IPCS INCHEM Home


    PESTICIDE RESIDUES IN FOOD - 1981


    Sponsored jointly by FAO and WHO






    EVALUATIONS 1981







    Food and Agriculture Organization of the United Nations
    Rome

    FAO PLANT PRODUCTION AND PROTECTION PAPER 42

    pesticide residues in food:
    1981 evaluations

     the monographs

    data and recommendations
    of the joint meeting
    of the
    FAO panel of experts on pesticide residues
    in food and the environment
    and the
    WHO expert group on pesticide residues

    Geneva, 23 November-2 December 1981

    FOOD AND AGRICULTURE ORGANIZATION OF THE UNITED NATIONS
    Rome 1982

    DIFLUBENZURON

    IDENTITY

    Chemical name

         1-(4-chlorophenyl)-3-(2,6-difluorobenzoyl)-urea (IUPAC)

         N-[(4-chlorophenyl)aminocarbonyl]-2,6 difluorobenzamide
         (Chem.abstr. Index)

    Synonyms

         DIMILIN (R), DU 112307, PH 60-40, TH 6040,
         ENT-29054, OMS 1804

    Structural formula

    CHEMICAL STRUCTURE 1

    Other information on identity and properties (Keuker 1975)

    Molecular weight              310.7

    State                         white, crystalline solid

    Melting point                 (pure compound) 230-232°C

    Specific gravity              1.56

    Volatility                    virtually non-volatile

    Stability:

    - Heat stability              after 1 week storage at 50°C, or after
                                  1 day at 100°, no detectable
                                  decomposition.

    - Stability in water          after 3 weeks at pH 5-4% decomposition;
      (0.1 mg/l solution)         after 3 weeks at pH 7-8% decomposition;
                                  and after 3 weeks at pH 9-26%
                                  decomposition.

    Solubility (g/l at 20°C)

    - N-methylpyrolidone          200

    - DMSO                        120

    - DMF                         120

    - Dioxane                     24

    - Acetone                     6.5

    - Acetonitrile                2

    - Methanol                    0.9

    - Dichloromethane             0.6

    - Water                       0.0002

    Partition coefficients

    - Dichloromethane/water       > 50

    - n-Octanol/
      water-approximately         5000

    Purity of technical product

         Diflubenzuron technical contains > 95% pure compound.

    Formulations

         The main formulation of diflubenzuron is DIMILIN WP-25, a
    wettable powder containing 25% of the active ingredient. This is the
    formulation that is recommended for use on food crops. The particle
    size of the diflubenzuron is defined as 80% smaller than 5 µm. This
    formulation has an excellent storage stability; storage for 2 years at
    room temperature or 1 year at 54°C did not affect its properties (Popp
    1977).

         DIMILIN ODC-45 is an oil-dispersible concentrate, containing
    450 g diflubenzuron per litre. After dilution with a suitable organic
    solvent, this formulation can be applied at ULV rates.

         DIMILIN granular formulations are available for the control of
    mosquitoes and flies.

    DATA FOR ESTIMATION OF ACCEPTABLE DAILY INTAKE

    BIOCHEMICAL ASPECTS

    Absorption, distribution, biotransformation and excretion

         The intestinal absorption of diflubenzuron in mammals decreases
    with increasing dose level. Radio-labelled diflubenzuron, with the
    14C label uniformly distributed in the anilino moiety, was
    administered by gavage to rats in a single dose of 4, 16, 48, 128 or
    1 000 mg/kg bw. Urine was collected in 24 h portions up to 120 h or
    144 h. The cumulative excretion in urine as percentage of the dose
    decreased from 28% at the 4 mg/kg dose level to only 1% at the
    1 000 mg/kg dose level, while total recoveries remained constant
    (90%). In rats with cannulated bile ducts, the sum of the excretion in
    urine and bile decreased from 42% of the dose at the dose level of
    4 mg/kg to about 4% at the dose level of 900 mg/kg (De Lange  et al. 
    1977; Willems  et al. 1980).

         In mice given a single oral dose of 12.5, 63.5, 202.5 or
    925 mg/kg bw, the excretion was almost completed within 48 h. The
    cumulative percentage of the dose excreted in the urine decreased from
    15% at the dose level of 12.5 mg/kg to approximately 2% at the
    925 mg/kg dose level, showing that the relationship between urinary
    excretion and dose level in mice is similar to that in rats (De Lange
    and Post 1978).

         Sheep treated with 500 mg/kg of 14C-diflubenzuron as a single
    oral dose eliminated approximately 7% and 5% of the dose in urine and
    bile, respectively, during a 4-day post-treatment period. Sheep
    receiving a single oral dose of 10 mg/kg eliminated approximately 24%
    and 36% of the dose in urine and bile during the same period.

         After oral treatment of a lactating cow with radio-labelled
    14C-diflubenzuron (10 mg/kg bw) the elimination of radioactivity was
    85% in faeces and 16% in urine during a 4-day post-treatment period.
    Only about 0.2% of the radio label was secreted into the milk. Maximum
    milk residues of 0.8 mg/kg diflubenzuron equivalents were observed in
    milk samples collected 24 h after dosing, but radioactivity in milk
    had dropped to <0.1 mg/kg by 3 days (Ivie 1978). When applied
    dermally, diflubenzuron was not degraded or absorbed through the skin
    to any detectable degree in cattle (Ivie 1978), whereas in rabbits
    only 0.2% of the dose could be recovered in urine (De Lange 1979).

         A pig treated orally with 14C-diflubenzuron (5 mg/kg bw)
    excreted 82% of the radioactivity in faeces and 5% in urine in 11 days
    (Opdycke 1976).

         Chickens receiving a single oral dose of 5 mg/kg of radiolabelled
    14C-diflubenzuron excreted the radioactivity in a similar way (91% in
    White Leghorn excreta and 82% for Buff Cross chickens after 13 days)
    (Opdycke 1976).

         Radio-labelled diflubenzuron (14C and 3H) was orally
    administered to cats (7 mg/kg bw) on day 10 of a 15-day dosing regimen
    of non-radioactive diflubenzuron. Within 72 h after administration, 9%
    of the oral dose was excreted in the urine and 77% of the 14C and 71%
    of the 3H doses in faeces (Hawkins  et al 1980).

         In rats, at 72 h after administration of a single oral dose of
    5 mg/kg of double-labelled (14C in the anilino moiety and 3H in the
    benzoyl moiety) diflubenzuron, 1.3% of the 14C and 3.5% of the 3H
    label was retained in the carcasses (De Lange  et al 1975). In
    expired air of rats that had received radio-labelled diflubenzuron
    (14C in the carbonyl group of the benzoyl moiety) 1% of radioactivity
    was found (De Lange  et al 1975).

         Body tissues showed little tendency toward retention of
    diflubenzuron. At 4 or 7 days post-treatment appreciable residues
    could be detected only in the liver of cow and sheep (Ivie 1978). Low
    residues were found also in tissues of pig and chicken. A small
    portion of the radioactivity was secreted into eggs of chickens. The
    maximum residue level was 0.248 mg/kg 3 days after a single oral dose
    of 5 mg/kg bw 14C-diflubenzuron (Opdycke 1976).

         The distribution of radioactivity resulting after oral
    administration of radio-labelled diflubenzuron (14C in both phenyl
    moieties) was studied in cows receiving daily doses in gelatin
    capsules over a 28-day period. The daily dose levels equalled 0.05,
    0.5, 5.0 and 250 mg/kg feed. No residues in milk were detected at the
    two low dose levels. At the 5.0 mg/kg dose level, an average of
    0.009 mg/kg of diflubenzuron equivalents was found in the milk: a
    plateau was reached between day 4 and day 7 of exposure. After 4 days
    of withdrawal, levels were undetectable (<0.0016 mg/kg). At the
    250 mg/kg dose level, a plateau was reached in milk by day 2 at a
    residue level of 0.20 mg/kg of diflubenzuron equivalents. Total 14C
    tissue analyses showed that at dose levels of 0.05, 0.5 and 5 mg/kg
    feed only the liver contained detectable, dose-related residues. For
    the lowest dose level the radioactivity was just above the limit of
    detection. This limit of detection increased with increasing dose
    levels in relation to the specific activity of the dosed material.
    Withdrawal for 7 days did not result in a substantial decrease in
    activity in the liver. At the 250 mg/kg feed, only tested for 7 days
    of treatment, residues were found in the kidney and in the liver
    (Smith and Merricks 1976a).

         In a similar experiment, laying hens were administered daily
    dosages equalling 0.05, 0.5 and 5 mg/kg feed of 14C-diflubenzuron for
    28 days. A plateau level was reached before day 10 of treatment in
    fat, kidney, liver, muscle and eggs. However, the radioactivity in
    tissues showed large day-to-day variations. There was a linear
    relationship between dose level and plateau level for the kidney,
    liver and fat, whereas an exponential relationship was obtained for
    eggs. At day 7 of withdrawal, levels in all tissues and eggs were
    below the limit of detection (Smith and Merricks 1976b).

         Two dairy cows were fed diflubenzuron at rates of 0.25 mg/kg
    bw/day or 1.0 mg/kg/day for four months. A third cow received rates
    that were increased from 1 via 8 to 16 mg/kg/day, the highest rate
    being maintained for three months. In the tissues examined of the
    third cow, fat and liver showed residues of 0.2 mg/kg and 0.13 mg/kg
    respectively. In the milk of this cow, a residue level of 0.02 mg/kg
    could be established at a dose rate of 16 mg/kg (Miller  et al 
    1976a).

         The eggs of White Leghorn and Black Sexlinked Cross hens, kept on
    a ration containing 10 mg/kg of diflubenzuron, contained plateau
    residues of 0.5 to 0.6 or 0.3 to 0.4 mg/kg respectively, from day 9 of
    a treatment period of 9 weeks (Miller  et al. 1976b).

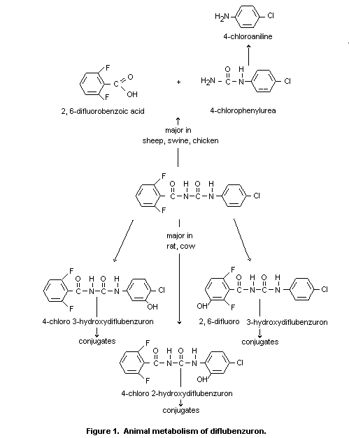
         The metabolic fate of diflubenzuron has been studied in various
    species. It appears that diflubenzuron is not degraded to any
    significant degree within the digestive tract of mammals, as the radio
    label eliminated in the faeces of bileduct-cannulated sheep receiving
    an oral dose of 14C-diflubenzuron consisted only of the unmetabolized
    compound (Ivie 1978). Furthermore, diflubenzuron did not degrade to
    any extent when incubated  in vitro with digestive tract fluids of
    sheep and cattle (Ivie 1978). On the other hand, it was found that no
    unchanged diflubenzuron could be detected in urine and bile of orally
    dosed rats, sheep, or cattle (Willems  et al 1980; Ivie 1978).

         In rats and cows, the major metabolic pathway involved
    hydroxylation of the phenyl moieties of the intact compound. About 80%
    of the metabolites in rat urine were identified as 2,6-difluoro-
    3-hydroxybenzuron, 4-chloro-2-hydroxy- and 4-chloro-3-
    hydroxydiflubenzuron. About 20% underwent scission of the ureido
    bridge. The major part was excreted as 2,6-difluorobenzoic acid;
    4-chlorophenylurea was not detected in bile or urine in a significant
    quantity (Willems  et al 1980; De Lange  et al 1975).

         The major metabolite in cow urine was 2,6-difluoro
    3-hydroxydiflubenzuron (45%); in addition, relatively small quantities
    of 4-chloro-2-hydroxy-(1.6%) and 4-chloro-3-hydroxy-difluorobenzuron
    (3.7%) and the scission products 4-chlorophenylurea (0.6%),

    2,6-difluorobenzoic acid (6.0%) and 2,6-difluorohippuric acid (6.9%)
    were present (Ivie 1978). In contrast to these observations, the
    latter two compounds are the major metabolites (approximately 50%) in
    sheep urine (Ivie 1978).

         In pigs, all of the 14C-diflubenzuron residues extracted from
    faeces co-chromatographed with diflubenzuron. In urine, only small
    quantities of the cleavage products 2,6-difluoro-benzoic acid,
    4-chlorophenylurea and 4-chloroaniline were detected. These data
    indicate little metabolism of the compound in swine (Opdycke 1976).

         In chickens also, little degradation was observed while the
    same metabolic pathway was found (Opdycke 1976). In a detailed
    investigation, carried out to find an explanation for the occurrence
    of methaemoglobinaemia in diflubenzuron-treated rats, 4-chloroaniline
    and compounds reducible to 4-chloroaniline, probably consisting of
    N-oxidation products of the aniline, were detected in red blood cells
    (De Bree  et al 1977).

         Metabolism of diflubenzuron in animals is shown in Figure 1.

    Effects on enzymes

         The activity of the mammalian hexosamine transferases,
    responsible for connective tissue glycosaminoglycan formation, was
    monitored in adult female mice fed 50, 200, 400, 1 000 and 2 000 mg
    diflubenzuron/kg. In these animals the rate of incorporation of
    14C-glucose into hyaluronic acid and chondroitin sulphate of skin was
    studied. No inhibition was noted. Sulphaemoglobin was demonstrated in
    the blood of mice from 200 mg/kg onwards. Recovery was completed after
    a 3-week withdrawal period (Bentley  et al. 1979).

         In another study with rat C-6 astrocytoma cell cultures, 100 nM
    (31 ppm) diflubenzuron in the medium did not affect cell morphology or
    the rate of cell division. Diflubenzuron did not inhibit the total
    production of glycosaminoglycans (Stoolmiller 1978).

         Hubbard broiler chickens were fed 0, 2.5 or 250 mg
    diflubenzuron/kg feed during 98 days. There was no effect of
    diflubenzuron on the incorporation of amino sugar moieties into
    mucopolysaccharides of the skin of the animals (Deul and de Jong
    1977). The incorporation of 0, 2.5, 25 and 250 mg diflubenzuron/kg in
    the diet of male and female 28-day old chickens, for 98 days, did not
    affect the hyaluronic acid concentration in the combs (Crookshank
     et al. 1978).

    FIGURE 1

    TOXICOLOGICAL STUDIES

    Acute toxicity

         In none of the acute studies on diflubenzuron was any overt sign
    of toxicity observed. In the dermal toxicity study with rats, no
    effect on the met- and sulph-haemoglobin values was detected. Results
    of acute toxicity studies in rat, mouse and rabbit are summarized in
    Table 1.

         Loss of activity, catatony, paralysis and severe bradypnoea, were
    observed in rats treated with the metabolite 4-chlorophenylurea. At
    autopsy, the animals showed congested blood vessels and haemorrhagic
    intestines. The rats dosed with 2,6-difluorobenzoic acid showed
    symptoms indicative for slight C.N.S. excitation and increased muscle
    tone. Results of studies with diflubenzuron metabolites are summarized
    in Table 2.

    Short-term studies

    Mouse

         Three groups of 8 male CFLP mice were fed dietary levels of
    diflubenzuron for 6 weeks at levels of 0, 16 and 50 mg/kg feed. There
    was no clear effect of the treatment on food consumption, body
    weight, blood chemistry and macroscopic pathology. The weight of the
    spleen was decreased in the highest dose group. In some animals
    receiving 50 mg/kg feed, foci of liver cell necrosis with or without
    inflammatory cell infiltration were noted. The other organs were not
    microscopically examined (Hunter  et al 1974).

