IPCS INCHEM Home

    BENOMYL

    First draft prepared by
    M. Watson

    Pesticides Safety Directorate, Ministry of Agriculture, Fisheries and
    Food, Mallard House, Kings Pool, York, United Kingdom

    Explanation
    Evaluation for acceptable daily intake
         Biochemical aspects
              Absorption, distribution, and excretion
              Biotransformation
              Effects on enzymes and other biochemical parameters
         Toxicological studies
              Acute toxicity
              Short-term toxicity
              Long-term toxicity and carcinogenicity
              Reproductive toxicity
              Developmental toxicity
              Genotoxicity
              Special studies
                   Dermal and ocular irritation and dermal sensitization
                   Neurotoxicity
              Observations in humans
                   Exposure during field use
                   Medical surveillance of workers
         Comments
         Toxicological evaluation
    References

    Explanation

         Benomyl was previously evaluated toxicologically by the Joint
    Meeting in 1975 and 1983 (Annex I, references 24 and 40). In 1983, an
    ADI of 0-0.02 mg/kg bw was established on the basis of a review of the
    data on toxicity for carbendazim and benomyl and a safety factor that
    is higher than normal in view of the paucity of data on individual
    animals in many of the studies. The compound was reviewed at the
    present Meeting as a result of the CCPR periodic review programme,
    with particular attention to the recent WHO Environmental Health
    Criteria monograph on benomyl (EHC 148). This monograph summarizes new
    data on benomyl, data that were not reviewed previously, and relevant
    data from the previous monographs on this pesticide.

    Evaluation for acceptable daily intake

    1.  Biochemical aspects

    (a)  Absorption, distribution, and excretion

         Radiolabelled 14C-benomyl was administered by gavage to male
    Sprague-Dawley rats either as a single dose of 1000 mg/kg bw to five
    rats, which were sacrificed either 1, 2, 4, 7, or 24 h later, or as 10
    repeated doses of 200 mg/kg bw per day to two rats, which were
    sacrificed 1 or 24 h after the last dose. Blood and testes were then
    analysed, as were those from rats fed 2500 ppm for one year. In rats
    given 1000 mg/kg bw, the total amount of radiolabel (calculated as
    benomyl) was 3-13 ppm in the blood and 2-4 ppm in the testes;
    5-hydroxybenzimidazol-2-ylcarbamate (5-HBC) appeared in the blood and
    testes as early as 1 h after dosing. The concentration of benomyl
    and/or carbendazim decreased with time, with a corresponding increase
    in the concentration of 5-HBC in blood and testes. In samples from
    rats given repeated doses, no benomyl or carbendazim (< 0.1 ppm)
    could be detected 1 h after the last dose, and only low levels of
    5-HBC were found (1.5 ppm in blood and 0.3 ppm in testes); no benomyl,
    carbendazim, or 5-HBC (< 0.1 ppm) was found 24 h after the last dose.
    In blood and testes from rats fed 2500 ppm, no benomyl or carbendazim
    (< 0.1 ppm) was detected, and only a minimal amount (0.2 ppm) of
    5-HBC was found in blood and none in the testes (< 0.1 ppm) (Belasco
     et al., 1969).

         Benomyl and/or Benlate (a 50% benomyl formulation) were
    administered by gavage or in the diet to pregnant Sprague-Dawley rats
    on days 7-16 of gestation in order to determine the concentrations of
    benomyl, carbendazim, and two carbendazim metabolites (4- and 5-HBC)
    in maternal blood and embryonic tissue. The doses were 125 mg/kg bw
    per day by gavage or 5000-10 000 ppm in the diet (about 400-800 mg/kg
    bw). Blood samples from the dams and tissue samples from their embryos
    were examined on days 1, 6, and 10 of dietary administration and on
    days 12 and 16 of administration by gavage 1, 2, 4, 8, and 24 h after
    gavage. The levels of benomyl and carbendazim in maternal blood and
    embryonic tissues decreased markedly with the number of treatments
    24 h after each dose. The level of benomyl 1 h after treatment was
    0.98-8.4 mg/kg bw, with a mean of 5.0 mg/kg bw on the first day of
    treatment. After 10 treatments, the levels of benomyl and carbendazim
    1 h after the last treatment ranged from < 0.1 to 0.39 mg/kg bw.
    Embryonic tissues contained 0.13 mg/kg benomyl and carbendazim after
    the tenth treatment in comparison with a mean of 1.9 mg/kg after the
    first treatment. The half-life of benomyl was about 45 min in maternal
    blood and less in the embryos. The level of 5-HBC (0.84-2.9 mg/kg) 2 h
    after the last gavage increased with the number of exposures, the
    half-life in blood being 2-3 h in dams and 4-8 h in embryos. 4-HBC was
    not detected. In the studies of dietary administration, the levels of
    benomyl, carbendazim, and 4-HBC in embryonic tissue were too low to be

    measured, and 4-HBC could not be detected in the dams. Irrespective of
    the dose (5000 or 10 000 ppm) of benomyl or Benlate, the levels of
    benomyl and carbendazim in maternal blood were very low. In three
    separate groups of animals, the highest mean blood concentrations of
    benomyl and carbendazim were 0.35, 0.61, and 0.23 mg/kg bw. The
    highest mean value of 5-HBC, after administration of 5000 ppm benomyl
    in the diet, was 0.44 mg/kg bw in the blood and 0.33 mg/kg bw in the
    embryos. Animals fed benomyl or Benlate at 10 000 ppm had 5-HBC levels
    an order of magnitude higher (Culik, 1981a,b).

         Three groups of five rats of each sex were given [phenyl(U)-
    14C]-carbendazim by gavage. One group received a single dose
    of 50 mg/kg bw; the second received a single dose of 50 mg/kg bw
    after 14 days of preconditioning with non-radiolabelled carbendazim at
    50 mg/kg bw per day; and the third group received a single dose of
    1000 mg/kg bw. In all groups, > 98% of the recovered radioactivity
    had been excreted in the urine or faeces by the time of sacrifice
    (72 h after treatment). Urinary excretion accounted for 62-66% of the
    dose in males and for 54-62% of the dose in females given the low dose
    or preconditioned; in animals given the high dose, this pathway
    accounted for 41% of the dose. Elimination in the faeces accounted for
    virtually all of the remaining radiolabel. There were no apparent
    differences between male and female rats with respect to the extent of
    absorption or the extent and rate of elimination of 14C-carbendazim
    equivalents within a given treatment group. The amount of radiolabel
    remaining in tissues represented < 1% of the applied dose (Monson,
    1990).

         Groups of four male Sprague-Dawley rats received dermal
    applications of 0.1, 1, 10, or 100 mg benomyl (as [2-14C]-Benlate
    50% wettable powder) at 0.5-, 1-, 2-, 4-, or 10-h intervals. Benomyl
    was slowly absorbed across an area of skin representing 16% of the
    total, appearing in the blood and urine within 30 min and reaching a
    maximum at 2-4 h. The concentration of benomyl and its metabolites in
    the blood peaked at 0.05 mg/litre (2-h sample) in the group given the
    lowest dose and at 0.10 mg/litre (4-h sample) in that given the
    highest dose, representing a 20-fold increase in blood concentration
    for a 1000-fold increase in dose. Thus, absorption into the
    bloodstream was non-linear with respect to dose (Belasco, 1979a).

         Formulated benomyl (Benlate 50% wettable powder) poorly
    penetrated human skin  in vitro after application at the recommended
    strength. Even less penetration was detected when dry concentrated
    benomyl was applied (Ward & Scott, 1992).

         After intravenous injection of 1 or 10 mg of radiolabelled
    benomyl (as 14C-Benlate 50% wettable powder) to groups of 10 male
    Sprague-Dawley rats, radiolabel was found in the urine as 5-HBC 6, 12,
    and 24 h after dosing; little radiolabel was found in the blood or
    faeces at these times. More than 80% of the dose was excreted,

    predominantly in the urine, within 6 h after injection, and > 95% was
    recovered within 24 h. No radiolabel (< 0.1%) was found in any tissue
    after 24 h, although blood contained trace quantities of 14C
    residues. Isolated cases of apparent faecal excretion of radiolabel
    were reported probably to be due to wetting of faeces with urine (Han,
    1979).

         Blood levels of benomyl and its metabolites were measured 6 and
    18 h after exposure of male rats to time-weighted average levels of
    0.32 or 3.3 mg/litre of air for 0.5, 1, 2, and 6 h. The analytical
    method did not allow distinction between benomyl and carbendazim. The
    blood concentrations of benomyl and carbendazim were 0.39-2.3 mg/litre
    after exposure to the low dose and 0.25-1.2 mg/litre after the high
    dose; both were greater than that of 5-HBC 6 h after exposure. At 18 h
    after exposure, only 5-HBC was detected in the blood (at 1.1 mg/litre)
    and only at the highest dose. The urinary metabolites consisted
    primarily of 5-HBC; small amounts of benomyl and carbendazim were also
    detected (Turney, 1979)

    (b)  Biotransformation

         Benomyl is extensively metabolized by rats to carbendazim, which
    is then further metabolized. Studies of rats administered benomyl
    intravenously (Han, 1979), dermally (Belasco, 1979a), or by inhalation
    (Turney, 1979) showed that 5-HBC is the main urinary metabolite,
    although some carbendazim is also present.

         The metabolism of benomyl was investigated in one male
    Sprague-Dawley rat fed a diet containing 2500 ppm unlabelled benomyl
    for 12 days and then a single oral dose of 7.7 mg methyl
    1-(butylcarbamoyl)-2-14C-benzimidazole carbamate. Urine, faeces, and
    carbon dioxide were collected for 72 h before the animal was killed
    and its tissues analysed for radiolabel. Most (79%) of the radiolabel
    was excreted in urine within 24 h; by 72 h, 85.8% of the label had
    been excreted in the urine and 13.1% in the faeces. The tissue levels
    were < 0.1% of the applied dose, except in the gastrointestinal tract
    and liver where 0.2% of the applied dose was found; 0.02% of the dose
    was found in the carcass. The 24-h urine sample was compared with
    reference standards on silica gel thin-layer chromatography plates:
    The main urinary metabolite was identified as methyl 5-HBC (Gardiner
     et al., 1974).

         Two male CD-1 mice were fed a diet containing 2500 ppm unlabelled
    benomyl for 21 days and were then given a single oral dose of 2.5 mg
    [2-14C]-benomyl. Urine and faeces were collected at 24-h intervals
    for 72 h, and the mice were then killed and tissues were examined for
    radiolabel. Most of the radiolabel was excreted within 24 h, with 64%
    in urine and 11.7% in faeces. The tissue levels represented < 0.01%
    of the applied dose except in the gastrointestinal tract (0.2%), liver
    (0.12%), and skin (0.18%). Urine and faecal samples were analysed for

    metabolites on silica gel thin-layer chromatography plates: The main
    metabolite found in urine was methyl 5-HBC; only unchanged benomyl was
    detected in faeces (Han, undated).

         The metabolism of [2-14C]-benomyl was also investigated in
    hamsters. The same procedure as described above was followed, except
    that a dose of 7.5 mg radiolabelled benomyl was used. Excretion was
    slower than in the mouse, 4.43% being excreted in the urine and 14.8%
    in the faeces within 24 h. By 72 h, 67.7% of the applied dose had been
    excreted in the urine and 22% in the faeces. The tissue levels were
    again low: The highest levels were found in the gastrointestinal tract
    (1.2% of the administered dose), liver (0.36%), and skin (0.94%).  The
    main metabolite detected in urine was methyl 5-HBC. In the faeces, the
    main compound detected was unchanged benomyl, with traces of 5-HBC
    (Han, undated).

         Three Sprague-Dawley rats were given a single oral dose of 5-8 mg
    14C benomyl-1-carbamoyl- n-[1-3H]butyl) in peanut oil. Within the
    first 29 h, 55-69% of the 3H label and 76-89% of the 14C label had
    been recovered, mainly in the urine and as exhaled carbon dioxide.
    Chromatography of urine samples on an anion-exchange resin followed by
    chromatography on silica gel allowed tentative identification of one
    metabolite as butylamine (Axness & Fleeker, 1979).

         In the study described above in which rats were given carbendazim
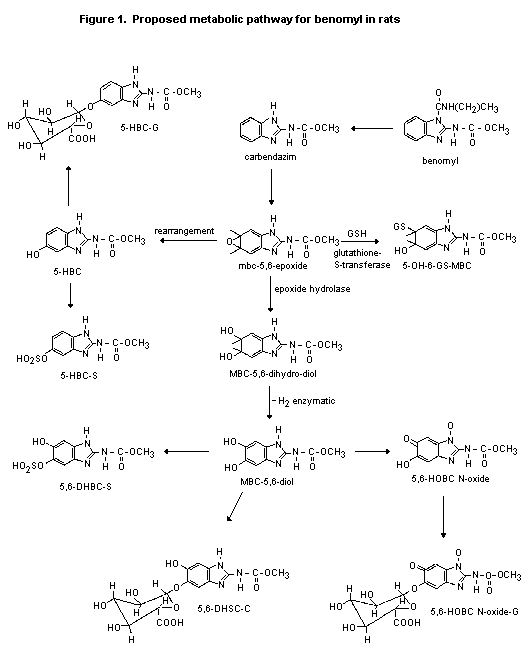
    by gavage, 5-HBC- S(see Figure 1; 21-43% of dose) was identified as
    the main metabolite, except in preconditioned female rats at the low
    dose (5.5-10%); in all female rats, 5,6-HOBC-N-oxide-G was the
    predominant metabolite (10-19%). 5,6-DHBC-S and 5,6-DHBC-G were
    identified as minor metabolites. In faeces collected at the same times
    as the urine, the total recovery was about 24% for males and 33-38%
    for females at the low dose, with or without preconditioning, and
    > 60% for males and females at the high dose. Unchanged carbendazim
    represented 10-15% of the administered dose in the faeces of rats at
    the high dose (Monson, 1990).

