IPCS INCHEM Home


    PESTICIDE RESIDUES IN FOOD - 1984


    Sponsored jointly by FAO and WHO






    EVALUATIONS 1984




    The monographs



    Data and recommendations of the joint meeting
    of the FAO Panel of Experts on Pesticide Residues
    in Food and the Environment and the
    WHO Expert Group on Pesticide Residues
    Rome, 24 September - 3 October 1984

    Food and Agriculture Organization of the United Nations
    Rome 1985

    CARBOSULFAN

    IDENTITY

    Chemical Name:           2,3-dihydro-2,2-dimethyl-7-benzofuranyl
                             [(dibutylamino) thio] methylcarbamate

    Synonyms:                FMC 35001, Marshal(R), Advantage(c)

    Empirical Formula:       C20H32N2O3S

    Structural Formula:

    CHEMICAL STRUCTURE 1

    Molecular Weight:        380.5

    Technical Material:      Approximately 93 percent a.i.;
                             Manufacturing Use Product (MUP) composition
                             limits range between 86.0 and 91.0 percent
                             (w/w) a.i.

    Physical Form:           Viscous brown liquid

    Specific Gravity:        1.056 g/ml at 20°C

    Stability:               Stable for one year at 22°C, 30 weeks at
                             50°C, undergoes decomposition at 80°C under
                             0.1 Torr pressure.

    Solubility:              Water (0.3 ppm), Completely miscible in
                             Xylene, Hexane, Chloroform, Methylene
                             Chloride, Methanol, Acetone.

    Volatility:              Relatively non-volatile

    Vapor Pressure:          0.31 × 10-6 Torr at 25°C

    Flash Point:             96°C - closed-cup method

    EVALUATION FOR ACCEPTABLE DAILY INTAKE

    BIOCHEMICAL ASPECTS

    Absorption, Distribution and Excretion

         The fate of ring-14C-Carbosulfan was determined in male and
    female rats by examining excreta and selected tissue for activity
    following oral administration in corn oil. Animals were fasted for
    18 hours prior to oral dosing of 30 and 3.8 mg/kg body weight (b.w.).
    A separate group of rats were administered a single dose of 3.3 mg/kg
    b.w. unlabelled compound followed 14 days later with the same amount
    of labelled compound. There were ten rats (five male and five female)
    in each group. Males and females demonstrated the same pattern of
    preferential excretion via the urine. Within 24 hours, urinary
    excretion in female and male rats was 65.9 and 69.4 percent,
    respectively, following a single high dose; 80.08 and 71.04 percent
    following a single low dose; and 85.28 and 87.5 percent following the
    multiple dose protocol. Elimination in faeces accounted for an
    additional 5.9 percent of the administered dose. The majority of the
    dose was recovered within the first 24 hours. Tissue activity in males
    and females was minimal with <0.01 percent of the dose present in
    liver, kidney and skin following the high dose of 30 mg/kg, but at
    3 mg/kg 14C activity was generally less then background activity.
    Skin accounted for the highest ng equivalents/gram of tissue analyzed.

         The urinary metabolites were primarily conjugated, with
    3-keto-7 phenol the most abundant, and 3-hydroxy-carbofuran, 7-phenol
    and 3-hydroxy-7-phenol also present. Carbofuran, 3-keto-carbofuran,
    and N-hydroxymethyl-3-hydroxy carbofuran were minor metabolites
    identified. The primary faecal metabolites were unchanged carbosulfan
    and 3-hydroxy-carbofuran. Carbofuran was also present in measurable
    quantities followed by 3-keto-7-phenol, 3-hydroxy-7-phenol, 7-phenol,
    and N-hydroxymethyl-3-hydroxy carbofuran (Wu, 1982a).

         In a similar evaluation to the preceding, carbosulfan, labelled
    with 14C in the C-1 position of the dibutylamino (DBA) moiety, was
    orally gavaged in corn oil to Sprague-Dawley rats. The low dose was
    equivalent to 4 mg/kg, administered to five male and five female rats;
    the high dose was approximately 27 mg/kg administered to five male
    rats, and the multiple dose protocol used five male rats administered
    3.6 mg/kg b.w. The majority of radioactivity was excreted in the first
    24 hours, with 78-83 percent in the urine and 7-10 percent recovered
    in faeces. There were no apparent sex differences identified.

         Unlike the ring-labelled carbosulfan study, rats excreted 3-8
    percent less DBA-14C carbosulfan radioactivity in the excreta with 1.1
    to 2.6 percent tissue and carcase retention. Liver, skin and adipose
    accounted for the highest levels in tissues analyzed. This suggests
    possible incorporation of the DBA side-chain in the form of fatty
    acids, amino acids, sugars or other neutral products. Dibutylamine was
    the major metabolite in urine and carbosulfan and 3-keto-carbosulfan
    the major metabolites in faeces (Wu, 1982b).

         Whole-body autoradiography and physiologic disposition studies
    were conducted with ring-14C and DBA-14C carbosulfan. A single oral
    dose of both products was absorbed and distributed within 30 minutes
    after administration. DBA-14C carbosulfan was distributed more widely
    and achieved higher tissue concentrations which persisted longer
    than the ring-labelled compound. Tissue sites where DBA-derived
    radioactivity was found included: gastrointestinal tract,
    epididymides, CNS, glandular tissue, muscle, lung, blood, bone marrow,
    liver and ethmoturbinate epithelium, as well as faeces and urine. The
    ring-14C labelled compound radioactivity was found in the
    gastrointestinal tract, liver, kidney and epididymides. Both compounds
    achieved peak concentrations in the tissues at six hours. By 24 hours,
    remaining ring-labelled 14C-equivalents, not excreted in the urine
    and faeces, were in the gastrointestinal tract, liver and kidney
    (Liss, et al., 1981).

