IPCS INCHEM Home


    WHO Pesticide Residues Series, No. 1

    1971 EVALUATIONS OF SOME PESTICIDE RESIDUES IN FOOD

    THE MONOGRAPHS

    The evaluations contained in these monographs were prepared by the
    Joint Meeting of the FAO Working Party of Experts on Pesticide
    Residues and the WHO Expert Committee on Pesticide Residues that met
    in Geneva from 22 to 29 November 1971.1

    World Health Organization

    Geneva

    1972

                     
    1 Pesticide Residues in Food: Report of the 1971 Joint Meeting of
    the FAO Working Party of Experts on Pesticide Residues and the WHO
    Expert Committee on Pesticide Residues, Wld Hlth Org. techn. Rep.
    Ser., No. 502; FAO Agricultural Studies, 1972, No. 88.

    These monographs are also issued by the Food and Agriculture
    Organization of the United Nations, Rome, as document AGP-1971/M/9/1.

    FAO and WHO 1972

    CHLORDIMEFORM

    IDENTITY

    Chemical name

    N'-(4-chloro-o-tolyl)-N,N-dimethylformamidine

    Synonyms

    Chlorphenamidine, C-8514, Schering 36,268, SN 36 268.

    Galecron(R), Acaron(R), Fundal(R), Spike(R).

    Structural formula

    CHEMICAL STRUCTURE 1

    Other information on identity and properties

    Chlordimeform is used as a free base or as its hydrochloride salt.
    Physical properties of both base and hydrochloride salt are given
    below.

                                                                   

                               Chlordimeform        Chlordimeform
                                    base            hydrochloride
                                                                   

    Melting point                   32°C               225-227°C
    Vapour pressure (20°)      3.5 × 10-4 Torr    2.2 × 10-7 Torr
    Solubility in water             250 ppm            >50%
    chloroform                      >20%              1-2%
    hexane                          >20%              0.1%
                                                                   

    Chlordimeform base is applied as an emulsifiable solution while the
    hydrochloride is used as a water-soluble powder.

    Technical chlordimeform hydrochloride has a purity of a least 96%. The
    major impurities are 2, methyl-4-chlorformamidine,
    4-chloro-o-toluidine-hydrochloride and sodium chloride.

    Chlordimeform is rather stable in strong acids. It is readily
    hydrolyzed, however, in weakly-acid to weakly alkaline solutions. Its
    half-life in water containing 5% of methanol was determined to be 42
    hours at pH 7 (30°C) and five hours at pH 9 (30°C) respectively.

    EVALUATION FOR ACCEPTABLE DAILY INTAKE

    Biochemical aspects

    Table I shows the potential metabolites for chlordimeform.

    Four 120 g male rats treated orally with 270 µg of phenyl
    H3-labelled (tritiated) chlordimeform secreted 19.74 to 23.03% of
    the dose in bile over a 24-hour period. Groups of four 130 g female
    rats similarly treated eliminated 52.8% (range 41.8-59.6%) and 2.5%
    (range 0.13-5.30%) in urine and faeces respectively in 24 hours. A
    pair of rats observed for 14 hours eliminated 66.2, and 64.9%
    administered H3 label in urine, and 11.4 and 14.9% administered H3
    label in faeces. Twenty-four hour elimination following intravenous
    injection of 270 µg phenyl H3-labelled chlordimeform in rat
    comprised 53.7% (range 52.0-55.6%) and 1.42% (range 1.19-1.84%)
    administered H3, in urine and faeces respectively (Gerhards and
    Kolb, 1966).

    The urine from a male rat collected over 72 hours subsequent to oral
    administration of 1.1 mg H3-labelled chlordimeform contained 49% of
    the administered H3 label. Free extractables comprised 22% of the
    H3 label, 10% was in the water phase and 17% was reactive to form
    extractable glucuronides. The free extractable H3 label comprised
    chlordimeform, 4-chloro-o-toluidine (IV),
    N-formyl-4-chloro-o-toluidine (III),
    N'-(4-chloro-o-tolyl)-N-methyl-formamidine (II). Glucuronides were
    based on the same compounds found as free extractables. The author
    notes that identified compounds may be formed after secretion of the
    urine (Gerhards, 1967).

    Single oral dosing of groups of three 120 g male rats with 270 µg
    phenyl H3-labelled chlordimeform resulted in residues of
    administered H3 label (expressed as percentage of dose/g of tissue)
    in liver (0.29%), kidney (0.22%) and lymph nodes (0.13%) after eight
    hours. After 24 hours, 0.35% and 0.13% of administered H3 were
    present per g of tissue in gastrointestinal tract (and content) and
    liver respectively. All other tissues contained less than 0.1% H3
    label/g at eight hours, and less than 0.06% H3 label at 24 hours.
    Twenty-four hour urine and faeces contained 57.5 and 3.9% of the total
    administered H3 label respectively compared with 46.4% and 4.3% from
    rats sacrificed at eight hours (Gerhards and Kolb, 1966).

    Three 120 g male rats were intubated with 270 µg phenyl H3-labelled
    chlordimeform for seven consecutive days. Fifty-nine per cent. and 10%
    of the administered H3 label were voided in urine and faeces
    respectively during the dosing period. Tissue residues at the
    termination of dosing were less than 0.03% of the administered H3
    label (Gerhards and Kolb, 1966).

    TABLE I. POTENTIAL TRANSFORMATION PRODUCTS OF CHLORDIMEFORM

    CHEMICAL STRUCTURE 2

    (I)       N'-(4-chloro-o-tolyl)-N,N-dimethylformamidine
              (chlordimeform)

    CHEMICAL STRUCTURE 3

    (II)      N'-(4-chloro-o-tolyl)-N-methyl formamidine desmethyl
              chlordimeform

    CHEMICAL STRUCTURE 4

    (III)     N-formyl-4-chloro-o-toluidine

    CHEMICAL STRUCTURE 5

    (IV)      4-chloro-o-toluidine

    CHEMICAL STRUCTURE 6

    (V)       N-formyl-5-chloroanthranilic acid

    CHEMICAL STRUCTURE 7

    (VI)      5-chloroanthranilic acid

    CHEMICAL STRUCTURE 8

    (VII)     2,2'-dimethyl-4,4'-dichloro-azobenzene

    Pairs of male and female rats were treated orally with 3 µCi of
    C14-toly, labelled chlordimeform. A similar group received C14
    methyl labelled 4-chloro-o-toluidine (IV). Urine and faeces were
    collected at 3, 12, 24, 48 and 72 hours after dosing. Urinary and
    faecal elimination of C14 label after 72 hours comprised 88% and
    7.5% of the administered dose of chlordimeform-C14, and 71% and
    24.5% of the administered 4-chloro-o-toluidine-C14. Chloroform
    extraction removed 30% of the radioactivity from the urine of
    chlordimeform-C14 treated rats, the extract containing
    chlordimeform, N'-(4-chloro-o-tolyl)-N-methylformamidine (II),
    N-formyl-4-chloro-o-toluidine (III), and 4-chloro-o-toluidine
    (IV), in addition to three unidentified metabolites. A considerable
    amount of radioactivity remained at the point of origin of the
    chromatograph, the amount remaining increasing with time, (30% at
    three hours and 75% at 72 hours). At three hours, the four identified
    compounds were present in approximately equal amounts. By 12 hours the
    level of N'-(4-chloro-o-tolyl)-N-methylformamidine (II) had
    decreased to approximately 25% of the level of any of the other three
    compounds. By 48 hours, chlordimeform levels were half those of the
    other two compounds, and by 72 hours, N-formyl-4-chloro-o-toluidine
    (III) was present in the greatest proportion. At sacrifice (72 hours),
    tissue levels based upon C14 levels were 0.21 ppm in liver, 0.15 ppm
    in muscle, 0.11 ppm in fat and less than 0.1 ppm in other tissues.
    Metabolites in ethyl acetate-extracted urine from rats given
    C14-labelled 4-chloro-o-toluidine (IV) comprised
    5-chloroanthranilic acid (VI) and N-formyl-5-chloroanthranilic acid
    (V). The proportion of unmetabolized 4-chloro-o-toluidine (IV)
    decreased with time whilst that of N-formyl-5-chloroanthranilic acid
    (V) increased. The level of 5-chloroanthranilic (VI) acid remained
    constant. A large amount (20-50%) of the radioactivity remained at the
    origin of the chromatograph. Five unidentified compounds were noted.
    Tissue levels based upon C14 levels at 72 hours after dosing were
    0.33 ppm in fat. 0,26 ppm in liver, 0.2 ppm in kidney and oviduct,
    0.1 ppm in brain, and less than 0.1 ppm in other tissues (Knowles and
    Sen Gupta, 1970).

    Two female dogs (18 and 20 kg) were given a single oral dose of 10 µCi
    chlordimeform C14, and a single male dog (12 kg) which had undergone
    cannulation of the gall-bladder and ligation of the bile duct was
    given 20 µCi chlordimeform C14 orally. Urine was collected (by
    catheterization) at 1, 3, 6, 12, 24, 48 and 72 hours. Faeces were
    collected at similar time intervals. Of the administered C14 85% was
    recovered in urine, 0.6% in faeces, and 5% in the bile by 72 hours.
    Chloroform extraction of the urine removed 10% of the radioactivity.
    Thin-layer chromatography of the extract revealed chlordimeform,
    N'-(4-chloro-o-tolyl)-N-methylformamidine (II) and
    4-chloro-o-toluidine (IV) in about equal quantities, but about four
    times as much N-formyl-4-chloro-o-toluidine (III) at one hour after
    treatment. The level of unchanged chlordimeform and
    N'-(4-chloro-o-tolyl)-N-methylformamidine (II) decreased steadily
    with time, whereas 4-chloro-o-toluidine (IV) and
    N-formyl-4-chloro-o-toluidine (III) rose to maximum levels between
    six and 12 hours prior to tapering off. Three unidentified metabolites
    were present. In addition a lot of the radioactivity remained at the
    origin of the chromatograph. Re-runs of this material in polar
    solvents showed 5-chloroanthranilic acid (VI),
    N-formyl-5-chloroanthranilic acid (V) and three unidentified compounds
    were present. Some radioactivity still remained at the origin. The
    urinary C14 not extracted by chloroform was treated with enzymes
    (ß-glucuronidase, ß-glucuronidase-aryl sulfatase) to form "aglycones".
    About 75% of the remaining C14 was extracted in this manner
    (hydrochloric acid released 62%), and thin-layer chromatography showed
    the same compounds as found in the chloroform extract, the major
    metabolite being N-formyl-4-chloro-o-toluidine (III). In addition,
    more of one of the unidentified metabolites was present. Again
    re-chromatography of the 45% radioactivity remaining at the origin
    with more polar solvents revealed 5-chloroanthranilic acid (VI) to be
    the major product. In the bile, peak concentration of radioactivity
    occurred at eight hours. About 10% of this activity could be
    partitioned into ether, and thin-layer chromatography of the extract
    indicated the same four compounds seen in urine chloroform extract.
    N'-(4-chloro-o-tolyl)-N-methyl-formamidine (II),
    N-formyl-4-chloro-o-toluidine (III) and an unidentified compound
    accounted for most of the activity at two hours. By six hours, 75% of
    the activity was due to N-formyl-4-chloro-o-toluidine (III).
    Incubation of extracted bile with enzyme or acid gave the same

    "aglycone" compounds as found in urine. Tissue residues of C14 at 72
    hours ranged from 72 ppb in liver through kidney (30 ppb), lung (13.5
    ppb), spleen and brain (11.9 ppb), heart and fat to pancreas at 5 ppb
    (Sen Gupta and Knowles, 1970).

    Incubation of chlordimeform (H3 labelled) for 120 minutes with rat
    liver homogenate resulted in 24% unchanged chlordimeform, 45%
    4-chloro-o-toluidine, and 11% unidentified metabolites being formed.
    Rabbit liver homogenate yielded 53%, 40% and 7% respectively (Gerhards
    & Kolb, 1966). The rat liver homogenate studies were confirmed using
    C14 labelled chlordimeform. In addition, chlordimeform degradation
    was shown to require the presence of nicotinamide. Three unidentified
    metabolites were also observed. No azo-derivatives were detected.
    Spleen homogenates were inactive with regard to chlordimeform
    degradation (Rose, 1969a).

