IPCS INCHEM Home


    FAO/PL:1968/M/9/1

    WHO/FOOD ADD./69.35

    1968 EVALUATIONS OF SOME PESTICIDE RESIDUES IN FOOD

    THE MONOGRAPHS

    Issued jointly by FAO and WHO

    The content of this document is the result of the deliberations of the
    Joint Meeting of the FAO Working Party of Experts and the WHO Expert
    Committee on Pesticide Residues, which met in Geneva, 9-16 December,
    1968.

    FOOD AND AGRICULTURE ORGANIZATION OF THE UNITED NATIONS

    WORLD HEALTH ORGANIZATION

    Geneva, 1969

    COUMAPHOS

    IDENTITY

    Chemical names

         O,O-diethyl O-(3-chloro-4-methyl-coumarin-7-yl)
         monothiophosphate
         O-(3-chloro-4-methyl-7-coumarinyl) OO-diethyl phosphorothioate
         (IUPAC)
         O,O-diethyl
         O-(3-chloro-4-methyl-2-oxo-2H-1-benzopyran-7-yl) 
         phosphorothioate

    Synonyms

         Co-Ral(R), Asuntol(R), Baymix(R), Resistox(R), Agridip(R),
         Meldane(R)

    Formula

    CHEMICAL STRUCTURE 

    Other information on identity and properties

    Coumaphos is a slightly brownish powder with a weak unpleasant odour.
    The compound melts 90-92°C. It is stable to water and moderate heat
    but hydrolyzes on refluxing in 1N alkali for two hours. It is soluble
    in aromatic solvents, somewhat soluble in alcohols and ketones and
    insoluble in water.

    Principal formulations are 25 per cent and 50 per cent wettable
    powders, 0.5. 1.0 and 5.0 per cent livestock dusts and emulsifiable
    concentrates containing 11.6-20 per cent active material. A four per
    cent pour-on and two per cent and 50 per cent feed premixes are
    also available.

    EVALUATION FOR ACCEPTABLE DAILY INTAKE

    Biochemical aspects

    After oral doses of 20 mg/kg body weight of 32p-labelled coumaphos
    were administered to two steers, 38 per cent of the radioactivity was
    recorded in the urine and 35 per cent in the faeces during seven days
    following dosing. Diethylphosphoric acid and diethylphosphorothioic
    acid were the major urinary metabolites. The faeces contained 50 per
    cent coumaphos, 32 per cent oxygen analogue and 12 per cent polar
    metabolites (Kaplanis et al., 1959).

    A similar metabolic pattern was found in rats, goats and cows. A cow
    fed 40 mg/kg of 32P-labelled coumaphos had 0.015 ppm equivalents of
    radioactive material in the milk after four weeks and a goat fed 30
    mg/kg had 0.06 ppm equivalents in the milk after seven days (Krueger
    et al., 1959).

    Activation of coumaphos to the more potent cholinesterase inhibitor,
    the oxygen analogue, was demonstrated in vitro using rat-liver
    slices (Vickery and Arthur, 1960).

    Acute toxicity

                                                             
                           LD50 (mg/kg
    Animal        Route    body-weight)   Reference
                                                             

    Mouse         Oral          55        Schuleman, 1955

    Mouse         i.p.          23        Brandenberg, 1956

    Rat (M)       Oral          35        Bombinski and
                                          DuBois, 1957

    Rat (F)       Oral       13-30        DuBois and
                                          Schmalegemeier,
                                          1958

    Rat (M)       i.p.       28-50        DuBois and
                                          Schmalegemeier,
                                          1958

    Guinea-pig    Oral         160        Bombinski and
    (M)                                   DuBois, 1957

    Guinea-pig    i.p.         140        Bombinski and
    (M)                                   DuBois, 1957
                                                             

    Four yearling cattle were given a single dose of 15 mg/kg orally. Very
    mild symptoms, principally diarrhoea, were demonstrated by three
    cattle. Cholinesterase was depressed 40-75 per cent of normal. At 50
    mg/kg two yearling cattle were severely poisoned; one died and the
    other recovered after two weeks. Eight out of nine yearling sheep died
    when given 40 mg/kg orally (Radeleff et al., 1958). When sheep were
    fed 30 mg/kg body weight of coumaphos orally, the mortality was 60 per
    cent (Radeleff et al., 1963).

    Whole blood cholinesterase was depressed 20 per cent in a horse
    poisoned by 25 mg/kg body weight (Jackson et al., 1960).

    Administration of coumaphos to rats in combination with 12 other
    organo-phosphorus insecticides indicated that significant potentiation
    occurred only with malathion. In the case of malathion the LD50 of an
    equitoxic mixture with coumaphos was 190 mg/kg as compared with a
    value of 455 mg/kg, which would be expected on the basis of strict
    additivity. Thus the ratio of observed to expected value is 2.4
    (DuBois, 1958a). No potentiation was observed when coumaphos was
    administered in combination with three other anticholinesterase
    agents, carbaryl, dioxathion and ethion (DuBois, 1960). Simultaneous
    administration of piperonyl butoxide clearly increased the dermal
    toxicity of coumaphos to rats (DuBois, 1958b).

    The joint oral administration to mice of piperonyl butoxide (1:5)
    resulted in a four-to six-fold increase in the toxicity of both
    coumaphos and its oxygen analogue (Robbins et al., 1959a).

    Short-term studies

    Rat

    Four groups of rats (10 male and 10 female) were fed for 16 weeks on
    diets containing 0, 2, 5 or 10 ppm of coumaphos. Growth rate and food
    consumption was not significantly different in test and control
    groups. None of the dietary levels produced any inhibition of brain
    and submaxillary gland cholinesterase. Serum cholinesterase of female
    rats fed 10 ppm showed 30 per cent inhibition after eight weeks and
    20 per cent after 16 weeks. However, there was no significant change
    in that of the males. Erythrocyte cholinesterase of both males and
    females fed 10 ppm showed a marked inhibition after eight weeks (40
    per cent) but the effect had fallen to 20 per cent inhibition after
    16 weeks. No other toxic or pathological lesions were noted in the
    test group (Vaughn et al., 1958a).