         The proposed metabolic pathway of benomyl in rats is shown in
    Figure 1.

    (c)  Effects on enzymes and other biochemical parameters

         Acetylcholinesterase from bovine erythrocytes was not
    inhibited by benomyl  in vitro, the inhibition constant being
    > 1 × 10-3 mol/litre (Belasco, 1979b). Krupka (1974) confirmed
    that benomyl inhibits neither acetylcholinesterase nor butyryl-
    cholinesterase  in vitro. 

    CHEMICAL STRUCTURE 1

         The effects of benomyl and carbendazim on hepatic enzymes were
    studied in male and female Sprague-Dawley rats and Swiss albino mice
    fed diets containing benomyl or carbendazim at a concentration of 0,
    10, 30, 100, 300, 1000 or 3000 ppm for 28 days. After sacrifice, liver
    weights were recorded and microsomal epoxide hydrolase and cytosolic
    glutathione- S-transferase were monitored in subcellular fractions
    isolated from the liver. The mean absolute liver weights were elevated
    in males and females fed 1000 or 3000 ppm carbendazim and in females
    fed 300 ppm; however, the only significantly increase was found in
    females fed 3000 ppm benomyl. No apparent liver toxicity or effect on
    body weight was observed. Both benomyl and carbendazim induced epoxide
    hydrolase in male and female rats and in mice fed 1000 or 3000 ppm,
    and both induced glutathione- S-transferase at 3000 ppm. The level of
    induction seemed to be slightly greater in females than males. There
    was no substantial difference in enzyme induction between rats and
    mice (Guengerich, 1981).

         Administration of 1000 or 4000 ppm benomyl in the diet to groups
    of eight female albino rats and female Swiss albino mice for 15 days
    increased the activity of blood and liver gamma-glutamyl transpeptidase
    in both species, and the degree of induction was dose related (Shukla
     et al., 1989).

    2.  Toxicological studies

    (a)  Acute toxicity

         The results of studies of acute toxicity are summarized in Table
    1. The clinical signs of toxicity after treatment with benomyl were
    generally nonspecific. Gross and histopathological changes were
    evaluated in some studies; in male gonads, testicular degeneration,
    necrosis of germinal epithelium, and aspermatogenesis were observed in
    rats and dogs.

    (b)  Short-term toxicity

    Rats

         After intubation of benomyl into male Sprague-Dawley rats at 200
    or 3400 mg/kg bw in peanut oil five times per week for two weeks, four
    of six animals at the high dose died. At this dose, degeneration of
    germinal epithelium, multinucleated giant cells, and reduction or
    absence of sperm were seen. Very minor changes were observed in the
    testes of the animals treated with the lower dose (Sherman & Krauss,
    1966).

         Male Sprague-Dawley rats treated orally for 10 days with
    200 mg/kg bw per day of the metabolite 5-HBC (methyl ester) had no
    toxic symptoms or evidence of effects on the testes (Snee, 1969).

        Table 1.  Acute toxicity of benomyl, benomyl formulations, and benomyl metabolites
                                                                                                                                

    Test material                      Species   Route               LD50 or LC50        Purity    Reference
                                                                     (mg/kg bw or        (%)
                                                                     mg/litre air)
                                                                                                                                

    Benomyl                            Rat       Oral                > 10 000            > 95      Sherman (1969a)
    Benomyl                            Dog       Oral                > 1 000             > 95      Sherman (1969b)
    '50% wettable powder'              Rat       Oral                > 1 000             > 95      Sherman (1969a)
    '50% wettable powder'              Rat       Oral                > 5 000             NR        Sarver (1987)
    '50% wettable powder'              Rat       Oral                > 1 200             NR        Hostetler (1977)
    '50% wettable powder'              Rabbit    Oral                > 3 400             NR        Fritz (1969)
    '50% wettable powder'              Rabbit    Dermal              > 10 000            NR        Busey (1968a)
    '50% wettable powder'              Rabbit    Dermal              > 2 000             NR        Brock (1987)
    '50% wettable powder'              Rabbit    Dermal              > 2 000             NR        Gargus & Zoetis (1983a)
    '50% wettable powder'              Rat       Inhalation (4-h)    > 0.82              NR        Hornberger (1969)
    '50% wettable powder'              Rat       Inhalation (4-h)    > 4.01              NR        Busey (1968b)
    '50% wettable powder'              Dog       Inhalation (4-h)    > 1.65              NR        Littlefield & Busey (1969)
    2-Benzimidazole carbamic           Rat       Intraperitoneal     > 10 000            NR        Goodman (1975)
      acid, methyl ester
    5-Hydroxy-2-benzimidazole          Rat       Oral                > 7 500             > 95      Snee (1969)
      carbamic acid, methyl ester
    2-Aminobenzimidazole               Rat       Oral                > 3 400             > 95      Fritz & Sherman (1969)
    Benzimidazole 2-(3-butylureido)    Rat       Oral                > 17 000            NR        Dashiell (1972)
    S-Triazine, 3-butyl-benzimidazole  Rat       Oral                > 17 000            NR        Barbo & Carroll (1972)
      (1,2a)-2,4(1H,3H)-dione
                                                                                                                                

    NR, Not reported
             Groups of 16 male and 16 female Sprague Dawley rats were fed
    benomyl (72% pure) in the diet at 0, 100, 500 and 2500 ppm (as
    benomyl). After 96-103 days of continuous feeding, 10 male and 10
    female rats in each group were killed, and selected organs were
    weighed; additional organs were preserved for microscopic examination.
    The remaining animals in each group were studied for reproductive
    toxicity (see below). There were no gross toxic signs of poisoning and
    no compound-related effects on weight gain, food consumption, food
    efficiency, or haematological, biochemical, or urine parameters. The
    liver body weight ratio was slightly increased in females at 2500 ppm
    in comparison with control rats, Gross and microscopic examination of
    tissues and organs showed no significant effect attributable to the
    presence of benomyl in the diet at levels up to and including 2500 ppm
    (Sherman  et al., 1967).

         Groups of 20 male and 20 female Sprague-Dawley rats were exposed
    to benomyl by inhalation at 0, 10, 50, or 200 mg/m3 via the nose
    only, for 6 h/day for 90 days. After 45 and 90 days, blood and urine
    samples were collected from 10 rats of each sex per group for clinical
    analysis; the animals were then killed for pathological examination.
    After about 45 days of exposure, degeneration of the olfactory
    epithelium attributable to benomyl was observed in all males and in
    eight of the 10 females exposed to 200 mg/m3; two male rats exposed
    to 50 mg/m3 had similar but less severe olfactory degeneration. After
    about 90 days of exposure, all of the animals at 200 mg/m3 and three
    males at 50 mg/m3 had olfactory degeneration. No other compound-
    related pathological effects was observed. Male rats exposed to
    200 mg/m3 had depressed mean body weights in comparison with
    controls; the depression was correlated with a reduction in food
    consumption (Warheit  et al., 1989).

    Rabbits

         Groups of five male and five female New Zealand albino rabbits
    were given 15 dermal applications for 6 h/day, five days per week for
    three weeks of a 50% benomyl formulation (equivalent to 1000 mg/kg bw)
    on both abraded and intact abdominal skin. After each application, the
    abdomen was washed with tap water. Mortality and toxic effects were
    monitored daily and body weight changes weekly; gross necropsy and
    microscopic examinations were performed. Slight erythema, oedema, and
    atonia were observed on both abraded and intact skin sites, and slight
    to moderate desquamation was reported throughout the study. No
    apparent compound-related changes in body weight or organ:body weight
    ratios were reported. Treatment induced degeneration of the
    spermatogenic elements of the seminiferous tubules of the testes,
    including vacuolated and multinucleated spermatocytes. A slight
    increase in haematogenic activity in the bone marrow and acanthosis
    and hyperkeratosis of the skin were reported in treated animals
    (Busey, 1968c).

         Groups of five male and five female New Zealand albino rabbits
    received benomyl at doses equivalent to 0, 50, 250, 500, 1000, and
    5000 mg/kg bw on non-occluded, abraded dorsal skin for 6 h/day, five
    days per week for three weeks. The material was removed by washing the
    skin site and drying with a towel. The body weight gains of males and
    females at > 1000 mg/kg bw were reduced, and mild-to-moderate skin
    irritation was reported in all groups, especially at the higher doses.
    Functional disturbances of the alimentary canal and kidney, including
    diarrhoea, oliguria, and haematuria, were observed in males and
    females at 1000 and 5000 mg/kg bw. Decreased testicular weights were
    observed at 1000 mg/kg bw only, but these were considered not to be
    directly related to treatment. No histopathological changes were
    reported (Hood, 1969).

    Dogs

         Groups of four male and four female beagle dogs were given
    benomyl (as a 50% wettable powder) in the diet at 0, 100, 500, or
    2500 ppm (based on active ingredient) for three months. There was no
    mortality or adverse clinical effect during the course of the study,
    and growth and food consumption were normal. Urinary parameters were
    unaffected by treatment. There were no dose-related effects on
    haematological values, but alkaline phosphatase and alanine
    aminotransferase activities were increased in males and females at the
    highest dose, and the albumin:globulin ratio was significantly
    decreased in both males and females fed 2500 ppm. In males and females
    at the high dose, the weight of the thymus was decreased and that of
    the thyroid was increased. One female fed 2500 ppm had an enlarged
    spleen, which was consistent with the decreased erythrocyte count,
    haemoglobin concentration, and haematocrit values. Histopathological
    examination revealed myeloid hyperplasia of the spleen and bone marrow
    and erythroid hyperplasia in the same animal. Three of four males fed
    2500 ppm had reduced prostate weights in comparison with controls.
    Microscopic examination of tissues and organs showed no consistent
    effect. The NOAEL was 500 ppm (Sherman, 1968).

         Groups of four male and four female beagle dogs were fed benomyl
    (50% pure) in the diet at 0, 100, 500, or 2500 ppm (as benomyl) for
    two years, with interim sacrifice after one year of one male and one
    female from the control and high-dose groups. Organ weights, gross
    necropsy, and histopathological evaluations were performed at the
    conclusion of the study; only the livers and testes of animals fed 100
    or 500 ppm were examined histologically. No deaths were attributable
    to treatment. Body weight changes and food consumption were similar in
    all groups, except for those at the high dose, which had decreased
    food intake and body weight gain; one dog at the high dose lost its
    appetite and was replaced. No other clinical signs of toxicity were
    observed. The results of haematological evaluations and urinalysis
    were similar to those of the controls. Males at 2500 ppm had
    increased levels of cholesterol, alkaline phosphatase, and alanine

    aminotransferase (initially) and decreased total protein and albumin:
    globulin ratio. Similar, but less marked, effects were seen in
    females at this dose. Biochemical analyses indicated adverse effects
    on the liver, expressed as liver cirrhosis. Four of six dogs at this
    dose had slight-to-marked bile duct proliferation. Haemosiderosis was
    seen after specific staining for iron in one dog at the high dose
    after one year but not in other dogs examined at two years.
    Preparation of preserved wet tissue with oil red O and Sudan black for
    hepatocyte vacuolation showed that benomyl is not hepatotoxic at 100
    or 500 ppm in the diet. Focal testicular degeneration was seen in all
    groups, including controls, with marked testicular degeneration
    (reduced testicular weight, absence of spermatozoa, and spermatic
    giant cells) in one of three dogs at 2500 ppm. The NOAEL was 500 ppm,
    equivalent to 13 mg/kg bw per day (Sherman, 1970).