    Further in vitro studies have shown that plant peroxidases can
    result in the production of symmetrical azo-derivatives from
    4-chloro-o-toluidine. Animal catalases do not result in formation of
    azo-derivatives (see below) (Rose, 1969b).

    Incubation of 60 µg H3-labelled chlordimeform (30 µCi) with 5 ml
    human plasma yielded N-formyl-4-chloro-o-toluidine only. Conversion
    was 25% in five hours, and 50% in 20 hours (Gerhards and Kolb, 1966).

    A number of experiments were conducted by Ciba Ltd (1969c, d) to
    verify the presence or absence of azobenzene formation from
    chlordimeform or 4-chloro-o-toluidine in mammalian tissues. In the
    first series it was demonstrated that peroxidase activity was
    negligible in rat liver and spleen. Furthermore, catalase, which was
    abundant in the same tissues, and which, like peroxidase, catalyzes
    reactions between hydroxyperoxides and many oxidizable compounds, was
    shown to be unable to form symmetrical azo-derivatives from
    4-chloro-o-toluidine. In the second series of experiments it was
    demonstrated that rat liver and spleen homogenates, which were
    fortified with nicotinamide, and which degraded chlordimeform to
    N-desmethyl-chlordimeform (II) and small quantities of
    N-formyl-4-chloro-o-toluidine (III) and 4-chloro-o-toluidine (IV)
    respectively, did not form any azobenzene derivatives. These compounds
    therefore do not represent metabolites of chlordimeform or its
    aromatic amine degradation products in animal tissues.

    Chlordimeform degradation has been shown to proceed according to the
    following pathways (Knowles, 1970):

    CHEMICAL STRUCTURE 9

    See also "Fate of Residues. In Animals".

    TOXICOLOGICAL STUDIES

    Special Studies

    (a)  Pharmacological studies

    Chlordimeform hydrochloride was administered at graded doses of 0.01,
    0.1, 1.0, 10 and 100 mg to the isolated perfused rabbit heart, the
    organ being challenged with norepinephrine before and after dosing.
    Contractile force was substantially decreased by 1.0 mg. Effect on
    coronary flow and cardiac rate was less marked. Higher doses
    temporarily stopped heart contractions. Guinea-pig isolated ileum was
    exposed to graded doses of 1.0, 3.2, 10, 32, 100 and 320 µg/ml of
    chlordimeform hydrochloride and evaluated for its effect on
    acetylcholine, serotonin, histamine and barium induced contractions.
    Bath concentrations of 3.2 µg/ml inhibited histamine contractions by
    about 50% concentrations of 320 µg/ml were required to induce a
    similar effect on acetylcholine, serotonin, and barium induced
    contractions. In the intact dog, effect of graded doses of 1, 3, 10,
    30 or 100 mg/kg chlordimeform hydrochloride on blood pressure, cardiac
    rate, respiration, vasomotor response to epinephrine, acetylcholine,
    histamine, tyramine, DMPP, carotid occlusion and peripheral vagal
    stimulation were evaluated. Chlordimeform hydrochloride exerted a
    hypotensive effect and caused increased respiration. A dose of 100
    mg/kg was lethal. Vasomotor response to tyramine was enhanced, whereas
    the pressor response to carotid occlusion was blocked (Teeters and
    Blackmore, 1968).

    (b)  Reproduction studies

    Rat. Four groups of 10 male and 20 female rats were fed 0, 100, 250
    and 500 ppm chlordimeform in corn oil via the diet during three
    parental, and three two-litter filial generations. Parental
    body-weight prior to mating tended to be reduced in all test groups,
    especially at 500 ppm. The same tendency was apparent with regard to
    food consumption. Fertility index, gestation index, live birth index,
    sex ratio, mean litter size, and birth weight of pups were comparable
    to controls in all generations. At 500 ppm, lactation index was
    reduced in F1a, F1b and F3a litters. Weaning weight of offspring was
    depressed in all 500 ppm litters. Gross pathological examinations on
    parents and pups dying during the study, and on 10 male and 10 female
    weanlings of the F3b generation revealed no compound related effects
    (Blackmore, 1969a).

    Rabbit. Three groups of 10 impregnated female New Zealand white
    rabbits (the day of impregnation being considered as day 0 of
    gestation) were intubated on days 8 through 16 of gestation with 0,
    7.5 or 30 mg chlordimeform/kg/day. Five rabbits per group were
    sacrificed on day 28 of gestation. Parental mortality, abortion rate,
    corpora lutea to implantation ratio, litter size, incidence of
    resorptions, stillbirths, foetal weight, foetal length, and incidence
    of skeletal, and tissue abnormalities were unaffected by the test
    compound. In rabbits littering normally, gestation length, litter size
    and litter weights were normal (Blackmore, 1969b).

    (c)  Studies on metabolites

    Oral LD50 determinations in male and female rats.


                                                                                                        
                                                Duration      LD50
                                                of            (mg/kg)
    Compound                                    observation   (days)        References
                                                                                                    

    N'-(4-chloro-o-tolyl)-N-methylformamidine   14             150          Sachsse and Bathe, 1971a

    N-formyl-4-chloro-o-toluidine               14             2900         "       "   "      1970a

    4-chloro-o-toluidine
    (base)                                      7              ca1000       "       "   "      1971c

    4-chloro-o-toluidine -HCl                   14             860          "       "   "      1970d

    Phenamidine (base)                          7              ca1500       "       "   "      1971d

    Phenamidine - HCl                           14             860          "       "   "      1970f

    o-chlordimeform (base)                      7              300-400      "       "   "      1971f

    o-chlordimeform - HCl                       14             540          "       "   "      1970h

    Dichlordimeform (base)                      7              ca900        "       "   "      1971h

    Dichlordimeform - HCl                       14             260          "       "   "      1971j
                                                                                                    

    Dermal LD50 determinations in male and female rats (24 hours occluded exposure).

                                                                                                 
                                               Duration          LD50
                                                  of         (mg/kg)
            Compound                          observation    (days)       References
                                                                                                 

    N'-(4-chloro-o-tolyl)-N-methylformamidine  14          >2150          Sachsse and Bathe,1971b

    N-formyl-4-chloro-o-toluidine              14          <2150          "       "   "     1970b

    4-chloro-o-toluidine
    (base)                                     7           ca1800         "       "   "     1971c

    4-chloro-o-toluidine -HCl                  14          <2150          "       "   "     1970e

    Phenamidine (base)                         7           ca1800         "       "   "     1971e

    Phenamidine - HCl                          14          <2150          "       "   "     1970g

    o-chlordimeform (base)                     7           ca300          "       "   "     1971g

    o-chlordimeform - HCl                      14          800            "       "   "     1970i

    Dichlordimeform (base)                     7           ca950          "       "   "     1971i

    Dichlordimeform - HCl                      14          <2150          "       "   "     1970k
                                                                                                 


    Acute toxicity

         ACUTE TOXICITY OF CHLORDIMEFORM BASE


                                                                                    
                                          LD50
    Animal   Route           Sex          (mg/kg)          References
                                                                                    

    Mouse    i.p.            Mixed        110         Sachsse and Ullman, 1970

    Rat      Oral            Male         178         Weir, 1968

    Rat      Oral            Female       460         Weir, 1968

    Rat      Oral            Male         220         Mastri et al., 1969

    Rat      Oral            Female       170         Mastri et al., 1969

    Dog      Oral            Female       ca100       Weir, 1967

    Dog      Oral            Male         ca150       Hurni and Sachsse, 1969a

    Dog      Oral            Female       ca400       Hurni and Sachsse, 1969a

    Rat      Dermal          Mixed        640         Sachsse and Bathe, 19701

    Rat      Inhalation*     Mixed        17 400      Sachsse and Ullman, 1971
                                          mg/m3
                                                                                    

    * Inhalation exposure was for one hour.

    

    Hypoactivity, dyspnoea, muscular weakness, tremours, straub tail,
    spasms and convulsions preceded death following oral administration.
    Dyspnoea, exophthalmus, prostration, spasms and convulsions preceded
    death following dermal application. No local skin irritation occurred.
    No pathological changes were noted in rat following oral treatment,
    although pale or blotchy livers, pale kidneys, and haemorrhagic
    intestinal contents were observed after dermal treatment. In the dog,
    oral administration resulted in congestion of liver, kidneys, and
    lungs (the lungs also being oedomatous and haemorrhagic).

        ACUTE TOXICITY OF CHLORDIMEFORM HYDROCHLORIDE

                                                                                
                                           LD50
    Animal   Route            Sex          (mg/kg)         References
                                                                                

    Mouse    Oral             Mixed        220      Gunzel and Richter, 1967

    Rat      i.v.             Male         95       Tripod, 1967

    Rat      s.c.             Male         130      Tripod, 1967

    Rat      Oral             Mixed        265      Gunzel and Richter, 1965

    Rat      Oral             Mixed        355      Gunzel and Richter, 1965

    Rat      Oral             Male         305      Tripod, 1967

    Rat      Oral             Male         325      Mastri et al., 1969

    Rat      Oral             Female       330      Mastri et al., 1969

    Rat      Dermal                        ca4000   Gunzel and Richter, 1966a

    Rabbit   Dermal                        >4000    Gunzel and Richter, 1966b

    Rat      Inhalation*                   >5.8     Sachsse and Ullman, undated
                                            g/m3
                                                                                

    * Inhalation exposure was for one hour.
    
    Symptoms were similar to those for the base.

        ACUTE TOXICITY OF CHLORDIMEFORM FORMULATIONS

                                                                                 

                                              LD50
    Animal    Route    Sex      Formulation   (mg/kg)    References
                                                                                 

    Mouse     Oral     Male     EC 50         320        Aohi and Meda, 1966

    Mouse     Oral     Female   50 s.p.       752        Shionogi C, undated

    Rat       Oral     Mixed    EC 50         610        Hurni and Sachsse, 1969b

    Rat       Dermal   Mixed    EC 50         2100       Sachsse and Bathe, 1971j

    Rat       Dermal   Mixed    50 s.p.       >3000      Hurni and Sachsse, 1969c

    Rat       Oral     Mixed    50 s.p.       1100       Gunzel and Richter, 1969

    Dog       Oral     Mixed    50 s.p.       400        Gunzel and Richter, 1968
                                                                                 
    
    A suicide victim ingested 30 ml of Galecron(R) 50 formulation. Upon
    admission to hospital, an unknown time after drinking chlordimeform
    solution, the patient was comatosed; and respiration and heartbeat had
    ceased. The latter was restored by massage and adrenaline injection. A
    respirator was used but death occurred within 24 hours. No autopsy was
    performed (Oda, 1969).

    Short-term studies

    Rat. Four groups of 10 male and 10 female rats were intubated six
    times weekly for one month with 0.5 ml/100 g body-weight of 2% CMC,
    containing chlordimeform base at concentrations such as to give dose
    levels of 0, 25, 50 or 100 mg/kg/dose. Body-weight was markedly
    reduced in both sexes at 100 mg/kg/dose. Hyperexcitability was
    observed in all test animals. At 100 mg/kg this was apparent 20-30
    minutes after dosing, and was followed two to three hours after dosing
    by decreased activity and apathy. Recovery was complete at four hours.
    Similar effects were observed at 50, and 25 mg/kg/dose, but on a dose
    related decreased scale, and with inconsistent frequency (Surber and
    Cerioli, 1966).

