IPCS INCHEM Home

    FENTHION

    First draft prepared by
    S. Ma

    Health Evaluation Division, Pest Management Regulatory Agency, Health
    Canada, Ottawa, Canada

    Explanation
    Evaluation for acceptable daily intake
         Biochemical aspects
              Absorption, distribution, red excretion
              Biotransformation
         Toxicological studies
              Acute toxicity
              Short-term toxicity
              Long-term toxicity and carcinogenicity
              Reproductive toxicity
              Developmental toxicity
              Genotoxicity
              Special studies
                   Dermal red ocular irritation and dermal sensitization
                   Potentiation
                   Cholinesterase inhibition
                   Delayed neurotoxicity
              Studies of metabolites
              Observations in humans
         Comments
         Toxicological evaluation
    References

    Explanation

         Fenthion was previously evaluated by the Joint Meeting in 1971,
    1975, 1978, 1979, and 1980 (Annex I, references 16, 24, 30, 32, and
    34). An ADI of 0-0.001 mg/kg bw was allocated in 1980, based on a
    NOAEL of 0.09 mg/kg bw per day (3 ppm) for acetylcholinesterase
    depression in a two-year feeding study in dogs. The compound was
    re-examined at the present Meeting within the CCPR periodic review
    programme. This monograph summarizes pertinent new (since 1980) data
    as well as relevant data from the previous monographs and monograph
    addenda on fenthion.

    Evaluation for acceptable daily intake

    1.  Biochemical aspects

         The toxicokinetics of fenthion has been extensively studied after
    oral and topical administration to various animal species, using
    radiolabelled test material. Summaries of the most relevant and most
    recent data are presented below.

    (a)  Absorption, distribution, and excretion

         The first studies on the metabolism of fenthion in rats were
    reported by Brady and Arthur (1961), who used a 32p-labelled
    compound. Within a few hours of oral or intraperitoneal administration
    of the compound, large amounts of 32p label were found in tissues
    including the bone, suggesting rapid absorption and translocation of
    fenthion. Three days after administration of a single oral dose of
    100 mg/kg bw, the tissue concentration of chloroform-soluble residues
    was < 0.01 mg/kg bw; there were no detectable acetonitrile-soluble
    residues except in the liver (0.2 mg/kg bw). Tissue retention of
    32P-labelled residues remained low in rats that received 10 daily
    doses of unlabelled fenthion at 10 mg/kg bw intraperitoneally before
    injection of a single dose of 200 mg/kg bw radiolabelled compound.
    Seven days later, 86% of the orally administered 32p radiolabel had
    been eliminated in the excreta (46% in urine and 40% in faeces),
    the majority being excreted within the first three days. After an
    intraperitoneal injection, about 75% of the administered radioactivity
    was recovered in the excreta (60% in urine and 15% in faeces) within
    three days.

         In a more recent study (Puhl & Hurley, 1982), four groups of five
    male and five female Wistar rats were fasted for 16-24 h and then
    given a single dose of [ring-1-14C]-fenthion (purity, 98-99%), either
    intravenously at 2 mg/kg bw or by gavage at 10 or 100 mg/kg bw. One
    group of animals was given 14 daily doses of unlabelled fenthion at
    10 mg/kg bw (purity, 97.2%) before receiving a single oral dose
    of [ring-1-14C]-fenthion at 10 mg/kg bw. Orally administered
    [ring-1-14C]-fenthion was readily absorbed from the gastrointestinal
    tract; absorption (96-100% at 72 h) was not dose-dependent over the
    dose range tested. [ring-1-14C]-Fenthion was rapidly eliminated,
    > 90% of the administered radiolabel being excreted within 48 h.
    Urine was the major route of elimination, accounting for 93-97% of the
    total label recovered 72 h after treatment. Only 3-6% was recovered in
    faeces, and none was found in expired gases. The excretion profiles
    were generally similar, regardless of the route of administration,
    dose, sex of the rats, or pretreatment with unlabelled fenthion for
    14 days. Tissue retention of 14C radiolabel was low: 72 h after
    treatment, a mean total of < 1% of the administered dose was
    retained. The highest tissue concentrations were found in fat, gonads,
    and liver.

         Five groups of five or six Wistar rats of each sex were fasted
    for about 2 h and then given a single dose of [ring-1-14C]-fenthion
    (purity, 98%), either intravenously at 0.125 mg/kg bw or by gavage at
    0.3 or 1.5 mg/kg bw. One group was given 14 consecutive daily doses of
    0.3 mg/kg bw unlabelled fenthion (purity, 96.5%) before receiving a
    single oral dose of 0.3 mg/kg bw [ring-1-14C]-fenthion; a further
    group of two male and two female rats was given a single oral dose of
    0.3 mg/kg bw 14C-fenthion for measurement of expired carbon dioxide,
    and one of three male and three female rats served as untreated
    controls. Excretion of the radiolabel was rapid, 75-104% of the dose
    being eliminated within 48 h; the mean total excretion over 168 h was
    80-107%. The excretion profiles were similar, regardless of sex, dose,
    route of administration, or pretreatment with unlabelled fenthion.
    Urine was the main route of excretion, accounting for 88-98% of the
    total radiolabel excreted; only minor amounts (1-10% of the dose) were
    excreted in the faeces, and no label was found in expired carbon
    dioxide. Serum cholinesterase activity, used as a measure of exposure
    to fenthion, was inhibited to 36-50% of the control value 24 h after a
    single oral dose of 1.5 mg/kg bw 14C-fenthion. By 72 h, serum
    cholinesterase activity appeared to return to control levels, and it
    was unchanged at 168 h. These results reflect the excretion profile of
    fenthion in the rats. Tissue retention of radiolabel was very low: the
    mean total label recovered in the tissues and carcass at termination
    was < 0.5%, and the amount recovered in the tissues alone was either
    below the detection limit or < 0.01% in all treated groups. The
    tissue residue levels were generally < 1 ppb (Doolittle & Bates,
    1993).

         One male and one female Duroc pig were given a single dose of at
    5 mg/kg bw [ring-1-14C]-fenthion (purity, 99%) by gavage and seven
    days later two or three consecutive daily doses of 10 mg/kg bw
    14C-fenthion. Elimination of label was rapid, total excretion over
    the first 54 h being 90-99% of the administered dose. Urine was the
    main route of elimination, accounting for > 80% of the dose within
    24 h; only minor amounts (< 10% of the single dose) were excreted in
    the faeces. Tissue residue levels declined rapidly, from 2.4-8.6 to
    0.15-1.15 ppm, between 6 h (peak blood level) and 30 h after the last
    multiple dose, indicating rapid elimination from tissues and a low
    tendency for bioaccumulation (Pither, 1979).

         A single male pig (Yorkshire cross-breed) was given a single
    dermal dose of [ring-1-14C]-fenthion (purity, 97.6%) at 14.4 mg/kg bw
    active ingredient, prepared as a formulation for treatment of lice in
    pigs and applied uniformly along the animal's backbone. The pig was
    sacrificed 18 h after treatment, and skin and selected tissues were
    removed and analysed for residues The tissue residue levels were
    generally low (0.1-0.8 ppm 14C-fenthion equivalents in muscle, liver,
    kidney, and fat), except at the site of application, where
    significantly higher levels were measured in hair (1398 ppm), skin
    (134 ppm), and subcutaneous fat (3.9 ppm) (Crosby  et al., 1991)).

         Fenthion was given to lactating dairy cows at dietary levels of
    25.5 or 100 ppm for 28 days. The mean concentrations of residues of
    fenthion, its sulfoxide and sulfone, and the sulfoxide and sulfone of
    the oxygen analogue in the milk over the treatment period were 0.016,
    0.049, and 0.099 mg/kg milk, respectively. The mean total residues of
    fenthion and its sulfoxide in faeces were 0.042-0.308 mg/kg, and the
    mean total residues of the sulfoxide and sulfone of fenthion and its
    oxygen analogue in urine were 0.43-1.05 mg/kg. Seven days after the
    end of treatment, no residues were detected in milk, faeces, or urine
    (Johnson & Bowman, 1972).

         Two lactating dairy cows were treated dermally with 32p-labelled
    fenthion (a 20% topical treatment for control of lice) at a single
    dose of 9 mg/kg bw. The total 32p-radiolabel in blood, milk, urine,
    and faeces peaked between the first and second days after treatment.
    Over four weeks, 45-55% of the administered dose was recovered in the
    urine, 2-2.5% in the faeces, and 1.2-2% in the milk. The residues were
    predominantly water-soluble hydrolysis products of fenthion. The
    highest level of fenthion and its organo-soluble metabolites in the
    milk was 0.1 mg/kg, found on the first day after treatment (Avrahami &
    White, 1975)

         One lactating dairy cow (Jersey breed) was given a single dermal
    dose of [ring-1-14C]-fenthion (purity, 98.2%) at 5.08 mg/kg bw active
    ingredient, prepared as a formulation for treatment of lice and horn
    flies in beef and non-lactating dairy cattle and applied uniformly
    along the animal's backbone. The cow was sacrificed 18 h after
    treatment, and urine, milk, skin, and selected tissues were analysed
    for residues. The mean residue level in milk 6, 12, or 18 h after
    treatment was < 0.05 ppm 14C-fenthion equivalents. The mean
    urinary concentration 0-18 h after treatment was 3.9 ppm. The tissue
    residues were generally low: 0.1-0.3 ppm in skin, liver, kidney,
    muscle, and peritoneal fat; 1.8 ppm in subcutaneous fat; and 2.3 ppm
    in hair. At the site of application, significantly higher levels were
    measured: 16 215 ppm in hair, 106 ppm in skin, and 6.1 ppm in
    subcutaneous fat (Krautter, 1990a).

         A single lactating goat was given [phenyl-1-14C]-fenthion
    (chemical and radiopurity, > 99%) by gavage in gelatin capsules at
    20 mg/kg bw daily for three days. The goat was sacrificed 3.5 h after
    the last dose, and the level and nature of the residues were
    determined in urine, milk, and edible tissues. The total recovery of
    radiolabel 51.5 h after the first dose (3.5 h after the third dose)
    was 51.5%:44.1% was excreted in urine, 6.3% in faeces, 0.2% in milk,
    and 0.9% as residue in edible tissues. The rate of gastrointestinal
    absorption was rapid: the time for an increase of 25-75% in plasma
    concentration over the maximal value was 0.96 h, and a plasma peak
    level of 7.74 µg/ml was reached about 3 h after the first dose. The
    maximal residue level in milk was 2.8-3.4 µg/g 8 h after treatment.
    The tissue residue concentrations 3.5 h after the last dose were

    judged to be low, the highest being found in kidney (24.1 µg/g), liver
    (3.32 µg/g), fat (1.61 µg/g), and muscle (0.62 µg/g) (Weber & Ecker,
    1992).

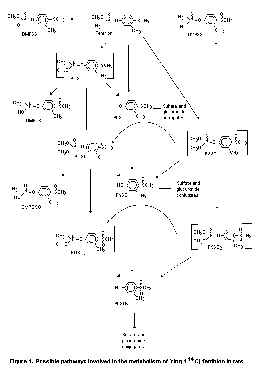
    (b)  Biotransformation

         In studies of rats treated with 14C-labelled fenthion (purity,
    > 98%) orally or intravenously, no major differences were seen in
    metabolite profiles with route of administration, dose, sex, or
    pretreatment with unlabelled fenthion for 14 days. No unchanged parent
    compound was detected in the urine and very little (< 2%) in the
    faeces. Fourteen urinary metabolites were identified which represented
    93-96% of the total recovered label. The major group of metabolites
    (about 60% of the total label) was composed of the three phenols
    (phenol fenthion, phenol sulfoxide, and phenol sulfone) and their
    glucuronide, sulfoxide, and sulfone conjugates. Four demethyl
    metabolites were also identified, accounting for about 30% of the
    label, while the oxygen analogue sulfoxide constituted only 1-4%. A
    metabolic pathway for fenthion in rats was proposed on the basis of
    these results (Figure 1) (Puhl & Hurley, 1982; Doolittle & Bates,
    1993).

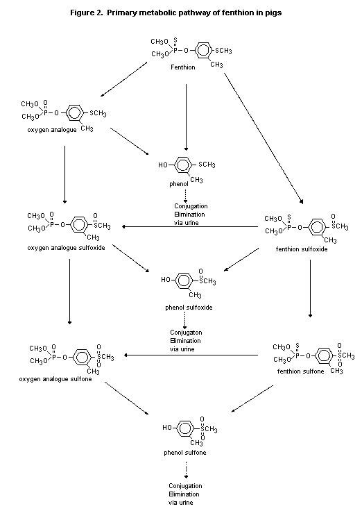
         In a study of pigs given a single oral dose of 5 mg/kg bw
    14C-labelled fenthion (purity, 99%), followed seven days later by two
    or three consecutive daily oral doses of 10 mg/kg bw, the main urinary
    metabolites were conjugated phenols (phenol fenthion, phenol sulfoxide
    and phenol sulfone). It was proposed that the primary route of
    metabolism in the pig is oxidation of the thiomethyl and thiophosphate
    moieties to form fenthion sulfoxide and sulfone and oxygen analogue
    metabolites, which are then hydrolysed at the P-O-phenyl bond to yield
    the corresponding phenols. The phenols are conjugated before
    elimination in urine (Figure 2) (Pither, 1979).

         One male pig (Yorkshire cross-breed) was given a single dermal
    dose of [ring-1-14C]-fenthion (purity, 97.6%) at 14.4 mg/kg bw active
    ingredient, prepared as a formulation, and was sacrificed 18 h after
    treatment. Analysis of tissue residues showed that unchanged fenthion
    was the major component, accounting for > 96% of the residue in all
    samples (hair, skin, and subcutaneous fat) collected from the
    application site, 69-88% in liver, peritoneal fat, and muscle, and 26%
    in kidney. Other minor residue components were fenthion sulfoxide (in
    peritoneal fat and muscle; 11-12% of residue) and fenthion sulfone (in
    kidney; 7% of residue). An unidentified polar metabolite was found in
    liver and kidney, representing 30 and 67%, respectively, of the total
    fenthion residues. A number of unknown polar metabolites were also
    found in the liver and kidney, representing 30 and 67% of the total
    residues, respectively, two of which were identified by high-
    performance liquid chromatography in a later study (Krautter, 1990b)
    as glucuronide conjugates of phenol sulfoxide and phenol sulfone, the
    primary metabolites of fenthion (Crosby  et al., 1990).

    CHEMICAL STRUCTURE 1

    CHEMICAL STRUCTURE 2

         Two lactating cows received 32p-fenthion as a single dermal dose
    of about 13 mg/kg bw or a single intramuscular dose of about 8.5 mg/kg
    bw. Unchanged fenthion constituted > 50% of the nonionic residues in
    the milk for three days after the dermal and seven days after the
    intramuscular treatment. In urine, > 95% of the radiolabel excreted
    was in the form of hydrolytic products; the parent compound accounted
    for only a small percentage of the chloroform-soluble residues. In
    faeces, unchanged fenthion constituted > 50% of the acetonitrile-
    soluble residues. The animals were slaughtered 14 days after the
    dermal and 21 days after the intramuscular treatment; > 50% of the
    tissue residues appeared as unchanged fenthion, but oxidation products
    were also present (Knowles & Arthur, 1966).