    Groups of five female rats received daily intraperitoneal injections
    of coumaphos at levels of 0, 5, 7.5, 12.5 and 25 mg/kg body weight. At
    the top dose level all the animals died within eight days,
    demonstrating that coumaphos exerts a cumulative lethal effect when
    daily doses of one fourth of the acute LD50 are given. No mortalities
    occurred during the 60-day experimental period at the lower dosage
    levels.  At the 12.5 mg/kg level the animals showed typical symptoms
    of intoxication, apparent after five injections of the compound. The
    effects consisted of extreme irritability, tremors, lacrimation, mild
    diarrhoea and rapid loss of weight. After 15 days the symptoms began
    to subside and the animals gained weight and appeared nearly normal
    throughout the remainder of the 60-day period, with the exception of
    the occurrence of mild tremors for about two hours after each

    injection. Three out of the five animals in this group developed lens
    opacities. At the 5 and 7.5 mg/kg dosage level the animals did not
    exhibit any grossly observable symptoms of poisoning or loss of
    weight. However, tissue cholinesterase levels were depressed by at
    least 75 per cent and remained at that low level throughout the
    period of injections (Murphy and DuBois, 1958).

    Groups of 12 male and 12 female rats were fed 0, 10, 25 and 100 ppm of
    coumaphos in a milk diet for 90 days. Marked weight loss and 100 per
    cent mortality after the 90-day period occurred in the 100 ppm group.
    Eight of the 24 rats fed 25 ppm died during the 90-day period, whereas
    the mortality in the 0 and 10 ppm groups in the milk diet was less
    than 10 per cent. Serum and erythrocyte cholinesterase activity of
    male and female rats fed 10 ppm was inhibited 60 per cent and 30 per
    cent respectively and the effect became more marked at higher dose
    levels. Brain and submaxillary gland cholinesterase was inhibited at
    the 10 and 25 ppm levels (Doull et al., 1962a).

    Dog

    Four groups, each of which contained one male and one female dog, were
    fed diets containing 2, 5, 10 and 50 ppm of coumaphos for 12 weeks.
    None of the animals exhibited any symptoms of cholinesterase
    inhibition (parasympathetic stimulation) during the feeding period,
    and all dogs appeared normal. Serum and erythrocyte cholinesterase
    activity was determined relative to a control value established for
    each dog by obtaining samples of blood during an observation period
    prior to starting the test diet. At the 50 ppm level, erythrocyte
    cholinesterase activity decreased to 65 per cent of control by the
    end of four weeks and remained at this low level for the duration of
    the experiment. No inhibition of erythrocyte cholinesterase was
    observed at the 2, 5 or 10 ppm level. Serum cholinesterase activity
    was rapidly decreased to 50 per cent of control at the 10 and 50 ppm
    levels after one to two weeks. Return to normal following removal of
    coumaphos from the diet at the end of the 12-week period was rapid for
    serum (one week) but slower (three weeks) for erythrocyte
    cholinesterase. A level of 2 ppm of coumaphos in the diet caused only
    slight inhibition of serum cholinesterase (Vaughn et al., 1958b).

    Four groups, each of two male and two female dogs, were fed milk diets
    containing 0, 10, 25 and 100 ppm for 90 days without any sign of
    intoxication except for intermittent periods of diarrhoea in the
    female dogs fed 100 ppm. At the 10 ppm level and above, serum
    cholinesterase was depressed to greater than 50 per cent of the
    control after two weeks. Significant depression of erythrocyte
    cholinesterase was evident only at the 100 ppm level and reached a
    plateau of 50 per cent of normal after 10 weeks. Sacrifice after 90
    days showed no significant depression of brain or liver cholinesterase
    except possibly a slight inhibition of brain cholinesterase at 100 ppm
    (Doull et al., 1962b).

    Four groups of dogs, each of which contained two male and two female
    animals, were fed diets containing 0, 2, 10 and 50 ppm of coumaphos.
    Growth-rate, food consumption, haematological profile and prothrombin
    time was normal in all groups except, possibly, for a slight reduction
    in growth-rate of one of the five dogs fed 50 ppm. Inhibition of serum
    cholinesterase occurred in the 50 and 10 ppm groups and of erythrocyte
    in the 50 ppm group. At sacrifice, after feeding for one year, brain
    and liver cholinesterase was depressed in the 50 ppm group and liver
    cholinesterase in the 10 ppm group. No inhibition occurred in the 2
    ppm group (Doull et al., 1959).

    Gross and histological examination of the tissues and organs of
    animals used in the latter experiment did not reveal any compound
    related effects (Vesselinovitch et al., 1960).

    Cattle

    Four yearling cattle were fed 5 mg/kg of coumaphos orally daily for
    five days. Whole blood cholinesterase was reduced to 50 per cent of
    normal (Radeleff et al., 1958).

    Long-term studies

    Rat

    Groups of 50 rats (25 males and 25 females) were fed diets containing
    0, 5, 25 or 100 ppm of coumaphos, for two years. Growth and food
    consumption was normal for all groups. At the 100 ppm and 25 ppm
    level, coumaphos shortened the average life span (25 per cent and 10
    per cent respectively). Erythrocyte and serum cholinesterase was
    inhibited in the 10 ppm and higher groups, in a dose response
    relationship. Inhibition of brain cholinesterase occurred in the 25
    ppm and 100 ppm groups. Only animals in the 100 ppm group showed
    occasional evidence of toxic effects, mainly irritability and
    excitability. The "no effect" level in rats with respect to the
    cholinesterase level in tissues assayed is 5 ppm. Kidney weight of
    rats in the 10 ppm and higher groups was decreased, this effect being
    partly correlated with the dietary levels of coumaphos. At autopsy, no
    compound related histologic lesions were found (Doull et al., 1960).

