IPCS INCHEM Home


    Pesticide residues in food -- 1999



    Sponsored jointly by FAO and WHO
    with the support of the International Programme
    on Chemical Safety (IPCS)



    Toxicological evaluations




    Joint meeting of the
    FAO Panel of Experts on Pesticide Residues
    in Food and the Environment
    and the
    WHO Core Assessment Group

    Rome, 20-29 September 1999

    PYRETHRUM EXTRACT (PYRETHRINS) (addendum)

    First draft prepared by
    Roland Solecki
    Bundesinstitut für gesundheitlichen Verbraucherschutz und
    Veterinärdmedizin,
    Berlin, Germany


            Explanation
            Evaluation for acceptable daily intake
                Biochemical aspects
                    Absorption, distribution, and excretion
                    Biotransformation
                Toxicological studies
                    Acute toxicity
                    Short-term studies of toxicity
                    Long-term studies of toxicity and carcinogenicity
                    Genotoxicity
                    Reproductive toxicity
                        Multigeneration reproductive toxicity
                        Developmental toxicity
                    Special studies 
                        Effects on the central nervous system
                        Effects on hepatic microsomal enzymes
                Observations in humans
            Comments
            Toxicological evaluation
            References
            Appendix 1 


    Explanation

         Extracts of flowers of the chrysanthemum (genus  Chrysanthemus) 
    have been used as insecticides for a long time. The insecticidal
    neurotoxic activity of these extracts is due to a mixture of three
    naturally occurring, closely related insecticidal esters of
    chrysanthemic acid (pyrethrins I) and three closely related esters of
    pyrethric acid (pyrethrins II). Selection of varieties of
    chrysanthemum rich in pyrethrins and extraction techniques have
    improved over the years, and the currently available refined pyrethrum
    extract contains 45-55% total pyrethrins and 23-25% other
    phytochemical extracts containing triglyceride oils, terpenoids, and
    carotinoid plant colours. Flavonoids, which have been associated with
    skin allergies, are not found in the refined extracts. The extracts
    usually also contain 20-25% light isoparaffins and 3-5% butylated
    hydroxytoluene, which may be added during and after processing,
    respectively, for extraction or as antioxidants. The pyrethrin product
    used in the studies that were evaluated by the present Meeting was a
    blend of refined pyrethrum extract from the four main growing areas,
    with a total pyrethrin content of 57.6%. The ratio of pyrethrins I to

    pyrethrins II in this sample was 1.85. In this document, the product
    used in the studies is referred to as 'pyrethrins' in order to
    differentiate it from the pyrethrum extract used earlier.

         Pyrethrum, the active principle containing pyrethrin isomers, was
    evaluated toxicologically by the 1965, 1966, 1970, and 1972 Joint
    Meetings (Annex 1, references  3, 6, 14, and  18). An ADI of 0-0.04
    mg/kg bw was allocated by the 1972 Meeting. The compound was reviewed
    at the present meeting within the periodic review programme of the
    Codex Committee on Pesticide Residues. This monograph addendum
    summarizes data on pyrethrins that were not reviewed previously.

    Evaluation for Acceptable Daily Intake

    1.  Biochemical aspects

    (a)  Absorption, distribution, and excretion

          Rats 

         One preliminary and three definitive experiments were conducted
    with 14C-labelled pyrethrins I in rats to determine their
    absorption, distribution, and excretion after oral administration of a
    single or a repeated low dose of 10 mg/kg bw and a single high dose of
    100 mg/kg bw in males and 50 mg/kg bw in females. This study was
    conducted in compliance with guideline 85-1 of FIFRA and in accordance
    with good laboratory practice (GLP). The concentration of radiolabel
    in blood peaked between 5 and 8 h. More than 90% of the low dose was
    absorbed, and < 10% of the parent compound was found in faeces. The
    mean percentage of the administered radiolabel found in urine was
    32-47% in males and 50-57% in females, whereas the mean percentage of
    the administered radiolabel found in faeces with the various dosing
    regimens was 55-71% for males and 50-52% for females. More of the
    administered dose was found in the faeces of male rats given the
    single high dose (71%) than in those given the single low dose (63%)
    or repeated doses (55%). No such differences were seen in females. The
    radiolabel was excreted faster by males and females given repeated low
    doses than by those given the single dose. The half-lives of
    pyrethrins I were calculated to be 5 h in males and 7 h in females.
    The residues were widely distributed in the organs analysed, the
    highest concentrations being found in fat in all groups. The
    concentrations were similar in animals of each sex given the single
    and repeated low dose, but female rats had an approximately two times
    higher concentration of radiolabel in fat than the males (Selim,
    1995).

    (b)  Biotransformation

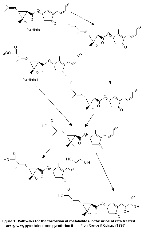
          Rats 

         In the phase of the study described above designed to investigate
    metabolism, the major urinary metabolites were identified, and then
    the metabolic profile was determined in urine and faeces with

    quantification of the labelled residues. In the first step, additional
    groups of five rats were given 14C-labelled pyrethrins I orally as a
    single dose of 10 mg/kg bw (males and females), 100 mg/kg bw (males),
    and 50 mg/kg bw (females). The dose administered to the females was
    lower because it had been shown previously that pyrethrum extract is
    more toxic to females than males. Chromatographic profiling indicated
    a quantitatively similar metabolic profile in urine in males and
    females at all doses and that all of the metabolites present in faeces
    were also present in the urine. The urine from males at the high dose
    was therefore used to isolate, purify, and identify the major
    metabolites by repetitive injections of composited urine onto a
    semi-preparative high-performance liquid chromatograph and collection
    of radiolabelled metabolites. After isolation and purification, two
    major and four minor metabolites were identified by chemical
    manipulations and mass spectroscopy. The spectrum of metabolites
    indicated that in rats pyrethrins I are metabolized through two major
    metabolic pathways: oxidation of the double-bond on the cyclopentene
    or the cyclopropane side of the molecule to form a diol, and/or
    oxidation of the methyl groups on the side-chain of the cyclopropane
    ring to form a carboxylic acid. A second pathway involves hydrolysis
    of the ester bond to form the corresponding acid and alcohol. 

         After isolation and identification of the metabolites, the
    distribution of metabolites was determined in urine and faeces. The
    major metabolite in urine at all doses was chrysanthemum dicarboxylic
    acid. In faeces, a significant amount of parent compound was present
    (< 10% at the low dose), but another metabolite was the most
    prevalent at all doses. The two metabolites represented over one-third
    of the total excreted radiolabel. Male and female rats metabolized
    pyrethrins I in a similar manner, regardless of the dose, and the
    difference between males and females was quantitative rather than
    qualitative (Selim, 1995).

         The relative rates of microsomal oxidation are similar for the
    four major pyrethrins, which are readily oxidized by cytochrome
    P450-dependent oxidases. Multiple sites are involved on each of the
    pyrethrum constituents. The toxicity of the pyrethrins is attributable
    to a combination of the effects of the parent esters and the
    metabolites they generate, and the metabolites might be of relatively
    low toxicity (Casida & Quistad, 1995).

         The principal metabolic pathway of pyrethrins is summarized in
    Figure 1.

         The metabolism of the six natural pyrethrins by mouse and rat
    microsomes was studied  in vitro, in a study which provided detailed
    qualitative and some quantitative information on all six of the active
    components present in pyrethrins. The metabolism of pyrethrins I was
    shown to proceed principally through oxidative processes, while that
    of pyrethrins II was shown to occur through a combination of
    hydrolytic and oxidative processes. No metabolites were found that
    would not have been expected on the basis of the chemistry of these
    chemicals, nor were any of the metabolites found of apparent
    toxicological concern (Class et al., 1989).