         One lactating dairy cow (Jersey breed) was given a single dermal
    dose of [ring-1-14C]-fenthion (purity, 98.2%) at 5.08 mg/kg bw active
    ingredient, as a formulation for treatment of lice and horn flies in
    beef and non-lactating dairy cattle, and sacrificed 18 h after
    treatment. Urine, milk, skin, and selected tissues were then analysed
    for 14C-fenthion residues. Unchanged (parent) fenthion was the major
    tissue residue, accounting for > 95% of the residues in all tissue
    samples collected from the application site, 71-95% in liver, muscle,
    and peritoneal fat, and 51% in kidney. Other minor residue components
    identified included fenthion sulfoxide (muscle, 5% of residue) and
    fenthion sulfone (liver, 8% of residue). In addition, a number of
    unknown polar metabolites were found in the liver and kidney,
    representing 22 and 44%, of the total residue, respectively, two of
    which were identified by high-performance liquid chromatography in a
    later study (Krautter, 1990b) as glucuronide conjugates of phenol
    sulfoxide and phenol sulfone, the primary metabolites of fenthion
    (Krautter, 1990a).

         A single lactating goat received [phenyl-1-14C]-fenthion
    (chemical and radiopurity, > 99%) by gavage at 20 mg/kg bw daily for
    three consecutive days and was sacrificed 3.5 h after the last dose.
    The nature of the residues was determined in urine, milk, and edible
    tissues. Phenol fenthion, phenol sulfoxide, and phenol sulfone were
    the three major metabolites in all tissues examined. Various
    intermediate metabolites in the biodegradation from parent fenthion to
    the phenols (demethylated phosphorus-containing compounds with varying
    oxidation at the methylsulfur moiety and/or at the phosphoric acid
    moiety of the molecule) were also identified. Demethyl fenoxon
    sulfoxide and sulfone were especially predominant in muscle, while the
    sulfoxide and sulfone of fenthion constituted about 30% of the
    residues in fat. Unchanged fenthion was not detected in any tissue
    sample. The metabolites excreted in urine were similar to those in the
    liver, exception that a higher percentage of phenol sulfide was
    present in the urine (Weber & Ecker, 1992).

    2.  Toxicological studies

    (a)  Acute toxicity

         The results of studies of the acute toxicity of fenthion are
    summarized in Table 1. Technical-grade fenthion is moderately toxic to
    mammals (mice, rats, guinea-pigs, and rabbits) when given by oral,
    intraperitoneal, dermal, or inhalation routes. It is highly toxic to
    arian species (especially to the wild mallard duck) when administered
    orally. The clinical symptoms of acute toxicity are consistent with
    those of central and peripheral cholinergic intoxication by
    organophosphorus esters, including decreased spontaneous activity,
    apathy, dyspnoea, ataxia, tremors, convulsions, lacrimation,
    salivation, and diarrhoea. The symptoms were reversible in surviving
    animals.

    (b)  Short-term toxicity

         Exposure to fenthion by inhalation for 6 h/day daily for nine
    days at 0.21 mg/litre (initial concentration in a static inhalation
    chamber) resulted in signs of poisoning but no mortality, in rats,
    guinea-pigs, rabbits, or cats. Serum and erythrocyte cholinesterase
    activities were severely depressed but recovered within three weeks
    (Klimmer, 1963).

    Mice

         Groups of 10 male and 10 female B6C3F1 mice were given E 1752
    technical (purity, 98.7%) in the diet at 0 (control diet), 150, 200,
    or 250 ppm (equal to 0, 83.2, 117.2, and 140.3 mg/kg bw per day in
    males and 0, 83.6, 114.5, and 151.8 mg/kg bw per day in females) for
    one month. No NOAEL was seen At the lowest dose, emaciation, tremor,
    and decreased body weight were observed in males, reduced water
    consumption and decreased spleen weight in animals of each sex, and
    reduced liver weight in females. Severe inhibition (68-80%) of brain
    and erythrocyte acetylcholinesterase was noted in all animals. At the
    two higher doses, additional treatment-related effects seen were a
    moribund condition resulting in unscheduled sacrifice of two males per
    dose group and emaciation and decreased body weight in females (Leser,
    1990).

    Rats

         Five groups of 22 male and 22 female rats were fed diets
    containing technical-grade fenthion (purity not given, in soya bean
    oil) at 0, 0.25, 0.5, 2.5, or 5.0 mg/kg bw per day for three months.
    The NOAEL was 0.25 mg/kg bw per day, based on depression of
    cholinesterase activity in erythrocytes, plasma, heart, liver, and
    brain (no raw data) at > 0.5 mg/kg bw per day. At this dose and
    above, clinical signs of cholinergic intoxication and significant

        Table 1.  Acute toxicity of fenthion
                                                                                                             

    Species        Sex            Route               LD50 or LC50   Reference
                                                      (mg/kg bw or
                                                      mg/l air)
                                                                                                             

    Mouse          Male           Oral                150            Francis & Barnes (1963)
                   Female                             190
                   Male           Oral                227            Dubois (1968)
                   Female                             225
                   Male           Intraperitoneal     125            Dubois & Kinoshita (1964)
                   Female                             150
                   Female         Intraperitoneal     200-2404       Budreau & Singh (1973a)
    Rat            Male           Oral                175-470        Klimmer (1963); Francis & Barnes (1963);
                   Female                             245-310        Gaines (1969); Dubois & Kinoshita (1964)
                   Male           Oral                405            Eigenberg (1987a)
                   Female                             566
                   Male           Intraperitoneal     260            Dubois & Kinoshita (1964)
                   Female                             325
                   Male           Intraperitoneal     152            Klimmer (1963)
                   Male           Intraperitoneal     330            Krotlinger (1993)
                   Female                             203
                   Male           Dermal              330-650        Klimmer (1963); Francis & Barnes (1963);
                                                                     Gaines (1969); Dubois & Kinoshita (1964)
                   Female                             330-500
                   Male           Dermal              1680           Mihail (1978)
                   Female                             2830
                   Male           Dermal              586            Bomann (1991)
                   Female                             800
                   Male, female   Inhalation (1-h)    > 1.197        Thyssen (1978)
                   Male           Inhalation (4-h)    1.2            Thyssen (1978)
                   Female                             0.8
                   Male           Inhalation (1-h)    1.838          Shiotsuka (1987a)
                   Female                             1.637
                                                                                                             

    Table 1.  (con't)
                                                                                                             

    Species        Sex            Route               LD50 or LC50   Reference
                                                      (mg/kg bw or
                                                      mg/l air)
                                                                                                             

                   Male           Inhalation (4-h)    0.919          Shiotsuka (1987a)
                   Female                             0.819
                   Male           Inhalation (4-h)    0.507          Shiotsuka (1987b)
                   Female                             0.454
    Guinea-pig     Male           Oral                > 1000         Francis & Barnes (1963)
                   Male           Oral                260            Dubois & Kinoshita (1964)
                   Male           Intraperitoneal     310            Dubois & Kinoshita (1964)
    Rabbit         Male           Oral                150-175        Francis & Barnes (1963)
                   Male           Dermal              150            Klimmer (1963)
                   Male           Dermal              150            Lamb & Anderson (1974)
                   Female                             131
                   Male, female   Dermal              667            Eigenberg (1987b)
    Chicken        NR             NR                  310            Dubois & Doull (1960)
                   Male           Oral                28             Sherman & Ross (1961)
                   Female         Oral                30-40          Francis & Barnes (1963)
                   Female         Oral                27             Flucke (1986a)
                   Male           Oral                37.5           Singh et al. (1987)
                   Female         Dermal              222            Flucke (1986b)
    Duck           NR             Oral                15             Dubois & Doull (1960)
                   NR             Oral                1-2            Keith & Mulla (1966)
                                                                                                             

    NR, not reported
        reductions in food consumption and body weight were evident. At the
    two highest doses, decreased spermatogenesis and atrophic prostate
    glands were noted in males; the female reproductive system was not
    affected. All females at the highest dose died during the second and
    third weeks of treatment (Shimamoto & Hattori, 1969).

         Six groups of 12 male and 12 female rats were fed diets
    containing technical-grade fenthion (purity unspecified) at 0.2, 3, 5,
    25, or 100 ppm, equivalent to 0, 0.10, 0.15, 0.25, 1.25, or 5.0 mg/kg
    bw per day, for 16 weeks. No treatment-related adverse effects were
    observed on body weight or body-weight gain or on food consumption;
    gross and microscopic examination of tissues also showed no effect,
    The NOAEL was 0.25 mg/kg bw per day based on cholinesterase depression
    (source of enzyme not specified) at 1.25 mg/kg bw per day (Doull
     et al., 1961a).

         Six groups of 25 male and 25 female rats were fed diets
    containing technical-grade fenthion (purity unspecified) at 0, 2, 3,
    5, 25, or 100 ppm, equivalent to 0, 0.10, 0.15, 0.25, 1.25, or 5 mg/kg
    bw per day, for one year. Significant inhibition (> 20%) of
    erythrocyte acetylcholinesterase activity was noted at > 5 ppm.
    Brain acetylcholinesterase activity was significantly depressed
    (> 10%) and a higher mortality rate (particularly among males) was
    observed at 25 ppm and above. At the highest dose, increased
    haemosiderosis was noted in the spleen. The NOAEL was 0.25 mg/kg bw
    per day, based on significant inhibition of brain acetylcholinesterase
    at higher doses (Doull  et al., 1963a),

         Four groups of 10 male and 10 female Wistar rats were exposed to
    an aerosol of technical-grade fenthion (purity, 98.2%) at nominal
    concentrations of 0, 0.003, 0.015, or 0.075 mg/litre, equal to
    analytical concentrations of 0, 0.001, 0.003, or 0.016 mg/litre, in a
    head-/nose-only inhalation chamber for 6 h/day, five days per week for
    three weeks. Exposure did not induce mortality or changes in body
    weight, the results of haematology, clinical chemistry, or urinalysis,
    gross pathology, or organ weights. At analytical concentrations
    > 0.003 mg/litre, clinical symptoms of behavioural disturbance
    (inactivity and/or unpreened coats) were observed in females only;
    plasma cholinesterase was depressed in animals of each sex.
    Significant inhibition of erythrocyte and brain acetylcholinesterase
    activities occurred at the highest dose, and treatment-induced
    inflammatory changes of the respiratory tract were seen in females.
    The NOAEL was 0.001 mg/litre (analytical), based on clinical signs of
    intoxication in females at 0.003 mg/litre and depression of brain and
    erythrocyte acetylcholinesterase activities at 0.016 mg/litre
    (Thyssen, 1979).

    Rabbits

         Groups of six male and six female New Zealand white rabbits
    received dermal applications of technical-grade fenthion (purity,
    98.2%) in Cremophos EL (1.5% v/v in distilled water) on intact (three
    animals) or abraded (three animals) skin sites at 0, 5, or 25 mg/kg bw
    per day for 7 h each day, five days per week for three weeks. The
    NOAEL was 5 mg/kg bw per day, based on inhibition of erythrocyte
    acetylcholinesterase in animals of each sex at 25 mg/kg bw per day. No
    treatment-related effect was observed on general appearance,
    behaviour, or body weight or by haematology, clinical chemistry,
    urinalysis, gross pathology, organ weight measurement, or
    histopathology (Mihail & Schilde, 1979).

         Groups of five male and five female HRA:(NZW) specific pathogen-
    free rabbits received dermal applications of technical-grade fenthion
    (purity, 96.9%) formulated in Cremophos EL (1.5% v/v in distilled
    water) on intact skin sites at 0, 5, 50, or 100 mg/kg bw per day for
    6 h each day, five days per week for three weeks. The NOAEL was
    50 mg/kg bw per day, based on inhibition of brain acetylcholinesterase
    in females at 100 mg/kg bw per day. No treatment-related effect was
    observed on appearance, behaviour, or body weight, or by haematology,
    clinical chemistry, urinalysis, gross pathology, organ weight
    measurements, or histopathology (Bailey, 1987).

         Groups of five male and five female HRA:(NZW) specific
    pathogen-free rabbits received dermal applications of technical-grade
    fenthion (purity, 96.9%) formulated in Cremophos EL (1.5% v/v in
    distilled water) on intact skin sites at 0, 200, or 400 mg/kg bw per
    day for 6 h each day, five days per week for three weeks. The study
    was terminated within two weeks of the start of treatment owing to
    high mortality. An additional group of five male and five female
    rabbits was given a lower dose of 150 mg/kg bw per day under similar
    conditions; the original control group was retained. This treatment
    did not affect general appearance, behaviour, body weight, or food
    consumption, or the results of haematology, clinical chemistry, organ
    weight measurement, or gross or histopathology. Plasma, erythrocyte,
    and brain cholinesterase activities were depressed in animals of each
    sex, with a significant inhibition of > 50% in males and 30% in
    females at termination of the study. The LOAEL was 150 mg/kg bw per
    day, based on inhibition of brain and erythrocyte acetylcholinesterase
    activities (Bailey, 1988).

    Dogs

         Four groups of two male and two female dogs were fed diets
    containing technical-grade fenthion (purity unspecified) at 0, 2, 5,
    or 50 ppm (equivalent to 0, 0.05, 0.125, or 1.25 mg/kg bw per day) for
    12 weeks. The NOAEL was 0.125 mg/kg bw per day, based on significant
    (> 20%) inhibition of erythrocyte acetylcholinesterase activity at

    50 ppm. At > 5 ppm, plasma cholinesterase was also depressed, but
    the effect (an indication of exposure) was not considered to be
    toxicologically significant (Doull  et al., 1961b).

         Four groups of two male and two female dogs were fed diets
    containing technical-grade fenthion (purity unspecified) at 0, 2, 5,
    or 50 ppm (equivalent to 0, 0.05, 0.125, and 1.25 mg/kg bw per day)
    for one year. The NOAEL was 0.125 mg/kg bw per day, based on
    significant inhibition of erythrocyte (> 20%) and brain (> 10%)
    acetylcholinesterase activity at 50 ppm. At > 5 ppm, plasma
    cholinesterase was also depressed, but the effect (an indication of
    exposure) was not considered to be toxicologically significant. A
    slight increase in spleen weight with splenic congestion,
    extramedullary haematopoiesis, and haemosiderosis, was also observed
    in all treated animals; the effect was not dose-related and not
    considered to be adverse (Doull  et al., 1963b).

