IPCS INCHEM Home

    PARATHION (addendum)

     First draft prepared by
     M.S. Morrow,
     US Environmental Protection Agency,
     Washington DC, USA

    Explanation
    Evaluation for acceptable daily intake
         Biochemical aspects
              Absorption, distribution, and excretion
              Biotransformation
              Effects on enzymes and other biochemical parameters
         Toxicological studies
              Acute toxicity
              Short-term toxicity
              Long-term toxicity and carcinogenicity
              Reproductive and developmental toxicity
              Genotoxicity
              Special studies
                   Dermal and ocular irritation and dermal sensitization
                   Neurotoxicity
         Observations in humans
    Comments
    Toxicological evaluation
    References

    Explanation

         Parathion is a broad-spectrum organophosphorus pesticide which
    was last evaluated toxicologically in 1967 (Annex I, reference 8). An
    ADI of 0-0.005 mg/kg bw was established on the basis of cholinesterase
    inhibition in a long-term feeding study in rats. Parathion was
    re-evaluated at the present Meeting within the periodic review
    programme of the CCPR. Data generated since the previous review are
    summarized in this monograph addendum.

    Evaluation for acceptable daily intake

    1.  Biochemical aspects

    (a)  Absorption, distribution, and excretion

         Parathion, C10H14O5, is readily absorbed after administration
    by all routes.

         The biokinetic behaviour of 14C-parathion was investigated in
    male rats given oral or intravenous doses ranging from 0.1 to
    5.0 mg/kg bw; females received labelled parathion only by the oral
    route at a dose of 1.0 mg/kg bw. The parathion was almost completely
    absorbed from the gastrointestinal tract after oral administration,
    and > 99% of the administered compound was eliminated in the urine
    and faeces within 48 h. In males, faecal elimination accounted for 6
    and 8% of orally administered doses of 1 and 5 mg/kg, respectively.
    Only 11% of the 14C label was present in the body 1 h after oral
    treatment and only 0.09% after two days (Weber et al., 1980).

         14C-Parathion was administered through a stomach needle to
    female ICR mice at a dose of 1 mg/kg bw, and the amount of radiolabel
    was determined in the gastrointestinal tract and selected organs. By
    1 h, 57% of the radiolabel had been absorbed. The half-life for
    penetration was 33.3 ± 2.4 min (Ahdaya  et al., 1981).

         14C-Parathion was administered either intravenously at a dose
    of 0.87 mg, as single topical applications of 4 mg/cm2 for seven
    days or as multiple topical applications of 4 mg/cm2 for 15 days, to
    four female rhesus monkeys. Urine was collected and assayed for
    radiolabel. After intravenous administration, renal excretion was
    essentially complete, parathion being eliminated primarily in the
    urine (75 ± 11%). The amount of the 14C dose that was absorbed was
    not determined after the single topical dose; after multiple topical
    applications, the amount of radiolabelled material absorbed was
    43 ± 14% after the first dose and 38 ± 8% after the eighth dose
    (Bucks  et al., 1990).

         Percutaneous absorption of parathion by excised porcine skin was
    increased by high relative humidity and elevated temperature. Lower
    doses appeared to be more sensitive to environmental changes,
    suggesting that dose, temperature, and humidity have independent,
    variable effects on percutaneous absorption of parathion (Chang &
    Riviere, 1991).

         After subcutaneous injection of labelled parathion to mice at a
    dose of 0.3 ng/g bw, the label was absorbed slowly from the
    subcutaneous tissue, a major part remaining at the injection site
    throughout the observation period. The amount of radiolabel in the
    cardiovascular system was low, but it accumulated in the salivary

    glands, brown fat, liver, kidney, and adipose tissue. Radiolabel was
    also present in neural tissue and in the intestinal walls, thyroid,
    spleen, and lungs. Excretion occurred primarily through the kidneys
    (Fredriksson & Bigelow, 1961).

         Maximal blood levels were seen 15 min after administration of
    parathion as an aerosol into the trachea of rats (Nye & Donough,
    1976).

         Intravenous administration of parathion into the tail vein of
    rats resulted in parathion and unspecified metabolites in the liver,
    kidney, and plasma. Parathion and the metabolite paraoxon were also
    found in small amounts in brain and fat. The peak distribution in
    tissues occurred 1-2 h after injection (Gagne & Brodeur, 1972).

    (b)  Biotransformation

         Two hypotheses have been put forward for the metabolism of
    parathion. One is based on a requirement for two separate enzyme
    systems; the other is based on a one-enzyme system of metabolism.
    Interestingly, the spectrum of metabolites is the same in the two
    hypotheses.

         Neal (1967) demonstrated that parathion is metabolized  in vitro
    to paraoxon and diethyl phosphorothionate when incubated with liver
    miscrosomes from rats and mice. Both metabolism to paraoxon by the
    activation pathway and metabolism to diethyl phosphorothionate by a
    degradation pathway require NADPH and oxygen. Differential inhibition
    of the formation of diethyl phosphorothionate and paraoxon in the
    presence of mixed-function oxidase inhibition indicated the presence
    of either two separate enzyme systems or two different binding sites
    for parathion that have a common electron transport pathway. The
    separate enzyme theory was supported by Nakatsugawa  et al. (1969),
    who found that diethyl phosphorothionate is produced by separate liver
    fractions -- one involving microsomal enzymes and the other an enzyme
    that requires reduced glutathione. Evidence for the single-enzyme
    hypotheses was provided by Kamataki & Neal (1976) in a study
     in vitro in which parathion was incubated with a reconstituted
    mixed-function oxidase enzyme system from rabbits. The authors
    concluded that the metabolites of parathion, paraoxon, diethyl
    phosphorothionate, and diethylphosphate, are formed by different
    reactions from a common intermediate.

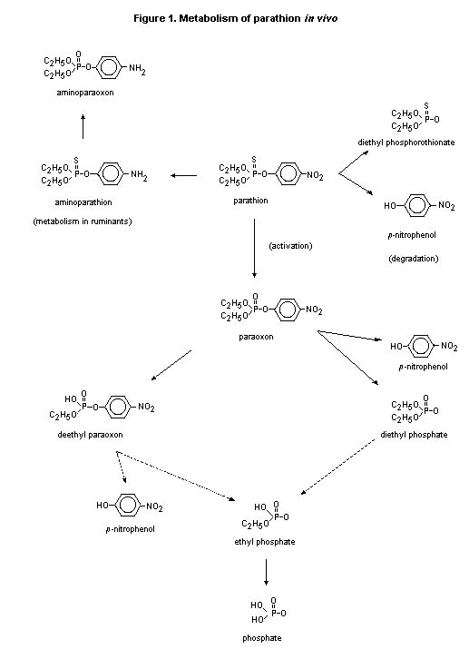
         In a study in rats, activation and degradation were found to be
    the two major pathways in the metabolism of parathion (Figure 1). The
    metabolite paraoxon was generated after administration of parathion
    and was further metabolized by liver esterases, so that the half-life
    was 62 times shorter than that of parathion. This short half-life
    provides a rationale for the fact that paraoxon has not been found to
    accumulate after administration of parathion (Eigenberg  et al.,
    1983).

         The metabolism of parathion in rats appears to be related to age
    and sex, adult males metabolizing parathion more rapidly than females
    and weanlings. In cattle, rumen microorganisms are believed to be
    responsible for the reduction of parathion and paraoxon and for the
    production of aminoparathion and aminoparaoxon. Aminoparathion was
    also detected in the liver, blood, urine, and bile of humans who
    ingested parathion (Chan  et al., 1983).

         Parathion is excreted primarily in the urine. Urinary metabolites
    identified in rats include diethylphosphate, diethyl phosphoro-
    thionate, de-ethyl paraoxon, de-ethyl parathion, and  para-nitro-
    phenol.