    FIGURE 1

    2.  Toxicological studies

    (a)  Acute toxicity

         The results of studies on the acute toxicity of pyrethrum
    extracts are summarized in Table 1. The methods used in these studies
    complied with the corresponding FIFRA guidelines and with GLP.
    Pyrethrins have little acute toxicity in rats treated orally, with
    LD50 values of 2400 mg/kg bw for males and 1000 mg/kg bw for
    females. The ratio of pyrethrins I and II (1.44 or 2.50) has no effect
    on the toxicity of pyrethrins in male or female rats. The signs of
    toxicity included ruffled appearance and tremors within 4-24 h after
    dosing. Post-mortem examination of animals that died showed
    haemorrhagic lungs, tan-to-yellow fluid in the lower gastrointestinal
    tract and muzzle, and genital staining. The no-effect level for
    clinical signs was 710 mg/kg bw in males and 320 mg/kg bw in females.

         Dermal exposure to 2000 mg/kg bw was tolerated by rabbits, which
    showed very slight to well-defined erythema, very slight oedema, and
    stained test sites at 24 h. All animals appeared normal through the
    14-day observation period.

         Very slight acute toxicitywas found in rats exposed to aerosols
    by inhalation. On the basis of the mean analytical concentration of
    active ingredient and the resultant mortality, the LC50 was
    calculated to be 3.4 mg/L for the two sexes. Tremors were seen during
    exposure to the two higher concentrations. The significant findings
     post mortem included discoloured and oedematous respiratory tissues.

         Application of pyrethrins to the skin of albino rabbits produced
    a minimally irritating skin irritation score of 0.42 (Romanelli,
    1991a).

         Instillations of the extracts into the conjunctival sac produced
    irritation in the eyes of albino rabbits, but no irritation was
    observed by 72 h. No corneal opacity or iritis was seen during the
    observation period (Bielucke, 1991).

         In a study of dermal sensitization in guinea-pigs with a modified
    Buehler protocol, pyrethrins were not sensitizing (Romanelli, 1991b).

    (b)  Short-term studies of toxicity

          Mice 

         In order to define a suitable maximum tolerated dose for a longer
    study, doses of 5000 and 7000 ppm were evaluated in a 2-week study.
    The method used complied to a certain extent with OECD guideline 407,
    and the study was conducted in compliance with GLP. One mouse at
    7000 ppm died. There was no effect on body weight, but food
    consumption was slightly decreased at 7000 ppm. Statistically
    significant increases in the absolute and relative weights of the
    liver were seen at both doses.  On the basis of the results of this


        Table 1. Acute toxicity of pyrethrins

                                                                                                                           
    Species    Strain            Sex    Route        LD50 or LC50             Purity (%) or              Reference
                                                     (mg/kg bw or mg/L air)   ratio of pyrethrin I:II
                                                                                                                           

    Rat        Sprague-Dawley    M      Oral              2400                     58%                   Gabriel (1992)
    Rat        Sprague-Dawley    F      Oral              1000                     58%                   Gabriel (1992)
    Rat        Sprague-Dawley    M      Oral              3900                     1.4                   Gabriel (1992)
    Rat        Sprague-Dawley    F      Oral              1300                     1.4                   Gabriel (1992)
    Rat        Sprague-Dawley    M      Oral              3900                     2.5                   Gabriel (1992)
    Rat        Sprague-Dawley    F      Oral              1200                     2.5                   Gabriel (1992)
    Rabbit     New Zealand       M&F    Dermal          > 2000                     58%                   Gabriel (1991)
    Rat        Sprague-Dawley    M&F    Inhalation         3.4                     58%                   Hoffmann (1991)
                                                                                                                           

    M, male; F, female
    

    study, 7000 ppm was selected as the high dose for the long-term study
    in mice (Goldenthal, 1987).

         Pyrethrins were offered to groups of 15 Charles River mice of
    each sex in the diet at concentrations of 300, 1000, 3000, or 10 000
    ppm for 13 weeks, equal to 47, 160, 460, and 1600 mg/kg bw per day for
    males and 56, 200, 580, and 1800 mg/kg bw per day for females. The
    method used complied to a certain extent with OECD guideline 408, and
    the study was conducted in compliance with GLP. Four males and 10
    females at the original high dose of 30 000 ppm died on day 2, and all
    animals at this dose had died or were killed  in extremis by day 10.
    Four males and two females at 10 000 ppm also died on day 2, with
    clinical signs that included tremors, pale exposed skin, dilated
    pupils, altered activity, laboured breathing, cold to touch,
    moribundity, and hunched posture. Tremors and increased activity were
    seen in several animals at 10 000 ppm during the first 2 weeks of
    study. No treatment-related clinical signs were observed in the
    animals at 300, 1000, or 3000 ppm. The group mean body weights and
    food consumption were similar for all groups with surviving animals.
    The absolute weight of the liver and the liver:body weight and the
    liver:brain weight ratios were all statistically significantly
    increased in males and females at 3000 and 10 000 ppm, whereas the
    absolute weights of the liver in females at 300 and 1000 ppm were
    comparable to those of controls. A treatment-related increase in the
    incidence and/or severity of congestion in the liver was observed in
    surviving male and female mice at 10 000 ppm, and an increased
    incidence but only mild severity was found in < 15% of investigated
    animals at 3000 ppm. An increased incidence of hepatocellular
    hypertrophy was present in surviving male and female mice at 3000 and
    10 000 ppm; at 1000 ppm, only 2 of 15 mice showed mild congestion of
    the liver on macroscopic observation. The NOAEL was 1000 ppm, equal to
    160 mg/kg bw per day (Goldenthal, 1988a).

          Rats 

         Pyrethrins were offered to groups of 15 Charles River rats of
    each sex for 13 weeks in the diet at concentrations of 300, 1000,
    3000, 10 000, or 20 000 ppm, equal to 17, 57, 170, 590, and 1200 mg/kg
    bw per day for males and 22, 74, 220, 710, and 1400 mg/kg bw per day
    for females. The method used in this study complied to a certain
    extent with OECD guideline 408, and the study was conducted in
    compliance with GLP. During the first week of the study (days 3-7),
    one female at 10 000 ppm, one male at 20 000 ppm, and 12 females at
    20 000 ppm died; all other animals survived to scheduled sacrifice.
    The signs seen before death in all animals that died included
    decreased defaecation, increased respiration rate, tremors, and
    decreased or increased activity. Convulsions were seen in some
    animals. The signs in most animals at 10 000 and 20 000 ppm that
    survived until the end of the study were decreased defaecation,
    tremors, increased respiration rate, and increased activity.
    Convulsions occurred mainly in males at 20 000 ppm. Most of the signs
    were seen only during the first two weeks of the study. Statistically
    significant decreases in mean body weights were observed during most

    or all of the study in males and females at 10 000 and 20 000 ppm.,
    and statistically significant decreases in mean food consumption were
    seen during most or all of the study in females at 10 000 ppm and
    males and females at 20 000 ppm when compared with the respective
    control groups. Statistically significantly decreased mean values for
    haematocrit and haemoglobin were found in males at 20 000 ppm and for
    erythrocytes, haematocrit, and haemoglobin in females at 10 000 and
    20 000 ppm. Females at 3000 ppm also showed a decreased mean
    haemoglobin value. The treatment-related macroscopic findings
    consisted of enlargement and congestion of the liver in both males and
    females, but primarily in males, at 10 000 and 20 000 ppm; however,
    the macroscopic observation could not be confirmed microscopically.
    The liver weight was statistically significantly increased in males at
    10 000 and 20 000 ppm and in females at 3000, 10 000, and 20 000 ppm
    The weight of the kidney was increased in males and females at 3000,
    10 000, and 20 000 ppm The only microscopic finding that was possibly
    realted to treatment was small focal or multifocal areas of tubular
    degeneration and regeneration in the renal cortex in animals at 3000
    and 10 000 ppm, but primarily in males. The NOAEL was 1000 ppm, equal
    to 57 mg/kg bw per day (Goldenthal, 1988b).

