IPCS INCHEM Home


    PESTICIDE RESIDUES IN FOOD - 1984


    Sponsored jointly by FAO and WHO






    EVALUATIONS 1984




    The monographs



    Data and recommendations of the joint meeting
    of the FAO Panel of Experts on Pesticide Residues
    in Food and the Environment and the
    WHO Expert Group on Pesticide Residues
    Rome, 24 September - 3 October 1984

    Food and Agriculture Organization of the United Nations
    Rome 1985

    CYHALOTHRIN

    IDENTITY

    Common Name

         Cyhalothrin

    Chemical Names

         (RS)-alpha-cyano-3-phenoxybenzyl Z-(1RS,3RS)-3-(2-chloro-
         3,3,3-trifluoropropenyl)-2,2-dimethylcyclopropanecarboxylate
         (IUPAC)

         cyano-(3-phenoxyphenyl)methyl (Z)-cis-3-(2-chloro-3,3,3-
         trifluoro-1-propenyl)-2,2-dimethylcyclopropanecarboxylate (CAS)

         Cyhalothrin is a mixture in equal amounts of the four
    Z-cis-isomers, which exist in two enantiomeric pairs:

         (R)-alpha-cyano (R)-cis-Z-cyclopropanecarboxylate and
         (S)-alpha-cyano (S)-cis-Z-cyclopropanecarboxylate, coded
         R157836

         (S)-alpha-cyano (R)-cis-Z-cyclopropanecarboxylate and
         (R)-alpha-cyano (S)-cis-Z-cyclopropanecarboxylate, coded
         R119321

    Synonyms

         PP563, ICI 146,814, 'GRENADE', 'LIBREKTO'

    Empirical Formula

         C23H19ClF3NO3

    Structural Formula

    CHEMICAL STRUCTURE 1

    Other Information on Identity and Properties

    Molecular weight         449.9

    Technical material       Contains at least 90 percent cyhalothrin (the
                             four Z-cis-isomers). Small amounts of
                             E-cis and Z/E-trans isomers are
                             present.

    Physical form            Technical material is a viscous, odourless,
                             yellow-brown liquid.

    Vapour pressure          1 × 10-9 kPa at 20°C

    Density                  1.25 g/cm3 at 25°C

    Solubility               Insoluble in water; soluble in a range of
                             organic solvents, e.g. aliphatic and aromatic
                             hydrocarbons, ethers, ketones, esters and
                             alcohols

    Formulations             5, 10 and 20 percent emulsifiable
    available                concentrates (E.C.); 5 percent wettable
    commercially             powder (W.P.)

    TOXICOLOGY

    EVALUATION FOR ACCEPTABLE DAILY INTAKE

    BIOCHEMICAL ASPECTS

    Absorption, Distribution and Excretion

         The absorption, distribution and excretion of Cyhalothrin was
    studied in Alderley Park Wistar SPF albino rats. Two different
    14C-labelled cis preparations, 14C-cyano-3-phenoxybenzyl-(14CHCN)
    and 14C-cyclopropylcyhalothrin, each 99 percent radiochemically pure,
    were administered orally (see Figure 1).

    FIGURE 1

         Groups of six male and six female rats received a single dose of
    1 mg/kg or 25 mg/kg of the test compound in maize oil and the
    following parameters were determined: Cyhalothrin concentration in
    whole blood (determined by GLC); total radioactivity in whole blood,
    plasma, urine and faeces. Groups of four male and four female rats
    with exteriorized bile duct cannulae were similarly dosed to enable
    determination of total radioactivity excreted in bile. The expired air
    from two male and two female rats of each group was monitored for
    14CO2 for the first 48 h.

         Absorption of radioactivity was variable but accounted for about
    half of the administered dose in each case. Absorbed radioactivity was
    fairly rapidly eliminated in urine and faeces. Twenty four hours after
    administration, the faeces of rats dosed with 1 mg/kg Cyhalothrin
    contained significant amounts (30-70 percent) of administered
    radioactivity, as did the urine (2-38 percent). After seven days,
    total excretion was high (85-104 percent). At 25 mg/kg, the pattern of
    elimination of radioactivity was similar: after 24 h the faeces
    contained significant radioactivity (6-58 percent) as did the urine
    (10-27 percent). After seven days, total elimination was again high
    (faeces (35-64 percent); urine, including cage washings (30-51
    percent). 14CO2 was not detected in expired air.

         After seven days, the rat carcases contained about 2-3 percent of
    the radioactivity administered at either dose, which was present
    mainly in adipose tissue, and was higher at 25 mg/kg than at 1 mg/kg.