         Two lactating, pregnant goats were fed diets containing
    14C-labelled parathion (purity, 97%) at a level equivalent to
    96.9 ppm for five consecutive days and were sacrificed 6 h after the
    last dose. The amount of radiolabel in milk, liver, kidney, renal fat,
    and muscle was determined by high-performance liquid chromatography
    and ranged from 82.6% in milk to 971% in renal fat. Metabolites of
    parathion in the milk and tissues were also identified by
    high-performance liquid chromatography:  para-acetamidophenol was
    present in all the matrices examined, except milk;  para-amino-
    parathion was found in all matrices except muscle; parathion and
     para-acetamidoparaoxon were present in all matrices; and
     para-nitrophenol was detected at low levels in muscle and kidney
    (Chen, 1990).

         Fifteen white Leghorn laying hens were given capsules containing
    1.5 mg 14C-parathion for six consecutive days. Five control birds
    were available. All birds were sacrificed 6 h after the sixth dose.
    Extractable radiolabel represented 52.5% in thigh muscle to 85.5% in
    eggs. The metabolites  para-nitrophenyl phosphate,  para-acet-
    amidophenol, O-ethyl- para-nitrophenyl phosphorothioate, parathion,
    and  para-nitrophenol were present in all of the matrices examined.
    Paraoxon was present in small quantities in the liver and kidney, and
     para-aminophenol was present in small quantities in eggs and fat.
     para-Acetamidoparaoxon was present in all matrices except eggs. The
    proposed metabolic pathways in hens involve desulfuration to oxygen
    analogues, reduction of the nitro group to an amino group,
    N-acetylation of the amino group, and hydrolysis of substituted phenyl
    phosphates. (Chen, 1987, 1988, 1990).

    (c)  Effects on enzymes and other biochemical parameters

         Parathion was found to pass through a maternal reservoir and
    enter the fetal compartment after perfusion, resulting in about 50%
    inhibition of the acetylcholinesterase activity of fetal tissue
    (Benjaminov  et al., 1992). It has been suggested that the metabolism
    of parathion by liver microsomes is indicative of the induction of the
    mixed-function oxidase system in the liver (Davis, 1975).

    CHEMICAL STRUCTURE

    2.  Toxicological studies

    (a)  Acute toxicity

         Studies of the acute toxicity of parathion are summarized in
    Table 1.

         The toxicity of parathion was not potentiated by simultaneous
    oral administration of methamidophos (Flucke & Kimmerle, 1977),
    temaron, or parathion methyl (Gröning, 1975). Additive acute toxicity
    was reported for each of these chemicals in combination with
    parathion.

    (b)  Short-term toxicity

    Mice

         Groups of five CD-1 mice of each sex received parathion at
    dietary levels of 100, 200, or 400 ppm for 29 days. All of the animals
    at the high dose either died or were sacrificed in a moribund
    condition during the first 11 days of dosing. The mortality and
    moribundity in the group at the medium dose was similar to that at the
    high dose, with the exception of one surviving male. Clinical signs of
    toxicity included tremors, decreased activity, and emaciation in all
    treated groups. The mean body weights of males and females at the low
    dose were 7-10% lower than those of controls, but food consumption
    exceeded that of controls. No gross pathological changes that could be
    attributed to the administration of parathion were reported in animals
    at the low dose. Gastric erosion was seen in males at the two higher
    doses and lung congestion in females at the high dose. There was no
    NOAEL in view of the presence of cholinergic symptoms at 100 ppm,
    equivalent to 15 mg/kg bw per day (Ramundo, 1979).

         Groups of 15 male and 15 female Charles River COBS (ICR derived)
    CD-1 mice received diets containing parathion (purity, 95.11%) at
    doses of 0, 15, 50, or 100 ppm for three months. All animals survived
    except for one male at the low dose and one female at the high dose.
    The body weights of males at the high dose were significantly lower
    than those of controls from the first week of the study until
    termination. Sporadic, unsustained decreases in body weight were
    reported for males at the middle dose and in females at the high dose,
    and the differences in body weight were significant in weeks 1-5 and
    8-9. At all other intervals, body weight was similar to controls. No
    treatment-associated gross or microscopic lesions were reported.
    Cholinesterase activity was not monitored in this study. The NOAEL was
    50 ppm (equivalent to 7.5 mg/kg bw per day) on the basis of the
    reported decreases in body weight in males receiving 100 ppm
    (Daly, 1980).

        Table 1.  Acute toxicity of parathion
                                                                                                             

    Species     Sex              Route               LD50 or LC50,       Purity     Reference
                                                     (mg/kg bw or        (%)
                                                     mg/litre air)
                                                                                                             

    Rat         Male             Oral                   22               98         Carr & Cuthbert (1986)
                Female                                  2
    Rat         Male             Oral                   7                NR         Auletta (1984)
                Female                                  2.6
    Rat         Male, female     Oral                   6.85             NR         Owens (1976)
    Rat         Male             Oral                   13.7             NR         Heimann (1982)
    Rat         Male, female     Dermal                 73               98         Carr & Cuthbert (1986)
    Rabbit      Male             Dermal                 910              NR         Daly (1984b)
                Female                                  1400
    Rat         Male, female     Inhalation (4-h)       0.03             98         Greenough & McDonald (1986)
    Rat         Male             Inhalation (1-h)       245              97.8       Thyssen (1972)
                Female                                  71
    Rat         Male             Inhalation (4-h)       77-91            97.8       Thyssen (1972)
                Female                                  24
                                                                                                             

    NR, not reported
    
    Rats

         Groups of 10 male and 10 female Wistar rats were exposed by
    inhalation by head-nose to a parathion (purity, 98%) aerosol at
    concentrations of 0.25, 0.92, or 3.9 mg/m3 for up to 6 h per day for
    15 days. Animals of each sex at 0.92 mg/m3 showed inhibition of
    plasma and erythrocyte cholinesterase activity in comparison with mean
    baseline values; at the highest dose, plasma, erythrocyte, and brain
    cholinesterase activities were reduced. Animals receiving the highest
    dose also showed nonspecific, transient behavioural changes; females
    had muscular tremors and increased mortality. With the exception of
    increased organ congestion in females at tile high dose, there were no
    gross or histopathological lesions that could be associated with the
    administration of parathion. The NOAEL was 0.25 mg/m3 (Fauluhn,
    1984).

         Groups of 20 Sprague-Dawley rats of each sex were fed diets
    containing parathion (purity, 95.11%) at 0, 2.5, 25, or 75 ppm for
    three months. Animals were observed for clinical signs of toxicity,
    and body weights and food consumption were recorded weekly. Clinical
    chemical and haematological parameters and plasma and erythrocyte
    cholinesterase activities were determined before the administration of
    parathion and at designated intervals during the study. Brain
    acetylcholinesterase activity was determined in 10 males and 10
    females before assignment to the treatment groups and in groups of 10
    animals of each sex per group at three months. Urinalysis was
    conducted at one and three months of the study. Nine of the females at
    the high dose died or were sacrificed during the study. Anogenital
    staining, tremors, and emaciation were reported in females at the high
    dose, which also had elevated levels of serum aspartate and alanine
    aminotransferases and alkaline phosphatase and decreased haemoglobin
    and haematocrit. None of these alterations in clinical pathology could
    be attributed to parathion, since they were within the normal
    biological ranges.

         Decreases in plasma and erythrocyte cholinesterases were reported
    in all treated animals. At 2.5 ppm, a statistically significant
    decrease in erythrocyte acetylcholinesterase was reported in females,
    amounting to 64% of the activity in controls at one month, 73% of that
    at two months, and 44% of that at three months. At 25 ppm, a 20%
    inhibition of plasma and erythrocyte cholinesterase activities was
    seen in treated animals in comparison with controls at all collection
    times. Brain acetylcholinesterase activity was significantly inhibited
    in females but not males at the middle dose. At 75 ppm, there was
    significant inhibition of erythrocyte and plasma cholinesterase
    activities in males at two and three months and in females at all
    intervals. Brain acetylcholinesterase activity was 40% of that of
    controls in females and 38% in males after the third month of
    treatment. The NOAEL was 2.5 ppm, equal to 0.18 mg/kg bw per day, on
    the basis of a significant depression in brain acetylcholinesterase in
    females (Daly, 1980b).