         Male and female mice (40/sex/group) received diflubenzuron in the
    diet at a dosage level of 16, 50, 400, 2 000, 10 000 or 50 000 mg/kg
    feed during 13 weeks. An additional group of one hundred/sex served as
    a control. No compound-related effects were apparent in respect to
    clinical signs, survival, growth, food consumption or gross pathology.
    Significant treatment-related increases in met- and sulph-haemoglobin
    concentrations were noted in all treated groups, except the 16 mg/kg
    feed one. At the higher dose levels, a decrease was noted in
    haematocrit and erythrocyte counts and an increase in reticulocyte,
    platelet and Heinz body counts. Significantly higher alkaline
    phosphatase activity was noted in the 10 000 and 50 000 mg/kg groups.
    Compound-related effects were noted on the weights of liver and
    spleen. In the females, adrenal weight was not dose-relatedly
    decreased at all dose levels after 7 weeks and increased after 13
    weeks at higher dose levels. In males a higher adrenal weight was
    observed in comparison to controls. Histopathologically, treatment-
    related centrolobular hypertrophy of hepatocytes, with or without cell

        TABLE 1.  Acute toxicity of diflubenzuron
                                                                                                    

    Species        Sex       Route              LD50                    Reference
                                                                                                    

    Rat            F,M       Oral           > 4,640 mg/kg              Van Eldik 1973
                   F,M       Dermal         >10,000 mg/kg              Keet 1976a;Koopman 1977c
                   F,M       Inhalation     >    35 mg/kg (6 hr)       Berczy et al 1973

    Mouse          F,M       Oral           > 4,640 mg/kg              Van Eldik 1973;Koopman 1977a
                   F,M       i.p.           > 2,150 mg/kg              Van Eldik 1974;Koopman 1977b

    Rabbit         F,M       Dermal         > 4,000 mg/kg
                                              (50% paste)              Davies and Halliday 1974
                   F,M       Inhalation     >    30 mg/l (6 hr)        Berczy et al 1975
                                                                                                    



    TABLE 2.  Acute toxicity of diflubenzuron metabolites
                                                                                             

    Metabolite               Species   Sex       Route     LD50(mg/kg)    Reference
                                                                                             

    4-Chlorophenylurea       Rat       M         Oral      1 080          Koelman-Klaus 1978a
                                       F         Oral      1 210          Koelman-Klaus 1978a

    2,6-Difluorobenzoic      Rat       M,F       Oral      4 640          Koelman-Klaus 1978b
    acid
                                                                                             
    
    necrosis, haemosiderosis of the liver and spleen, extramedullary
    haematopoiesis and mild chronic hepatitis were observed. The liver
    lesions were more severe in males than in females. No no-effect level
    was observed (Burdock  et al. 1980a; Goodman 1980a).

         A 14-week feeding study was performed with groups of 40 male and
    40 female HC/CFLP mice (control groups, 96 male and 96 females)
    maintained on a diet supplemented with 0, 80, 400, 2 000, 10 000 and
    50 000 mg diflubenzuron (purity 97.20%/kg feed.) Half of the number of
    mice of both sexes of all groups were sacrificed after 7 weeks. On the
    second day of treatment, the majority of mice treated with 50 000 or
    10 000 mg/kg feed showed dark eyes and/or prominent caudal blood
    vessels. On day 5, blue/grey discolouration of the extremities was
    noted for the majority of mice treated with 50 000 mg/kg. In the
    course of the study, clinical signs were observed in mice of all
    groups, except those of the lowest dose group. Mortality, food
    consumption, water consumption and body weight changes were not
    clearly affected by the treatment. Results of haematological
    investigation showed lower packed cell volume and red blood cell
    count at all dose levels except 80 mg/kg feed. The total white blood
    cell count, lymphocyte count, haemoglobin concentration, the incidence
    of Heinz bodies and the red blood cells were increased in all dose
    groups. A treatment-related increase in both met- and sulph-
    haemoglobin was recorded in all treated groups at weeks 7 and 14 of
    the investigation. Clinical biochemistry revealed higher plasma
    glutamic pyruvic transaminase at all dose levels, with the exception
    of 80 mg/kg feed. Lower blood cholesterol levels were noted in the
    50 000, 10 000 and 2 000 mg/kg feed groups. Macroscopic examination
    showed dark discolouration and/or enlargement of the spleen and pale
    subcapsular areas of the liver in all dose groups, after both 7 and 14
    weeks. Histopathological examination of the spleen revealed increased
    haemosiderosis at all dose levels except 80 ppm. In the liver, areas
    of focal necrosis and/or fibrosis in the parenchyma, with or without
    associated inflammatory cells, fibroblasts or pigment-laden
    macrophages, were observed. At higher dose levels, necrotic and fatty
    hepatocytes and brown pigment-laden Kupffer cells were found (Colley
     et al 1981).

    Rat

         Groups of 5 male and 5 female rats were fed on a diet containing
    diflubenzuron in concentrations of 0, 800, 4 000, 20 000 and
    100 000 mg/kg during a four-week period. Behaviour, body weight, food
    and water consumption were not clearly affected by the treatment.
    There was a dose-related increase in met- and sulph-haemoglobin in the
    blood in all treated groups, except for the methaemoglobin value for
    the females of the 800 mg/kg dose group. Lower RBC, PCV and
    haemoglobin values were observed in both sexes of the 100 000 mg/kg
    dose group. Post-mortem examination revealed no changes attributable
    to diflubenzuron. For both sexes, relative spleen weights in all test

    groups differed significantly from control values. Relative liver
    weights were increased in males or females at all dose levels, except
    800 mg/kg (Palmer  et al. 1977).

         Groups of 10 male and 10 female Wistar rats received
    diflubenzuron during 13 weeks. The concentrations in the diet were 0,
    3.125, 12.5, 50 or 200 mg/kg feed. In addition two groups of 5 males
    and 5 females received 0 or 200 mg/kg. These animals were sacrificed
    after 6 weeks for clinico-chemical analysis. Behaviour, growth and
    food intake were not affected by the treatment. At the highest dose
    level, the PCV-value, the haemoglobin concentration and the number of
    erythrocytes were decreased, whereas the latter was also lowered in
    the 50 mg/kg group. Particularly in the males, the SGOT and SGPT
    activity was increased in the highest dose group at the end of the
    experiment. Higher testicular weights were recorded in the 200 mg/kg
    group. At microscopic examination, a slight increase in the number of
    small foci of necrotic parenchymal cells was observed, accompanied by
    monocellular inflammatory cell infiltration in the liver of both males
    and females of the 50 and 200 mg/kg groups (Kemp  et al. 1963a, b).

         Diflubenzuron was administered to Sprague-Dawley rats at dietary
    levels of 0, 10 000 and 100 000 mg/kg feed for 9 weeks, followed by a
    4-week withdrawal period. Each group consisted of 20 male and 20
    female animals. After treatment for 9 weeks, group size was reduced to
    10 males and 10 females. From week 7 onwards, male and female rats of
    both groups showed pallor of extremities and eyes. During the
    withdrawal period, no recovery was observed. During or at the end of
    the treatment period lower values for red blood cell parameters,
    formation of met- and sulph-haemoglobin, higher SGPT-values, and
    heavier liver, adrenals and spleen weights were observed. The animals
    produced less but more concentrated urine, and iron pigment in the
    liver and spleen was also demonstrated. Minor enlargement of
    centrolobular hepatocytes in some rats of the highest dose groups was
    observed. After the withdrawal period, some recovery, especially of
    effects on the liver and methaemoglobin induction, was observed
    (Hunter  et al. 1979).

         Diflubenzuron was administered in the diet to male and female
    Sprague-Dawley rats (40/sex/group) at dose levels of 160, 400, 2 000,
    10 000 and 50 000 mg/kg feed. An additional group (90 male and 90
    female animals) served as a control. No clear treatment-related
    effects were noted with respect to mortality, clinical observations,
    body weight gain and food consumption. A treatment-related significant
    increase in met-haemoglobin was noted in all treated groups. Sulph-
    haemoglobin values showed increases from the 2 000 mg/kg group
    onwards. For females and males, a significant treatment-related
    decrease in haemoglobin and erythrocyte count was observed at all dose
    levels at the end of the study. An increase was noted in the
    reticulocyte count in all dose groups, except 160 mg/kg, and the
    number of Heinz bodies was higher in the 10 000 and 50 000 mg/kg

    groups. Analysis of clinical chemistry values and urinalysis revealed
    no apparent treatment-related trends. After 7 weeks, spleen weights
    were increased in the females at all dose levels, but after 13 weeks
    no effect was found at 160 mg/kg. With the exception of the lowest
    dose level, all treated groups showed a higher liver weight. The
    administration of diflubenzuron resulted in a dose-related increase of
    incidence of chronic hepatitis and haemosiderosis of the liver. It was
    also associated at all dose levels with haemosiderosis and congestion
    of the spleen and mild erythroid hyperplasia of the bone marrow
    (Burdock  et al 1980b; Goodman 1980b).

    Dog

         Diflubenzuron was fed to groups of 3 male and 3 female beagle
    dogs for 13 weeks at concentrations of 0, 10, 20, 40 and 160 mg/kg in
    the diet. No effect of treatment on behaviour, body weight, food and
    water consumption was observed. Elevated SAP and SGPT values were
    recorded for some dogs receiving 40 or 160 mg diflubenzuron/kg feed.
    After 6 weeks, methaemoglobin and other abnormal haemoglobin pigments
    were demonstrated in dogs receiving 160 mg/kg. After 12 weeks of
    administration, some recovery was observed. Organ weights, gross and
    microscopic evaluation did not show treatment-related effects
    (Chesterman  et al 1974).

    Sheep

         A 13-week feeding study was carried out with 4 groups of 3 male
    and 3 female sheep. The test compound was included in the diet in a
    concentration of 0, 500, 2 500 and 10 000 mg diflubenzuron/kg. These
    concentrations were fed to the animals in daily amounts of 0.6 during
    the first 4 weeks, 0.8 during weeks 5 to 8 and 1.0 kg during the last
    5 weeks. After 6 weeks, both the plasma and RBC-cholinesterase
    activities were considered to be within normal limits. No treatment-
    related effects were observed on food consumption, body weight gain,
    haematological parameters and urinalysis. A significant increase in
    sulph-haemoglobin was observed in all treated groups at 13 weeks.
    After 4 and 8 weeks this effect was only obvious at higher dose
    levels. There was also an indication of a treatment-related increase
    in methaemoglobin levels. No other clinico-chemical parameters were
    affected. The weight of the thyroid was not dose-relatedly decreased
    at all dose groups. However, histopathological examination revealed no
    abnormalities that could be related to the treatment (Ross  et al 
    1977a,b).

    Long-term studies

    Mouse

         Five groups of 52 male and 52 female CFLP mice were fed
    diflubenzuron during 80 weeks. The concentrations in the diet were 0,

    4, 8, 16 and 50 mg/kg feed. Behaviour, mortality, food and water
    consumption and body weight were not affected by the treatment. The
    changes noted on gross and histopathologic examination were common to
    both treated and control animals. No treatment-related effects or
    significant tumour incidences were found. Although the incidence of
    lymphosarcomas in treated female mice, killed after 80 weeks, was
    significantly increased (50% level, chi square test) the combined
    incidence of lymphosarcomas in treated female mice, sacrificed during
    the treatment period and at the termination of the experiment, was not
    significantly different (Hunter  et al. 1975; Batham and Offer 1977;
    Offer 1977).

    Rat

         Five groups, each composed of 60 male and 60 female Wistar rats,
    were fed diflubenzuron during 104 weeks. For the tumorigenicity study,
    45 male and 45 female animals were used, whereas 15 male and 15 female
    rats constituted the satellite group for the toxicity study. The
    concentrations in the diet were 0, 10, 20, 40 and 160 mg/kg feed.
    There was no clear treatment-related effect on behaviour, survival,
    food consumption, water consumption, body weight gain, efficiency of
    food utilization, blood chemistry and urinalysis. Significantly higher
    met-haemoglobin levels in both males and females receiving 160 mg
    diflubenzuron/kg feed were observed after 52 and 78 weeks. The other
    haematological parameters were within normal limits. Organ weights,
    gross pathological and microscopic examination of tissues, including
    the liver, showed no compound-related effects. There was no indication
    of an increase in the number of neoplastic lesions. A no-effect level
    of 40 mg diflubenzuron/kg feed was observed (Hunter  et al. 1976;
    Colley and Offer 1977).

    Special studies on met- and sulph-haemoglobin formation

         Technical diflubenzuron was administered by gastric intubation to
    groups of 10 mice daily for a period of 14 days. The dose levels were
    0 (20 animals), 8, 40, 200, 1 000 and 5 000 mg/kg bw. Body weight
    measurement and macroscopic evaluation did not reveal any effect of
    the treatment. At dose levels of 5 000 and 1 000 mg/kg the percentages
    of met-and sulph-haemoglobin and erythrocytes containing Heinz bodies
    were increased. No effect could be observed on the met- and sulph-
    haemoglobin and on the percentage of erythrocytes containing Heinz
    bodies at 200, 40 and 8 mg/kg (Keet 1977b).

         A similar experiment was carried out with 2 groups of 15 male
    Wistar rats. The animals received doses during 8 consecutive days of
    0 or 5 000 mg/kg bw, in 1% tragacanth. There was no effect on the body
    weight or the number of Heinz bodies, whereas the bet- and sulph-
    haemoglobin levels were only marginally increased from day 1 and 2
    respectively (Keet 1977a).

         Two groups of 14 male New Zealand White rabbits were fed 0 or
    640 mg diflubenzuron/kg feed during 21 days. In the treated group, the
    methaemoglobin level was increased from day 5, whereas higher sulph-
    haemoglobin levels were observed within 5 h. In a second experiment
    with 640 mg/kg feed, the methaemoglobin level was again significantly
    increased. Recovery was observed 2 weeks after the treatment was
    ceased (Keet 1977c).

         Twenty-four male and 24 female cats were divided among five
    treatment groups and one control group. They received 30, 70, 100, 300
    and 1000 mg diflubenzuron/kg bw per os for 21 days, followed by a
    14-day observation period. Sodium nitrite was administered as a
    positive control. Diflubenzuron induced a dose-related elevation of
    methaemoglobin in females at all dose levels. In males, only 30 and
    70 mg/kg did not have a significant effect (maximal effect: 11.8%).
    Recovery was slow. Sulph-haemoglobinemia and Heinz body formation were
    observed in all treated groups. The haemoglobin concentration, number
    of reticulocytes, and organ weights were within normal limits
    (Schwartz and Borzelleca 1981).

    Special studies on sexual development

         Diflubenzuron was incorporated into feed and tested in chickens
    for 13 weeks. Fat deposition was greatly increased in females. The
    combs, wattles, feathers and voice of males remained undeveloped
    throughout the study. Testosterone showed a dose-related decrease
    (Smalley 1976 - summary only).

         Diflubenzuron was fed to 4 groups of 384 male chickens of a
    Hubbard broiler strain at dose levels of 0 (twice), 2.5 and 250 mg/kg
    feed. After 28, 56 and 98 days, one third of the number of animals of
    each group was killed. No effects were observed on mortality, body
    weight, food intake, oestradiol levels in the plasma after 4, 7 and
    14 weeks, organ weights, tibia weights and lengths and on gross or
    microscopic examination. Only at the end of the study, testosterone
    levels in serum were higher in treated groups in comparison to
    controls. Both comb and wattle were more developed in the
    diflubenzuron groups. However, these differences were not
    statistically significant (Keet 1976b).

         A parallel study with the same dose levels was carried out with
    female broiler chickens. In both diflubenzuron groups, a dose-related
    reduction was observed in feed consumption and body weight. Mortality
    was increased only at the highest dose level (250 mg/kg feed). In
    addition, a significantly increased incidence of leg abnormalities, a
    reduced tibia length and relative liver weight were observed. No clear
    effect on plasma testosterone was recorded. In the highest dose level,
    a marginally decreased plasma oestradiol and reduced comb and wattle
    development was observed (Ross  et al. 1977c).

         In an experiment with 2 groups of 225 female chickens, only one
    dose level (250 mg/kg feed) was tested. Animals were sacrificed after
    28, 49 and 98 days. The comb and wattle development was normal and no
    evidence of treatment-related effects was found. Plasma oestradiol
    concentrations were within normal limits (Ross  et al. 1979).