    Special studies

    (a)  Reproduction

    Mouse: Reproduction studies have been carried out with groups of 12
    male and 24 female mice fed 0, 10, 25 or 100 ppm of coumaphos in their
    diet. Male and female mice were able to tolerate coumaphos up to 25
    ppm without exhibiting marked changes in fertility, litter size or
    ability of offspring to survive for 30 days after birth. At the 100

    ppm level, the number of mice that became pregnant was reduced by
    about 50 per cent, litter size was reduced by about 50 per cent and
    only about 15 per cent of the offsprings survived 30 days. When the
    feeding of coumaphos at the 25 ppm level was extended over three
    generations of animals, fertility, gestation, viability and lactation
    were similar to the controls. Histopathological examination of 12
    weanlings of each sex of the third generation did not reveal any
    compound-related effects. Only seven per cent of the initial group of
    mice fed 100 ppm survived; this incidence of high mortality in the
    case of pregnant mice contrasts with a prior study which showed that
    when a group of non-pregnant mice were fed 100 ppm of coumaphos for
    six weeks, none died. Thus pregnant mice are possibly more susceptible
    to the acute toxic effects of coumaphos than are non-pregnant mice.
    Cholinesterase inhibition studies were not made in the reproduction
    experiment (Doull et al., 1962b).

    Chicken: In a three-generation reproduction study, a group of four
    male and 20 female chickens were fed diets containing 5, 10 or 25 ppm
    coumaphos. Reactions indicative of cholinesterase inhibition were
    noted among Fo birds in the 25 ppm group. These reactions occurred at
    17 weeks of age and disappeared when levels were reduced to 20 ppm.
    The dietary level was returned to 25 ppm for the F1, F2 and F3
    birds. No abnormal reactions were noted among any of the F1, F2 and
    F3 birds. Body weight, food disappearance, mortality, egg production,
    egg weight, egg fertility, egg hatchability and cholinesterase
    activity were normal for all test groups in all generations.
    Microscopic examination of tissues and organs of F2 birds in the 25
    ppm group  was also normal (Industrial Bio-test Laboratories, 1966).

    (b) Studies of metabolites

    The acute oral toxicity of metabolites of coumaphos has been
    established. For the oxygen analogue of coumaphos the LD50 for
    several species is shown in the following table (DuBois and Plzak,
    1959).

                                                   
    Animal             Route           LD50
                                 mg/kg body weight
                                                   
    Mouse (M)          i.p.            4.2

    Mouse (F)          i.p.            3.8

    Rat (M)            oral           11.0

    Rat (F)            oral            8.3

    Rat (M)            i.p.            2.8

    (continued)
                                                   
    Animal             Route           LD50
                                 mg/kg body weight
                                                   
    Rat (F)            i.p.            2.6

    Guinea-pig (M)     oral           50.0

    Guinea-pig (F)     i.p.           16.0
                                                   

    At doses approaching the LD50 the animals exhibited symptoms
    characteristic of cholinesterase inhibition of the central and
    peripheral nervous system. The onset of symptoms occurs more rapidly
    with the oxygen analogue than with the parent compound. Inhibition of
    cholinesterase activity and its rapid recovery also contrasts with the
    prolonged action of coumaphos (DuBois and Plzak, 1959).

    The LD50 to rats of the metabolite chlorferron is greater than 1000
    mg/kg. It was not possible to kill a rat by either oral or
    intraperitoneal administration at this level (DuBois and
    Schmalgemeier, 1959).

    Groups of rats (10 male and 10 female) were fed diets containing 0, 5,
    10 and 50 ppm of chlorferron for 16 weeks. There was no effect on food
    consumption, peripheral blood-count and cholinesterase activity of the
    brain, submaxillary glands, serum and erythrocytes. Male rats fed
    diets containing 10 and 50 ppm showed a slight reduction in growth
    rate during the second month, but neither group showed any significant
    difference in body weight compared to the controls after 16 weeks.
    Studies on organ weight and pathology were omitted (Vaughn et al.,
    1958c).

    Comments

    Early studies on the acute toxicity of coumaphos showed great
    variability. The short-term and long-term studies were adequate.
    Because cholinesterase inhibition was used as criterion for assessment
    the levels studied were too low to detect toxic effects due to
    chlorferron. More extensive studies on this metabolite should,
    therefore, be carried out. In short-term studies by the
    intraperitoneal route in rats, lens opacities were observed at the
    highest level tested.

    TOXICOLOGICAL EVALUATION

    Level causing no significant toxicological effect

         Rat: 5 ppm, equivalent to 0.25 mg/kg body weight per day
         Dog: 2 ppm, equivalent to 0.05 mg/kg body weight per day

    Estimate of temporary acceptable daily intake for man (of parent
    compound, oxygen analogue and chlorferron)

         0 - 0.0005 mg/kg body weight.

    RESIDUES IN FOOD AND THEIR EVALUATION

    Use pattern

    Coumaphos is used to control pests attacking domestic animals (it is
    not used on plants). Numerous studies dealing with various
    applications and the efficacy of coumaphos for the control of a
    variety of insects have been published. These references are recorded
    with FAO. The insect pests against which coumaphos is applied on the
    various domestic animals are listed in the following table.