    Rabbits

         Parathion formulated with water and cremaphor was administered to
    male and female New Zealand white rabbits at 0, 0.1, or 2 mg/kg bw per
    day for 15 days at a volume of 0.5 ml/kg bw on shaved backs or flanks
    and was left in contact with the skin for 6 h per exposure. No dermal
    irritation and no compound-related effects on clinical behaviour,
    clinical signs, or gross or microscopic pathological appearance were
    reported. Plasma, erythrocyte, and brain cholinesterase activities
    were all inhibited at 2 mg/kg bw per day; however, no cholinergic
    symptoms were reported. The NOAEL was 0.1 mg/kg bw per day (Mihail &
    Gröning, 1981).

    Dogs

         Groups of two beagle dogs of each sex were fed diets containing
    parathion at 0, 1.5, 3.0, or 6 mg/kg bw per day for 14 days and were
    observed for clinical signs of toxicity, mortality, food intake,
    weight gain, and gross pathological lesions. All animals survived the
    study. Food intake was significantly lower in males at the high dose
    than in controls. There was a dose-related increase in the incidence
    of vomiting in all groups receiving parathion, and after two weeks
    animals at the two higher doses had lower body-weight gain and feed
    efficiency than controls. No gross lesions were seen in any of the
    treated dogs. Cholinesterase was not monitored in this study, but
    appeared to have been affected on the basis of the clinical symptom of
    vomiting. There was no NOAEL because of the presence of signs of
    cholinergic poisoning at the lowest dose (Tegeris & Underwood, 1977).

         Groups of 16 male and 16 female beagle dogs were randomly
    assigned to groups designated to receive dietary levels of parathion
    (purity, 94.4%) at 0, 0.3,1, or 3 mg/kg bw per day for 90 days.
    Animals were observed daily for clinical signs of toxicity and for
    survival. Clinical chemical and haematological parameters were
    determined before treatment and at predetermined intervals during the
    90-day period. Blood and plasma cholinesterase levels were determined
    during the study, and brain cholinesterase was measured after
    sacrifice. Organ weights were recorded and gross and microscopic
    pathological changes were evaluated. Plasma cholinesterase activity
    was significantly reduced in all treated groups in comparison with
    controls; erythrocyte acetylcholinesterase activity was significantly
    inhibited in all females and in males at the two higher doses. With
    the exception of the effects on plasma and erythrocyte cholinesterase
    activity, there were no alterations in clinical chemistry, and
    haematological and gross and microscopic pathological parameters, body
    weights, and food intake were also unaffected. No compound-associated
    effects were reported on brain acetylcholinesterase activity. Soft
    stools were observed in all groups, but the frequency and severity of
    this finding could not be associated with increasing dietary levels of
    parathion. There was no NOAEL (Underwood, 1978).

    (c)  Long-term toxicity and carcinogenicity

    Mice

         Groups of 50 male and 50 female B6C3F1 mice received diets
    containing parathion at 0, 60, 100, or 140 ppm for 18 months. There
    was no compound-related effect on survival. The body weights of males
    at the highest dose were 14% lower than those of controls. Clinical
    signs of toxicity reflecting the cholinergic properties of the
    material were reported in all treated animals during the first month
    of the study, including laboured breathing, pallor, hypoactivity, and
    tremors. The increased incidence was dose-related. At 18 months, the
    inhibition of plasma and erythrocyte cholinesterase was > 20% of the
    control values in all groups. Brain acetylcholinesterase activity was
    inhibited in males and females at the high dose, to 87% at day 10 and
    85% at 18 months in males and 82% at day 10 and 76% at 18 months in
    females. Brain:kidney weight ratios were significantly lower than
    those of controls in female mice receiving 140 ppm; decreases were
    also reported in males receiving 100 and 140 ppm. Alveolar-bronchiolar
    adenomas were seen in 16/50 male mice receiving 60 ppm but not at the
    next two doses. There was no NOAEL, as signs of cholinergic poisoning
    were seen at all doses (Page & Heath, 1991).

    Rats

         Groups of 60 male and 60 female Sprague-Dawley (CrlCD:BR) rats
    received diets containing parathion (purity, 95.11%) at 0, 0.5, 5, or
    50 ppm for up to 28 months. The mean body weights of animals receiving
    50 ppm were significantly decreased throughout the study, the
    decreases ranging from 10 to 16% in males and 8 to 25% in females.
    There was no corresponding decrease in food consumption. Males and
    females at the high dose had slightly lowered haemoglobin and
    haematocrit in comparison with controls. Significantly lower values
    were reported in females at the high dose at 6, 12, and 18 months;
    however, the effect does not appear to be of biological significance
    as the values are within the normal range for this strain. Plasma
    cholinesterase activity was reduced in males and females at the two
    higher doses throughout the study. Erythrocyte acetylcholinesterase
    values were reduced in animals of each sex but not to statistically or
    biologically significant levels. Brain acetylcholinesterase activity
    was significantly reduced in males (22% of controls) and females (18%
    of controls) at the highest dose.

         Treatment was associated with increased incidences of tremors,
    alopecia, anogenital staining, and abnormal gait in females at the
    high dose, which also had elevated alkaline phosphatase activity and
    increased blood urea nitrogen; however, the reported values are within
    the normal range for this strain. There were no effects on organ
    weight and no gross lesions associated with administration of the test

    material. The incidence of retinal degeneration was increased in
    females at the high dose, and the severity of peripheral neuropathy
    characterized by myelin sheath degeneration in the proximal sciatic
    nerve and myelin corrugations, demyelinated lengths, and myelin 
    ovoids was increased in males at the high dose. There was no
    treatment-associated carcinogenicity. The systemic NOAEL was 5 ppm
    (equivalent to 0.25 mg/kg bw per day), and the LOAEL was 50 ppm
    (2.5 mg/kg bw per day) on the basis of effects on brain, plasma, and
    erythrocyte cholinesterase activity, retinal degeneration, and
    peripheral neuropathy (Daly, 1984c).

         Groups of 50 Wistar rats of each sex received diets containing
    parathion (purity, 96.7%) at doses of 0, 2, 8, or 32 ppm for two
    years; a further 15 rats of each sex received the dietary
    concentrations for 12 months. Animals at the highest dose had poor
    general condition and chromodacryorrhoea, and females also had
    tremors, hair loss, and head tilt at greater frequency than controls;
    however, the increase was not statistically significant. Females at
    the highest dose experienced 36% mortality, in comparison with 22% for
    controls. Plasma and erythrocyte cholinesterase activities were
    inhibited by > 20% of the control level in animals of each sex at 8
    or 32 ppm, the inhibition being greater at the highest dose; brain
    acetylcholinesterase activity was also statistically and biologically
    lower than that in controls at the highest dose. There was no
    compound-related effect on urinary or haematological parameters. The
    body weights of animals of each sex at the highest dose were decreased
    in comparison with controls; however, there were no apparent effects
    on organ weights.

         Histologically, there was a nonsignificantly increased incidence
    of proliferative lesions in the exocrine pancreas in males receiving 8
    or 32 ppm. At 32 ppm, there were also adverse effects on the retina,
    as indicated by structural degeneration and retinal atrophy. No
    treatment-related oncogenic effects were reported. No significant
    effects on peripheral nerves were reported at the highest dose. The
    systemic NOAEL in this strain was 8 ppm (equivalent to 0.4 mg/kg bw
    per day), and the LOAEL was 32 ppm (equivalent to 1.6 mg/kg bw per
    day), on the basis of inhibition of brain, plasma, and erythrocyte
    cholinesterase activity (Eiben, 1987).

    (d)  Reproductive and developmental toxicity

    Rats

         Groups of 24 female Sprague-Dawley rats in which mating was
    confirmed by vaginal smear were given parathion (purity, 95.1.1%) by
    gavage on days 6-19 of gestation at doses of 0, 0.25, 1.0, or
    1.5 mg/kg bw per day. On day 20, all animals were sacrificed, the
    uteri were removed, and the animals were subjected to a complete gross
    post-mortem examination and examination of the reproductive system.