    Metabolism

    Rat

         The metabolism of carbosulfan was investigated in female
    Sprague-Dawley rats administered 30 mg/kg of aromatic ring-14C,
    carbonyl carbamate-14C and DBA-14C labelled chemical in corn oil.
    Urine, faeces and carbon dioxide were monitored for four days, after
    which the rats were sacrificed and tissues were examined for
    radioactivity. Excretion was rapid, with 65-80 percent of the
    administered dose being eliminated in respired air, urine and faecal
    products during the first 24 hours after treatment. Urinary excretion
    was the major route of elimination for both the 14C ring-labelled
    (>80 percent) and DBA-labelled (>50 percent) carbosulfan, 
    carbonyl-labelled carbosulfan preferentially eliminated via expired
    carbon dioxide (38 percent). Faecal elimination was minor, except for
    the DBA-labelled compound. Radioactive residues remaining in the rat
    tissues were low and levels of radioactivity varied with labelling
    position. The highest levels of radioactivity were found in the blood,
    liver, kidney, lung, heart and spleen, and ranged from 0.1-1.5 mg/kg
    (ppm) (carbosulfan equivalents) in ring-14C and DBA-14C
    carbosulfan-treated rats after 96 hours. Levels of 0.6-9.6 mg/kg
    (carbosulfan equivalents) were noted in tissues of carbonyl-14C
    carbosulfan-treated animals after 48 hours. Results support previous
    findings and suggest that Carbosulfan is metabolized by two primary
    pathways: (1) oxidation of the sulfur to yield CS-sulfone and
    sulfamide, and (2) N-S bond cleavage to yield Carbofuran. The first
    step represents a significant detoxification mechanism. The scheme in
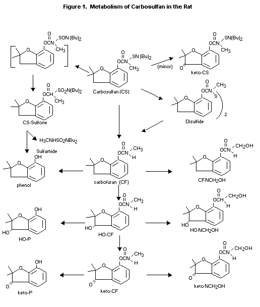
    Figure 1. is proposed for the metabolic pathway in rats.

    FIGURE 1

         A female rat received a single dose (30 mg/kg) of ring-14C
    Carbosulfan via oral gavage. Analyses indicated that levels of
    unchanged parent chemical persisted in the blood for three hours after
    dosing. Approximately 72 percent of the radiocarbon detected in blood
    was attributed to parent chemical (Marsden, Kuwawo & Fukuto, 1982). In
    a separate study, female Sprague-Dawley rats were administered
    30 mg/kg of carbonyl-14C Carbosulfan. The rats were sacrificed at 15,
    35 and 80 minutes after dosing and the stomach contents were assayed
    for radioactivity. Approximately 50 percent of the recovered
    radioactivity was Carbosulfan after 80 minutes (Umetsu & Fukuto,
    1982).

    TOXICOLOGICAL STUDIES

    Special Study on Reproduction

    Rat

         Carbosulfan was administered to groups of Charles River CD rats
    (15 males and 30 females/group) at dietary levels of 0, 10, 20 and
    250 ppm for three generations. Two successive litters were reared from
    each female. General condition and behavior were routinely observed
    and individual body weights were recorded throughout the study. The
    number of pups in each litter were examined externally and culled to
    10/litter at four days of age. Individual pup weights were measured at
    days 0, 4, 7, 14 and 21. Ten male and ten female F1b, F2b, and F3b
    weanlings were randomly selected for gross necropsy and tissue
    collection. The F1a and F2a litters were discarded at weaning, and
    the F1b and F2b litters were used to produce succeeding generations.
    Weanlings not selected for continuation on the study (F1a, F2a,
    F1b, F2b, F3a and F3b) were subjected to gross external
    examination, sacrificed and discarded.

         Body weights of F0 males and females were decreased initially at
    20 and 250 ppm. These decreases were associated with decreased food
    consumption, and both recovered to normal from week 4 to sacrifice.
    Body weights of parental males (F1 and F2) receiving the 250 ppm
    diet were consistently lower than those in the corresponding control
    group. A similar effect was observed in the 250 ppm group females
    during portions of gestation and lactation, but not during the growth
    phases. Mating index, gestation index and number of viable foetuses
    were essentially normal throughout, except for F2b dams at the
    250 ppm level, which were decreased.

         Litter size, pup weights and/or pup weight gains for all litter
    sets in the 250 ppm group were significantly lower at most age
    intervals between birth and weaning when compared to concurrent
    control animals. Neonatal survival among the 250 ppm group was also
    significantly lower for the first four litters (F1a, F1b, F2a and
    F2b).

         There were no treatment-related gross or histologic changes
    observed among the F0, F1b and F2b adult groups and the F1b,
    F2b and F3b weanling groups. Carbosulfan did not have a demonstrated
    adverse effect on reproductive performance, except for the effect on
    pup weight, litter size, and pup survival at 250 ppm. The NOEL is
    20 ppm (Kehoe & MacKenzie, 1982).

    Special Studies on Teratogenicity

    Rat

         Carbosulfan was administered orally by gavage to groups of 25
    Charles River CD rats during gestation days 6 through 19 at dosages of
    0, 2, 10 and 20 mg/kg/day. Surviving females were necropsied on day 20
    and foetuses delivered by hysterotomy. The number and position of
    viable/non-viable foetuses, early/late resorptions, mean number of
    corpora lutea and total number of implantations were recorded.
    External, internal and skeletal examinations of foetuses were
    performed for evidence of abnormalities and anomalies. One third of
    the foetuses were evaluated for soft tissue anomalies and the
    remaining two thirds for skeletal effects.

         There was no dose-related mortality in any treatment group. Body
    tremors and clear oral discharge were reported in the 20 mg/kg/day
    group after administration of each dose. Mean maternal body weight
    gains were slightly reduced at 10 mg/kg/day and significantly reduced
    at the 20 mg/kg level during the gestation period. There were no
    differences in number of pregnancies, early/late resorptions, viable
    foetuses, post-implantation loss or sex distribution. The number of
    corpora lutea per dam was increased in all treated groups, while the
    mean foetal body weight was significantly reduced at 10 and
    20 mg/kg/day. There was also an increase in the number of litters with
    developmental variations at 20 mg/kg/day which included reduced
    ossification of the skull, hyoid body unossified, sternebrae 5 and 6
    unossified, and renal papilla not developed and/or distended ureters.
    There were no reported effects on the number or percentage of foetuses
    or litters with external, internal or skeletal malformations or
    anomalies at any dose level. Carbosulfan was not demonstrated to be
    teratogenic in rats at doses up to and including 20 mg/kg/day (Janes,
    Rodwell & Blair, 1980a).