                                                                                                 
                   Beef      Dairy
                   Cattle    Cattle    Sheep     Horses    Pigs      Dogs      Poultry   Goats
                                                                                             

    Ticks
    (one or
    more              x         x        x          x                 x           x        x
    hosts)
    Ear
    ticks

    Mites             x                  x                  x                     x        x

    Fleas                                                   x         x           x

    Biting
    and               x                  x          x       x         x           x        x
    sucking
    lice

    Keds                                 x                                                 x

    Cattle
    grubs,            x
    warbles

    Screw worms
    and               x         x        x          x       x                              x
    blowfly
    maggots

    Stable-,
    buffalo and       x         x        x          x       x                              x
    horn flies

    (continued)
                                                                                             
                   Beef      Dairy
                   Cattle    Cattle    Sheep     Horses    Pigs      Dogs      Poultry   Goats
                                                                                             

    Face
    flies             x         x
                                                                                             
    

    The compound is administered internally for control of faecal-breeding
    flies and of certain endoparasites; in the United States of America up
    to 33 ppm of coumaphos is added to the feed of cattle for this purpose
    (Anon., 1964-1966, 1968). Enough coumaphos is added to the daily diet
    to ensure a dose of 1.2 mg/kg of body weight.

    For spray and dip treatments, a suspension of wettable powder with
    0.0625 to 0.5 per cent of coumaphos is used and two to four litres of
    suspension remain on the animal body. For pour-on treatments, an oil
    formulation is applied to the back of cattle in a quantity sufficient
    to ensure that the animal receives 10-15 mg of active ingredient per
    kg of body weight. Poultry is dusted once weekly with a 0.5 per cent
    formulation.

    Low dosage treatments (backrubber, up to five per cent dusts, one per
    cent mist spray and 1.2 mg/kg/day in feed) may be made to lactating
    dairy animals with no time limitation. Lactating animals should not be
    given over-all sprays or pour-on treatments. Dry dairy animals should
    not be given over-all spray, dip or pour-on treatments within 14 days
    of freshening. Baby animals should not be treated before they are
    three months old. Three-to six-month-old animals should be sprayed
    only lightly. Sheep and goats should not be treated with spray
    concentrations greater than 0.25 per cent. Sick animals should not be
    treated. Coumaphos should not be used in conjunction with natural and
    synthetic pyrethroids or compounds synergizing them (Robbins et al.,
    1959a); nor should it be used with other organo-phosphorus compounds
    (e.g. malathion) or internal medications, such as phenothiazine (Clark
    et al., 1967). Sheep and goats should not be slaughtered within 15
    days of treatment.

    Residues resulting from supervised trials

    A summary of results compiled by Chemagro Corporation and on file with
    FAO is given in the following table on page 79. Some of the dose rates
    are higher than recommended. The residues consist of coumaphos and its
    oxygen analogue.

    The residues in cattle, apart from fat samples, ranged up to 0.12 ppm.
    The residues in fat fall below 0.05 ppm within three weeks.
    Practically no more residues are detectable four weeks after the

    treatment (<0.02 ppm); in meat practically no more residues are
    detectable after only one week. Following application of low dosages,
    no residues larger than 0.01 ppm (limit of detection) occurred in
    milk. Following backrubber treatment, only traces of residues
    appeared. The milk was free of residues.

    Following treatment of pigs, residues were also chiefly found in fat.
    The internal organs were free of residues. Curing had no effect.
    Generally the results are similar to those obtained for cattle.

    For sheep, the highest residues appear in fat and are somewhat higher
    than those recorded in cattle and pigs. Following single treatment,
    which is the customary method of application, the residues do not
    exceed 0.5 ppm.

    The residues in poultry are very low. They appear chiefly in skin and
    fat.

    Practically no residues occurred after administration of coumaphos in
    the feed.

    Tests from sources other than the manufacturer follow:

    No residues (<0.002 ppm) of coumaphos, its oxygen analogue or
    O,O-diethyl O-(4-methyl-2-oxo-2H-1-benzopyran-7-yl)
    phosphorothioate were found in milk samples from cows receiving up to
    44 ppm coumaphos in feed (Bowman et al., 1968). After spray
    applications of 0.1 per cent and 0.25 per cent coumaphos to dairy
    cows, milk from the first two milkings contained residues of 0.01 to
    0.03 ppm; no residues were detected in subsequent milkings (Matthyse
    and Lisk, 1968).

    Residues in the fat of cattle following a single spray treatment with
    0.5 per cent coumaphos reached a maximum of 0.50 ppm within a week
    after spraying; the duration of detectable residues was less than two
    weeks (Claborn et al., 1960).

    When hens were dusted individually with 0.25 or 0.5 per cent
    coumaphos at a rate of three to four grams per bird, no detectable
    residues (<0.02 ppm) were found in the eggs (Knapp and Krause, 1960).
    In another experiment, hens were dusted daily with 0.5 per cent dust
    for four weeks, receiving 0.02 grams active coumaphos per treatment.
    Twelve days after treatments were discontinued no detectable residues
    (<0.02 ppm) were found in five hens and a residue of 0.08 ppm in one
    hen. No residues were found in the giblets or in eggs collected
    throughout the four-week treatment period and the following 12 days
    (Knapp, 1962).

    When hen-houses were treated with five per cent coumaphos dust or
    fogged with a suspension of the 25 per cent wettable powder, less
    than 0.15 ppm coumaphos was found in the liver and fat of exposed


        RESIDUES OF COUMAPHOS IN SUPERVISED TRIALS - CHEMAGRO CORPORATION
                                                                                                                                         
                                                                   Days         Residue
                                Dosage of            No. or        after        in meat and         Residue         Residuea
    Treatment        Animal     active              duration of    last         internal organs     in fat          other
                                ingredient          treatments     treatment    (ppm)               (ppm)           (ppm)
                                                                                                                                         