         In order to study the relative proportions excreted in the urine
    and the faeces, 14C-CHCN-labelled Cyhalothrin was administered
    subcutaneously (1 mg/kg) to five male and six female rats. After 24 h,
    faeces contained only a relatively small amount of administered
    radioactivity (0.2-3.2 percent) and the urine somewhat more (0.5-8.5
    percent). After seven days, faecal elimination (1-10.6 percent) was
    significantly less than urinary excretion (0.7-32.3 percent),
    including cage washings. Total elimination was less than with oral
    administration.

         Biliary excretion of orally administered 14C-CHCN-Cyhalothrin
    was studied in rats with externalized biliary duct cannulae. At
    1 mg/kg, biliary excretion of radioactivity after 12 h was low
    (0.8-1.85 percent). Total biliary excretion after four days was
    significant (4.2-12.9 percent).

         Studies with groups of six male and six female rats showed that
    after a single oral dose of 25 mg/kg, the blood concentration of
    14C-CHCN-Cyhalothrin peaked at 5.9-6.2 µg/ml about seven h after oral
    administration. After 48 h, the blood concentration had fallen to
    0.5-0.8 µg/ml. At 1 mg/kg, the corresponding peak concentration was
    0.5-8.7 µg/ml, falling to 0.006-0.12 µg/ml at 48 h. Subcutaneous
    administration of 1 mg/kg produced a peak blood concentration of
    0.009-0.033 µg/ml at 12-24 h, which fell to 0.006-0.012 µg/ml after
    48 h.

         Comparison of gas chromatographic analysis of blood of rats,
    analysed two h after oral dosing with cyhalothrin at 25 mg/kg, showed
    that unmetabolized cyhalothrin accounted for only about 4.6-5.5
    percent of total radioactivity.

         Additional studies were conducted with the alternatively labelled
    14C-cyclopropyl Cyhalothrin in groups of six male and six female
    rats. When orally administered at 1 and 25 mg/kg, most radioactivity
    was excreted in urine and faeces after 24 h (urine: 0.3-10.7 percent);
    (faeces: 36-61 percent) and after seven days (urine, including cage
    washings: 13-32 percent); (faeces: 2-68 percent). The whole blood
    concentration of total radioactivity peaked (0.30-0.35 ug/ml) 4 h
    after oral administration of a single dose of 1 mg/kg, the half life
    being about 10-12 h. Carcases contained low residual levels
    (1-3 percent) of radioactivity after seven days. 14CO2 was not
    detected in expired air (Harrison & Case, 1981).

         The bio-accumulation of Cyhalothrin in the rat was studied
    further. A solution of 14C-cyclopropyl cyhalothrin in maize oil was
    administered orally to 20 groups of three male Alpk/AP rats. Dosing
    volumes were adjusted for body weight so that daily doses of 1 mg/kg
    were given for up to four months. A group of 20 control rats received
    similar volumes of the maize oil vehicle.

         Groups of three test and one control animal were sacrificed 24 h
    after receiving the last dose. Some animals were retained after dosing
    was complete to permit estimation of the dissipation of Cyhalothrin
    residues from the tissues.

         Blood levels of radioactivity rose slowly over the duration of
    the dosing period to a plateau at about 0.2 µg Cyhalothrin
    equivalents/ml after 77 daily doses. Blood radioactivity had
    dissipated 36 days after cessation of exposure. Levels of
    radioactivity in fat rose progressively to about 9 ug equivalents/g at
    100 days. On cessation of exposure, the level of radioactivity in
    adipose tissue declined slowly with apparent first order kinetics with
    a half-life of about 30 days. The levels of radioactivity in kidney
    and liver plateaued at about 1.5 and 2.5 µg equivalents Cyhalothrin/g,
    respectively, after about 80 days. These levels fell rapidly on
    cessation of exposure but levels of radioactivity in the liver
    remained detectable throughout the study, appearing to parallel the
    rate of dissipation from the adipose tissue. Analysis of the fat
    showed the presence of Cyhalothrin and that the ratio of the
    Cyhalothrin enantiomers was essentially unchanged from that of the
    material given initially (Prout, 1984).

    Biotransformation

         Chromatographic analysis of radioactive material excreted by rats
    treated with 14C-CHCN Cyhalothrin at 25 mg/kg showed that extensive
    metabolism to polar metabolites occurred. Unmetabolized Cyhalothrin
    was not excreted in the urine, which contained at least two
    metabolites unaffected by treatment with ß-glucuronidase or aryl

    sulphatase. The bile contained at least three metabolites, which
    differed from those in the urine and faeces. The faeces contained
    unchanged Cyhalothrin (approximately 80 percent) plus small amounts of
    three polar metabolites.

         After dosing with 14C-cyclopropyl Cyhalothrin at 25 mg/kg,
    unmetabolized Cyhalothrin was not detected in the urine, which
    contained at least three metabolites with the 14C-cyclopropyl moeity
    (Harrison & Case, 1981).