    Rabbit

         Groups of 16 New Zealand Albino Rabbits received carbosulfan by
    gavage at dosages of 0, 2, 5, and 10 mg/kg b.w./day on days 6 through
    28 of gestation. Pups were delivered by caesarean section on day 29
    and the number, location, and distribution of viable/non-viable
    foetuses, corpora lutea, early/late resorptions and total
    implantations were recorded. All foetuses were examined grossly,
    sectioned for visceral anomalies and stained for skeletal anomalies.

         There were three deaths at 10 mg/kg and one each in the control
    and low-dose groups. The number of dams with viable foetuses were 12,
    10, 15 and 11 for the control, 2, 5 and 10 mg/kg groups, respectively.
    There were no compound-related effects on the number of viable
    foetuses, corpora lutea, foetal sex distribution or total
    implantations/dam. There were compound-related effects (e.g. increase)
    on post implantation losses and early resorption rate at all doses,
    but most notably at 5 and 10 mg/kg. Also, the mean foetal body weight
    was decreased in the high dose group. There was a single occurrence of
    scoliosis in each of the three treated groups, but none were reported
    in the controls. There were no compound-related effects on skeletal
    variations, such as delayed ossification. Major vessel variations,
    identified primarily as left carotid arising from the innominate, were
    observed in 16.7, 100, 46.7 and 72.7 percent of the litters at 0, 2,
    5, and 10 mg/kg/day, respectively. The percentage of foetuses
    presenting this defect were 4.9, 44, 12.8 and 20.8 percent,
    respectively. Although this foetotoxic response was evident and
    increased at all dose levels there was no evidence of teratogenicity.
    The NOEL for teratogenicity is 10 mg/kg/day (Janes, Rodwell & Blair,
    1980b).

    Special Studies on Mutagenicity

         Carbosulfan was negative in a wide battery of mutagenicity
    studies conducted. See Table 1 for a summary of the studies
    considered.

    Special Studies on Carcinogenicity (See also long-term studies)

    Mice

         Groups of Charles River CD-1 Mice (100 males and 100 females per
    group) were administered Carbosulfan (purity, 94.5 to 95.6 percent
    with 0.6 to 2.4 percent carbofuran) in the diet at dose levels of 0,
    10, 20, 500 and 2500 ppm for 24 months. All animals were observed
    daily for signs of toxicity, moribundity and mortality. Body weight
    and food consumption values were recorded weekly for the first 14
    weeks and bi-weekly thereafter. Water consumption was determined
    monthly. Haematological and biochemical measurements and urinalyses
    were performed on ten unfasted mice/sex/group at the 6, 12, 18 and 24
    month sacrifices. Ophthalmoscopic evaluations were performed in all
    survivors at 24 months. Selected organs were weighed, gross necropsies
    conducted and a complete list of tissues and organs examined
    microscopically.

         There were no measurable effects on mortality or survivability
    related to treatment. Mean body weights were reduced throughout the
    study at 500 and 2500 ppm for males and 2500 for females. For females
    body weight changes at other doses were sporadic and not related to
    treatment. However, 20 ppm males demonstrated decreased body weight
    gains from week 42 to terminal sacrifice at 104 weeks. Food
    consumption was depressed at 2500 ppm for males and females, but only
    sporadic decreases were noted at other doses. The actual measured

    compound ingested per dose was 0, 1.3, 2.5, 61.5, and 319.5 mg/kg b.w.
    for males, and 0, 1.5, 3.1, 71.9 and 337.2 mg/kg b.w. for females for
    0, 10, 20, 500 and 2500 ppm, respectively.

         There were no measurable differences regarding general appearance
    and behavior, except for increased eye irregularities at 2500 ppm.
    These included corneal opacity, eccentric pupil, and white, cloudy
    eyes.

         There were no treatment-related effects or haematological changes
    except for a tendency toward slightly increased segmented neutrophils
    and decreased lymphocyte counts in males at 2500 ppm. There were no
    demonstrated effects on glucose, BUN, SGPT or Alk phosphatase in
    either sex at any level.

         Cholinesterase values for plasma, erythrocytes and brain tissue
    were significantly depressed in both males and females at 500 and
    2500 ppm, at all time periods measured.

         Ophthalmoscopic examinations indicated an increase in punctuate
    opacities of the iris at 500 and 2500 ppm. Pathological changes were
    indicative of ageing mice and many were stated to be masked by use of
    short-acting mydriatic solutions. However, two separate pathological
    opinions concerning the incidence of cataracts in treated mice
    indicated that there were compound-related increases in male mice at
    500 and 20 ppm, respectively. Females were apparently unaffected by
    treatment, although the incidence reached 84 to 100 percent in most
    groups. The occurrence overall in control and treated groups indicate
    that the effect is possibly exacerbated by the anticholinergic effect,
    similarly demonstrated in the rat study. Special evaluation and
    concern for the iris, because of compound-related effects in the rat,
    did not indicate similar effects in mice.

         Absolute organ weight changes were variably affected in both
    males and females except for decreased spleen weight in females at 500
    and 2500 ppm. Relative spleen weights were also significantly
    depressed in females at 500 and 2500 ppm. Relative brain weights were
    also significantly increased for both sexes throughout the study at
    2500 ppm. This is considered a reflection of the significant effects
    on body weight at the higher doses.

         Gross and histopathological examination were essentially
    unremarkable. The most common findings reported were malignant
    lymphoma and bronchio-alveolar adenoma which were equally distributed
    among all groups, except for low-dose females which demonstrated a
    significant increase in the number of metastatic malignant lymphomas
    of mediastinal and mesenteric lymph nodes, as well as thymus and
    spleen. Generally, control and low-dose females presented the highest
    incidence of malignant lymphomas, in comparison to 20-2500 ppm groups.
    The results of the histopathologic examination indicated that the type
    and incidence of non-neoplastic and neoplastic lesions were usual
    findings in the mouse and unrelated to treatment. Carbosulfan was not
    carcinogenic in mice at dietary levels up to and including 2500 ppm.