    Dog. Four groups of beagle dogs were fed 0 (10 male and 10 female)
    250 (eight male and eight female), 500 (eight male and eight female)
    or 1000 (10 male and 10 female) ppm of chlordimeform in a dry diet for
    two years. Two male and two female dogs were sacrificed from each
    group at 26, and 52 weeks. Body-weight was reduced at 1000 ppm, the
    effect being slightly more pronounced in the females, Total leucocyte
    counts were sporadically elevated in both sexes at 1000 ppm and in

    females at 500 ppm. Haematocrit, haemoglobin, and erythrocyte counts
    tended to be depressed terminally in both sexes at 1000 ppm. Sporadic
    slight decreases in serum albumin were observed, more frequently in
    males, at 1000 ppm. Terminal spleen to body-weight ratio was elevated
    in males at 500 and 1000 ppm, and in females at 1000 ppm. Kidney to
    body-weight ratio was elevated in females at 1000 ppm.
    Histopathological examinations revealed bile duct hyperplasia,
    pericholangitis and nodular hepatocytic hyperplasia at 500 and 1000
    ppm in both sexes, and nodular hepatocytic hypertrophy at 1000 ppm in
    both sexes in the liver. Kidneys showed an increased amount of
    pigmentation at 500 and 1000 ppm in both sexes (Blackmore, 1969c).

    Long-term studies

    Rat. Five groups of 35 randomized male and 35 randomized female rats
    (except at 100 ppm where 34 males and 36 females were used) were fed
    0, 100, 250, 500 or 1000 ppm in the diet. The 100 ppm group commenced
    treatment seven weeks after the other groups. This group was
    originally part of the control group. Animals at that time were of
    similar weight to those which had already been on test. The 1000 ppm
    group was discontinued at three months due to severe growth
    inhibition. Growth inhibition was observed in the males at 500 and
    1000 ppm. In the females weight gain was reduced at 250 ppm and above.
    In addition, female body-weight was reduced at 100 ppm between weeks
    20 and 48. (This reduction may possibly be due to reduced food intake
    (Weatherholtz, 1970) although this may not be the complete explanation
    (Lyon, 1970).) Food intake was significantly reduced at 500 and 1000
    ppm in both sexes. Dose related decreases in haematocrit, haemoglobin,
    and erythrocyte counts, and a dose related increase in the leucocyte
    count occurred in females at 250 and 500 ppm up to one year. During
    the second year, haematocrit only was consistently depressed in
    females at 500 ppm. Histo-pathological changes in the liver (nodules,
    and foci of hyperplasia of hepatocytes) occurred in all groups, but
    the incidence was greater at 250 and 500 ppm, and was more severe at
    500 ppm. Some females at 500 ppm showed slight hypertrophy and
    vacuolation of focal groups of cells in the adrenal cortex. Terminal
    organ to body-weight ratios were increased in the liver (females at
    250 and 500 ppm and males at 100 and 250 ppm), kidney (females at 250
    and 500 ppm), thyroid (females at 250 and 500 ppm), heart (males at
    250 ppm and females at 500 ppm), adrenals (males at 100 and 250 ppm)
    and testes (100 and 500 ppm) (Blackmore, 1969d).

    Comments

    Chlordimeform appears to be fairly rapidly excreted in animals and
    does not appear to be stored in body tissue. Information on metabolism
    in man would however be of interest. A long-term feeding study is
    available in the rat and a two-year study in the dog from which a
    no-effect level was established. The Meeting expressed particular
    concern about effect on organ to body-weight ratios in the rat and on
    the histopathology of the liver and bile ducts of both the rat and the
    dog. In these species nodular changes were observed in the liver but
    histopathological information is insufficient to determine their

    toxicological significance. Also of some concern were effects on the
    total leucocyte counts of the dog and the pharmacological effects on
    the heart and circulation together with the fact that the compound
    appears to potentiate the effect of tyramine.

    Because of the concern expressed above only a temporary acceptable
    daily intake was established for this compound.

    TOXICOLOGICAL EVALUATION

    Level causing no toxicological effect

    Rat - 100 ppm in the diet equivalent to 5 mg/kg body-weight per day

    Dog - 250 ppm in the diet equivalent to 6.25 mg/kg body-weight per day

    Estimate of temporary acceptable daily intake for man

    0-0.01 mg/kg body-weight.

    RESIDUES IN FOOD AND THEIR EVALUATION

    Use pattern

    Treatment of plants

    Chlordimeform is a broad spectrum acaricide/insecticide applied to the
    foliage of fruit, vegetables and other field crops acting through
    contact and feeding and through vapour action on all stages of insects
    and mites, including eggs of mites.

    Pre-harvest treatments

    Chlordimeform products have been registered in many countries for use
    on a wide variety of crops of which typical examples are given in
    Table 1.

    Post-harvest treatment

    No post-harvest treatments with chlordimeform are known.

    Treatment of animals

    In Australia chlordimeform is registered for use in cattle dips for
    the control of cattle ticks (Boophilus micropus), the application
    rate being 0.01-0.02% solution applied each 21 days by dipping often
    in combination with organo-phosphorus acaricides such as dioxathion,
    ethion, coumaphos, Dursban, bromophos-ethyl. Experimental work
    designed to evaluate chlordimeform for use alone at a concentration of
    0.1% is at an advanced stage.

    Residues resulting from supervised trials

    Fruit and vegetable crops

    Detailed residue data are available from supervised trials in many
    countries on many important crops and reports have been deposited with
    FAO. The residue results are remarkably consistent between different
    trials and different countries.

    The most important and consistent feature of the residue trial data is
    that the residue level remains remarkably constant irrespective of the
    pre-harvest interval. On apples, grapes, citrus, peaches, pears, plums
    and tomatoes the residue levels from sprays applied 30 days
    pre-harvest are usually no more than half the level found when similar
    rates were applied one to two days prior to harvest.

    This rather unusual pattern is partly due to the analytical method
    which determines all 4-chloro-o-toluidine containing metabolites
    and/or conjugates as well as the unchanged parent compound.

    Table II gives a representative sample of the results of supervised
    residue trials carried out using registered label recommendations, use
    patterns and rates of application.

    Ciba and Schering (1971) have reported more than 50 trials designed to
    determine the proportion of metabolites and parent compound in the
    residues remaining on fruits at various intervals after application.
    The separation of the components in the residue was performed by
    thin-layer chromatography and by gas-chromatography.

        TABLE II. REGISTERED USE PATTERNS FOR CHLORDIMEFORM

                                                                      

                                                            Pre-harvest
      Country              Crop               Rate          interval
                                                                      

    Argentina       pome fruits            0.06-0.09%       28 days

    Australia       cattle                 0.02%            1 day
                    cotton                 0.1%
                    pome & stone fruits    0.1%             7 days
                    strawberries           0.05%            7 days

    Austria         fruit trees            0.05%            -

    Brazil          horticulture           0.05%

    Canada          fruit trees            0.06%            14-28 days
                    cole crops             0.05%            28 days

    TABLE II. (cont'd)

                                                                      

                                                            Pre-harvest
      Country              Crop               Rate          interval
                                                                      
    Denmark         fruit trees            0.05%            -

    France          pome fruits            0.05%            15 days
                    grapes                 0.05%            15 days
                    vegetables             0.05%            15 days

    Germany         fruit trees            0.05%            -
                    hops, grapes           0.05%            -

    Greece          horticulture           0.05%            -

    Israel          deciduous fruit           -             -

    Italy           fruit trees            0.05%            -
                    citrus, grapes         0.05%            -

    Japan           apples                 0.05-0.025%      -
                    citrus                 0.05-0.035%      -
                    pears                  0.05-0.035%      -

    Yugoslavia      fruit trees            0.05-0.15%       -
                    vegetables             0.05-0.15%       -

    New Zealand     pome fruits            0.06%            14 days
                    peaches                0.06%            14 days
                    strawberries           0.06%            7 days

    Peru            cotton                 1 kg/ha          15 days

    South Africa    citrus                 0.05%            14 days
                    tomatoes               0.075%           30 days

    Switzerland     pome fruits            0.05%            6 weeks
                    grapes                 0.05-0.075%      6 weeks

    Turkey          apples                 0.05%            -
                    citrus, cherries       0.05%            -
                    cotton                                  -

    USA             apples                 4 kg/ha          14 days
                    citrus                 4-6 kg/ha        -
                    pears                  4 kg/ha          28 days

    Venezuela       cotton, citrus         0.3-0.5 kg/ha    -
                    horticulture           0.3-0.5 kg/ha    -
    

        TABLE III

                                                                                                                                     

                                                                                                Time interval in days
                                                                                                                                    
           Fruit
           sample            Origin      Year   Concentration   No.   Formulation   0-1     2-4     5-9     10-19      20-30    31-60
                                                                                                                                     

    Apples                USA            1967       0.06        3         s.p.      3.3                     1.3        1.3      1.4
                          USA            1969       0.06        2         s.p.      8.3             1.9     1.4        1.2      0.6
                          USA            1969       0.12        2         s.p.      8.6             4.5     2.8        1.2      1.7
                          USA            1969       0.12        3         e.c.      2.9             2.0     1.0        1.2
                          Canada         1969       0.06        2         s.p.                                         1.6
                          Australia      1969       0.04        3         s.p.      1.2     1.8     2.5     0.5        0.9      0.8
                          New Zealand    1970       0.05        1         s.p.      1.5             1.0     0.7        0.6
                          New Zealand    1970       0.1         1         s.p.      2.2             1.2     0.9        0.8
                          South Africa   1969       0.05        1         s.p.      0.6             0.6                0.5      0.5
                          England        1967       0.08        1         e.c.      3.3             2.6     2.7        1.2      1.2
                          Germany        1966       0.06        1         s.p.      1.8             1.9     1.6        0.8      0.5
                          Germany        1969       0.034       1         s.p.      1.5             1.0     0.6        0.5
                          Germany        1969       0.07        1         s.p.      2.5             1.8     1.5        0.7
                          Switzerland    1965       0.05        1         s.p.      1.1     1.0     1.2     0.6        0.5      0.5
                          Switzerland    1967       0.05        1         e.c.      2.3                     1.3        1.0      0.5

    Cherries              USA            1968       0.06        1         e.c.      1.9                     0.5        0.3      0.2
                          USA            1968       0.12        1         e.c.      3.7                     1.3        1.1      0.7

    Grapes                USA            1969       0.06        2         s.p.      1.6             0.8     0.5        0.5
                          USA            1969       0.12        2         s.o.      2.9             2.8     1.6        1.8
                          Germany        1970       0.034       2         s.p.      2.0             1.3     1.3        1.0
                          Germany        1970       0.034       2         s.p.      2.8             2.3     2.3        1.8
                          Italy          1968       0.034       1         s.p.      2.6             1.2     1.2        0.6
                          Italy          1968       0.045       1         s.p.      1.8             1.5     1.2        1.2

    TABLE III (cont'd)

                                                                                                                                     

                                                                                                Time interval in days
                                                                                                                                    
           Fruit
           sample            Origin      Year   Concentration   No.   Formulation   0-1     2-4     5-9     10-19      20-30    31-60
                                                                                                                                     
    Oranges

      Pulp                Italy          1967       0.1         1         w.p.              0.2             0.3        0.2      0.3
      Peel                Italy          1967       0.1         1         w.p.              3.8             3.6        2.3      2.2
      Whole               Italy          1967       0.1         1         w.p.              1.1             1.1        0.8      0.7
      Pulp                Italy          1968       0.05        1         s.p.      0.2     0.3     0.1     0.2        0.08     0.1
      Peel                Italy          1968       0.05        1         s.p.      4.6     3.8     1.7     3.7        2.2      2.3
      Whole               Italy          1968       0.05        1         s.p.      1.5     1.2     0.5     1.1        0.7      0.7
      Pulp                Spain          1968       0.08        1         s.p.                      0.4     0.4                 0.4
      Peel                Spain          1968       0.08        1         s.p.                      12.1    10.9                6.0
      Whole               Spain          1968       0.08        1         s.p.                      3.5     3.5                 2.0