         Further studies were undertaken to characterize the major urinary
    metabolites of cyhalothrin in rats. Six male and six females received
    the 14C-CHCN compound orally for a period of eight days at
    12.5 mg/kg. Urine and faeces were collected daily up to three days
    after the last dose. The urine contained about 64 percent of the
    administered radioactivity.

         Similarly, pooled urine samples from rats that had received 14
    daily doses of 14C-cyclopropyl Cyhalothrin at 1 mg/kg contained about
    50 percent of the total administered radioactivity.

         The above samples were subject to thin layer chromatography and
    high performance liquid chromatography and the metabolites identified
    by mass spectrometry and nuclear magnetic resonance spectroscopy,
    after appropriate hydrolysis with aryl sulphatase and ß-glucuronidase.
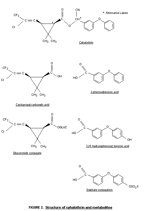
    The identity of these metabolites is given in Figure 2 (Harrison &
    Case, 1983).

    TOXICOLOGICAL STUDIES

    Special Studies on Cell Transformation

         A cell transformation test, using BHK clone 13 Hamster fibroblast
    cells, failed to show a carcinogenic potential for Cyhalothrin, either
    with or without metabolic activation (see Table 1. See also under
    Long-Term Studies).

    Special Studies on Mutagenicity

         Cyhalothrin was without mutagenic activity in a number of
    mutagenicity assays (see Table 2).

    Special Study on Reproduction

         In a three-generation reproduction study, groups of 30 male and
    30 female Alpk/AP (Wistar-derived) weanling rats received technical
    Cyhalothrin (89.2 percent pure) in the diet at concentrations of 0,
    10, 30 or 100 ppm for 12 weeks before mating and then continuously. A
    similar dosing regime was maintained throughout two successive
    generations resulting from the matings of the F1 parents selected
    from the F1b generation and F2 parents selected from the F2b
    generation.

    FIGURE 2


        TABLE 1.  Special Study of Cyhalothrin on Cell Transformation

                                                                                                                              

    Test system       Test organism            Concentrations of              Purity        Results     Reference
                                               Cyhalothrin used
                                                                                                                              

    Cell              BHK 21 C13               Without metabolic              Unspecified   Negative    Richold et al., 1981
    transformation                             activation
                      Hamster Cells:           50, 250, 500
                      0      ]                 750, 1000 µg/ml
                      0.625  ]
                      1.25   ]  x 105
                      2.5    ]  cells/plate
                      5      ]

                                               With S-9 Mix
                                               1000, 2000, 3000                             Negative
                                               4000, 5000 µg/ml

                                               4-nitroquinoline-N-oxide  ]    Unspecified   Positive
                                               p-dimethylaminobenzene as ]
                                               positive controls                            Positive
                                                                                                                              

    TABLE 2.  Special Studies of Cyhalothrin on Mutagenicity

                                                                                                                               

    Test system         Test organism       Concentrations of             Purity         Results                  Reference
                                            Cyhalothrin used
                                                                                                                               

    Ames' Test          S. typhimurium      4, 20, 100, 500,              90.2% w/w      ]                        Truman, 1981
    (both with          TA 1535             2500 µg/plate                                ]
    and without         TA 1537                                           (Cis:trans     ]
    metabolic           TA 1538                                           97.1:2.9)      ] Negative
    activation)         TA 98                                                            ]
                        TA 100                                                           ]

    In Vivo             Rat                 0,1.5, 7.5 or 15 mg/kg        89.2% w/w      No evidence              Anderson et
    cytogenetics                            orally in maize oil, once                    of mutagenic             al., 1981-
                                            and also four consecutive                    or clastogenic
                                            daily doses. Ethyl                           potential due to
                                            methanesulphonate at                         cyhalothrin.
                                            200 mg/kg.                                   Positive response
                                                                                         with ethyl
                                                                                         methanesulphonate

    Dominant lethal     Mouse               0, 1,5 and 10 mg/kg orally    89.25% w/w     No dominant              Irvine, 1981
                                            in maize oil daily for five                  lethality due
                                            days. Cyclophosphamide at                    to cyhalothrin.
                                            200 mg/kg i.p. daily for                     Positive response
                                            five days.                                   with cyclophosphamide.
                                                                                                                               
    
         Bodyweight gains were reduced at 100 ppm in all generations.
    There were no treatment-related effects on food consumption, fertility
    rate, duration of pre-coital period and length of gestation. The F2a
    and F3b litter sizes were slightly smaller at 100 ppm. The numbers of
    liveborn pups per litter and survival rates up to day 22 were not
    affected by treatment.

         At autopsy, no treatment-related effects were found, either on
    pathological or histopathological examination. Based on the findings
    of reduced bodyweight gain, the no-effect level established by this
    study is 30 ppm (Milburn et al., 1984).