        TABLE 1.  Special Studies on Mutagenicity

                                                                                                                                   

    Test System            Test Object         Concerntrations of         Purity      Results                  Reference
                                               carbosulfan Used
                                                                                                                                   

    Ames' Test             S. typhimurium      0.1, 0.5, 2.5, 5           93%         Negative                 Haworth et al.,
    (both with and         TA 98               and 10 ul/plate                                                 1980
    without metabolic      TA 100              disolved in DMSO
    activation)            TA 1535
                           TA 1537
                           TA 1538

    Bacterial DNA          E. coli             0.025, 0.05,               93%         Negative.                Haworth et al.,
    Damage/Repair          strains WP2         0.1 and 0.2 ml                         Preferential kill        1981
    Suspension Assay       uvr A+ exr A+       per plate                              of repair deficient
    (both with and         and CM611                                                  E. coli CM611
    without metabolic      uvr A- exr A-;                                             without rat liver
    activation)            S typhimurium                                              microscrees, at
                           strains TA 1978                                            0.025 to 0.2 ml
                           uvr B+ and                                                 per plate.
                           TA 1538 uvr B-

    Mouse Lymphoma         Mouse               Nonactivated:              93%         Negative.                Kirby et al.,
    Forward Mutation       L5178Y TK+/-        0.0024, 0.0032, 0.0042,                Positive controls        1981
    Assay                  phenotype cells     0.0056, 0.0075, 0.010,                 (EMS 1 ml/ml; DMAA
    (both with and                             0.013, 0.018, 0.024 and                7.5 mg/ml) gave
    without metabolic                          0.032 ml/ml                            expected response.
    activation)
                                               Activated:
                                               0.0056, 0.0075, 0.010,
                                               0.013, 0.018, 0.024,
                                               0.032, 0.042, 0.056
                                               and 0.075 ml/ml
                                                                                                                                   

    TABLE 1.  (continued)

                                                                                                                                   

    Test System            Test Object         Concerntrations of         Purity      Results                  Reference
                                               carbosulfan Used
                                                                                                                                   

    Microrucleus           Mouse, bone         Orally, 43.5 and           93%         Negative.                Kirkhart, Jones
                           marrow              87 mg/kg (174 mg/kg                    Positive control         & Skinner, 1979
                                               gave excessive mortality               (trimethyl phosphate)
                                               and was excluded)                      yielded expected positive
                                                                                      response at 2 x 1000 mg/kg
                                                                                      i.p.

    In Vivo                Rat                 Orally, single doses       93%         Carbosulfan was not      Putnam and
    Cytogenetic                                of 0, 5, 12 and 30                     clastogenic. Positive    Schectman, 1981
    Assay                                      mg/kg on 5 consecutive                 control (triethylene-
                                               days                                   melamine) gave expected
                                                                                      response at 0.25 mg/kg

    Dominant               Mouse               Orally, single doses       93%         No effect on any         Preache, Shefner
    Lethal                                     of 0, 7, 20 and 60                     reproduction parameter   & Reed, 1981
                                               mg/kg for 5 consecutive                evaluated (i.e.
                                               days                                   fertility index, number
                                                                                      of implantations, number of
                                                                                      implantation deaths, percent
                                                                                      post-implantation deaths).
                                                                                      Positive control (TEM) gave
                                                                                      expected response at 0.3 mg/kg i.p.
                                                                                                                                   
    
    The NOEL is 10 ppm (equal to 1.3 mg/kg b.w.) based on body weight
    depression and cataracts in males at 20 pm (DeProspo, Norvell &
    Fletcher, 1982b).

    Special Study on Neurotoxicity

         Groups of adult hens (16 months old) were administered a single
    oral dose of Carbosulfan at levels of 0 and 500 mg/kg b.w. A separate
    positive control group received 750 mg/kg b.w. of TOCP (a dose seven
    times the effective dose needed to produce delayed neuropathy). There
    were ten hens in the vehicle and positive control groups, and 40 hens
    in the Carbosulfan group. Atropine sulfate (25 mg/kg b.w.) was given
    to all birds prior to administration of Carbosulfan. Preliminary range
    finding and LD50 evaluations demonstrated the LD50 and LD70 to be
    371 and 500 mg/kg b.w., respectively. Body weight and food consumption
    were determined weekly. Throughout the study each bird was evaluated
    for neurologic effects. At the conclusion of the study (21 days), all
    surviving hens were sacrificed and subjected to gross and microscopic
    examinations following intravascular perfusion. Axon and myelin
    degeneration were assessed in prepared sections of sciatic nerve and
    spinal cord.

         There were four deaths in the Carbosulfan group within five days
    after dosing. No other deaths occurred. Food consumption and body
    weight were depressed in the TOCP group. Although food consumption in
    the Carbosulfan group was marginally depressed during the first 15
    days, there were no differences in body weight gain compared to
    vehicle controls. There were no differences in neurologic scores
    between vehicle control and the Carbosulfan-treated birds. The TOCP
    group gave the expected response, starting on day 13, which consisted
    of unsteadiness in walking, inability to walk, staggering, difficulty
    in standing and advanced neurotoxic signs. Histologic examination
    revealed no evidence of neurotoxic effects in either the Carbosulfan
    or vehicle control groups. The TOCP group demonstrated a marked
    increase in the number of swollen axons in the cervical, thoracic and
    lumbar sections of spinal cord. There were no axonal changes in the
    sciatic nerve. The report included only cage-side observations for
    locomotor impairment and the number of swollen axons per section of
    spinal cord as indicators for evidence of delayed neurotoxicity.
    Furthermore, the LD70 dose is considered too low and should actually
    have been four to eight times the LD50 (under appropriate protection)
    in order to evaluate the delayed neurotoxic potential. The absence of
    effects in this study, although partially the result of study design,
    support the conclusion that monomethyl carbamates do not cause delayed
    neuropathy (Gephart, Becci & Parent, 1979).

    Special Studies on Acute Toxicity

         The acute toxicity of technical Carbosulfan via various routes of
    administration has been evaluated in a variety of mammalian species. A
    summary of the acute toxicity data is presented in Table 2. Signs of
    toxicity observed in these studies were those commonly associated with
    compounds which inhibit acetylcholinesterase including: salivation,

    lacrimation, diarrhoea, ataxia, piloerection, urination, miosis,
    labored breathing, bloody tears, exophthalmia, cyanosis, tremors,
    convulsions, and death.