         Diflubenzuron was administered in the diet to one-day old Mallard
    ducks, Leghorn chickens, Nicolas White turkeys and Ring-neck pheasants
    for 90 days. The concentrations in the diets were 0, 0.25, 1.25, 2.5,
    25 or 250 mg/kg feed. There was no clear treatment-related effect on
    serum testosterone levels at days 21, 51 and 90. At the highest dose
    level (the only one measured), testosterone levels were decreased in
    turkeys and ducks after 42 days. Comb and wattles were not affected by
    treatment. The effects on organ weights, including testes, are
    difficult to evaluate (Reinert and Cannon 1976).

         Young male Long-Evans rats were administered 0, 15, 150 and
    300 mg diflubenzuron/kg bw daily during 14 to 96 days by gastric
    intubation. The control group contained 15 animals and each test group
    8. Diflubenzuron transiently decreased the levels of testosterone in
    the plasma at the prepuberal age. No effects on body weight, weight of
    testes, prostate, seminal vescicles and adrenals were observed.
    Histological examination of the testicular tissues did not reveal any
    induced changes (Paten and Santolucito 1980).

         Five groups of 38 to 40 Sprague-Dawley rats received
    diflubenzuron in their diet at dose levels of 0, 75, 150, 300 or
    3 000 mg/kg feed. After 14, 28, 44 and 98 days, one fourth of the
    animals were sacrificed. Diflubenzuron had no clear effect on body
    weight gain or serum testosterone levels (Booth  et al. 1980).

         Four pairs of Holstein bull calves received 0 or 1.0 to 2.8 mg
    diflubenzuron/kg bw. There was no significant effect of diflubenzuron
    on body weight, sperm volume, sperm concentration, libido and serum
    testosterone. However, the concentration of testosterone varied
    considerably. Histopathological examination of tissues revealed no
    significant difference between the treated and control bulls (Miller
     et al 1979).

    Special studies on mutagenicity

    Diflubenzuron

         A dominant lethal study was conducted in which 12 male mice per
    test group were treated with a single i.p. injection of a suspension
    of diflubenzuron in corn oil at levels of 1 000 and 2 000 mg/kg bw.
    The control group received corn oil only. Sequential mating of each
    male with 3 females per week was conducted for 6 consecutive weeks.
    Mating ability of males and numbers of corpora lutea, implantation

    sites, resorption sites (early embryonic deaths), and embryos for
    treated animals were not different from those for control animals
    (Arnold 1974).

         Diflubenzuron was examined for mutagenic activity in a series of
     in vitro microbiological assays, using the  Salmonella typhimurium 
    strains TA 98, TA 100, TA 1537 and TA 1978. Each plate was run with
    and without rat liver homogenate (S-9 mixture) prepared from Aroclor
    1254 treated rats. Diflubenzuron, tested at dose levels ranging from
    10 to 1 000 µg/plate, was not mutagenic in any of these assays (Bryant
    1976).

         In similar tests, diflubenzuron was studied in the
     S. typhimurium strains TA 98, TA 100, TA 1535, TA 1537 and TA 1538,
    and the  Sacchromyces cerevisiae strain D 4. The compound was tested
    both in the absence and in the presence of liver S-9 preparations from
    Aroclor 1254-induced rats. Diflubenzuron tested at dose levels ranging
    from 0.1 to 500 µg/plate did not demonstrate mutagenic activity in any
    of these assays (Brusick and Weir 1977a).

         In another series of tests, diflubenzuron was studied in the
     S. typhimurium strains TA 98, TA 100, TA 1535 and TA 1537.
    Diflubenzuron, at levels of 10, 100 or 1 000 µg/plate, did not
    significantly alter the spontaneous revertant frequency in the four
    strains used, either with or without the metabolic activation system
    from Aroclor 1254-induced rat liver (McGregor  et al 1979).

         An  in vitro test with mouse lymphoma cells and a micronucleus
    test in mice were carried out by the same author. In the  in vitro 
    test with cultured cells, the forward mutation frequency of 
    TK+/- -> TK-/- in L 517 Y mouse lymphoma cells was tested. 
    Diflubenzuron at dose levels ranging from 1.2 to 300 µg/ml did not 
    increase the mutation frequency, either with or without the metabolic 
    activation system, in the micronucleus test, male mice were given 15, 
    150 or 1 500 mg/kg bw at 30 h and 6 h before necropsy. Diflubenzuron 
    did not significantly increase the frequency of micronucleated 
    erythrocytes in the bone marrow (McGregor  et al. 1979).

         In another series of tests, diflubenzuron, as well as its
    metabolites (2,6-difluorobenzoic acid (DFBA, 4-chlorophenylurea (CPU),
    4-chloroaniline), were negative in the  S. typhimurium strains TA 98,
    TA 100, TA 1535 and TA 1538. The results in the strain TA 1537 were
    difficult to interpret (Seuferer  et al 1979).

         Diflubenzuron was evaluated in a cell transformation test. At
    dose levels of 0.02 to 0.312 mg/ml, diflubenzuron did not induce
    morphological transformation in BALB/3T3 cells  in vitro (Brusick and
    Weir 1977b).

         Diflubenzuron was evaluated for its ability to induce unscheduled
    DNA synthesis in human diploid WI-38 cells blocked in the G1 phase.
    The compound was tested at dose levels of 50 to 1 000 µg/ml, both in
    the absence and in the presence of liver S-9 preparations of uninduced
    mice. Under the conditions of the assay, diflubenzuron did not induce
    unscheduled DNA synthesis (Brusick and Weir 1977c).

         Diflubenzuron was tested in a transplacental transformation assay
    to investigate possible transformation of mammalian cells in culture.
    Timed pregnant hamsters were injected intraperitoneally on day 10 of
    gestation with solutions of diflubenzuron in dimethylsulphoxide at
    dose levels of 10, 200 and 500 mg/kg bw. Three days after injection,
    animals were sacrificed and foetal cell cultures were prepared.
    Diflubenzuron did not induce morphological transformation or the
    ability for growth of colonies. With known carcinogens (benzopyrene
    and dimethylnitrosamine), a positive result was obtained (Quarles
     et al 1980).

    Metabolites

         The metabolites 4-chlorophenylurea (CPU), 2,6-difluorobenzoic
    acid (DFBA) and 4-chloroaniline were examined for mutagenic activity
    in a series of  in vitro microbial assays. A spot test at a dose
    level of 1 000 µg per spot was carried out with  S. typhimurium 
    strains TA 98, TA 100, TA 1535, TA 1537, TA 1538 and TA 1978, with and
    without metabolic activation. A dose response test at dose levels of
    10, 100, 500 and 1 000 µg was carried out with TA 98 and TA 100. The
    test compounds did not demonstrate mutagenic activity in any of the
    assays conducted, except for a weak effect with 500 and 1 000 µg
    4-chloroaniline in the TA 98 strain after activation by liver S-9
    preparation. At these dose levels, 4-chloroaniline caused a reduction
    in the number of colonies, indicating a degree of toxicity to the
    bacteria (Dorough 1977).

         CPU was examined for mutagenic activity in a series of  in 
     vitro microbial assays, using the  S. typhimurium strains TA 98, TA
    100, TA 1535, TA 1537 and TA 1538, and the  S. cerevisiae strain D 4.
    The compound was tested both with and without liver S-9 preparations
    from Aroclor 1254-induced rats. At dose levels ranging from 0.1 to
    500 µg/plate, the test compound did not demonstrate mutagenic activity
    in any of the assays conducted (Jagannath and Brusick 1977a).

         CPU was evaluated in a cell transformation test. The test
    material induced a significant increase in morphological
    transformation in BALB/3T3 cells at the highest concentration
    (312 µg/ml) employed in the concentration range. The other levels were
    negative. The results were considered to be an indication of a weak
    transforming activity at concentrations near to the level of
    cytotoxicity (Matheson and Brusick 1978a).

         CPU was evaluated for its ability to induce unscheduled DNA
    synthesis in human WI-38 cells blocked in the G1 phase. The compound
    was tested both in the absence and in the presence of liver S-9
    preparations of Aroclor 1254-induced mice. CPU at dose levels ranging
    from 6.25 to 400 µg/l did not induce unscheduled DNA synthesis
    (Matheson  et al 1978a).

         DFBA was examined for mutagenic activity in a series of  in 
     vitro microbial assays, using the  S. typhimurium strains TA 98, TA
    100, TA 1535, TA 1537, TA 1538 and the  S. cerevisiae strain D 4. The
    compound was tested both with and without liver S-9 preparations
    from Aroclor 1254-induced rats. At dose levels ranging from 0.1 to 500
    µg/plate, the test compound did not demonstrate mutagenic activity in
    any of the assays conducted (Jagannath and Brusick 1977b)

         DFBA was evaluated in a cell transformation test. The test
    material induced a significant increase in morphological
    transformation in BALB/3T3 cells at the highest concentration employed
    (2.5 mg/ml). The other levels were negative. These results were
    considered to be an indication of weak transforming activity at
    concentrations near to the level of cytotoxicity (Matheson and Brusick
    1978b).

         DFBA was evaluated for its ability to induce unscheduled DNA
    synthesis in human WI-38 cells blocked in the G1 phase. The compound
    was tested both with and without metabolic activation. The compound at
    dose levels ranging from 75 to 500 µg/ml produced significant
    increases in the level of unscheduled DNA synthesis in the presence of
    mouse S-9 liver mixture. However, there was no dose response
    relationship, 75 µg giving the highest increase and 500 µg the lowest
    increase. According to the authors, the results appeared to be on the
    plateau of a dose response effect. The compound was considered to be
    active under these test conditions (Matheson and Brusick 1978c).

         4-Chloroaniline was examined for mutagenic activity in a series
    of  in vitro microbial assays, using the  S. typhimurium strains
    TA 98, TA 100, TA 1535, TA 1537 and TA 1538, and the  S. cerevisiae 
    strain D 4. The compound was tested with and without liver S-9
    preparations from Aroclor 1254-induced rats. The test compound did not
    demonstrate mutagenic activity in any of the assays conducted
    (Jagannath and Brusick 1977c).

         4-Chloroaniline was evaluated in a cell transformation test. At
    dose levels ranging from 39 to 625 µg/ml the compound did not induce
    morphological transformation in BALB/3T3 cells  in vitro (Matheson
     et al 1978b).

         4-Chloroaniline was tested for its ability to induce unscheduled
    DNA synthesis in human WI-38 cells blocked in the G1 phase. The
    compound was tested both with and without metabolic activation. At
    dose levels of 250 to 1 000 µg/ml, the compound did not induce
    unscheduled DNA synthesis (Matheson  et al 1978c).

    Special studies on reproduction and teratogenicity

         Diflubenzuron was fed to 3 groups of 20 male and 20 female rats
    at dietary levels of 0, 1 000 and 10 000 mg/kg for one generation and
    one litter. The animals were maintained on their respective diets for
    60 days prior to mating. There were no clear effects on mating
    performance, pregnancy rate, duration of gestation, litter size,
    mortality, litter weight, type and distribution of abnormalities.
    Diflubenzuron had, among others, a dose-related effect on haemoglobin
    (reduced PCV, Hb, total red cells, increased met-haemoglobin, sulph-
    haemoglobin, spleen weight, incidence of siderocytes in the spleen and
    the occurrence of iron pigment containing Kupffer cells in the liver).
    A dose-related effect on the liver was also shown by an increased
    weight, SGPT activity and hepatocyte enlargement. Reduced blood
    glucose concentrations were recorded in both treated groups. In the
    highest dosed group, the offspring showed an increased liver and
    spleen weight for both sexes. Microscopically, an increased incidence
    of centrolobular hepatocyte enlargement was observed (Palmer  et al 
    1978).

         Diflubenzuron was administered in the diet to groups of 20 male
    and 20 female rats at concentrations of 0, 10, 20, 40 and 160 mg/kg.
    These diets were administered continuously throughout three
    generations producing one litter each. As the mating performance was
    low in the first generation, a second litter was bred. Parent animals
    showed no signs of adverse effects related to treatment. Mating
    performance, pregnancy rate and duration of gestation were not
    affected. Also, total litter loss, litter size, litter and mean pup
    weights, pup mortality and the incidence of abnormalities provided no
    evidence of adverse treatment-related effects (Palmer and Hill 1975a).

         Groups of 20 pregnant rats were administered diflubenzuron orally
    by gavage at levels of 0, 1, 2 or 4 mg/kg bw during days 6 to 15 of
    gestation. The parent animals showed no signs of reaction and no
    mortalities occurred. Body weight gain and pregnancy rate were
    unaffected by treatment. No effects were observed on the number of
    viable young, implantations, resorptions and corpora lutea. The
    pre-implantation loss, foetal loss, litter weight, foetal weight, the
    incidence of major malformations, minor anomalies and skeletal
    variants were not dose-relatedly affected (Palmer and Hill 1975b).

         Four groups of 13 pregnant New Zealand White rabbits were
    administered diflubenzuron orally from day 6 to 18 of gestation at
    dose levels of 0, 1, 2 and 4 mg/kg bw. Foetuses were removed on day 29

    of pregnancy. There was no effect of the treatment on behaviour, body
    weight gain and pregnancy rate. No dose-related differences were
    observed on the number of viable young, resorptions, foetal loss,
    litter weight and mean foetal weight. The incidence of major
    malformations and minor anomalies was not affected by treatment
    (Palmer and Hill 1975c).

         Groups of chicken eggs were injected near the embryonic coelom
    with a suspension of 10 mg diflubenzuron in 0.1 ml of peanut oil.
    Diflubenzuron did not cause significant malformations in the embryos
    (Seegmiller and Booth 1976).

         Pregnant female mice were fed a diet containing 50 mg/kg of
    diflubenzuron (partly 14C). Some of these mice were sacrificed at
    day 17 from conception, the others were allowed to give birth to the
    young. The lactating females were kept on treatment and allowed to
    suckle their young for 13 days. No radioactivity was detected in the
    embryos or young mice (Booth 1977).

    RESIDUES IN FOOD

    USE PATTERN

         Diflubenzuron is a recently-introduced insecticide that
    interferes in the deposition of chitin in the insect cuticle through
    action on the enzyme chitin synthetase.

    Pre-harvest treatments

         Diflubenzuron is formulated as a wettable powder containing 25%
    of the active ingredient (Dimilin WP-25), or as an oil dispersible
    concentrate containing 450 g diflubenzuron per litre. Granular
    formulations are also available. Recommended use rates are given with
    pre-harvest intervals in Table 3.

    Other uses

         Diflubenzuron is recommended for the control of flies in animal
    husbandry by topical applications to breeding sites and manure heaps.

         A further application is on ornamental plants and in forests.

    RESIDUES RESULTING FROM SUPERVISED TRIALS

         Residue data have been obtained from numerous trials on the main
    crops treated. The dosages in these trials covered recommended and
    higher rates. Treatments were made using W-25 wettable powder
    formulation, which is the formulation recommended for food crops.

        TABLE 3.  Recommended uses and pre-harvest intervals for diflubenzuron
                                                                                    

                                                 Use rate            Pre-harvest
    Crop                 Country                 (a.i.)              interval (days)
                                                                                    

    Apple, pear          Argentina               0.02%                    60
                         Bulgaria                0.0375%                  -
                         France                  0.01%                    30
                         German Fed.Rep.         0.02%                    28
                         Greece                  0.0125-0.015%1           -
                         Israel                  0.0125%                  -
                         Italy                   0.0125-0.02%             45
                         The Netherlands         0.01%                    28
                         Spain                   0.01-0.015%              60
                         South Africa            0.02%                    -
                         Switzerland             0.02%                    42
                         UK                      150 g/ha                 14
                         Yugoslavia              0.0125-0.02%             30

    Brassica leafy
    vegetables           The Netherlands         0.01%                    14
                         China(Taiwan prov.)     0.017%                   22
                         UK                      100 g/ha                 -
                         Yugoslavia              200 g/ha                 -

    Cottonseed           Egypt                   75 g/ha                  -
                         Greece                  0.01-0.025%              -
                         USA                     70 g/ha (6x)             -

    Mushroom             Greece                  1 g/m2                   -
                         Korea                   1 g/m2                   -
                         The Netherlands         1 g/m2                   -
                         Switzerland             1 g/m2                   -
                         UK                      1 g/m2                   -

    Soybean              Brazil                  50-75 g/ha               21
                         Colombia                75-125 g/ha              -
                         USA                     35-70 g/ha

    Tomato               UK                      250 g/ha                 -

    Citrus               USA2                    350 g/ha                 ?
                                                                                    

    1  for pears: 0.0125-0.03%;
    2  registration applied for.
    