         Groups of four male and four female beagle dogs were fed diets
    containing technical-grade fenthion (purity, 97%) at 0, 2, 10, or
    50 ppm, equal to 0, 0.06, 0.26, or 1.23 mg/kg bw per day in males and
    0, 0.06, 0.26, or 1.18 mg/kg bw per day in females, for one year. The
    NOAEL was 0.06 mg/kg bw per day, based on toxicologically significant
    inhibition (> 10%) of brain acetylcholinesterase activity at 10 ppm
    At the highest dose, both erythrocyte and brain acetylcholinesterase
    activities were significantly depressed (> 50 and > 30%,
    respectively). Plasma cholinesterase activity was inhibited at all
    doses tested; but the effect (an indicator of exposure) was not
    considered to be toxicologically significant. No other treatment-
    related change was observed (Christenson, 1990a).

         Groups of four male and four female pure-bred dogs were fed diets
    containing technical-grade fenthion (purity unspecified) at 0, 3, 10,
    or 30 (weeks 0-64), 50 (weeks 65-67), or 60 (weeks 68-104) ppm (equal
    to 0, 0.09, 0.32, and 1.28 mg/kg bw per day in animals of each sex)
    for two years. No mortality or clinical sign of toxicity was seen
    during the study. No significant treatment-related change in body
    weight, ophthalmoscopic, haematological, or urinary parameters, gross
    or histopathology of tissues was evident at any dose. The NOAEL was
    0.09 mg/kg bw per day, based on significant inhibition of erythrocyte
    acetylcholinesterase activity in males (> 20%) and of brain
    acetylcholinesterase activity in females (> 10%) at 10 ppm. At the
    highest dose, erythrocyte and brain acetylcholinesterase activities
    were significantly depressed in animals of each sex. Decreased food
    consumption (females) and lowered plasma protein levels (males) were
    also observed (Hoffmann & Weischer, 1975).

    Monkeys

         Four groups of five male and five female rhesus monkeys were
    given daily doses of technical-grade fenthion (purity, 98.1%) in corn
    oil by gavage at concentrations of 0, 0.02, 0.07, or 0.20 mg/kg bw per
    day for two years. Animals were observed daily for general appearance
    and clinical signs; body weight and ophthalmological parameters were
    recorded monthly, and clinical chemistry, haematology, and urinalyses
    were performed at 0, 1, 3, 6, 12, 18, and 23 months. Plasma and
    erythrocyte cholinesterase activities were measured weekly for the
    first four weeks and monthly thereafter. One animal of each sex at 0
    and 0.20 mg/kg bw per day was killed seven months and three weeks
    after the beginning of treatment for measurement of brain
    acetylcholinesterase and gross and histopathology. All monkeys
    underwent necropsy after 23 months, but no histopathology was
    performed. Plasma cholinesterase was consistently depressed in animals
    of each sex at 0.20 mg/kg bw per day, but the effect (an indicator of
    exposure) was not considered to be toxicologically significant. A
    significant (> 20%) inhibition of erythrocyte acetylcholinesterase
    activity was observed occasionally in animals of each sex (9/26
    determinations over the 23-month study period for males and 2/26 for
    females) at the highest dose. No effect on brain acetylcholinesterase
    was evident in the four animals killed at 7.25 months. Gross
    examination revealed abnormally small testes and ovaries in animals at
    0.20 mg/kg bw per day; however, in the absence of organ weights and
    histopathological data, the toxicological significance of this finding
    could not be fully assessed. No other treatment-related adverse
    effect was recorded. The NOAEL was 0.07 mg/kg bw per day, based on
    inconsistent erythrocyte acetylcholinesterase depression and possible
    effects on male and female reproductive organs at 0.20 mg/kg bw per
    day (Rosenblum, 1980).

    (c)  Long-term toxicity and carcinogenicity

    Mice

         Groups of male and female B6C3F1 mice, 25 of each sex in the
    control group and 50 of each sex per dose, were fed technical-grade
    fenthion (purity unspecified) in the diet at concentrations of 0,10,
    or 20 ppm (equivalent to 0, 1.5, or 3.0 mg/kg bw per day) for 103
    weeks. All surviving animals were maintained on control diet for up to
    one week after the end of treatment before they were sacrificed and
    subjected to gross and microscopic examination. Treatment with
    fenthion did not result in significant differences in the survival or
    growth rate of mice at any dose. Clinical signs of intoxication were
    evident four months after the beginning of treatment (LOAEL not
    specified). At the end of the study (104 weeks), histopathological
    examination revealed a variety of neoplasms, the majority of which
    were judged to be unrelated to fenthion administration. An increased
    incidence of sarcomas, fibrosarcomas, or rhabdomyosarcomas of the

    integumentary system was observed in treated male mice; the incidences
    of integumentary sarcomas were 0/25 at 0 ppm, 7/49 at 10 ppm, and 8/48
    at 20 ppm (7/435 in historical controls). The effect was considered to
    be treatment-related, indicating that technical-grade fenthion is
    oncogenic in male mice under the conditions of the study. There was no
    NOAEL for systemic toxicity, since the LOAEL for clinical signs was
    not specified (US National Cancer Institute, 1979).

         Groups of 60 male and 60 female specific-pathogen-free B6C3F1
    mice were fed diets containing technical-grade fenthion (purity,
    92.3%) at 0, 0.1, 1.0, 5.0, or 25 ppm, equal to 0, 0.03, 0.40, 1.95,
    or 9.42 mg/kg bw per day in males and 0, 0.03, 0.47, 2.25, or
    10.63 mg/kg bw per day in females, for 102 weeks. Additional groups of
    20 mice of each sex were fed the same diets for 50 weeks before
    scheduled interim kills. Brain acetylcholinesterase activity was
    depressed by > 10% at > 0.1 ppm in males and at > 1.0 ppm in
    females, but the effect was not dose-related and was seen in males at
    terminal but not interim sacrifice and in females at interim but not
    terminal sacrifice. Significant (> 20%) inhibition of erythrocyte
    acetylcholinesterase activity occurred only in the males at 25 ppm at
    week 54. As the inhibition of brain acetylcholinesterase was only
    marginally significant (10-17%) at the three lower doses, there was no
    dose-response relationship, and the effect was inconsistent over
    treatment intervals, it was judged to be of minimal toxicological
    significance at doses > 5.0 ppm. The NOAEL for systemic toxicity
    was 1.95 mg/kg bw per day, as brain acetylcholinesterase activity was
    clearly depressed at the next highest dose in males at both interim
    and terminal sacrifice (29-32%) and in females at interim sacrifice
    (26%). At this dose, there were also significant increases in body
    weight in animals of each sex, elevated plasma cholesterol levels in
    animals of each sex early in the study, and elevated absolute and
    relative liver weights of male mice at termination. In the absence of
    remarkable histopathological findings, the changes at 25 ppm were
    considered not to be toxicologically significant. There was no
    increased incidence of any neoplastic or non-neoplastic lesion in the
    treated mice at any dose up to and including 9.42 mg/kg bw per day.
    Technical-grade fenthion was thus considered not to be oncogenic to
    mice under the conditions of the study (Suberg & Leser, 1990).

         The observation of an increased incidence of integumentary
    sarcomas in male mice (US National Cancer Institute, 1979) at doses of
    1.5 and 3.0 mg/kg bw per day was not reproduced in a second study
    (Suberg & Leser, 1990) in which doses up to 9.42 mg/kg bw per day were
    tested. As the increased tumour incidence in the first study was not
    dose-related and was site-and sex-specific and the results of the
    second study (conducted with more control animals and more groups for
    interim sacrifice) were clearly negative at doses up to three times
    those of the first study, technical-grade fenthion would appear not to
    be oncogenic in the mouse.

    Rats

         Groups of male and female Fischer 344 rats, 25 of each sex in the
    control group and 50 of each sex per dose, were fed technical-grade
    fenthion (purity unspecified) at dietary concentrations of 0, 10, or
    20 ppm (equivalent to 0, 0.5, or 1.0 mg/kg bw per day) for 103 weeks.
    All surviving animals were maintained for one or two weeks after the
    end of treatment and were then sacrificed and submitted to gross and
    microscopic examination. No treatment-related mortality or behavioural
    changes were observed, and the growth rate was comparable in control
    and treated groups. Histopathological examination revealed a variety
    of neoplastic and non-neoplastic lesions common to rats of this
    strain. No increase in the incidence of any type of tumour was
    observed in the treated rats at any dose up to and including 20 ppm
    (1.0 mg/kg bw per day). Technical-grade fenthion was thus considered
    not to be oncogenic to the rat under the conditions of the study (US
    National Cancer Institute, 1979).

         Groups of male and female specific-pathogen-free Wistar rats, 100
    of each sex in the control group and 50 of each sex per dose, were fed
    technical-grade fenthion (purity unspecified) in the diet at
    concentrations of 0, 3, 15, or 75 ppm, equal to 0, 0.14, 0.72, or
    374 mg/kg bw per day in males and 0, 0.19, 0.93, or 4.46 mg/kg bw per
    day in females, for 24 months. The rats were weighed weekly during the
    first 26 weeks and every two weeks thereafter. Food consumption was
    recorded weekly. Haematology, clinical chemistry, liver and kidney
    funtional tests, and urinalysis were performed on five rats of each
    sex per group at 1, 3, 6, and 12 months, and on 10 rats of each sex
    per group at the end of the study (24 months). Plasma and erythrocyte
    cholinesterase activities were determined at the end of weeks 1, 2, 4,
    8, 13, 26, 52, 78, and 105; brain acetylcholinesterase activity was
    not measured. At the end of the study, all surviving rats were
    sacrificed and examined macroscopically, and tissues and organs were
    removed, weighed, and studied microscopically. Doses of 3 or 15 ppm
    did not affect physical appearance, behaviour, growth, or survival
    rate, but males at the highest dose had a significantly lower body
    weight and both males and females appeared to have increased mortally.
    No treatment-related effect was observed by haematology, clinical
    chemistry, urinalysis, or gross or microscopic pathology. (It should
    be noted that the rats from which blood and urine samples were taken
    for analysis during the first year were not identified.) Significant,
    dose-dependent depression of plasma and erythrocyte cholinesterase
    activities was observed in animals of each sex at 15 and 75 ppm. The
    NOAEL for systemic toxicity, based on erythrocyte acetylcholinesterase
    inhibition, was 0.14 mg/kg bw per day. The results of histopathology
    showed no increase in the incidence of tumours in treated rats at any
    dose up to and including 3.74 mg/kg bw per day, the highest dose
    tested, indicating that technical-grade fenthion was not oncogenic to
    the rat under the conditions of the study (Bomhard & Loser, 1977).

         Groups of 50 male and 50 female Fischer 344 rats were fed diets
    containing technical-grade fenthion (purity, 97.0%) at concentrations
    of 0, 5, 20, or 100 ppm, equal to 0, 0.2, 0.8, or 5.2 mg/kg bw per day
    in males and 0, 0.3, 1.3, or 7.3 mg/kg bw per day in females, for two
    years. Two additional groups of 20 rats of each sex were fed diets
    containing fenthion at concentrations of 0 or 100 ppm for one year
    before scheduled interim sacrifice. No NOAEL for systemic toxicity
    could be determined, because of statistically (P < 0.05) and
    toxicologically significant (> 10%), dose-related inhibition of brain
    acetylcholinesterase activity in animals of each sex at all doses,
    including the lowest dose of 0.20 mg/kg bw per day. Plasma and
    erythrocyte cholinesterase activities were also depressed at all
    doses, but toxicologically significant (> 20%) inhibition of
    erythrocyte acetylcholinesterase occurred only at > 20 ppm. At the
    highest dose, technical-grade fenthion was retinotoxic, especially in
    females, and ophthalmological examination revealed an increased
    incidence of retinal degeneration and posterior subcapsular cataract
    formation in females and focal corneal scarring in animals of each
    sex. Histopathological examination revealed a higher incidence of
    corneal mineralization and retinal atrophy in females, and corneal
    neovascularization and optic nerve atrophy in animals of each sex. The
    retinotoxic effect was further confirmed by electroretinographic
    examination, with suppression of electroretinograms also in a number
    of females at 20 ppm at interim sacrifice at week 75. At 100 ppm,
    additional treatment-related effects were an increased incidence of
    nonspecific clinical signs (urine staining, tail and paw lesions,
    rough coat, and hunched back), lower body-weight gain, and remarkable
    histopathological findings including vacuolar degeneration of the
    nasolacrimal ducts, mineralized and raised areas in the stomach,
    stomach acanthosis, hyperkeratosis (males) and hyperplasia (females),
    epididymal vacuolar degeneration, and chronic active inflammation of
    the skin of the tail and hindlimbs. A higher incidence of vacuolar
    degeneration of the nasolacrimal ducts was also seen in females at
    20 ppm. There were no treatment-related oncogenic effects in males or
    females at any dose up to and including 5.2 mg/kg bw per day, the
    highest dose tested. Technical-grade fenthion was thus considered not
    to be oncogenic to the rat under the conditions of the study
    (Christenson, 1990b).

    (d)  Reproductive toxicity

    Mice

         In a five-generation, two-litter per generation study, two groups
    of CD-1 mice received technical-grade fenthion (purity unspecified) in
    their drinking-water at concentrations of 0 or 60 ppm (equivalent to
    9.0 mg/kg bw per day). The control group comprised 10 males and 14
    females, and the treated group comprised 10 males and 22 females.
    There was a significant increase in pup mortality during the first
    postnatal week, especially in the second, third, and fourth

    generations. No treatment-related effect on reproductive performance,
    lactation, or growth rate of pups was observed. No histopathological
    changes were noted in the liver or kidney of adult males of the third
    generation (Budreau & Singh, 1973b).

    Rats

         In a two-generation, one-litter per generation study in Crl:CD BR
    rats, five groups of 30 male and 30 female animals were fed diets
    containing technical-grade fenthion (purity, 96.9%) at concentrations
    of 0, 1, 2, 14, or 100 ppm, equal to 0, 0.08, 0.16, 1.16, or 8.3 mg/kg
    bw per day (based on premating food intake values), for 70 days (F0
    and F1 parents) before mating (1:1 ratio) for production of the F1
    and F2 litters. No treatment-related effect on mortality, clinical
    signs of toxicity, mean body weight, mean food consumption, or gross
    pathology was observed in adults of the F0 or F1 generation.
    Epididymal weight was increased in F0 males at 100 ppm.
    Histopathological examination revealed vacuolation in the lining
    ductal epithelial cells of the corpus epididymus in a few F0 and F1
    males at 14 ppm and in all at 100 ppm. Brain acetylcholinesterase
    activity was significantly (> 10%) depressed in F0 females at all
    doses and in F0 males and F1 males and females at the two higher
    doses. Inhibition at the two lower doses (-22 and -17%, respectively)
    in F0 females was not dose-related and was of a magnitude similar
    to those at 14 ppm in F0 males (-19%) and in F1 males (-28%)
    and females (-18%). F0 female controls had a mean brain
    acetylcholinesterase activity of 2428 mU/g, which was significantly
    higher than the other control values observed in the study (2137,
    1894, and 1515 mU/g for F0 male, F1 male, and F1 female controls,
    respectively). The effect on brain acetylcholinesterase activity seen
    in F0 females at 1 and 2 ppm was therefore judged to be of minimal
    toxicological significance. At the two higher doses, significant
    (> 20%) inhibition of plasma and erythrocyte cholinesterase
    activity was seen in all parental adults and pups. Neonatal brain
    acetylcholinesterase activity was inhibited only at the highest dose.
    The NOAEL for maternal toxicity was 0.16 mg/kg bw per day, based on
    consistent inhibition of brain and erythrocyte acetylcholinesterase
    activity at 14 ppm. There was no treatment-related effect on
    reproductive performance, embryo- or fetotoxicity, litter size, pup
    viability, or growth at > 14 ppm. At the highest dose, decreased
    fertility, a decreased number of implantation sites per dam, decreased
    litter size, an increased number of stillborn pups per litter, a
    reduced viability index (days 0-4), and decreased pup body-weight gain
    during lactation (days 14 and 21) were observed in both F0 and F1
    generations and F1 and F2 litters. The NOAEL for reproductive
    toxicity was thus 1.16 mg/kg bw per day (Kowalski  et al., 1989).