         Carbosulfan (0.1 ml) was instilled into the everted eyelid of
    nine rabbits (Mehta, 1981). Three of the nine eyes were washed with
    water 30 seconds after instillation. All animals had slightly
    constricted pupils at one hour. Moderate conjunctivitis was observed
    after one hour while only mild conjunctivitis was observed after 24
    hours. All eyes appeared normal within 72 hours which indicated that
    Carbosulfan is minimally irritating to the eye.

         A primary dermal irritation study was conducted with undiluted
    Carbosulfan (Mehta, 1982). Slight erythema and oedema were observed
    within 24 hours after the application of 0.5 ml Carbosulfan to two
    intact and two abraded skin sites on each of six rabbits. Oedema
    subsided within four days and all sites returned to normal within six
    days. One rabbit died, which is considered to be compound-related. The
    primary irritation index was 1.36, classifying Carbosulfan as slightly
    irritating to the skin.

         The potential for Carbosulfan to cause dermal sensitization was
    assessed using a patch technique, similar to the Buehler and Open
    epicutaneous tests. A group of ten guinea-pigs was administered 0.5 ml
    of Carbosulfan as a 0.1 percent (w/v) corn oil suspension. A
    concurrent positive control group received 0.5 ml of a 0.05 percent
    (w/v) solution of 2,4-dinitrochlorobenzene in ethanol. Carbosulfan was
    determined to be a dermal sensitizer when slight to moderate
    irritation was observed after the challenge application. (Cannelongo,
    1981a).

    Short-term Studies

    Rat

         Groups of Charles River CD Rats (25 males and 25 females per
    group) were administered Carbosulfan (technical grade) in the diet at
    dose levels of 0, 10, 20 and 500 ppm for 90 days. All animals were
    observed for overt toxicity and behavioral changes twice daily while
    body weight and food consumption were recorded weekly. An
    ophthalmologic examination was conducted in all animals prior to
    treatment and during the last week of the study. Haematologic,
    clinical chemistry and urinalysis determinations were performed on ten
    rats/sex/group prior to study initiation and after 30 and 90 days of
    study. Erythrocyte and plasma cholinesterase activities were
    determined between 8 and 10 a.m. and at the same intervals designated
    for the other blood parameters; brain cholinesterase activity was
    determined after 90 days. Detailed gross and histopathological
    examinations were performed on all animals at the termination of the
    study, and selected organs weighed.

        TABLE 2.  A Summary of the Acute Toxicity of Carbosulfan Technical

                                                                                              

                                                       LD50
    Species        Sex       Route     Vehicle         (mg/kg)      Reference
                                                                                              

    Rat            Ma        Oral      Undiluted       250          Cannelongo, 1979a
                   Fa        Oral      Undiluted       185          Cannelongo, 1979a
                   M&F       Oral      Undiluted       209          Cannelongo, 1979a

                   Ma        Oral      Corn oil1       182          Cannelongo, 1979b
                   Fa        Oral      Corn oil1       90.5         Cannelongo, 1979b
                   M&F       Oral      Corn oil1       138          Cannelongo, 1979b

                   Mb        IP        Undiluted       397          Cannelongo, 1979c
                   Fb        IP        Undiluted       458          Cannelongo, 1979c
                   M&F       IP        Undiluted       422          Cannelongo, 1979c

                   Ma        Inhal.    Undiluted       1.53*        Cavender & Casorso, 1979
                   Fa        Inhal.    Undiluted       0.61*        Cavender & Casorso, 1979

    Mouse          Ma        Oral      Corn Oil2       32.7         Cannelongo, 1979d
                   Fa        Oral      Corn Oil2       81.5         Cannelongo, 1979d
                   M&F       Oral      Corn Oil2       46.1         Cannelongo, 1979d

                   Ma        Oral      Corn Oil1       124          Cannelongo, 1979e
                   Fa        Oral      Corn Oil1       123          Cannelongo, 1979e
                   M&F       Oral      Corn Oil1       124          Cannelongo, 1979e

    Rabbit         Mb        Oral      Undiluted       42.0         Cannelongo, 1979f
                   Fb        Oral      Undiluted       45.8         Cannelongo, 1979f
                   M&F       Oral      Undiluted       43.9         Cannelongo, 1979f

                   Ma        Oral      Corn Oil1       36.7         Cannelongo, 1979g
                   Fa        Oral      Corn Oil1       52.7         Cannelongo, 1979g
                   M&F       Oral      Corn oil1       42.7         Cannelongo, 1979g

                   Mb        Dermal    Undiluted       >2000        Sabol, 1979
                   Fb        Dermal    Undiluted       >2000        Sabol, 1979
                   M&F       Dermal    Undiluted       >2000        Sabol, 1979
                                                                                              

    1  Administered at a constant volume
    2  Administered at a constant concentration
    * Units in mg/l of air; time-weighted average (analytical).
    a. 10M and 10F per dose
    b. 5M and 5F per dose
    
         There were no demonstrated effects on body weight, food
    consumption, general appearance, mortality, urinalysis or
    ophthalmologic examination. Haematology evaluations were essentially
    normal except for increased leucocyte counts for treated males at 90
    days and increased reticulocyte count for treated females at 90 days.
    Clinical chemistry determinations were within normal biological
    variation, except for cholinesterase. Treatment-related reductions in
    plasma, erythrocyte and brain cholinesterase activity values were
    observed among animals receiving the 500 ppm diet; animals receiving
    the 10 or 20 ppm diets were not apparently affected. Gross and
    histopathological examinations demonstrated no compound-related
    effects. Relative kidney and brain weight increases were evident in
    high dose males, as well as increased ovarian weights for mid- and
    high-dose females. These organ weight changes were not explained by
    clinical chemistry or pathological data and, therefore, not considered
    compound-related. The NOEL was 20 ppm, based on plasma, RBC, and brain
    cholinesterase depression at 500 ppm (Marshall, et al., 1979).