         In a study designed to assess the toxic effects of pyrethrins
    administered by whole-body inhalation as a liquid aerosol, groups of
    15 Charles River rats of each sex were exposed for 6 h/day, generally
    5 days per week, a minimum of 65 times to target concentrations of the
    active ingredient corresponding to 0.010, 0.030, 0.10, and 0.35 mg/L.
    The mean analytical concentrations to which the groups were exposed
    were 0 (control), 0.038, 0.068, 0.23, and 0.83 mg/L, respectively.
    Determinations of particle size distribution showed an overall mass
    median aerodynamic diameter of 2.7 µm.The controls were exposed only
    to conditioned room air on the same schedule. The study was conducted
    in compliance with FIFRA Guideline 824 and with GLP. 

         Two animals at the highest dose died, one animal on day 3.
    Because this death was accidental and occurred very early in the
    study, this animal was replaced with another animal from the same
    shipment. A second animal died on day 15, having shown laboured
    breathing similar to that of other animals in this group, and its
    death was considered to be potentially related to exposure.
    Dose-related increases in the frequency of clinical signs were
    observed in animals at the three higher doses during observations in
    the chamber and at detailed weekly examinations. These signs included
    secretory signs such as nasal discharge and dried material in the
    facial area in both males and females. Animals at the highest dose
    showed laboured breathing, excess lachrymation, tremors, increased
    activity, and matted coats. There were no ocular effects. The absolute
    body weights and body-weight gains of both males and females at the
    two higher doses were decreased, and after 13 weeks of exposure the
    body-weight gains of males at these doses were about 9% lower than
    those of controls. In females, the body-weight gain after 13 weeks of
    exposure was lower than that of controls, by 13% at 0.10 mg/L and 17%
    at 0.35 mg/L. Food consumption was also slightly decreased during the
    first 1 or 2 weeks in males and females in these groups.

    Nonregenerative anaemia was observed in males at the three higher
    doses and in females at the highest dose, with significant decreases
    in haemoglobin, haematocrit, and erythrocyte values. An increased
    leukocyte count was also seen in the females at the highest dose.
    Significant differences in clinical chemical parameters were seen
    primarily at the highest dose, including decreased total protein and
    globulin and an increased albumin:globulin ratio in males and
    decreased glucose in females. Other changes occurred sporadically and
    were considered to be unrelated to exposure. Several significant
    increases in organ weights or ratios were observed. The increases in
    liver weight were clearly related to treatment. Increases in the
    organ:body weight ratios of the kidneys and lung might be a reflection
    of a marginal increase in absolute organ weights and the decreased
    body weights. Morphological abnormalities in the larynx,
    nasoturbinates, nasopharynx, and lungs observed by light microscopy
    were considered to be localized responses indicative of a
    treatment-related effect. The NOAEL for systemic effects was 0.01 mg/L
    (Newton, 1992).

          Rabbits 

         Pyrethins were administered dermally to five male and five female
    New Zealand white rabbits in the form of a 25% (w/v) mixture in
    vegetable oil at doses of 0, 100, 300, or 1000 mg/kg bw once daily, 5
    days per week for 3 weeks. Animals in the vehicle control group were
    given vegetable oil on the same regimen and at the same volume as the
    group receiving the high dose . This study was conducted in compliance
    with OECD Guideline 410 and GLP. One rabbit at 1000 mg/kg bw was
    sacrificed  in extremis on day 10 after showing emaciation, decreased
    activity, and decreased defaecation. Macroscopic examination of this
    animal did not reveal the cause of death. A low incidence of
    desquamation and/or red raised areas on the skin at the application
    site was observed in all groups, including the vehicle controls.
    Several animals in the treated groups showed very slight to
    well-defined erythema of the skin at the application site, but no
    clear pattern with regard to treatment was seen for any of these
    findings. Microscopic evaluation revealed no evidence of systemic
    toxicity. The microscopic lesions at the application site included
    acanthosis, haemorrhage, hyperkeratosis, and chronic inflammation,
    although haemorrhage was observed only in the group given the vehicle
    alone. Thus, all of the dermal reactions appeared to be due to the
    vegetable oil. The NOAEL for systemic effects was 1000 mg/kg bw, the
    highest dose tested (Goldenthal, 1992). 

         This result is supported by that of a previous study performed to
    assess dermal irritation with pyrethrins at concentrations of 25%,
    50%, and 75% w/v in corn oil on rabbits (Myer, 1991).

          Dogs 

         Pyrethins were incorporated into the basal diet of groups of two
    pure-bred beagle dogs of each sex at concentrations of 600, 1000,
    3000, or 6000 ppm for 8 weeks, equal to 18, 30, 86, and 170 mg/kg bw

    per day for males and 19, 29, 94, and 200 mg/kg bw per day for
    females. The method used complied to a certain extent with OECD
    guideline 409, and the study was conducted in compliance with GLP. One
    male and both females at 6000 ppm died or were killed  in extremis 
    during the study. The treatment-related clinical signs observed in
    animals at this dose included inappetence, thin appearance, ataxia,
    trembling, oily coat, impaired limb function, shallow breathing,
    moribundity, and death. With the exception of moribundity and death,
    similar signs were observed at 3000 ppm. Males and females at 6000 ppm
    lost weight during the study, but the body-weight gains of animals in
    all other treated groups were comparable to those of controls. The
    average food consumption was decreased for males at 3000 ppm and for
    males and females at 6000 ppm when compared with controls. Decreased
    haematocrit, haemoglobin, and erythrocyte values were seen at the end
    of the study in males at 3000 and 6000 ppm, but there were no other
    treatment-related haematological finding. One male and one female at
    6000 ppm killed  in extremis had increased leukocyte counts and
    decreased haematocrit, haemoglobin, and erythrocyte values. Slightly
    decreased glucose, calcium, phosphorus, and cholesterol values were
    found at the end of the study in males at 6000 ppm, and males and
    females at 3000 ppm had slightly decreased cholesterol concentrations.
    The aspartate and alanine aminotransferase activities of males at 6000
    ppm were slightly increased at the end of dosing, and the surviving
    male at this dose had a very high creatinine phosphokinase value.
    There were no other treatment-related biochemical findings at the end
    of the study. Males and females at 6000 ppm killed  in extremis 
    showed some variation in electrolyte levels, and the urea nitrogen
    concentration was increased in both dogs. The female showed large
    increases in aspartate and alanine aminotransferase and creatine
    phosphokinase activities. The absolute weights of the liver in both
    males and females at 1000 and 3000 ppm were increased in a
    treatment-related fashion, and the absolute weight of the testis at
    these doses appeared to decrease in a similar manner. There were no
    macroscopic or microscopic lesions attributable to the administration
    of pyrethrins. The NOAEL was 600 ppm, equal to 18 mg/kg bw per day
    (Goldenthal, 1988c).