    Special Studies on Teratogenicity

    Rat

         Groups of 24 mated female Charles River CD rats received
    technical Cyhalothrin (89.25 percent pure) in maize oil by gavage at
    0, 5, 10, 15 mg/kg on days 6-15 (inclusive) of gestation and were
    maintained without treatment until sacrificed at day 20.

         Treatment at the highest dose (15 mg/kg) was associated with
    weight loss and with uncoordinated limb movements in 2/24 animals. The
    overall body weight gain over the initial seven days was significantly
    reduced in this treatment group. The rate of food consumption for the
    other two treatment groups was slightly lower than for the control
    group during treatment. Cyhalothrin had no effect on the incidence
    of pregnancy, which was complete in all treatment groups. Pre-
    implantation losses were unaffected by treatment. Post-implantation
    losses, determined from the number of implantations and the number of
    live foetuses, were marginally, but not significantly, increased over
    the control values but not at the higher rates of treatment (i.e., 10
    and 15 mg/kg). The overall rate of implantations was unaffected by
    treatment. The mean litter weights, mean foetal weights and mean
    crown-rump lengths were also not affected by treatment.

         Foetal abnormalities, considered as random, occurred only within
    one of the 12 litters of the 10 mg/kg treatment group. These
    abnormalities were bilateral agenesis of kidney and ureters in four
    foetuses and kidney hypoplasia in the fifth of the 17 foetuses. Three
    of the affected foetuses also had malformations of the thoracic and
    lumbar vertebrae and fusions of the sternebrae and metacarpals. The
    results of this study indicate that daily treatment up to 15 mg/kg
    Cyhalothrin, which produces maternal toxicity in the rat, was without
    any teratogenic effect (Killick, 1981a).

    Rabbit

         Groups of about 20 mated female New Zealand White rabbits
    received a solution of Cyhalothrin (89.25 percent purity) in maize oil
    by gavage at 0, 3, 10 and 30 mg/kg daily from days 6-18 of gestation,
    inclusively. Survivors were sacrificed on gestation day 28.

         Treatment with 30 mg/kg Cyhalothrin initially caused loss of body
    weight and subsequent depression of body weight gain during the
    treatment. Food intake was correspondingly reduced at this dose.
    Although the mean weights of the gravid uteri were not affected by
    treatment, the residual body weights of all Cyhalothrin-treated
    rabbits were less than control values, although the differences were
    not statistically significant.

         Pre-implantation losses were slightly higher in the control
    groups and the number of corpora lutea and implantations were not
    affected by treatment with Cyhalothrin. Post-implantation losses were
    slightly higher in the treated groups owing to a slight increase in
    intra-uterine deaths, which was not dose-related. The mean number of
    foetuses/litter was also reduced, but not significantly, by treatment.
    The sex ratios were unchanged. The mean foetal weights were also
    slightly, but not significantly, reduced at 30 mg/kg and similarly
    slightly increased at 3 mg/kg. The type and incidence of foetal
    abnormalities found was not related to treatment and did not differ
    significantly from controls (Killick, 1981b).

         The results of this study indicate no teratogenic potential for
    Cyhalothrin, although treatment at 30 mg/kg daily caused maternal
    toxicity.

    Acute Toxicity

         Signs of Cyhalothrin toxicity included: ungroomed appearance,
    subdued behaviour, piloerection, ptosis, salivation, chromodacyrrhoea,
    scouring, incontinence and staining of ventral surface, hypothermia,
    hypersensitivity to noise, altered gait and unnatural posture (upward
    curvature of spine). LD50 levels are reported in six species in Table
    3.

         Death usually occurred within two days of Cyhalothrin
    administration and surviving animals appeared normal within nine days.

    Short-Term Studies

    Rat

         In a 28-day feeding study, groups of 16 male and 16 female
    Alpk/AP (Wistar-derived) rats were fed Cyhalothrin (89.0 percent pure;
    100 percent cis isomer) at 0, 20, 100 and 250 ppm in the diet for 28
    days. Because the experimental design was modified, groups of eight
    male and eight female rats were similarly fed 500 and 750 ppm
    cis-Cyhalothrin. A comparative group of eight male and eight females
    also received 500 and 750 ppm of a 50:50 mixture of the geometrical
    isomers of the chemical (84 percent pure) in the diet-for the same
    period. Dose-related signs of toxicity (high stepping gait, hunching,
    ataxia, hyperactivity, hypersensitivity to external stimuli,
    piloerection, poor grooming and salivation) were observed in all
    cis-Cyhalothrin groups treated above 100 ppm; one of the 100 ppm
    treated males exhibited transient high stepping gait and

    hypersensitivity to external stimuli at 20 and 250 ppm. Three of the
    males and five of the females fed 750 ppm Cyhalothrin died during
    treatment. The cis:trans Cyhalothrin mixture produced similar, but
    less, toxicity.