    (c)  Long-term toxicity and carcinogenicity

    Mice

         Groups of 80 male and 80 female CD-1 mice were given benomyl
    (99% pure) in the diet at 0, 500, 1500, or 5000 ppm (reduced from
    7500 ppm after 37 weeks) for two years. Survival was unaffected by
    treatment. Male and female mice fed 1500 or 5000 ppm benomyl had
    dose-related decreases in body weight. Food consumption was variable
    throughout the study, although females at the high dose appeared to
    consume less food. Clinical signs of toxicity were similar in all
    groups; there were no apparent differences in palpable masses,
    numbers of mice affected, or latency to detection. The results of
    haematological examinations were unremarkable except for decreased
    erythrocyte counts in males at 1500 ppm and in females at 5000 ppm.
    Haemoglobin and haematocrit values were also depressed in males at the
    intermediate dose. Several statistically significant changes in organ
    weights were seen in treated groups, the most significant being
    reduced absolute and relative liver weights in males at 1500 and
    5000 ppm and females at 5000 ppm. Male mice at the high dose also had
    decreased absolute testicular weights. The changes in liver and
    testicular weights were accompanied by histomorphic changes in these
    tissues. The incidence of hepatocellular carcinomas and benign hepatic
    neoplasms in treated female mice was increased in a dose-dependent
    fashion. In male mice, hepatocellular carcinomas and benign hepatic
    neoplasms were significantly increased at 500 and 1500 ppm, but not at
    the high dose. The incidences of lung tumours (alveologenic
    carcinomas) were also significantly increased in males but not in
    females at 500 and 1500 ppm. Non-neoplastic changes in males at
    5000 ppm were confined to the liver (degeneration, pigment,
    cytomegaly), thymus (atrophy), and the testis, epididymus, and
    prostate (degeneration of seminiferous tubules, atrophy,
    aspermatogenesis, distended acini).  The occurrence of splenic
    haemosiderosis was significantly increased in female mice at 5000 ppm
    and that of submucosal lymphocytic infiltration of the trachea at
    1500 ppm. The latency for liver tumour induction (adenomas and

    carcinomas), as determined from palpation, gross necropsy, and
    histopathology performed on all animals throughout the study, was not
    measurably different in treated and control animals. The authors
    concluded that, under the conditions of the study, benomyl is
    oncogenic in male and female animals. No NOAEL was identified for male
    or female mice with respect to hepatocellular carcinomas or combined
    hepatocellular neoplasms. The lowest dietary level, 500 ppm, was
    equivalent to 64 mg/kg bw per day in males and to 103 mg/kg bw per day
    in females (Wiechman, 1982).

    Rats

         Groups of 36 male and 36 female Charles River albino weanling
    rats were fed benomyl (purity, 50-70%) in the diet for 104 weeks at
    100, 500, or 2500 ppm (as benomyl); there were two control groups.
    After one year, each group was reduced to 30 males and 30 females by
    interim sacrifice for gross and microscopic evaluation. At the
    conclusion of the study, all surviving animals were sacrificed and the
    tissues and organs examined grossly. No deaths were attributable to
    the presence of benomyl in the diet. Survival was decreased to about
    50% during the second year but was comparable in all groups. Body
    weight, food consumption, and food efficiency were unaffected by
    treatment. There were no compound-related clinical manifestations of
    toxicity, and the results of haematological, urinary, and liver
    function examinations were unaffected by treatment. There were no
    differences in organ weights, and histopathological examination
    revealed no differences between treated and control groups. The most
    frequently observed tumours were of the mammary, pituitary, and
    adrenal glands, but these were equally distributed among the groups.
    Hepatic toxicity was similar in all groups, including controls, and
    there were no compound-related effects. As a high incidence of
    testicular degeneration was observed in control males, no conclusion
    could be drawn about compound-related effects on male gonads. Benomyl
    had no adverse effects in this study at levels up to and including
    2500 ppm, which was equivalent to 109 mg/kg bw per day in males and
    128 mg/kg bw per day in females (Sherman, 1969c; Lee, 1977).

    (d)  Reproductive toxicity

         In a short-term study of toxicity (see above), groups of six male
    and six female Sprague-Dawley rats were fed diets containing benomyl
    at 0, 100, 500, or 2500 ppm. Each female was caged separately and
    exposed to each of three males at the same dose for five days. The
    females were then allowed to deliver, and the offspring were observed
    until weaning. Litters containing more than 10 pups were reduced to 10
    by randomly removing pups on day 4. There was no treatment-related
    effect on pregnancy rate, number of pups born live or dead, fertility,
    gestation, viability, or lactation indices or on average body weight
    (Sherman  et al., 1975).

         The effects of exposure to benomyl on male reproductive
    development was evaluated in prepubertal male Sprague-Dawley rats aged
    33 days, which were gavaged daily for 10 days with 0 or 200 mg/kg bw.
    Eight animals per group were killed 3, 17, 31, 45, and 59 days after
    the last treatment. Selected tissues, including liver, kidneys,
    testes, seminal vesicles, and epididymides, were removed, weighed, and
    examined histologically; samples of seminal fluid from the vas
    deferens were also examined. Observation intervals were preselected to
    coincide with stages of spermatogenesis. No effects related to
    treatment were seen on tissue weights, total epididymal sperm counts,
    was deferens sperm concentrations, or testicular histology (Carter,
    1982).

         In a similar experiment, groups of five animals were dosed orally
    on five consecutive days with 0, 125, 250, 500, or 1000 mg/kg bw per
    day, beginning when animals were 33 (prepubertal), 54 (pubertal), or
    75 (post-pubertal) days old. Animals were killed 31 days after
    the last dose. There was no effect on body weight gain or on
    haematological values. The weights of the testes and cauda
    epididymides were reduced in animals given 500 or 1000 mg/kg bw per
    day benomyl during the onset of puberty. Cauda epididymal and vas
    deferens sperm counts were reduced in animals given > 250 mg/kg bw
    per day benomyl during puberty. The incidence of diffuse hyposperma-
    tocytogenesis was increased in pubertal and post-pubertal animals but
    was most pronounced in the latter. The NOAEL for effects on
    reproductive development was 12.5 mg/kg bw per day (Carter, 1982).

         In a further experiment, adult (65-day-old) male Sprague-Dawley
    rats received 10 daily doses of benomyl at 0, 200, or 400 mg/kg bw per
    day by gavage. Fourteen days after the last treatment, body weights,
    tissue weights, total epididymal sperm counts, and sperm concentration
    in the vas deferens were measured, and the testis was examined
    histologically. Production of testosterone by the Leydig cells was
    artificially stimulated by subcutaneous injections of hypothalamic
    chorionic gonadotrophin 2 h before sacrifice. There were no compound-
    related effects on the weights of the body, liver, kidney, adrenal,
    testis, or seminal vesicles, but caudate epididymal weights were
    depressed by treatment and there were treatment-related reductions in
    epididymal sperm count (caput and caudate) and in vas deferens sperm
    concentration. In animals exposed to the highest dose, there was
    histological evidence of hypospermatocytogenesis, with generalized
    disruption of all stages of spermatogenesis (Carter & Laskey, 1982).

         Benomyl was administered by gavage to Wistar rats at doses of 0,
    15.6, or 31.2 mg/kg bw per day from day 7 of gestation to day 15 of
    lactation (day 22 of gestation was considered day 0 of lactation). The
    litters were each reduced to four male and four female pups on day 3
    of lactation. The litters were weighed on days 8, 15, 22, 29, and 100,
    and locomotor activity was evaluated periodically throughout the
    study. When the animals were 100 days of age, several organs were

    weighed, including adrenals, liver, kidney, ovary, testis, and ventral
    prostate plus seminal vesicles. There were no compound-related effects
    on litter size at birth or weaning or on body weights of fetuses.
    Growth, survival, and locomotor activity were comparable to those of
    controls throughout the study. Organ weights were comparable to t hose
    of controls except for decreased weights of testes and ventral
    prostate/seminal vesicles, which were significantly reduced at 31.2
    but not at 15.6 mg/kg bw per day (Kavlock  et at., 1982).

         In a two-generation study, Sprague-Dawley rats were fed diets
    containing 0, 100, 500, 3000, or 10 000 ppm benomyl. Parental rats
    received the test diets for 71 days before being bred for production
    of F1 parental rats with animals at the same dietary concentration.
    F1 rats were mated for production of the F2a litter after
    maintenance on their respective diets for at least 105 days after
    weaning. F1 dams were mated again, to different, non-sibling males,
    at least one week after weaning the F2a litter, to produce the
    F2blitters. The following indices of reproductive Junction were
    calculated for the F0 and F1 adults: mating, fertility, gestation,
    viability, lactation, percent of pups born alive, and percent litter
    survival. In addition, mean body weights, body weight gains, food
    consumption, and food efficiency were measured, and clinical
    observations were recorded. After litter production, all parental rats
    were sacrificed lot gross examination and histopathological
    examination of gross lesions and target organs; complete histopatho-
    logical examination was conducted on controls and animals at the high
    dose. Groups of 20 F2a and 20 F2bweanlings were also examined
    grossly. There were no compound-related effects on parental mortality
    at any concentration of benomyl. Mean body weights, body weight gains,
    and overall food consumption of F0 and F1 male and female rats at
    10 000 ppm were significantly lower than those in controls, and there
    was a significant compound-related decrease in the number of F2a and
    F2boffspring alive before culling (on day 4) at this dose. In
    addition, male and female offspring of rats fed 10 000 ppm weighed
    consistently less at birth than did the offspring of control rats.
    With the exception of 14-day male pups of the F2bgeneration, F2a
    and F2b offspring at 3000 ppm also had significantly depressed body
    weights on days 14 and 21 of lactation. The testicular sperm counts of
    F0 and F1 rats at 3000 and 10 000 ppm were decreased, and rats at
    the highest dose had decreased testicular weight and histopathological
    changes in the testes. Microscopic observation showed a trophy and
    degeneration of the seminiferous tubules in the testes of rats at 3000
    and 10 000 ppm and oligospermia in the epididymides of F0, rats at
    the highest dose and in F1 rats at 3000 and 10 000 ppm.  There were
    no compound-related differences in mating indices, fertility indices,
    or length of gestation that could be attributed to benomyl. The NOAEL
    was 500 ppm, equivalent to about 37 mg/kg bw per day (Mebus, 1990).

         In a study of adult male Wistar rats, groups of 27 animals were
    fed 0, 1, 6.3, or 203 ppm for 70 days, and 14 animals per group were
    allowed to recover for 70 days. Ejaculated sperm counts were

    reportedly depressed during the feeding phase in the group fed
    203 ppm. Relative testicular weights were also lowered, and a slightly
    reduced male fertility index was seen in all treated groups. Benomyl
    did not alter copulatory behaviour and did not induce dominant lethal
    mutation. Plasma testosterone and gonadotropin levels remained
    unchanged throughout the study. Identical studies conducted during the
    recovery phase showed that the treatment-related effects were
    completely reversible (Barnes  et al., 1983).

         Groups of 12 adult (102-day-old) Wistar male rats were given
    benomyl at 0, 1, 5, 15, or 45 mg/kg bw per day by gavage daily for 62
    days, were then bred to untreated females after 62 days of dosing, and
    were killed after 76-79 days. Reproductive behaviour, seminal vesicle
    weight, prostate weight, sperm motility, and the levels of serum
    gonadotropin and gonadal hormones were no different from those in
    controls. At necropsy, males exposed to 45 mg/kg bw per day had
    decreased testicular and epididymal weights, reduced caudal sperm
    reserves, decreased sperm production, increased numbers of decapitated
    spermatozoa, and increased numbers of seminiferous tubules containing
    multinucleated giant cells. There were no treatment-related effects on
    the levels of serum luteinizing hormone, follicle stimulating hormone,
    prolactin, or androgen binding protein (Linder  et al., 1988).

         Groups of 20 male Sprague-Dawley rats aged 100 days were given a
    single dose of benomyl in corn oil at 0, 25, 50, 100, 200, 400, or
    800 mg/kg bw. Eight animals per group were sacrificed after two days
    of treatment and 12 animals per group after 70 days (except in the
    group receiving 800 mg/kg bw) in order to examine the testis and
    efferent ducts for effects on spermatogenesis or the epididymis. The
    primary effects seen at day 2 were testicular swelling and occlusions
    of the efferent ductules. Premature release of germ cells (sloughing)
    was the most sensitive short-term response to benomyl. It was detected
    in all treated groups but was statistically significant (P < 0.05)
    only at doses > 100 mg/kg bw. Occlusion of the efferent ductules of
    the testis was dose-dependent and was correlated with the increase in
    testicular weight on day 2. The greatest increase in testicular weight
    was observed at 400 mg/kg bw. Long-term effects (70 days) were seen
    only in animals at > 100 mg/kg bw and included decreased testicular
    weight at 400 mg/kg bw, dose-dependent increases in seminiferous
    tubular atrophy, and increases in the number of reproductive tracts
    containing occluded efferent ductules (Hess  et al., 1991).

    (e)  Developmental toxicity

    Mice

         Groups of 20-25 pregnant CD-1 mice were given benomyl by gavage
    at 0, 50, 100, or 200 mg/kg bw per day on days 7-17 of gestation. They
    were killed on day 18, their pups were delivered by caesarean section,
    the numbers of live, dead, and recorded fetuses were determined, and

    the fetuses were examined for gross anomalies (one-half for visceral
    abnormalities and the other half for skeletal abnormalities). Maternal
    indexes were unaffected by treatment, but fetal mortality was
    increased, fetal weight was decreased, and fetal development was
    adversely affected by treatment. The high dose increased the
    supraoccipital score, decreased the numbers of caudal and sternal
    ossifications, and increased the incidences of enlarged lateral
    ventricles and enlarged renal pelvises. The latter increase, while not
    significant at the lowest dose, was dose-related at the other doses.
    The occurrence of supernumerary ribs and subnormal vertebral centra
    was significantly increased in a dose-related manner at all doses. The
    numbers of abnormal litters and fetuses were significantly increased
    over those among the controls at 100 and 200 mg/kg bw per day. Major
    anomalies included exencephaly, hydrocephaly, cleft palate,
    hydronephrosis, polydactyly, oligodactyly, umbilical hernia, fused
    ribs, fused vertebrae, and short or kinky tail. Although benomyl
    induced dose-related fetotoxicity at all levels, it was not
    teratogenic at 50 mg/kg bw per day in mice (Kavlock  et al., 1982).