         Pyrethrins were administered to groups of four beagle dogs of
    each sex for 52 weeks in the diet at concentrations of 0, 100, 500, or
    2500 ppm, equal to 2.6, 14, and 66 mg/kg bw per day for males and 2.8,
    14, and 75 mg/kg bw per day for females. Four dogs of each sex were
    evaluated at each dietary concentration. This study was conducted in
    compliance with FIFRA Guideline 83-1 and with GLP. All animals
    survived to the end of the study, and no remarkable clinical signs of
    toxicity were found at any dose. Overall, the mean body weights of the
    treated animals were similar to those of controls. The mean food
    consumption of males at 2500 ppm and of females at 500 and 2500(c)
     ppm was lower than that of controls during the first week of the
    study, but consumption was similar for the remainder of the study,
    except that males at 500 ppm consumed greater amounts of food than the
    controls. Increased total leukocyte and segmented neutrophil counts
    were found in females and decreased erythrocyte, haemoglobin, and
    haematocrit values in males at 2500 ppm. Alanine aminotransferase

    activity was statistically significantly increased in females at 2500
    ppm at both the 6- and 12-month evaluations. The slight increase in
    the activity of this enzyme in males was not statistically
    significant. No treatment-related changes in urinary parameters were
    seen at either interval. The relative and absolute weights of the
    liver were significantly increased in males at 2500 ppm when compared
    with controls, but no statistically significant differences in organ
    weights were seen in females at this dose. No macroscopic or
    microscopic treatment-related changes were observed in tissues. The
    NOAEL was 500 ppm, equal to 14 mg/kg bw per day (Goldenthal, 1990a).

    (c)  Long-term tudies of toxicity and carcinogenicity

          Mice 

         Groups of 60 male and 60 female Charles River CD-1 mice received
    diets containing pyrethrins at concentrations of 100, 2500, or 5000
    ppm for 18 months, equal to doses of 14, 350, and 690 mg/kg bw per day
    for males and 17, 410, and 830 mg/kg bw per day for females. This
    study was conducted in compliance with FIFRA Guideline 83-2(b) and
    with GLP. One male and one female at 5000 ppm were found dead during
    the first week of the study, but no other treatment-related deaths
    occurred, and survival was similar in the control and treated groups
    throughout the study. All animals at 5000 ppm exhibited increased
    activity when stimulated during the first week of the study but not
    later. There were no other clinical signs seen that differentiated the
    treated from the control groups. Statistically significant differences
    in mean body weight and food consumption were seen between control and
    treated groups sporadically throughout the study, but none of the
    differences was considered to be related to treatment. No
    treatment-related effect was observed in other parameters examined at
    12 and 18 months of study. At necropsy, discoloured, dark livers were
    more common in males at 5000 ppm and in females at 2500 and 5000 ppm,
    and treatment-related increases in the absolute and relative weights
    of the liver were seen in males and females at 2500 and 5000 ppm.
    Microscopically, vacuolar fatty change was found in the livers of
    males at these doses, and this change was considered to be related to
    treatment. The dark discolouration seen macroscopically could not be
    explained by the microscopic findings. The incidence of nodules and
    masses in the lungs appeared to be slightly increased in animals at
    5000 ppm. When the lungs were examined microscopically according the
    original test protocol, the incidences of alveolar bronchiolar
    adenomas were increased in females at 5000 ppm, and the increase was
    statistically significant, exceeding the range in historical controls.
    Treated males showed an apparent, not clearly dose-related increase in
    the incidence of alveolar bronchiolar carcinomas which exceeded the
    upper limit of 95% of the historical controls (Table 2). The sponsor
    asked the testing laboratory to conduct serial sectioning of the
    remaining lung tissue of female mice in the control and highest-dose
    groups, which did not have diagnoses of lung tumours in the original
    examination. As this was considered not to be an acceptable
    toxicopathological practice, the results of the first evaluation were
    taken into consideration for the risk assessment, and the increased

    incidence of lung tumours was considered to be a treatment-related
    effect. The NOAEL was 100 ppm, equal to 14 mg/kg bw per day
    (Goldenthal, 1990b).


    Table 2. Comparison of first and second evaluations of microscopic 
             neoplastic lesions in the lung of mice treated with 
             pyrethrins for 18 months

                                                                          
    Sex          Dose       No. of lungs    Alveolar bronchiolar neoplasm
                 (ppm)      examined                                      
                                            Adenoma      Carcinoma
                                                                          

    Male            0          60             14           0a
                    0          60             16           0
                  100          60             15           1
                 2500          60             13           3b,c
                 5000          60             17           3b,c

    Female          0          60              8           1
                    0          60              4           3
                  100          60             11           0
                 2500          60              5           2
                 5000          60             19c,d        2
                                                                          

    a   p < 0.05; Cochran trend test 
    b  Significant differences in pair-wise comparison of the 
        high-dose group with controls at  p < 0.05
    c  > 95% of of the upper range of historical controls
    d   p < 0.05; Fisher exact test



          Rats 

         Groups of 60 Charles River CD rats of each sex received diets
    containing pyrethrins at concentrations of 100, 1000, or 3000 ppm for
    104 weeks, equal to 4, 43, and 130 mg/kg bw per day for males and 5,
    56, and 170 mg/kg bw per day for females. This study was conducted in
    compliance with FIFRA Guideline 83-5 and with GLP. Survival was
    similar in the treated and control groups, and there were no clinical
    findings attributable to treatment. Statistically significant
    decreases in body weight which were considered to be related to
    treatment were observed during the first 78 weeks of the study in both
    male and female rats at 3000 ppm, with a difference from controls of
    7% in males and 10% in females. A slight, treatment-related decrease
    in food consumption was seen at the same time. No treatment-related
    ophthalmological findings or organ weight changes were detected during
    the study, and no haematological or urological changes were found. The
    activities of serum transaminases were substantially increased at most

    intervals of analysis in males at 3000 ppm, most of the values
    reaching statistical significance. Increased incidences of benign
    tumours of the liver, thyroid, and skin were also observed (Table 3),
    and a statistically significantly higher incidence of hepatocellular
    adenomas was described in females at the high dose. Follicular
    adenomas and carcinomas were initially seen in the thyroid glands of
    rats at the high dose, which appeared to be related to treatment, but
    during a re-evaluation some of the carcinomas were reclassified as
    adenomas and some adenomas were reclassified as hyperplasia. After the
    re-evaluation, the incidence of hyperplasia was found to be enhanced
    in males and females, and the incidence of follicular adenomas was
    statistically significantly increased only in females at 3000 ppm.
    Nevertheless, the tumour incidences in animals of each sex were higher
    than the upper range seen in historical controls. The results of a
    further, full histopathological peer review confirmed these increased
    tumour incidences. Macroscopic examination of the skin showed a slight
    increase in the incidence of cystic lesions in the skin and subcutis,
    and the microscopic assessment showed an apparently higher incidence
    of keratoacanthomas in males at the high dose, which was statistically
    significant in comparison with both control groups. A peer review of
    pathological lesions in all male rats resulted in removal of several
    keratoacanthomas from the table of incidence in treated groups but
    confirmed that the incidence of this lesion clearly exceeded the upper
    limit of the range in historical controls (1.4-10%). The increased
    incidences of liver and thyroid tumours and of keratoacanthomas of the
    skin were considered to be treatment-related effects but to be
    threshold phenomena of negligible relevance to the low doses to which
    humans are exposed. The NOAEL was 100 ppm, equal to 4 mg/kg bw per day
    (Goldenthal, 1990c).