    (e)  Developmental toxicity

    Rats

         Four groups of 20 mated FB30 Long-Evans female rats were given
    technical-grade fenthion (purity, 98.1%) in aqueous Cremophor EL
    emulsion by gavage at 0, 1, 3, or 10 mg/kg bw per day once daily on
    days 6-15 of gestation; the day semen was detected in a vaginal smear
    was designated day 0 of gestation. On gestation day 20, all surviving
    dams were sacrificed, and the fetuses were delivered by caesarean
    section and necropsied. The numbers of implantation sites and of live,
    dead, and resorbed fetuses, litter weight, fetal body weight, and
    placental weight were recorded, and all fetuses were examined for
    external, visceral, and skeletal abnormalities. No treatment-related
    mortality, clinical symptoms of maternal toxicity, or disturbance of
    intrauterine development were noted at any dose. All fetuses delivered
    developed normally. No signs of fetotoxicity were seen, and no
    treatment-related malformations were observed in any of the fetuses at
    any dose up to and including 10 mg/kg bw per day. The NOAEL for
    maternal toxicity, embryo- and fetotoxicity, and teratogenicity was
    10 mg/kg bw per day, the highest dose tested (Machemer, 1978a).

         Groups of 33 mated Crl:CD BR female rats were given technical-
    grade fenthion (purity, 96.5%) in 5% aqueous Emulphor solution by
    gavage at doses of 0 (vehicle control), 1, 4.2, or 18 mg/kg bw per day
    once daily on days 6-15 of gestation; the day spermatozoa were
    detected in a vaginal smear was designated as day 0 of gestation. Five
    animals from each group were sacrificed on day 16, and the remaining
    28 dams in each group were killed on day 20 of gestation. All dams
    were necropsied; the gravid uterus was removed and examined, and the
    fetuses were delivered by caesarean section and examined for external,
    visceral, and skeletal abnormalities. No NOAEL for maternal toxicity
    could be determined owing to dose-related, toxicologically
    significant inhibition of brain (> 10%) and erythrocyte (> 20%)
    acetylcholinesterase activities at all doses tested, including the
    lowest dose of 1 mg/kg bw per day, on days 16 and 20 of gestation.
    Plasma cholinesterase was also depressed at > 1 mg/kg bw per day on
    day 16 and at 18 mg/kg bw per day on day 20. No other treatment-
    related maternal or embro- or fetotoxicity was seen at > 4.2 mg/kg
    bw per day. At the highest dose, clinical symptoms of intoxication
    (dry or bloody lacrimation, exophthalmia, hypoactivity, tremors,
    salivation, and urine-stained peritoneum), decreased mean bodyweight
    gain, and reduced food consumption were observed. There was also a
    slight increase in fetal skeletal variations, including an increased
    incidence of incomplete ossification of the cervical arches, skull
    bones, and third, fourth, and sixth sternebrae, and incomplete and/or
    unossified metacarpals and metatarsals. These findings represent a
    delay in skeletal maturation and were considered not to be adverse or
    of toxicological significance. No other treatment-related embryo- or
    fetotoxic effects were observed, and no treatment-related
    malformations were observed in the fetuses at any dose up to and

    including 18 mg/kg bw per day. The NOAEL for embryo- and fetotoxicity
    and teratogenicity was therefore 18 mg/kg bw per day, the highest dose
    tested (Kowalski, 1987).

    Rabbits

         Groups of 17 artificially inseminated American-Dutch female
    rabbits were given technical-grade fenthion (purity, 96.5%) in 5%
    aqueous Emulphor solution by gavage at doses of 0 (vehicle control),
    1, 2.75, or 7.5 mg/kg bw per day once daily on days 6-18 of gestation;
    the day of artificial insemination was designated day 0 of gestation.
    All surviving animals were sacrificed on gestation day 28 and
    necropsied; the gravid uterus was removed and examined, and the
    fetuses were delivered by caesarean section and examined for external,
    visceral, and skeletal abnormalities. The NOAEL for maternal toxicity
    was 1 mg/kg bw per day based on toxicologically significant inhibition
    of brain (> 10%) and erythrocyte (> 20%) acetylcholinesterase
    activities at the two higher doses on gestation day 19 and/or 28. At
    > 2.75 mg/kg bw per day, an increased incidence of soft stools was
    noted both during and after treatment. At the highest dose, plasma
    cholinesterase activity was depressed on gestation day 19 only. There
    was also an increased incidence of unossified anterior metacarpals
    among the fetuses, but this finding represents a delay in skeletal
    maturation and was considered not to be an adverse effect of
    toxicological significance. No other treatment-related embryo- or
    fetotoxic effects were observed, and no treatment-related
    malformations were observed in any of the fetuses at any dose up to
    and including 7.5 mg/kg bw per day. The NOAEL for embryo- and
    fetotoxicity and teratogenicity was 7.5 mg/kg bw per day, the highest
    dose tested (Clemens, 1987).

    (f)  Genotoxicity

         In an assay for dominant lethal mutation, three groups of 50 male
    NMRI mice were each given a single oral dose of 0, 10, or 25 mg/kg bw
    of technical-grade fenthion (purity unspecified) as a 2% aqueous
    emulsion. Each male was then caged with an untreated virgin female for
    four days; the same procedure was repeated for a total of 12 matings.
    On days 12-16 of gestation, the females were sacrificed, and the
    numbers of implantations and of live and dead implants (deciduomata,
    resorption sites, and dead embryos) were counted. The high dose
    resulted in overt clinical signs of toxicity in males (drowsiness,
    ruffled coat, and dilated intestines). Except for increased
    preimplantation loss at 25 mg/kg bw in the first two mating periods,
    no other treatment-related effects on reproductive performance
    (fertility, pre- and post-implantation loss) were observed (Machemer,
    1978b).

         A battery of studies was conducted with technical-grade fenthion
    to assess its potential to induce gene mutation, chromosomal
    aberration, or unscheduled DNA synthesis. The results (summarized in
    Table 2) were mostly negative; weakly positive results were obtained
    in two of five assays for sister chromatid exchange, in one of two
    assays for micronucleus formation (at a dose of 150 mg/kg bw), and in
    one assay for unscheduled DNA synthesis. Summary results from the US
    Environmental Protection Agency Health Effects Research Laboratory
    (Simmon  et al., 1977) indicated that technical-grade fenthion does
    not induce reverse mutation in  Salmonella typhimurium TA98, TA100,
    TA1535, TA1537, or TA1538 or  Escherichia coli WP2  uvrA; enhanced
    mitotic recombination in yeast ( Saccharomyces cerevisiae D3);
    unscheduled DNA synthesis in human fibroblasts (WI-38 cells);
    preferential toxicity (DNA repair-proficient/deficient) in  E. coli
    (W3110, p3478) or  Bacillus subtilis (H17, M45); or sex-linked
    recessive lethality in  Drosophila melanogaster in vivo.

    (g)  Special studies

    (i)  Dermal and ocular irritation and dermal sensitization

         Technical-grade fenthion (purity 97-99%) was not irritating to
    the skin and was minimally or not irritating to the eyes of New
    Zealand white rabbits (Pauluhn, 1985; Eigenberg, 1987c,d).

         Technical-grade fenthion (purity 98.5%) did not induce dermal
    sensitization in a maximization test (according to the method of
    Magnusson and Kligman) in male DHPW guinea-pigs (Flucke, 1987)

    (ii)  Potentiation

         Fenthion potentiated the acute intraperitoneal toxicity of
    malathion, dioxathion, and coumaphos in rats, but intraperitoneal
    administration of 13 other organophosphate or carbamate insecticides
    to rats in combination with fenthion did not result in greater than
    additive toxic effects (Dubois & Kinoshita, 1964). Dietary combination
    of equitoxic doses (2 mg/kg bw) of fenthion with coumaphos, neither of
    which alone affected cholinesterase activity when fed to dogs for six
    weeks, was found to potentiate the anticholinesterase activity of
    serum and erythrocytes by 75 and 30%, respectively. The potentiation
    was less evident with malathion, and no potentiation was noted when
    fenthion was fed in combination with dioxathion (Doull  et al.,
    1962). Oral administration to rats of a single dose of either a 3:1
    mixture of fenthion and dichlorvos or a 1:3 mixture of fenthion and
    isofenthion did not result in a greater than the theoretical additive
    toxic effect (Kimmerle, 1967; Heimann, 1982). In several recent
    studies, pretreatment with fenthion significantly potentiated the
    acute toxicity of 2- sec-butylphenyl  N-methylcarbamate in mice and
    dogs. Its acute toxicity in mice was increased 15-fold by a 1-h oral
    pretreatment with 30 mg/kg bw fenthion (one-tenth of the LD50).

        Table 2.  Results of tests for the genotoxicity of technical-grade fenthion
                                                                                                                                             

    End-point                     Test system                   Concentration                      Results                  Reference
                                                                or dose
                                                                                                                                             

     IN vitro
    Reverse mutation              S. typhimurium TA98,          0, 20-12 500 µg/plate              Negative                 Herbold (1987)
                                  TA100, TA1535, TA1537         0, 750-12 000 µg/plate
    Reverse mutation              S. typhimurium TA98,          0, 8-5000 µg/plate                 Negative                 Herbold (1990a)
                                  TA100, TA1535, TA1537
    hprt forward mutation         Chinese hamster ovary         0, 20.0-100 µg/ml                  Negative                 Lehn (1990a)
                                  cells                         0, 12.5-75 µg/ml
    Chromosomal aberration        Chinese hamster ovary         0. 0.02-0.15 µg/ml                 Negativea                Putman & Morris
                                  cells                                                                                     (1989)
    Chromosomal aberration        Chinese hamster lung cells    0, 23.5-94 µg/ml                   Negativea                Kajiwara (1989)
    Sister chromatid exchange     Chinese hamster V79 cells     0, 10-80 µg/ml                     Negative at < 20b,c      Chen et al.
    (1982a)
    Sister chromatid exchange     Chinese hamster V79 cells     0, 10-80 µg/ml (in diffusion       Weakly positive          Chen et al. (1982b)
                                                                chambers)                          at > 40b
    Sister chromatid exchange     Human lymphoid cell line      0, 0.02-20 µg/ml (unactivated)     Negativea,b              Sobti et al.
    (1982)
                                  LAZ-007 (of B-cell origin)    0, 20 µg/ml (activated)
    Chromosomal aberration,       Human lymphocytes             0, 0.5-5.0 µg/ml                   Weakly positive          Rani & Rao (1991)
     sister chromatid exchange                                                                     at > 1.5
    Unscheduled DNA               Rat primary hepatocytes       0, 10-100 µg/ml                    Weakly positive          Lehn (1990b)
     synthesis                                                  0, 5-30 µg/ml                      at > 5
                                                                                                                                             

    Table 2.  (con't)
                                                                                                                                             

    End-point                     Test system                   Concentration                      Results                  Reference
                                                                or dose
                                                                                                                                             

     In vivo
    Sister chromatid exchange     Rat bone-marrow               0, 10-100 mg/kg bw                 Negative                 Bai et al (1990)
                                  lymphoid cells
    Micronucleus formation        Bor:NMRI mouse bone           0, 150 mg/kg bw                    Weakly positive          Herbold (1990b)
                                  marrow                                                           at 150b
                                                                                                                                             

    a  With and without exogenous metabolic activation
    b  Not confirmed in an independent assay
    c  Threshold of cytotoxicity
        Inhibition of the metabolism or detoxification of 2- sec-butylphenyl
     N-methylcarbamate by desulfuration of fenthion may have been
    responsible, at least in part, for the synergistic effect (Miyaoka
     et al., 1984, 1986, 1987).

    (iii)  Cholinesterase inhibition

         Twelve groups of 10 tasted male Fischer 344 (CDF/Crl/Br) rats
    were given single doses of technical-grade fenthion (purity, 97.5%)
    orally, dermally, or subcutaneously at 0, 1, 5, or 25 mg/kg bw, and
    the effect of the route of administration on plasma, erythrocyte,
    and/or brain cholinesterase activity was studied for up to 14 days
    after treatment. The NOAEL for all routes of administration was
    5 mg/kg bw, based on toxicologically significant inhibition of
    erythrocyte (> 20%) and brain (> 10%) acetylcholinesterase
    activities at 25 mg/kg bw. Inhibition of plasma and erythrocyte
    cholinesterase activity was maximal at 24 h after oral administration
    and four days after dermal or subcutaneous administration, suggesting
    more efficient absorption by the oral route. On day 14 after
    treatment, depression of brain acetylcholinesterase activity was
    greatest in the group that were treated subcutaneously; the prolonged
    recovery may be associated with a slower release of fenthion into the
    circulation when given by this route. The magnitude of cholinesterase
    inhibition appeared to be only marginally significant after dermal
    administration, suggesting that absorption is less effective by this
    route. The rates of absorption were thus oral route > subcutaneous
    route > dermal route (Christenson, 1990c).

    (iv)  Delayed neurotoxicity

          Acute delayed neurotoxicity in hens: Groups of 15
    atropine-protected, adult laying hens (Lohmann selected Leghorn
    strain), five to seven months old, were given two doses of fenthion
    (E 1752; purity, 98.5%) in 2% Cremophor EL by gavage at 40 mg/kg bw or
    dermally at 200 mg/kg bw, 21 days apart. A positive control group of
    five hens was given tri- ortho-cresyl phosphate (purity, 99.1%)
    orally as a single dose of 375 mg/kg bw. Six hens given an oral dose
    of 5 ml/kg bw 2% Cremophor EL and six untreated hens served as
    negative controls. All animals were observed for 21 days after the
    second dose before sacrifice, with the exception of the tri- ortho-
    cresyl phosphate-treated hens which were killed on day 22 in moribund
    condition. At termination, peripheral and central nervous tissues were
    removed, fixed, and stained for microscopic examination. Clinical
    signs of acute cholinergic intoxication were evident in all
    fenthion-treated hens 7-24 h after treatment; recovery occurred within
    7-8 days after oral administration and 14-18 days after dermal
    application. No clinical symptoms (irreversible impairment of motor
    coordination) or neurohistopathological lesions indicative of delayed
    neuropathy were observed. The positive controls exhibited symptoms of
    delayed nerurotoxicity (abnormal gait, ataxia, and paresis) from day 7

    after treatment, which persisted until sacrifice on day 22;
    neurohistopathological lesions characteristic of delayed neuropathy
    were also evident (Flucke & Kaliner, 1987).