    Sprayb           cow        0.5%, 4 litres      1-7            6-28         0.0 - 0.12          0.0 - 0.45
    Sprayb           sheep      0.25%               6              8-29         0.0 - 0.20          0.05 - 1.73c
    Sprayb           goat       0.25%               6              8-29         0.0 - 0.05          0.0 - 0.55
    Sprayb           pig        0.5%                1-6            7-29         0.0                 0.0 - 0.16      0.0 - 0.13 (bacon)
    Sprayb           hen        0.1%, 0.47 litre    1-3            3.21         0.0 - 0.41          0.0 - 0.08
    Pour-on          calf       2.56ge              1              15-55        0.01 - 0.05         0.01 - 0.11
    Pour-on          cow        2%d                 1              7-42         0.0 - 0.03          0.0 - 0.07
    Backrubber       cattle     1% emulsion         28 days        0-7          0.0 - 0.03          0.0 - 0.09      0.0 (milk)
    Dust             hen        0.25 - 1.0%         1-30           1-35         0.0 - 0.09          0.0 - 0.07      0.0 - 0.31 (skin)
    Dust (in box)    hen        0.075g/hen          1              1-34         -                   -               0.0 - 0.03 (eggs)
    Feed             cow        10-66 ppm           8-120 days     -            0.0                 0.0             0.0 (milk)
    Feed             pig        40-80 ppm           63-78 days     -            0.0 - 0.05          0.0 - 0.41f
    Feed             hen        40-131 ppm          1-203 days     -            0.0 - 0.06          0.0 - 0.05      0.0 - 0.07(?) (eggs)
                                                                                                                                         

    a Analysis of chlorferron negative in many instances on various tissues and in milk.
    b Spray to runoff.
    c 1.73 value is from eight-day pre-slaughter interval. Maximum residue at label interval of 15 days was 0.40 ppm.
    d in 100 ml of mineral oil.
    e in 375 ml of white oil.
    f Residue from sample taken on last day of treatment.
    

    hens. The dust application did not result in any detectable residues
    in eggs. In one instance a marginal residue (0.03 ppm) was observed in
    eggs from hens exposed to fogging (Shaw et al., 1964).

    When coumaphos was fed in mash at rates of 0, 5, 10 and 20 ppm for 14
    weeks, no residues (<0.02 ppm) were found in the eggs at any time
    (Quigley and Harding, 1963).

    Fate of residues

    In animals

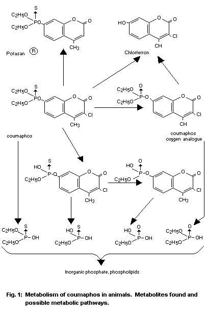
    The metabolism of coumaphos in animals has been extensively studied
    following application to cattle, goats, rats and hens; the compound
    was administered dermally, orally and by injection of P32-labeled
    active ingredient. The diagram in Fig. 1 shows which compounds were
    found. The active ingredient and its oxygen analogue undergo the same
    metabolic pathway as other diethyl aryl phosphates and thiophosphates
    except that the complete degradation of the compounds to phosphoric
    acid occurs more rapidly than with most other compounds used for
    similar applications. Although coumaphos is more susceptible to
    cleavage of the phosphorus-oxygen-ethyl group in vivo than either
    diazinon or parathion (O'Brien and Wolfe, 1959; Plapp and Casida,
    1958a, 1958b), the resulting desethyl compounds have not been shown to
    be present in appreciable amounts as residues and are not likely to
    persist in the animal because of their polar nature. A number of
    studies, mostly with P32-labeled coumaphos, have shown that the
    residues are rapidly eliminated from a variety of animals (Lindquist
    et al., 1958; Robbins et al., 1959b; Krueger et al., 1959; Kaplanis et
    al., 1959; Vickery and Arthur, 1960; Dorough et al., 1961).

    In general, it is expected that the principal components of the
    pesticide residue will be the parent compound, its oxygen analogue and
    chlorferron. However, a recent study has shown that another metabolite
    that may be formed is dechlorinated coumaphos, O,O-diethyl
    O-(4-methyl-2-oxo-2H-1-benzopyran-7-yl) phosphorothioate (Potasan
    (R)) (Bowman et al., 1968). In the faeces of cows consuming up to 44
    ppm coumaphos in their feed, Potasan (R) was found at levels equal to
    four to seven per cent of the coumaphos present in the faeces while
    the Potasan (R) content of the technical coumaphos used to fortify the
    feed was only 0.16 per cent. Potasan (R) has not been found in edible
    foods and there is no evidence that it occurs in other than a very
    small proportion of the residue.

    Evidence of residues in food in commerce or at consumption

    In a 1968 survey of slaughter-houses located in five states of the
    United States of America, no residues of coumaphos were found in 149
    tissue samples (Stewart, 1968).

    FIGURE 

    Methods of residue analysis

    A fluorescence method has been widely used for determining residues of
    coumaphos, its oxygen analogue and the hydrolysis product chlorferron
    (Anderson et al., 1959; Adams and Anderson, 1964; MacDougall, (1964).
    The recoveries for a dose level of 0.2 ppm are in the range of 90 per
    cent, with an error of ± 10 per cent. For coumaphos and/or its oxygen
    analogue, the sensitivity of the method is about 0.02 ppm. For
    chlorferron, sensitivity is 0.01 to 0.02 ppm according to the nature
    and size of the analytical sample. In milk, residues of 0.01 ppm are
    detectable for all three compounds.

    The gas chromatographic determination of coumaphos itself has been
    reported by a number of workers (Bowman and Beroza, 1967; Bonelli et
    al., 1964; Bostwick and Giuffrida, 1967; Burke, 1965; Burke and
    Holswade, 1964, 1966; Hartmann, 1966; Watts and Storherr, 1968),
    usually as part of a general analysis for phosphorus compounds, with
    no effort being made to determine the oxygen analogue. Detectors used
    in these determinations were electron-capture, microcoulometric,
    thermionic and flame-photometric.

    The only gas chromatographic determination designed specifically for
    coumaphos and some of its metabolites was advanced by Bowman et al.
    (1968). They analysed for coumaphos, its oxygen analogue and
    Potasan(R) (dechlorinated coumaphos) with the flame-photometric
    detector of Brody and Chaney (1966) which is marketed by MicroTek
    Instruments Co., Baton Rouge, Louisiana, United States of America. The
    method has high specificity, requires little or no clean-up and its
    sensitivity is better than 0.003 ppm for the compounds in milk and
    0.005 ppm for those in faeces. At the moment, this method appears to
    be the most promising one for either regulatory or referee purposes.
    However, the fluorescence method may be adequate for regulatory
    purposes if a suitable clean-up for the particular product is
    available.