    (d)  Genotoxicity

         The results of tests for the genotoxicity of pyrethrins  in 
     vitro are summarized in Table 4.

    (e)  Reproductive toxicity

         (i)  Multigeneration reproductive toxicity

          Rats 

         In a two-generation study, groups of 28 male and 28 female
    Charles River rats received diets containing pyrethrins at
    concentrations of 100, 1000, or 3000 ppm, equivalent to 10, 100, and
    300 mg/kg bw per day. A control group received the basal laboratory
    diet on an identical regimen. The F0 parental generation were
    treated for a minimum of 77 days before the first of two matings. The
    same numbers of weanlings from the F1b litters were selected
    randomly to become parents of the F1 generation and were treated for
    a minimum of 95 days before being mated twice to produce the F2a and
    F2b litters. This study was conducted in compliance with FIFRA
    Guideline 83-4 and with GLP. No treatment-related effects were noted
    with respect to clinical signs, body weights, or food consumption in


        Table 3. Incidences of microscopic neoplastic lesions in rats fed diets containing pyrethrins for 104 weeks 

                                                                                                                                              
    Sex      Dose    Liver                               Thyroid                                         Skin
             (ppm)                                                                                                                          
     
                     Total      Hepatocellular tumours   Total      Hyperplasia   Follicular tumours     Total     Cystic   Keratoacanthomasb
                     examined                            examined                                        examined  lesions  
                                Adenoma    Carcinoma                              Adenomaa  Carcinomaa
                                                                                                                                              

    Male     0       60         6          1             60         2             2c        0            60        5        4
             0       60         1          0             60         0             1         1            60        2        5
             100     60         0          0             60         2             4         1            24        1        4
             1000    60         3          0             59         5             5d        2            14        5        4
             3000    60         3          1             60         7             5d        2            60        9        11d,e

    Female   0       60         0          1             60         0             0         1            60        0        0
             0       60         1          0             60         2             1         1            59        3        0
             100     60         0          0             60         1             2         0            8         2        1
             1000    60         1          0             60         1             3d        0            8         2        1
             3000    60         5d.f       0             60         5             5d        1            60        0        0
                                                                                                                                              

    a  Results of the histopathological peer review
    b  Results of the re-analysis only in males 
    c    p < 0.05; Cochran trend test
    d  Greater that the upper limit of historical control data
    e  Significant difference in the pair-wise comparison of the high-dose group with the controls at  p < 0.05
    f   p < 0.05; Fisher exact test

    Table 4. Results of assays for the genotoxicity of pyrethrins  in vitro 

                                                                                                                          
    Test system         Test object                Concentration            Purity    Results          Reference
                                                                             (%)
                                                                                                                          

    Reverse mutationa   S. typhimurium TA98,       8.8-8772 µg/plate in     58        Negative ± S9    San & Springfield 
                        TA100, TA1535, TA1537,      acetone                                            (1989)
                        TA1538

    Chromosomal         Chinese hamster ovary      0.02-0.32 Fl/ml + S9     58        Negative ± S9    Putman & Morris 
    aberrationa         cells                      0.005-0.08 Fl/ml - S9                               (1989)
                                                   in DMSO

    Unscheduled DNA     Rat primary hepatocytes    0.0-1.0 Fl/ml in         58        Negative         Curren (1989)
    synthesis                                      acetone
                                                                                                                          

    a Study conducted in compliance with GLP and to a certain extent with OECD guidelines
    

    the parental rats of the F0 generation, but the body weights and
    food consumption of the parental rats of the F1 generation were
    significantly reduced at 3000 ppm and sporadically reduced at 1000
    ppm. These reductions were considered to be treatment-related.
    Treatment at 3000 ppm resulted in significantly reduced body weights
    at birth for F1a males and F2a pups of each sex and during
    lactation for the male and female offspring of both matings of both
    generations. The mean body weights of pups at 1000 ppm were also lower
    than those of controls for male F2a pups at birth and for F1b and
    F2a pups during lactation. Reproductive performance and other litter
    parameters were not affected by the treated diet at any dose. The
    NOAEL for parental and reproductive toxicity was 100 ppm, equivalent
    to 10 mg/kg bw per day (Schardein, 1989).

         (ii)  Developmental toxicity

          Rats 

         Groups of five mated female Charles River rats were used in a
    range-finding study to determine the doses of pyrethrin to be used in
    a later study. Doses of 37.5, 75, 150, 300, or 600 mg/kg bw per day
    were administered orally by gavage on days 6-15 of gestation at a
    volume of 3 ml/kg. The control group received only the vehicle, 0.5%
    methylcellulose, on a comparable regimen. Uterine examinations were
    performed on all surviving females on day 20 of gestation. The method
    used in this study complied to a certain extent with OECD Guideline
    414, and the study was conducted in compliance with GLP.
    Treatment-related maternal toxicity, observed as deaths, convulsions,
    and/or tremors, occurred at 150, 300, and 600 mg/kg bw per day. No
    treatment-related maternal deaths occurred at 75 mg/kg bw per day,
    although tremors were observed in this group. No treatment-related
    clinical signs were observed at 37.5 mg/kg bw per day. On the basis of
    these results, doses of 5, 25, and 75 mg/kg bw per day were selected
    for use in the following study (Schardein, 1987a).

         Groups of 25 mated female Charles River rats were given
    pyrethrins suspended in 0.5% methylcellulose orally by gavage at doses
    of 5, 25, or 75 mg/kg bw per day on days 6-15 of gestation at a volume
    of 3 ml/kg. The control group received the vehicle only on a
    comparable regimen. On day 20 of gestation, the fetuses were removed
    surgically for evaluation. The method used in this study complied to a
    certain extent with OECD Guideline 414, and the study was conducted in
    compliance with GLP. No animals died or were killed  in extremis 
    during the study, and no treatment-related clinical signs were
    observed. The body-weight gains of the treated groups were comparable
    to those of the controls during treatment. No evidence of fetotoxicity
    was found, and morphological examination revealed no teratogenic
    effects at any dose tested. The NOAEL for maternal toxicity was 75
    mg/kg bw per day, and that for developmental toxicity was 75 mg/kg bw
    per day, the highest dose tested  (Schardein, 1987b).

          Rabbits 

         Groups of five inseminated female New Zealand white SPF rabbits
    were used in a range-finding study to determine the doses of
    pyrethrins for use in a later study. Doses of 37.5, 75, 150, 300, or
    600 mg/kg bw per day were administered orally by gavage on days 7-19
    of gestation at a volume of 3 ml/kg. The control group received only
    the vehicle, 0.5% methylcellulose, on a comparable regimen. Uterine
    examinations were performed on all surviving females on day 29 of
    gestation. The method used complied to a certain extent with OECD
    Guideline 414, and the study was conducted in compliance with GLP.
    Treatment-related maternal toxicity, seen as deaths, tremors,
    convulsions, and weight loss, and fetal toxicity, seen as high
    postimplantation loss, were found at 600 mg/kg bw per day. Maternal
    toxicity, in terms of weight loss during treatment and tremors was
    seen at 300 mg/kg bw per day. No clear treatment-related effects were
    observed at 37.5, 75, or 150 mg/kg bw per day. On the basis of these
    results, doses of 25, 100, and 250 mg/kg bw per day were selected for
    use in the following study (Schardein, 1987c).

