division, Mobay Chemical Corp., Research and
         Development, Kansas City, Missouri, USA. Submitted to WHO by
         Bayer AG.

    ChemAgro (1976c) Stability of Baytex in sterile aqueous buffer
         solutions. Unpublished report No. 49130 from ChemAgro
         Agricultural Division, Mobay Chemical Corp., Research and
         Development, Kansas City, Missouri, USA. Submitted to WHO by
         Bayer AG.

    ChemAgro (1976d) Photodecomposition of Baytex. Unpublished report
         No. 49347 from ChemAgro, Research and Development Department,
         Kansas City, Missouri, USA. Submitted to WHO by Bayer AG.

    Conrad Appel GmbH (1989) Study on the effect of Lebaycid on
          Trichogramma cacoeciae (Study No. 40/89 - 38/89). Unpublished
         report from Conrad Appel GmbH, Department  Trichogramma,
         Darmstadt, Germany. Submitted to WHO by Bayer AG.

    De Bruijn, J. & Hermens, J.L.M. (1991) Uptake and elimination kinetics
         of organophosphorous pesticides in the guppy  (Poecilia
          reticulata): Correlations with the octanol/water partitioning
         coefficient.  Environ. Toxicol. Chem., 10, 791-804.

    Derby, S.B. & Ruber, E. (1971) Primary production: Depression of
         oxygen evolution in algal cultures by organophosphorus
         insecticides.  Bull. Environ. Contain. Toxicol., 5, 553-558.

    DeWeese, L.R., McEwen, L.C., Settimi, L.A. & Deblinger, R.D. (1983)
         Effects on birds of fenthion aerial application for mosquito
         control.  J. Econ. Entomol., 76, 906-911.

    Eichelberger, J.W. & Lichtenberg, J.J. (1971) Persistence of
         pesticides in river water.  Environ. Sci. Technol., 5, 541-544.

    FAO/WHO (1973)  1971 Evaluations of some pesticide residues in food.
         Report of the 1971 Joint Meeting of the FAO Working Party of
         Experts on Pesticide Residues and the WHO Expert Committee on
         Pesticide Residues (WHO Technical Report No. 502), Geneva.

    GAB Biotechnologie GmbH (1991) Detection of side effects of Lebaycid
         on the green lacewing  Chrysoperla carnea Steph. in the
         laboratory (Study No. 008/01-Cc). Unpublished report from GAB
         Biotechnologie GmbH, Niefern-Öschelbronn, Germany. Submitted to
         WHO by Bayer AG.

    Gohre, K. & Miller, G.C. (1986) Photooxidation of thioether pesticides
         on soil surfaces.  J. Agric. Food Chem., 34, 709-713.

    Grue, C.E. (1982) Response of common grackles to dietary concen-
         trations of four organophosphate pesticides.  Arch. Environ.
          Contain. Toxicol., 11, 617-626.

    Henny, C.J., Kolbe, E.J., Hill, E.F. & Blus, L.J. (1987) Case
         histories of bald eagles and other raptors killed by organophos-
         phorus insecticides topically applied to livestock.  J. Wildl.
          Dis., 23, 292-295.

    Hill, E.F., Heath, R.G., Sparta, J.W. & Williams, J.D. (1975) Lethal
         dietary toxicities of environmental pollutants to birds (Special
         scientific report-wildlife no. 191). Washington DC, US Fish and
         Wildlife Service.

    Hunt, K.A., Bird, D.M., Mineau, P. & Shutt, L. (1991) Secondary
         poisoning hazard of fenthion to American kestrels.  Arch.
          Environ. Contam. Toxicol., 21, 84-90.

    Johansen, C.A., Mayer, D.F., Eves, J.D. & Kious, C.W. (1983)
         Pesticides and bees.  Environ. Entomol., 12, 1513-1518.

    Kenaga, E.E. (1979) Acute and chronic toxicity of 75 pesticides to
         various animal species.  Down to Earth, 35, 25-31.

    Kendall, R.J. & Akerman, J. (1992) Terrestrial wildlife exposed to
         agrochemicals: An ecological risk assessment perspective.
          Environ. Toxicol. Chem., 11, 1727-1749.

    Khangarot, B.S., Sehgal, A. & Bhasin, M.K. (1985) 'Man and
         biosphere'-studies on the Sikkim Himalayas. Part 6: Toxicity of
         selected pesticides to frog tadpole  Rana hexadactyla (Lesson).
          Acta Hydrochim. Hydrobiol., 13, 391-394.