         Body weight gains were more depressed above 250 ppm by
    cis-Cyhalothrin treatment than by the cis:trans mixture. Food
    consumption was decreased above these doses but food utilization was
    reduced only in females at and above 500 ppm. A dose-related decrease
    of plasma triglyceride concentrations occurred at and above 500 ppm
    for males, but only at 750 ppm for cis-Cyhalothrin treated females.
    Urinalysis and haematological parameters were not affected by
    treatment.

         At necropsy, slight liver weight gains were found in the 250 ppm
    and 500 ppm Cyhalothrin treatment groups and in the 750 ppm group
    treated with the cis:trans mixture. Spleen, adrenal, lung, brain and
    thymus weights were decreased at the highest male treatment groups,
    consistent with the observed growth retardation. Testes weights were
    increased in these same groups. Above 250 ppm there was a dose-related
    decrease in the weight of the hearts of male rats treated with either
    pyrethroid mixture.

         Histopathological examination of males and females from the group
    treated with 750 ppm Cyhalothrin showed thymic atrophy, adrenal
    enlargement with vacuolation and differential staining of zona
    fasciculata cells. The testes showed incomplete spermatogenesis and
    loss of seminal vescicle secretion. However, the numbers of animals
    autopsied was very small and other treatment groups were not
    autopsied.

         There was a dose-related increase in hepatic amino-pyrine
    demethylase levels of male and female rats treated with
    cis-Cyhalothrin and the cis:trans mixture. Electron microscopy showed
    proliferation of hepatic smooth endoplasmic reticulum of all male rats
    treated with 20, 100 and 250 ppm cis-Cyhalothrin; this effect was also
    observed in females treated at 250 ppm. Higher treatment groups were
    not examined (Tinston et al., 1984).

         In a study to investigate the reversibility of 
    Cyhalothrin-induced liver changes in male Wistar rats, cyhalothrin
    (89.2 percent pure) was fed at 250 ppm in the diet to a group of 32
    male rats. A similar number of control rats received the diet alone.
    After 28 days, eight rats from each group were sacrificed and examined
    for hepatotoxicity. The remaining rats were then maintained on a
    control diet until similarly sacrificed after 7, 14 or 28 days.

         The bodyweight gain of the rats fed 250 ppm Cyhalothrin was
    depressed during feeding and remained depressed until the day of
    sacrifice.

        TABLE 3.  Acute Toxicity of Cyhalothrin in Animals

                                                                                          

    Animal                  Route                LD50              References
                                                 (mg/kg bw)
                                                                                          

    Mouse           M       oral                 36.7              Nixon & Jackson, 1981
                    F       oral                 62.3              ibid

    Rat             M       oral                 243               ibid
                    F       oral                 144               ibid
                    M       dermal               1000-2500         ibid
                    F       dermal               200-2500          ibid
                    M       intraperitoneal      250-750           ibid

    Guinea pig      M       oral                 5000              ibid

    Chicken         F       oral                 10 000            Roberts et al., 1982

    Rabbit          F       oral                 1000              Jones, 1980
                    M       dermal               2500              Nixon & Jackson, 1981
                    F       dermal               2500              ibid
                                                                                          
    

         There was a tendency for a slight reduction of the liver weights
    of the treated rats, but this was only statistically significant in
    those rats (8/32) allowed a 14-day recovery period. Electron
    microscopy showed significant proliferation of smooth endoplasmic
    reticulum in only five rats; such proliferation was no longer apparent
    in animals allowed a seven-day recovery. Hepatic aminopyrine-N-
    demethylase activity was also elevated after 28 days feeding at
    250 ppm but this too had reversed seven days after cessation of
    exposure (Lindsay et al., 1982).

         Groups of 20 male and 20 female Wistar rats were fed Cyhalothrin
    (89.25 percent pure) at dietary concentrations of 0, 10, 50 and
    250 ppm for 90 days. Only male rats fed 250 ppm Cyhalothrin exhibited
    a significantly reduced bodyweight gain. Food consumption of male rats
    was reduced at 50 and 250 ppm but, despite significant food wastage by
    the 50 and 250 ppm male groups, overall food utilization (g food/g
    bodyweight gain) were unaffected in all groups. Although haemoglobin
    and haematocrit were not affected by treatment, there was a tendency
    for slight reduction of mean erythrocyte volume in Cyhalothrin-treated
    groups, with compensatory changes in other haematological parameters.
    After four weeks, the mean erythrocyte volume of only female rats
    treated at 250 ppm was slightly reduced. However, after 13 weeks,
    there was a slight reduction of mean erythrocyte volume in all treated
    males and in female rats fed 50 and 250 ppm. Corresponding slight

    reduction of erythrocyte haemoglobin levels occurred in males fed
    250 ppm and 10 ppm, but not 50 ppm.