    Apple

         Residue data have been obtained from trials in several countries.
    Residues on fruit at recommended rates up to 0.02% were usually well
    below 1.0 mg/kg at two weeks after the last application. Only three
    samples were shown to contain residues from 1.0 to 1.2 mg/kg. The
    one sample that contained 3.7 mg/kg is considered to be atypical
    (Table 4). In the UK, apples (cv Cox and Egremont Russet) treated with
    diflubenzuron 2 weeks before harvest at a dosage rate of 250 g a.i./ha
    were shown to be taint-free (Spencer-Jones 1979).

    Pear

         The residue pattern in pears is very similar to that in apples.
    At two weeks after the last application at recommended dosages, the
    residues were well below 1.0 mg/kg (Table 4).

    Citrus

         Residue data have been obtained from numerous trials on orange,
    grapefruit and tangerine in the USA. The dosages in these trials
    included the recommended rate and also 2x and 4x rates. Residues in
    whole fruit were all well below 0.5 mg/kg 1 week after the last
    application at the recommended dosage rate. At the 4x dosage rate, the
    residue remained generally below 1.0 mg/kg (Table 5).

         Examination of peel and pulp separately showed that residues were
    exclusively found in the peel when the product was applied at the
    recommended rate. Residues in the pulp were all below the detection
    limit (0.05 mg/kg). At the 4x use rate, by far the major portion of
    the residue was in the peel. Residues in the pulp were either below or
    just above the detection limit of 0.05 mg/kg, the highest value found
    being 0.07 mg/kg. (Table 6).

         Further fractionation of orange and grapefruit showed that the
    residue is mainly present in the oil fraction. Here, the residue
    ranged from 9.5 to 20 mg/kg at the recommended use rate. At the
    4x rate residues were as high as 50 mg/kg. Neither at the recommended
    rate nor at the 4x rate could residues be detected in the juice of
    both orange and grapefruit, the limit of detection being 0.05 mg/kg
    (Table 7).

         In several cases, the various citrus fractions were analysed for
    residues of the metabolites 4-chlorophenylurea, 4-chloroaniline and
    2,6-difluorobenzoic acid. In none of the samples was any residue
    detected (limit of detection for all three compounds 0.05 mg/kg)
    (Duphar 1975-81).

        TABLE 4.  Residues following supervised trials in apple and pear1
                                                                                                                                                

                                            Application         Interval                      Residues (mg/kg) at intervals (days)
    Crop                                                        between                                after last application
    and variety         Country             Rate      No.       applications                                                                    
                                            (%)                 (days)         0-7       8-14      15-21     22-28     29-42   43-56    >56
                                                                                                                                                

    Apple

    Bramley             UK                  0.01      1         -                        0.22      0.23      0.14
    Cox O.P.                                0.01      1         -                        0.18      0.16      0.20
    Egremont R                              0.01      1         -                        0.27      0.24      0.18
    Golden D.           Netherlands         0.01      1         -                                                                      <0.032
    Winston                                 0.01      1         -                                                                      <0.03
    Golden D            Europe              0.01      3-5       15-59                    0.15      0.16      0.23              0.30
                                                                                        -0.21     -0.34

    J. Grieve           Netherlands         0.0125    1         -                                  0.28                0.36    0.13
    J. Grieve                               0.0125    2         17             1.32      0.94      0.75      0.53
    Stark Crimson       Italy               0.0125    2         58                                                                      0.06
    Golden D                                0.0125    2         54                                                                      0.15
    Stark Crimson                           0.0125    3         58,34                                                  0.12
    Golden D                                0.0125    3         58,33                                                                   0.05
    Jonathan                                0.0125    4         35,22,41                                                                0.14
    J. Grieve           German Fed.Rep.     0.015     1         -              0.43      0.14      0.03      0.09      0.11
    Golden D.           Europe              0.015     1-8       14-52          0.34      0.78      0.34                0.12    0.23    <0.05
                                                                                                                      -1,2    -1.1     -0.83

    Bramley             UK                  0.017     1         -                        0.17      0.02      0.18              0.19     0.02
    Cox O.P.                                0.017     1         -                        0.09     <0.01      0.22
    Egremont R                              0.017     1         -                        0.17      0.03      0.20
    Ida Red                                 0.017     1         -                                                              0.12
    Golden D                                0.017     1         -                                                              0.20
    McIntosh                                0.017     1         -                                                              0.17
                                                                                                                                                

    TABLE 4.  (con't)
                                                                                                                                                

                                            Application         Interval                      Residues (mg/kg) at intervals (days)
    Crop                                                        between                                after last application
    and variety         Country             Rate      No.       applications                                                                    
                                            (%)                 (days)         0-7       8-14      15-21     22-28     29-42   43-56    >56
                                                                                                                                                

    Warner              UK                  0.017     1         -                                                              0.16
    Worcester                               0.017     1         -                                                              0.15
    Newton                                  0.017     1         -                                                                       0.01
    Golden D            France              0.01875   3         33,31                                        0.41
    Golden D                                0.01875   3         30,27                                                  0.46
    Golden D                                0.01875   3         29,35                                                  0.43
    Golden D                                0.01875   4         21,21,28                                               0.62
    Golden D                                0.01875   4         20,20,30                                               3.8
    J. Grieve           Netherlands         0.02      1         -              0.29      0.21      0.18      0.15      0.13
    Golden D                                0.02      1         -              0.52                0.31      0.23      0.29

    n.s.                South Africa        0.02      1         -              0.833               0.32      0.29
    n.s.                                    0.02      1         -              0.784     0.14      0.15      0.23
    Cox O.P.            Netherlands         0.02      1         -                                                                       0.095
    S. Boskoop                              0.02      1         -                                                                       0.146
    Ingrid M.                               0.02      1         -                                                                       0.08
    Winston                                 0.02      1         -                                                                       0.097
    Golden D                                0.02      1         -                                                                       0.055
    Cox O.P             German Fed.Rep.     0.02      1         -              0.258               0.05a
    Cox O.P                                 0.02      1         -              1.568                         0.438
    Golden D                                0.02      1         -              0.738                         0.288
    Cox O.P.                                0.02      2         22             0.538               0.26      0.258     0.19    0.14
    Golden D                                0.02      2         21             1.268     0.69                          0.58    0.53     0.37
    Cox O.P.                                0.02      2         21             1.878     1.24                0.95      0.51    0.25
    Golden D            Netherlands         0.02      2         22                                                                     <0.03
    Gravesteyn          Italy               0.02      2         53                                                             0.24
    Cox O.P.            German Fed.Rep.     0.029     3         21,28          0.84      0.92      0.76      0.72
    Cox O.P.                                0.029     3         22,28          0.54      0.42      0.40      0.26      0.47
                                                                                                                                                

    TABLE 4.  (con't)
                                                                                                                                                

                                            Application         Interval                      Residues (mg/kg) at intervals (days)
    Crop                                                        between                                after last application
    and variety         Country             Rate      No.       applications                                                                    
                                            (%)                 (days)         0-7       8-14      15-21     22-28     29-42   43-56    >56
                                                                                                                                                

    Golden D                                0.02      21,28     1.26           0.89                0.52      0.66      0.63
    Golden D            Italy               0.02      3         57,56                              0.52
    Golden D                                0.02      3         10,68                                        0.57
    Steymen                                 0.02      3         58,32                                                                   0.40
    Golden D            Netherlands         0.029     3         40,31          0.45      0.40                0.32      0.29    0.19     0.28
    Cox O.P.                                0.029     3         34,30          0.30      0.27                0.29      0.24
    G. Parmane          German Fed.Rep.     0.029     4         29,39,14       0.5210    0.04      0.26      0.30
    n.s.                South Africa        0.0211    4         28,26,38                                     1.24
    Jonathan            Italy               0.02      5         23,15,27,14                        0.28
    Golden D                                0.02      5         34.30,14,28                                                    0.87
    Golden D                                0.02      5         40,29,15,33                                                    0.77
    Golden D            France              0.02      5         15,14,16,16                                                             0.27
    J. Grieve           Netherlands         0.025     1         -                                  0.67                0.38    0.31
    Star-King D         Japan               0.025     1                                                               <0.01             0.067
    Red-ball                                0.025     1                                                                0.087            0.107
    n.s.                Italy               0.02512   2         62                                                     0.197   0.2313
    J. Grieve           Netherlands         0.025     2         17             1.14      1.62      0.58      0.87
    Golden D                                0.025     2         15                                                     0.426
    St.Crimson          Italy               0.025     2         58                                                                      0.10
    Golden D                                0.025     2         52                                                                      0.117
    St.Crimson                              0.025     3         58,34                                                  0.30
    Golden D                                0.025     3         52-54,32-49                                                    0.55     0.28
    Star-King           Japan               0.025     3                                                                                 0.387
    Red-ball                                0.025     3                                                                                 0.207
    Jonathan            Italy               0.025     4         35,22,41                                                                0.18
    Golden D            France              0.025     5         28,14,21,21                                                    1.0
    Golden D                                0.025     6         12-18                    0.87
    J. Grieve           German Fed. Rep.    0.03      1         -              0.73      0.23      0.15      0.15      0.13
    Golden D                                0.03      1         -              1.0                 0.67                0.44    0.43     0.31
                                                                                                                                                

    TABLE 4.  (con't)
                                                                                                                                                
                                            Application         Interval                      Residues (mg/kg) at intervals (days)
    Crop                                                        between                                after last application
    and variety         Country             Rate      No.       applications                                                                    
                                            (%)                 (days)         0-7       8-14      15-21     22-28     29-42   43-56    >56
                                                                                                                                                
    Golden D            Netherlands         0.03      1         -                                                                       0.056
    Cox O.P.                                0.03      1         -                                                                      <0.03
    Golden D                                0.03      2         15                                                     0.437
    Golden D                                0.03      2         15-19                                                  0.34    0.32     0.326
    n.s.                South Africa        0.03      3         28,32                                                  0.26
    Golden D                                0.03      8         14                       2.20
    n.s.                                    0.04      1         -              0.7815    0.38      0.37                0.25
    n.s.                                    0.04      1         -              1.5516              1.25                0.70
    Golden D            Netherlands         0.04      1         -                                                                       0.0514
    Winston                                 0.04      1         -                                                                      <0.03
    Golden D                                0.04      2         22-43                                                                   0.077
    Jonathan                                0.04      2         26                                                                     <0.05
    Gravesteyn          Italy               0.04      2         53                                                                      0.41
    Golden D                                0.04      3         10-68                                                          0.83     1.11
    Alkmene             German Fed. Rep.    0.0417    4         13,16,20       1.13      0.7418    0.63      0.65
    Golden D            Italy               0.04      5         14-40                                                          1.437
    Golden D            France              0.04      6         12-18                    1.40

    Pear                Europe              0.01      1-5       17-33                                        0.1               0.12     0.02
                                           -0.04                                                                              -0.31    -0.25
                        South Africa        0.02      1-3       28-32          0.52      0.11      0.13                0.24
                                           -0.04                              -2.64     -1.30     -1.25               -1.31
                                                                                                                                                
    1  Reference: Duphar 1975-81;                          2  4 trials;
    3  day 1: 0.63, day 2:0.83, day 6:0.50, day 7: 0.61;   4  day 1: 0.42, day 2: 0.78, day 4: 0.30;
    5  average of 6 trials;                                6  average of 3 trials;
    7  average of 2 trials;                                8  average of 2 samples;
    9  last spray rate - 0.015;                            10  day 0: 0.52, day 7: 0.44;
    11  first spray rate-0.025;                            12  last spray rate - 0.02;
    13  average of 4 trials;                               14  average of 5 trials;
    15  day 1: 0.78, day 2: 0.11, day 4: 0.91;             16  day 1: 1.55, day 2: 0.72, day 6: 1.15, day 7: 1.39;
    17  last spray rate - 0.03;                            18  day 9: 0.74, day 14: 0.72.

    TABLE 5.  Residues following supervised trials in citrus, whole fruit, in Florida and Texas, USA1
                                                                                                                                  

    Fruit type and Variety                Application                         Residues (mg/kg) at intervals (days)
                                                                                     after application
                                     Rate                                                                                         
                                     (kg/ha)   No.   Times2     0-7       8-14      15-21     22-28     29-42     43-56     >56
                                                                                                                                  

    Orange         Valencia          0.35      1     PB         0.07      0.11      0.12      0.13      0.08      0.10
                                               1     PB         0.05     <0.05     <0.05     <0.05     <0.05     <0.05
                   Temple                      1     PB                                                                     0.053
                                               1     PB                                                                     0.063
                   Pineapple                   1     PB                                                                    <0.05
                                               1     PB                                                                     0.053
                   Hamlin                      1     PB                                                                     0.06
                                               1     PB                                                                    <0.05
                   Mars                        1     PB                                                                     0.10
                   Temple                      2     PB,S                                                                   0.084
                                               2     PB,S                                                                   0.063
                   Pineapple                   2     PB,S                                                                   0.093
                                               2     PB,S                                                                   0.053
                   Hamlin                      2     PB,S                                                                   0.123
                                               2     PB,S                                                                  <0.05
                   Mars                        2     PB,S                                                                   0.16
                   Temple                      3     PB,S,F     0.144               0.13      0.143
                                               3     PB,S,F     0.173               0.13      0.11
                   Pineapple                   3     PB,S,F     0.183               0.18      0.08
                                               3     PB,S,F     0.133               0.10      0.07
                   Hamlin                      3     PB,S,F     0.163               0.20      0.083               0.25
                                               3     PB,S,F     0.10                          0.05
                   Mars              0.35      3     PB,S,F                                                       0.32
                   Hamlin-pineapple  "         3     PB,S,F     0.27      0.29      0.30                0.36      0.21
                                               3     PB,S,F     0.20      0.29      0.22                0.41      0.14
                                               3     PB,S,F     0.05      0.20      0.10                0.11      0.21
                                                                                                                                  

    TABLE 5.  (con't)
                                                                                                                                  

    Fruit type and Variety                Application                         Residues (mg/kg) at intervals (days)
                                                                                     after application
                                     Rate                                                                                         
                                     (kg/ha)   No.   Times2     0-7       8-14      15-21     22-28     29-42     43-56     >56
                                                                                                                                  

    Grapefruit     Pink                        1     PB                                                                     0.054
                   Marsh                       1     PB                                                                    <0.053
                   Seedless                    1     PB                                                                    <0.053
                   Ruby red                    1     PB                                                                     0.063
                                               1     PB                                                                     0.063
                   Pink                        2     PB,S                                                                  <0.054
                   Marsh seedless              2     PB,S                                                                   0.083
                                               2     PB,S                                                                   0.063
                   Ruby Red                    2     PB,S                                                                   0.123
                   Ruby Red          0.35      2     PB,S                                                                   0.123
                   Pink                        3     PB,S,F     0.174     0.15      0.093     0.26                0.22
                   Marsh seedless              3     PB,S,F     0.123               0.073
                                               3     PB,S,F     0.113               0.143
                   Ruby Red                    3     PB,S,F                                                       0.203
                                               3     PB,S,F                                                       0.133

    Tangerine      Nova                        1     PB                                                                    <0.05
                                               1     PB                                                                    <0.05
                                               2     PB,S                                                                   0.12
                                               2     PB,S                                                                   0.09
                                               3     PB,S,F     0.07                0.05
                                               3     PB,S,F     0.09                0.09