    Dog

         Groups of 6-month-old beagle dogs (six males and six females per
    group) were administered Carbosulfan in the diet for 26 weeks at
    dosage levels of 0, 50, 500, and 1000 ppm. A pre-selected high-dose
    level of 2000 ppm was reduced to 1000 ppm when one female died during
    the first week of treatment. Animals were observed daily for mortality
    and signs of toxicity. Body weight and food consumption data were
    determined weekly. Each animal was subjected to an ophthalmoscopic
    examination prior to initiation and termination. Haematologic and
    clinical chemistry parameters were evaluated monthly while urinalyses
    were performed at 2, 4 and 6 months. Plasma and erythrocyte
    cholinesterase values determined between 8 and 10 a.m. were measured
    at 1, 3 and 6 months while brain cholinesterase values were determined
    at termination. Animals were allowed free access to treated diet at
    all times. At the conclusion of the study all animals were killed,
    selected organs weighed and complete gross and histopathological
    examinations performed.

         There was no mortality associated with doses up to and including
    1000 ppm. Diarrhoea/soft stools and emesis were routinely observed in
    all groups. Food consumption for 1000 ppm females was decreased
    throughout the study, which was reflected in depressed body weight
    gain for this group. The 500 ppm females showed occasional decreases
    for both food consumption and body weight gain. Food consumption for
    males was also only occasionally depressed at the high dose, with
    slightly decreased body weight gains for both 500 and 1000 ppm groups,
    beginning at weeks 13/14.

         Initially, beginning at month 2, females in all treated groups
    demonstrated significant decrease in erythrocyte count, haemoglobin
    and haematocrit. These effects recovered to normal at month 4. MCHC,
    MCH and MCV were comparable to control females throughout. Males in
    the 500 and 1000 ppm groups demonstrated the same dose-related effects

    at month 4, which continued to termination of the study. MCHC values
    were also significantly decreased in mid- and high-dose males at
    termination.

         Male and female dogs in the mid- and high-dose groups
    demonstrated decreased albumin, total protein, globulin, and increased
    cholesterol levels in comparison to controls. Effects were more
    noticeable in the high-dose group, except for cholesterol, which was
    uniformly increased in all treated male dogs throughout the study.

         Significant depression of plasma cholinesterase was evident in
    500 ppm females and males at 3 months only, while 1000 ppm males and
    females demonstrated depression at 1, 3 and 6 months. Erythrocyte
    cholinesterase was significantly depressed in 1000 ppm animals at 1
    month only, although at 3 and 6 months levels were less than control.
    Brain cholinesterase was significantly depressed in 1000 ppm females
    only, although 1000 ppm males also showed less than controls.

         Urinalysis and ophthalmoscopic examinations were unremarkable.

         Absolute spleen weights for male and female dogs in the high-dose
    group were significantly decreased, as were the relative spleen
    weights for 500 and 1000 ppm males. Other organ weights were not
    significantly different from controls. Gross necropsy and
    histopathological examinations were unremarkable and did not
    demonstrate any compound-related effects. A NOEL was demonstrated at
    50 ppm (Nye, 1981).

    Long-term Studies (See Also Special Studies on Carcinogenicity)

    Rat

         Groups of Charles River CD Rats (90 males and 90 females/group)
    were administered Carbosulfan (94.5 - 95.6% purity) in the diet for
    104 weeks at dosage levels of 0, 10, 20, 500 and 2500 ppm. Carbofuran
    was present in the technical material at concentrations of 0.6 to 2.4
    percent. Growth was observed by body weight changes and food
    consumption data which were recorded weekly for the first 14 weeks and
    bi-weekly thereafter. Daily observations were made with respect to
    behavioural changes and mortality. At periodic intervals throughout
    the study, haematologic, biochemical and cholinesterase analyses were
    performed on unfasted animals. Urinalysis was conducted on fasted
    animals. Eyes were examined at 12, 18 and 24 months. At 6, 12 and 18
    months of the study, ten males and ten females per group were
    sacrificed and necropsied. At the conclusion of the study all
    surviving animals were sacrificed and gross pathological and
    microscopic examinations of tissues and organs were made. Selected
    organs were weighed.

         Tremors, labored breathing and eye-related changes were more
    frequently observed in animals receiving the 500 and 2500 ppm diets.
    Mean body weight and food consumption values in the 500 and 2500 ppm
    groups were significantly lower than control values throughout the
    study, except for female food consumption, which was comparable to
    controls. This is reflected in the actual test material consumption
    which was determined to be 0, 0.5, 1.0, 26.8 and 152.8 mg/kg b.w. for
    males and 0, 0.6, 1.2, 34.7 and 213.3 mg/kg b.w. for females in the
    control, 10, 20, 500 and 2500 ppm groups, respectively. Survival was
    not apparently affected by treatment.

         Haematology measurements at 6, 12, 18 and 24 months demonstrated
    a compound-related effect at 18 months in the 2500 ppm males and
    females for significantly increased leucocyte count (primarily
    segmented neutrophils), and platelet count, slightly increased
    reticulocyte count and significantly decreased lymphocyte count.
    Haemoglobin, haematocrit, MCV and MCH were all decreased, although not
    significantly, in high-dose males compared to controls at 24 months.
    Urinalysis determinations in high-dose males and females demonstrated
    an increase in ketone levels over controls at month 18. At terminal
    sacrifice there was an increase in mid- and high-dose animals of
    mononuclear leucocyte infiltrates in the kidney and an increase of
    pigmentation (haemosiderin) in the mediastinal lymph nodes of treated
    females. All of these data are indicative of leucocytosis and toxic
    neutrophilia. During early phases of neutrophilia there is a tendency
    toward acidosis, which was demonstrated by the presence of ketone
    bodies in the urine. The elevated platelet count is also a reflection
    of hyperactivity of the bone marrow. Histopathology of bone marrow,
    spleen and liver were otherwise unremarkable, however.

         Biochemical analyses were generally comparable to controls,
    except in high-dose males and females, where decreased albumin, total
    protein and globulin were reported. Cholinesterase determinations in
    males and females demonstrated significant depression of plasma,
    erythrocyte and brain cholinesterases at doses of 500 and 2500 ppm.

         Significantly increased relative brain, heart, liver and kidney
    weights in mid- and high-dose males and females were attributed to
    lower body weights. Absolute spleen, adrenal and thyroid weights were
    uniformly depressed in 500 and 2500 ppm dose groups but were not
    different from control on an organ-to-body weight basis. Gross and
    histopathologic examinations of all tissues, except the eye, revealed
    no compound-related effects on the incidence or type of neoplastic or
    non-neoplastic changes.