    Mean erythrocyte haemoglobin concentrations were reduced only in
    female rats at 250 ppm. At the same time, male rats fed 50 and 250 ppm
    Cyhalothrin exhibited decreased plasma triglyceride levels and a 
    dose-related increase in hepatic aminopyrine-N-demethylase activity.
    The latter was also elevated in female rats fed 250 ppm Cyhalothrin.
    Small increases in urinary glucose excretions occurred in males fed 50
    and 250 ppm Cyhalothrin after 13 weeks.

         No treatment-related changes in organ weights and no macroscopic
    pathological changes were found at autopsy. Electron microscopy showed
    mild proliferation of smooth endoplasmic reticulum in three males of
    each of the 50 ppm and 250 ppm groups; however, the group mean values
    did not differ from control values.

         In view of the above mentioned haematological effects, a
    no-effect level was not established in this study (Lindsay et al.,
    1981).

    Dog

         Groups of six male and six female purebred beagles received
    Cyhalothrin orally in encapsulated maize oil solution at 0, 1.0, 2.5
    and 10.0 mg/kg daily for 26 weeks.

         Vomiting occurred in some dogs of the highest treatment group,
    especially in the initial weeks of the study. Neurotoxicity,
    manifested as unsteady gait and/or muscular tremors, excessive
    salivation and head shaking, occurred in some dogs only at 10 mg/kg
    and mostly in the second week of treatment; one dog of the group was
    severely affected throughout the study.

         Bodyweights were not affected by treatment, but food consumption
    was reduced in the highest treatment group. An increase in water
    consumption occurred at 10 mg/kg during the initial half of the study.
    Ophthalmoscopy, performed before dosing and at 6, 12 and 24 weeks,
    revealed no treatment-related effects. Haematological and biochemical
    parameters and urinalysis were not affected by treatment. Bone
    marrows, examined on the day before autopsy, were normal in all
    groups. There were no treatment-related findings at autopsy.

         The results of this study indicate 2.5 mg/kg/day as the no-effect
    level of Cyhalothrin in the beagle (Chesterman et al., 1981).

    Long-Term Studies

    Mouse

         In a combined chronic toxicity/carcinogenicity study, groups of
    64 male and 64 female CD-1 mice were fed Cyhalothrin of unspecified
    purity in their diet at 0, 20, 100 and 500 ppm. Twelve mice/sex group
    were sacrificed at 52 weeks and the remainder at 104 weeks. Overall
    survival was good and there were no dose-related effects on mortality.
    High-dose animals and mid-dose males showed an increased incidence of
    piloerection and hunched posture. Bodyweight gain was decreased for
    males receiving 500 ppm. These animals exhibited postural hunching,
    poor condition and aggressive behaviour; the latter was also observed
    at 100 ppm.

         Packed red cell volumes were reduced in males fed 100 and 500 ppm
    and the mean corpuscular haemoglobin concentrations were increased and
    the mean cell volume correspondingly reduced. Small changes in the red
    cell indices were also observed at 49 weeks in males receiving
    Cyhalothrin and at 101 weeks for females, but these were not
    associated with changes in PCV, haemoglobin level or red cell count.
    The incidence of animals showing elevated serum glutamic-oxaloacetic
    and glutamic-pyruvate transaminase levels was somewhat increased in
    mid- and high-dose groups at 104 weeks.

         Widespread, severe amyloidosis was the most common finding at
    autopsy, but controls and all treated groups were affected to a
    similar degree. The incidence of mammary adenocarcinomas was increased
    in female mice compared with concurrent controls, i.e. control 1/52,
    low dose 0/52, mid-dose 7/52, high dose 6/52. However, historical data
    show that the background incidence of this neoplasm in untreated
    female CD-1 mice is up to 11.7 percent. The observed increase in
    tumours was not proportional to dose. No mammary tumours were reported
    in male mice and the incidence of all other tumours was unremarkable.

         The results of this study indicate 20 ppm as the no-effect level
    of dietary Cyhalothrin in the mouse (Colley et al., 1984).

    Rat

         In a combined chronic toxicity/oncogenicity study, groups of 72
    male and 72 female Alpk/AP rats were fed diets containing 0, 10, 50 or
    250 ppm Cyhalothrin (89.2 percent pure) for 104 weeks. Ten
    rats/sex/group were sacrificed at 52 weeks.

         Overall survival was good and no dose-related effects on
    mortality were observed. There were no clinical signs of toxicity.
    Bodyweight gains were reduced in high-dose groups of both sexes. No
    toxicologically significant, treatment-related effects were reported
    on haematology, clinical chemistry or urinalysis. Ophthalmoscopy was
    unremarkable. Neurological effects were not observed.