    The numbers of live and dead fetuses, late and early resorptions,
    implantation sites, and corpora lutea were recorded. Each fetus was
    examined grossly to determine whether malformations were present;
    one-half of each litter was evaluated for soft-tissue defects and the
    other for skeletal defects. The mortality rate was increased in dams
    at the high dose, which also had significantly lower corrected body
    weights than controls. These animals had an increased incidence of
    mucoid nasal discharge at day 15 and an increased incidence of dry
    nasal discharge on day 20. No compound-related effects on fetal
    development were reported. The NOAEL was 1.5 mg/kg bw per day, and the
    NOAEL for maternal toxicity was 1.0 mg/kg bw per day (Schroeder,
    1983).

         Groups of 25 Wistar rats were fed parathion (purity, 98.8%) in a
    Cremophor emulsion at doses of 0, 0.1, 0.3, or 1 mg/kg bw per day on
    days 6-15 of gestation. Caesarean sections were performed on day 20.
    Thirteen of the dams at the high dose died as a result of circulatory
    and/or respiratory collapse, and 10 of these were found to have red
    lungs at necropsy. Clinical signs of toxicity in the animals at the
    high dose included tremors, rough coats, light stools, sunken flanks,
    and reduced water intake. A slight, nonsignificant decrease in
    body-weight gain was reported in animals receiving the highest dose.
    No developmental effects were reported. The number of fetal
    malformations was higher in the group at 1 mg/kg bw per day, but this
    increase was driven by the increased incidence of malformations in one
    litter, and there were no significant differences in the litter
    incidence of fetal malformations. The NOAEL for maternal toxicity was
    0.3 mg/kg bw per day, and the NOAEL for developmental toxicity was
    1.0 mg/kg bw per day (Renhof, 1984).

         A two-generation study of reproductive toxicity was conducted in
    Sprague-Dawley rats given diets containing parathion (purity, 95.1%)
    at doses of 0, 0.5, 5, or 25 ppm. Animals in the F0 generation
    received the test material daily for 14 weeks before mating and
    throughout mating, gestation, and lactation. Animals selected as F1
    parents received parathion 18 weeks before mating and throughout the
    mating, gestation, and lactation periods. F0 animals were sacrificed
    after the F1 generation was weaned, and F1 animals were sacrificed
    about five weeks after the F2 generation had been weaned; F2
    animals were sacrificed at weaning. Tremors were observed in F0
    females at the high dose, and the mean body weights of these animals
    were reduced throughout the premating period and during gestation and
    lactation. Tremors were also reported in F1 females at the high dose
    during lactation. Slight, nonsignificant reductions in body weight
    were reported in animals of each sex in the F1 generation at the
    high dose. On day 21 of the lactation period, reduced mean body
    weights were seen in F1 pups of each sex at 25 ppm and in F1
    females at 5 ppm. The reduction was not statistically significant but

    was reproduced in F2 pups of each sex at 25 ppm. The decrease in
    mean pup weight may not have been a primary reproductive effect but an
    effect associated with the systemic toxicity of the compound. The
    NOAEL for reproductive toxicity was 25 ppm, equivalent to 1.25 mg/kg
    bw per day, and that for parental toxicity was 5 ppm, equivalent to
    0.25 mg/kg bw per day (Daly, 1982).

         In another two-generation study, groups of 28 female
    Sprague-Dawley rats were given parathion (purity, 96.7%) at dietary
    levels of 0, 1, 10, or 20 ppm. F0 animals received the compound for
    10 weeks before mating, and animals selected as F1 parents were
    exposed for 11 weeks before mating. Toxicity was seen in F0 and F1
    animals of each sex at 10 and 20 ppm, manifested as significant
    reductions in plasma, erythrocyte, and/or brain cholinesterase
    activities. At 10 ppm, plasma cholinesterase activity was inhibited by
    > 20% in comparison with controls; inhibition of erythrocyte
    acetylcholinesterase activity was not as pronounced. Brain
    acetylcholinesterase activity was < 90% of control values in F0 and
    F1 animals of each sex, and the reduction was considered to be
    biologically significant. At 20 ppm, brain acetylcholinesterase and
    plasma cholinesterase activities were markedly inhibited in females of
    both generations. The body weights of dams at lactation were decreased
    in both generations at 20 ppm from day 7 to day 21 in the F0
    maternal animals and on day 21 in the F1 maternal animals. There
    were no compound-related effects on reproductive parameters in
    parental animals. In the F1 litters, reduced body weights and
    reduced body-weight gains were reported at the highest dose, and
    postnatal pup deaths were nonsignificantly increased on lactation days
    14-21. Similar findings were not found for the F2 litters. The
    parental NOAEL was 1 ppm, equivalent to 0.05 mg/kg bw per day, on the
    basis of inhibition of brain acetylcholinesterase; the perinatal NOAEL
    was 10 ppm, equivalent to 1 mg/kg bw per day, on the basis of adverse
    effects on body weight of offspring at 20 ppm (Neeper-Bradley, 1990).

    Rabbits

         Groups of 15 female Himalayan rabbits received parathion (purity,
    98.8%) by gavage at doses of 0, 0.03, 0.1, or 0.3 mg/kg bw per day on
    days 6-18 of gestation. All animals were sacrificed on day 29, and the
    fetuses were removed. There were no effects on maternal animals or
    offspring. The NOAEL for both maternal and developmental toxicity was
    0.3 mg/kg bw per day (Renhof, 1985).

    (e)  Genotoxicity

         Studies of the genotoxicity of parathion are summarized in 
    Table 2.

    (f)  Special studies

    (i)  Dermal and ocular irritation and dermal sensitization

         Three male and three female New Zealand white rabbits received
    0.5 ml of a test material containing parathion on an epilated area of
    the skin for 4 h. Mild skin irritation, characterized by very slight
    erythema and very slight oedema, occurred within 1 h. All signs of
    irritation had subsided by 72 h (Carr & Cuthbert, 1986).

         In another study in New Zealand white rabbits, the compound was
    classified as a mild irritant, with a primary irritation index of 0.92
    (Pauluhn, 1983).

         The scores obtained with the Magnusson-Klegman technique in
    Bor:SPF, DPHW guinea-pigs indicated that parathion is not a
    sensitizing agent (Heimann, 1986).

    (ii)  Neurotoxicity

         Groups of five beagle dogs of each sex were given parathion
    (purity, 98%) for six months in gelatin capsules at doses of 0,
    0.0024, 0.0079, or 0.7937 mg/kg bw per day. Plasma, erythrocyte,
    brain, and retinal cholinesterase activities were determined, and
    ocular assessments were made using slit lamp examinations,
    retinoscopic examinations, and electroretinograms. Intra-ocular
    pressure and pupillary status were also assessed. No treatment-related
    effects were reported, and hence no functional ocular impairment was
    observed. Plasma and erythrocyte cholinesterase activities were
    inhibited in animals of each sex at the two highest doses. Brain
    acetylcholinesterase activity was inhibited in the pons but not in the
    cerebellum of male beagles at the highest dose. Retinal cholinesterase
    was also significantly decreased animals of each sex at the highest
    dose, but the decrease was not associated with morphological changes
    in the eye. The NOAEL was 0.0079 mg/kg bw per day on the basis of
    inhibition of brain and retinal acetylcholinesterase activities
    (Atkinson, 1991a).