    Other techniques that have been cited for the analysis of coumaphos
    and which may be useful for confirming its presence (usually
    qualitatively) are paper chromatography, thin-layer chromatography and
    bio-assay. Polarography and colorimetry have also been suggested for
    quantitative determination. Methods in addition to those mentioned
    that may be used for confirming identity of residues are infra-red,
    ultra-violet, mass spectrometry and p-values. Confirmation of the
    identity of residues is most desirable.

    National tolerances

                                                                 

    Country             Commodity                Tolerance (ppm)

                                                                 

    United States of    Meat, fat and meat             1
    America             by-products of cattle,
                        goats, hogs, horses,
                        poultry and sheep

                        Milk fat (reflecting          0.5
                        negligible residues in
                        milk)

                        Eggs                          zero

    Canada              Meat of cattle, goats,        0.5
                        horses, poultry, sheep
                        and swine
                                                                 

    RECOMMENDATIONS FOR TOLERANCES AND PRACTICAL RESIDUE LIMITS

    Appraisal

    Coumaphos is used on animals, including poultry, to control insect
    pests. It acts both as a contact and systemic insecticide. Application
    is made in various ways including dipping, direct spraying, adding to
    the feed, pouring over the animals and as dusts in poultry bins. The
    insecticide is also added to the feed of livestock to make the faeces
    larvicidal (1 mg per kg per day; 33 ppm in the diet) yet no detectable
    residues were found in the milk of lactating animals (0.01 ppm
    detectable). When the insecticide is used to dust poultry, the eggs
    sometimes show residues as high as 0.03 ppm, and residues as high as
    0.07 and 0.31 ppm are found in the fat and skin of poultry
    respectively.

    The compound is widely used in the United States of America and its
    use is increasing in such other countries as Canada and Australia.
    Several other methods of application are undoubtedly being used in
    other countries; however, the meeting had no detailed knowledge of
    practices other than those in the United States of America and Canada.

    The terminal residues consist of the parent compound plus the oxygen
    analogue and certain other degradation products, most of which have
    been identified. It was agreed that one of these degradation products,
    chlorferron (hydrolysis product), should not be included in tolerance
    figures. The tolerance figures should include coumaphos and the oxygen
    analogue.

    In respect to milk and milk products, the data submitted and reviewed
    do not indicate that a tolerance for these products need be
    established because no residues were found. In this connexion the
    residue data were provided largely by the manufacturer with supporting
    data from United States Government experimental stations. There were
    no data supplied from other countries.

    A method of analysis, recently published, is believed to be suitable
    for enforcement purposes. Arrangements should be made for a
    collaborative study to evaluate it as a referee method.

    Recommendations

    Temporary tolerances

    The following temporary tolerances (to be in effect until 1972) are to
    apply to raw agricultural products moving in commerce unless otherwise
    indicated. In the case of commodities entering international trade,
    the tolerances should be applied by the importing country at the point
    of entry or as soon as practicable thereafter. The tolerance figures
    include the oxygen analogue.

         Meat, including poultry (fat basis)     0.5 ppm (applied at
                                                          slaughter)

         Eggs (shell-free basis)                 0.05 ppm

    Further work or information

    Required before 30 June 1972

    1. Data on the required rates and frequencies of application,
       pre-harvest intervals and the resultant residues from countries 
       other than the United States of America and Canada.

    2. Short-term studies of the main metabolites, including
       histopathology.

    3. Biochemical studies, cholinesterase inhibition studies and
       haematological studies, including coagulation effects in man.

    Desirable

    1. Collaborative studies of the published method of analysis to
       evaluate its suitability as a referee method.

    2. More extensive studies on the metabolite chlorferron.

    3. Further information relating to the observation of lens opacities
       in rats.

    REFERENCES

    Adams, J. M. and Anderson, C. A. (1964) A quantitative method for the
    determination of residues of Co-Ral
    (0-[3-chloro-4-methyl-umbelliferon] 0,0-diethyl
    phosphorothioate) and Chlorferron
    (3-chloro-4-methyl-7-hydroxy-coumarin) in animal tissues and milk.
    Chemagro Corp. Rep. No. 13:656

    Anderson, C. A., Adams, J. M. and MacDougall, D. (1959)
    Photofluorometric method for determination of Co-Ral residues in
    animal tissues. J. Agr. Food Chem., 7: 256-259

    Anon. (1964-1966) U.S. Department of Agriculture Summary of Registered
    Agricultural Pesticide Chemical Uses, 2nd Edition and Supplement III.
    0,0-diethyl 0-3-chloro-4-methyl-2-oxo-2H-1-benzopyran-7-yl
    phosphorothioate, pp. 287-288, issued 10.1.66 and U.S. Department of
    Agriculture, Washington, D.C.

    Anon. (1968) Suggested guide for the use of insecticides to control
    insects affecting crops, livestock, households, stored products,
    forests and forest products, 1968. Agriculture Handbook No. 331, U.S.
    Department of Agriculture. Superintendent of Documents, U.S.
    Government Printing Office, Washington, D.C.