         Carbosulfan produced compound-related effects on the eye
    described pathologically as focal iris atrophy, iris coloboma and
    absence of iris tissues in the 500 and 2500 ppm males and females, as
    well as degenerative retinopathy in 2500 ppm females. The atrophy of
    the iris was attributed, in part, to an extensive anticholinesterase
    effect. There were no treatment-related effects on the eye at 10 or
    20 ppm. A NOEL was demonstrated at 20 ppm based on pathology of the

    eye and cholinesterase inhibition. Carbosulfan was not carcinogenic to
    rats at dietary doses up to and including 2500 ppm (DeProspo, Norvell
    & Fletcher, 1982a).

    Comments

         Carbosulfan is an anticholinesterase methylcarbamate currently in
    use as a soil and foliar insecticide.

         Absorption, distribution and excretion data in rats demonstrate
    the preferential excretion of Carbosulfan, conjugated metabolites and
    Carbofuran in the urine, with the majority (>90%) of the dose
    recovered within the first 24 hours. Rapid absorption occurs within
    the first 30 minutes after oral administration, reaching peak
    concentrations in liver, G.I. tract, blood and skin at 6 hours.
    Carbosulfan is metabolized by two primary pathways: (1) oxidation of
    the sulphur to yield Carbosulfan sulphone and sulphamide, and (2)
    N-S bond cleavage to yield Carbofuran.

         Carbosulfan was demonstrated to be moderately toxic acutely when
    administered to a variety of test animals via various routes of
    exposure. It did not induce delayed neurotoxicity in atropinized adult
    Leghorn hens at 500 mg/kg b.w.

         Carbosulfan demonstrated adverse effects on pup weight, litter
    size and pup survival at 250 ppm in rats. No other adverse effects
    were apparent and a NOEL was demonstrated at 20 ppm. Similarly, in a
    teratogenic study in rats, Carbosulfan was not teratogenic at doses up
    to and including 20 mg/kg/day.

         Carbosulfan, when administered in the diet to rats and dogs for
    90 days and 6 months respectively, demonstrated dose-related effects
    on cholinesterases. The NOEL for rats was 20 ppm, based on depression
    of plasma, erythrocyte and brain cholinesterase activity. In dogs, the
    NOEL for these enzymes was 50 ppm.

         Available mutagenicity studies in vitro and in vivo were
    negative.

         In a long-term feeding study in rats, Carbosulfan at 500 and
    2500 ppm in the diet produced compound-related effects on the eye,
    which included focal iris atrophy and degenerative retinopathy. There
    was also evidence of leucocytosis and toxic neutrophilia at 2500 ppm.
    Plasma, erythrocyte and brain cholinesterases were inhibited at both
    doses. There was no evidence of oncogenicity at either dose. The NOEL
    for the study was 20 ppm.

         Mice, exposed to dietary doses of 10, 20, 500 and 2500 ppm for
    two years demonstrated inhibition of erythrocyte, plasma and brain
    cholinesterases at >500 ppm, but no evidence of oncogenicity at any
    dose. There was evidence of a cataractogenic effect at >20 ppm but

    the ophthalmological interpretations require further clarification.
    The NOEL was 10 ppm, based on compound-related body weight depression
    in males at >20 ppm.

         On the basis of all available data, no-effect levels in certain
    mammalian species have been determined, but because additional data
    are needed to clarify the cataractogenic response in the two-year
    mouse feeding study, a temporary ADI was allocated.

    Level causing no toxicological effect

    Mouse:    10 ppm in the diet, equal to 1.3 mg/kg b.w.

    Rat:      20 ppm in the diet, equal to 1.0 mg/kg b.w.

    Dog:      50 ppm in the diet, equal to 1.25 mg/kg b.w.

    Estimate of temporary acceptable daily intake for humans:

         0 - 0.005 mg/kg b.w.

    FURTHER WORK OR INFORMATION

    Required (by 1986):

    Additional information to clarify the different pathological
    interpretations of the ophthalmological data in the two-year mouse
    study and to demonstrate the NOEL for the cataract effects.

    Desirable:

    Metabolic studies in non-rodent species.

    Observations in humans, particularly concerning effects on the eye.

    REFERENCES

    Cannelongo, B.F. Acute oral toxicity of FMC 35001 technical in rats.
    1979a     FMC Report No. ACT 281.01. Stillmeadow, Inc. Submitted by
              FMC Corp. to WHO.

    Cannelongo, B.F. Acute oral toxicity of FMC 35001 technical in rats.
    1979b     FMC Report No. ACT 281.01A. Stillmeadow, Inc. Submitted by
              FMC Corp. to WHO.

    Cannelongo, B.F. Acute intraperitoneal toxicity study of FMC 35001
    1979c     technical in rats. FMC Report No. ACT 281.05. Stillmeadow,
              Inc. Submitted by FMC Corp. to WHO.

    Cannelongo, B.F. Acute oral toxicity study of FMC 35001 technical in
    1979d     mice. FMC Report No. ACT 281.02. Stillmeadow, Inc. Submitted
              by FMC Corp. to WHO.

    Cannelongo, B.F. Acute oral toxicity study of FMC 35001 technical in
    1979e     mice. FMC Report No. ACT 281.02A. Stillmeadow, Inc.
              Submitted by FMC Corp. to WHO.

    Cannelongo, B.F. Acute oral toxicity study of FMC 35001 technical in
    1979f     rabbits. FMC Report No. ACT 281.02. Stillmeadow, Inc.
              Submitted by FMC Corp. to WHO.

    Cannelongo, B.F. Acute oral toxicity study of FMC 35001 technical in
    1979g     rabbits. FMC Report No. ACT 281.02A. Stillmeadow, Inc.
              Submitted by FMC Corp. to WHO.

    Cannelongo, B.F. Dermal sensitization study of FMC 35001 technical in
    1981      guinea-pigs. FMC Report No. A79-327. Stillmeadow, Inc.
              Submitted by FMC Corp. to WHO.

    Cavender, F. & Casorso, D.R. Acute inhalation toxicity study of FMC
    1979      35001 technical in rats. FMC Report No. ACT 291.04.
              ToxiGenics, Inc. Submitted by FMC Corp. to WHO.