         Groups of female Sprague-Dawley rats received parathion (purity,
    98%) in the diet at levels designed to achieve 0.04, 0.4, or 4 mg/kg
    bw per day, for three months. Control rats received the basal diet. At
    4 mg/kg bw, decreases were seen in body weight (29%), plasma
    cholinesterase (87-95%), and brain acetylcholinesterase (83.5%).
    Electroretinograms revealed an increase in the latency and a decrease
    in the amplitude of the b-wave. At 0.4 mg/kg bw, the plasma
    cholinesterase levels were 37-42% lower than those of controls and the
    latency and amplitude of the b-wave were affected in the same way as
    in rats receiving 4 mg/kg bw. No morphological changes were seen in
    animals at 0.4 or 4 mg/kg bw. The ocular changes observed at the two
    highest doses were considered not to be significant toxicologically,

    as there was wide variation in the individual and group mean values
    for b-wave latency and amplitude. Furthermore, no adverse effects were
    seen by electron microscopy. The NOAEL was 0.4 mg/kg bw per day on the
    basis of inhibition of brain acetylcholinesterase (Atkinson, 1991b).

         In the 26-month carcinogenicity study conducted in Sprague-Dawley
    rats, peripheral neuropathy in males was associated with the
    administration of parathion at a dietary level of 50 ppm (2.5 mg/kg bw
    per day). Fibres teased from the sciatic nerves of males at the high
    dose showed an increased percentage of myelin corrugations and
    increased demyelination (Daly, 1984a).

         The potential of parathion to produce organophosphorus-induced
    delayed neurotoxicity has been investigated  in vivo in animals and
     in vitro in human neuroblastoma cell lines. Parathion did not induce
    delayed neurotoxicity in hens after subchronic exposure. Similar
    conclusions were reached in a study in CD-1 mice, in which parathion
    was administered orally for 30 days at a dose of 6.75 mg/kg bw per
    day. There was no delayed neurotoxicity, and brain neurotoxic
    esterases were not inhibited (Solimon  et al., 1982).

    3.  Observations in humans

         Parathion was given to human volunteers at doses ranging from
    3 mg/day for 28 days to 6 mg/day for 43 days, and plasma and
    erythrocyte cholinesterase levels were monitored. The highest dose
    induced immediate depression of both types of cholinesterase, to
    levels 10-15% of baseline values determined before treatment, which
    persisted for two weeks after treatment was discontinued; erythrocyte
    acetylcholinesterase activity was inhibited for up to 43 days after
    the last dose (Moeller & Rider, 1961).

         Five men received parathion at 7.5 mg/day for five days. Plasma
    cholinesterase was more sensitive than erythrocyte acetylcholine-
    sterase activity to the inhibitory effects of parathion, with an
    average decrease of 28% on day 16 after treatment (Rider  et al.,
    1958).

        Table 2.  Results of tests for the genotoxicity of parathion
                                                                                                                                              

    End-point                     Test system                    Concentration              Purity     Results        Reference
                                                                 or dose                    (%)
                                                                                                                                              

    In vitro
    Reverse mutation              S. typhimurium TA98,           3.15-3150 µg/plate         98.9       Negative       Oesch (1977)
                                  TA100, TA1537
    Reverse mutation              S. typhimurium TA100,          < 10 000 µg/plate          97-98      Negative       Lawlor & Wagner (1988)
                                  TA1535, TA1537, TA1538
    hprt mutation                 Chinese hamster ovary cells    0.4-1.0 µl/litre           96.7       Negative       Harbell (1989)
    hprt mutation                 Chinese hamster ovary cells    0.03-0.2 µl/litre          97-98      Suspect        Yang (1988)
    Unscheduled DNA               Human WI-38 cell line          10-5 µl/ml                 NR         Positive       Simmon et al. (1979)
     synthesis                                                   10-6 µl/ml                            Negativea
    Unscheduled DNA               Rat hepatocytes                3 × 10-5-3 × 10-2µl/ml     97-98      Negative       Curren (1988)
     synthesis
    DNA damage                    E coli K12 and W-3110          625-10 000 µg/plate        98         Negative       Herbold (1985)
    Cytogenetic damage            Human lymphocytes              9.8, 20, 39 µg/mlb         98         Negative       Jensen (1991)
                                                                 78, 156, 313 µg/mla

    In vivo
    Dominant lethal mutation      Mouse                          10 mg/kg bw orally         98.8       Negative       Herbold (1986)
    Dominant lethal mutation      Mouse                          10 mg/kg bw orally         NR         Negative       Degraeve et al. (1979)
    Micronucleus formation        Mouse bone marrow              2 × 5, 2 × 10 mg/kg bw     95.9       Negative       Herbold (1982)
                                                                 orally
    Micronucleus formation        Mouse bone marrow              10-65 mg/kg bw             97-98      Negative       Putman (1988)
                                                                                                                                              

    NR, not reported
    a   With metabolic activation
    b   Without metabolic activation
        Comments

         Parathion is readily absorbed from the respiratory and digestive
    tracts and is excreted primarily in the urine. Two hypotheses have
    been proposed for its metabolism; however, the metabolic spectrum is
    the same in both. Parathion is metabolized to paraoxon and diethyl
    phosphorothioic acid. Paraoxon is further metabolized, and following
    its oral administration to rats diethyl phosphate, diethyl
    phosphorothioate, de-ethyl paraoxon, and  para-nitrophenol were
    identified in the urine. In cattle, ruminal microorganisms are
    believed to be responsible for the production of aminoparathion and
    aminoparaoxon.

         Parathion is extremely hazardous when given orally (LD50 =
    2 mg/kg bw) or by inhalation (4-h LC50 = 0.03 mg/litre) and
    moderately hazardous when given dermally (LD50 = 73 mg/kg bw). The
    compound has been characterized in studies in laboratory animals as a
    mild dermal and ocular irritant and a s a non-sensitizing agent. When
    it was administered with other organophosphate pesticides, its toxic
    effects were not potentiated. WHO has classified parathion as
    'extremely hazardous'.

         In a three-week study in rabbits treated dermally, the NOAEL was
    0.1 mg/kg bw per day on the basis of depression of plasma,
    erythrocyte, and brain cholinesterase activities at 2 mg/kg bw per
    day. In a three-week study by inhalation in rats, the NOAEL was
    0.9 mg/litre on the basis of decreases in brain, plasma, and
    erythrocyte cholinesterase activity. In a 14-day study in dogs,
    parathion was administered orally at doses of 0, 1.5, 3, or 6 mg/kg bw
    per day. There was no NOAEL, as clinical cholinergic signs were
    observed at the lowest dose tested. Cholinesterase activity was not
    monitored in this study. In a 90-day study in dogs at doses of 0, 0.3,
    1, or 3 mg/kg bw per day, the NOAEL was 3 mg/kg bw per day.
    Cholinesterase activity was not measured.

         In a 29-day study in mice at doses of 0, 100, 200, or 400 ppm
    (equivalent to 15, 30, and 60 mg/kg bw per day), clinical signs of
    toxicity were reported in all groups. Cholinesterase activity was not
    determined, and there was no NOAEL. In a 90-day study in mice at
    dietary concentrations of 0, 15, 50, or 100 ppm, the NOAEL was 50 ppm
    (equivalent to 7.5 mg/kg bw per day) on the basis of decreased body
    weights of males. Cholinesterase activity was not monitored. When
    parathion was administered to rats for 90 days at dietary
    concentrations of 0, 2.5, 25, or 75 ppm, the NOAEL was 2.5 ppm (equal
    to 0.2 mg/kg bw per day), on the basis of depression of brain
    acetylcholinesterase.

         In a two-year study in rats, parathion was not associated with
    carcinogenicity when administered at dietary concentrations of 0, 0.5,
    5, or 50 ppm. The NOAEL for systemic toxicity was 5 ppm (equivalent to
    0.25 mg/kg bw per day) on the basis of decreased brain, plasma, and
    erythrocyte cholinesterase activity, retinal atrophy, and increased
    severity of degenerative changes in the sciatic nerve. In another
    study in rats, given dietary levels of 0, 2, 8, or 32 ppm for two
    years, there was again no evidence of carcinogenicity. The NOAEL for
    systemic toxicity was 8 ppm (equivalent to 0.4 mg/kg bw per day) on
    the basis of decreases in brain acetylcholinesterase activity and
    retinal atrophy. No effects on sciatic nerves were reported at the
    highest dose tested.