    Kira, M.T., Tawfik, M.F.S., & Metwally, S.M.I. (1972) Effect of DDT,
         Gusathion and Lebaycid on corn pests and their predators.  Bull.
          Entomol. Soc. Egypt, 6, 221-230.

    von Kniehase, U. & Zoebelein, G. (1990) [Testing the effects of
         pesticides on the predator mite  Phytoseiulus persimilis
         Athias-Henriot by means of a new laboratory method approaching to
         the practice.]  Anz. Schaedlungskd. Pfianzensch. Umweltsch.,
         63, 105-113 (in German).

    Korn, S. & Earnest, R. (1974) Acute toxicity of twenty insecticides to
         striped bass  (Morone saxatilis). Calif. Fish Game, 60, 128-131.

    Malcolm Pirnie Inc. (1987) The toxicity of Baytex technical, lot
         no. 85RO1461 to  Lemna gibba. Unpublished report No. 835 from
         Malcolm Pirnie Inc., White Plains, New York, USA. Submitted to
         WHO by Bayer AG.

    Mayer, F.L. (1986) Acute toxicity handbook of chemicals to estuarine
         organisms (Report no. EPA/600/X-86/231). Gulf Breeze, Texas, USA,
         Environmental Research Laboratory, US Environmental Protection
         Agency.

    Mayer, F.L. & Ellersieck, M.R. (1986) Manual of acute toxicity:
         Interpretation and data base for 410 chemicals and 66 species of
         freshwater animals (Resource publication 160). Washington DC, US
         Department of the Interior, Fish and Wildlife Service.

    McKenney, C.L. (1986) Influence of the organophosphate insecticide
         fenthion on  Mysidopsis bahia exposed during a complete life
         cycle. I. Survival, reproduction and age-specific growth.
          Dis. Aquat. Org., 1, 131-139.

    Mobay Corp. (1978a) Soil adsorption and desorption of Baytex-
         ring-1-14C. Unpublished report No. 66756 from Mobay Corp.
         Agricultural Division, Research and Development Department,
         Kansas City, Missouri, USA. Submitted to WHO by Bayer AG.

    Mobay Corp. (1978b) The metabolism of Baytex-ring-1-13,14C on soil.
         Unpublished report No. 66758 from Mobay Corp., Agricultural
         Division, Research and Development Department, Kansas City,
         Missouri, USA. Submitted to WHO by Bayer AG.

    Mobay Corp. (1987a) Leaching characteristics of aged soil residues of
         Baytex (Project No. BX-02-87). Unpublished report No. 94522 from
         Mobay Corp., Agricultural Chemicals Division, Kansas City,
         Missouri, USA. Submitted to WHO by Bayer AG.

    Mobay Corp. (1987b) Photodegradation of Baytex on soil (Project
         No. BX-08-S). Unpublished report No. 94564 from Mobay Corp.,
         Agricultural Chemicals Division, Kansas City, Missouri, USA.
         Submitted to WHO by Bayer AG.

    Mobay Corp. (1987c) Baytex Technical: Subacute dietary LC50 to
         mallard ducks (Study No. 86-175-08). Unpublished report No. 830
         from Mobay Corp., Health, Environment and Safety Corporate
         Toxicology Department, Stillwell, Kansas, USA. Submitted to WHO
         by Bayer AG.

    Mobay Corp. (1987d) Baytex Technical: subacute dietary LC50 to
         bobwhite quail (Study No. 86-175-09). Unpublished report No. 830
         from Mobay Corp., Health, Environment and Safety Corporate
         Toxicology Department, Stillwell, Kansas, USA. Submitted to WHO
         by Bayer AG.

    Mobay Corp. (1987e) Baytex (technical grade-acute LD50 to bobwhite
         quail (Study No. 86-015-06). Unpublished report No. 831 from
         Mobay Corp., Health, Environment and Safety Corporate Toxicology
         Department, Stillwell, Kansas, USA. Submitted to WHO by Bayer AG.

    O'Neill, E.J., Cripe, C.R., Mueller, L.H., Connolly, J.P. & Pritchard,
         P.H. (1989) Fate of fenthion in salt-marsh environments: II.
         Transport and biodegradation in microcosms.  Environ. Toxicol.
          Chem., 8, 759-768.