    DeProspo, J.R., Norvell, M.J. & Fletcher, M.J. Twenty-four month
    1982a     dietary toxicity/oncogenicity study in rats with FMC 35001.
              FMC Report No. A79-333. FMC Corporate Toxicology Department.
              Submitted by FMC Corp. to WHO.

    DeProspo, J.R., Norvell, M.J. & Fletcher, M.J. Twenty-four month
    1982b     dietary toxicity/oncogenicity study in mice with FMC 35001.
              FMC Report No. A79-334. FMC Corporate Toxicology Department.
              Submitted by FMC Corp. to WHO.

    Gephart, L., Becci, P.J. & Parent, R.A. delayed neurotoxicity
    1979      evaluation of FMC 35001 in adult leghorn hens. FMC Report
              No.: A79-335. Food and Drug Research Laboratories, Inc.
              Submitted by FMC Corp. to WHO.

    Haworth, S., Lawlor, T.E., Smith, J.K., Williams, N.A., Burke, P.J.,
    1980      Simmons, R.T. & Reichard, G.L., Salmonella/mammalian-
              microsome plate incorporation mutagenesis assay: FMC 35001.
              FMC Report No.: A79-396. EG&G Mason Research Institute.
              Submitted by FMC Corp. to WHO.

    Haworth, S., Lawlor, T.E., Smith, J.K., Williams, N.A., Burke, P.J.,
    1981      Simmons, R.T. Hans, L.J. & Reichard, G.L., DNA damage/repair
              suspension assay: FMC 35001. FMC Report No.: A80-397. EG&G
              Mason Research Institute. Submitted by FMC Corp. to WHO.

    Janes, J.M., D.E., & Blair, M. Teratology study in rats: FMC 35001
    1980a     technical. FMC Report No.: ACT 265.33. International
              Research and Development Corp. Submitted by FMC Corp. to
              WHO.

    Janes, J.M., Rodwell, D.E. & Blair, M. Teratology study in rabbits:
    1980b     FMC 35001 technical. FMC Report No.: ACT 265.33.
              International Research and Development Corp. Submitted by
              FMC Corp. to WHO.

    Kehoe, D.F. & MacKenzie, K.M. Three-generation rat reproduction study
    1982      with two litters in each generation: FMC 35001. FMC Report
              No.: A80-401. Hazleton Raltech, Inc. Submitted by FMC Corp.
              to WHO.

    Kirby, P.E., Pizzarello, R.F., Brauninger, R.M. Vega, R.A., Cohen, A.,
    1981      Reichard, G.L., Williams, P.E., Wattam, R.E., Johnson, J.L.
              & Clarke, J.J. Evaluation of test article FMC 35001 (MRI#
              556) for mutagenic potential employing the L51 78Y TK+/-
              mutagenesis assay. FMC Report No.: A80-426. EG&G Mason
              Research Institute.  Submitted by FMC Corp. to WHO.

    Kirkhart, B., Jones, D.C.L. & Skinner, W.A. Micronucleus test on FMC
    1979      35001. FMC Report No.: A79-366. S.R.I. International. 
              Submitted by FMC Corp. to WHO.

    Liss, R.H., Chadwick, M. Schepis, J.P. & Hayes, D. Whole-body
    1981      radioautography and physiologic disposition studies on
              differentially-labelled FMC 35001. Contract No.: 85600.
              Arthur D. Little, Inc. Submitted by FMC Corp. to WHO.

    Marsden, P.J., Kuwano., E. & Fukuto, T.R., Metabolism and toxicity of
    1982      [2,3-Dihydro-2,2-dimenthylbenzofuran-7-yl (di-n-
              butylaminothio)-methylcarbamate] in the rat and house fly.
              Pestic. Biochem. Physiol. 18:38.

    Marshall, P., Jefferson, N.D., Blair, M. & Goldenthal, E.I. 90-day
    1979      subchronic study in rats. FMC Report No.: ACT 258.34.
              International Research and Development Corp. Submitted by
              FMC Corp. to WHO.

    Mehta, C.S. Eye irritation study of FMC 35001 technical in rabbits.
    1981      FMC Report No. A79-325. Stillmeadow, Inc. Submitted by FMC
              Corp. to WHO.

    Mehta, C.S. Dermal irritation study of FMC 35001 technical in rabbits.
    1982      FMC Report No. A80-447. Stillmeadow, Inc. Submitted by FMC
              Corp. to WHO.

    Nye, D.E. Six-month dietary toxicity study in dogs - FMC 35001. FMC
    1981      Report No.: ACT 271.36. FMC Corporate Toxicology Department.
              Submitted by FMC Corp. to WHO.

    Preache, M.M., Shefner, A.M. & Reed, J.M. Dominant lethal assay of FMC
    1981      35001 in mice. FMC Report No. A80-424. IIT Research
              Institute. Submitted by FMC Corp. to WHO.

    Putnam, D.L. & Schechtman, L.M. Activity of T1638 (FMC 35001) in the
    1981      in vivo cytogenetics assay in rodents. FMC Report No.:
              A80-425. Microbiological Associates. Submitted by FMC Corp.
              to WHO.

    Sabol, R.J. Acute dermal toxicity of FMC 35001 technical in rabbits.
    1979      FMC Report No. ACT 281.03. Stillmeadow, Inc. Submitted by
              FMC Corp. to WHO.

    Umetsu, N. & Fukuto, R.T. Alteration of Carbosulfan [2,3-Dihydro-2,2-
    1982      dimethyl-7-benzofuranyl (Di-n-butylaminosulfenyl)
              methylcarbamate] in the rat stomach. J. Agric. Food Chem.
              30:555.

    Wu, J. Metabolism of ring-14C Carbosulfan in rats. FMC Report No.:
    1982a     M-4833. FMC Agricultural Chemical Group. Submitted by FMC
              Corp. to WHO.

    Wu, J. Metabolism of DBA-14C Carbosulfan in rats. FMC Report No.:
    1982b     MA-4864. FMC Agricultural Chemical Group. Submitted by FMC
              Corp. to WHO.


    See Also:
       Toxicological Abbreviations
       Carbosulfan (JMPR Evaluations 2003 Part II Toxicological)
       Carbosulfan (Pesticide residues in food: 1984 evaluations)
       Carbosulfan (Pesticide residues in food: 1986 evaluations Part II Toxicology)