         Groups of 16 inseminated female New Zealand white SPF rabbits
    were randomly assigned to receive pyrethrins at doses of 25, 100, or
    250 mg/kg bw per day orally by gavage on days 7-19 of gestation at a
    volume of 3 ml/kg. The control group received only the vehicle, 0.5%
    methylcellulose, on a comparable regimen. On day 29 of gestation, the
    fetuses were removed surgically for evaluation. The study was
    conducted in compliance with OECD Guideline 414 and with GLP. All
    animals survived to the end of treatment. One doe at the high dose
    aborted near term, on day 28 of gestation, after showing decreased or
    absent defaecation on several days previously. No gross lesions were
    present at necropsy. Excessive salivation, arched head, and/or
    laboured breathing were observed in a few females at the high dose on
    days 18-19 of gestation. One female at the intermediate dose had
    excessive salivation and arched head on gestation day 19. No apparent
    treatment-related clinical signs were seen at the low dose. There were
    no treatment-related gross pathological changes in any of the animals
    at the end of the study. Body-weight loss was seen in does at the high
    dose throughout treatment, and slightly reduced body-weight gain
    relative to the control value was observed in animals at the
    intermediate dose. The body-weight gains of treated groups were
    comparable to that of the control group throughout gestation (days
    0-29). When the body weights on day 29 were adjusted by subtracting
    the uterine weights to reflect only maternal weight change, mean
    weight losses were evident in all groups, including the control, over
    the entire gestation period. There were no biologically meaningful or
    statistically significant differences in the mean numbers of viable
    fetuses, postimplantation losses, total implantations, or corpora
    lutea and in fetal body weight or fetal sex distribution in the
    treated groups in comparison with the control values. One doe at the
    high dose resorbed its litter, but it is not clear if this finding was
    related to treatment. There was no treatment-related or statistically
    significant difference in the incidence of fetal malformations or
    variations. The NOAEL for maternal toxicity was 25 mg/kg bw per day

    and that for developmental toxicity was 250 mg/kg bw per day, the
    highest dose tested (Schardein, 1987d).

    (f)  Special studies

         (i)  Effects on the central nervous system

          Rats 

         Male Sprague-Dawley rats were treated once by oral gavage with a
    10% or 25% solution of pyrethrins in corn oil at doses of 0, 40, 100,
    200, 400, 800, 1400, or 2000 mg/kg bw, and females received a 2.5, 5,
    or 10% solution of pyrethrins in corn oil at doses of 0, 25, 50, 100,
    150, 200, 400, or 800 mg/kg bw. This study was conducted in compliance
    with FIFRA Guideline 81-8 and with GLP. The clinical signs were
    characterized by mild-to-severe tremors. On the basis of the
    occurrence, severity, and onset of these reactions, a solution of 10%
    pyrethrins in corn oil and doses of 40, 125, and 400 mg/kg bw were
    selected for the study of acute neurotoxicity in males and a solution
    of 5% pyrethrins in corn oil and doses of 20, 63, and 200 mg/kg bw in
    females (Hermansky & Hurley, 1993a).

         In the main study, groups of 15 male Sprague-Dawley rats received
    by gavage a 10% w/v solution of pyrethrins in corn oil at doses of 0,
    40, 125, or 400 mg/kg bw, and the same numbers of females received a
    5% w/v solution of pyrethrins in corn oil at doses of 0, 20, 63, or
    200 mg/kg bw. This study was conducted in compliance with FIFRA
    Guideline 81-8 and with GLP. Five males and two females at the high
    dose died on the day of treatment, and a variety of acute neurological
    signs were observed in the other animals at this dose, including
    tremors, urogenital area wetness, salivation, perinasal encrustation,
    exaggerated startle response, decreased grip strength, hind leg splay,
    and increased body temperature. Tremors were also observed in three
    females at the intermediate dose. Measurements of motor activity on
    the day of treatment indicated increased fine movement and decreased
    rearing and ambulation in animals of each sex at the high dose and
    decreased fine movement, rearing, and ambulation in males at the
    intermediate dose. In addition, slight, statistically nonsignificant
    decreases in body weight were seen in males at the high dose on days 7
    and 14. There was no evidence of tany gross, treatment-related lesion.
    The microscopic changes were limited mainly to sections of the sciatic
    nerve and its branches. The histomorphological changes within the
    peripheral nerve sections indicated the presence of scattered
    degenerating nerve fibres or myelin sheaths. These changes were seen
    in only a few animals, were graded as minimal, and were not
    dose-related. The NOAEL was 20 mg/kg bw (Hermansky & Hurley, 1993b).

         (ii)  Effects on hepatic microsomal enzymes

          Rats 

         Oral administration of pyrethrins to male rats at 85, 200, or 500
    mg/kg bw per day for 3 weeks resulted in liver enlargement and

    decreased hepatic DNA concentrations. Significantly decreased
    hexobarbital-induced hypnosis without concomitant changes in
    barbital-induced hypnosis suggested an alteration in hepatic drug
    metabolism. The activities of hepatic microsomal enzymes responsible
    for detoxification of
     O-ethyl- O-(4-nitrophenyl)phenyl-phosphonothioate, 
     para-nitroanisole demethylation, and hexobarbital oxidation were
    increased at 200 mg/kg bw per day to 150, 173, and 241% of the control
    values, respectively. Increased liver weight, the detoxification of
    pyrethrins, and demethylation of  para-nitroanisole were found to be
    dose-related. Small increases in enzyme activities were observed when
    the lowest dose was given for 15 days. At 500 mg/kg bw per day, the
    liver weight and enzyme activities were increased up to 17 days of
    treatment but returned to the control level within 7 days after
    cessation of treatment. NADPH cytochrome c reductase activity and the
    cytochrome P450 concentration were also increased. It was suggested
    that pyrethrins caused induction of microsomal enzymes. The LOAEL was
    85 mg/kg bw per day (Springfield et al., 1973).

    3.  Observations in humans

         The main adverse effects seen after exposure to pyrethrum
    extracts in older studies were those manifesting as either skin or
    respiratory reactions. Much of the research performed to date has
    focused on the dermatological effects of pyrethrins, although mention
    has been made of the respiratory reactions that have often accompanied
    those of the skin. Studies by Ramirez (1930) and Feinberg (1934), in
    which the association between sensitivity to ragweed and to pyrethrins
    was delineated, contributed much to the understanding of allergic
    responses to pyrethrins. Several investigations have since been
    undertaken to isolate and characterize the allergen responsible for
    the dermal reactions. Mitchell et al. (1972) isolated a sesquiterpene
    lactone, pyrethrosin, from pyrethrins which induced positive dermal
    responses in humans given a patch test. None of the other fractions
    induced reactions, with the exception of pyrethrins II, which elicited
    a weak response. Zucker (1965) demonstrated that a dermal reaction to
    unrefined pyrethrum extract does not result in allergy to refined
    pyrethrins. The previous evaluation by the Joint Meeting in 1970 cited
    an unpublished report in which 200 people were given patch tests with
    a 1% water dispersion of pyrethrins, and no evidence of primary
    irritation or of sensitization was found. Rickett et al. (1972)
    concluded that the refined extracts that have been marketed since 1957
    do not induce skin allergies when tested on sensitive subjects and
    that the dermal effects reported in the early literature are not
    relevant to an assessment of refined pyrethrins.