    Orange         Valencia          0.7       1     PB         0.223     0.133     0.163     0.143     0.083     0.153    <0.05
                                               1     PB                                                 0.10      0.11
                   Mars                        1     PB                                                                     0.27
                                               2     PB,S                                                                   0.28
                                               3     PB,S,F                                                       0.23
                                                                                                                                  

    TABLE 5.  (con't)
                                                                                                                                  

    Fruit type and Variety                Application                         Residues (mg/kg) at intervals (days)
                                                                                     after application
                                     Rate                                                                                         
                                     (kg/ha)   No.   Times2     0-7       8-14      15-21     22-28     29-42     43-56     >56
                                                                                                                                  

    Grapefruit     Ruby Red                    1     PB                                                                     0.10
                                               2     PB,S                                                                   0.203
                                               3     PB,S,F                                                       0.203
                   Valencia          1.4       1     PB         0.233     0.113     0.273     0.233     0.123     0.073
                                               1     PB                                                 0.07      0.05
                   Temple                      1     PB                                                                    <0.053
                                               1     PB                                                 0.07      0.05
                   Pineapple                   1     PB                                                                    <0.053
                                               1     PB                                                                     0.053
                   Hamlin                      1     PB                                                                    <0.053

    Orange         Hamlin            1.4       1     PB                                                                     0.09
                   Mars                        1     PB                                                                     0.18

    Grapefruit     Pink                        1     PB                                                                    <0.053
                                               1     PB                                                                    <0.05
                   Marsh seedless              1     PB                                                                    <0.053
                                               1     PB                                                                     0.343
                   Ruby Red                    1     PB                                                                     0.273

    Tangerine      Nova                        1     PB                                                                    <0.05
                                               1     PB                                                                    <0.05

    Orange         Temple            1.4       2     PB,S                                                                   0.124
                                               2     PB,S                                                                   0.15
                   Pineapple                   2     PB,S                                                                   0.173
                                               2     PB,S                                                                   0.383
                   Hamlin                      2     PB,S                                                                  <0.053
                   Mars                        2     PB,S                                                                   0.305
                                                                                                                                  

    TABLE 5.  (con't)
                                                                                                                                  
    Fruit type and Variety                Application                         Residues (mg/kg) at intervals (days)
                                                                                     after application
                                     Rate                                                                                         
                                     (kg/ha)   No.   Times2     0-7       8-14      15-21     22-28     29-42     43-56     >56
                                                                                                                                  

    Grapefruit     Pink                        2     PB,S       1.10      0.26                                              0.243
                                               2     PB,S                                                                   0.23
                   Marsh seedless              2     PB,S                                                                   0.243
                                               2     PB,S                                                                   0.353
                   Ruby Red                    2     PB,S                                                                   0.233

    Tangerine      Nova                        2     PB,S                                                                   0.15
                                               2     PB,S                                                                   0.20

    Orange         Temple                      3     PB,S,F     0.384               0.473     0.233               0.91
                                               3     PB,S,F     0.46                0.59
                   Pineapple                   3     PB,S,F     0.253               0.35      0.06
                                               3     PB,S,F     0.573               0.49      0.15
                   Hamlin                      3     PB,S,F     0.713               0.74      0.103               0.44
                                               3     PB,S,F     0.23                          0.26
                   Mars                        3     PB,S,F                                                       0.10

    Grapefruit     Pink                        3     PB,S,F     0.393     0.81      0.85      1.11                0.48
                                               3     PB,S,F     0.34                0.65
                   Marsh seedless              3     PB,S,F     0.533               0.273
                                               3     PB,S,F     0.303               0.613
                   Ruby Red                    3     PB,S,F                                                       0.643

    Tangerine      Nova                        3     PB,S,F     0.16                0.28
                                               3     PB,S,F     0.31                0.24
                                                                                                                                  
    1  Referenne: Duphar 1975-81;
    2  PB = Post Bloom, S = Summer,F = Fall;
    3  average of 2 trials;
    4  average of 3 Trials;
    5  day 70: 0.53 in one trial.

    TABLE 6.  Residues following supervised trials in citrus, peel and pulp, in Florida and Texas, USA1
                                                                                                                               

                                       Application              Residues (mg/kg) at intervals (days) after application
                                                  
    Fruit type and Variety             Rate          Citrus                                                                    
                                       (kg/ha  No.   fraction   0-7       8-14      15-21     22-28     29-42     43-56     >56
                                                                                                                               

    Orange         Valencia            0.35    12    peel                                                         0.10
                                                     pulp                                                        <0.05
                   Temple                      33    peel                                     0.574
                                                     pulp                                    <0.054

                                                     peel                                     0.21
                                                     pulp                                    <0.05

                   Pineapple                   3     peel                           0.46
                                                     pulp                          <0.05
                                               3     peel                           0.26
                                                     pulp                          <0.05

                   Hamlin                      3     peel                                                         0.40
                                                     pulp                                                        <0.05
                   Mars                        3     peel                                                         0.50
                                                     pulp                                                        <0.05

    Grapefruit     Pink                        3     peel                                                         0.58
                                                     pulp                                                        <0.05

                   Marsh seedless              3     peel                           0.41
                                                     pulp                          <0.05
                                               3     peel                           0.84
                                                     pulp                          <0.05
                   Ruby Red                    3     peel                                                         0.614
                                                     pulp                                                        <0.05
                                       0.355   3     peel                                                         0.934
                                                                                                                               

    TABLE 6.  (con't)
                                                                                                                               

                                       Application              Residues (mg/kg) at intervals (days) after application
                                                  
    Fruit type and Variety             Rate          Citrus                                                                    
                                       (kg/ha  No.   fraction   0-7       8-14      15-21     22-28     29-42     43-56     >56
                                                                                                                               

    Orange         Valencia            1,4     1     peel       0.09      1.89      1.65      1.83      0.88      0.75
                                                     pulp       0.07      0.07      0.07     <0.07     <0.05     <0.05
                                                     peel       0.78      0.50      0.70      0.91      0.43      0.15
                                                     pulp      <0.05     <0.05     <0.05     <0.05     <0.05     (0.05
                                               1     peel                                               0.29     <0.05
                                                     pulp                                              <0.05     <0.05

    Orange         Temple              1.4     2     peel                                                         0.07
                                                     pulp                                                         0.05

                   Hamlin                      2     peel                                                         0.38
                                                     pulp                                                        <0.05

                   Temple                      3     peel       1.40                                    2.00
                                                     pulp      <0.05                                   <0.05

                                               3     peel                 1.30      0.61
                                                     pulp                <0.05     <0.05
                                                     peel                 1.20
                                                     pulp                (0.05

                   Pineapple                   3     peel                 0.93      1.8
                                                     pulp                <0.05     <0.05
                                               3     peel                 1.70      0.28
                                                     pulp                <0.05     <0.05
                   Hamlin                      3     peel                           0.20                2.70
                                                     pulp                          <0.05               <0.05
                                       1.45    3     peel                           1.3
                                                     pulp                          <0.05
                                                                                                                               

    TABLE 6.  (con't)
                                                                                                                               

                                       Application              Residues (mg/kg) at intervals (days) after application
                                                  
    Fruit type and Variety             Rate          Citrus                                                                    
                                       (kg/ha  No.   fraction   0-7       8-14      15-21     22-28     29-42     43-56     >56
                                                                                                                               

    Grapefruit     Ruby Red            1.4     1     peel                                                         0.88c
                                                     pulp                                                         0.05c
                                               2     peel                                                         0.40c
                                                     pulp                                                         0.05
                                               3     peel                                               0.94
                                                     pulp                                               0.05
                   Pink                        3     peel                           2.10
                                                     pulp                           0.05
                                               3     peel                           1.90
                                                     pulp                           0.07
                   Marsh seedless              3     peel                           0.66
                                                     pulp       0.07
                                               3     peel                           1.0
                                                     pulp                           0.05

    Tangerine      Nova                        3     peel                           0.18
                                                     pulp                           0.05
                                               3     peel                           0.75
                                                     pulp                           0.05
                                                                                                                               

    1  Reference: Duphar 1975-81;
    2  1 Spray Post Bloom;
    3  3 sprays: Post Bloom, Summer and Fall;
    4  average of 2 trials;
    5  plus 0.25% oil.

    TABLE 7.  Residues following supervised trials in citrus fractions, in Florida, USA1
                                                                                                                             

                                                                                         Residue found       Interval after
    Fruit type          Sample type                   Rate                Treatment                          last application
                                                      (kg/ha)             No.            (mg/kg)             (days)
                                                                                                                             

    Orange (Temple)     Whole fruit(unwashed)         0.35     1.4        3              0.13      0.35             14
                        Whole fruit (washed)                                             0.09      0.26             14
                        Chopped peel                                                     0.09      0.13             14
                        Frits                                                            0.11      0.84             14
                        Finisher pulp                                                   <0.05     <0.05             14
                        Dried citrus pulp                                                0.09      0.05             14
                        Fruit Juice                                                     <0.05     <0.05             14
                        Oil                                                             13.0      28.0              14
                        Pressed liquor                                                  <0.05      0.09             14
                        Molasses                                                        <0.05      0.06             14
                        Prewash water                                                    0.01      0.02             14
                        Afterwash water                                                  0.03      0.07             14

    Orange (Eamlin)     Whole fruit(unwashed)                             4              0.28      0.34             2t
                        Whole fruit(washed)                                              0.14      0.33             21
                        Chopped peel                                                     0.06      0.11             21
                        Frits                                                            0.10      0.55             21
                        Finisher pulp                                                   <0.05     <0.05             21
                        Dried citrus pulp                                               <0.05      0.66             21
                        Fruit juice                                                     <0.05     <0.05             21
                        Oil                                                             20.0      50.0              21
                        Pressed liquor                                                  <0.05      0.08             21
                        Molasses                                                        <0.05      0.12             21
                        Prewash water                                                    0.03      0.06             21
                        Afterwash water                                                  0.05      0.22             21
                                                                                                                             

    TABLE 7.  (con't)
                                                                                                                             

                                                                                         Residue found       Interval after
    Fruit type          Sample type                   Rate                Treatment                          last application
                                                      (kg/ha)             No.            (mg/kg)             (days)
                                                                                                                             

    Grapefruit (Pink)   Whole fruit (unwashed)        0.35     3                         0.09                       21
                        Whole fruit(washed)                                             <0.05                       21
                        Chopped peel                                                     0.08                       21
                        Frits                                                            0.19                       21
                        Finisher pulp                                                   <0.05                       21
                        Dried citrus pulp                                                0.10                       21
                        Fruit juice                                                     <0.05                       21
                        Oil                                                              9.50                       21
                        Pressed liquor                                                  <0.05                       21
                        Molasses                                                        <0.05                       21
                        Prewash water                                                    0.01                       21
                        Afterwash water                                                  0.04                       21
                        Whole fruit (unwashed)                 1.4        3              0.09                       21
                        Whole fruit (washed)                                             0.17                       21
                        Chopped peel                                                     0.11                       21
                        Frits                                                            0.50                       21
                        Finisher pDlp                                                   <0.05                       21
                        Dried citrus pulp                                                0.36                       21
                        Fruit juice                                                     <0.05                       21
                        Oil                                                             23.0                        21
                        Pressed liquor                                                  <0.05                       21
                        Molasses                                                         0.17                       21
                        Prewash water                                                    0.03                       21
                        Afterwash water                                                  0.17                       21
                                                                                                                             

    1  Reference: Duphar 1975-81.
             In taste tests with orange juice, no off-flavour was detected
    which might have been caused by DIMILIN treatment (Braddock 1976b,
    1977). Also in the case of grapefruit juice, no adverse effects on
    flavour were detected (Braddock 1976a).

    Soybean

         Residue data were obtained from numerous trials, mainly in the
    USA. The dosages included the recommended use rate and also much
    higher rates. Residues in the soybean seed were generally below the
    detection limit, which was 0.05 mg/kg. Only one sample contained a
    residue just above this limit, i.e. 0.06 mg/kg. Also at higher rates,
    residues remained very low, the highest value found being 0.16 mg/kg.
    Fractionation of seed containing <0.05 mg/kg residue did not result
    in a detectable residue in any of the fractions. As could be expected
    from the foliar stability of diflubenzuron, soybean foliage did
    contain residues, the level of which declined with time (Table 8).

         In nine trials, rotational crops were grown in fields on which
    soybean had been treated with diflubenzuron at both the recommended
    and higher rates. In none of the trials could residues be detected
    (limit of detection 0.05 mg/kg) in the rotational crops, including
    turnips, collards, rye, oats and mustard green. In the samples
    analysed for 4-chlorophenylurea, no residue could be detected (limit
    of detection 0.05 mg/kg) (Duphar 1975-81).

         Residues in soil of soybean fields treated with diflubenzuron
    were usually below the limit of detection (0.05 mg/kg), both for the
    parent compound and the metabolite 4-chlorophenylurea (CPU).
    Diflubenzuron residues never exceeded 0.3 mg/kg and were exclusively
    found in the top 7.6 cm of soil. CPU residues did not exceed 0.5 mg/kg
    and in only one case could any residue be detected below the top
    7.6 cm of soil (Duphar 1975-81).

    Cotton

         Residue data were obtained from numerous trials, mainly in the
    USA. The dosages included the recommended rate and also higher ones.
    Usually, several applications were made, up to 16 per growing season.
    Residues in the cotton seed were generally below the limit of
    detection (0.05 mg/kg) (Table 9). Only a few samples contained a
    residue slightly above the detection limit, with one high value of
    0.17 mg/kg. Fractionation of cotton seed did not result in a
    detectable residue of any of the fractions.

         In seven trials, rotational crops were grown in fields on which
    cotton had been treated with diflubenzuron 15 times during the growing
    season either at a rate of 0.067 or 0.280 kg a.i./ha. In none of the
    trials could residues of either diflubenzuron or 4-chlorophenylurea

        TABLE 8.  Residues following supervised trials in soybean, USA1
                                                                                                                           

                                     Application                       Residues (mg/kg) at intervals (days)
    Crop part                                                                 after application
                                  Rate (a.i.)    No.                                                                       
                                  (kg/ha)                  0-7       8-14      15-21     22-28     29-42     43-56     <56
                                                                                                                           

                                     0.034       1-2                           <0.05     <0.05     <0.05     <0.05    <0.05
    Seed                           - 0.56                                      -0.13     -0.16               -0.07    -0.07
    Foliage        Bragg             0.034       1         0.86      0.49                 0.25
                   Lee               0.034       1         1.10      0.59                 0.38
                   Ranson            0.034       1         2.25      1.40       1.65      0.82
                   n.s.              0.034       1                                                  0.25
                   Bragg             0.034       2         0.462                          2.6       0.26      0.63
                   Lee 68            0.034       2         2.1                  0.58
                   Bragg             0.067       1         1.8       0.29       0.33      0.14
                   Calland           0.067       1                                                  0.16
                   n.s.              0.280       1                   1.6
                   n.s.              0.280       2                                                  0.23
                                     0.140       1

    Seed           n.s.                                                                                               <0.05
    Hulls                                                                                                             <0.05
    Meal                                                                                                              <0.05
    Crude oil                                                                                                         <0.05
                                                                                                                           

    1  Reference: Duphar 1975-81;  2 Average of 2 trials.

    TABLE 9.    Residues following supervised trials in cottonseed, USA1
                                                                                                                           

                                        Application                 Residues (mg/kg) at intervals (days)
                                                                             after application
    Crop part      Variety          Rate (a.i.)    No.                                                                     
                                    kg/ha                  0-7       8-14      15-21     22-28     29-42     43-56     <56
                                                                                                                           

    Seed                            0.033          1-     <0.05     <0.05     <0.05     <0.05     <0.05     <0.05     <0.05
                                    -0.56          15     -0.07                0.09               -0.05     -0.07     -0.17

    Hulls          DPL-16           0.140          8                                                        <0.05

    Oil                                                                                                     <0.05

    Meal                                                                                                              <0.05

    Seed hulls     Stoneville 213   0.280          9                                                                  <0.05

    Meal                                                                                                              <0.05

    Oil                                                                                                               <0.05

    Soapstock                                                                                                         <0.05
                                                                                                                           

    1  Reference: Duphar 1975-81
        (limit of detection for both compounds 0.05 mg/kg) be detected in
    the rotational crops, including collards, wheat and radish (Duphar
    1975-81).