         In a study designed to investigate whether teratogens could be
    detected by observing postnatal viability or impaired growth, groups
    of 24 pregnant CD-1 mice were treated orally with benomyl at 0 or
    200 mg/kg bw per day on days 8-12 of gestation. Postnatal viability
    was reduced on days 1 and 3, and average pup weight was reduced on day
    1  post partum (Chernoff & Kavlock, 1983).

    Rats

         Groups of 26-28 pregnant Sprague-Dawley rats were given benomyl
    (purity, 53.5%) in the diet at 0, 100, 500, 2500, or 5000 ppm on days
    6-15 of gestation to provide average doses equivalent to 0, 8.6, 43.5,
    209.5, and 372.9 mg/kg bw per day. On day 20 of gestation, all
    pregnant animals were sacrificed and their fetuses were delivered by
    caesarean section. There were no deaths attributable to treatment, no
    clinical signs of toxicity, and no adverse effects on the body weights
    of dams. Dams at 5000 ppm had reduced food intake during treatment,
    but consumption returned to control levels for the remainder of the
    study. Indicators of reproductive health (numbers of implantation
    sites, resorption sites, and live and dead fetuses) were not affected
    by treatment up to and including the highest dietary level. The only
    external or internal abnormalities reported were hydronephrosis and
    retarded ossification of the interparietal and occipital bones in
    three litters at the highest dose. None of these teratogenic effects
    was associated with the administration of benomyl during the critical
    period of organogenesis (Sherman  et al., 1975).

         Groups of 27-28 pregnant Wistar rats were fed benomyl in the diet
    at 0, 1690, 3380, or 6760 ppm, equivalent to 0, 169, 298, or 505 mg/kg
    bw per day, on days 7-16 of gestation. Fetuses were delivered by
    caesarean section on day 21, weighed, examined grossly, and fixed for

    evaluation of visceral and skeletal abnormalities. Food consumption
    was decreased in dams at 3380 or 6760 ppm, with resultant decreases in
    body weight gain, which were significant at the high dose. The weight
    gain of fetuses at the two higher doses was significantly reduced, and
    a significant decrease in the ossification of the supraoccipital bone
    was seen at the high dose. The percentage of fetuses with an enlarged
    renal pelvis was increased at the two higher doses. No dose-related
    major malformations were seen at these dietary levels (Kavlock
     et al., 1982)

         Benomyl (99.2% pure) was administered by gavage to pregnant
    Sprague-Dawley rats at doses of 0, 3, 10, 30, 62.5, or 125 mg/kg bw
    per day on days 7-16 of gestation. A control group receiving corn oil
    comprised 60 rats, and each test group comprised 27 rats. No clinical
    signs of toxicity or mortality were observed at any dose. Body weight
    gain, the incidences of pregnancy, corpora lutea, and implantation
    sites, and the sex ratio were comparable to those of controls;
    however, fetal body weight was significantly decreased at 62.5 and
    125 mg/kg bw. There was also an increased incidence of embryofetal
    mortality at 125 mg/kg bw. At doses > 10 mg/kg bw per day, some
    fetuses had external and visceral malformations, which included
    microphthalmia, anophthalmia, and hydrocephaly (distended lateral
    ventricles), predominantly at the higher doses. Histological
    examination of the eyes revealed pathological changes consisting of
    irregular lenses, retrobulbar glandular adnexa, distorted or
    compressed retinal layers, and thickened nerve fibres in the groups
    receiving 10, 62.5, or 125 mg/kg bw per day; no alterations were seen
    in controls or in animals at 30 mg/kg bw per day. The major skeletal
    malformations observed at 125 mg/kg bw per day included fused ribs,
    sternebrae, and thoracic arches. Additional skeletal variations seen
    at 62.5 and 125 mg/kg bw per day included misaligned and unossified
    sternebrae and bipartite vertebral centra. The authors concluded that
    benomyl produced teratogenic responses in rats at doses > 10 mg/kg
    bw per day. Microphthalmia seen at this dose was reported to be
    related to treatment on the basis of the severity of the pathological
    changes and the finding that the increased incidences at 62.5 and
    125 mg/kg bw per day were not a direct reflection of reduced fetal
    body weight. There was no evidence of maternal toxicity, even at the
    highest dose (Staples, 1980).

         Groups of pregnant Sprague-Dawley rats were given benomyl (99.1%
    pure) by gavage at 0, 3, 6.25, 10, 20, 30, or 62.5 mg/kg bw per day on
    days 7-16 of gestation. Each group consisted of 50 animals, except the
    high-dose group, which comprised 20 rats. As the study was performed
    to determine a no-effect level for microphthalmia and hydrocephaly,
    only fetal heads were fixed and examined. Microphthalmia was
    determined on the basis of the smallest eye in the control group
    (< 1.8 mm). Mean fetal body weight was significantly lower in the
    high-dose group. There were only two cases of malformation, both at
    62.5 mg/kg bw per day: One fetus had internal hydrocephaly, and one in

    another litter had unilateral microphthalmia. The only type of
    variation reported was subcutaneous haematoma, which was not dose-
    related. There was no teratogenic response at 30 mg/kg bw per day
    (Staples, 1982).

         On the basis of these two studies, the Meeting concluded that the
    NOAEL for teratogenicity was 30 mg/kg bw per day, as the anophthalmia
    at 10 mg/kg bw per day in the first study was not found in the second
    study, which was specifically designed to look for this anomaly.
    Furthermore, anophthalmia was not seen at 30 mg/kg bw per day in the
    first study, and its occurrence at 10 mg/kg bw per day was not
    accompanied by other evidence of teratogenic response.

         The teratogenic potential of benomyl was examined in groups of
    12-30 Wistar rats given oral doses of 0, 15.6, 31.2, 62.5, or
    12.5 mg/kg bw per day on days 7-16 of gestation. Pups were delivered
    by caesarean section on day 21 of gestation. The weight gain of the
    dams at the highest dose was decreased on days 17-20 of gestation, and
    the frequency of fetal resorption was increased, six litters being
    completely resorbed. Fetal weight was also adversely affected, with
    significant decreases at 62.5 and 125 mg/kg bw per day, and there was
    a significant increase in fetal mortality at 125 mg/kg bw per day.
    Several skeletal and visceral variants were observed among fetuses at
    62.5 and 125 mg/kg bw per day, including increased supraoccipital
    score, decreased numbers of sternal and caudal vertebrae, and
    increased percentages of enlarged lateral ventricles and enlarged
    renal pelvis. Major anomalies, observed primarily at > 62.5 mg/kg
    bw per day, included encephaloceles, hydrocephaly, microphthalmia,
    fused vertebrae, and fused ribs. The dose of 31.2 mg/kg bw per day
    appeared to have no adverse effects on developing rat fetuses (Kavlock
     et al., 1982).

         Groups of pregnant Sprague-Dawley rats were treated orally with
    benomyl at 0 or 62.5 mg/kg bw per day on days 7-16 (eight rats) or
    7-20 of gestation (13 rats). There were no overt signs of toxicity.
    Hydrocephaly was noted in 35% of fetuses examined on day 16 and in 76%
    of fetuses examined on day 20 (Ellis  et al., 1987, 1988).

         In other studies, benomyl produced ocular and craniocerebral
    malformations in Sprague-Dawley rats when administered by gavage at
    doses of 31.2 or 62.4 mg/kg bw per day on days 7-21 of gestation.
    Ocular anomalies (retinal dysplasia, cataracts, microphthalmia, and
    anophthalmia) occurred in 43.3% of the fetuses of dams given the
    higher dose. The occurrence increased to 62.5% when the dams were
    given a semipurified protein-deficient diet and the same dose of
    benomyl (Hoogenboom  et al., 1991). Craniocerebral malformations
    consisting primarily of hydrocephaly occurred in the fetuses of dams
    given 31.2 mg/kg bw per day in combination with the semipurified diet
    (Zeman  et al., 1986).

    Rabbits

         Groups of 15 artificially inseminated New Zealand albino rabbits
    were fed a benomyl formulation (containing 50% benomyl) in the diet at
    0, 100, or 500 ppm on days 8-16 of gestation. Mortality, clinical
    parameters, and food consumption were determined daily, and body
    weights were measured weekly. There were 12 pregnant does in the
    control group, 13 in the low-dose group, and 9 in the high-dose group.
    Of these, 6, 7 and 5, respectively, were sacrificed on day 29 or 30
    and their fetuses were delivered by caesarean section; the remaining
    does gave birth normally. No maternal toxicity was observed at any
    dose. Except for a marginal increase in the frequency of rudimentary
    ribs in animals at 500 ppm, no developmental toxicity was observed
    (Busey, 1968d); however, the numbers of litters and of fetuses
    examined were less than adequate to assess the fetotoxic or
    teratogenic potential of benomyl.

         Groups of 20 female New Zealand white female rabbits, presumed to
    be pregnant, were given oral doses of 0, 15, 30, 90, or 180 mg/kg bw
    per day benomyl (as a suspension in 0.5% methylcellulose) on days 7-28
    of gestation. The animals were killed on day 29. The results of
    analyses of the concentration, homogeneity, and stability of the
    suspensions indicated acceptable conformity with nominal content. Only
    one animal at 90 and one at 180 mg/kg bw per day did not become
    pregnant. There were seven deaths before terminal sacrifice -- one
    control, three treated with 30 mg/kg bw per day, one treated with
    90 mg/kg bw per day, and two treated with 180 mg/kg bw per day -- all
    of which were due to injuries associated with dosing. At 180 mg/kg bw
    per day, an increased incidence of stained tails was seen, and food
    consumption was significantly reduced, but there were no treatment-
    related effects on maternal body weight. Five animals aborted during
    the study: one in each of the groups treated with 0, 15, and 90 mg/kg
    bw per day and two at 180 mg/kg bw per day. As the historical control
    data showed no more than one abortion in a control group of 20 does,
    the Meeting concluded that benomyl at 180 mg/kg bw per day had an
    adverse effect. There were no other treatment-related effects on
    reproductive parameters. Fetal mortality and fetal weights were not
    affected by treatment, and there were no treatment-related external
    malformations. At 180 mg/kg bw per day, two viable fetuses in two
    litters had small renal papillae. The Meeting concluded that this
    finding was treatment-related in view of the finding of a single
    incidence in 11 studies in historical controls. The NOAEL for maternal
    toxicity was 90 mg/kg bw per day, on the basis of reduced food
    consumption, abortion, and clinical signs of toxicity at 180 mg/kg bw
    per day. The NOAEL for developmental toxicity was also 90 mg/kg bw per
    day, on the basis of the occurrence of small renal papillae at
    180 mg/kg bw per day (Munley, 1995).

    (f)  Genotoxicity

         Numerous studies have been reported in the open literature on the
    mutagenic potential of benomyl, its metabolite carbendazim, and
    several benomyl formulations. Many of the results are conflicting, and
    few of the publications provide sufficient detail to evaluate the
    reasons for the conflicts. Table 2 covers only those studies in which
    sufficient experimental detail and data were reported.

         Benomyl does not cause gene mutation or structural chromosomal
    aberrations in somatic or germ cells, and it does not interact
    directly with DNA in either mammalian or non-mammalian systems. Gene
    mutations and structural chromosomal aberrations observed in mammalian
    cells  in vitro in several studies appear to have been the
    consequence of the inherent sensitivity of some mammalian test systems
    to cytotoxic agents. No gene mutations or structural chromosomal
    aberrations were seen in mammals  in vivo. Benomyl causes numerical
    chromosomal aberrations (aneuploidy and/or polyploidy) both  in vitro
    and  in vivo. Studies involving kinetochore staining indicated,
    however, that benomyl is not clastogenic.

    (g)  Special studies

    (i)  Dermal and ocular irritation and dermal sensitization

         Application for 24 h of doses > 0.5 g per animal of a 50%
    wettable powder to the occluded, clipped, intact and abraded abdominal
    skin of albino rabbits produced moderate to marked erythema, slight
    oedema, and slight desquamation. Albino guinea-pigs similarly ex posed
    to 10, 25, or 40% dilutions of technical-grade benomyl in dimethyl
    phthalate had only mild irritation of intact and abraded skin (Majut,
    1966; Busey, 1968a; Colburn, 1969; Frank, 1969). No dermal irritation
    was observed 4 or 24 h after application of 0.5 g of Benlate 50 DF
    (containing 50% benomyl) to six male New Zealand white rabbits. After
    48 h, two rabbits had slight to mild erythema, which was still evident
    after 72 h. The primary irritation scores ranged from 0 to 1 (not an
    irritant) (Vick & Brock, 1987).

         Draize scores were assessed 4 and 72 h after application of
    benomyl (purity, 98%) to a shaved area of the back of four albino
    rabbits at 5 mg/cm2. The lesions produced were classified as 'mild
    irritation' (Desi, 1979).