         Case reports of adverse respiratory effects, such as
    anaphylactoid reactions and asthma, attributed to pyrethrins indicate
    that these responses often occur in individuals with a history of
    asthma. Although investigations of the dermal effects of pyrethrum
    extracts suggests that pyrethrins are not the causative agent, no
    thorough investigation of the agent(s) responsible for the adverse
    respiratory responses has been conducted. 

    Comments

         Absorption, distribution, and excretion in rats were investigated
    only for pyrethrins I. After oral administration, more than 90% of a
    low dose of pyrethrins I was absorbed, and the concentration of
    radiolabel in blood peaked between 5 and 8 h. The radiolabelled
    residues were widely distributed in the organs analysed, with the
    highest concentrations in fat in females. The elimination half-time of
    pyrethrins I in males and females was approximately 6 h. The mean
    percentage of administered radiolabel found in the urine ranged from
    32 to 47% in males and from 50 to 57% in females, the remainder being
    excreted in faeces.

         The substance is extensively metabolized, the residues of the
    parent compound in faeces and urine representing only 10%. Six
    metabolites were identified and two major metabolic pathways were
    suggested, the first involving oxidation of the double-bond and/or the
    methyl groups and the second involving hydrolysis of the ester bond.
    Pyrethrins I are metabolized mainly through oxidative processes, while
    pyrethrins II are metabolized through a combination of hydrolytic and
    oxidative processes. 

         Pyrethrins show little acute toxicity, with an oral LD50 in
    rats of > 1200 mg/kg bw and NOAELs for clinical signs of 710 mg/kg bw
    for males and 320 mg/kg bw for females, a dermal LD50 in rabbits of
    > 2000 mg/kg bw, and an inhalation LC50 in rats of 3.4 mg/L. The
    compounds are minimally irritating to the skin and eye and show no
    potential for skin sensitization.  Pyrethrum extracts have not been
    classified by WHO for acute toxicity. 

         In short-term tests for toxicity in mice, rats, and dogs, the
    lowest relevant NOAELs after oral administration were 1000, 1000, and
    600 ppm, equal to 160, 57, and 18 mg/kg bw per day, respectively, for
    the three species. Statistically significant decreases in mean body
    weight or body-weight gain were observed at the high doses throughout
    most or all of the studies.

         The liver is the main target organ in mice, rats, and dogs, and
    an increased liver weight was frequently accompanied by changes in
    serum transaminase activity. In mice, increased liver weights were
    associated with a higher incidence of hepatocellular hypertrophy. In
    the livers of rats and dogs, generally unremarkable histopathological
    changes were observed. At doses of 85 mg/kg bw per day and above, a
    pyrethrum extract containing 20% pyrethrins induced microsomal enzymes
    in rats. Furthermore, anaemia was observed in rats and dogs at doses
    of 3000 ppm and above. The kidney was another target, but only in
    rats. In a 13-week study, rats at doses greater than 1000 ppm had
    increased kidney weights associated with tubular degeneration and
    regeneration in the renal cortex. 

         In a 13-week study in rats exposed by inhalation, the NOAEL for
    systemic toxicity was 0.011 mg/L. The increases in liver weight were
    clearly related to exposure and were accompanied by changes in serum

    transaminase activity. Nonregenerative anaemia was also observed. The
    weights of the kidney and lung were increased in relation to body
    weight. The morphological abnormalities observed in the larynx,
    nasoturbinates, nasopharynx and lungs by light microscopy were
    considered to be localized responses indicative of a treatment-related
    effect. 

         Dermal administration of pyrethrins at doses up to 1000 mg/kg bw
    per day for 21 days caused no systemic toxicity in rabbits.

         In a two-year study of toxicity and carcinogenicity in rats and
    an 18-month study of carcinogenicity in mice, the NOAEL was 100 ppm in
    both species, equal to 14 and 4 mg/kg bw per day in mice and rats,
    respectively. The liver was the main target. A treatment-related
    effect on the incidence of lung tumours was seen in mice and increased
    incidences of benign tumours of the skin, liver, and thyroid were
    observed in rats. The increased incidences of hepatocellular adenomas
    were associated with persistent induction of cytochrome P450 enzymes
    and hepatocellular hypertrophy, suggesting that pyrethrins are
    rodent-specific hepatoproliferative carcinogens. Enzyme induction
    leading to increased clearance of thyroid hormones would also be
    consistent with the higher incidence of follicular hyperplasia and
    follicular adenomas. However, additional studies on the mechanism of
    formation of the liver and thyroid tumours are required. The Meeting
    concluded that the increased tumour incidences caused by pyrethrins
    are threshold phenomena of negligible relevance to the low doses to
    which humans are exposed (see Appendix 1 to this monograph addendum). 

         Pyrethrins did not induce reverse mutagenicity in  Salmonella 
     typhimurium with metabolic activation, did not induce chromosomal
    aberration in Chinese hamster ovary cells, and did not induce
    unscheduled DNA synthesis in rat primary hepatocytes. The Meeting
    concluded that pyrethrins have no genotoxic or mutagenic potential,
    but a test for gene mutation in mammalian cells is lacking.

         Pyrethrins did not show developmental toxicity in rats or rabbits
    at the highest maternally toxic doses tested, which were 75 and 250
    mg/kg bw per day, respectively. The only effects on the offspring,
    observed in a two-generation study of reproductive toxicity in rats,
    were reduced body weights at the parentally toxic doses of 1000 and
    3000 ppm, with a NOAEL of 100 ppm, equivalent to 10 mg/kg bw per day.

         In a study of neurotoxicity in rats given single oral doses,
    acute neurological disorders (tremors, wetness of the urogenital area,
    salivation, perinasal encrustation, exaggerated startle response,
    decreased grip strength, and hind-leg splay) and behavioural effects
    (increased motor activity and decreased rearing and ambulation) were
    noted, with a NOAEL of 20 mg/kg bw.

         The available data on humans did not show a causal relationship
    between exposure to modern pyrethrin-containing products and
    significant adverse health effects.

         An ADI of 0-0.04 mg/kg bw was established for the tested blend of
    refined pyrethrum extract, which was based on the NOAEL of 100 ppm,
    equal to 4 mg/kg bw per day, observed in the long-term study of
    toxicity and carcinogenicity in rats and a safety factor of 100. This
    figure is identical to the ADI derived by the 1972 Meeting, which was
    based on a NOAEL of 200 ppm, equivalent to 10 mg/kg bw per day, in a
    long-term study in rats and a safety factor of 250.

         The acute and long-term toxicity of the pyrethrins differ
    significantly. The acute toxicity of orally administered pyrethrins is
    expressed as neurotoxic effects. The longer-term toxicity is based
    principally on effects on the liver. Therefore, an acute reference
    dose of 0.2 mg/kg bw was allocated for the tested blend of refined
    pyrethrum, which was based on the NOAEL of 20 mg/kg bw for acute
    neurotoxicity in rats and a safety factor of 100. 