         In mice receiving dietary concentrations of parathion at 0, 60,
    100, or 140 ppm for 18 months, there was no NOAEL, as cholinergic
    signs were seen at all doses.

         Two studies of developmental toxicity were conducted in rats. In
    the first study, parathion was administered by gavage at doses of 0,
    0.25, 1, or 1.5 mg/kg bw on gestation days 6-19. The NOAEL for
    maternal toxicity was 1 mg/kg bw per day on the basis of increased
    mortality, and the NOAEL for developmental toxicity was 1.5 mg/kg bw
    per day. In the second study, parathion was administered by gavage at
    doses of 0, 0.1, 0.3, or 1 mg/kg bw per day on gestation days 6-15.
    The NOAEL for developmental toxicity was 1 mg/kg bw per day and that
    for maternal toxicity was 0.3 mg/kg bw per day on the basis of
    increased mortality and clinical signs of toxicity.

         Two studies of developmental toxicity were conducted in rabbits.
    In the first study, parathion was administered by gavage on gestation
    days 7-19 at 1,4, or 16 mg/kg bw per day. The NOAEL for developmental
    toxicity was 16 mg/kg bw per day, and the NOAEL for maternal toxicity
    was 4 mg/kg bw per day on the basis of decreased body-weight gain. In
    the second study, parathion was administered by gavage on days 6-18 of
    gestation at 0, 0.03, 0.1, or 0.3 mg/kg bw per day. The NOAEL for both
    maternal and developmental toxicity was 0.3 mg/kg bw per day.

         In a two-generation study of reproductive toxicity in rats, doses
    of 0, 0.5, 5, or 25 ppm were administered in the diet. Dams at the
    highest dose had tremors, and a reduction in body weight was seen
    during premating, gestation, and lactation. The NOAEL for reproductive
    toxicity was 25 ppm (equivalent to 1.2 mg/kg bw per day); the NOAEL
    for maternal toxicity was 5 ppm (equivalent to 0.25 mg/kg bw per day)
    on the basis of the observation of tremors in F0 and F1 females.
    In the second study, parathion was administered at dietary
    concentrations of 0, 1, 10 or 20 ppm. The NOAEL for reproductive
    toxicity was 20 ppm (equivalent to 1 mg/kg bw per day); the NOAEL for
    perinatal toxicity was 10 ppm (equivalent to 1 mg/kg bw per day) on
    the basis of reduced body weights; and the NOAEL for maternal toxicity
    was 1 ppm (equivalent to 0.05 mg/kg bw per day) on the basis of
    decreased brain acetylcholinesterase activity.

         Special studies were conducted to assess the ocular toxicity of
    parathion. When parathion was administered to dogs at doses of 0,
    0.002, 0.008, or 0.8 mg/kg bw per day for six months, no functional
    impairment of the eye was observed. The NOAEL was 0.008 mg/kg bw per
    day on the basis of depression of brain and retinal acetylcholine-
    sterase activity. In a three-month study of toxicity in female rats,
    parathion was administered at levels of 0, 0.04, 0.4, or 4 mg/kg bw
    per day. The NOAEL was 0.4 mg/kg bw per day on the basis of depression
    of brain acetylcholinesterase activity. No significant effects on
    ocular toxicity were reported at any dose.

         Parathion was not associated with organophosphorus-induced
    delayed neurotoxicity in hens, but it induced demyelination in the
    peripheral nerves of rats at a dietary level of 50 ppm (equivalent to
    2.5 mg/kg bw per day). The NOAEL was 0.25 mg/kg bw per day.

         In a study conducted earlier in humans, an NOAEL of 7.5 mg/day
    was determined on the basis of lack of effect on erythrocyte
    acetylcholinesterase.

         Parathion has been adequately tested for genotoxicity in a range
    of tests  in vitro and  in vivo. The Meeting concluded that
    parathion is not genotoxic.

         An ADI of 0-0.004 mg/kg bw was established on the basis of an
    NOAEL of 0.4 mg/kg bw per day in the two-year study in rats for
    retinal atrophy and inhibition of brain acetylcholinesterase at the
    higher dose. A safety factor of 100 was used. Lower NOAELs in animals,
    based only on inhibition of erythrocyte or brain acetylcholinesterase,
    were not considered relevant because of the availability of an NOAEL
    for erythrocyte acetyl-cholinesterase inhibition in humans, which was
    0.1 mg/kg bw per day.

    Toxicological evaluation

     Levels that cause no toxic effect

    Mouse:    50 ppm, equivalent to 7.5 mg/kg bw per day (90-day study of
              toxicity)

    Rat:      1 ppm, equivalent to 0.05 mg/kg bw per day (study of
              reproductive toxicity)
              2.5 ppm, equal to 0.18 mg/kg bw per day (90-day study of
              toxicity)
              8 ppm, equivalent to 0.4 mg/kg bw per day (two-year study of
              toxicity and carcinogenicity)

    Dog:      0.008 mg/kg bw per day (six-month study of toxicity)

     Estimate of acceptable daily intake for humans

         0-0.004 mg/kg bw

     Estimate of acute reference dose

         An acute reference dose of 0.01 mg/kg bw was derived by applying
    the usual 10-fold safety factor to an NOAEL of 7.5 mg/day (highest
    oral dose), corresponding to about 0.1 mg/kg bw per day, in humans.
    This was based on the absence of inhibition of erythrocyte
    acetylcholinesterase.

     Studies that would provide information useful for continued evaluation
     of the compound

         Further observation in humans

        Toxicological criteria for setting guidance values for dietary and non-dietary exposure to parathion
                                                                                                                                              

    Exposure                     Relevant route, study type, species             Results, remarks
                                                                                                                                              

    Short-term ( 1-7 days)       Skin, irritation, rabbit                        Irritating
                                 Eye, irritation, rabbit                         Irritating
                                 Skin, sensitization, guinea-pig                 Non-sensitizing
                                 Oral, toxicity, rat                             LD50 = 2 mg/kg bw
                                 Dermal, toxicity, rat                           LD50 = 73 mg/kg bw
                                 Inhalation, toxicity, rat                       LC50 = 0.03 mg/litre

    Medium-term (1-26 weeks)     Repeated dermal, 21 days, toxicity, rabbit      NOAEL = 1 mg/kg bw per day, based on
                                                                                 decreased brain acetylcholinesterase. No
                                                                                 dermal effect
                                 Repeated inhalation, 21 days, toxicity, rat     NOAEL = 0.92 mg/m3 based on decreased
                                                                                 brain acetylcholinesterase

                                 Repeated oral, reproductive toxicity, rat       NOAEL = 0.05 mg/kg bw per day for
                                                                                 maternal toxicity, decreased brain
                                                                                 cholinesterase; NOAEL = 1 mg/kg bw per
                                                                                 day for reproductive toxicity; NOAEL =
                                                                                 1 mg/kg bw per day for perinatal toxicity
                                                                                 based on reduced body weight
                                 Repeated oral, developmental,                   NOAEL = 1 mg/ kg bw per day for developmental
                                 toxicity, rat                                   toxicity; NOAEL = 0.3 mg/kg per
                                                                                 day for maternal toxicity based on increased
                                                                                 mortality and cholinergic signs
                                 Repeated oral, developmental,                   NOAEL >0.3 mg/kg bw per day for
                                 toxicity, rabbit                                maternal and developmental toxicity

    Long-term (> one year)       Repeated oral, two years, toxicity and          NOAEL = 0.25 mg/kg bw per day based on
                                 carcinogenicity, rat                            lowered brain acetylcholinesterase. No
                                                                                 carcinogenicity
                                                                                                                                              
        References

    Ahdaya, S.M., Monroe, R.J. & Guthrie, F.E. (1981) Absorption and
         distribution of intubated insecticides in fasted mice.
          Pestic. Biochem. Physiol., 16, 38-46.

    Atkinson, J.E. (1991a) A six month oral study of ethyl parathion in
         dogs with specific emphasis on ocular effects. Unpublished report
         No. 89-3439 prepared by Biodynamics, Inc., East Millstone, New
         Jersey, USA. Submitted to WHO by Cheminova Agro AS, Lemvig,
         Denmark.