         The ocular irritating properties of technical-grade benomyl, a
    50% wettable powder, and a suspension in mineral oil were examined in
    albino rabbits in several tests. Mild conjunctival irritation and
    minor transitory corneal opacity were reported after 48 to 96 h in all
    tests (Reinke, 1966; Frank, 1972). Similar results were obtained with

        Table 2.  Results of tests for the genotoxicity of benomyl
                                                                                                                                             

    End-point                   Test system                  Concentration         Purity       Results                Reference
                                                             or dose               (%)
                                                                                                                                             

     Tests for chromosomal effects

    Mitotic gene conversiona    S. cerevisiae, A. nidulans   < 3200 mg/ml          Technical    Negative               DeBertoldi et al.
                                                                                                                       (1980)
    Nondisjunction/crossing-    A. nidulans                  < 2.8 mmol/litre      Technical    Negative, but          DeBertoldi & Griselli
      over                                                                                      spindle inhibition     (1980)
                                                                                                observed
    Sister chromatid exchangea  Chinese hamster ovary        > 150 mg/ml           Technical    Weakly positive        Evans & Mitchell
                                cells                                                                                  (1980)
    Chromosomal aberrationa     Human lymphocytes            < 2000 mg/ml          50% WP       Negative               Gupta & Legator
                                                                                                                       (1975)
    Chromosomal aberrationa     Human lymphocytes            < 100 mg/ml           Technical    Negative               Pilinskaya (1983)
    Chromosomal aberrationa     Chinese hamster lung cells   < 90 mg/ml            Technical    Positive               Sasaki (1988)
                                                                                   (98.7%)
    Chromosomal effects         Human/mouse monochromosomal  < 15 mg/ml            Technical    Positive: aneuploidy   Athwal & Sandhu (1985)
                                hybrid cells                                                    and polyploidy
                                (R3-5)                                                          (1.5 mg/ml threshold)
    Chromosomal effects         V79/AP4 Chinese hamster      NR                    Technical    Dose-related increase  Rainaldi et al. (1989)
                                cells                                                           in numerical
                                                                                                chromosomal
                                                                                                aberrations
    Chromosomal effects         Chinese hamster ovary cells  NR                    Technical    Dose-related increase  Eastmond & Tucker
                                                                                                in numerical           (1989)
                                                                                                chromosomal
                                                                                                aberrations
    Chromosomal effects         Human lymphocytes            NR                    Technical    Dose-related increase  Georgieva et al. (1990)
                                                                                                in numerical
                                                                                                chromosomal
                                                                                                aberrations
                                                                                                (0.1 mg/ml threshold)
                                                                                                                                             

    Table 2.  (Con't)
                                                                                                                                             

    End-point                   Test system                  Concentration         Purity       Results                Reference
                                                             or dose               (%)
                                                                                                                                             

    Chromosomal effects         Chinese hamster/human        NR                    Technical    Dose-related increase  Zelesco et al. (1990)
                                hybrid cells (EUBI)                                             in numerical
                                                                                                chromosomal
                                                                                                aberrations
                                                                                                (2.0 mg/ml threshold)

     Tests for gene mutation

    Reverse mutationa           S. typhimurium TA98,         < 325 mg/plate        Technical    Doubtful mutagenic     Rashid & Ercegovitch
                                TA 100, TA 1535, TA 1537,                                       activity               (1976)
                                TA 1538
    Reverse mutationa           S. typhimurium TA 1535,      < 1 mg/ml             50% WP       Positive               Kappas et al. (1976)
                                TA1538, E. coil WP2,
                                WP2 uvra, CM 611
    Reverse mutationa           S. typhimurium TA98,         < 1000 mg/ml          Technical    Negative               Shirasu et al. (1978)
                                TA100, TA1535, TA1537,
                                TA1538, E. coil WP2 he;
    Reverse mutationa           S .typhimurium TA 1530,      < 10 000 mg/ml        Technical,   Negative               Fiscor et al. (1978)
                                TA1535, TA1950                                     50% WP
    Reverse mutationa           S. typhimurium TA 1530,      < 10 000 mg/ml        Technical,   Negative               DuPont de Nemours
                                TA1535, TA 1950                                    50% WP                              & Co. (1977)
    Reverse mutationa           S. typhimurium TA98,         < 250 mg/plate        Technical    Negative               Donovan & Krahn
                                TA 100, TA 1535, TA1537                            (99.9%)                             (1981)
    Reverse mutationa           S. typhimurium TA98.         < 10000               Technical    Negative               Rickard (1983a,b)
                                TA100, TA1535. TA1537        mg/plate              (99%)
    Reverse mutationa           S. typhimurium TA98,         < 500 mg/plate        Technical    Equivocal (positive    Russell (1978a,b)
                                TA 100, TA 1535. TA 1537                                        in TA 1537 with
                                                                                                activation)
    Reverse mutationa           S. typhimurium TA 15~35,     < 500 mg/disc         Technical    Negative               Carere et al. (1978)
                                TA1536, TA 1537, TA1538,
                                Streptococcus coelicodor
                                                                                                                                             

    Table 2.  (Con't)
                                                                                                                                             

    End-point                   Test system                  Concentration         Purity       Results                Reference
                                                             or dose               (%)
                                                                                                                                             

    Reverse mutationa           A. nidulans                  < 0.4 mg/ml           Technical    Positive               Kappas et al. (1974);
                                                                                                                       Kappas & Bridges
                                                                                                                       (1981)
    hprt mutationa              Chinese hamster ovary        < 172 mmol/litre      Technical    Negative               Fitzpatrick (1980)
                                cells                                              (99,9%)

    tk mutation                 L5178Y mouse                 < 20 mmol/litre       Technical    Negative               Amacher et al. (1979)
                                lymphoma cells
    tk mutationa                L5178Y mouse                 < 25 mmol/litre       Technical    Positive without       McCooey et al.
                                lymphoma cells                                     (991%)       activation: negative   (1983a, b)
                                                                                                with activation

     Tests for DNA damage and repair

    Unscheduled DNA             Rat and mouse                < 500 mg/ml           Technical    Negative               Tong (1981)
      synthesis                 hepatocytes
    Rec assay                   B. subtilis                  2000 mg/plate         Technical    Negative               Shirasu et al. (1978)

     Tests in vivo

    Host-mediated mutation      S. typhimurium               2000 mg/kg bw         Technical    Negative               Shirasu et al. (1978)
      in mice                   G46 his-
    Host mediated mutation      S. typhimurium               3 × 500 mg/kg bw      50% WP       Negative               Fiscor et al. (1978)
      in mice                   G46 his-
    Dominant lethal mutation    Rat                          < 5000 ppm in         50% WP       Negative               Culik & Gibson
                                                             food for 7 days                                           (1914)
    Dominant lethal mutation    Rat                          NR                    Technical    Negative               Sherman et al. (1975)
    Dominant lethal mutation    Rat                          < 203 ppm in          Technical    Negative               Barnes et al. (1983)
                                                             food for 70 days
    Dominant lethal mutation    Rat                          < 50 mg/kg bw         Technical    Negative               Georgieva et al.
                                                             per day for 70 days                                       (1990)
                                                                                                                                             

    Table 2.  (Con't)
                                                                                                                                             

    End-point                   Test system                  Concentration         Purity       Results                Reference
                                                             or dose               (%)
                                                                                                                                             

    Micronucleus formation      Mouse                        < 2 × 1000 mg/kg      Technical    Positive               Seller (1976)
                                                             bw
    Micronucleus formation      Mouse                        < 2 × 1000 mg/kg      Technical    Equivocal              Kirkhart (1980)
                                                             bw
    Micronucleus formation      Mouse                        < 1 × 5000 mg/kg      Technical    Positive               Sasaki (1990)
                                                             bw                    (95%)
    Micronucleus formation      Mouse                        < 1 × 5000 mg/kg      Technical    Positive, KC+,         Bentley (1992)
      with KC+ staining                                      bw                    (96.1-97.4%) benomyl classified
                                                                                                as aneugen
    Chromosomal aberration      Mouse bone marrow            < 1 × 5000 mg/kg      Technical    Negative               Stahl (1990)
                                                             bw                    (961%)
    Chromosomal aberration      Peripheral blood             NR                    50% WP       Negative               Ruzicska et al. (1976)
                                from workers
    Chromosomal aberration      Rat bone marrow              < 500 mg/kg bw,       50% WP       Bone marrow,           Ruzicska et al. (1976)
                                and cultured embryo          days 7-14 of                       negative; embryo
                                cells                        gestation                          cells, positive
    Sex-linked recessive        Drosophila melanogester      1.5 mg/ml             Technical,   Negative, but          Lamb & Lilly (1980)
      lethal mutation                                        50% WP                             sterility consistent
                                                                                                with observed
                                                                                                spindle effects
                                                                                                                                             

    NR, not reported; 50% WP, wettable powder formulation; KC, kinetochore
    a  With and without metabolic activation
        Benlate PNW, a 50% wettable powder (Gargus & Zoetis, 1983b,c). The
    Draize score for ocular irritation induced by 5 mg of pure benomyl in
    four albino rabbits indicates that it is a mild irritant (Desi, 1979).

         Albino guinea-pigs exposed to technical-grade benomyl or a 50%
    sucrose formulation had mild to moderate skin erythema during the
    challenge phase after either intradermal injection or repeated
    applications to abraded skin (Majut, 1966; Colburn, 1969; Frank,
    1969).

         Ten albino Hartley guinea-pigs received four weekly injections of
    Benlate PNW (50% benomyl prepared as a 0.1% solution in saline), and
    10 animals were injected with saline; 14 days after the final
    injection, 8 or 80% Benlate PNW was used for challenge. An unequivocal
    increase in sensitization was seen at two of 10 sites challenged with
    the 8% suspension and at seven of 10 sites challenged with the 80%
    suspension (Gargus & Zoetis, 1984).

         Technical-grade benomyl sensitized all 10 guinea-pigs tested in a
    maximization test (Matsushita & Aovama, 1981).

    (ii)  Neurotoxicity

         Studies in hens given single oral doses of < 5000 mg/kg bw did
    not indicate neurotoxic potential (Goldenthal, 1978; Jessup, 1979;
    Jessup & Dean, 1979).

         Studies in groups of 10 adult male CFY rats showed no alteration
    in electroencephalographic potential or in behaviour (learning ability
    assessed in a four-choice T-maze) in comparison with controls after
    treatment with benomyl at 250 or 500 mg/kg bw per day for three months
    (Desi, 1983).

         Groups of 10 male and 10 female Sprague-Dawley rats received
    single oral doses of 0, 500, 1000, or 2000 mg/kg bw benomyl (97.4%
    pure). Functional and motor activity were assessed during the week
    before the day of treatment and at 2 h, one day, seven days, and 14
    days after dosing. Rats were then killed and subjected to a gross
    post-mortem examination. Histopathological examination was restricted
    to tissues from the central and peripheral nervous system of six rats
    in the control and high-dose groups. There were no treatment-related
    deaths during the study. Immediately after treatment, body weight gain
    and food intake were decreased in all treated groups; however, overall
    weight gain and food consumption were unaffected by treatment. In the
    battery of functional tests, a small number of animals had soft or
    liquid faeces and fur stained with urine or faeces on days 1 and 2,
    but no other component of the battery, including assessments of other
    autonomic functions, reactivity, and sensitivity, excitability, gait,
    and sensorimotor coordination, forelimb and hindlimb grip strength,
    abnormal clinical signs and body temperature, showed any reaction to
    treatment. Motor activity was reduced, only on the day of treatment,

    in females given 2000 mg/kg bw. Neuropathological observation revealed
    no treatment-related abnormalities. It was concluded that benomyl
    induced no lasting neurotoxicity at doses up to 2000 mg/kg bw (Foss
    1993).

         Groups of 11 male and 11 female Sprague-Dawley rats received
    benomyl (purity, 97.4%) in the diet at 0, 100, 2500, or 7500 ppm for
    90 days. Functional and motor activity were assessed during the week
    before treatment and during weeks 4, 8, and 13. Rats were then killed
    and subjected to gross post-mortem examination. Histopathological
    examination was restricted to tissues from the central and peripheral
    nervous system of six rats in the control and high-dose groups. There
    were no treatment-related deaths during the study. Body weight gain
    and food intake were reduced at the high dose throughout the treatment
    period. The battery of functional tests showed no reaction to
    treatment with benomyl. Motor activity was increased at 7500 ppm.
    Neuropathological observation revealed no treatment-related
    abnormalities. It was concluded that benomyl is not a specific
    neurotoxicant, since the changes in motor activity occurred at the
    same dietary level as other general toxicological changes (Foss,
    1994).

    3.  Observations in humans

    (a)  Exposure during field use

         Potential dermal and respiratory exposure to benomyl during
    actual use was determined during mixing for aerial application,
    re-entry into treated fields, and home use (garden, ornamental, and
    greenhouse). Maximal exposure occurred during loading and mixing for
    aerial application, with dermal exposure to 26 mg per mixing cycle,
    primarily (90%) on the hands and forearms; the average respiratory
    intake was 0.08 mg benomyl. During re-entry, the dermal exposure was
    5.9 mg/h and the respiratory exposure < 0.002 mg/h. Home use resulted
    in exposures of 1 mg per application cycle dermally and 0.003 mg by
    the respiratory route. This study did not address reactions to
    exposure (Everhart & Holt, 1982).

         The potential dermal and respiratory exposure of workers mixing
    and applying 20 and 100 gallons of Benlate per acre (224 and
    1123 litres/ha) while spraying fruit orchards was examined. The
    application cycle was about 70 min and resulted in a total dermal
    exposure of 11 mg of benomyl per cycle and a total respiratory
    exposure to 15 mg. Essentially all of the exposure was dermal,
    resulting in 12.2 mg per cycle dermally and < 0.05 mg per cycle via
    the respiratory route (DuPont de Nemours & Co., undated).