         At autopsy, no treatment-related macroscopic or histopathological
    changes were found. A significant number of treated rats showed
    oro-nasal fistulae attributable to the presence of fibrous particles
    in the diet. Associated secondary metaplasia of the epithelium of the
    nasal cavity with chronic suppurative rhinitis was not uncommon.
    Marked rhinitis was a significant cause of death or removal from the
    study.

         The toxicological no-effect level from this study is 50 ppm
    Cyhalothrin (Piggot et al., 1984).

    COMMENTS

         Cyhalothrin is a new synthetic pyrethroid; it is a mixture of
    equal amounts of four Z-cis diastereoisomers.

         Cyhalothrin, administered orally to rats, is only partly absorbed
    and is readily excreted, with low levels remaining in the tissues. It
    is extensively metabolized in the rat to 3-phenoxybenzoic acid,
    substituted cyclopropanecarboxylic acid and other polar metabolites.

         No mutagenicity was observed in a number of in vitro and in
    vivo studies, and a cell transformation test was negative.

         A three-generation study in rats showed decreased weight gains in
    both females and males at 100 ppm; the no-effect level was 30 ppm
    (1.5 mg/kg/day). A study in rats showed no teratogenicity at doses up
    to 15 mg/kg/day, which produced maternal toxicity. Similarly, a rabbit
    study showed no teratogenicity at doses up to 30 mg/kg/day, which also
    caused maternal toxicity.

         A 28-day feeding study in rats showed thymic atrophy, adrenal
    enlargement with vacuolation and incomplete spermatogenesis at
    750 ppm. A 90-day feeding study in rats showed decreased erythrocyte
    haemoglobin at 10 and 250 ppm, but not at 50 ppm, and a no-effect
    level was not established. A six-month study in dogs showed symptoms
    of neurotoxicity at 10 mg/kg/day and the no-effect level was
    2.5 mg/kg/day.

         A two-year chronic toxicity/carcinogenicity study in mice showed
    adverse clinical signs at doses exceeding 20 ppm, which is taken as
    the no-effect level in the mouse. A chronic toxicity/carcinogenicity
    study in rats showed decreased bodyweight gains at 250 ppm, but no
    increased tumourigenicity, and the no-effect level was 50 ppm. A full
    ADI was allocated.

    TOXICOLOGICAL EVALUATION

    Level Causing no Toxicological Effect

         Mouse:    20 ppm in diet, equal to 2.0 mg/kg bw/day

         Rat:      30 ppm in diet, equal to 1.5 mg/kg bw/day

         Dog:      2.5 mg/kg bw/day

    Estimate of Acceptable Daily Intake for Man

         0 - 0.02 mg/kg bw

    FURTHER WORK OF INFORMATION

    Desirable

    Observations in humans

    REFERENCES

    Anderson, D.A., Richardson, C.R., Hulme, A., Morris, J., Banham, P.B.
    1981      & Godley, M.J. Cyhalothrin: A cytogenetic study in the rat.
              ICI Central Toxicology Report No. CTL/P/664 submitted by
              Imperial Chemical Industries PLC to WHO. (Unpublished)

    Chesterman, H., Heywood, R., Allen, T.R., Street, A.E., Kelly, D.F.,
    1981      Gopinath, C. & Prentice, D.E. Cyhalothrin: Oral toxicity
              study in beagle dogs. Huntingdon Research Centre Report No.
              ICI/326/8162 submitted by Imperial Chemical Industries PLC
              to WHO. (Unpublished)

    Colley, J., Dawe, S., Heywood, R., Almond, R., Gibson, W.A., Gregson,
    1984      R. & Gopinath, C. Cyhalothrin: Potential tumorigenic and
              toxic effects in prolonged dietary administration to mice.
              Huntingdon Research Centre Report No. ICI 395/83668
              submitted by Imperial Chemical Industries PLC to WHO.
              (Unpublished)

    Harrison, M.P. & Case, D.E. Cyhalothrin: The disposition and
    1981      metabolism of 14C-ICI 146814 in rats. ICI Pharmaceuticals
              Division Report No. 8/HA/003990 submitted by Imperial
              Chemical Industries PLC to WHO. (Unpublished)

    Harrison, M.P. & Case, D.E. Cyhalothrin: The metabolism and
    1983      disposition of ICI 146814 in the rat: Part IV. ICI
              Pharmaceuticals Division Report No. 6/HC/005683 submitted by
              Imperial Chemical Industries PLC to WHO. (Unpublished)