    Mushroom

         This crop shows a residue pattern different from all the others.
    This is undoubtedly due to the different way in which it is grown. The
    intimate contact of the mushrooms with the medium in which they are
    grown enables the uptake of the metabolite 2,6-difluorobenzoic acid
    especially (see also "Fate of residues"). At the recommended dosage
    rate of 1 g a.i./m2, the diflubenzuron residue in mushrooms is
    generally below 0.1 mg/kg, only one sample contained 0.11 mg/kg.

         Also the residue level of 4-chlorophenylurea is very low,
    all residues being below 0.1 mg/kg. However, the residues of
    2,6-difluorobenzoic acid were considerably higher. At the recommended
    use rate they all remain below 1 mg/kg. At higher dosage rates,
    somewhat higher residues are found, the highest value being 1.63 mg/kg
    at a dosage of 4 g/m2, applied twice. (Table 10).

    FATE OF RESIDUES

    General comments

         The metabolism of diflubenzuron was studied and it was
    established that the compound degraded along different lines, as shown
    in Figure 2. Breakdown occurred predominantly along line 1, resulting
    in 2,6-difluorobenzoic acid (DFBA) and 4-chlorophenylurea (CPU). A
    minor degradation takes place along lines 2 and 3, resulting in
    4-chloroaniline (PCA) and CO2.

    FIGURE 2

    In plants

         The fate of radio-labelled diflubenzuron (14C and 3H) has been
    studied on corn, soybean, cabbage and apple in the greenhouse after
    foliar application. No significant degradation or translocation was
    observed for 16 weeks after application (Nimmo and De Wilde 1974;
    Nimmo  et al 1978). Similar results were obtained on pine needles
    (Nimmo and De Wilde 1980).

        TABLE 10.  Residues following supervised trials in mushrooms1
                                                                                                                                  

                      Application      Interval       Residues (mg/kg) at intervals (days) after last application
    Country                            between                                                                                  
                   Rate                applications               diflubenzuron                                CPU
                   (g a.i./m2)  No.    (days)         0-21    22-28   29-35   36-43   >43     0-21    22-28   29-35   36-43   >43
                                                                                                                                  

    Netherlands    0.5          2      12             0.04   <0.01   <0.01   <0.01   <0.01    0.02    0.01    0.02    0.02    0.02
                   1.0          1      2              0.04    0.02    0.05    0.02    0.02    0.02    0.03    0.06    0.04    0.04
                   1.0          2      3              0.06    0.03    0.02    0.04   <0.11   <0.02    0.02    0.04    0.03    0.03
                   2.0          2      2              0.05    0.05    0.06    0.04    0.05   <0.02    0.02    0.07    0.06    0.06
                   4.0          2      2              0.11    0.08    0.10    0.06    0.07   <0.02    0.03    0.07    0.07    0.04

    UK             10 mg/kg     1                    <0.03           <0.03                   <0.01           <0.01
                   30 mg/kg     1                    <0.03           <0.03                   <0.01           <0.01
                   100 mg/kg    1                    <0.03           <0.03                   <0.01           <0.01
                                                                                                                                  

                                                      Residues (mg/kg) at intervals (days)
                      Application      Interval              after last application
    Country                            between                                           
                   Rate                applications                  DFBA
                   (g a.i./m)   No.    (days)         0-21   22-28   23-35   36-43     <43
                                                                                           

    Netherlands    0.5          2      12             0.27   <0.01    0.24    0.16    0.14
                   1.0          1      2              0.45    0.16    0.38    0.36    0.43
                   1.0          2      3              0.40    0.90    0.59    0.66    0.31
                   2.0          2      2              0.53    1.42    0.94    0.60    0.95
                   4.0          2      2              1.2     1.57    1.63    1.16    1.2

    UK             10 mg/kg     1                     0.19            0.31
                   30 mg/kg     1                     0.44            0.60
                   100 mg/kg    1                     0.50            0.80
                                                                                           
    1  Reference: Duphar 1975-81;
    2  Average of 2 trials;
    3  average of 4 trials.
             Also under greenhouse conditions, diflubenzuron (14C) was
    applied to cotton plants. Absorption, translocation and metabolism
    were not significant over the trial period of 48 days (Mansager
     et al 1979).

         Under field conditions, it was demonstrated that there is very
    little absorption or degradation of 14C-diflubenzuron on cotton
    foliage (Bull and Ivie 1978).


         The fate of diflubenzuron was also studied following application
    to soybeans under field conditions. Again, it was found that there is
    no significant absorption, translocation or metabolism of
    diflubenzuron (Gustafson and Wargo 1976).

         When cotton plants with diflubenzuron residues are incorporated
    into the soil in the fall, there is little degradation of
    diflubenzuron during the winter. However, with the onset of higher
    temperatures, the residues declined rapidly (Bull and Ivie 1978).
    This, probably, is caused by an increased accessibility of the residue
    as a result of the progressive decay of the plant material with which
    it was associated (Bull 1980).

         Similarly, the degradation of diflubenzuron residues on oak leaf
    litter is a rather slow process, the half life being roughly 6 to 9
    months (Willems 1981),

         Also in other organic substrates, the degradation of
    diflubenzuron is considerably slower than in soil. This has been
    demonstrated in chicken manure (half life time ca. 4 months), calf
    manure (half life time ca. 6 months) and in a mushroom growth medium,
    consisting mainly of horse and chicken manure (30-50% degradation in
    one month). In these substrates, as in soil, the main metabolites are
    2,6-difluorobenzoic acid and 4-chlorophenylurea (Nimmo and De Wilde
    1977 a, b).

    In animals

         The metabolic fate of diflubenzuron has been studied in a variety
    of vertebrate and invertebrate species (See section on "Biochemical
    aspects").

         There seems to be conclusive evidence that diflubenzuron is not
    degraded within the digestive tract of mammals to any significant
    degree. The portion of diflubenzuron that is absorbed from the
    digestive tract is strongly dose-related. After absorption,
    diflubenzuron is completely metabolized before excretion.

         Metabolic pathways of diflubenzuron in insects seem to be
    essentially the same as in mammals (Chang and Stokes 1979; Ivie and
    Wright 1978; Chang 1978; Pimprikar 1977; Bull and Ivie 1980).

    In soil

         The fate of diflubenzuron has been studied in seven agricultural
    soils and three hydro-soils, including the soil types recommended by
    the US Environmental Protection Agency and the German Biologische
    Bundes-Anstalt. In these studies, the compound was mixed through the
    soil at a concentration of 1 mg/kg. From the results, the following
    conclusions could be drawn:

         a)    The rate of degradation is strongly dependent on the
               particle size of the diflubenzuron. At an average particle
               size of approximately 10 µm, the half life in various soils
               ranged from 8 to 16 weeks, whereas at a mean particle size
               of about 2 µm the half life was 0.5 to 1 week.

         b)    The half life in different types of soil varied only
               slightly.

         c)    The metabolic pathways of diflubenzuron in soil are
               summarized in Figure 3.

         The main metabolic pathway (over 90%) is hydrolysis, which
    produces 2,6-difluorobenzoic acid (DFBA) and 4-chlorophenylurea (CPU).
    A very minor pathway is hydrolysis of the other carbon-nitrogen bond,
    producing 4-chloroaniline (PCA) and 2,6-difluorobenzamide, which is
    rapidly converted into the corresponding acid, DFBA. DFBA is rapidly
    degraded further, the half life being approximately 4 weeks. The first
    step is a decarboxylation, followed by ring degradation. CPU was found
    to be converted into bound residues with a half life of 5 to 10 weeks.
    In the bound residue, after 2 months, both CPU and PCA are present in
    roughly equal amounts. As PCA is generated directly from diflubenzuron
    in only small amounts, there must be degradation of CPU into PCA. Free
    PCA was not found in these studies (Nimmo and De Wilde 1975a; Verloop
    and Ferrell 1977). This can be explained by the rapid binding to the
    soil, found for anilines in general and PCA in particular (Hsu and
    Bartha 1974; Moreale and Van Bladel 1976; Bollag  et al 1978).

         In a sandy loam soil, it was demonstrated that the degradation of
    diflubenzuron is of a microbiological nature: in an experiment with
    normal soil, after 4 weeks only 2% of the initial amount of
    diflubenzuron was still present, whereas in a steam-sterilized soil,
    94% of the diflubenzuron was unchanged (Nimmo and De Wilde 1975a).

         Studies in the laboratory (Helling 1975; Rieck 1975; Bull and
    Shaver 1980) and in the field (Danhaus  et al 1976; Bull and Ivie
    1978) have shown that diflubenzuron has a very low mobility in the
    soil. Under field conditions, by far the major portion remains in the
    top 7.5 cm of soil.

    FIGURE 3

         In model experiments, in which plants were grown on nutrient
    solutions, it was shown that the soil metabolite 4-chlorphenylurea was
    rapidly taken up and transported by tomatoes and broad beans, with
    little biotransformation (Van den Berg 1978a).

         In similar experiments, it was found that the other main soil
    metabolite, 2,6-difluorobenzoic acid, is rapidly decarboxylated under
    the influence of tomato roots, with very little uptake and
    transportation (Van den Berg 1978b).

         Under laboratory conditions, seedlings of various crops,
    transplanted into soil treated with radioactive diflubenzuron, took up
    only small amounts of radioactivity (Nimmo and De Wilde 1976a,
    Mansager  et al. 1979).

         Also, when diflubenzuron was applied to soil in which the
    seedlings were already present, the uptake by wheat and rice was
    low, the residue in the leaves amounting to up to 0.5 mg/kg of
    diflubenzuron equivalents. This residue consisted mainly of
    4-chlorophenylurea and of polar conjugates. Very low levels of
    residues were found in the wheat grain (Nimmo and De Wilde 1976b).

         The rotational crop uptake of 14C residues following soil
    application of diflubenzuron was studied under field conditions. The
    experimental plots received two dosages of 66 g a.i./ha with an
    interval of 15 days. Wheat, onion and cabbage were planted 2 months
    after the last application. Samples of foliage were collected 2.5
    months after planting. Radioactivity in plant tissue was below the
    level of 0.01 mg/kg of diflubenzuron equivalents (Danhaus and Sieck
    1976).

         In another field study, 14C-diflubenzuron was applied to cotton
    during the 1976 cotton season. One plot received 6 applications
    (6A-plot) of 70 g a.i./ha, a second plot received 10 applications
    (10A-plot) of this dosage. Radioactive cotton plant residues were
    incorporated into the soil in November 1976. During the spring
    of 1977, rotational crops were planted in this soil. Levels of
    radioactive residues in these crops were generally very low. The 10A
    plot gave somewhat higher residues than the 6A plot. The radioactivity
    in all cases was below the level that would correspond to 0.05 mg/kg
    of diflubenzuron (Bull and Ivie 1978).

         A special case of uptake of diflubenzuron and its metabolites is
    found in growing mushrooms in a diflubenzuron-treated medium. The rate
    of degradation of diflubenzuron in this medium is much slower than in
    soil. However, the metabolic pathway is the same one and the main
    metabolites are 4-chlorophenylurea (CPU) and 2,6-difluorobenzoic acid
    (DFBA). Both metabolites are taken up by the mushrooms. From a medium
    treated with 2 g/m2 of radioactive diflubenzuron, the residues in
    mushrooms reached levels of 0.1 to 0.6 mg/kg of CPU and 1 to 3 mg/kg
    of DFBA (Nimmo and De Wilde 1977a).

    Degradation in water

         The degradation of diflubenzuron was studied at 20°C in sterile
    water at various pH levels. There appears to be little degradation
    under neutral or acidic conditions. However, at higher pH levels
    there is a pH-dependent rate of degradation; at pH 9 the half life
    is about 6 weeks and at pH 12 the half life was about 1.5 weeks.
    The main degradation products were 2,6-difluorobenzoic acid and
    4-chlorophenylurea (Nimmo and De Wilde 1975b).

         Similar results were found with dilute solutions in distilled
    water kept at 36°C. The degradation followed the same pathway; the
    rate of degradation was again strongly pH dependent; the half life
    times were shorter than at 20°C. Under these conditions, no
    p-chloroaniline could be detected as a degradation product of
    diflubenzuron (Ivie  et al. 1980).

         Heat catalysed degradation of diflubenzuron in an aqueous medium
    is far more complex, and several degradation products are found that
    are not formed, or hardly formed, under moderate conditions. One of
    these products arises through expulsion of HF from the diflubenzuron
    molecule, with concomittant cyclization:

    CHEMICAL STRUCTURE 2

         The resulting compound co-chromatographs with 4-chloroaniline in
    a number of TLC solvent systems, which may lead to confusion (Ivie
     et al 1980; Maas  et al. 1980).

         Under field conditions, diflubenzuron was demonstrated to
    degrade rapidly, 4-chlorophenylurea being formed as a metabolite.
    Diflubenzuron residues generally could not be detected (limit of
    detection 0.002 mg/l) at 72 h after application of up to 110 g/ha of
    field water (Schaefer and Dupras 1976).

         When diflubenzuron was applied to field water, the compound
    degraded to 4-chlorophenylurea. Small amounts of 4-chloroaniline were
    apparent, but this was only a minor degradation product. Fish
    initially accumulated diflubenzuron from water, but the tissue
    concentration declined steadily with time. The fish tissue did contain
    moderate amounts of 4-chlorophenylurea but only trace levels of
    4-chloroaniline (Schaeffer  et al 1980).

    Photodecomposition

         Crystalline diflubenzuron was radiated for 24 h on a glass sheet
    at a 10 µg/cm2 level, by a mlu 300 W lamp. Decomposition was less
    than 4%.

    METHODS OF RESIDUE ANALYSIS

         The recommended procedure for analyses of diflubenzuron residues
    in a wide range of matrices, including soil, sediment, water, fish,
    milk, eggs, animal tissues, agricultural crops and manure, involves an
    extraction of the residue from the sample with a suitable solvent
    clean-up of the extract by column chromatography, followed by
    detection with high pressure liquid chromatography (HPLC) (Di Prima
     et al. 1978; Buisman  et al. 1977).

         An alternative method for analyses of residues of diflubenzuron,
    4-chlorophenylurea, and 4-chloroaniline in citrus and its process
    fractions utilizes detection by gas chromatography (Cannizzaro 1978).
    This method can also be applied in the analysis of residues of
    diflubenzuron in soybean foliage, seed and process fractions (Di Prima
    1976 a, b).

         A GLC-ECD determination can also be carried out after hydrolysis
    and derivatization with heptafluorobutyric anhydride (Rabenor
     et al 1978).

    National maximum residue levels reported to the Meeting

         Recommended national MRLs and pre-harvest intervals are given in
    Table 11.

    TABLE 11.  National maximum residue levels of diflubenzuron
                                                                        

    Crop                Country                  MRL      Pre-harvest
                                                 (mg/kg)  interval (days)
                                                                        

    Apple, pear         Argentina                -             60
                        France                   1.0           30
                        German Fed. Rep.         1.0           28
                        Italy                    0.5           45
                        The Netherlands          1.0           28
                        Spain                    -             60
                        Switzerland              1.0           42
                        UK                       -             14
                        Yugoslavia               -             30

    Brassica leafy
    vegetables          The Netherlands          1.0           14
                        China (Taiwan province)  -             22
                        German Fed. Rep.         1.0           -

    Cottonseed          USA                      0.2           -

    Mushroom            The Netherlands          1.0           -
                        German Fed. Rep.         0.2           -
                        Switzerland              0.5           -

    Soybean             Brazil                   -             21

    Eggs, milk, meat
    and meat products   USA                      0.05          -
                                                                        

    EVALUATION

    COMMENTS AND APPRAISAL

         The biotransformation of diflubenzuron has been evaluated in
    several species. The major metabolites excreted by cow and rat result
    from hydroxylation of the difluorobenzoyl moiety and the chlorophenyl
    ring. In sheep and pigs, scission of the ureido bridge is the major
    metabolic route: the major metabolites are 2,6-difluorobenzoic acid
    and 4-chlorophenylurea. The extent of intestinal absorption of
    diflubenzuron is generally low and decreases with increasing dose
    levels. There is no indication of bioaccumulation in body tissues.