    (b)  Medical surveillance of workers

         Benomyl caused contact dermatitis and dermal sensitization in
    some farm workers (van Joost  et al., 1983; Kuehne  et at., 1985).
    In controlled patch tests of 200 agricultural, ex-agricultural, and
    non-agricultural workers, only one agricultural worker showed contact
    dermatitis to 0.1% benomyl (Lisi  et al., 1986). In a survey of
    cross-sensitization with benomyl and other pesticides in a group of
    126 Japanese farmers who applied benomyl to their crops, 39 had
    positive test results with benomyl, the highest incidence being found
    among female farmers. There were cross-reactions between benomyl and
    diazinon, saturn, daconil, and Z-bordeaux (Matsushita & Aovama, 1981).

         Selected blood profiles of 50 factory workers involved in the
    manufacture of Benlate were compared with those of a control group of
    48 workers who were not exposed to Benlate. White blood count, red
    blood count, haemoglobin, and haematocrit values were comparable in
    the two groups. No quantitative estimates of exposure were given for
    the factory workers (DuPont de Nemours & Co., 1979).

         A survey was performed to determine whether potential exposure
    to Benlate had an adverse effect on the fertility of 298 male
    manufacturing workers exposed between 1970 and 1977. The ages of the
    workers ranged from 19 to 64 years; 79% of the workers and 78% of
    their spouses were aged 20-39. The duration of exposure ranged from
    less than one month to 95 months, but more than 51% of the workers had
    potentially been exposed for one to five months. The birth rates of
    the spouses of the exposed workers were compared with those of four
    populations from the same county, state, region, and country (United
    States). There was no reduction in fertility, and the birth rates of
    the study population were generally higher than those of the
    comparison populations. Spermatogenesis was not examined (Gooch,
    1978).

    Comments

         Benomyl is readily absorbed by animals after oral exposure and
    rapidly metabolized. It is eliminated in the faeces and excreted in
    the urine; 98% of the dose was excreted by 72 h after administration.
    The tissue distribution showed no bioconcentration. In rats, the
    metabolites carbendazim and methyl 5-hydroxybenzimidazol-2-ylcarbamate
    (5-hydroxy-carbendazim) were found in the blood and in small amounts
    in the testis and liver. The latter compound was the main metabolite
    in urine. A 50% wettable powder formulation was poorly absorbed via
    the dermal route by rats. After a 10-h exposure, less than 2% of a
    single dose of 0.2 mg was excreted in the urine.

         Benomyl has low acute toxicity, with an oral LD50 in rats of
    > 10 000 mg/kg bw. The clinical signs of toxicity after high single
    doses were generally nonspecific. Testicular degeneration, with
    necrosis of germinal epithelium and aspermatogenesis, has been
    observed after single doses in rats (> 100 mg/kg bw orally) and dogs
    (1.65 mg/litre air by inhalation). Wettable powder formulations
    containing benomyl have been shown to be mildly irritating to rabbit
    skin and eyes and have induced skin sensitization reactions in
    maximization tests. WHO has classified benomyl as unlikely to present
    an acute hazard in normal use.

         In a 90-day study, rats were given dietary doses of 0, 100, 500,
    or 2500 ppm benomyl. Increased liver weight was seen at 2500 ppm; the
    NOAEL was 500 ppm (50 mg/kg bw per day). Dogs were given dietary doses
    of 0, 100, 500, or 2500 ppm benomyl for three months or two years and
    rabbits were treated dermally, five days per week for three weeks,
    with 0, 50, 250, 500, 1000, or 5000 mg/kg bw per day. Hepatotoxicity
    was seen in the dogs but not in the rabbits; effects on male
    reproductive organs were seen in both rabbits and dogs. The NOAEL was
    500 ppm (equal to 13 mg/kg bw per day) in dogs and 500 mg/kg bw per
    day in rabbits.

         In a two-year study, benomyl was administered in the diet to rats
    at 0, 100, 500, or 2500 ppm. Benomyl was not carcinogenic and showed
    no compound-related effects at dietary levels up to and including
    2500 ppm (equal to 109 mg/kg bw per day). In a two-year feeding study
    in mice at dietary levels of 0, 500, 1500, or 5000 ppm, benomyl
    caused liver tumours, and an NOAEL could not be established for
    hepatocellular neoplasms. Male mice had decreased testicular weights
    and thymic atrophy at 5000 ppm. The lowest dietary level was equal to
    64 mg/kg bw per day.

         In rats treated by gavage for 62 days with 45 mg/kg bw per day,
    decreased testicular and epididymal weights, reduced caudal sperm
    reserves, and decreased sperm production, with generalized disruption
    of all stages of spermatogenesis were observed. After mating with
    untreated females, no effect was seen on reproductive behaviour,

    weight of the seminal vesicles, sperm mobility, or related
    reproductive hormones. The NOAEL was 15 mg/kg bw per day. A lowering
    of male fertility rates has been reported, but this effect was not
    seen consistently. A single dose of 100 mg/kg bw or more administered
    to rats by gavage had effects 70 days after exposure, which included
    decreased testicular weight and atrophy of the seminiferous tubules.
    The NOAEL was 50 mg/kg bw per day. In a recent study of reproductive
    toxicity, rats received dietary doses of 0, 100, 500, 3000, or
    10 000 ppm benomyl. The NOAEL was 500 ppm (equivalent to 37 mg/kg bw
    per day), on the basis of effects on pup survival and pup growth and
    on testicular changes. Fertility indices were not affected at dietary
    levels up to 10 000 ppm.

         In a study of developmental toxicity, mice were exposed by gavage
    to benomyl at doses of 0, 50, 100, or 200 mg/kg bw per day on days
    7-17 of gestation. There was no indication of maternal toxicity, but
    benomyl was teratogenic at doses of 100 and 200 mg/kg bw per day and
    fetotoxic at 50 mg/kg bw per day. The major abnormalities included
    hydrocephaly, cleft palate, and limb defects. In studies of
    teratogenicity, pregnant rats were exposed to benomyl at doses up to
    and including 125 mg/kg bw per day on days 7-16 of gestation.
    Benomyl was teratogenic, the major effects being microphthalmia and
    hydrocephaly. The Meeting concluded that the NOAELs in rats were
    30 mg/kg bw per day for teratogenicity and fetotoxicity and 125 mg/kg
    bw per day for maternal toxicity. In rabbits, benomyl was not
    teratogenic at doses up to 180 mg/kg bw per day (the highest dose
    tested), and no effect was seen on maternal toxicity or fetotoxicity
    at 90 mg/kg bw per day.

         Benomyl has been adequately tested for genotoxicity in a range of
    assays. The Meeting concluded that it does not directly damage genetic
    material but does cause numerical chromosomal changes both  in vitro
    and  in vivo as a result of its interference with mitotic spindle
    proteins.

         In a study of workers exposed to benomyl, there was no reduction
    in fertility, as indicated by birth rates, among the study population.
    Spermatogenesis in the workers was not examined. Cases of dermal
    sensitization to benomyl have been reported.

         An ADI of 0-0.1 mg/kg bw was established on the basis of the
    NOAEL of 13 mg/kg bw per day in the two-year study in dogs and
    applying a safety factor of 100. This ADI should be used when
    assessing exposure to benomyl itself. Since the use of benomyl on
    crops gives rise to residues of carbendazim and since the ADI for
    carbendazim is lower than that which would be derived from the data on
    benomyl, the Meeting concluded that the intake of residues in food
    should be compared with the ADI of 0-0.03 mg/kg bw for carbendazim.

    Toxicological evaluation

     Levels that cause no toxic effect

    Mouse:    < 500 ppm, equal to < 64 mg/kg bw per day (two-year study
              of toxicity and carcinogenicity)

              50 mg/kg bw per day (study of developmental toxicity)

              < 50 mg/kg bw per day (fetotoxicity in a study of
              teratogenicity)

    Rat:      2500 ppm, equal to 109 mg/kg bw per day (two-year study of
              toxicity and carcinogenicity)

              500 ppm, equivalent to 37 mg/kg bw per day (study of
              reproductive toxicity)

              30 mg/kg bw per day (teratogenicity and fetotoxicity in
              study of developmental toxicity)

              125 mg/kg bw per day (maternal toxicity in study of
              developmental toxicity)

    Rabbit:   180 mg/kg bw per day (study of developmental toxicity)

              90 mg/kg bw per day (maternal toxicity and fetotoxicity in
              study of developmental toxicity)

    Dog:      500 ppm, equal to 13 mg/kg bw per day (one-year study of
              toxicity)

     Estimate of acceptable daily intake for humans

         0-0.1 mg/kg bw (benomyl)

         0-0.03 mg/kg bw (carbendazim, with which residues of benomyl in
         food should be compared)

     Studies that would provide information useful for continued
     evaluation of the compound 

         Further observations in humans

        Toxicological criteria for setting guidance values for dietary and non-dietary exposure to benomyl
                                                                                                           

    Exposure                      Relevant route, study type, species     Results, remarks
                                                                                                           

    Short-term (1-7 days)         Oral, toxicity, rat                     LD50 >10 000 mg/kg bw
                                  Dermal, toxicity, rabbit                LD50 (50% wettable powder)
                                                                          > 10 000 mg/kg bw
                                  Dermal, irritation, rabbit              50% wettable powder; irritating
                                  Ocular, irritation, rabbit              50% wettable powder; irritating
                                  Dermal, sensitization, guinea-pig       Positive in maximization test
                                  Inhalation, toxicity, rat               LC50 (50% wettable powder)
                                                                          > 4.01 mg/litre air

    Mid-term (1-26 weeks)         Oral, 62 days, rat                      NOAEL = 15 mg/kg bw per day;
                                                                          reduced spermatogenesis
                                  Oral, developmental toxicity, rat       NOAEL = 30 mg/kg bw per day;
                                                                          fetotoxicity and teratogenicity

    Long-term (> one year)        Dietary two years, toxicity, dog        NOAEL = 13 mg/kg bw per day;
                                                                          hepatotoxicity
                                                                                                           

    See also toxicological criteria for carbendazim when considering dietary exposure to residues
    
    References

    Amacher, D.E., Paillet, S. & Ray, V.A. (1979) Point mutations at the
         thymidine kinase locus in L5178Y mouse lymphoma cells:
         Application to genetic toxicological testing.  Mutat. Res., 64,
         391-406.

    Athwal, R.S. & Sandhu, S.S. (1985) Use of human x mouse hybrid cell
         line to detect aneuploidy induced by environmental chemicals.
          Mutat. Res., 149, 73-81.

    Axness, M.E. & Fleeker, J.R. (1979) Metabolism of the butylcarbamoyl
         moiety of benomyl in rat.  Pestic. Biochem. Physiol., 11, 1-12.

    Barbo, E.C. & Carroll, K.S. (1972) Oral ALD test ( S-triazine,
         3-butylbenzimidazolo[1,2-a]-2,4[1 H,3 H]dione. Unpublished
         report from DuPont de Nemours & Co., Haskell Laboratory, Newark,
         Delaware, USA.

    Barnes, T. B., Verlangieri, A.J. & Wilson, M.C. (1983) Reproductive
         toxicity of methyl-1-(butylcarbamoyl)-2-benzimidazole carbamate
         (benomyl) in male Wistar rats.  Toxicology, 28, 103-115.

    Belasco, I.J. (1979a) 2-14C-Benomyl (50 WP) adsorption through rat
         skin. Part II: Effect of time and dose applied. Unpublished
         report from DuPont de Nemours & Co., Biochemical Department,
         Research Division, Experimental Station, Wilmington, Delaware,
         USA.

    Belasco I.J. (1979b) Study showing the absence of acetylcholinesterase
         inhibition with a wettable powder formulation (50% Benomyl).
         Unpublished report from DuPont de Nemours & Co., Biochemical
         Department, Research Division, Experimental Station, Wilmington,
         Delaware, USA

    Belasco, I.J., Kirkland, J.J., Pease, H.L. & Sherman, H (1969) Studies
         with 2-14C-labelled methyl-1-(butylcarbamoyl)-2-
         benzimidazolecarbamate (benomyl) in rats. Unpublished report from
         DuPont de Nemours & Co., Biochemical Department, Research
         Division, Experimental Station, Wilmington, Delaware, USA.

    Bentley, K S. (1992) Classification of DPX-T1991-529 (Benomyl)-induced
         micronuclei in mouse bone marrow erythrocytes using immuno-
         fluorescence antikinetochore antibodies. Unpublished report from
         DuPont de Nemours & Co., Haskell Laboratory, Newark, Delaware,
         USA.

    Brock, W.J. (1987) Acute dermal toxicity study with Benlate 50 DF
         fungicide in rabbits. Unpublished report from DuPont de Nemours &
         Co, Haskell Laboratory, Newark, Delaware, USA.

    Busey, W.M. (1968a) Acute dermal LD50 test and dermal irritation
         test on rabbits using a wettable powder formulation (50% benomyl)
         with histological addendum. Unpublished report from Hazelton
         Laboratories, Inc., Falls Church, Virginia, USA, prepared for
         DuPont de Nemours & Co.