    Peaches               USA            1969       0.06        1         e.c.      6.6             5.0     4.4        2.3
                          USA            1969       0.06        1         s.p.      5.9             3.4     2.8        1.9
                          Australia      1970       0.04        1         s.p.      1.0     1.2     0.4     1.7        0.6      0.4
                          Australia      1970       0.08        1         s.p.      2.0     2.0     1.1     3.1        1.4      1.1
                          France         1969       0.05        1         s.p.      1.5     1.1     0.5     0.5
                          France         1969       0.1         1         s.p.      1.5     0.9     1.0
                          USA            1970       0.06        2         e.c.      7.5             6.6     4.1        3.3
                          USA            1970       0.06        2         s.p.      3.7             3.2     2.4        1.5

    Pears                 USA            1969       0.06        2         s.p.      7.8             6.1     4.4        3.5      2.8
                          USA            1969       0.06        2         e.c.      6.4             5.5     4.1        2.8      1.6
                          Australia      1970       0.04        1         s.p.      1.5     1.1     0.7     1.7        0.6      0.7
                          Australia      1970       0.08        1         s.p.      3.0     2.4     1.6     2.2        1.6      1.3

    Plums                 USA            1970       0.06        2         e.c.      1.7             1.3     1.9        1.7
                          USA            1970       0.06        2         s.p.      0.5             0.5     0.5        0.4
                          Germany        1969       0.07        1         s.p.      0.7             0.5     0.4        0.3
                          Germany        1969       0.07        1         s.p.      1.1             1.2     0.6        0.5

    TABLE III (cont'd)

                                                                                                                                     

                                                                                                Time interval in days
                                                                                                                                    
           Fruit
           sample            Origin      Year   Concentration   No.   Formulation   0-1     2-4     5-9     10-19      20-30    31-60
                                                                                                                                     
    Strawberries          USA            1968       0.06        1         e.c.              5.7     4.0     3.6        2.6      0.04
                          USA            1968       0.12        2         s.p.                      1.8
                          England        1967       0.1         1         e.c.                                         1.8
                          England        1967       0.1         1         s.p.                                         2.1

    Tomangos

      Whole               South Africa   1970       0.2         1         s.p.                              2.7        2.6      2.9
      Pulp                South Africa   1970       0.2         1         s.p.                              1.0        0.9      1.3
      Peel                South Africa   1970       0.2         1         s.p.                              7.0        6.5      7.1

    Walnuts

      Meat                USA            1968       0.06        1         s.p.                                                  <0.05
      Meat                USA            1970       0.06        2         s.p.                                                  <0.05

    Beans

      Pod                 Germany        1969       0.034       1         s.p.      0.5             0.2     0.1
      Pod                 Germany        1969       0.07        1         s.p.      0.5             0.1     0.1

    Broccoli

      Head trimmed        USA            1970       0.05        5         s.p.      1.7     0.8     0.4     0.2
      Head trimmed        USA            1970       0.1         5         s.p.      4.4     1.2     0.7     0.2
      Head trimmed        Canada         1970       0.05        2         s.p.                      2.4     0.8
      Head trimmed        Canada         1970       0.05        6         s.p.              3.7     1.7     1.3

    Brussels sprouts      USA            1969       0.06        9         e.c.      2.8     2.1     1.9
                          Canada         1970       0.05        6         s.p.              3.6     3.5     3.1
                          Canada         1970       0.05        8         s.p.              5.5     3.8     2.8

    TABLE III (cont'd)

                                                                                                                                     

                                                                                                Time interval in days
                                                                                                                                    
           Fruit
           sample            Origin      Year   Concentration   No.   Formulation   0-1     2-4     5-9     10-19      20-30    31-60
                                                                                                                                     
    Cabbage

      Head trimmed        USA            1968       0.2         6         e.c.      4.3     0.6             0.2
      Head trimmed        USA            1969                   1         e.c.                      0.2
      Head trimmed        USA            1969                   11        s.p.      1.5             1.2     1.4
      4 outer leaves      Canada         1969                   4         s.p.                              0.5
      Inner head          Canada         1969                   4         s.p.                              <0.05

    Cauliflower

      Head trimmed        USA            1969                   6         s.p.      2.6     2.6     0.5
      Head trimmed        USA            1970                   4         s.p.      3.6     2.5     1.9
      Head trimmed        USA            1970                   4         s.p.      14.9    8.4     3.7

    Cotton

      Seed                USA            1970       0.5         9         e.c.                                                  0.22
      Lint cotton         USA            1970       0.5         9         e.c.                                                  0.37
      Delinted 
        cotton-seed       USA            1970       0.5         9         e.c.                                                  0.19
      Linters             USA            1970       0.5         9         e.c.                                                  0.47
      Cottonseed hulls    USA            1970       0.5         9         e.c.                                                  0.20
      Solvent extract
        meal              USA            1970       0.5         9         e.c.                                                  0.15
      Screwpress
        extracted meal    USA            1970       0.5         9         e.c.                                                  0.09
      Crude solvent
        extracted oil     USA            1970       0.5         9         e.c.                                                  0.11
      Refined solvent
        extracted oil     USA            1970       0.5         9         e.c.                                                  0.09
      Crude screwpress
        oil               USA            1970       0.5         9         e.c.                                                  0.17

    TABLE III (cont'd)

                                                                                                                                     

                                                                                                Time interval in days
                                                                                                                                    
           Fruit
           sample            Origin      Year   Concentration   No.   Formulation   0-1     2-4     5-9     10-19      20-30    31-60
                                                                                                                                     
      Refined 
        screwpress oil    USA            1970       0.5         9         e.c.                                                  0.14
      Seed                USA            1970       0.2         6         e.c.      1.8     1.6             2.3
      Seed                USA            1970                   6         s.p.      2.0     1.8             2.4
      Oil crude           USA            1968                   10        s.p.                                         1.2
      Oil refined         USA            1968                   10        s.p.                                         1.0
      Oil crude           USA            1968                   10        s.p.                                         4.0
      Oil refined         USA            1968                   10        s.p.                                         3.6
      Oil crude           USA            1970                   9         e.c.                                                  0.1
      Oil refined         USA            1970                   9         e.c.                                                  0.1

    Sugar beet

      Roots               Germany        1968                   1         s.p.                                                  <0.02
                                                                                                                                (60-120)
      Roots               Germany        1969                   1         s.p.                                                  <0.02
                                                                                                                                <0.02
                                                                                                                                (60-120)
      Tops                Germany        1969                             s.p.                                                  0.1
                                                                                                                                <0.02
                                                                                                                                (60-120)

    Tomatoes

      Fruit               Canada         1970                   6         s.p.              0.6     0.2     0.2
      Fruit               USA            1970                   7         e.c.      0.4     0.3     0.5     0.3
                                                                                                                                     
    

    Table IV gives some typical examples of the results obtained in these
    trials which involved commercial formulations applied at
    concentrations normally used in practice.

        TABLE IV
                                                                                   
    Fruit       Location        Interval   Total          Proportion of each
                                before     residue            metabolite%
                                harvest    ppm
                                                      A       B        C       D
                                                                                   
    Apples      USA             30         0.92       87      <4       <4      <4
                USA             90         0.42       55      <9       27      <9
                Australia       2          1.03       75      <4       <15     <4
                Australia       30         0.63       63      <10      <25     <10

    Pears       USA             30         1.78       79      <2       17      <2
                USA             60         0.88       68      <3       23      <3
                Italy           1          0.89       90      <3       <5      <3
                Italy           21         0.62       80      <4       <8      8

    Peaches     Italy           1          2.32       95      <1       <5      <1
                Italy           47         0.37       54      <5       35      <5

    Prunes      Switzerland     9          1.36       81      <1       15      <3
                Switzerland     30         1.06       75      <2       20      <4
                                                                                   
    A = chlordimeform
    B = N-(4-chloro-o-tolyl)-N-methylformamidine
    C = N-formyl-4-chloro-o-toluidine
    D = 4-chloro-o-toluidine
    
    Where the sign < appears it is to be recognized that the limit of
    detection, e.g. 0.02 or 0.04 ppm, means that the proportion may well
    be much less than the figure shown.

    A number of trials reported by Ciba and Schering (1971) show that
    there is no significant difference in the level of chlordimeform
    residues on the various fractions of cotton seed separated during
    commercial processing. One series of results is shown in Table III
    (see page 17). The fairly uniform distribution of residues between oil
    and cotton seed meal may reflect the distribution of parent compound
    and metabolite but possibly is also brought about by the analytical
    procedure which does not distinguish metabolites from parent compound.

    Animals

    Ciba-Geigy (1971) report results of trials conducted in Australia to
    determine the residue in cattle treated with chlordimeform to control
    cattle tick. A calf weighing 200 kg was sprayed with 15 litres of

    0.05% chlordimeform. The animal was slaughtered three days later and
    residues of chlordimeform and metabolite hydrolysable to
    4-chloro-o-toluidine were determined in tissues and fat with the
    following results:

          muscle    0.21 ppm       omental fat         0.12 ppm
          kidney    0.23 ppm       subcutaneous fat    0.30 ppm
          liver     0.62 ppm       perirenal fat       0.21 ppm

    In further trials cattle weighing 210 to 230 kg were dipped in 0.013%
    chlordimeform and were slaughtered one or three days later. The
    residues determined as above were as follows:


                                                                         
     Interval
       since         Liver           Fat          Muscle         Kidney
     treatment

      1 day        0.28±0.04      0.15±0.06      0.07±0.02      0.29±0.03
                                                                         
      3 days       0.15±0.03      0.05±0.02      0.03±0.01      0.06±0.03
                                                                         


    Buffering

    As explained in some detail under "Fate of residues", chlordimeform
    stability is extremely dependent on pH. Acceptable stability in cattle
    dips can be achieved only if pH is held below 5.8 and preferably in
    the range 5.0-5.5. In Australia this has been achieved by buffering
    the dipping fluid with fertilizer grade superphosphate. Unbuffered
    fluids must be used within a day of preparation.

    At pH 5.2, some 99% of chlordimeform is present as the acid salt. In
    this form it has adequate stability but its activity is reduced below
    that of a similar concentration at a less acid pH value containing
    proportionately more chlordimeform base.

    Buffered dips leave only about half the hair deposits left by
    unbuffered dips of equal concentration so that higher use levels are
    required to produce the same acaricidal effect. Fortunately absorption
    is also reduced and residue levels are not augmented by the increased
    concentration required in dips.

    Residues in milk and milk products

    A Ciba-Geigy report (1971) describes milk and butter residues
    following the treatment of lactating dairy cattle with 0.05%
    chlordimeform, about 15 litres being applied to each animal. Three
    animals were treated with a solution buffered to pH 5.6 and three with
    an unbuffered solution of pH 9.4.

                                                                                  
    Time of               0.05% unbuffered             0.05% buffered
    sampling            Milk          Butter        Milk           Butter
                                                                              
    Pre-treatment       0.03 ppm      0.06 ppm      <0.03 ppm      0.05 ppm

    6 hours             0.22 ppm      1.52 ppm      0.06 ppm       0.52 ppm

    24 hours            0.05 ppm      0.71 ppm      0.05 ppm       0.19 ppm

    32 hours            0.08 ppm      0.18 ppm      <0.03 ppm      0.14 ppm

    48 hours            0.05 ppm      0.22 ppm      <0.03 ppm      0.11 ppm

    56 hours                          0.16 ppm                     0.10 ppm

    72 hours                          0.09 ppm                     0.06 ppm
                                                                              
    
    Each figure in the table is the mean of three individual samples.

    The analytical technique employed determines the sum of chlordimeform
    and all metabolites hydrolysable to 4 chloro-o-toluidine. The ratio
    of milk residues to butter residues while somewhat variable, falls
    consistently short of the level which would be expected if these
    residues were partitioned exclusively in the fat phase.

    The possibility that a proportion of the residues may be held in the
    aqueous phase should be taken into consideration in the recommendation
    of tolerances.

    These results indicate the rapid rate of elimination which occurs
    following spraying or dipping.