         Diflubenzuron has a low acute toxicity. Short-term and long-term
    studies in mice, rats, rabbits, cats, dogs and sheep show, in most
    studies, dose-related increases in met-and sulph-haemoglobin. At high
    dose levels haematocrit, haemoglobin and erythrocyte counts were
    decreased, whereas reticulocyte and Heinz body counts were increased.
    The effects, indicative of increased erythrocyte destruction, were
    accompanied by increases in liver and spleen weight, concomitant with
    haemosiderosis. It appears probably that met-haemoglobin formation is
    the result of N-oxidation of 4-chloroaniline.

         Several studies on chickens have been performed to investigate
    the effects of diflubenzuron on sexual development and on testosterone
    levels. Studies on sexual development failed to show any indications
    of adverse effects, except in one case, where marginal decreases in
    oestradiol and reduced comb and wattle development were observed.
    Similar studies conducted in rats and bulls showed no significant
    effects.

         No adverse effects were noted in two reproduction studies in the
    rat, in rabbit, rat and mouse teratogenicity and mouse and rat
    carcinogenicity studies.

         Mutagenicity studies were negative, as were  in vivo and
     in vitro mutagenicity studies on the metabolites, except in the case
    of a cell transformation study, which was weakly positive for both 4-
    chlorophenylurea and 2,6-difluorobenzoic acid.

         Based on the most sensitive toxicological parameter, met-
    haemoglobin formation, the no-effect level in rats was 40 ppm in the
    diet (equivalent to 2 mg/kg bw/day) and in dogs 40 ppm in the diet
    (equivalent to 1 mg/kg bw/day). In the long-term mouse study, this
    parameter was not measured. The duration of the dog study was
    unacceptable for use in ADI estimations. However, this species appears
    to be the most susceptible with respect to met-haemoglobin production.
    To allow for this, a higher safety factor was applied to the no-effect
    level in the rat study.

         Diflubenzuron is a recently-introduced insecticide, which is
    registered for use in many countries as a foliar spray on pome fruits,
    brassica leafy vegetables, cotton, soybean, tomato and citrus.

         The rate of application ranges from 35 to 200 g/ha or as sprays
    of concentrations of 0.01 to 0.04%. It is also used for the control of
    flies in breeding sites, such as manure heaps and in mushroom growing,
    and for control of insects on ornamental plants and in forests.

         Diflubenzuron interferes in the deposition of chitin in the
    insect cuticule through an influence on the enzyme chitin synthetase.
    Because of its mode of action, diflubenzuron destroys insects slowly
    and it is therefore necessary to treat crops well before harvest.
    Where repeated applications are necessary, the intervals between
    treatments are generally of the order of 28 days.

         Extensive data of supervised trials from many countries were
    available to the Meeting. Apples were treated at recommended rates up
    to 0.02%; residues are well below 1 mg/kg at two weeks after the last
    application. Pears follow the same pattern as apples. Citrus (whole
    fruit) is at a level below 0.5 mg/kg after one week following the last
    application of the recommended dosage rate. Examination of peel and
    pulp separately showed that residues were exclusively found in the
    peel. Residues in the pulp were all below the limit of determination
    (0.05 mg/kg).

         Residues in soybean seed and cottonseed were generally below the
    limit of determination (0.05 mg/kg).

         Mushrooms have a residue pattern different from other plant
    material. In mushrooms growing on diflubenzuron treated soil, rather
    high contents of the metabolite DFBA are taken up from the soil. At
    recommended dosage rates, the parent compound, diflubenzuron, is found
    at a level below 0.1 mg/kg, while the metabolite 2,6-difluorobenzoic
    acid ranges at a 1 mg/kg level.

         Generally it may be established that when plants are treated at
    recommended dosage rates, residues are below 2 mg/kg immediately after
    application and that the rate of decline in residue concentration is
    relatively slow over a period of about 56 days.

         Degradation of diflubenzuron in animals and soil results
    in the following metabolites: 2,6-difluorobenzoic acid (DFBA),
    4-chlorophenylurea (CPU) and 4-chloroaniline (PCA). In soil the rate
    of degradation is strongly dependent on the particle size of
    diflubenzuron. The main metabolic pathway is by hydrolysis (>90%),
    leading to DFBA and CPU. The compound does not penetrate into plant
    tissue and residues are only present on those parts directly exposed
    during the application. After application in plants, diflubenzuron is
    not metabolized to any practical extent.

         Diflubenzuron is not degraded in the digestive tract of mammals
    to any significant degree, but when absorbed, it is metabolized before
    excretion. After a high level treatment of cows, 0.02 mg/kg of the
    parent compound were found in milk. Good agricultural practice would
    not lead to residues higher than the limit of determination
    (<0.02 mg/kg). Slightly higher residues, but still at the limit of
    determination, were found in poultry meat and eggs.

         Analytical methods for the parent compound and metabolites are
    available. Depending on the nature of the substrate, diflubenzuron is
    extracted with acetonitrile, ethylacetate or hexane. Clean-up involves
    liquid-liquid partition and column chromatography, followed by HPLC or
    GLCECD after an additional derivatization with heptafluorobutyric
    anhydride. DFBA is determined after extraction and esterification
    (diazomethane) by GLC-MS. The limit of determination is 0.05 mg/kg in
    both cases.

    Level causing no toxicological effect

         Rat : 40 ppm in the diet, equivalent to 2 mg/kg bw/day

    Estimation of temporary acceptable daily intake for man

         0 - 0.004 mg/kg bw

    RECOMMENDATIONS OF RESIDUE LIMITS

         Maximum residue levels were estimated for several crops. Since a
    temporary ADI was estimated, the Meeting recommended these levels as
    suitable for establishing temporary MRLs. They refer to diflubenzuron
    alone; metabolites are not included.

    Crop                               MRL (mg/kg)
                                                  

    Apple                                  1
    Brussels sprouts                       1
    Cabbage                                1
    Citrus fruit                           1
    Cottonseed                             0.2
    Mushroom                               0.2
    Pear                                   1
    Plum                                   1
    Soybean                                0.1
    Carcass meat                           0.05 *
    Eggs                                   0.05 *
    Milk                                   0.05 *
    Meat byproducts                        0.05 *
    Poultry meat                           0.05 *

    *  Level at or about the limit of determination.

    FURTHER WORK OR INFORMATION

    Required (by 1984)

    1.   A dog study of adequate duration.

    2.   Results of an ongoing carcinogenicity study.

    Desirable

    1.   Observations in humans, particularly with regard to met-
         haemoglobin formation.

    2.   Information about the possible occurrence of metabolite DFBA
         content in milk, meat and eggs, as the existing residue data
         apply to the parent compound only.

    REFERENCES

    Arnold, D.A. Mutagenic study with TH 6040 in albino mice. Industrial
    1974      Bio-test Laboratories Report no. 622-05068. (Unpublished)

    Batham, P. and Offer, J.M. Tumorigenicity of DU 112307 to mice:
    1977      dietary administration for 80 weeks. Revaluated pathological
              data. Addendum to, Huntingdon Research Centre Report no
              PDR170/75685. (Unpublished)

    Bentley, J.P., Weber, G.H. and Gould, D. The effect of diflubenzuron
    1979      feeding on glycosaminoglycan and sulph-haemoglobin
              biosynthesis in mice. Pesticide Biochemistry and Physiology,
              10:162.

    Berczy, Z.S.  et al. Acute inhalation toxicity to the rat of DU 112307
    1973      technical grade powder. Huntingdon Research Centre Report
              no. PDR74/73849. (Unpublished)

    1975      Acute inhalation toxicity to the rabbit of DU 112307
              technical grade powder. Huntingdon Research Centre Report
              no. PDR198/74988. (Unpublished)

    Bollag, J.M., Blattman, P. and Laanis, T. Absorption and
    1978      transformation of four substituted anilines in soil. Journal
              of Agricultural and Food Chemistry, 26:1302.

    Booth, G.M.  et al. The effect of diflubenzuron on rat serum
    1980      testosterone, weight and food consumption. Brigham Young
              University, Provo, Utah, USA, 5 Feb. (Unpublished)

    Booth, G.M. Biochemical effects of diflubenzuron on mouse embryos.
    1977      Brigham Young University, Provo, Utah, USA. (Unpublished)

    Braddock. Taste test for "Dimilin" Ruby Red grapefruit juice.
    1976a     University of Florida, Gainsville, USA, 18 October.
              (Unpublished)

    Braddock. Taste test for "Dimilin" Hamlet orange juice. University of
    1976b     Florida, Gainesville, USA, 23 November. (Unpublished)

    Braddock. Taste test for "Dimilin" Temple orange juice. University of
    1977      Florida, Gainesville, USA, 2 February. (Unpublished)

    Brusick, D.J. and Weir, R.J. Mutagenicity evaluation of diflubenzuron
    1977a     technical, batch FL44/60521. Litton Bionetics Project no.
              2683. (Unpublished)

    1977b     Evaluation of diflubenzuron.  in vitro malignant
              transformation in BALB/3T3 cells. Litton Bionetics Project
              no. 2688. (Unpublished)

    1977c     Evaluation of diflubenzuron: unscheduled DNA synthesis in
              WI-38 cells. Litton Bionetics Project no. 2688.
              (Unpublished)

    Bryant, H. Activity of TH 6040 in the Ames  Salmonella typhimurium 
    1976      mutagenesis assay. University of Kentucky, Lexington, USA.
              (Unpublished)

    Buisman, P.  et al. Residue anlysemethod van diflubenzuron in gewas,
    1977      grond en water. Duphar Rept. no. 56630/70/77 (in Dutch,
              English summary). (Unpublished)

    Bull, D.L. Fate of diflubenzuron after application to cotton and the
    1980      boll weevil, South-western Entomology Supplement, nos 1
              and 2.

    Bull, D.L. and Ivie, G.W. Fate of diflubenzuron in cotton, soil and
    1978      rotational crops. Journal of Agricultural and Food
              Chemistry, 26:515.

    1980      Activity and fate of diflubenzuron and certain derivatives
              in the boll weevil. Pesticide Biochemistry and Physiology,
              13:41.

    Bull, D.L. and Shaver, T.N. Fate of potassium-3,4-dichloro-5
    1980      isothiazole-carboxylate in soil. Journal of Agricultural and
              Food Chemistry, 28:982.

    Burdock, G.A.  et al. Ninety-day subchronic toxicity study in mice:
    1980a     diflubenzuron technical. Hazleton Project no. 533-120.
              (Unpublished)

    1980b     Subchronic dietary toxicity study in rats, diflubenzuron.
              Hazleton Project no. 533-119. (Unpublished)

    Cannizzaro, R.D. Determination of diflubenzuron, 4-chlorophenylurea,
    1978      and 4-chloroaniline in citrus and process fractions by gas
              chromatography. Analytical Method no.22A, Thompson-Hayward
              Chemical Co. (Unpublished)

    Chang, S.C. Conjugation: the major metabolic pathway of 14C
    1978      diflubenzuron in the house-fly. Journal of Economic
              Entomology, 71:31.

    Chang, S.C. and Stokes, J.B. Conjugation: the major metabolic pathway
    1979      of 14C-diflubenzuron in the boll weevil. Journal of
              Economic Entomology, 72:15.

    Chesterman, H.  et al. DU 112307, toxicity in repeated dietary
    1974      administration to beagle dogs. Huntingdon Research Centre
              Report no. PDR169/74157. (Unpublished)

    Colley, J. and Offer, J.M. Effects of DU 112307 in dietary
    1977      administration to rats for 104 weeks, revaluated
              pathological data. Huntingdon Research Centre, addendum to
              HRC Report no. PDR171/75995. (Unpublished)

    Colley, J.C.  et al. The effects of dietary administration of
    1981      diflubenzuron to male and female HC/CFLP mice for 13 weeks,
              vol. I and II. Huntingdon Research Centre Report no.
              PDR/294/80185. (Unpublished)

    Crookshank, H.R.  et al. Effect of diflubenzuron (Dimilin: TH6040) on
    1978      the hyaluronic acid concentration in chicken comb. Poultry
              Science, 57:804.

    Davies, R.F. and Halliday, J.C. Acute percutaneous toxicity to rabbits
    1974      of DU 112307 (technical). Huntingdon Research Centre Report
              no.2171/D175/73. (Unpublished)

    Danhaus, R.G. and Sieck, R.F. Rotation crop uptake of 14C residues
    1976      following soil application of Dimilin. ADC project no. 222.
              (Unpublished)

    Danhaus, R.G.  et al. 14C-Dimilin field soil leaching study. ADC project
    1976      no. 205. (Unpublished)

    De Bree, H.  et al. Diflubenzuron: analysis of metabolites connected
    1977      with met-haemoglobinemia. Duphar Report no. 56654/8/77.
              (Unpublished)

    De Lange, N.  et al. PH 60-40: Excretion of radioactivity and
    1974      metabolite patterns in rats following oral administration.
              Duphar Report no. 56654/20/74. (Unpublished)

    1975      Diflubenzuron (PH 60-40): Balance studies in the rat, and
              identification of urinary metabolites. Duphar Report no.
              56654/22/75. (Unpublished)

    1977      Diflubenzuron: Intestinal absorption in the rat in relation
              to dosage level. Duphar Report no. 56654/10/77.
              (Unpublished)

    De Lange, N. Diflubenzuron: Dermal absorption in the rabbit. Duphar
    1979      Report no. 56654/9/79. (Unpublished)

    De Lange, N. and Post, L.C. Diflubenzuron: intestinal absorption in
    1978      the mouse in relation to dosage level. Duphar Report no.
              56654/4/78. (Unpublished)

    Deul, D.H. and De Jong, B.J. The possible influence of DU 112307 on
    1977      the  in vivo synthesis of hyaluronic acid in chicken skin.
              Duphar Report no. 56635/1/77. (Unpublished)

    Di Prima, S.J. Determination of diflubenzuron residues in soybean
    1976a     foliage and seed by gas chromatography. Analytical Method
              no. 10, Thompson-Hayward Chemical Co. (Unpublished)

    1976b     Determination of diflubenzuron residues in soybean process
              fractions by gas chromatography. Method no. 13, Thompson-
              Hayward Chemical Company. (Unpublished)

    1978      Analysis of diflubenzuron residues in environmental samples
              by high-pressure liquid chromatography. Journal of
              Agricultural and Food Chemistry, 26:968.

    Dorough, H.W. Screening of selected Thompson Hayward chemicals for
    1977      activity in the Ames  Salmonella mutagenic test. University
              of Kentucky, Lexington, USA. (Unpublished)

    Duphar. Reports on residues of diflubenzuron. In apples, reports nos.
    1975-81   30/39/75, 30/6/A/75, 30/22A/76, 30/44/76, 30/45/76,
              30/53/76, 30/10/77, 30/11/77, 30/13/77, 30/14/77, 30/84/77,
              30/22/78, 30/38/79, 30/76/80, In pears, reports nos.
              30/91/76,30/84/77, 30/96/77, 30/97/77. In brassica leafy
              vegetables reports nos. 30/48/76,30/91/77, 30/73/78. In
              soybeans, reports nos. 83/06/81, SR35. In other crops,
              reports nos. 30/72/77, 30/102/77, 30/129/77, 30/130/77,
              30/40/78, 30/9/79, 30/43/80,83/05/81, 83/07/81, K/R/003/77,
              K/R/004/77, K3R/005/77, K/R/006/77, K/R/007/77.(Unpublished)

    Goodman, D.G. Histopathologic evaluation of mice administered
    1980a     diflubenzuron in the diet. Clement Associates. Submitted by
              Duphar. (Unpublished)

    1980b     Histopathologic evaluation of rats administered
              diflubenzuron in the diet. Clement Associates. Submitted by
              Duphar. (Unpublished)

    Gustafson, D.E. and Wargo, J.P. Fate of Dimilin following application
    1976      to soybeans. Analytical Development Corporation Project 222.
              (Unpublished)

    Hawkins, D.R. Excretion of radioactivity after oral administration of
    1980      3H/14C-diflubenzuron to cats. Huntingdon Research Centre
              Report no. PDR/302/80443. (Unpublished)

    Helling, C.S. Soil mobility of three Thompson-Hayward pesticides.
    1975      ARS/USDA Beltsville, USA. (Unpublished)

    Hsu, T.S. and Bartha, R. Interaction of pesticide-derived
    1974      chloroaniline residues with soil organic matter. Soil
              Science, 16:444.