    Busey, W.M. (1968b) Acute inhalation exposure test in rats using a
         wettable powder formulation (50% benomyl). Unpublished report
         from Hazelton Laboratories, Inc., Falls Church, Virginia, USA,
         prepared for DuPont de Nemours & Co.

    Busey, W.M. (1968c) Repeated dermal application test on rabbits using
         a wettable powder formulation (50% benomyl). Unpublished report
         from Hazelton Laboratories, Inc., Falls Church, Virginia, USA,
         prepared for DuPont de Nemours & Co.

    Busey, W.M. (1968d) Teratology study in rabbits using a wettable
         powder formulation (50% benomyl). Unpublished report from
         Hazelton Laboratories, Inc., Falls Church, Virginia, USA,
         prepared for DuPont de Nemours & Co.

    Carere, A., Ortali, V.A., Cardamone, G., Torracca, A.M. & Raschetti,
         R. (1978) Microbiological mutagenicity studies of pesticides in
         vitro.  Mutat. Res., 57, 277-826.

    Carter, S.D. (1982) Effect of benomyl on the reproductive development
         in the prepubertal male rat. Thesis, North Carolina State
         University, Raleigh, North Carolina, USA.

    Carter, S.D. & Laskey, J.W. (1982) Effect of benomyl on reproduction
         in the male rat.  Toxicol. Lett., 11, 87-94.

    Chernoff, N. & Kavlock, R.J. (1983) A teratology test system which
         utilises post natal growth and viability in the mouse.  Environ.
          Sci. Res., 27, 417-427.

    Colburn, C.W. (1969) Skin irritation and sensitization tests on guinea
         pigs using technical benomyl (> 95% benomyl). Unpublished report
         from DuPont de Nemours & Co., Haskell Laboratory, Newark,
         Delaware, USA.

    Culik, R. (1981a) Determination of benomyl/methyl-2-benzimidazole
         carbamate (MBC) concentrations in maternal blood and in the
         concepti of rats exposed to benomyl and Benlate by diet.
         Unpublished report from DuPont de Nemours & Co., Haskell
         Laboratory, Newark, Delaware, USA.

    Culik, R. (1981b) Determination of benomyl/methyl-2-benzimidazole
         carbamate (MBC), 4-OH MBC and 5-OH MBC concentrations in maternal
         blood and in the concepti of rats exposed to benomyl by gavage.
         Unpublished report from DuPont de Nemours & Co., Haskell
         Laboratory, Newark, Delaware, USA.

    Culik, R. and Gibson, J.R. (1974) 'Benlate' dominant lethal study in
         male rats. Unpublished report from DuPont de Nemours & Co.,
         Haskell Laboratory, Newark, Delaware, USA.

    Dashiell, O.L. (1972) Acute oral test (benzimidazole, 2-(3-
         butylureido)). Unpublished report from DuPont de Nemours & Co.,
         Haskell Laboratory, Newark, Delaware, USA.

    De Bertoldi, M. & Griselli, M. (1980) Different test systems in
          Aspergillus nidulans for the evaluation of mitotic gene
         conversion, crossing-over and nondisjunction.  Mutat. Res., 74,
         303-324.

    De Bertoldi, M., Griselli. M., Giovannetti, M. & Barale, R. (1980)
         Mutagenicity of pesticides evaluated by metres of gene-conversion
         in  Saccharomyces cerevisiae and in Aspergillus nidulans.
          Environ. Mutag., 2, 359-370.

    Desi, I. (1979) Hygienic-toxicological evaluations of pesticides.
         D.Sc. Thesis, Budapest, National Institute of Hygiene.

    Desi, I. (1983) Neurotoxicological investigation of pesticides in
         animal experiments.  Neurobehav. Toxicol. Teratol., 5, 503-515.

    Donovan, S.D. & Krahn, D.F. (1981) Mutagenic evaluation in
          Salmonella typhimurium. Unpublished report from DuPont de
         Nemours & Co., Haskell Laboratory, Newark, Delaware, USA.

    DuPont de Nemours & Co. (1977) Mutagenic activity of benomyl in the
          Salmonella/microsome assay (50% benomyl as a wettable pow der
         formulation). Unpublished report from DuPont de Nemours & Co.,
         Haskell Laboratory, Newark, Delaware, USA.

    DuPont de Nemours & Co. (1979) Benlate dust exposure survey -- blood
         profile analysis. Unpublished report from DuPont de Nemours &
         Co., Haskell Laboratory, Newark, Delaware, USA.

    DuPont de Nemours & Co. (undated) Applicator exposure during filling
         and spraying of Benlate benomyl fungicide -- orchard crops.
         Unpublished report from DuPont de Nemours & Co., Haskell
         Laboratory, Newark, Delaware, USA.

    Eastmond, D.A. & Tucker, J.D. (1989) Kinetochore localization in
         micronucleated cytokinesis-blocked Chinese hamster ovary cells: A
         new and rapid assay for identifying aneuploidy-inducing agents.
          Mutat. Res., 224, 517-525.

    Ellis W.G., Semple, J.L., Hoogenboom, E.R., Kavlock, R.J. & Zeman,
         E.J. (1987) Benomyl-induced craniocerebral anomalies in fetuses
         of adequately nourished and protein-deprived rats.  Teratog.
          Carcinog. Mutag., 7, 357-375.

    Ellis W.G., De Roos, F., Kavlock, R.J. & Zeman, F.J. (1988)
         Relationship of periventricular overgrowth to hydrocephalus in
         brains of fetal rats exposed to benomyl.  Teratog. Carcinog.
          Mutag., 8, 377-391.

    Evans, E.L. & Mitchell, A.D. (1980) An evaluation of the effect of
         benomyl on sister chromatid exchange frequencies in cultured
         Chinese hamster ovary cells. Unpublished report from SRI
         International, Menlo Park, California, USA, prepared for DuPont
         de Nemours & Co.

    Everhart, L.P. & Holt, R.F. (1982) Potential Benlate fungicide
         exposure during mixer/loader operations, crop harvest and home
         use.  J. Agric. Food Chem., 30, 222-227.

    Fiscor, G., Bordas, S. & Stewart, S.J. (1978) Mutagenicity testing of
         benomyl, methyl-2-benzimidazole carbamate, streptozotocin and
          N-methyl- N'-nitro- N-nitrosoguanine in  Salmonella
          typhimurium in vitro and in rodent host-mediated assays.
          Mutat. Res., 51, 151-164.

    Fitzpatrick, K. (1980) Chinese hamster ovary cell assay for
         mutagenicity. Unpublished report from DuPont de Nemours & Co.,
         Haskell Laboratory, Newark, Delaware, USA.

    Foss J.A (1993) Acute neurotoxicity study of DPX-T1991-529 (Benomyl)
         administered orally by gavage to Crl:CD BR VAF/Plus rats.
         Unpublished report from DuPont de Nemours & Co., Haskell
         Laboratory, Newark, Delaware, USA.

    Foss, J.A. (1994) Subchronic neurotoxicity study of DPX-T1991-529
         (Benomyl) administered orally via the diet to Crl:CD BR VAF/Plus
         rats. Unpublished report from DuPont de Nemours & Co., Haskell
         Laboratory, Newark, Delaware, USA.

    Frank, K.M. (1969) Skin irritation and sensitization tests on guinea
         pigs using a wettable powder formulation (50% benomyl).
         Unpublished report from DuPont de Nemours & Co., Haskell
         Laboratory, Newark, Delaware, USA.

    Frank, K.M. (1972) Eye irritation test in rabbits using a wettable
         powder formulation (50% benomyl). Unpublished report from DuPont
         de Nemours & Co., Haskell Laboratory, Newark, Delaware, USA.

    Fritz, S.B. (1969) Acute oral ALD test in rabbits using a wettable
         powder formulation (50% benomyl). Unpublished report from DuPont
         de Nemours & Co., Haskell Laboratory, Newark, Delaware, USA.

    Fritz, S.B. & Sherman, H. (1969) Acute oral ALD test in rats using
         technical 2-AB (> 95% 2-AB). Unpublished report from DuPont de
         Nemours & Co., Haskell Laboratory, Newark, Delaware, USA.

    Gardiner, J.A., Kirkland, J.J., Klopping, H.L. & Sherman, H. (1974)
         Fate of benomyl in animals.  J. Agric. Chem., 22, 419-427.

    Gargus, J.L. & Zoetis, T. (1983a) Acute skin absorption LD50 test on
         rabbits (EPA pesticide registration guidelines -- Benlate PNW).
         Unpublished report from Hazelton Laboratories Inc., Vienna,
         Virginia, USA, prepared for DuPont de Nemours & Co.

    Gargus, J.L. & Zoetis, T. (1983b) Primary irritation study in rabbits
         (Benlate PNW). Unpublished report from Hazelton Laboratories
         Inc., Vienna, Virginia, USA, prepared for DuPont de Nemours & Co.

    Gargus, J.L. & Zoetis, T. (1983c) Eye irritation test in rabbits (EPA
         pesticide registration Benlate PNW). Unpublished report from
         Hazelton Laboratories Inc., Vienna, Virginia, USA, prepared for
         DuPont de Nemours & Co.

    Gargus, J.L. & Zoetis, T. (1984) Primary skin irritation and
         sensitization test on guinea pigs (Benlate PNW). Unpublished
         report from Hazelton Laboratories Inc., Vienna, Virginia, USA,
         prepared for DuPont de Nemours & Co.

    Georgieva, V., Vachkova, R., Tzoneva, M. & Kappas, A. (1990) Genotoxic
         activity of benomyl in different test systems.  Environ. Mol.
          Mutag., 16, 32-36.

    Goldenthal, E.I. (1978) Neurotoxicity study in hens using technical
         benomyl (< 95% benomyl). Unpublished report from International
         Research and Development Corporation, Mattawan, Michigan, USA,
         prepared for DuPont de Nemours & Co.

    Gooch, J.J. (1978) Fertility of workers potentially exposed to
         benomyl. Unpublished report from DuPont de Nemours & Co.,
         Wilmington, Delaware, USA.

    Goodman, N.C. (1975) Intraperitoneal LD50 test in rats. Unpublished
         report from DuPont de Nemours & Co., Haskell Laboratory, Newark,
         Delaware, USA.

    Guengerich, F.P. (1981) Enzyme induction with DuPont compounds H11,
         202-02 and H10, 962-02. Unpublished report from Vanderbilt
         University, School of Medicine, Nashville, Tennessee, USA,
         prepared for DuPont de Nemours & Co.

    Gupta, A.K. & Legator, M.S. (1975) Chromosome aberrations in cultured
         human lymphocytes after treatment with fungicide 'Benlate'. In:
          Proceedings of the Symposium on Mutagenicity, Carcinogenicity
          and Teratogenicity of Chemicals, New Delhi, Department of
         Atomic Energy, pp. 95-103

    Han, J.C.Y. (1979) 2-14C-Benomyl (50% WP) rat study -- intravenous
         injection. Unpublished report from DuPont de Nemours & Co.,
         Biochemical Department, Research Division, Experimental Station,
         Wilmington, Delaware, USA.

    Han, J.C.Y. (undated) Metabolism of 14C-labelled benomyl in the
         mouse and hamster. Unpublished report from DuPont de Nemours &
         Co., Biochemical Department, Research Division, Experimental
         Station, Wilmington, Delaware, USA

    Hess, R.A., Moore, B.J., Forrer, J., Linder, R.E. & Abuel-Atta, A.A.
         (1991) The fungicide benomyl [(methyl)1-(butylcarbomyl)-2-
         benzimidazole carbamate] causes testicular dysfunction by
         inducing the sloughing of germ cells and occlusion of efferent
         ductules.  Fundam. Appl. Toxicol., 17, 733-745.

    Hood, D.B. (1969) Fifteen exposure dermal tests on rabbits using a
         wettable powder formulation (50% benomyl). Unpublished report
         from DuPont de Nemours & Co., Haskell Laboratory, Newark,
         Delaware, USA.

    Hoogenboom, E.R., Ransdell, J.F., Ellis, W.G., Kavlock, R.J. & Zeman,
         E.J. (1991) Effects on the fetal rat eye of maternal benomyl
         exposure and protein malnutrition.  Curr. Eye Res., 10, 601-612.

    Hornberger, C.S. (1969) Acute dust inhalation test in rats using a
         wettable powder formulation (50% benomyl) with report on
         spermatogenesis effects. Unpublished report from DuPont de
         Nemours & Co., Haskell Laboratory, Newark, Delaware, USA.

    Hostetler, K.H. (1977) Oral LD50 test (Benlate OD). Unpublished
         report from DuPont de Nemours & Co., Haskell Laboratory, Newark,
         Delaware, USA.

    Jessup, D.C. (1979) Acute delayed neurotoxicity study in chickens
         using technical benomyl (> 95% benomyl). Unpublished report from
         International Research and Development Corporation, Mattawan,
         Michigan, USA, prepared for DuPont de Nemours & Co.

    Jessup, D.C. & Dean, W. (1979) Acute delayed neurotoxicity study in
         chickens using technical benomyl (less than 95% benomyl).
         Unpublished report from International Research and Development
         Corporation, Mattawan, Michigan, USA, prepared for DuPont de
         Nemours & Co.

    van Joost, T.H., Naafs, B. & van Ketel, W G. (1983) Sensitization to
         benomyl and related pesticides.  Contact Dermatitis, 9, 153-154.