          Neuropathy target esterase activity: Groups of nine atropine-
    protected, adult hens (Lohmann selected Leghorn strain) were given a
    single oral dose of technical-grade fenthion (E 1752; purity, 98.5%)
    in 2% Cremophor EL by intubation at doses of 0 (vehicle control) or
    40 mg/kg bw. Nine positive controls received tri- ortho-cresyl
    phosphate as a single oral dose of 100 mg/kg bw. Neuropathy target
    esterase activity in brain and spinal cord was inhibited by 0-14% over
    that in vehicle controls 24 and 48 h and seven days after treatment.
    Severe inhibition (> 50-90%) was seen in the positive controls
    throughout the study (Flucke, 1988a).

         Groups of nine atropine-protected adult hens (Lohmann selected
    Leghorn strain) were given a single dermal dose of technical-grade
    fenthion (E 1752; purity, 98.5%) in 2% Cremophor EL at doses of 0
    (vehicle control), 200, or 400 mg/kg bw. A positive control group of
    three to nine hens received tri- ortho-cresyl phosphate as a single
    dose of 100 mg/kg bw by intubation. Neuropathy target esterase
    activity in brain and spinal cord was inhibited by 0-20% over that in
    vehicle controls at 24, 48, and 72 h and up to seven days after
    treatment. Severe inhibition (> 80%) was seen in the positive
    controls 24 and 48 h after treatment, demonstrating the sensitivity of
    the test (Flucke, 1988b)

          Short-term delayed neurotoxicity in hens: Groups of 10 adult
    white Leghorn hens  (Gallus gallus) were given technical-grade
    fenthion (purity, 96.5%) by gavage in clear corn oil solution at doses
    of 0, 1, 2, or 4 mg/kg bw per day for 14 weeks. Tri- ortho-cresyl
    phosphate (10-60 mg/kg bw per day) was given as a positive control. No
    treatment-related clinical symptoms or increases in the incidence
    and/or severity of histopathological lesions of nervous tissues
    characteristic of organophosphate-induced delayed neurotoxicity were
    evident in the fenthion-treated hens at up to and including the
    highest dose. Clinical signs of decreased activity and ataxia were
    noted, but predominantly in the first hours after treatment; they were
    no longer seen before the next dose, suggesting that they were likely
    to have been caused by repetitive, severe acute cholinergic
    intoxication and were not related to delayed neurotoxicity. The
    positive controls had both toxic symptoms and histopathological
    lesions of the nervous tissues typical of delayed neurotoxicity.
    Histopathological examination revealed a dose-related increase in the
    incidence of muscular hypertrophy or hyperplasia in all muscle layers
    of the oesophagus, crop, proventriculus, gizzard, and intestine of all
    fenthion-treated hens and glandular and nonglandular epithelial
    hyperplasia in the oesophagus, crop, and proventriculus of some at the

    middle dose and in most at the high dose. These lesions were probably
    due to localized acetylcholinesterase inhibition, with subsequent
    overstimulated muscle hypertrophy (Hayes & Ramm, 1988).

         A second short-term study, in which technical-grade fenthion was
    fed to hens was conducted to determine if the muscular hypertrophy and
    hyperplasia observed by Hayes and Ramm (1988) were a direct effect of
    fenthion or were due to the route of treatment. Two groups of 10 adult
    white Leghorn hens  (Gallus gallus domesticus) were given technical-
    grade fenthion (purity, 96.9%) at dietary concentrations of 0 or
    52 ppm (equivalent to 4 mg/kg bw per day) for 90 days. Minimal to
    moderate muscular hypertrophy or hyperplasia was seen in the distal
    oesophagus (between the crop and the proventriculus) of all treated
    hens, which accounted for 98-99% of the increased thickness (+ 55%, in
    comparison with controls) in the oesophageal wall. Hypertrophy or
    hyperplasia of the oesophageal glandular components was also seen in
    four birds. In addition, treated hens had a statistically significant
    (P < 0.05) depression of cholinesterase activity in whole blood
    (> 50% in comparison with controls) and tissue from all three
    regions of the upper gastrointestinal tract (oesophagus, crop, and
    proventriculus: about 70% in comparison with controls). It was
    concluded that the muscular hypertrophy and hyperplasia observed
    in the fenthion-treated hens was probably due to localized
    acetylcholinesterase inhibition with subsequent overstimulation of the
    oesophageal smooth muscle layers (Hayes, 1989).

          Assessment of the neurotoxicity of fenthion in the literature:
    A position paper (Flucke, 1990) which presented and discussed nine
    publications dealing with the assessment of neurotoxicity of fenthion
    was submitted. The main findings and critical evaluations are
    summarized below.

    1.   In the series of four studies by Farage-Elawar & Francis (1987,
         1988a,b; Francis & Farage-Elawar, 1987), the effects of fenthion,
         debromoleptophos (which induces organophosphate-induced delayed
         neurotoxicity), and fenitrothion (which does not) were compared
         in very young chicks. On the basis of the finding that fenthion
         produced neurotoxic signs (altered gait) and inhibition (> 50%)
         of cholinesterase but little or no inhibition of neuropathy
         target esterase, it was postulated that its neurotoxic potential
         is not classical organophosphate-induced delayed neurotoxicity. A
         critical evaluation of the four publications (by Flucke, 1990,
         and the reviewer) revealed that the three organophosphates were
         not administered in equitoxic doses, thus rendering direct
         comparison of their toxic effects inappropriate, and that the
         test animals were malnourished. Under the study conditions, there
         was probably prolonged acute cholinergic intoxication due to
         severe inhibition of cholinesterases after the lethal or
         sublethal doses of debromoleptophos and fenthion, in contrast to
         the low dose of fenitrothion (about one-fifth of the LD50),

         which would not have induced overt cholinergic symptoms. A
         build-up of acetylcholine at the motor end-plates could result in
         pronounced, prolonged muscle fasciculation and, secondarily, in
         the known necrotizing effects. Young chicks undergoing rapid
         growth and muscle development are less likely to compensate
         quickly and completely for this type of muscle damage, especially
         if they are undernourished. Accordingly, the neurotoxic effects,
         which occurred to the same degree with debromoleptophos and
         fenthion, could be attributed to primary effects of severe acute
         cholinergic intoxication and not to a particular (unknown)
         neurotoxic potential of fenthion, as postulated by the authors.

    2.   Tuler  et al. (1988) and Dellinger & Mostrom (1988) examined the
         neurotoxic effects of fenthion in dogs. In the first study, the
         authors concluded that there was no evidence of delayed
         neurotoxicity. Prolonged weekly treatment with fenthion caused
         hyperreflexia, proprioceptive deficits, progressive muscle fibre
         necrosis, ultrastructural changes in nerve axons, and loss of
         small motor units. Fenthion-induced primary neuropathy leading to
         secondary myopathy was proposed. In the second study, the authors
         concluded that there was no evidence of cholinergic effects and
         no effect on vagal tone during the period of fenthion treatment
         when maximal inhibition (> 50%) of acetylcholinesterase activity
         was measured; however, on day 14 after treatment, the treated
         dogs gave a slightly smaller response to an atropine challenge
         (in comparison with controls), suggesting possible down-
         regulation of the cholinergic receptors.

              A critical evaluation of these two publications (by Flucke,
         1990 and the reviewer) revealed the following: (i) The fenthion-
         treated dogs had severe organophosphate intoxication and that the
         clinical symptoms of muscle fasciculation, ataxia, hyperreflexia,
         proprioceptive deficits, and hindquarter weakness were likely to
         be the result of neuromuscular overstimulation due to severe
         acetylcholinesterase inhibition. Reversibility or recovery was
         seen in most of the dogs when the dose of fenthion was reduced
         from 44 to 22 mg/kg bw or omitted for one week, suggesting the
         neuropathy was not irreversible. (ii) Progressive muscle libre
         necrosis was evident in the distal parts of the sciatic nerves of
         fenthion-treated dogs, with reorganization of the sensory and
         motor innervations. As primary impairment of the peripheral
         nerves does not result in muscle necrosis but rather in atrophy
         of muscle fibres, the results were judged not to be indicative of
         a primary neuropathic effect. In addition, receptor down-
         regulation can be considered a physiological adaptation process
         to maintain internal equilibrium, serving as a protective
         mechanism by which the organism normalizes functions that are
         impaired by the intake of pharmacodynamic substances.
         Accordingly, the small changes noted in the vagal tone of dogs
         after chronic administration of fenthion probably represented an

         adaptive change and are. not indicative of irreversible
         impairment of the neuromuscular junctions. Thus, the studies, of
         Tuler  et al. (1988) and Dellinger & Mostrom (1988) do not give
         evidence of a particular neurotoxic effect of fenthion in dogs.

    3.   Tuler & Bowen (1989) investigated the neurotoxic effects of
         fenthion, paraoxon (an organophosphate), and neostigmine (a
         non-organophosphate) on chick embryo nerve cell growth and
         ultrastructure in culture. Altered cell membrane integrity and
         increased cytoplasmic lipid (vacuole) accumulation were observed
         in cells treated with fenthion or paraoxon but not in those
         treated with neostigmine. The authors concluded that
         organophosphates had direct effects on neuronal cells in culture;
         however, the following points should be considered: (i)
         Pharmacokinetics plays a special role in intoxication by
         organophosphates, in particular thiophosphates, and in
         detoxification, both of which occur rapidly and simultaneously.
         Fenthion, a thiophosphate, must be converted  in vivo to the
         active oxygen analogue and would therefore be ineffective as an
         inhibitor of esterases  in vitro. (ii) The observed effects on
         the cell membrane and the cell were not specific to neuronal
         cells and can therefore not be compared directly with neurotoxic
         effects  in vivo. It is therefore concluded that the results of
         the study reveal no particular neurotoxic potential of fenthion
          in vivo.

    4.   Misra  et al. (1985, 1988) examined clinical and biochemical
         changes and neuromuscular function in workers chronically exposed
         to fenthion. No clinical signs of peripheral neuropathy or
         myopathy and no pathophysiological findings indicative of
         irreversible neurological deficits were seen in workers exposed
         regularly and repeatedly to fenthion for a mean of 8.5 years.
         They showed symptoms typical of acute cholinergic intoxication
         and significant inhibition of serum cholinesterase. It is
         concluded that the study provides no evidence of a particular or
         delayed neurotoxic potential of fenthion in the workers examined.

         The literature thus provides no evidence of a particular or
    delayed neurotoxic potential but indicates that exposure to fenthion
    results in typical organophosphate-induced cholinergic toxicity due to
    severe acetylcholinesterase inhibition.

    3.  Studies of metabolites

    (a)  Acute toxicity

         The results of studies of the acute toxicity of fenthion
    metabolites are summarized in Table 3.

        Table 3.  Acute toxicity of fenthion metabolites
                                                                                                                 

    Metabolite                              LD50 (mg/kg bw)                    IC50 (mol; 50% inhibition of human
                                                                               erythrocyte acetylcholinesterase)c
                                            Orala        Intraperitonealb
                                                                                                                 

    Fenthion                                  220               325                    > 5.0 × 10-4
    Fenthion sulfoxide                        125               250                      4.5 × 10-5
    Fenthion sulfone                          125               250                      4.7 × 10-4
    Fenthion oxygen analogue                  125                26                      2.7 × 10-6
    Fenthion O-sulfoxide                       50                22                      4.8 × 10-5
    Fenthion O-sulfone                         30                 9                      3.2 × 10-5
    4-(Methylthio)-m-cresol                  6500d
    4-Methyl(thiosulfoxide)-m-cresol         3500d
    4-Methyl(thiosulfone)-m-cresol           7000d
                                                                                                                 

    a  In male rats (Francis & Barnes, 1963)
    b  In female rats (Dubois & Kinoshita, 1964)
    c  Francis & Barnes (1963)
    d  In female rats (Nelson, 1967)
        (b)  Short-term toxicity

    Mice

         Groups of 10 male and 10 female ICR mice were fed diets
    containing fenthion sulfoxide (Baycid SO; purity not given) at
    concentrations of 0, 3, 10, 30, 100, or 300 ppm, equivalent to 0,
    0.45, 1.5, 4.5, 15, or 45 mg/kg bw per day, for four weeks, followed
    by a four-week recovery period. Plasma cholinesterase activity was
    depressed in animals of each sex at > 3 ppm, but the effect (an
    indication of exposure) was not considered to be toxicologically
    significant. Brain acetylcholinesterase activity was significantly
    inhibited in males at > 3 ppm and in females at > 10 ppm. At the
    two highest doses, decreased body weight was noted in animals of each
    sex; at the highest dose, tremor was seen in all mice. All of the
    treatment-related effects (including cholinesterase depression)
    disappeared rapidly during the recovery period. There was no NOAEL.
    The LOAEL, based on significant brain acetylcholinesterase inhibition
    in males, was 0.45 mg/kg bw per day, the lowest dose tested (Inukai &
    Iyatomi, 1981a).

    Rats

         Groups of 10 male and 10 female Sprague-Dawley rats were fed
    diets containing fenthion sulfoxide (Baycid SO; purity not given)
    at concentrations of 0, 3, 10, 30, 100, or 300 ppm, equivalent to
    0, 0.15, 0.5, 1.5, 5, or 15 mg/kg bw per day, for four weeks,
    followed by a four-week recovery period. Plasma cholinesterase
    activity was depressed in females at > 3 ppm, but the effect
    (an indication of exposure) was considered not to be toxicologically
    significant. No treatment-related adverse effect was observed at
    3 ppm. At > 10 ppm, significant, dose-related depression of
    acetylcholinesterase activity in brain was seen in animals of each sex
    and in erythrocytes in males after four weeks of treatment; in
    females, erythrocyte acetylcholinesterase activity was inhibited at
    > 30 ppm. At the two highest doses, decreased body weight and food
    consumption and increased alkaline phosphatase activity were noted. At
    the highest dose, tremor was seen in all rats. All of the treatment-
    related effects (including cholinesterase depression) disappeared
    rapidly during the recovery period. The NOAEL was 0.15 mg/kg bw per
    day, based on significant inhibition of brain (> 10%) and erythrocyte
    (> 20%) acetylcholinesterase activities at 0.5 mg/kg bw per day
    (Inukai & Iyatomi, 1981b).