    Bombinski, T. J. and DuBois, K. P. (1957) Acute toxicity and
    pharmacological effects of
    0,0-diethyl-0-(3-chloro-4-methyl-7-courmarinyl) phosphorothioate
    (Bayer 21/199). Department of Pharmacology, University of Chicago.
    Unpublished report

    Bonelli, E. J., Hartmann, H. and Dimick, K. P. (1964) Gas
    chromatography retention times and sensitivity data for insecticides
    and herbicides. J. Agr. Food Chem., 12: 333-336

    Bostwick, D. C. and Giuffrida, L. (1967) Programmed temperature gas 
    chromatography of pesticides, using electron capture and thermionic
    detectors. J. Ass. Offic. Anal. Chem., 50: 577-581

    Bowman, M. C. and Beroza, M. (1967) Temperature-programmed gas
    chromatography of twenty phosphorus-containing insecticides on four
    different columns and its application to the analysis of milk and corn
    silage. J. Ass. Offic. Anal. Chem., 50: 1228-1236

    Bowman, M. C., Beroza, M., Gordon, C. H., Miller, R. W. and  Morgan,
    N. O. (1968) A method of analysing the milk and faeces of cows for
    coumaphos and its oxygen analogue after feeding coumaphos for control
    of house-fly larvae. J. Econ. Entomol., 61: 358-362

    Brandenberg, W. (1956) Report of results obtained in the toxicological
    examination of Resitox (21/199). Toxicological Industrial Hygiene
    Lab., Berlin. Unpublished report

    Brody, S. S. and Chaney, J. E. (1966) The application of a specific
    detector for phosphorus and for sulfur compounds sensitive to
    subnanogram quantities. J. Gas Chromatog., 4: 42-46

    Burke, J. A. (1965) Gas chromatography for pesticide residue analysis;
    some practical aspects. J. Ass. Offic. Agr. Chem., 48: 1037-1058

    Burke, J. and Holswade, W. (1964) Gas chromatography with
    microcoulometric detection for pesticide residue analysis. J. Ass.
    Offic. Agr. Chem., 47: 845-859

    Burke, J. A. and Holswade, W. (1966) A gas chromatographic column for
    pesticide residue analysis: retention times and response data. J. Ass.
    Offic. Anal. Chem., 49: 374-385

    Claborn, H. V., Bushland, R. C., Mann, H. D., Ivey, M. C. and 
    Radeleff, R. D. (1960) Meat and milk residues from livestock sprays.
    J. Agr. Food Chem., 8: 439-442

    Clark, D. E., Wright, F. C., Radeleff, R. D., Danz, J. W. and 
    Lehmann, R. P. (1967) Influence of coumaphos contaminants, vitamin A
    and phenothiazine-lead arsenate on certain enzymes and vitamins of
    cattle treated with coumaphos. Amer. J. Vet, Res., 28: 89-95

    Dorough, H. W., Brady, V. E., jr. Timmerman, J. A., jr and Arthur, B.
    W. (1961) Residues in tissues and eggs of poultry receiving Co-Ral
    (Bayer 21/199) in the feed. J. Econ. Entomol., 54: 97-100

    Doull, J., Root, M. and Cowan, J. (1962a) Ninety-day feeding studies 
    with Co-Ral in male and female rats and dogs fed a milk diet.
    Department of Pharmacology, University of Chicago. Unpublished report

    Doull, J., Root, M. and Cowan, J. (1962b) The effect of Co-Ral in the 
    diet on the reproduction of mice. Department of Pharmacology,
    University of Chicago. Unpublished report

    Doull, J., Vaughn, G. and Knecht, J. (1959) Chronic toxicity of Co-Ral 
    (Bayer 21/199) to dogs and rats. Department of Pharmacology,
    University of Chicago. Unpublished report

    Doull, J., Vesselinovitch, D., Fitch, F., Root, M. and  Meskauskas, J.
    (1960)  Chronic toxicity of Co-Ral fed to rats for a period of two
    years. Departments of Pharmacology and Pathology, University of
    Chicago. Unpublished report

    DuBois, K. P. (1958a) The acute toxicity of Co-Ral in combination with
    other organic phosphates. Department of Pharmacology, University of
    Chicago. Unpublished report

    DuBois, K. P. (1958b) The dermal toxicity of Co-Ral and piperonyl
    butoxide given simultaneously to rats. Department of Pharmacology,
    University of Chicago. Unpublished report

    DuBois, K. P. (1960) The acute toxicity of Co-Ral in combination with
    Delnav, Ethion and Sevin to rats. Department of Pharmacology,
    University of Chicago. Unpublished report

    DuBois, K. P. and Plzak, G. (1959) Studies in the toxicity and anti-
    cholinesterase action of the oxygen analogue of Co-Ral. Department of
    Pharmacology, University of Chicago. Unpublished report

    DuBois, K. P. and Schmalgemeier, D. (1958) Comparison of the acute
    toxicity of various Co-Ral preparations to rats. Department of
    Pharmacology, University of Chicago. Unpublished report

    DuBois, K. P. and Schmalgemeier, D. (1959) The absence of acute
    toxicity of chlorferron to rats. Department of Pharmacology,
    University of Chicago. Unpublished report

    Hartmann, C. H. (1966) Phosphorus detector for pesticides analysis. 
    Bull. Environ. Contam. Toxicol., 1: 159-168

    Hecht, G. (1958) Untitled. Farbenfabriken Bayer, West Germany.
    Unpublished report

    Industrial Bio-Test Laboratories. (1966) Three generation reproduction
    study on Co-Ral. White Leghorn chickens. Unpublished report

    Jackson, J. B., Drummond, R. O., Buck, W. B. and Hunt, L. M. (1960) 
    Toxicity of organic phosphorus insecticides to horses. J. Econ.
    Entomol., 53: 602-604

    Kaplanis, J. N., Hopkins, D. E. and Treiber, G. H. (1959) Dermal and
    oral treatments of cattle with phosphorus-32-labeled Co-Ral. J. Agr.
    Food Chem., 7: 483-486

    Knapp, F. W. (1962) Poultry tolerance to excessive amounts of Co-Ral 
    dust. J. Econ. Entomol., 49: 560-561

    Knapp, F, W. and Krauss, G. F. (1960) Control of the northern fowl
    mite, Ornithonyssus sylviarium (C and F) with ronnel, Bayer L 13/59
    and Bayer 21/199. J. Econ. Entomol., 52: 4-5