    Hunter, B.  et al. DU 112307, preliminary assessment of the toxicity to
    1974      male mice in dietary administration for 6 weeks. Huntingdon
              Research Centre Report no.PDR/174/74199. (Unpublished)

    Hunter, B.  et al. Tumorigenicity of DU 112307 to mice, dietary
    1975      administration for 80 weeks. Huntingdon Research Centre
              Report no. PDR/170/75685. (Unpublished)

    1976      Effects of DU 112307 in dietary administration to rats for
              104 weeks. Huntingdon Research Centre Report no.
              PDR/171/75945. (Unpublished)

    1979      DU 112307, toxicity to rats in dietary administration for
              nine weeks followed by a four-week withdrawal period.
              Huntingdon Research Centre Report no. PDR/248/77883
              (Unpublished)

    Ivie, G.W. Fate of diflubenzuron in cattle and sheep. Journal of
    1978      Agricultural and Food Chemistry, 26:81.

    Ivie, G.W. and Wright, J.E. Fate of diflubenzuron in the stable fly
    1978      and house fly. Journal of Agricultural and Food Chemistry,
              26:90.

    Ivie, G.W. Fate of diflubenzuron in water. Journal of Agricultural and
    1980      Food Chemistry, 28: 330.

    Jagannath, D.R. and Brusick, D.J. Mutagenicity evaluation of
    1977a     4-chlorophenylurea. Litton Bionetics Project no. 20838.
              (Unpublished)

    1977b     Mutagenic evaluation of 2,6-difluorobenzoic acid. Litton
              Bionetics Project no.20838. (Unpublished)

    1977c     Mutagenicity evaluation of 4-chloroaniline. Litton Bionetics
              Project no. 20838. (Unpublished)

    Keet, C.M.J.F. Effects of DU 112307 technical after dietary
    1976b     administration to male Hubbard Broiler chickens for 14
              weeks. Duphar Report no. 56645/25/76. (Unpublished)

    1977a     The met-haemoglobin, sulph-haemoglobin and Heinz body
              forming properties of DU 112307 after oral administration to
              male rats during 8 days. Duphar Report no. 56645/15/77.
              (Unpublished)

    1977b     The effect of DU 112307 (technical) in male mice after daily
              oral administration for a period of 14 days on body weight,
              met-haemoglobin, sulph-haemoglobin and Heinz body formation
              and on gross pathology. Duphar Report no. 56645/33/77.
              (Unpublished)

    1977c     The met-haemoglobin and sulph-haemoglobin forming properties
              of DU 112307 in male rabbits after prolonged dietary and
              dermal administration. Duphar Report no. 56645/2/77.
              (Unpublished)

    Kemp, A.  et al. Dietary administration of DU 112307 to male and
    1973a     female rats for 3 months. Duphar Report no. 56645/13A/73.
              (Unpublished)

    1973b     Appendix III to report no. 56645/13A/73, individual data:
              dietary administration of DU 112307 to male and female rats
              for 3 months. Duphar Report no. 56645/13B/73. (Unpublished)

    Keuker, H. Diflubenzuron, physical and chemical properties. Duphar
    1975      Report no. 56630/107/75. (Unpublished)

    Koelman-Klaus, H.J.S. Acute oral toxicity study of p-chlorophenylurea
    1978a     in male and female rats. Duphar Report no. 56645/9/78.
              (Unpublished)

    1978b     Acute oral toxicity study of 2,6-difluorobenzoic acid in
              male and female rats. Duphar Report no. 56645/25/78.
              (Unpublished)

    Koopman, T.S.M. Acute oral toxicity study with DU 112307 (technical)
    1977a     in mice. Duphar Report no. 56645/4/77. (Unpublished)

    1977b     Acute intra-peritoneal toxicity study with DU 112307
              (technical) in mice. Duphar Report no. 56645/5/77.
              (Unpublished)

    1977c     Acute dermal toxicity study with DU 112307 (technical) in
              rats. Duphar Report no. 56645/7/77. (Unpublished)

    Maas, W.  et al. Benzoylphenylurea insecticides. In:R. Wegler (Ed.),
    1980      Chemie der Pflanezen-schutz-und Schädlingsbekämpfungs-
              mittel, Band 6. Springer Verlag, Heidelberg, 1980.

    Mansager, E.R.  et al. Fate of 14C-diflubenzuron on cotton and in soil.
    1979      Pesticide Biochemistry and Physiology, 12: 172.

    Matheson, D.W. and Brusick, D.J. Evaluation of 4-chlorophenylurea: In
    1978a     vitro malignant transformation in BALB/3T3/cells. Litton
              Bionetics Project no. 20840. (Unpublished)

    1978b     Evaluation of 2,6-difluorobenzoic acid:  in vitro malignant
              transformation in BALB/3T3/cells. Litton Bionetics Project
              no. 20840. (Unpublished)

    1978c     Mutagenicity evaluation of 2,6-difluorobenzoic acid in the
              unscheduled DNA synthesis in human WI-38 cell assay. Litton
              Bionetics Project no. 20840. (Unpublished)

    Matheson, D.W.  et al. Mutagenicity evaluation of 4-chlorophenylurea in
    1978a     the unscheduled DNA synthesis in human WI-38 cells assay.
              Litton Bionetics Project no. 20840. (Unpublished)

    1978b     Mutagenic evaluation of 4-chloroaniline in the  in vitro 
              transformation of BALB/3T3 cells assay. Litton Bionetics
              Project no. 20840. (Unpublished)

    1978c     Mutagenicity evaluation of 4-chloroaniline in the
              unscheduled DNA synthesis in human WI-38 cells assay. Litton
              Bionetics Project no. 20840. (Unpublished)

    McGregor, J.T.  et al. Mutagenicity tests of diflubenzuron in the
    1979      micronucleus test in mice, the L5178Y mouse lymphoma forward
              mutation assay, and the Ames  Salmonella Reserve mutation
              test. Mutation Research, 66:45.

    Miller, R.W.  et al. Feeding TH-6040 to cattle: Residues in tissues and
    1976a     milk and breakdown in manure. Journal of Agricultural and
              Food Chemistry, 24:687.

    1976b     Effects of feeding TF-6040 to two breeds of chickens.
              Journal of Economic Entomology, 69:741.

    Miller, R.W., Cecil, H.C., Carey, A.M., Corley, C. and Kiddy, C.A.
    1979      Effects of feeding diflubenzuron to young male Holstein
              cattle. Bulletin of Environmental Contamination and
              Toxicology, 23:482.

    Moreale, A. and Van Bladel, R. Influence of soil properties on
    1976      absorption of pesticide-derived aniline and p-chloroaniline.
              Journal of Soil Science, 27:48.

    Nimmo, W.B. and De Wilde, P.C. Fate of diflubenzuron on leaves of
    1974      corn, soybean, cabbage and apples. Duphar Report no.
              56635/16A/74. (Unpublished)

    Nimmo, W.B. and De Wilde, P.C. Degradation of diflubenzuron in soil
    1975a     and natural water. Duphar Report no. 56635/37/1975.
              (Unpublished)

    Nimmo, W.B. and De Wilde, P.C. Degradation of diflubenzuron in sterile
    1975b     water at pH 5,7, 9 and 12. Duphar Report no. 56635/32/75.
              (Unpublished)

    Nimmo, W. B. and De Wilde, P.C. Re-uptake from diflubenzuron treated
    1976a     soil by soybean, maize and tomato. Duphar Report no.
              56635/4/76. (Unpublished)

    1976b     Uptake of diflubenzuron and its metabolites from the soil by
              rice wheat. Duphar Report no. 56635/8/76. (Unpublished)

    Nimmo W.B. and De Wilde, P.C. Degradation of diflubenzuron in mushroom
    1977a     growth medium and uptake of its metabolites in the
              mushrooms. Duphar Report no. 56635/21A/77. (Unpublished)

    1977b     Degradation of diflubenzuron in cow and chicken manure.
              Duphar Report no.56635/27/77. (Unpublished)

    Nimmo, W.B.  et al. Fate of diflubenzuron applied to leaves and fruits
    1978      of apples trees. Duphar Report no. 56635/33/78.
              (Unpublished)

    Nimmo, W.B. and De Wilde, P.C. The fate of 14C-diflubenzuron on pine.
    1980      Duphar Report no. 56635/18/79. (Unpublished)

    Offer, J.M. Tumorigenicity of DU 112307 to mice, dietary
    1977      administration for 80 weeks. Addendum: histological
              examination of additional tissues, Huntingdon Research
              Centre Report PDR/250, addendum to PDR/170/75685.
              (Unpublished)

    Opdycke, J.C. Metabolism and fate of diflubenzuron in chickens and
    1976      swine. M. Sc.Thesis, Graduate School University of Maryland,
              College Park, USA.

    Palmer, A.K. and Hill, P.A. Effect of DU 112307 on reproduction
    1975a     function of multiple generations in the rat. Huntingdon
              Research Centre Report no. PDR/17375954. (Unpublished)

    1975b     Effect of DU 112307 on pregnancy of the rat. Huntingdon
              Research Centre Report no. PDR/192/74978. (Unpublished)

    1975c     Effect of DU 112307 on pregnancy of the New Zealand white
              rabbit. Huntingdon Research Centre Report no. PDR/193/74937.
              (Unpublished)

    Palmer, A.K.  et al. Preliminary assessment of the effect of DU 112307
    1977      on the rat. Huntingdon Research Centre Report no.
              PDR/243/77208. (Unpublished)

    1978      Effect of dietary administration of DU 112307 on
              reproduction function of one generation in the rat.
              Huntingdon Research Centre Report no. PDR/244/78653.
              (Unpublished)

    Patel, Y.M. and Santolucito, J.A. Selected toxicological studies of
    1980      Dimilin in weanling male rats. EPA-600/3-80-031.
              (Unpublished)

    Pimprikar, G.D. Mechanisms of resistance to Dimilin in Musca
    1977      domestica. Ph.D. Thesis University of California, Riverside,
              USA.

    Popp, F. Storage stability of Dimilin 25W, Duphar Report no.
    1977      56623/6/77. (Unpublished)

    Quarles, J.M., Norman, J.O. and Kubena, L.F. Absence of transformation
    1980      by diflubenzuron in a host-mediated transplacental
              carcinogen assay. Bulletin of Environmental Contamination
              and Toxicology, 25:252.

    Rabenor, B., De Wilde, P.C., De Boer, F.G., Korven, P.K., Di Prima, S.
    1978      J. and Canizzaro, R.D. In: G. Zweig (Ed.), Determination of
              diflubenzuron residues using GLC. Analytical Methods for
              Pesticides and Plant Growth Regulators. Vol. 10. Academic
              Press, New York, p. 57-72.

    Rieck, C.E. Soil column leaching study with Dimilin. University of
    1975      Kentucky, Lexington, USA. (Unpublished)

    Reinert, H.K. and Cannon, G.E. The evaluation of TH 6040 in four avian
    1976      species. Cannon Laboratories Report no. 5E-8680A-D.
              (Unpublished)

    Ross, D.B.  et al. DU 112307, 13-week oral toxicity study in sheep.
    1977a     Huntingdon Research Centre Report no. PDR/299/77226.
              (Unpublished)

    1977b     Blood red cell and plasma cholinesterase value following
              six-week inclusion of DU 112307 in the diet of sheep.
              Huntingdon Research Centre Report no. PDR/229A/77225.
              (Unpublished)

    1977c     The effects of DU 112307 on female chickens following
              dietary inclusion for 98 days. Huntingdon Research Centre
              Report no. PDR/240/77183. (Unpublished)

    Ross, D.B.  et al. The effects of DU 112307 on female chickens
    1979      following dietary inclusion for 98 days, (second study).
              Huntingdon Research Centre Report No. PDR/251/781030.
              (Unpublished)

    Schaefer, c. and Dupras, E.F. Factors affecting the stability in water
    1976      and the persistence of Dimilin in field waters. Journal of
              Agricultural and Food Chemistry, 24:733.

    Schaefer, C.  et al. The occurrence of p-chloroaniline and p-
    1980      chlorophenylurea from degradation of diflubenzuron in water
              and fish. Proc. 48th Annual Conference of California
              Mosquito & Vector Control Association, Anaheim, USA.

    Schwartz, S.L. and Borzelleca, J.F. Effects of diflubenzuron on met-
    1981      haemoglobin, sulph-haemoglobin and Heinz body production in
              cats. Georgetown University, Washington, D.C., USA
              (Unpublished)

    Seegmiller, R.E. and Booth, G.M. Teratogenic and biochemical effects
    1976      of TH 6040 and chick embryos. Brigham Young University,
              Provo, Utah, USA. (Unpublished)

    Seuferer, S.L., Braymer, H.D. and Dunn, J.J. Metabolism of
    1979      diflubenzuron by soil organisms and mutagenicity of the
              metabolites. Pesticide Biochemistry and Physiology, 10: 174.

    Smalley, H.E. Comparative toxicology of some insect growth regulators.
    1976      Clinical Toxicology, 9:27.

    Smith, K.S. and Merricks, D.L. TH 6040:Tissue residue and metabolism
    1976a     study in dairy cows. Cannon Labs, lab.no. 5E-7372 (March
              29). (Unpublished)

    1976b     TH 6040: tissue residue and metabolism study in poultry.
              Cannon Labs, lab.no. 5E-7372 (March 12). (Unpublished)

    Spencer-Jones, D.H. Letter from Duphar Midox to Duphar, 25 May.
    1979

    Stoolmiller, A.C. Toxicological study on the effect of diflubenzuron
    1978      on rat C-6 astrocytoma cells In vitro. Gen. Pharmac:, 9:11.

    Van den Berg, G. Uptake, translocation and metabolism of
    1978a     4-chlorophenylurea in tomato and broad bean. Duphar Report
              no. 56635/5/67. (Unpublished)

    1978b     Uptake and decarboxylation of 2,6-difluorobenzoid acid in
              tomato. Duphar Report no. 56635/4/78. (Unpublished)

    Van Eldik, A. Acute toxicity studies with DU 112307 in mice and rats.
    1973      Duphar Report no. 56645/14/73. (Unpublished)

    1974      Acute toxicity studies with DU 112307 (technical) in mice
              after intra-peritoneal administration. Duphar Report no.
              56645/1/74. (Unpublished)

    Verlopp, A. and Ferrell, C.D. Benzoylphenylureas, a new group of
    1977      larvicides interfering with chitin deposition. American
              Chemical Society Symposium.

    Willems, A.C.M.  et al. Diflubenzuron: Intestinal absorption and
    1980      metabolism in the rat. Xenobiotica, 10:103.


    See Also:
       Toxicological Abbreviations
       Diflubenzuron (EHC 184, 1996)
       Diflubenzuron (HSG 99, 1995)
       Diflubenzuron (Pesticide residues in food: 1983 evaluations)
       Diflubenzuron (Pesticide residues in food: 1984 evaluations)
       Diflubenzuron (Pesticide residues in food: 1985 evaluations Part II Toxicology)
       Diflubenzuron (JMPR Evaluations 2001 Part II Toxicological)