    The level of residues is related to the concentration of the spray
    solution or dip. Official trials in Australia showed that when the
    concentration of the spray is increased from 0.03 to 0.3% the residue
    levels in fat, kidney and liver of young calves increase in
    approximately the same ratio. Residue levels in muscle do not
    materially change in spite of the increase in concentrations. Residue
    determinations were made 24 hours after spraying:

    Adult cattle appear to metabolize the residue more rapidly because
    animals weighing 450 kg dipped three times at 17-day intervals in a
    bath containing 0.01% chlordimeform showed no residues in excess of
    0.1 ppm when slaughtered three days after the third treatment. Adult
    cattle weighing 300-520 kg sprayed with chlordimeform showed, as did
    calves, that the residue level 24 hours after treatment increases
    sharply with increasing concentration of spray. The residue level in
    perirenal and omental fat increased from 0.1 ppm to 7.2 ppm when the
    spray concentration was increased from 0.01 to 0.1%.

                                                               
    Concentration    Liver      Fat     Muscle     Kidney
    of spray
                                                           
      0.03%        <0.1 ppm   1.0 ppm  <0.1 ppm    0.2 ppm

      0.3%          1.2 ppm  10.0 ppm  <0.1 ppm    0.5 ppm
                                                           
    
    Repeat treatments, as is normal in controlling cattle tick, does not
    result in an accumulation of residues in animal tissues. Calves
    receiving 10 dippings within eight weeks in a bath containing 0.01%
    chlordimeform were slaughtered three days after the tenth treatment.
    The results of residue analysis were as follows:

           No. of       Liver     Fat       Muscle
         treatments

              1         2.0       0.29      0.12
              7         1.3       0.64      0.07
              10        4.17      0.37      0.12

    Fate of residues

    General comments

    Chlordimeform (I) is readily hydrolysed in weakly-acid to
    weakly-alkaline solutions but is rather stable under strongly acid
    conditions. In an aqueous buffer solution of pH 7.0 containing 5% of
    methanol, the base showed a half-life of 42 hours at 30°C. At pH 9,
    under otherwise equivalent conditions, a half-life of five hours was
    observed (Kossmann et al., 1971). Hydrolysis of the parent compound
    yields N-formyl-4-chloro-o-toluidine (III) and ultimately
    4-chloro-o-toluidine (IV).

    Structural alterations are observed when chlordimeform in solution or
    on chromatoplates is exposed to irradiation by U.V. or natural
    sunlight (Knowles and Sen Gupta, 1969). Although a number of
    additional minor degradation products do occur,
    N-formyl-4-chloro-o-toluidine (III) is the major transformation
    product recovered.

    A complete list of substances which appear to be potential metabolites
    of chlordimeform is given in Table 1.

    In animals

    To supplement the studies described under "Biochemical aspects" on the
    behaviour of chlordimeform in mammals, Ciba-Geigy Ltd (Ciba-Geigy,
    1971) conducted experiments on the fate of the acaricide upon
    continuous feeding to ruminants. Eight Brown Swiss cows were fed daily

    rations containing from 4-24 ppm chlordimeform for periods of up to 42
    days. Milk and tissue and organ samples were collected at regular
    intervals and analysed by the total residue method (Geissbühler at
    al., 1971) which accounts for all 4-chloro-o-toluidine containing
    metabolites and/or conjugates of chlordimeform. At 21 days, residues
    in liver were 0.09, and <O.03 ppm and in kidney were 0.38, and 0.07
    ppm in animals fed 120 and 40 ppm respectively. Further cows fed 240
    ppm in the diet showed liver levels of 0.45, 0.38, 0.50 and 0.44 ppm
    at 7, 14, 21 and 42 days. Corresponding kidney residues were 0.05,
    0.13, 0.13, and 0.09 ppm. Residues in milk, muscle and fat were below
    0.03 ppm (Voss and Burkhard, 1971).

    One male (36 kg) and one lactating female (39 kg) goat were given 10
    µCi chlordimeform orally, urine and faeces being collected at 1, 3, 6,
    12, 24, 48 and 72 hours post treatment. After 72 hours, the male had
    voided 87%, and 1.8% of the administered radioactivity in the urine
    and faeces respectively, and the female 68% and 1.8%. Only 0.3% of the
    radioactivity appeared in the milk.

    Chloroform extractable compounds identified by thin-layer
    chromatography comprised chlordimeform,
    N'-(4-chloro-o-tolyl)-N-methylformamidine, 4-chloro-o-toluidine,
    and N-formyl-4-chloro-o-toluidine, the latter predominating. Of the
    radioactivity 85-97% remained at the point of origin.
    Re-chromatography with polar solvents yielded 5-chloroanthranilic
    acid, and N-formyl-5-chloroanthranilic acid.

    The 90% unextractable radioactivity, when incubated with
    ß-glucuronidase, ß-glucuronidase-aryl sulphonase or hydrochloric acid
    yielded chlordimeform, N'-14-chloro-o-tolyl-N-methylformamidine,
    4-chloro-o-toluidine, N-formyl-4-chloro-o-toluidine and two
    unidentified metabolites. N'-(4-chloro-o-tolyl)-N-ethylformamidine
    was present in very small amounts, and the others in about equal
    amounts. Re-chromatography of the 20% radioactivity which remained at
    the origin yielded anthranilic acids, the 5-chloroanthranilic acid
    predominating (Sen Gupta and Knowles, 1970).

    In plants

    A series of preliminary experiments carried out by Ciba (1965a, b) and
    Schering (1966b) demonstrated that chlordimeform was quite rapidly
    degraded in plant tissues with high inherent metabolic activity (i.e.
    bean leaves) but was only slowly transformed in ripe fruits (Table V).
    Green fruits, such as young grapes, and stems were observed to take an
    intermediate position with regard to their ability to degrade the
    acaricide.


        TABLE V. RESIDUES OF CHLORDIMEFORM AND ITS DEGRADATION PRODUCTS IN AUSTRALIAN APPLES AFTER SPRAY APPLICATION OF THE
    ACARICIDE (SPRAYING CONCENTRATION 0.05% a.i.) FROM CIBA (1965b)
                                                                                                              
    Day           Chlordimeform     N-formyl-4-chloro-o-toluidine    Desmethyl         4-chloro-o-toluidine
    after         ppm               ppm                              chlordimeform     ppm
    spraying                                                         ppm
                                                                                                              
    Apples

    0             0.2               0.15                             -                 -
    1             0.6               <0.15                            -                 -
    2             0.8               <0.15                            <0.04             <0.04
    6             0.3               <0.15                            -                 -
    14            0.2               <0.05                            <0.04             <0.04
    21            0.4               <0.05                            -                 -
    30            0.4               <0.05                            <0.04             <0,04
    42            <0.05             <0.05                            -                 -

    Pears

    0             0.50              0.25                             -                 -
    1             0.75              0.20                             -                 -
    2             0.45              0.10                             <0.04             <0.04
    6             0.75              0.10                             -                 -
    14            0.70              0.05                             <0.04             <0.04
    21            0.65              0.05                             -                 -
    30            0.60              <0.05                            <0.04             <0.04
    42            0.40              <0.05                            -                 -
                                                                                                            
    

    Tentative identification of the observed transformation products
    indicated that in leaves both
    N'-(4-chloro-o-tolyl)-N-methylformamidine
    (desmethyl-chlorphenamidine, 11) and N-formyl-4-chloro-o-toluidine
    (111) were prominent metabolites. On the other hand, in ripe apple and
    pear fruits, only the formyl-derivative (III) was detected in
    measurable quantities, whereas desmethyl-chlordimeform (II) was
    normally absent (Table V). In all tissues analysed the free
    4-chloro-o-toluidine (IV) was not detected at all or was present
    only in small quantities. The lack of formation of significant residue
    quantities of the free toluidine in edible plant parts, such as
    fruits, was further examined by analysing plums which had been exposed
    to a six times overdose treatment of chlordimeform (Ciba, 1967b). Even
    after this application, which left a total residue of 4 to 6 ppm, the
    amounts of free 4-chloro-o-toluidine were scarcely above the limit
    of detection (0.05 ppm) of the colorimetric method applied.

    Since chlordimeform was known to be quite volatile, the possibility
    and extent of its evaporation from plant surfaces was investigated
    (Ciba, 1968). Although the free base of the acaricide was observed to
    readily evaporate from glass plates, disappearance from the surface of
    bean leaves was considerably less pronounced. Losses by evaporation,
    which occurred mainly during the first few hours after application,
    were found to be of the order of 30 to 40% in terms of the original
    dose applied. Evaporation was of the same order of magnitude when bean
    leaves were treated with the hydro-chloride salt of chlordimeform.
    This result suggested that, owing to the buffering capacity of plant
    exudates on certain leaf surfaces, an equilibrium between free base
    and salts was established, no matter which form of the acaricide was
    applied. The behaviour of chlordimeform on leaf surfaces, as
    described, was essentially confirmed by Sen Gupta and Knowles (1969)
    when applying the acaricide to leaves of apple seedlings and by
    Ehrhardt and Knowles (1970) when treating leaves of grapefruit
    seedlings with both the free base and the hydrochloride salt.

    Experiments carried out by Sen Gupta and Knowles (1969) on leaves of
    apple seedlings and by Ehrhardt and Knowles (1970) on leaves of
    grapefruit seedlings confirmed the limited ability of chlordimeform to
    penetrate cuticular layers.

    In the apple experiments (Sen Gupta and Knowles, 1969), 3H-as well
    as 14C-labelled chlordimeform was applied to seedlings by either
    leaf treatment or stem injection. The treated plants were cultured for
    20 days and periodically analysed for the metabolites already
    mentioned above. Sufficient quantities of the main transformation
    products were collected to allow characterization by infra-red
    analysis, melting point determinations, dye formation and
    co-chromatography on thin-layer plates.

    After both types of application dissipation/degradation of the
    acaricide was observed to proceed at an intermediate rate, the
    half-life of the compound being of the order of 12 to 16 days. Upon
    termination of the experiment about 40% of the radioactivity applied
    was still accounted for by the unchanged acaricide. Organosoluble
    degradation products identified were desmethyl-chlordimeform (II),
    N-formyl-4-chloro-o-toluidine (III) and free 4-chloro-o-toluidine.
    The quantities of these metabolites relative to chlordimeform, however
    were quite small and except for desmethyl-chlordimeform, never
    exceeded 1% in terms of the radioactivity applied.

    No so-called "non-extractable" radioactivity was evident after leaf
    application of chlordimeform but was observed to be present in
    increasing amounts (up to 30% of the quantity applied) after stem
    injection of the acaricide. However, this non-extractable
    radioactivity was confined to the stem section and could not be
    observed in leaves to which part of the radioactivity had been
    translocated. The authors suggested that non-extractable materials
    represented chlordimeform degradation products that were complexed
    with polymeric cell constituents.

    The experiments with apple leaves also confirmed the limited ability
    of chlordimeform to penetrate through cuticular plant tissues since
    most of the radioactivity remaining on leaves could subsequently be
    removed by rinsing them with organic solvents. No more and usually
    less than 15% of the dose applied remained in the leaf tissues after
    the rinsing process.

    In the grapefruit experiments (Ehrhardt and Knowles, 1970) both the
    free base and the hydrochloride salt of
    14C-(tolyl-labelled)-chlordimeform were applied to the leaf surface
    of growing seedlings. In these studies, dissipation of total
    radioactivity was more pronounced than in the apple experiments, since
    only 10 to 207 of the dose applied was recovered at the end of the
    20-day observation period. It therefore appeared that a higher
    percentage of chlordimeform evaporated from grapefruit than from apple
    leaves. In addition, chlordimeform itself was degraded at a faster
    rate by the citrus than by the apple tissue, since, after 20 days of
    culturing, no more than 1% of the radioactivity applied was recovered
    as the unchanged acaricide from the former tissue.

    The pattern of metabolites on and in citrus leaves was essentially the
    same as that reported for apple seedlings. Desmethyl-chlordimeform,
    the formyl derivative and free 4-chloro-o-toluidine were the
    principal metabolites, whose quantities, however, were small and never
    exceeded 2% in terms of the radioactivity applied. Several unknown
    minor radioactive metabolites were observed on thin-layer plates,
    however, none of them represented more than 1% and normally did not
    exceed 0.1% in terms of the radioactivity applied.