    4.  Observations in humans

         Fenthion has been used widely in many parts of the world for
    control of e.g. household pests and mosquitos. Studies of individuals
    in areas treated for malaria eradication have shown slight plasma
    cholinesterase depression when heavy spray schedules were used. The

    levels were depressed for up to six weeks after spraying (Elliot &
    Barnes, 1963). Children under the age of seven were more susceptible
    to the anticholinesterase effect than adults, but no inhibition of
    erythrocyte cholinesterase was observed and there were no significant
    alterations in normal physiological functions in any individual
    examined (Taylor, 1963).

         The signs of acute poisoning appear rapidly, beginning with
    blurred vision, unsteady gait, and slurred speech. In one reported
    case, a man who had taken an unknown quantity of fenthion still
    suffered extreme respiratory difficulty necessitating artificial
    ventilation and endotracheal intubation after 72 h of emergency
    treatment. The patient began to recover only after 11 days of
    treatment with antidotes which included atropine, pralidoxime
    chloride, and toxogonin (Dean  et al., 1967). Another man remained in
    a comatose state for 45 min after ingesting a fenthion formulation,
    with pale skin, cyanotic mucous membranes, a slow, regular heart beat,
    low peripheral blood pressure, and no reactions to pain or light on
    the pupils. Recovery took six days (von Clarmann & Geldmacher-von
    Mallinkrodt, 1966). A third man, who ingested about 60 g of a fenthion
    formulation (Entex), recovered from severe organophosphorous poisoning
    after being in a critical condition for the first six days. Recovery
    was slow, lasting up to 30 days, and blood cholinesterase activity was
    still depressed 22 days after poisoning (Pickering, 1966).

         The potential dermal and respiratory exposure of workers to
    fenthion during field application by hand-gun power spray equipment,
    back-pack hand pressure sprayers, and hand granular dispersal for
    mosquito control was studied during two work seasons. Workers exposed
    to 3.6-12.3 mg/h dermally (equivalent to 0.5-1.5 mg/kg bw per day) or
    < 0.02-0.09 mg/h by inhalation (equivalent to 0.01-0.05 mg/kg bw per
    day) had decreased plasma but not erythrocyte cholinesterase activity
    (Fytizas-Danielidou, 1971; Wolfe  et al., 1974). In two studies of
    clinical and biochemical changes, nerve conduction velocity, and
    neuromuscular function in 22-24 workers (mean age, 31-32 years)
    exposed regularly and repeatedly to fenthion for a mean of 8.2-8.5
    years, no clinical signs of peripheral neuropathy or myopathy and
    no pathophysiological findings indicative of any irreversible
    neurological deficits were seen. The workers showed symptoms typical
    of acute cholinergic intoxication and inhibition of serum
    cholinesterase, but there was no evidence of delayed neurotoxicity
    (Misra  et al., 1985, 1988).

         In a study of 150 cases of poisoning by anticholinesterase
    insecticides, 32 of the patients had consumed fenthion, 48
    fenitrothion, and 50 malathion; 20 did not know which agent they had
    consumed. Paralytic signs were significantly more frequent after
    fenthion than malathion or fenitrothion poisoning (81.2, 30, and 23%,
    respectively), and they appeared later and lasted longer. Death
    occurred significantly more often after fenthion poisoning, with

    mortality rates of 35.5% with fenthion, 4% with malathion, and 2.1%
    with fenitrothion. Pulmonary oedema was most common after malathion
    poisoning and was not encountered with fenthion. Inhibition of
    cholinesterase was most marked after fenthion poisoning, and the
    enzyme activity was inhibited by 100% in 18 of the 27 cases studied
    (Wadia  et al., 1977).

         In three groups of four male volunteers given technical-grade
    fenthion (purity, 98.1%) in corn oil in gelatin capsules at doses of
    0, 0.02, or 0.07 mg/kg bw per day for up to four weeks, no physical or
    clinical signs of intoxication were reported, and no abnormal results
    were seen by haematology or urinalysis. At 0.07 mg/kg bw per day,
    significant depression (> 20%) of plasma cholinesterase was observed,
    but no treatment-related effects on erythrocyte acetylcholinesterase
    or on other clinical chemistry parameters were observed. The NOAEL was
    0.07 mg/kg bw per day, based on the absence of inhibition of
    erythrocyte acetylcholinesterase (Griffin  et al., 1979).

    Comments

         A single dose of 14C-radiolabelled fenthion was readily absorbed
    and rapidly excreted in the urine and faeces of rats, and no 14C was
    detectable in the expired carbon dioxide. About 90% of the radiolabel
    was eliminated within 48 h of dosing. The excretion profiles were
    similar regardless of sex, dose, or route of administration (oral or
    intravenous). Urine was the main route of elimination (>  90% of the
    total radiolabel), and only minor amounts were recovered in the
    faeces. Little 14C was retained in the tissues, suggesting that
    fenthion does not accumulate in the body of rats.

         14C-Fenthion was extensively metabolized in rats. No unchanged
    parent compound was detected in the urine and very little (< 2%) in
    the faeces. The major group of metabolites (accounting for about 60%
    of the total recovered 14C) comprised three phenols (fenthion phenol
    [4-methylthio- meta-cresol] and its sulfoxide and sulfone) and their
    glucuronide and sulfate conjugates. Four demethyl metabolites
    (accounting for about 30% of the recovered radiolabel) and the
    sulfoxide of fenthion oxon (constituting 1-4%) were also identified.

         Fenthion is moderately toxic (LD50 = 50-500 mg/kg body
    weight) to mice, rats, guinea-pigs, and rabbits when given orally,
    intraperitoneally, dermally, or by inhalation. It is highly toxic to
    avian species (especially to the wild mallard duck) when given
    orally. The LC50 in rats for a 4-h exposure by inhalation was
    0.5-0.9 mg/titre. Fenthion caused cholinergic toxicity with a long
    recovery time. It did not irritate rabbit skin and was minimally or
    not irritating to the rabbit eye; it did not sensitize guinea-pig
    skin. WHO has classified fenthion as highly hazardous.

         Fenthion potentiated the acute toxicity of other cholinergic
    chemicals, such as malathion, dioxathion, and coumaphos, in rats. In
    mice and dogs, pretreatment with fenthion inhibited the metabolism and
    detoxification of 2- sec-butylphenyl methylcarbamate, resulting in
    significant potentiation of its acute toxicity. There was no evidence
    that other cholinergic chemicals potentiate the toxicity of fenthion.

         Repeated short-term administration of fenthion (orally to mice,
    rats, dogs and monkeys; dermally to rabbits; by inhalation to rats)
    and its metabolite fenthion sulfoxide (orally to mice and rats),
    resulted primarily in inhibition of cholinesterase. The NOAEL for oral
    administration of fenthion, based on toxicologically significant
    depression of acetylcholinesterase activity in the brain (> 10%)
    and/or erythrocytes (> 20%), was 5 ppm (equivalent to 0.25 mg/kg bw
    per day) in rats treated for three months or one year, 3 ppm (equal to
    0.09 mg/kg bw per day) in dogs treated for two years, and 0.07 mg/kg
    bw per day in monkeys treated for two years The NOAEL for fenthion was
    50 mg/kg bw per day when applied dermally to rabbits for 21 days on
    the basis of inhibition of brain acetylcholinesterase activity. The

    NOAEL for fenthion in rats exposed by inhalation for 21 days was
    0.001 mg/litre, on the basis of clinical signs of cholinergic toxicity
    and inhibition of brain acetylcholinesterase at higher doses. The
    NOAEL for fenthion sulfoxide administered orally to rats for four
    weeks was 3 ppm (equivalent to 0.15 mg/kg bw per day) on the basis of
    significant inhibition of brain and erythrocyte acetylcholinesterase
    activity. No NOAEL was determined for fenthion or its metabolites in
    mice; the LOAEL for fenthion was 150 ppm (equal to 83 mg/kg bw per
    day) in mice exposed in the diet for four weeks, and the LOAEL for
    fenthion sulfoxide in mice similarly exposed was 3 ppm (equivalent to
    0.45 mg/kg bw per day).

         In a carcinogenicity study, fenthion was administered in the diet
    to mice at 0, 0.1, 1, 5 or 25 ppm for 102 weeks. The NOAEL for chronic
    toxicity was 5 ppm (equal to 2 mg/kg bw per day) on the basis of
    toxicologically significant inhibition of brain and/or erythrocyte
    acetylcholinesterase. There was no evidence of carcinogenicity. In
    two studies of chronic toxicity and carcinogenicity, rats received
    fenthion at dietary concentrations of 0, 3, 15, or 75 ppm or 0, 5,
    20, or 100 ppm for 24 months. The NOAEL for chronic toxicity
    was 3 ppm (equal to 0.14 mg/kg bw per day) on the basis of
    toxicologically significant inhibition of brain and/or erythrocyte
    acetylcholinesterase. The compound was toxic to the eyes of rats at
    100 ppm (equal to 5.2 mg/kg bw per day), inducing an increased
    incidence of retinal atrophy, posterior subcapsular cataract
    formation, corneal mineralization, and mineralization and optic nerve
    atrophy, especially in females. No ocular toxicity was seen at doses
    > 20 ppm (equal to 0.8 mg/kg bw per day). There was no evidence of
    carcinogenicity.

         In a two-generation study of reproductive toxicity (one litter
    per generation), rats were fed diets containing fenthion at levels of
    0, 1, 2, 14, or 100 ppm. The NOAEL for systemic toxicity in the parent
    generation was 2 ppm (equal to 0.16 mg/kg bw per day) on the basis of
    consistent inhibition of brain and erythrocyte acetylcholinesterase.
    The NOAEL for reproductive toxicity was 14 ppm (equal to 1.2 mg/kg bw
    per day) on the basis of decreased fertility, implantation sites,
    litter size, pup viability, and growth at 100 ppm.

         Two studies of developmental toxicity were performed in which
    rats were exposed by gavage to fenthion at doses of 0, 1, 3, or
    10 mg/kg bw per day or 0, 1, 4.2, or 18 mg/kg bw per day on days 6-15
    of gestation. There was no NOAEL for maternal toxicity, owing to
    toxicologically significant inhibition of brain and erythrocyte
    acetylcholinesterase activity at doses > 1 mg/kg bw per day. the
    NOAEL for embryo- and fetotoxicity and teratogenicity was 18 mg/kg bw
    per day, the highest dose tested.

         In a study of developmental toxicity in rabbits, fenthion was
    administered by gavage at doses of 0, 1, 2.8, or 7.5 mg/kg bw per day
    on days 6-18 of gestation. The NOAEL for maternal toxicity was 1 mg/kg
    bw per day, on the basis of toxicologically significant inhibition of
    brain and erythrocyte acetylcholinesterase activity at > 2.8 mg/kg
    bw per day. The NOAEL for embryo- and fetotoxicity and teratogenicity
    was 7.5 mg/kg bw per day, the highest dose tested.

         Fenthion has been adequately tested for genotoxicity in a range
    of assays  in vivo and  in vitro. While most showed no significant
    response, positive results were obtained in two critical assays. The
    Meeting concluded that fenthion is weakly genotoxic.

         Fenthion did not cause delayed neuropathy in hens at doses higher
    than the LD50.

         In a four-week study of male volunteers, the NOAEL was 0.07 mg/kg
    bw per day, the highest dose tested, on the basis of no inhibition of
    erythrocyte acetylcholinesterase. In two investigations of workers
    regularly exposed to fenthion, no evidence of neurotoxicity was
    observed.

         An ADI of 0-0.007 mg/kg bw was established on the basis of the
    NOAEL of 0.07 mg/kg bw per day in the four-week study of human
    volunteers, using a safety factor of 10. The ADI provides a margin of
    safety of > 100-fold for chronic ocular toxicity and for the
    reproductive toxicity observed in rodents.

         The available data did not allow the Meeting to establish an
    acute reference dose different from the ADI (0-0007 mg/kg bw). It
    should be noted, however, that the ADI is derived from a study
    of human volunteers in which 9-36% inhibition of plasma cholinesterase
    but no inhibition of erythrocyte acetylcholinesterase was found at 
    the highest dose tested (0.07 mg/kg bw per day for 25 days). In
    occupationally exposed workers, about 50% plasma cholinesterase
    inhibition was found in the absence of erythrocyte acetyl-
    cholinesterase inhibition. It follows that the acute reference
    dose is likely to be somewhat higher than the ADI. Data on the
    sensitivity to inhibition of plasma cholinesterase and erythrocyte and
    brain acetylcholinesterase  in vitro by the active metabolites of
    fenthion might allow extrapolation to an LOAEL for humans.

    Toxicological evaluation

     Levels that cause no toxic effect

    Mouse:    5 ppm, equal to 2.0 mg/kg bw per day (two-year study of
              carcinogenicity)

    Rat:      3 ppm, equal to 0.14 mg/kg bw per day (two-year study of
              toxicity and carcinogenicity)

              2 ppm, equal to 0.16 mg/kg bw per day (maternal toxicity in
              a two-generation study of reproductive toxicity)

              14 ppm, equal to 1.2 mg/kg bw per day (two-generation study
              of reproductive toxicity)

              18 mg/kg bw per day (embryo- and fetotoxicity and
              teratogenicity in study of developmental toxicity)

    Rabbit:   6 mg/kg bw per day (maternal toxicity in study of
              developmental toxicity)

              7.5 mg/kg bw per day (embryo- and fetotoxicity and
              teratogenicity in study of developmental toxicity)

    Dog:      3 ppm, equal to 0.09 mg/kg bw per day (two-year study of
              toxicity)

    Monkey:   0.07 mg/kg bw per day (two-year study of toxicity)

    Human:    0.07 mg/kg bw per day (four-week study of toxicity)

     Estimate of acceptable daily intake for humans

         0-0.007 mg/kg bw

     Studies that would provide information useful for continued
     evaluation of the compound

         Further observations in humans

        Toxicological criteria for setting guidance values for dietary and non-dietary exposure to fenthion
                                                                                                                                    

    Exposure                      Relevant route, study type, species               Result, remarks
                                                                                                                                    

    Short-term (1-7 days)         Skin, irritation, rabbit                          Not irritating
                                  Eye, irritation, rabbit                           Minimally or not irritating
                                  Skin, sensitization, guinea-pig                   Not a skin sensitizer
                                  Inhalation, 4-h, toxicity, rat                    LC50 = 0.5--0.9 mg/litre
                                  Oral, toxicity, mouse, rat, guinea-pig, rabbit    LD50 = 50-500 mg/kg bw
                                  Oral, dermal, subcutaneous, single doses,         NOAEL (all routes) = 5 mg/kg bw per day
                                  cholinesterase activity, rat                      based on inhibition of brain and
                                                                                    erythrocyte acetylcholinesterase

    Medium-term (1-26 weeks)      Repeated dermal, 21 days, toxicity, rabbit        NOAEL = 50 mg/kg bw per day for
                                                                                    systemic toxicity on the basis of inhibition
                                                                                    of brain acetylcholinesterase
                                  Repeated inhalation, 21 days, toxicity rat        NOAEL = 0.001 mg/litre per day for
                                                                                    systemic toxicity on the basis of clinical
                                                                                    signs of cholinergic toxicity
                                  Repeated dietary, 13-16 weeks, toxicity, rat      NOAEL = 0.25 mg/kg bw per day, based
                                                                                    on inhibition of brain acetylcholinesterase
                                  Repeated gavage, developmental toxicity,          NOAEL = 1 mg/kg bw per day for
                                  rabbit                                            maternal toxicity on the basis of inhibition
                                                                                    of brain and erythrocyte acetylcholinesterase;
                                                                                    no embryo- or fetotoxic or teratogenic effects
                                  Repeated oral (gelatin capsules), four weeks,     NOAEL = 0.07 mg/kg bw per day on the
                                  toxicity, human                                   basis of no inhibition of erythrocyte
                                                                                    acetylcholinesterase

    Long-term (> 1 year)          Repeated dietary, two years, toxicity, dog        NOAEL = 0.09 mg/kg bw per day on the
                                                                                    basis of inhibition of brain and erythrocyte
                                                                                    acetylcholinesterase
                                                                                                                                    
        References

    Avrahami, M. & White, D.A. (1975) Residues in milk of cows after
         spot-treatment with 32P-fenthion.  New Zealand Exp. Agric., 3,
         309-311.