    Patterson, R.S. & von Windeguth, D.L. (1964) The effects of Baytex on
         some aquatic organisms.  Mosq. News, 24, 46-49.

    Powell, G.V.N. (1984) Reproduction by an altricial songbird, the
         red-winged blackbird, in fields treated with the organophosphate
         insecticide fenthion.  J. Appl. Ecol., 21, 83-95.

    Reissig, W.H., Heinrichs, E.A. & Valencia, S.L. (1982) Effects of
         insecticides on  Nilaparvata lugens and its predators: Spiders,
          Microvelia atrolineata, and  Cyrtorhinus lividipennis. Environ.
          Entomol., 11, 193-199.

    Saini, A. & Saxena, D.M. (1986) Effect of organophosphorus
         insecticides on the growth of  Tetrahymena pyriformis. Arch.
          Protistenkd., 131, 143-152.

    Schafer, W.E., Jr, Brunton, R.B., Lockyer, N.F & De Grazio, J.W.
         (1973) Comparative toxicity of seventeen pesticides to the
         quelea, house sparrow and red-winged blackbird.  Toxicol. Appl.
          Pharmacol., 26, 154-157.

    Seabloom, R.W., Pearson, G.L., Oring, L.W. & Reilly, J.R. (1973) An
         incident of fenthion mosquito control and subsequent arian
         mortality.  J. Wildl. Dis., 9, 18-20.

    Seugé, J. & Bluzat, R. (1980) [Long-term toxicity of an
         organophosphorus insecticide (fenthion) in the mollusc  Lymnea
          stagnalis.] Hydrobiology, 76, 241-248 (in French).

    SLS Inc. (1988) The toxicity of technical grade fenthion (trade name
         Baytex) to rainbow trout  (Salmo gairdneri) embryos and larvae.
         Unpublished report No. 95641 from Springborn Life Sciences Inc.,
         Wareham, Massachusetts, USA. Submitted to WHO by Bayer AG.

    TNO (1989) Reproduction test with Lebaycid EC 50 and  Daphnia magna.
         Unpublished report No. R 89/272 from TNO Division of Technology
         for Society, Delft, Netherlands. Submitted to WHO by Bayer AG.

    University of Southampton (1992) An evaluation of the side-effects of
         Lebaycid 500 EC on larvae of the hoverfly  Episyrphus balteatus
         (Study No. BAY-91-1). Unpublished report from Agrochemical
         Evaluation Unit, Department of Biology, University of
         Southampton, Southampton, United Kingdom. Submitted to WHO by
         Bayer AG.

    US Department of Agriculture (1951)  Soil Survey/Manual (Agriculture
         Handbook No. 18). Washington DC, USA.

    Van Meerendonk, J.H., Van Steenwijk, J.M., Phernambucq, A.J.W. &
         Barreveld, H.L. (1994) [Tracking traces II. An inventory survey
         for hazardous chemicals in the salt and freshwater systems in the
         Netherlands] (RIKZ Report No. 94.007), The Hague, Netherlands,
         National Institute for Coastal and Marine Management & National
         Institute of Inland Water Management (in Dutch).

    Wang, T.C., Lenaham, R.A., Tucker, J.W., Jr & Kadlac, T. (1987) Aerial
         spray of mosquito adulticides in a salt marsh environment.
          Int. Assoc. Water Qual., pp. 113-125.

    WHO (1986)  Organophosphorus Insecticides: A General Introduction
         (Environmental Health Criteria 63). Geneva, International
         Programme on Chemical Safety.
    


    See Also:
       Toxicological Abbreviations
       Fenthion (ICSC)
       Fenthion (WHO Pesticide Residues Series 1)
       Fenthion (WHO Pesticide Residues Series 5)
       Fenthion (Pesticide residues in food: 1977 evaluations)
       Fenthion (Pesticide residues in food: 1978 evaluations)
       Fenthion (Pesticide residues in food: 1979 evaluations)
       Fenthion (Pesticide residues in food: 1980 evaluations)
       Fenthion (Pesticide residues in food: 1983 evaluations)
       Fenthion (Pesticide residues in food: 1995 evaluations Part II Toxicological & Environmental)
       Fenthion (Pesticide residues in food: 1997 evaluations Part II Toxicological & Environmental)