    In several recent publications (Knowles et al., 1969a, b; Rosen et
    al., 1970) which deal with in vitro chemical and biochemical model
    systems, chlordimeform and its minor metabolite 4-chloro-o-toluidine
    have been implicated or shown to be possible candidates for the
    catalytic formation of azobenzene derivatives, such as
    2,2'-dimethyl-4,4'-dichloroazobenzene (VII, Table I). Although a more
    detailed discussion on the potential formation of azobenzene compounds
    from chlordimeform is presented in the section on animal metabolism
    ("Biochemical aspects") results on the presence or absence of such
    transformation products in plants are briefly discussed. In examining
    field-treated fruits and vegetables for the presence of azobenzene
    compounds, a sensitive gas-chromatographic residue method which
    permitted the detection of 0.01 ppm of
    2,2'-dimethyl-4,4'-dichloroazobenzene was used (Geissbühler et al.,
    1971). This method was applied to apple fruits and leaves which had
    been treated with a four times overdose of chlordimeform and which
    were harvested 20, 30 and 40 days after application (Ciba, 1969b).
    Although chlordimeform residues were found to be excessively high
    during the whole observation period (10 to 4 ppm in fruits; 400 to 300
    ppm in leaves), residues of the azobenzene compound were either not
    detectable (<0.01 ppm in fruits) or were so small (0.04 ppm in
    leaves) that they represented less than 0.02% in terms of the Parent
    residue. Therefore, with normal concentrations of chlordimeform, no
    detectable azobenzene residues are to be expected on edible crops.

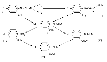
    From the extensive plant behaviour and metabolism data presented, the
    pathways of chlordimeform transformation in plants are summarized as
    follows (Sen Gupta and Knowles, 1969):

    FIGURE 1

    Whereas in leafy tissues, stems or green fruits, the whole pathway of
    degradation is operative to a small extent, in ripe fruits only
    N-formyl-4-chloro-o-toluidine has consistently been observed as a
    metabolite. The residue methods designed account for all metabolites
    and/or conjugates (Geissbühler et al., 1971; Kossman et al., 1971).

    In the course of an extensive study of the fate and persistence of
    chlordimeform on six different crops Witkonton (1969) found that the
    total amount of residue is directly related to the amount of chemical
    applied, an inverse function of the number of days the fruit was
    sampled after the last application of the chemical and influenced by
    the nature of the fruit surface.

    Fruit was analysed for chlordimeform and three possible major
    degradation products. Only the parent compound and one degradation
    product, N-formyl-2-methyl-4-chloroaniline, could be detected.

    N-formyl-2-methyl-4-chloroaniline was found only in small amounts in
    apples, pears and cherries; but greater amounts were found in plums
    and strawberries. The results of this investigation did not show any
    real correlation between the amounts of the parent compound and
    N-formyl-2-ethyl-4-chloroaniline to such variables as amount of
    chemical applied or sampling date. The type of fruit, and especially
    the nature of the fruit surface, and such factors as sunlight and
    rainfall appear to be predominant in affecting the degradation of
    chlordimeform.

    Witkonton (1969) also reported that chlordimeform appears to adhere to
    the outer surface of fruit and does not appear to translocate readily
    to the fleshy parts, The chief factors which seem to account for the
    decrease of chlordimeform residues in fruit appear to be
    volatilization, weathering and growth dilution.

    In soil

    Chlordimeform deposited inadvertently on soil surfaces after spray
    application may be expected to be dissipated by the following
    processes: volatilization, chemical hydrolysis, photodecomposition
    (Knowles and Sen Gupta, 1969) and microbial degradation. Although no
    special volatilization experiments with soil samples were conducted,
    the contribution of this process is likely to be of the same order of
    magnitude as or slightly higher than that observed for leaf surfaces.
    Hydrolysis of chlordimeform to N-formyl-4-chloro-o-toluidine (III)
    shown to be substantial under the slightly acid or alkaline conditions
    which normally prevail in soils (Kossmann et al., 1971).

    As regards microbial degradation of the acaricide, Johnson and Knowles
    (1970) demonstrated that several bacterial, actinomycete and fungus
    species are capable of extensively degrading chlordimeform. The
    principal metabolite in the culture media of most species was
    N-formyl-4-chloro-o-toluidine, except for the actinomycete
    Streptomyces griseus which formed mainly 4-chloro-o-toluidine.
    None of the microbes formed symmetrical azo-compounds.

    Under field conditions, chlordimeform and its 4-chloro-o-toluidine
    containing metabolites were dissipated according to first order
    reactions with half-lives ranging from 20 to 40 days (Schering, 1969;
    Ciba, 1969e). From the present experiments it way be concluded that
    chlordimeform is not accumulated in the soil.

    Evidence of residues in food in commerce or at consumption

    No data were available to indicate the incidence or level of
    chlordimeform residues in food commodities moving in commerce.

    A number of detailed studies have been conducted to identify terminal
    residues after application of chlordimeform. Results indicate that
    breakdown of the parent compound takes place particularly in tissues
    which are metabolically active, such as young bean leaves, while
    fruits like apples and prunes show practically no metabolic breakdown
    of the acaricide. The hydrolytic pathway of degradation leading to
    small amounts of N-formyl-4-chloro-o-toluidine has been demonstrated
    to occur to a certain extent also on fruit crops. Hydrolysis of
    chlordimeform, however, apparently takes place independent of plant
    tissue activities due to the chemical instability of the parent
    compound (Kossmann et al., 1971),

    Furthermore it has been confirmed that
    2,2'-dimethyl-4,4'-dichloroazobenzene is not expected to be a
    potential transformation product of chlordimeform in apple fruit.

    All chlordimeform metabolites identified so far in various plant
    materials are determined by the described total residue methods.

    A number of special investigations reveal that chlordimeform residues
    are located in the outer parts of crops such as fruit peels or outer
    leaves of cole crops. Excessive residues therefore might be removed by
    peeling of fruit (apples, citrus) or by trimming the outer leaves of
    cole crops.

    Washing of fruit will remove only a small part of the total residue.
    External residues will probably dissipate by volatilization, rainfall,
    or penetration into the cuticular wax layers,

    Schering (1971) reports on the effect of cooking on chlordimeform
    residues in apples, grapes, tomatoes, cauliflower, beans and sugar
    beet foliage and shows that the behaviour of chlordimeform residues
    during cooking depends on the pH value of the aqueous suspension as
    well as on the duration of the cooking period.

    This report shows that the rate of loss of chlordimeform is a function
    of pH value, the loss being much more rapid in a neutral medium such
    as green beans (pH 5) or cauliflower (pH 6) than in apples (pH 2.5) or
    tomatoes (pH 3). The hydrolysis proceeds according to the scheme
    outlined in page 30 and all metabolites are determined by the

    analytical method for chlordimeform parent compound. The loss of total
    4-chloro-o-toluidine moiety is not significant showing that
    volatilization in steam is not an important contributing factor.

    Methods of residue analysis

    (a)  Methods for the detection of unchanged chlordimeform and its
         breakdown products (terminal residues)

    Identification of terminal residues in plant materials and specific
    determination of unchanged chlordimeform has been carried out by
    thin-layer and/or gas chromatography procedures. A detailed
    description of the separation and detection of
    N'-(4-chloro-o-tolyl)-N-methylformamidine,
    N-formyl-4-chloro-o-toluidine, and 4-chloro-o-toluidine as well as
    the parent compound including quantitation by colorimetry or flame
    ionization gas chromatography has been given by Kossmann et al.
    (1971).

    Investigations for the presence of
    2,2'-dimethyl-4,4'-dichloroazobenzene have been performed by a gas
    chromatographic procedure following reductive cleavage of the azo
    compound and subsequent Sandmeyer iodination of the resulting
    4-chloro-o-toluidine (Geissbühler et al., 1971).

    Selective determination of unchanged chlordimeform may be needed after
    usage of chlordimeform/formetanate mixtures. Both active substances
    have the structure of formamidine derivatives. For this combination
    product a thin-layer chromatographic procedure has been established
    (Schering AG, 1969b) which includes direct quantitation on the
    chromatoplate by reflectance measurement in the UV range. Gas
    chromatographic procedures described above allow specific
    determination of chlordimeform in presence of formetanate as well and
    account then for the total chlordimeform residue including
    metabolites.

    (b)  Total chlordimeform residue methods

    For regulatory purposes and routine residue analysis methods were
    developed that account in a single procedure for chlordimeform and for
    all its 4-chloro-o-toluidine containing breakdown products and/or
    conjugates. Principle of determination of "total chlordimeform" is
    based on a two step hydrolysis by successive treatments with acetic
    acid and sodium hydroxide respectively. The joint hydrolysis product,
    4-chloro-o-toluidine, is steam distilled and extracted into
    iso-octane. Quantitation of 4-chloro-o-toluidine may be carried out
    by colorimetry (specificity limited) or gas chromatography (highly
    specific).

    Colorimetry is based upon diazotization reaction of
    4-chloro-o-toluidine and coupling with N-ethyl-1-naphthylamine
    (Geissbühler et al., 1971). A number of investigations has been made

    by using 1-naphthylethylenediamine as a coupling agent (Schering AG,
    1968). Both procedures are sensitive to 0.05 ppm of chlordimeform as
    calculated for a 50-gram crop sample. Recovery values obtained from
    various crops fortified within the range of 0.05 to 5 ppm
    chlordimeform in general exceeded 85% (Geissbühler et al., 1971;
    Schering AG, 1969a).

    An interlaboratory study demonstrated the sufficient reproducibility
    of the total residue procedures established. Since specificity of
    colorimetric evaluation is limited, additional identification of
    chlordimeform residues may be done by confirmatory thin-layer
    chromatography of the resulting azo dye on cellulose plates
    (Geissbühler et al., 1971).

    Gas chromatography has also been effectively used for quantitative
    determination of 4-chloro-o-toluidine moiety following
    transformation into halogenated derivatives of extremely high electron
    affinity. Sandmeyer iodination reaction of 4-chloro-o-toluidine
    results in the 5-chloro-2-iodo-toluene structure and a 0.05 ppm
    detection limit for chlordimeform by using a tritium foil equipped
    electron capture detector. Recovery figures correspond very well to
    those reported for colorimetric measurement (Geissbühler et al.,
    1971).

    A lower detection limit may be attainable by bromination of
    4-chloro-o-toluidine in aqueous solution yielding
    6-bromo-4-chloro-o-toluidine and subsequent gas chromatographic
    determination using a Ni63 electron capture detector (Kossmann,
    1971),

    Direct gas chromatographic measurement of 4-chloro-o-toluidine by a
    halogen microcoulometric titration cell has been reported by Del Monte
    Corporation (Del Monte, 1969) for the determination of chlordimeform
    residues in crops.

    All the gas chromatographic procedures mentioned are specific for
    chlordimeform residues. Up to date no other pesticide with the
    4-chloro-o-toluidine nucleus is known to be used in agricultural
    practice.