    Bai, C.L., Qiao, C., Zhang, W., Chen, Y. & Qu, S. (1990) A study of
         the pesticide fenthion: Toxicity, mutagenicity and influence on
         tissue enzymes.  Biomed. Environ. Sci., 3, 262-275.

    Bailey, D.E. (1987) 21-Day dermal toxicity study in rabbits with
         Baytex technical. Unpublished Mobay report No. 938 from Hazelton
         Laboratories America, Inc., Virginia, USA. Submitted to WHO by
         Bayer AG, Wuppertal, Germany.

    Bailey, D.E. (1988) 21-Day dermal toxicity study in rabbits with
         Baytex technical. Unpublished Mobay report No. 1031 from Hazelton
         Laboratories America, Inc., Virginia, USA. Submitted to WHO by
         Bayer AG, Wuppertal, Germany.

    Bomann, W. (1991) E 1752 (c.n. Fenthion): Study for acute dermal
         toxicity in the rat. Unpublished report No. 20221 from Bayer AG,
         Institut für Toxikologie, Wuppertal, Germany.

    Bomhard, E. & Loser, E. (1977) Chronic toxicity study on rats.
         Unpublished report No. 6769 from Bayer AG, Institut für
         Toxikologie, Wuppertal, Germany.

    Brady U.E., Jr & Arthur, B.W. (1961) Metabolism of
          O,O-dimethyl- O-[4-(methylthio)- m-tolyl] phosphorothioate
         by white rats.  J. Econ. Entomol., 54, 1232-1236.

    Budreau, C.H. & Singh, R.P. (1973a) Teratogenicity and embryotoxicity
         of demeton and fenthion in CF1 mouse embryos.  Toxicol. Appl.
         Pharm., 24, 324-332.

    Budreau, C.H. & Singh, R.P. (1973b) Effect of fenthion and dimethoate
         on reproduction in the mouse.  Toxicol. Appl. Pharmacol., 26,
         29-38.

    Chen, H.H., Sirianni, S.R. & Huang, C.C. (1982a) Sister-chromatid
         exchanges and cell-cycle delay in Chinese hamster V79 cells
         treated with nine organophosphorus compounds (8 pesticides and 1
         defoliant).  Mutat. Res., 103, 307-313.

    Chen, H.H., Sirianni, S.R. & Huang, C.C. (1982b) Sister-chromatid
         exchanges in Chinese hamster cells treated with 17
         organophosphorus compounds in the presence of a metabolic
         activation system.  Environ. Mutag., 4, 621-624.

    Christenson, W.R. (1990a) Chronic feeding toxicity study of
         technical-grade fenthion (Baytex) with dogs. Unpublished report
         No. 94863 from Miles, Inc., Agriculture Division, Kansas, USA.
         Submitted to WHO by Bayer AG, Wuppertal, Germany.

    Christenson, W.R. (1990b) Combined chronic toxicity/oncogenicity study
         of technical grade fenthion (Baytex) with rats. Unpublished
         report No. 100586 from Mobay Corporation, Corporate Toxicology
         Department, Kansas, USA. Submitted to WHO by Bayer AG, Wuppertal,
         Germany.

    Christenson, W.R. (1990c) Technical grade fenthion (Baytex): A special
         study to examine the effect of the route of acute administration
         of technical grade fenthion (Baytex) on cholinesterase activity
         in the rat. Unpublished report No. 100573 from Mobay Corporation,
         Corporate Toxicology Department, Kansas, USA. Submitted to WHO by
         Bayer AG, Wuppertal, Germany.

    von Clarmann, M. & Geldmacher-von Mallinckrodt, M. (1966) A
         successfully treated case of acute oral poisoning by fenthion and
         its demonstration in the gastric contents and urine.  Arch.
          Toxikol., 22, 2-11.

    Clemens, G.R. (1987) A teratology study in the rabbit with fenthion
         (Baytex technical). Unpublished report No. MTD0039 from Miles
         Laboratories, Inc., Toxicology Department, Indiana, USA.
         Submitted to WHO by Bayer AG, Wuppertal, Germany.

    Crosby, J., Hoglen, N. & Krautter, G. (1990) Nature of residues in
         skin and tissues of swine after dermal treatment with
         [14C]fenthion. Unpublished Mobay report No. 73984 from
         Pharmacology and Toxicology Research Laboratory, Kentucky, USA.
         Submitted to WHO by Bayer AG, Wuppertal, Germany.

    Dean, G., Coxon, J. & Brereton, D. (1967) Poisoning by an
         organophosphorus compound -- A case report.  S. Afr. Med. J.,
         41, 1017-1019.

    Dellinger, J. & Mostrom, M. (1988) Effects of topical fenthion on
         blood cholinesterase and vagal tone in dogs.  Vet. Hum.
          Toxicol., 30, 2,29-234.

    Doolittle, K.D. & Bates, N.L (1993) Absorption, distribution and
         elimination of 14C-fenthion in rats following a single oral,
         repeated oral and single intravenous administration. Unpublished
         Miles report No. 74395 from Southwest Bio-Labs, Inc., New Mexico,
         USA. Submitted to WHO by Bayer AG, Wuppertal, Germany.

    Doull, J., Vesselinovitch, D., Fitch, F., Cowan, J., Root, M. &
         Meskauskas, J. (1961a) The effects of feeding diets containing
         Bayer 29493 to rats for a period of 16 weeks. Unpublished rayer
         Report No. 7899 from Department of Pharmacology, University of
         Chicago, Illinois, USA. Submitted to WHO by Bayer AG, Wuppertal,
         Germany.

    Doull J., Root, M. & Cowan, J. (1961b) Determination of the safe
         dietary level for Bayer 29493 for dogs. Unpublished Bayer report
         No. 8342 from Department of Pharmacology, University of Chicago,
         Illinois, USA. Submitted to WHO by Bayer AG, Wuppertal, Germany.

    Doull, J., Root, M. & Cowan, J. (1962) Effect of adding Bayer 29493 in
         combination with other cholinergic insecticides to the diet of
         male and female dogs. Unpublished Bayer report No. 9414 from
         Department of Pharmacology, University of Chicago, Illinois, USA.
         Submitted to WHO by Bayer AG, Wuppertal, Germany.

    Doull, J., Root, M., Cowan, N.J., Vesselinovitch, D., Fitch, F.M. &
         Meskauskas, J. (1963a) Chronic oral toxicity of Bayer 29493 to
         male and female rats. Unpublished Bayer report No. 14658 from
         Department of Pharmacology, University of Chicago, Illinois, USA.
         Submitted to WHO by Bayer AG, Wuppertal, Germany.

    Doull, J., Root, M., Cowan, J. & Vesselinovitch, D. (1963b) Chronic
         oral toxicity of Bayer 29493 to male and female dogs. Unpublished
         Bayer report No. 10853 from Department of Pharmacology,
         University of Chicago, Illinois, USA. Submitted to WHO by Bayer
         AG, Wuppertal, Germany.

    Dubois, K.P. (1968) Comparison of the acute oral toxicity of Bayer
         29493 and Sumithion to mice. Unpublished Mobay report No. 22503
         from Department of Pharmacology, University of Chicago, Illinois,
         USA. Submitted to WHO by Bayer AG, Wuppertal, Germany.

    Dubois, K.P. & Doull, J. (1960) The acute toxicity of Bayer 29493 to
         chickens and ducks. Unpublished report from Department of
         Pharmacology, University of Chicago, Illinois, USA. Submitted to
         WHO by Bayer AG, Wuppertal, Germany.

    Dubois, K.P. & Kino-hita, F. (1964) Acute toxicity and
         anticholinesterase action of  O,O-dimethyl- O-4-
         (methylthio- m-tolyl) phosphorotioate (DMTP; Baytex) and
         related compounds.  Toxicol. Appl. Pharmacol., 6, 86-95.

    Eigenberg, D.A. (1987a) Acute oral toxicity of Baytex technical in
         albino rats. Unpublished report No. 839 from Mobay Corporation,
         Corporate Toxicology Department, Kansas, USA. Submitted to WHO by
         Bayer AG, Wuppertal, Germany.

    Eigenberg, D.A. (1987b) Acute dermal toxicity of Baytex technical in
         albino rabbits. Unpublished report No. 838 from Mobay
         Corporation, Corporate Toxicology Department, Kansas, USA.
         Submitted to WHO by Bayer AG, Wuppertal, Germany.

    Eigenberg, D.A. (1987c) Primary dermal irritation of Baytex technical
         in albino rabbits. Unpublished report No. 896 from Mobay
         Corporation, Corporate Toxicology Department, Kansas. Submitted
         to WHO by Bayer AG, Wuppertal, Germany.

    Eigenberg, D.A. (1987d) Primary eye irritation of Baytex technical in
         albino rabbits. Unpublished report No. 817 from Mobay
         Corporation, Corporate Toxicology Department, Kansas, USA.
         Submitted to WHO by Bayer AG, Wuppertal, Germany.

    Elliot, R. & Barnes, J.M. (1963) Organophosphorus insecticides for the
         control of mosquitos in Nigeria.  Bull. World Health Org., 28,
         35-54.

    Farage-Elawar, M. & Francis, B.M.(1987) Acute and delayed effects of
         fenthion in young chicks.  J. Toxicol. Environ. Health, 21,
         455-469.

    Farage-Elawar, M. & Francis, B.M. (1988a) Effects of multiple dosing
         of fenthion, fentrothion, and desbromoleptophos in young chicks.
          J. Toxicol. Environ. Health, 23, 217-228.

    Farage-Elawar, M. & Francis, B.M. (1988b) Effects of fenthion,
         fentrothion, and desbromoleptophos on gait, acetylcholinesterase
         and neurotoxic esterase in young chicks after  in ovo exposure.
          Toxicology, 49, 253-261.

    Flucke, W. (1986a) E 1752 Technical (c.n. fenthion, the active
         ingredient of Baytex): Study of acute oral toxicity to hens
          (Gallus domesticus). Unpublished report No. 15069 from Bayer
         AG, Institut für Toxikologie, Wuppertal Germany.

    Flucke, W (1986b) E 1752 Technical (c.n. fenthion, the active
         ingredient of Baytex): Study of acute dermal toxicity to hens
          (Gallus domesticus). Unpublished report No. 15113 from Bayer
         AG, Institut für Toxikologie, Wuppertal, Germany.

    Flucke, W. (1987) E 1753 Technical (c.n fenthion): Study for skin
         sensitising effect on guinea pigs (Magnusson and Kligman's
         maximization test). Unpublished report No. 15428 from Bayer AG,
         Institut für Toxikologie, Wuppertal, Germany.

    Flucke, W. (1988a) E 1752 Technical: Study of the effect on the
         neurotoxic esterase (NTE) following oral administration to hens.
         Unpublished report No. 99275 from Bayer AG, Institut für
         Toxikologie, Wuppertal, Germany.

    Flucke, W. (1988b) E 1752 Technical: Study of the effect on the
         neurotoxic esterase (NTE) following dermal administration to
         hens. Unpublished report No. 99646 from Bayer AG, Institut für
         Toxikologie, Wuppertal, Germany.

    Flucke, W. (1990) Position paper regarding the literature on
         neurotoxicity for the BGA [German Federal Health Agency].
         Unpublished report No. 18928 from Bayer AG, Institut für
         Toxikologie, Wuppertal, Germany.

    Flucke, W. & Kaliner, G. (1987) E 1752 (c.n. fenthion, the active
         ingredient of Baytex): Acute neurotoxicity studies on hens
         following oral and dermal administration. Unpublished report No.
         91341 from Bayer AG, Institut für Toxikologie, Wuppertal,
         Germany.

    Francis, J.I. & Barnes, J.M. (1963) Studies on the mammalian toxicity
         of fenthion.  Bull. World Health Org., 28, 205-212.

    Francis, B.M. & Farage-Elawar, M. (1987) Peripheral and central enzyme
         inhibition by fenthion, fenitrothion and desbromoleptophos. In:
         Costa, L.G., Galli, C.L. & Murphy, S.D., eds,  Toxicology of
          Pesticides: Experimental, Clinical and Regulatory Perspectives,
         Berlin, Springer Verlag.

    Fytizas-Danielidou, R. (1971) Effects of pesticides on reproduction in
         white rats. I. Labaycide. In: 23rd  International Symposium of
          Phytopharmacy, 4 May, 1971.

    Gaines, T.B. (1969) Acute toxicity of pesticides.  Toxicol. Appl.
          Pharmacol., 14, 515-534.

    Griffin, T., Rosenblum, I. & Coulston, F. (1979) Safety evaluation of
         fenthion in human volunteers. Unpublished Mobay report No. 68790
         from the Institute of Comparative and Human Toxicology and
         International Center of Environment Safety, Albany Medical
         College, New York, USA. Submitted to WHO by Bayer AG, Wuppertal,
         Germany.

    Hayes, R.H. (1989) Subchronic feeding study with fenthion technical
         (Baytex) in hens with specific emphasis on gastrointestinal tract
         effects. Unpublished report No. 99273 from Mobay Corporation,
         Corporate Toxicology Department, Kansas, USA. Submitted to WHO by
         Bayer AG, Wuppertal, Germany.

    Hayes, R.H. & Ramm, W.W. (1988) Subchronic delayed neurotoxicity study
         of fenthion technical (Baytex) with hens. Unpublished report No.
         98296 from Mobay Corporation, Corporate Toxicology Department,
         Kansas, USA. Submitted to WHO by Bayer AG, Wuppertal, Germany.

    Heimann, K.G. (1982) Fenthion and isofenthion: Study for acute
         combination toxicity Unpublished report No. 11062 from Bayer AG,
         Institut für Toxikologie, Wuppertal, Germany.