    Atkinson, J.E. (1991b) A three month oral study in rats via the diet
         with ethyl parathion to investigate ocular effects and cholin
         activity. Unpublished report No. 89-3469 prepared by Biodynamics
         Inc., East Millstone, New Jersey, USA. Submitted to WHO by
         Cheminova Agro AS, Lemvig, Denmark.

    Auletta, C.S. (1984) Acute oral toxicity in rats -- Acute dermal
         toxicity in rabbits. Unpublished report No. 4997-84, 5505-84
         prepared by Biodynamics Inc., East Millstone, New Jersey, USA.
         Submitted to WHO by Cheminova Agro AS, Lemvig, Denmark.

    Benjaminov, O., Hoffer, E., Taitelman, U., Urbak, B. & Brandis, L.
         (1992) Parathion transfer and acetycholme activity in
         an in vitro perfused human placenta. Vet. Hum. Toxicol.,
         34, 10-12.

    Bucks, D.A.W., Hinz, R.S., Sarason, R., Maibach, H.I. & Guy, R.H.
         (1990) In vivo percutaneous absorption of chemicals -- A multiple
         dose study in rhesus monkeys.  Chem. Toxicol., 28, 129.

    Carr, S.M.A. & Cuthbert, J.A. (1986) Ethyl parathion 98% technical
         acute toxicity tests. Unpublished report No. 234117 prepared by
         Inveresk Research International, Musselburgh, United Kingdom.
         Submitted to WHO by Cheminova Agro AS, Lemvig, Denmark.

    Chan, L.T.F., Crowley, R.J. & Geyer, R. (1983) Detection and analysis
         of aminoparathion in human postmortem specimens.
          J. Forensic Sci., 28, 122-127.

    Chang, S.K. & Riviere, J.E. (1991) Percutaneous absorption of
         parathion in vitro in porcine skin: Effects of dose, temperature,
         humidity and perfusate composition on absorptive flux.
          Fundam. Appl. Toxicol., 17, 494-504.

    Cheng, T. (1990) Ethyl parathion -- Nature of the residues in
         livestock -- Laying hens. Unpublished report No. HLA 6222-100,
         prepared by Hazleton Laboratories America, Inc. Submitted to WHO
         by Cheminova Agro AS, Lemvig, Denmark.

    Cheng, T (1987, 1988, 1990) Ethyl parathion -- Nature of the residue
         in livestock -- Lactating goats. Unpublished report
         No. HLA 6222-101, prepared by Hazleton Laboratories America, Inc.
         Submitted to WHO by Cheminova Agro AS, Lemvig, Denmark.

    Curren, R.D. (1988) Unscheduled DNA synthesis in rat primary
         hepotocytes. Unpublished report prepared by Microbiological
         Associates, Inc, USA. Submitted to WHO by Cheminova Agro AS,
         Lemvig, Denmark.

    Daly, I.W. (1980a) A three month feed study of ethyl parathion in
         mice. Unpublished report No. 77-2052 prepared by Biodynamics
         Inc., East Millstone, New Jersey, USA. Submitted to WHO by
         Cheminova Agro AS, Lemvig, Denmark.

    Daly, I.W. (1980b) A three month feeding study of ethyl parathion in
         rats. Unpublished report No. 77-2054 prepared by Biodynamics
         Inc., East Millstone, New Jersey, USA. Submitted to WHO by
         Cheminova Agro AS, Lemvig, Denmark.

    Daly, I.W. (1982) A two generation reproduction study of ethyl
         parathion in rats. Unpublished report No. 80-2457 prepared by
         Biodynamics Inc., East Millstone, New Jersey, USA Submitted to
         WHO by Cheminova Agro AS, Lemvig, Denmark.

    Daly, I.W. (1984a) Acute oral toxicity study in rats. Unpublished
         report No. 4997-84, prepared by Biodynamics Inc., East Millstone,
         New Jersey, USA. Submitted to WHO by Cheminova Agro AS,
         Lemvig, Denmark.

    Daly, I.W. (1984b) Acute dermal toxicity study in rabbits. Unpublished
         report No. 5505-84 prepared by Biodynamics Inc., East Millstone,
         New Jersey, USA. Submitted to WHO by Cheminova Agro AS,
         Lemvig, Denmark.

    Daly, I.W. (1984c) A two year chronic feeding study of ethyl parathion
         in rats. Unpublished report No. 77-2055 prepared by Biodynamics
         Inc., East Millstone, New Jersey, USA. Submitted to WHO by
         Cheminova Agro AS, Lemvig, Denmark.

    Davis, J.E. (1975) The metabolism of parathion by liver microsomal
         mixed-function oxidases. Dissertation, University of Miami,
         Florida, USA. Submitted to WHO by Cheminova Agro AS,
         Lemvig, Denmark.

    Degraeve, N., Moutschen, J., Moutschen-Dahmen, M., Gilot-Delhalle, J.,
         Colizzi, A., Houbrechts, N. & Cholett, M.C. (1979) Genetic
         effects of organophosphate insecticides in mouse (Abstract).
          Mutat. Res., 64, 131.

    Eiben, R. (1987) Parathion study for chronic toxicity and
         cancerogenicity in Wistar rats. Unpublished report No. 16305 from
         Bayer AG. Submitted to WHO by Cheminova Agro AS, Lemvig, Denmark.

    Eigenberg, D.A., Pazdernik, T.L. & Doull, J. (1983) Hernofusion and
         pharmacokinetic studies with parathion and parathionoxon in the
         rat and dog.  Drug Metab. Disposition, 11, 366-370.

    Flucke, W. & Kimmerle, G. (1977) Studies of oral acute toxicity of
         simultaneously administered methamidophos and parathion ethyl.
         Unpublished report from Bayer AG. Submitted to WHO by Cheminova
         Agro AS, Lemvig, Denmark

    Fredricksson, T. & Bigelow, J.K. (1-961) Tissue distribution of 32P
         labeled parathion.  Arch. Environ. Health, 2, 663-667.

    Gagne, J. & Brodeur, J. (1972) Metabolic studies on the mechanisms of
         increased susceptibility of weanling rats to parathion.
          Can. J. Physiol. Pharmacol., 50, 902-915.

    Greenough, R.J. & McDonald, P. (1986) Ethyl ara 98% technical: Acute
         inhalation toxicity study in rats. Unpublished report
         No. 632295 prepared by Inveresk Research International,
         Musselburgh, United Kingdom. Submitted to WHO by Cheminova Agro
         AS, Lemvig, Denmark.

    Gröning, P. (1975) Tamaron-Special toxicity studies (potentiation).
         Unpublished report prepared by Bayer AG. Submitted to WHO by
         Cheminova Agro AS, Lemvig, Denmark.

    Harbell, J.W. (1989) CHO/HGPRT confirmatory mutation assay with ethyl
         parathion? Unpublished report prepared by Microbiological
         Assocites Inc., Musselburgh, United Kingdom. Submitted to WHO by
         Cheminova Agro AS, Lemvig, Denmark.

    Heimann, K.G. (1982) E-605-ethyl study for acute oral toxicity.
         Unpublished report No. 11230 from Bayer AG. Submitted to WHO by
         Cheminova Agro AS, Lemvig, Denmark.

    Heimann, K.G. (1986) E-605-ethyl study for skin sensitizing effect on
         guinea pigs. Unpublished report No. 14999 from Bayer AG.
         Submitted to WHO by Cheminova Agro AS, Lemvig, Denmark.

    Herbold, B.A. (1982) Parathion (E-605-ethyl active ingredient) --
         Micronucleus test on mouse to evaluate for mutagenic effect.
         Unpublished report No. 10777 from Bayer AG. Submitted to WHO by
         Cheminova Agro AS, Lemvig, Denmark.