    Irvine, L.F.H. Cyhalothrin: Oral (gavage) dominant lethal study in the
    1981      male mouse. Hazleton Laboratories Europe Ltd. Report No.
              2647-72/213 submitted by Imperial Chemical Industries PLC to
              WHO. (Unpublished)

    Jones, J.R. Cyhalothrin: Acute oral median lethal dose (LD50) in the
    1980      female rabbit. Hazleton Laboratories Europe Ltd. Report No.
              2364-72/214 submitted by Imperial Chemical Industries PLC to
              WHO. (Unpublished)

    Killick, M.E. Cyhalothrin: Oral (gavage) teratology study in the rat.
    1981a     Hazleton Laboratories Europe Ltd. Report No. 2661-72/208
              submitted by Imperial Chemical Industries PLC to WHO.
              (Unpublished)

    Killick, M.E. Cyhalothrin: Oral (gavage) teratology study in the New
    1981b     Zealand white rabbit. Hazleton Laboratories Europe Ltd.
              Report No. 2700-72/211 submitted by Imperial Chemical
              Industries PLC to WHO. (Unpublished)

    Lindsay, S., Chart, I.S., Godley, M.J., Gore, C.W., Hall, M., Pratt,
    1981      I., Robinson, M. & Stonard, M. Cyhalothrin: 90-day feeding
              study in rats. ICI Central Toxicology Laboratory Report No.
              CTL/P/629 submitted by Imperial Chemical Industries PLC to
              WHO. (Unpublished)

    Lindsay, S., Doe, J.E., Godley, M.J., Hall, M., Pratt, I., Robinson,
    1982      M. & Stonard, M.D. Cyhalothrin-induced liver changes:
              Reversibility study in male rats. ICI Central Toxicology
              Laboratory Report No. CTL/P/668 submitted by Imperial
              Chemical Industries PLC to WHO. (Unpublished)

    Milburn, G.M., Banham, P., Godley, M.J., Piggott, G. & Robinson, M.
    1984      Cyhalothrin: Three-generation reproduction study in the rat.
              ICI Central Toxicology Laboratory Report No. CTL/P/906
              submitted by Imperial Chemical Industries PLC to WHO.
              (Unpublished)

    Nixon, J. & Jackson, S.J. Cyhalothrin acute toxicity. ICI Central
    1981      Toxicology Laboratory Report No. CTL/T/1555 submitted by
              Imperial Chemical Industries PLC to WHO. (Unpublished)

    Piggott, G.H., Chart, I.S., Godley, M.J., Gore, C.W., Hollis, K.J.,
    1984      Robinson, M., Taylor, K. & Tinston, D.J. Cyhalothrin: Two-
              year feeding study in rats. ICI Central Toxicology
              Laboratory Report No. CTL/P/980 submitted by Imperial
              Chemical Industries PLC to WHO. (Unpublished)

    Prout, M.S. Cyhalothrin: Bioaccumulation in the rat. ICI Central
    1984      Toxicology Laboratory Report No. CTL/P/1014 submitted by
              Imperial Chemical Industries PLC to WHO. (Unpublished)

    Roberts, N.L., Fairley, C., Hakin, B., Prentice, D.E. & Wight, D.G.D.
    1982      The acute oral toxicity (LD50) and neurotoxic effects of
              Cyhalothrin to the domestic hen. Huntingdon Research Centre
              Report No. ICI/374 NT/81742 submitted by Imperial Chemical
              Industries PLC to WHO. (Unpublished)

    Richold, M., Allen, J.A., Williams, A. & Ransome, S.J. Cell
    1981      transformation test for potential carcinogenicity of
              Y00102/010/005 (Cyhalothrin [PP563]). Huntingdon Research
              Centre Report No. ICI 391/(B)/80948 submitted by Imperial
              Chemical Industries PLC to WHO. (Unpublished)

    Tinston, D.J., Banham, P.B., Chart, I.S., Gore, C.W., Pratt, I.,
    1984      Scales, M.D.C. & Weight, T.M. PP563: 28-day feeding study in
              rats. ICI Central Toxicology Laboratory Report No.
              CTL/P/1056 submitted by Imperial Chemical Industries PLC to
              WHO. (Unpublished)

    Truman, R.W. Cyhalothrin: Results from the Salmonella reverse mutation
    1981      assay. ICI Central Toxicology Laboratory Report No.
              CTL/P/665 submitted by Imperial Chemical Industries PLC to
              WHO. (Unpublished)


    See Also:
       Toxicological Abbreviations
       Cyhalothrin (EHC 99, 1990)
       Cyhalothrin (ICSC)
       Cyhalothrin (WHO Food Additives Series 53)
       Cyhalothrin (WHO Food Additives Series 45)
       CYHALOTHRIN (JECFA Evaluation)
       Cyhalothrin (Pesticide residues in food: 1984 evaluations)
       Cyhalothrin (UKPID)