    Herbold, B.A. (1987) E 1752 (c.n. Fenthion):  Salmonella/microsome
         test for point-mutagenic effect. Unpublished report No. 98366
         from Bayer AG, Institut für Toxikologie, Wuppertal, Germany.

    Herbold, B.A. (1990a) E 1752  Salmonella/microsome test. Unpublished
         report No. 18713 from Bayer AG, Institut für Toxikologie,
         Wuppertal, Germany.

    Herbold, B.A. (1990b) E 1752 micronucleus test on the mouse.
         Unpublished report No. 100025 from Bayer AG, Institut für
         Toxikologie, Wuppertal, Germany.

    Hoffmann, K. & Weischer, C.H. (1975) Fenthion chronic study on dogs
         (two-year feeding experiment). Unpublished report No. 5737 from
         Bayer AG, Institut für Toxikologie, Wuppertal, Germany.

    Inukai, H. & Iyatomi, A. (1981a) Fensulfoxide: Short-term toxicity
         tests on mice (4-week feeding and 4-week recovery tests).
         Unpublished report No. 198 from Nihon Tokushu Noyaku Seizo K.K.,
         Agricultural Chemicals Institute, Japan. Submitted to WHO by
         Bayer AG, Wuppertal, Germany.

    Inukai, H. & Iyatomi, A. (1981b) Fensulfoxide: Short-term toxicity
         tests on rats (4-week feeding and 4-week recovery tests).
         Unpublished report No. 197 from Nihon Tokushu Noyaku Seizo K.K.,
         Agricultural Chemicals Institute, Japan. Submitted to WHO by
         Bayer AG, Wuppertal, Germany.

    Johnson, J.C. & Bowman, M.C. (1972) Responses from cows fed diets
         containing fenthion or fenitrothion.  J. Dairy Sci., 55,
         777-782.

    Kajiwara, Y. (1989) Chromosomal aberration test of fenthion using
         cultured mammalian CHL cells. Unpublished report No. T-1824E from
         HITA Research Lab., Japan. Submitted to WHO by Bayer AG,
         Wuppertal, Germany.

    Keith, J.O. & Mulla, M.S. (1966) Relative toxicity of five
         organophosphorous mosquito larvicides to mallard ducks.
          J. Wildlife Manage., 30, 553-563.

    Kimmerle, G. (1967) Potential of DDVP and S 1752. Unpublished letter
         from Bayer AG, Institut für Toxikologie, Wuppertal, Germany.

    Klimmer, R. (1963) Toxicological testing of Bayer 29493. Unpublished
         report from Bayer AG, Institut für Toxikologie, Wuppertal,
         Germany.

    Knowles, C.O. & Arthur, B.W. (1966) Metabolism of and residues
         associated with dermal and intramuscular application of
         radiolabelled fenthion to dairy cows.  J. Econ. Entomol., 59,
         1346-1352.

    Kowalski, R.L. (1987) A teratology study with fenthion (Baytex
         technical) in the rat. Unpublished report No. MTD0029 from Miles
         Laboratories, Inc., Toxicology Department, Indiana, USA.
         Submitted to WHO by Bayer AG, Wuppertal, Germany.

    Kowalski, R.L., Clemens, G.R., Jasty, V., Troup, CM. & Hartnagel,
         R.E., Jr (1989) A two-generation reproductive study with fenthion
         (Baytex) in the rat. Unpublished report No. MTD0133 from Miles
         Inc., Toxicology Department, Indiana, USA. Submitted to WHO by
         Bayer AG, Wuppertal, Germany.

    Krautter, G. (1990a) Nature of residues in milk, skin and tissues of a
         lactating cow after dermal treatment with [14C]fenthion.
         Unpublished Mobay report No. 74012 from Pharmacology and
         Toxicology Research Laboratory, Kentucky, USA. Submitted to WHO
         by Bayer AG, Wuppertal, Germany.

    Krautter, G. (1990b) Characterization of polar metabolites in river
         and kidney tissues from a cow and pig treated dermally with
         [14C] fenthion. Unpublished Mobay report No. 74124 from
         Pharmacology and Toxicology Research Laboratory, Kentucky, USA.
         Submitted to WHO by Bayer AG, Wuppertal, Germany.

    Krotlinger, F. (1993) E 1752 (c.n. Fenthion): Study for acute
         intraperitoneal toxicity in rats. Unpublished report No. 22144
         from Bayer AG, Institut für Toxikologie, Wuppertal, Germany.

    Lamb, D.W. & Anderson, R.H. (1974) The acute dermal toxicity of
         Tiguvon technical to rabbits. Unpublished report No. 41455 from
         Chemagro, Bayer GmbH, Leverkusen, Germany. Submitted to WHO by
         Bayer AG, Wuppertal, Germany.

    Lehn, H. (1990a) E 1752 (c.n. Fenthion): Mutagenicity study for the
         detection of induced forward mutations in the CHO-HGPRT assay
          in vitro. Unpublished report No. 18740 from Bayer AG, Institut
         für Toxikologie, Wuppertal, Germany.

    Lehn, H. (1990b) E 1752 (c.n. Fenthion): Mutagenicity test on
         unscheduled DNA synthesis in rat liver primary cell cultures
          in vitro. Unpublished report No. 100572 from Bayer AG, Institut
         für Toxikologie, Wuppertal, Germany.

    Leser, K.H. (1990) E 1752 (Fenthion): Study for cholinesterase
         inhibition following high doses of E1752 (administration to
         B6C3F1 mice in the diet over a period of about four weeks).
         Unpublished report No. 19088 from Bayer AG, Institut für
         Toxikologie, Wuppertal, Germany.

    Machemer, L. (1978a) S 1752 (Fenthion, Lebaycid active ingredient):
         Evaluation for embryotoxic and teratogenic effects in orally
         dosed rats. Unpublished report No. 7580 from Bayer AG, Institut
         für Toxikologie, Wuppertal, Germany.

    Machemer, L. (1978b) S 1752 (Fenthion, Lebaycid active ingredient):
         Dominant lethal study of male mice to test for mutagenic effects.
         Unpublished report No. 7449 from Bayer AG, Institut für
         Toxikologie, Wuppertal, Germany.

    Mihail, F. (1978) S 1752 (Lebaycid active ingredient): Determination
         of percutaneous toxicity. Unpublished report No. 7604 from Bayer
         AG, Institut für Toxikologie, Wuppertal, Germany.

    Mihail, F. & Schilde, B. (1979) S 1752 (Fenthion, the active
         ingredient of Lebaycid and Baytex): Subacute dermal cumulative
         toxicity on rabbits. Unpublished report No. 8624 from Bayer AG,
         Institut für Toxikologie, Wuppertal, Germany.

    Misra, U.K., Nag, D., Bhushan, V. & Ray, P.K. (1985) Clinical and
         biochemical changes in chronically exposed organophosphate
         workers,  Toxicol, Lett., 24, 187-193.

    Misra, U.K.. Nag, D., Khan, W.A. & Ray, P.K. (1988) A study of nerve
         conduction velocity, late responses and neuromuscular synapse
         functions in organophosphate workers in India.  Arch. Toxicol.,
         61, 496-500.

    Miyaoka, T., Takahashi, H., Tsuda, S. & Shirasu, Y. (1984)
         Potentiation of acute toxicity of 2- sec-butylpheny-
          N-methylcarbamate (BPMC) by fenthion in mice.  Fundam. Appl.
          Toxicol., 4, 802-807.

    Miyaoka, T., Tsuda, S. & Shirasu, Y. (1986) Mechanism of potentiation
         of BPMC toxicity by fenthion pretreatment in mice.
          J. Pharmacobio-Dyn., 9, 697-703.

    Miyaoka, T., Tsuda, S. & Shirasu, Y. (1987) Effect of  O,O-dimethyl
          O-(3-methyl-4-methylthiophenyl) phosphorothioate (fenthion)
         pretreatment on acute toxicity of 2- sec-butylphenyl
          N-methylcarbamate (BPMC) in dogs.  Jpn. J. Vet. Sci., 49,
         173-175.

    Nelson, D.L. (1967) The acute oral toxicity of three phenolic
         compounds to adult female rats. Unpublished report from Bayer AG,
         Institut für Toxikologie, Wuppertal, Germany.

    Pauluhn, J. (1985) E 1752 Technical (c.n. fenthion): Study for
         irritant/corrosive effect on skin and eye (rabbit). Unpublished
         report No. 13446 from Bayer AG, Institute für Toxikologie,
         Wuppertal, Germany.

    Pickering, E.N. (1966) Organic phosphate insecticide poisoning.
          Can. J. Med. Technol., 28, 174-179.

    Pither, K.M. (1979) Metabolism of Baytex in male and female pigs.
         Unpublished report No. 68475 from Mobay Corporation, Corporate
         Toxicology Department, Kansas, USA. Submitted to WHO by Bayer AG,
         Wuppertal Germany.

    Puhl, R.J. & Hurley, J.B. (1982) The absorption, excretion and
         metabolism of Baytex-ring-1-14C by rats. Unpublished report No.
         82227 from Mobay Corporation, Corporate Toxicology Department,
         Kansas, USA. Submitted to WHO by Bayer AG, Wuppertal, Germany.

    Putman, D.L. & Morris, M.J. (1989) Chromosome aberrations in Chinese
         hamster ovary (CHO) cells. Unpublished report No. 99660 from
         Microbiological Associates Inc., Maryland, USA. Submitted to WHO
         by Bayer AG, Wuppertal, Germany.

    Rani, M.V.U & Rao, M.S. (1991)  In vivo effect of fenthion on human
         lymphocytes.  Bull. Environ. Contamin. Toxicol., 47, 316-320.

    Rosenblum, I. (1980) A safety evaluation of fenthion (S 1752) in
         rhesus monkeys  (Macaca mulatta). Unpublished Mobay report No.
         68789 from Albany Medical College, New York, USA. Submitted to
         WHO by Bayer AG, Wuppertal, Germany.

    Sherman, M. & Ross, E. (1961) Acute and subacute toxicity of
         insecticides to chicks.  Toxicol. Appl. Pharmacol., 3, 521-533.

    Shimamoto, K. & Hattori, K. (1969) Chronic feeding of Baytex
         ( O,O-dimethyl- O-(4-methylmercapto-3-methyl)phenylthiophosphat
         e) in rats.  Acta Med. Univ. Kyoto, 40, 163-171.

    Shiotsuka, R.N. (1987a) Acute one-hour inhalation toxicity study with
         technical grade Baytex in rats. Unpublished report No. 944 from
         Mobay Corporation, Corporate Toxicology Department, Kansas, USA.
         Submitted to WHO by Bayer AG, Wuppertal, Germany.

    Shiotsuka, R.N. (1987b) Acute inhalation toxicity study with Baytex
         technical in rats. Unpublished report No. 820 from Mobay
         Corporation, Corporate Toxicology Department, Kansas, USA.
         Submitted to WHO by Bayer AG, Wuppertal, Germany.

    Simmon, V.F., Mitchell, A.D. & Jorgenson, T.A. (1977) Evaluation of
         selected pesticides as chemical mutagens:  In vitro and  in
          vivo studies. US Environmental Protection Agency Health Effects
         Research Laboratory Document No. EPA-600/1-77-028 from Stanford
         Research Institute, California, USA. Submitted to WHO by Bayer
         AG, Wuppertal, Germany.

    Singh, S.P., Sharma, L.D. & Bahga, H.S. (1987) Acute oral toxicity of
         fenthion in poultry.  Indian J. Anim. Res., 21, 48-50.

    Sobti, R.C., Krishan, A. & Pfaffenberger, C.D. (1982) Cytokinetic and
         cytogenetic effects of some agricultural chemicals on human
         lymphoid cells  in vitro: organophosphates.  Mutat. Res., 102,
         89-102.

    Suberg, H. & Leser, K.H. (1990) E 1752 Oncogenicity study on B6C3F1
         mice (feeding study for periods of up to 24 months). Unpublished
         report No. 19624 from Bayer AG, Institut für Toxikologie,
         Wuppertal, Germany.

    Taylor, A. (1963) Observations on human exposure to the
         organophosphorus insecticide fenthion in Nigeria.  Bull.
          World Health Org., 28, 213-218.

    Thyssen, J. (1978) S 1752 (Lebaycid-active ingredient): Acute
         inhalation toxicity studies. Unpublished report No. 7842 from
         Bayer AG, Institut für Toxikologie, Wuppertal, Germany.

    Thyssen, J. (1979) Fenthion (S 1752, the active ingredient of Lebaycid
         and Baytex): Subacute inhalation toxicity study on rats.
         Unpublished report No. 8383 from Bayer AG Institut für
         Toxikologie, Wuppertal, Germany.

    Tuler, S.M. & Bowen, J.M. (1989) Toxic effects of organophosphates on
         nerve cell growth and ultrastructure in culture.  J. Toxicol.
          Environ. Health, 27, 209-223.

    Tuler, S.M., Febles, D. & Bowen, J.M. (1988) Neuromuscular effects of
         chronic exposure to fenthion in dogs and predictive value of
         electromyography.  Fundam. Appl. Toxicol., 11, 155-168.

    US National Cancer Institute (1979) Bioassay of fenthion for possible
         carcinogenicity (National Cancer Institute Carcinogenesis
         Technical Report Series No. 103; US Department of Health,
         Education, and Welfare Publication No. (NIH) 79-1353). Bioassay
         conducted by Gulf S. Research Institute, Louisiana, USA, under
         contract to NCI and subcontract to Tracor Jitco, Inc., who
         prepared the final report.

    Wadia, R.S., Bhirud, R.H., Gulavani, A.V. & Amin, R.S. (1977)
         Neurological manifestations of three organophosphate poisons.
          Indian J. Med. Res., 66, 460-468.

    Weber, H. & Ecker, W. (1992) [phenyl-1-14C]Fenthion: Absorption,
         distribution, excretion and metabolism in a lactating goat.
         Unpublished report No. 3752 from Bayer AG, Institut für
         Metabolismusforschung, Leverkusen-Bayerwerk, Germany. Submitted
         to WHO by Bayer AG, Wuppertal, Germany.

    Wolfe, H.R., Armstrong, J.F. & Durham, W.F. (1974) Exposure of
         mosquito control workers to fenthion.  Mosquito News, 34,
         263-267.
    


    See Also:
       Toxicological Abbreviations
       Fenthion (ICSC)
       Fenthion (WHO Pesticide Residues Series 1)
       Fenthion (WHO Pesticide Residues Series 5)
       Fenthion (Pesticide residues in food: 1977 evaluations)
       Fenthion (Pesticide residues in food: 1978 evaluations)
       Fenthion (Pesticide residues in food: 1979 evaluations)
       Fenthion (Pesticide residues in food: 1980 evaluations)
       Fenthion (Pesticide residues in food: 1983 evaluations)
       Fenthion (Pesticide residues in food: 1995 evaluations Part II Toxicological & Environmental)
       Fenthion (Pesticide residues in food: 1997 evaluations Part II Toxicological & Environmental)