    Examples of national tolerances

    The following are examples of national tolerances and withholding
    periods that have been established:

                                                                                         
    Country             Crop                         Tolerance          Withholding
                                                     ppm                period days
                                                                                     
    Australia           pome fruit                   2                  7
                        stone fruit                  2                  7
                        strawberries                 1                  7
                        fat of meat of cattle        0.5                1

                                                                                     
    Country             Crop                         Tolerance          Withholding
                                                     ppm                period days
                                                                                     
    Canada              pears                        5                  28
                        peaches, plums, prunes       4                  14
                        apples                       3                  14
                        cauliflower, brussels
                        sprouts                      3                  28
                        broccoli                     2                  28
                        cabbage                      0.5                28
                        turnip roots                 <0.05              28

    Germany (GFR)       grapes, stone fruit
                        (excl. cherries)             3                  14
                        pome fruit                   2

    Italy               fruit, citrus, grapes        1                  20

    New Zealand         pome fruit                   1                  14
                        strawberries                                    7

    Switzerland         pome fruit, grapes           1                  42

    South Africa        apples, pears, citrus        1                  14

    USA                 pears                        5                  28
                        apples                       3                  14
                        cabbage, cauliflower,
                        broccoli, brussels
                        sprouts                      2                  28

    Venezuela           fruit, citrus                2                  14
                                                                                     
    
    Appraisal

    Chlordimeform is a new insecticide/acaricide primarily effective
    against eggs and larvae of spider mites with adequate activity also
    against adult mites. It is effective against mites resistant to
    organo-phosphorus insecticides. It kills eggs, larvae and adults not
    only by contact but also in the vapour phase. Penetration and slight
    systemic effect have been demonstrated. It is also effective in
    control of some lepidopterous insects including codling moth but the
    major field of use so far developed is in the control of mites on
    deciduous fruit. Chlordimeform is also being used commercially in
    Australia for the control of cattle tick by spraying and dipping
    because of its ability to control ticks which have developed strains
    resistant to all other currently available acaricides.

    Chlordimeform is registered for use on fruit trees, grapes and
    vegetables in many countries and to a lesser extent on cotton and
    hops. The concentration applied ranges from 0.01 to 0.1%.

    Chlordimeform is used both as the base and as the hydrochloride. The
    base is formulated as an emulsifiable solution while the hydrochloride
    is used as a water soluble powder.

    The residue data available to the meeting were obtained from
    supervised field trials in Australia, Canada, England, France,
    Germany, Italy, New Zealand, South Africa, Spain, Switzerland and the
    United States of America. Whilst there is a sharp drop in the residue
    level between the day of application and the second or third day
    post-treatment, thereafter the rate of decline is remarkably slow with
    a half-life on apples, grapes, pears and tomatoes exceeding 21 days.
    The rate of decline is somewhat faster on cruciferous vegetables but
    even so the interval between application and harvest does not have a
    pronounced bearing on the residues level following approved
    treatments.

    Loss of residue is initially due to volatilization but the portion of
    the deposit absorbed or dissolved into surface tissues of plants
    appears to remain at a relatively constant level. The residue data
    reflect this durability but they are influenced by the fact that the
    analytical procedure determines both parent compound and all
    metabolites containing the toluidine moiety.

    Extensive evidence is available on the fate of residues in plants and
    animals as well as on the route and rate of degradation. The initial
    pathway of metabolism in animals and plants is substantially similar.
    leading to N-formyl-4-chloro-o-toluidine and 4-chloro-o-toluidine
    in both organisms but proceeding further to
    N-formyl-5-chloroanthranilic acid and 5-chloroanthranilic acid
    respectively in animals.

    Some data were available on the effect of processing and cooking as
    the fate of chlordimeform residues. The chlordimeform residue
    generally decreases with cooking, the decline being dependent upon
    length of cooking time. The rate of decrease is a function of the pH
    value. In a more neutral medium caused by green beans (pH 5) or
    cauliflower (pH 6) loss of chlordimeform is much more rapid than in an
    acid medium such as apples (pH 2.5) or tomatoes (pH 3). Studies
    revealed no detectable change in the residue level or composition when
    apples and pears were held in cold storage. Evidence was presented to
    show that substantially all the residue occurs in the skin of apples
    and citrus; in the outer leaves of cruciferous vegetables and in the
    tops of root vegetables. Chlordimeform, applied to cotton, appears as
    a residue in cotton seed cake as well as in cotton seed oil and the
    residue level is not significantly reduced by refining.

    Analytical methods based on the determination of
    4-chloro-o-toluidine formed by successive treatments with acetic
    acid and sodium hydroxide are specific for chlordimeform and its
    metabolites and are capable of determining levels down to 0.05 ppm.
    Quantitation may be made either by colorimetry based upon
    diazotization and coupling with N-ethyl-1-naphthylamine or by gas
    chromatography. Though direct measurement by gas chromatography is
    possible, the accuracy and sensitivity is improved by transformation
    of the residue into halogenated derivatives of extremely high electron
    affinity.

    RECOMMENDATIONS FOR TOLERANCES, TEMPORARY TOLERANCES OR PRACTICAL
    RESIDUE LIMITS

    Temporary tolerances (effective to June 1975)

         Pears, peaches, prunes                            5 ppm
         Apples, grapes, plums, strawberries               3 ppm
         Brassicas, cherries, citrus fruit,
         cotton seed oil (crude and refined),
         cotton seed                                       2 ppm
         Beans                                             0.5 ppm
         Fat, meat and meat products of cattle             0.5 ppm
         milk (whole)                                      0.05 ppm
         Butter                                            0.5 ppm

    Further work or information

    Required (before 30 June 1975)

    1.   A further long-term feeding study in rats to obtain precise
         information on the incidence and nature of the histopathological
         changes in the liver and bile ducts of rats exposed to levels
         above and below 100 ppm in the diet. An effort should be made to
         explain the changes in organ to body-weight ratios noted in the
         previous long-term rat study.

    2.   Further investigation of the nature of the hepatic lesions
         observed in the dog.

    3.   Metabolic studies in several animal species, preferably including
         man.

    4.   Further data on the nature and levels of residues in animal
         tissues after use in cattle sprays and dips.

    5.   Further data on residues in milk after use in cattle sprays and
         dips, especially information on the nature of the residues and
         their distribution between aqueous and lipid phases.

    6.   Data on the residue levels in commercial butter and cheese.

    Desirable

    1.   Further studies on the haematological effects.

    2.   Elucidation of the pharmacodynamic activity on the heart,
         including the potentiation of the effects of pressor amines.

    3.   Further data on the disappearance of residues during storage,
         processing, and cooking.

    4.   Data on residue levels in raw agricultural commodities moving in
         commerce.

    REFERENCES

    Aoki, H. and Ueda, K. (1966) Unpublished report of the Tokyo Dental
    College submitted by Ciba-Geigy

    Bertha, R. and Framer, D. (1967) Pesticide transformation to aniline
    and azo compounds in soil. Science, 156: 1617

    Blackmore, R. H. (1969a) Three generation reproduction study - rats.
    Unpublished report of Hazelton Laboratories, submitted by Ciba-Geigy

    Blackmore, R. H. (1969b) Teratology study - rabbits. Unpublished
    report of Hazelton Laboratories submitted by Ciba-Geigy

    Blackmore, H. H. (1969c) Two year repeated feeding - dogs. Schering
    361 268 (Chlorphenamidine). Unpublished report from Hazelton
    Laboratories, submitted by Ciba-Geigy

    Blackmore, R. H. (1969d) Two year repeated feeding - rats. Schering
    361 268 (Chlorphenamidine). Unpublished report from Hazelton
    Laboratories, submitted by Ciba-Geigy

    Ciba Ltd. (1965a) C-8514. Rückstände in den Blättern der Bohne. Report
    of 20 May 1965

    Ciba Ltd. (1965b) C-8514. Residues in Australian apples and pears.
    Report of 25 May 1965

    Ciba Ltd. (1967a) Modell einer Synthese von radioaktivem Galecron.
    Report of 17 August 1967

    Ciba Ltd. (1967b) Galecron. Absence of 4-chloro-o-toluidine as a
    metabolite in prunes after overdose spraying. Report of 31 January
    1967

    Ciba Ltd. (1968) Galecron. Behaviour of different formulations on
    citrus leaves. Report of 14 May 1968

    Ciba Ltd. (1969a) Galecron. Residues in Italian oranges. Report of 2
    March 1969

    Ciba Ltd. (1969b) Galecron. Analysis of Swiss apples for residues of
    2,2'-dimethyl-4,4'-dichloroazobenzene after overdose spraying. Report
    of 20 November 1969.

    Ciba Ltd. (1969c) Galecron. Formation of a symmetrical azo derivative
    from 4-chloro-o-toluidine by coupled peroxidatic reactions. Report
    of 12 September 1969

    Ciba Ltd. (1969d) Galecron. Degradation of chlorphenamidine by rat
    liver and spleen homogenates, with particular reference to the
    possible formation of azo derivatives. Report of 10 September 1969

    Ciba Ltd. (1969e) Galecron. Dissipation in a Swiss soil as determined
    by chemical analysis. Report of 16 September 1969

    Ciba-Geigy Ltd. (1971) Galecron. Residues in milk, meat, fat, liver
    and kidney of Swiss cows. Report of 19 March 1971

    Ciba-Geigy Ltd. (1971) Determination of chlorphenamidine residues in
    milk and butter following treatment with "Spike" cattle dip at 0.05%
    a.i. w/v. Report of 6 August 1971

    Del Monte Corporation Research Center. (1969) Determination of total
    chlorphenamidine residues in plant material, 10.6.1969. Unpublished

    Dittrich, V. (1971) Biological action of chlordimeform. Report
    prepared for FAO/WHO

    Ehrhardt, D. A. and Knowles, C. O. (1970) Metabolism and translocation
    of N'-(4-chloro-o-tolyl)-N,N-dimethylformamidine (chlorphenamidine)
    and its hydrochloride salt in grapefruit seedlings. J. Econ. Entomol.,
    63: 1306

    Geissbühler, H. (1969) The substituted ureas. In: Degradation of
    herbicides (P. C. Kearney and D. D. Kaufman, ed.), p. 79. New York,
    Marcel Dekker Inc.

    Geissbühler, H., Kossmann, K., Baunok, I. and Boyd, V. F. (1971)
    Determination of total residues of chlorphenamidine
    [(N'-(4-chloro-o-tolyl)-N,N-dimethylformamidine] in plant and soil
    material by colorimetry and thin-layer and electron capture gas
    chromatography. J. Agr. Food Chem., 19: 365

    Gerhards, E. and Kolb. (1966) Unpublished report of Schering A.G.
    submitted by Ciba-Geigy

    Gerhards, E. (1967) Unpublished report of Schering A.G. submitted by
    Ciba-Geigy

    Gunzel, P. and Richter. (1965) Systemische Vertraglichkeitsprufung an
    Ratten bei einmaliger p.o. Verabreichung (DL50). Unpublished report
    from Schering A.G. submitted by Ciba-Geigy

    Gunzel, P. and Richter. (1966a) Systemische Vertraglichkeitsprufung an
    Ratten bei einmaliger dermaler. Verabreichung (DL50). Unpublished
    report of Schering AG, submitted by Ciba-Geigy

    Gunzel, P. and Richter. (1966b) Systemische Vertraglichkeitsprufung an
    Kaninchen bei einmaliger dermaler Verabreichung (DL50). Unpublished
    report of Schering A.G., submitted by Ciba-Geigy

    Gunzel, P. and Richter. (1968) Systemische Vertraglichkeitsprufung an
    Hunden bei einmaliger p.o. Verabreichung (DL50). Unpublished report
    from Schering AG., submitted by Ciba-Geigy

    Gunzel, P. and Richter. (1969) Systemische Vertraglichkeitsprufung an
    Ratten bei einmaliger p.o. Verabreichung (DL50), Unpublished report
    of Schering AG., submitted by Ciba-Geigy

    Herbert, R. A. (1969) Methyl and phenylcarbamates. In: Degradation of
    herbicides (P. C. Kearney and D. D. Kaufman, ed.), p. 113, New York,
    Marcel Dekker Inc.