    Kappas, A. & Bridges, B.A. (1981) Induction of point mutations by
         benomyl in DNA-repair deficient  Aspergillus nidulans. Mutat.
          Res., 91, 115-118.

    Kappas, A., Georgopoulos, S G. & Hastie, A.C. (1974) On the genetic
         activity of benzimidazole and thiophanate fungicides on diploid
          Aspergillus nidulans. Mutat. Res., 26, 17-27.

    Kappas, A., Green, M.H.L., Bridges, B.A., Rogers, A.M. & Muriel, W.J.
         (1976) Benomyl -- a novel type of base analogue mutagen?  Mutat.
          Res., 40, 379-382.

    Kavlock, R.J., Chernoff, N., Gray, L.E., Gray, J A & Whitehouse, D.
         (1982) Teratogenic effects of benomyl in the Wistar rat and CD-1
         mouse, with emphasis on the route of administration.  Toxicol.
          Appl. Pharmacol., 62, 44-54.

    Kirkhart, B. (1980) Micronucleus test on benomyl (> 95% benomyl).
         Unpublished report from SRI International, Menlo Park,
         California, USA. prepared for DuPont de Nemours & Co.

    Krupka R.M. (1974) On the anti-cholinesterase activity of benomyl.
          Pestic. Sci., 5, 211-216.

    Kuelme, G., Heise, H., Plottke, B. & Puskeller, T (1985) Dermatitis
         after Benlate contact.  Z. Ges. Hyg. Grenzgeb., 31, 710-711.

    Lamb, M.J. & Lilly, L.J. (1980) An investigation of some genetic
         toxicological effects of the fungicide benomyl.  Toxicology, 17,
         83-95.

    Lee K.P. (1977) The two-year feeding study in rats with benomyl with
         supplemental pathology report. Unpublished report from DuPont de
         Nemours & Co., Haskell Laboratory, Newark, Delaware, USA.

    Linder, R.E., Rehnberg, G.L., Strader, L.F. & Diggs, J.P. (1988)
         Evaluation of reproductive parameters in adult male Wistar rats
         after subchronic exposure.  J. Toxicol. Environ. Health, 25,
         285-298.

    Lisi, P., Caraffini, S. & Assalve, D. (1986) A test series for
         pesticide dermatitis.  Contact Derm., 15, 266-269.

    Littlefield, N.A. & Busey, W.M. (1969) Four-hour acute inhalation
         exposure test in dogs using a wettable powder formulation (50%
         benomyl). Unpublished report from Hazleton Laboratories, Inc.,
         Falls Church, Virginia, USA, prepared for DuPont de Nemours & Co.

    Majut, J.C. (1966) Skin irritation and sensitization tests on guinea
         pigs using technical benomyl (< 95% benomyl). Unpublished report
         from DuPont de Nemours & Co., Haskell Laboratory, Newark,
         Delaware, USA.

    Matsushita, T. & Aovama, K. (1981) Cross reactions between some
         pesticides and the fungicide benomyl in contact allergy.  Ind.
          Health, 19, 77-83.

    McCooey, K.T., Arce, G.T., Sarrif, A.M. & Krahn, D.F. (1983a) L5178Y
         mouse lymphoma cell assay for mutagenicity (benomyl). Unpublished
         report from DuPont de Nemours & Co., Haskell Laboratory, Newark,
         Delaware, USA.

    McCooey, K.T., Arce, G.T., Sarrif, A.M. & Krahn, D.F. (1983b) L5178Y
         mouse lymphoma cell assay for mutagenicity. Unpublished report
         from DuPont de Nemours & Co., Haskell Laboratory, Newark,
         Delaware, USA.

    Mebus, C.A. (1990) Reproductive and fertility effects with
         DPX-1991-529 (benomyl). Multigeneration reproduction study in
         rats. Unpublished report from DuPont de Nemours & Co., Haskell
         Laboratory, Newark, Delaware, USA.

    Monson, K.D. (1990) Metabolism of [phenyl(U)14C]carbendazim in rats.
         Unpublished report from DuPont de Nemours & Co., Haskell
         Laboratory, Newark, Delaware, USA.

    Munley, S.M. (1995) Developmental toxicity study of DPX-T1991-529
         (Benomyl) in rabbits. Unpublished report from DuPont de Nemours &
         Co., Haskell Laboratory, Newark, Delaware, USA.

    Pilinskaya, M.A. (1.983) Investigation of the cytogenetic action of
         the pesticides captan and benomyl in a culture of human
         peripheral blood lymphocytes in the absence and presence of a
         system of metabolic activation.  Cytol. Genet., 17, 29-33

    Rainaldi, G., Flori, L., Colella, C.M, Mariani, T., Piras, A., Simi,
         S. & Simili, M. (1989) Analysis by BrUdR-labelling technique of
         induced aneuploidy in mammalian cells in culture.  Mutat. Res.,
         177, 255-260.

    Rashid, K.A. & Ercegovitch, C.D. (1976) New laboratory tests evaluate
         chemicals for cancer or gene damage.  Sci. Agric., 23, 7.

    Reinke, RE (1966) Eye irritation test in rabbits using technical
         benomyl (> 95% benomyl). Unpublished report from DuPont de
         Nemours & Co., Haskell Laboratory, Newark, Delaware, USA.

    Rickard, L.B. (1983a) Mutagenicity evaluation in  Salmonella
          typhimurium. Unpublished report from DuPont de Nemours & Co.,
         Haskell Laboratory, Newark, Delaware, USA.

    Rickard, L.B. (1983b) Mutagenicity evaluation in  Salmonella
          typhimurium. Unpublished report from DuPont de Nemours & Co.,
         Haskell Laboratory, Newark, Delaware, USA.

    Russell, J.F. (1978a) Mutagenic activity of 2-benzimidazolecarbamic
         acid, 1-(butylcarbamoyl)-methyl ester in the  Salmonella/
         microsome assay. Unpublished report from DuPont de Nemours & Co.,
         Haskell Laboratory, Newark, Delaware, USA.

    Russell, J.F. (1978b) Mutagenic activity of 2-benzimidazolecarbamic
         acid, 1-(butylcarbamoyl)-methyl ester in the  Salmonella/
         microsome assay. Unpublished report from DuPont de Nemours & Co.,
         Haskell Laboratory, Newark, Delaware, USA.

    Ruzicska, P., Peter, S., Laczi, J. & Czeizel, E. (1976) Study of the
         chromosome mutagenicity of Fundazol 50 WP  Egeszegtudomany, 20,
         74-83.

    Sarver, J.W. (1987) Acute oral toxicity study with IN-T1991 in male
         and female rats. Unpublished report from DuPont de Nemours & Co.,
         Haskell Laboratory, Newark, Delaware, USA.

    Sasaki, Y.F.X. (1988) Benomyl: In vitro cytogenetics test. Unpublished
         report from Kodaira Laboratories, Institute of Environmental
         Toxicology, Tokyo, Japan, prepared for DuPont de Nemours & Co.

    Sasaki, Y.F.X. (1990) Benomyl: Micronucleus test in mice. Unpublished
         report from Kodaira Laboratories, Institute of Environmental
         Toxicology, Tokyo, Japan, prepared for DuPont de Nemours & Co.

    Seiler, J.P. (1976) The mutagenicity of benzimidazole and
         benzimidazole derivatives, VI: Cytogenetic effects of
         benzimidazole derivatives in the bone marrow of the mouse and the
         Chinese hamster.  Mutat. Res., 40, 339-348.

    Sherman, H. (1968) Three-month feeding study in dogs using a wettable
         powder formulation (50% benomyl). Unpublished report from DuPont
         de Nemours & Co., Haskell Laboratory, Newark, Delaware, USA.

    Sherman, H. (1969a) Acute oral LD50 test in rats using technical
         benomyl (> 95% benomyl) and a wettable powder formulation (50%
         benomyl). Unpublished report from DuPont de Nemours & Co.,
         Haskell Laboratory, Newark, Delaware, USA.

    Sherman, H. (1969b) Acute oral ALD test in a dog using technical
         benomyl (> 95% benomyl). Unpublished report from DuPont de
         Nemours & Co., Haskell Laboratory, Newark, Delaware, USA.

    Sherman, H. (1969c) Long term feeding study in rats with
         1-butylcarbamoyl-2-benzimidazolecarbamic acid, methyl ester
         (INT-1991). Unpublished report from DuPont de Nemours & Co.,
         Haskell Laboratory, Newark, Delaware, USA.

    Sherman, H. (1970) Long-term feeding study in dogs with
         1-butycarbamoyl-2-benzimidazolecarbamic acid, methyl ester
         (INT-1991). Unpublished report from DuPont de Nemours & Co.,
         Haskell Laboratory, Newark, Delaware, USA.

    Sherman, H. & Krauss, W.C. (1966) Acute oral test [benomyl].
         Unpublished report from DuPont de Nemours & Co., Haskell
         Laboratory, Newark, Delaware, USA.

    Sherman, H., Barnes, J.R. & Krauss, W.C. (1967) Ninety-day feeding
         study with 1-butylcarbamoyl-2-benzimidazolecarbamic acid, methyl
         ester (INT-1991). Unpublished report from DuPont de Nemours &
         Co., Haskell Laboratory, Newark, Delaware, USA.

    Sherman, H., Culik, R. & Jackson, R.A. (1975) Reproduction,
         teratogenic and mutagenic studies with benomyl.  Toxicol. Appl.
          Pharmacol., 32, 305-315.

    Shirasu, Y., Moriva, M. & Kato, K. (1978) Mutagenicity testing on
         fungicide 1991 in microbial systems. Unpublished report from
         Kodaira Laboratories, Institute of Environmental Toxicology,
         Tokyo, Japan, prepared for DuPont de Nemours & Co.

    Shukla, Y., Antony, M. & Mehrota, N.K. (1989) Studies on
         gamma-glutamyl transpeptidase in rodents exposed to benomyl.
          Bull. Environ. Contam. Toxicol., 42, 301-306.

    Snee, D.A. (1969) Acute oral ALD test in rats and ten-dose subacute
         oral test in rats using technical 5-HBC (> 95% 5-HBC) (with
         pathology on the acute oral ALD test). Unpublished. report from
         DuPont de Nemours & Co., Haskell Laboratory, Newark, Delaware,
         USA.

    Stahl, R.G., Jr (1990) In vivo evaluation of INT-1991-259 for
         chromosome aberrations in mouse bone marrow. Unpublished report
         from DuPont de Nemours & Co., Haskell Laboratory, Newark,
         Delaware, USA.

    Staples, R.E. (1980) Teratogenicity study in the rat after
         administration by gavage of technical benomyl (> 95% benomyl).
         Unpublished report from DuPont de Nemours & Co., Haskell
         Laboratory, Newark, Delaware, USA.

    Staples, R.E. (1982) Teratogenicity study in the rat using technical
         benomyl (> 95% benomyl) administered by gavage. Unpublished
         report from DuPont de Nemours & Co., Haskell Laboratory, Newark,
         Delaware, USA.

    Tong, C. (1981) Hepatocyte primary culture/DNA repair assay on
         compound 10, 962-02 (benomyl) using mouse hepatocytes in culture.
         Unpublished report from Naylor Dana Institute, Valhalla, New
         York, USA, prepared for DuPont de Nemours & Co.

    Turney, R.T. (1979) Rat inhalation study -- Benlate. Unpublished
         report from DuPont de Nemours & Co., Haskell Laboratory, Newark,
         Delaware, USA.

    Vick, D.A. & Brock, W.J. (1987) Primary dermal irritation study with
         Benlate 50 DF fungicide in rabbits. Unpublished report from
         DuPont de Nemours & Co., Haskell Laboratory, Newark, Delaware,
         USA.

    Ward, R.S. & Scott, R.C. (1992) Benomyl: in vitro absorption of a
         500 g.kg-1 WP formulation through human epidermis. Unpublished
         report from Imperial Chemical Industries (ICI), Fernhurst,
         Haslemere, Surrey, United Kingdom.

    Warheit, D.B., Kelly, D.P., Carakostas M.C. & Singer, A.W. (1989) A
         90-day inhalation toxicity study with benomyl in rats.  Fundam.
          Appl. Toxicol., 12, 333-345.

    Wiechman, B.E. (1982) Long term feeding study with methyl
         1-(butylcarbamoyl)-2-benzimidazole carbamate in mice (INT-1991;
         > 95% benomyl). Unpublished report from DuPont de Nemours & Co.,
         Haskell Laboratory, Newark, Delaware, USA.

    Zelesco, P.A., Barbieri, I. & Graves, J.A.M. (1990) Use of a cell
         hybrid test system to demonstrate that benomyl induces aneuploidy
         and polyploidy.  Mutat. Res., 242, 329-335.

    Zeman, E.J., Hoogenboom, E.R., Kavlock, R.I. & Semple, J.L. (1986)
         Effects on the fetus of maternal benomyl exposure in the
         protein-deprived rat.  J. Toxicol. Environ. Health, 17, 405-417.
    


    See Also:
       Toxicological Abbreviations
       Benomyl (EHC 148, 1993)
       Benomyl (HSG 81, 1993)
       Benomyl (ICSC)
       Benomyl (WHO Pesticide Residues Series 3)
       Benomyl (WHO Pesticide Residues Series 5)
       Benomyl (Pesticide residues in food: 1983 evaluations)