    Krueger, H. R., Casida, J. E. and Niedermeier, R. P. (1959) Bovine
    metabolism of organo-phosphorus insecticides. Metabolism and residues
    associated with dermal application of Co-Ral to rats, a goat and a
    cow. J. Agr. Food Chem., 7: 182-188

    Lindquist, D. A., Burns, E. C., Pant, C. P. and Dahm, P. A. (1958)
    Fate of P32-labeled Bayer 21/199 in the white rat. J. Econ. Entomol.,
    51: 204-206

    MacDougall, D. (1964) Co-Ral. In: G. Zweig, ed. Analytical methods 
    for pesticides, plant growth regulators and food additives. Vol. II,
    pp. 83-95. Academic Press, New York and London

    Matthysse, J. G. and Lisk, D. (1968) Residues of diazinon, coumaphos, 
    Ciodrin, methoxychlor and rotenone in cow's milk from treatments
    similar to those used for ecto-parasite and fly control on dairy
    cattle, with notes on safety of diazinon and Ciodrin to calves. 
    J. Econ. Entomol., 61: 1394-1398

    Murphy, S. D. and DuBois, K. P. (1958) The subacute toxicity of Co-Ral
    (0,0-diethyl-0-3-chloro-4-methyl-7-courmarinyl-phosphorothioate; Bayer
    21/199 to rats). Department of Pharmacology, University of Chicago.
    Unpublished report

    O'Brien, R. D. and Wolfe, L. S. (1959) The metabolism of Co-Ral (Bayer
    21/199) by tissues of the house-fly, cattle grub, ox, rat and mouse.
    J. Econ. Entomol., 52: 692-695

    Plapp, F. W. and Casida, J. E. (1958a) Bovine metabolism of
    organophosphorus insecticides. Metabolic fate of 0,0-dimethyl
    0-(2, 4,5-trichlorophenyl) phosphorothioate in rats and a cow. 
    J. Agr. Food Chem., 6: 662-667

    Plapp, F. W. and Casida, J. E. (1958b) Hydrolysis of the
    alkyl-phosphate bond in certain diethyl aryl phosphorothioate
    insecticides by rats, cockroaches and alkali. J. Econ. Entomol., 51:
    800-803

    Quigley, G. D. and Harding, W. C., jr. (1963) Use of Co-Ral (R) as a 
    systemic insecticide for layers. Poultry Sci., 42: 1247-1248

    Radeleff, R. D., Jackson, J. B., Buck, W. B., Younger, R. L., 
    Weidenbach, C. P. and Roberts, R. H. (1963) Toxicity studies of Bayer
    21/199 in livestock. J. Am. Vet. Med. Assoc., 142: 624-631

    Radeleff, R. D., Jackson, J. B., Roberts, R. H. and Hunt, L. M. (1958)
    Summary of acute toxicity studies of Bayer 21/199 in livestock.
    U.S.D.A., Kerrville, Texas. Unpublished report

    Robbins, W. E., Hopkins, T. L., Darrow, D. J. and Eddy, G. W. (1959a)
    Synergistic action of piperonyl butoxide with Bayer 21/199 and its
    corresponding phosphate in mice. J. Econ. Entomol., 52: 660-663

    Robbins, W. E., Hopkins, T. L., Darrow, D. I. and Eddy, G. S. (1959b)
    Studies with P32-Bayer 21/199 sprayed on cattle. J. Econ. Entomol.,
    52: 214-217

    Schuleman, W. (1955) Final opinion on the new insecticide Resitox
    (21/199). Pharmacological Institute of Rheinische,
    Friedrich-Wilhelm-Universität, Bonn. Unpublished report

    Shaw, F. R., Smith, C. T., Anderson, D. L., Fischang, W. J., Ziener,
    W. H. and Hurny, J. (1964) The effects of coumaphos on poultry and its
    residues in tissue and eggs. J. Econ. Entomol., 57: 516-518

    Stewart, J. H. (1968) U.S. Department of Agriculture, Washington, D.C. 
    Private communication

    Vaughn, G., Deininger, E. and Doull, J. (1958a) The effects of diets
    containing Co-Ral (Bayer 21/199) on rats. Department of Pharmacology,
    University of Chicago. Unpublished report

    Vaughn, G., Deininger, E. and Doull, J. (1958b) Measurement of the
    safe dietary level of Co-Ral for dogs. Department of Pharmacology,
    University of Chicago. Unpublished report

    Vaughn, G., Deininger, E. and Doull, J. (1958c) The subacute toxicity 
    of 3-chloro-4-methyl-umbelliferone to rats. Department of
    Pharmacology, University of Chicago. Unpublished report

    Vessolinovitch, D., Fitch, F. W. and Wissler, R. W. (1960)
    Histopathological examination of the tissues of dogs fed Co-Ral for
    one year. Departments of Pharmacology and Pathology, University of
    Chicago. Unpublished report

    Vickery, D. S. and Arthur, B. W. (1960) Animal systemic activity, 
    metabolism and stability, Bayer 21/199. J. Econ. Entomol., 53:
    1037-1043

    Watts, R. W. and Storherr, R. W. (1968) GLC of organophosphorus
    pesticide residues: Retention times and response data for three
    columns. Abstracts 82nd Ann. Mtg. Ass. Offic. Anal. Chem., Washington,
    D.C., October 1968. Abstract 4
    


    See Also:
       Toxicological Abbreviations
       Coumaphos (ICSC)
       Coumaphos (WHO Pesticide Residues Series 2)
       Coumaphos (WHO Pesticide Residues Series 5)
       Coumaphos (Pesticide residues in food: 1978 evaluations)
       Coumaphos (Pesticide residues in food: 1980 evaluations)
       Coumaphos (Pesticide residues in food: 1983 evaluations)
       Coumaphos (Pesticide residues in food: 1990 evaluations Toxicology)