    Hurni, H. and Sachsse, K. (1969a) Report on the determination of the
    acute oral LD50 to the dog of chlorphenamidine technical.
    Unpublished report of Tierfarm AG, submitted by Ciba-Geigy

    Hurni, H. and Sachsse, K. (1969b) Report on the determination of the
    acute oral LD50 to the rat of Galecron 50 EC. Unpublished report of
    Tierfarm AG, submitted by Ciba-Geigy

    Hurni, H. and Sachsse, K. (1969c) Report on the determination of the
    acute dermal LD50 to the rat of Galecron 50 SP. Unpublished report
    of Tierfarm AG, submitted by Ciba-Geigy

    Johnson. B, T. and Knowles, C. O. (1970) Microbial degradation of the
    acaricide N'-(4-chloro-o-tolyl)-N,N-dimethylformamidine. Bull.
    Environ. Contam. Toxicol., 5: 158

    Knowles, C. O. (1970) Metabolism of two acaricidal chemicals,
    N'-(4-chloro-o-tolyl)-N,N-dimethylformamidine (chlorphenamidine) and
    m-{[dimethylamino methylene] amino} phenyl methyl-carbamate
    hydrochloride (formetanate). J. Agr. Food Chem., 18: 1038

    Knowles, C. O. (1970) Microbial degradation of chlordimeform. Bull
    Envir. Contam. Toxicol., 5 (2): 158

    Knowles, C. O. and Sen Gupta, A. K. (1969) Photodecomposition of the
    acaricide N'-(4-chloro-o-tolyl) N,N-dimethylformamidine. J. econ.
    Entomol., 62: 344

    Knowles, C. O. and Sen Gupta, A. K. (1970)
    N'-(4-chloro-o-tolyl)-N,N-dimethylformamidine-14C (Galecron) and
    4-chloro-o-toluidine metabolism in the white rat. J. econ. Entomol.
    63: 856

    Knowles, C. O., Sen Gupta, A. K. and Hassan, T. K. (1969a) Formation
    of symmetrical azo derivatives of monochlorotoluidines by peroxidatic
    catalysis. J. econ. Entomol., 62; 411

    Knowles, C. O. and Sen Gupta, A. K. (1969b) Formation of symmetrical
    azo derivative of 4-chloro-o-toluidine in a ferrous iron-hydrogen
    peroxide system. J. econ. Entomol., 62: 1229

    Kossmann, K. (1971) New aspects upon electron capture gas
    chromatography of acylanilide, phenylcarbamate, and phenylurea type
    herbicides. Proc. 2nd Intern. Congr. Pesticide Chemistry, Tel Aviv,
    1971

    Kossmann, K., Geissbühler, H. and Boyd, V. F. (1971) Specific
    determination of chlorphenamidine
    [N'-(4-chloro-o-tolyl)-N,N-dimethylformamidine] and of some
    potential metabolites in plant material by thin-layer and flame
    ionisation gas chromatography. J. Agr. Food Chem., 19: 360

    Lyon, D. A. (1970) Chlorphenamidine on weight gain of female rats.
    Internal unpublished memorandum. Food and Drug Directorate, Canada

    Mastri, C., Keplinger, M. L. and Francher, O. E. (1969) Acute oral
    toxicity study on two samples of chlorphenamidine in male and female
    albino rats. Unpublished report from Industrial Biotest Labs. Inc.
    submitted by Ciba-Geigy

    Oda. (1969) Suicide by drinking Galecron. Unpublished report from
    Chikugo Municipal Hospital, made available by Nor-Rh Chemicals

    Rose, J. A. (1969a) Degradation of chlorphenamidine by rat liver and
    spleen homogenatis with particular reference to the possible formation
    of azo-derivatives. Unpublished report submitted by Ciba-Geigy

    Rose, J. A. (1969b) Formation of a symmetrical azo-derivative from
    4-chloro-o-toluidine by coupled peroxidatic reactions. Unpublished
    report submitted by Ciba-Geigy

    Rosen, J. D., Siewierski, M. and Winnett, G. (1970) FMN-sensitized
    photolyses of chloroanilines. J, Agr. Food Chem., 18: 494

    Sachsse, K. and Bathe, R. (1970a) Report on the determination of the
    acute oral LD50 of formylchlorotholuidine to the rat. Unpublished
    report of Tierfarm AG submitted by Ciba-Giegy

    Sachsse, K, and Bathe, R. (1970b) Report an the determination of the
    dermal LD50 of formylchlorotoluidine to the rat. Unpublished report
    of Tierfarm AG submitted by Ciba-Geigy

    Sachsse, K. and Bathe, R. (1970c) Report on the determination of the
    acute oral LD50 of 5-chloro-2-amino-toluene (base) to the rat.
    Unpublished report of Ciba-Geigy

    Sachsse, K. and Bathe, R. (1970d) Report on the determination of the
    acute oral LD50 of 5-chloro-2-amino toluene-HCl to the rat.
    Unpublished report of Tierfarm AG submitted by Ciba-Geigy

    Sachsse, K. and Bathe, R. (1970e) Report on the determination of the
    acute dermal LD50 of 5-chloro-2-amino-toluene-HCl to the rat.
    Unpublished report of Tierfarm A.G. submitted by Ciba Geigy

    Sachsse, K. and Bathe, R. (1970f) Report on the determination of the
    acute oral LD50 of phenamidine-HCl to the rat. Unpublished report of
    Tierfarm AG submitted by Ciba-Geigy

    Sachsse. K. and Bathe, R. (1970g) Report on the determination of the
    acute dermal LD50 of phenamidine-HCl to the rat. Unpublished report
    of Tierfarm AG submitted by Ciba-Geigy

    Sachsse, K. and Bathe, R. (1970h) Report on the determination of the
    acute oral LD50 of o-chlorphenamidine-HCl to the rat. Unpublished
    report of Tierfarm AG submitted by Ciba-Geigy

    Sachsse, K. and Bathe, R. (1970i) Report on the determination of the
    acute dermal LD50 of o-chlorphenamidine-HCl to the rat. Unpublished
    report of Tierfarm AG submitted by Ciba-Geigy

    Sachsse, K. and Bathe, R. (1970j) Report on the determination of the
    acute oral LD50 of dichlorphenamidine-HCl to the rat. Unpublished
    report of Tierfarm AG submitted by Ciba-Geigy

    Sachsse, K. and Bathe, R. (1970k) Report on the determination of the
    acute dermal LD50 of dichlorphenamidine HCl to the rat. Unpublished
    report of Tierfarm AG submitted by Ciba-Geigy

    Sachsse, K. and Bathe, R. (1970l) Report on the determination of the
    acute dermal LD50 of technical chlorphenamidine (base) to the rat.
    Unpublished report of Tierfarm AG submitted by Ciba-Geigy

    Sachsse, K. and Bathe, R. (1971a) Report on the determination of the
    acute oral LD50 of technical C8520 to the rat. (Dimethyl
    chlordimeform). Unpublished report of Tierfarm AG submitted by
    Ciba-Geigy

    Sachsse, K. and Bathe, R. (1971b) Report on the determination of the
    acute dermal LD50 of technical C8520 to the rat. Unpublished report
    of Tierfarm AG submitted by Ciba-Geigy

    Sachsse, K. and Bathe, R. (1971c) Report on the determination of the
    acute dermal LD50 of 5-chloro-2-amino toluene (base) to the rat.
    Unpublished report of Ciba-Geigy

    Sachsse, K. and Bathe. R. (1971d) Report on the determination of the
    acute oral LD50of phenamidine (base) to the rat. Unpublished report
    of Ciba-Geigy

    Sachsse, K. and Bathe, R. (1971e) Report on the determination of the
    acute dermal LD50 of phenamidine (base) to the rat. Unpublished
    report of Ciba-Geigy

    Sachsse, K. and Bathe, R. (1971f) Report on the determination of the
    acute oral LD50 of o-chlorphenamidine (base) to the rat. Unpublished
    report of Ciba-Geigy

    Sachsse, K. and Bathe, R. (1971g) Report on the determination of the
    acute dermal LD50 of o-chlorphenamidine (base) to the rat.
    Unpublished report of Ciba-Geigy

    Sachsse, K. and Bathe, R. (1971h) Report on the determination of the
    acute oral LD50 of dichlorphenamidine (base) to the rat. Unpublished
    report of Ciba-Geigy

    Sachsse, K. and Bathe, R. (1971i) Report on the determination of the
    acute dermal LD50 of dichlorphenamidine (base) to the rat.
    Unpublished report of Ciba-Geigy

    Sachsse, K. and Bathe, R. (1971j) Report on the determination of the
    acute dermal LD50 of Galecron 50EC to the rat. Unpublished report of
    Ciba-Geigy

    Schering AG. (1965) Versuche zur Kenntnis des Eindringvermögens von
    36268 in Aepfel

    Schering AG. (1966a) Chlorphenamidin. Stoffwechselversuche Stand Dez.
    1966

    Schering AG. (1966b) Rückstandsuntersuchungen Schering 36268. 1.
    Mitteilung 1966. Erntegut: Weintrauben, Aepfel, Birnen, Pfirsich

    Schering AG. (1967) Chlorphenamidine. Stoffwechselversuche Stand Dez.
    1967

    Schering AG. (1968) Rückstandsbestimung von Chlorphenamidin (Schering
    3628) in Pflanzenmaterial, 36 268/6, 13.9.1968 (unpublished)

    Schering AG. (1969) Chlorphenamidin 1/69. Abbaugeschwindigkeit von
    Chlorphenamidin-Hydrochlorid im Boden

    Schering AG. (1969a) Chlorphenamidin III/69, Verfahrensausbeuten nach
    36 268/6, 17.3.1969 (unpublished)

    Schering AG. (1969b) Method for the determination of Fundal(R) forte
    residues in plant material using thin-layer chromatography,
    36 056 - 36 268/1, 18.11.1969

    Sen Gupta, A. K. and Knowles, C. O. (1969) Metabolism of
    N'-(4-chloro-o-tolyl)-N,N-dimethylformamidine by apple seedlings.
    J. Agr. Food Chem., 17: 595

    Sen Gupta, A. K. and Knowles, C. O. (1970) Galecron-14C
    [N'-(4-chloro-o-tolyl)-N,N-dimethylformamidine] metabolism in the
    dog and goat. J. Econ. Entomol., 63: 951

    Shionogi and Co. (Undated) Unpublished report of the Aburahi Labs. of
    Shionogi and Co. Ltd,

    Surber, W. and Cerioli, A. (1966) Prolonged toxicity study on rats of
    Ciba's preparation, 39, 12. (C8514). Unpublished report from Battelle
    Institute submitted by Ciba-Geigy

    Teeters, W. R. and Blackmore, R. H. (1968) Pharmacological study of
    chlorphenamidine in the perfused rabbit heart, isolated guinea-pig
    ileum, and dog pharmacodynamic preparation. Hazelton Laboratories
    report C5230, made available by Nor-Am. Chemicals

    Tripod, J. (1967) Unpublished report from Ciba Ltd., made available by
    Nor-Am Chemicals

    Voss, G. and Burkhard, N. (1971) Unpublished report submitted by
    Ciba-Geigy

    Weatherholtz, W. M. (1970) Statistical analysis of body weight data
    and food consumption data, chlorphenamidine. Unpublished report from
    Hazelton Labs. Inc. made available by Nor-Am. Agricultural Products
    Ltd.

    Weir, R. J. (1967) Unpublished report from Hazelton Labs. made
    available by Nor-Am. Chemicals

    Weir, R. J. (1968) Acute oral administration - rats. Unpublished
    report from Hazelton Labs., made available by Nor-Am. Chemicals

    Williams, C. T. (1959) Detoxification mechanisms. London, Chapman and
    Hall

    Witkonton, Sujit. (1969) The fate and persistence of chlorphenamidine
    on six different crops. Thesis for degree of Master of Science,
    Department of Entomology, Pennsylvania State University, September
    1969 (53 pp)
    


    See Also:
       Toxicological Abbreviations
       Chlordimeform (EHC 199, 1998)
       Chlordimeform (ICSC)
       Chlordimeform (WHO Pesticide Residues Series 5)
       Chlordimeform (Pesticide residues in food: 1978 evaluations)
       Chlordimeform (Pesticide residues in food: 1979 evaluations)
       Chlordimeform (Pesticide residues in food: 1980 evaluations)
       Chlordimeform (Pesticide residues in food: 1985 evaluations Part II Toxicology)
       Chlordimeform (Pesticide residues in food: 1987 evaluations Part II Toxicology)
       Chlordimeform (IARC Summary & Evaluation, Volume 30, 1983)