    Herbold, B.A. (1985) E-605 (c.n. parathion) Pol A1-test on E-coli to
         evaluate for potential DNA damage. Unpublished report
         No. 10777 from Bayer AG. Submitted to WHO by Cheminova Agro AS,
         Lemvig, Denmark.

    Herbold, B.A. (1986) E-605 (c.m. Parathion) -- Dominant lethal test on
         male mouse to evaluate for mutagenic effect. Unpublished report
         No. 14224 from Bayer AG. Submitted to WHO by Cheminova Agro AS,
         Lemvig, Denmark.

    Jensen, J.C. (1991) Mutagenicity test: In vitro mammalian cytogenetic
         test in human lymphocytes performed with parathion-ethyl, Batch
         No. 70818-01. Unpublished report prepared by Scaatox. Submitted
         to WHO by Cheminova Agro AS, Lemvig, Denmark.

    Kamataki, T. & Neal, R.A. (1976) Metabolism of diethyl A-nitrophenyl
         phosphorothionate (parathion) by a reconstituted mixed-function
         oxidase enzyme system: Studies of covalent binding of the sulfer
         atom.  Mol. Pharmacol., 12, 933-944.

    Lawlor, T.E. & Wagner, V.O. (1988) Ethyl parathion (97-98% technical)
         --  Salmonella/mammalian-microsome plate incorporation
         mutagenicity assay (Ames test) with a confirmatory assay.
         Unpublished report No. USAE 605220388 prepared by Microbiological
         Associates Inc, USA. Submitted to WHO by Cheminova Agro AS,
         Lemvig, Denmark.

    Mihail, F. & Gröning, P. (1981) E-605. Ethylactive ingredient/subacute
         cutaneous toxicity study on rabbits. Unpublished report No 10342
         from Bayer AG. Submitted to WHO by Cheminova Agro AS, Lemvig,
         Denmark.

    Moeller, H.S. & Rider, J.A. (1961) Studies on the anticholinesterase
         effect of parathion and methyl parathion in humans (Abstract).
          Fed Proc., 20, 434.

    Nakatsugawa, T., Tolman, N.U. & Dahm, P.A. (1969) Degradation of
         parathion in the rat.  Biochem. 18, 1103-1114.

    Neal, R.A. (1967) Studies on the metabolism of diethyl 4-nitrophenyl
         phosphorothionate (parathion)  in vitro. Biochem. J.,
         103, 183-191.

    Neeper-Bradley, T.L. (1990) Two-generation reproduction study of ethyl
         parathion technical administered in the diet of CD (Sprague
         Dawley) rats. Unpublished report from Busky Run Research Center,
         Pennsylvania, USA. Submitted to WHO by Cheminova Agro AS,
         Lemvig, Denmark.

    Nye, D.E. & Donough, H.W. (1976) Fate of insecticides administered
         endotracheally to rats.  Bull. Environ. Contam. Toxicol.,
         15, 291-296.

    Oesch, F. (1977) Ames test for Folidol E-605 (parathion). Unpublished
         report No. E605301177. Submitted to WHO by Cheminova Agro AS,
         Lemvig, Denmark.

    Owens, E.J. (1976) The effect of ethyl parathion in the rat and dog
         after acute and subacute inhalation and oral administration.
         Technical report No. AMRL TR-76-1215 from Aerospace Medical
         Research Laboratories, pp. 203-222. Submitted to WHO by Cheminova
         Agro AS, Lemvig, Denmark.

    Page, J.G. & Heath, G.E. (1991) Carcinogenicity study of ethyl
         parathion administered by dosed feed to B6C3F1 mice.
         Unpublished report No. E605210291 from Southern Research
         Institute, Alabama, USA. Submitted to WHO by Cheminova Agro AS,
         Lemvig, Denmark.

    Pauluhn, J. (1983) E605-Ethyl/Study for dermal and mucous membrane
         irritant effects. Unpublished report No. 11401 from Bayer AG
         Submitted to WHO by Cheminova Agro AS, Lemvig, Denmark.

    Pauluhn, J. (1984) E605 (c.m. parathion) -- Study for subacute
         inhalative toxicity in the rat (exposure 15 × 6 hours).
         Unpublished report No. 12395 from Bayer AG. Submitted to WHO by
         Cheminova Agro AS, Lemvig, Denmark.

    Putman, D.L. (1988) Micronucleus cytogenetic assay in mice.
         Unpublished report No. T4772.122 prepared by Microbiological
         Associates, Inc., USA. Submitted to WHO by Cheminova Agro AS,
         Lemvig, Denmark.

    Ramundo, J. (1979) A 4 week pilot study in mice with ethyl parathion.
         Unpublished report No. 77-2051 from Biodynamics Inc., East
         Millstone, New Jersey, USA. Submitted to WHO by Cheminova Agro
         AS. Lemvig, Denmark.

    Renhof, M. (1984) Parathion -- Study for embryotoxic effects in rats
         after oral administration. Unpublished report No. 12909 from
         Bayer AG. Submitted to WHO by Cheminova Agro AS. Lemvig, Denmark.

    Renhof, M. (1985) Parathion -- Study for embryotoxic effects on
         rabbits after oral administration. Unpublished report No. 13288
         from Bayer AG. Submitted to WHO by Cheminova Agro AS, Lemvig,
         Denmark

    Rider, J.A., Moeller, H.C., Swader, J.I. & Weilerstein, R.W. (1958)
         The effect of parathion on human red blood cell and plasma
         cholinesterase.  Arch. Ind. Health, 18, 442-445.

    Schroeder (1983) A teratogenicity study in rats with ethyl parathion.
         Unpublished report No. 82-2644 prepared by Biodynamics Inc., East
         Millstone, New Jersey, USA. Submitted to WHO by Cheminova Agro
         AS, Lemvig, Denmark.

    Simmon, V.F., Mitchell, R.D. & Jorgenson, T.A. (1976)  In vitro
         mutagenic studies on twenty pesticides.  Toxicol. Appl.
          Pharmacol., 37, 109.

    Soliman, S.A., Farmer, J. & Curley, A. (1982) Is delayed neurotoxicity
         a property of all organophosphorus compounds? A study with a
         model compound: parathion.  Toxicology, 23, 267-279.

    Tegeris, A.S. & Underwood, P.C. (1977) Fourteen day feeding study in
         the dog. Ethyl parathion. Unpublished report No. 77-113 prepared
         by Pharmacopathics Research Laboratories, Inc., USA. Submitted to
         WHO by Cheminova Agro AS, Lemvig, Denmark.

    Thyssen, J. (1972) E-605-Ethyl -- Study for acute inhalation toxicity.
         Unpublished report No. 8209 from Bayer AG. Submitted to WHO by
         Cheminova Agro AS, Lemvig, Denmark.

    Underwood, P.C. (1978) Ethyl parathion: Ninety day feeding to dogs.
         Unpublished report No. USAE 65060378 from Pharmacopathics
         Research Laboratories, Inc., USA. Submitted to WHO by Cheminova
         Agro AS, Lemvig, Denmark

    Weber, H., Patzchke, K. & Wegner, L.A. (1980) Parathion C14 (benzene
         ring-labelled compound): Biokinetic studies in rats. Unpublished
         report No. PH8820 from Bayer AG. Submitted to WHO by Cheminova
         Agro AS, Lemvig, Denmark.

    Yang, L.L. (1988) Ethyl parathion (97/98% technical) CHO/HGPRT
         mutation assay. Unpublished report No. USAE 605280388 from
         Microbiological Associates Inc., USA. Submitted to WHO by
         Cheminova Agro AS, Lemvig, Denmark.
    


    See Also:
       Toxicological Abbreviations
       Parathion (HSG 74, 1992)
       Parathion (ICSC)
       Parathion (FAO Meeting Report PL/1965/10/1)
       Parathion (FAO/PL:1967/M/11/1)
       Parathion (FAO/PL:1969/M/17/1)
       Parathion (AGP:1970/M/12/1)
       Parathion (Pesticide residues in food: 1984 evaluations)
       Parathion (IARC Summary & Evaluation, Volume 30, 1983)