    Toxicological evaluation

     Levels that cause no toxic effects 

    Mouse:    100 ppm, equal to 14 mg/kg bw per day (18-month study of
              carcinogenicity)

    Rat:      20 mg/kg (study of acute neurotoxicity)

              100 ppm, equal to 4 mg/kg bw per day (2-year study of
              carcinogenicity)

              100 ppm, equivalent to 10 mg/kg bw per day (parental and
              reproductive toxicity in a two-generation study of
              reproductive toxicity)

              75 mg/kg bw per day (maternal toxicity in two studies of
              teratogenicity, no developmental toxicity in a study of
              teratogenicity at the highest dose tested)

    Rabbit:   25 mg/kg bw per day (maternal toxicity in a study of
              teratogenicity, no developmental toxicity in a study of
              teratogenicity at the highest dose tested)

    Dog:      500 ppm, equal to 14 mg/kg bw per day (toxicity in a 1-year
              study)

     Estimate of acceptable daily intake for humans 

         0-0.04 mg/kg bw

     Estimate of acute reference dose 

         0.2 mg/kg bw

     Studies that would provide information useful for continued 
     evaluation of the compound 

    1.   Gene mutation test in mammalian cells (required for submission to
         WHO by 2001)

    2.   Mechanistic study on liver and thyroid tumorigenesis (see
         Appendix 1; required for submission to WHO by  2001)

    3.   Further observations in humans


        Toxicological end-points relevant for setting guidance values for dietary and non-dietary exposure to pyrethrins

     Absorption, distribution, excretion, and metabolism in mammals 

    Rate and extent of oral absorption           Immediately (peak between 5 and 8 h) and nearly complete (> 90%) 
                                                 in rats
    Distribution                                 Widely distributed in rats, highest concentrations in fat
    Potential for accumulation                   None
    Rate and extent of excretion                 Nearly complete excretion in urine (32-47% and 50-57% in male and 
                                                 female rats) and in faeces
    Metabolism in animals                        Extensively metabolized in rats, six metabolites identified; two 
                                                 major metabolic pathways.
    Toxicologically significant compounds        Parent compound and metabolites
    (animals, plants and environment)

     Acute toxicity 

    Rat, LD50, oral                              > 1200 mg/kg bw
    Rabbit, LD50, dermal                         > 2000 mg/kg bw
    Rat, LC50, inhalation                        > 3.4 mg/L (4 h)
    Dermal irritation                            Non, rabbits
    Ocular irritation                            None, rabbits
    Dermal sensitization                         Not a sensitizer (Buehler test in guinea-pigs)

     Short-term toxicity 

    Target/critical effect                       Liver (mice, rat, dog), erythrocytes (rat, dog), kidney (rat)
    Lowest relevant oral NOAEL                   90 days, dog: 600 ppm (18 mg/kg bw per day)
    Lowest relevant dermal NOAEL                 3 weeks, rabbit: > 1000 mg/kg bw per day
    Lowest relevant inhalation NOAEL             3 months, rat: 0.01 mg/L

     Long-term toxicity and carcinogenicity 

    Target/critical effect                       Liver 
    Lowest relevant NOAEL/NOEL                   2 years, rat: 100 ppm (4 mg/kg bw per day)
    Carcinogenicity                              Increased tumour incidences in liver, thyroid, skin (rats) and 
                                                 lungs (mice)

    Genotoxicity                                 In an incomplete range of studies, no genotoxic or mutagenic 
                                                 potential identified

     Reproductive toxicity 

    Reproductive target/critical effect          Reproductive effects (reduced pup body weights) at parentally 
                                                 toxic doses
    Lowest relevant reproductive NOAEL           Rat: 100 ppm (10 mg/kg bw per day)
    Developmental target/critical effect         No developmental effects at maternally toxic doses
    Lowest relevant developmental NOAEL          Rat: 75 mg/kg bw per day

    Neurotoxicity/Delayed neurotoxicity          Acute clinical disorders and behavioural effects 

    Acute neurotoxic NOAEL                       Rat: 20 mg/kg bw 

    Other toxicological studies                  Induction of hepatic microsomal activity

    Medical data                                 Available human data do not show causal relationships between 
                                                 exposure to modern pyrethrin-containing products and significant 
                                                 adverse health effects.


                                                                                                      
    Summary                  Value                Study                           Safety factor
                                                                                                      

    ADI                      0-0.04 mg/kg bw      Long-term toxicity, rats        100

    Acute reference dose     0.2 mg/kg bw         Acute neurotoxicity, rats       100
                                                                                                      
    

    References

    Bielucke, J. (1991) Primary eye irritation in rabbits (New Zealand
         white). Unpublished Report, Project No. 91-7316A, MRID #41964802
         from Biosearch Inc., Philadelphia, Pennsylvania, USA. Submitted
         to WHO by Kenya Pyrethrum Information Centre, Oberalm, Austria.

    Casida, J.E. & Quistad, G.B. (1995) Metabolism and synergism of
         pyrethrins. In: Casida, J.E. & Quistad, G.B., eds,  Pyrethrum 
          Flowers: Production, Chemistry, Toxicology and Uses, Oxford:
         Oxford University Press, pp. 258-277.

    Class, T.J., Ando, T. & Casida, J.E. (1989) Pyrethroid metabolism;
         microsomal oxidase metabolites of (S)-Bioallethrin and the six
         natural pyrethrins. Unpublished report MRID #41248801 from
         Pesticide Chemistry & Toxicology Laboratory. Submitted to WHO by
         Kenya Pyrethrum Information Centre, Oberalm, Austria.

    Curren, R.D. (1989) Unscheduled DNA synthesis assay in rat primary
         hepatocytes with a confirmatory assay. Unpublished report,
         laboratory study No. T8729.380009, MRID #41344501 from
         Microbiological Associates, Inc. Submitted to WHO by Kenya
         Pyrethrum Information Centre, Oberalm, Austria.

    Feinberg, S.M. (1934) Pyrethrum sensitization.  J. Am. Med. Assoc., 
         102, 1557-1558.

    Gabriel, D. (1991) Acute dermal toxicity in rabbits (New Zealand
         white). Unpublished report, project No. 91-7316A, MRID #41964801
         from Biosearch Inc., Philadelphia, Pennsylvania, USA. Submitted
         to WHO by Kenya Pyrethrum Information Centre, Oberalm, Austria.

    Gabriel, D. (1992) Summary of results of acute oral toxicity study
         Unpublished report, project No. 92-7529A, from Biosearch Inc.,
         Philadelphia, Pennsylvania, USA. Submitted to WHO by Kenya
         Pyrethrum Information Centre, Oberalm, Austria.

    Goldenthal, E.I. (1987) Evaluation of pyrethrum extract in a 2-week
         dietary toxicity study in mice. Unpublished report, laboratory
         project ID: 556-114 from International Research & Development
         Corp. Submitted to WHO by Kenya Pyrethrum Information Centre,
         Oberalm, Austria.

    Goldenthal, E.I. (1988a) Evaluation of pyrethrum extract in a 13-week
         dose range-finding study in mice. Unpublished report, laboratory
         project ID: 556-008, MRID #433585201 from International Research
         & Development Corp. Submitted to WHO by Kenya Pyrethrum
         Information Centre, Oberalm, Austria.

    Goldenthal, E.I. (1988b) Evaluation of pyrethrum extract in a 13-week
         dose range-finding study in rats. Unpublished report, laboratory
         project ID: 556-010 from International Research & Development
         Corporation. Submitted to WHO by Kenya Pyrethrum Information
         Centre, Oberalm, Austria.

    Goldenthal, E.I. (1988c) Toxicity study in dogs. Unpublished report,
         laboratory project ID: 556-006 from International Research &
         Development Corp. Submitted to WHO by Kenya Pyrethrum Information
         Centre, Oberalm, Austria.

    Goldenthal, E.I. (1990a) Evaluation of pyrethrum extract in a 1-year
         chronic toxicity study in dogs. Unpublished report, laboratory
         project ID: 556-007, MRID #41496502 from International Research &
         Development Corp. Submitted to WHO by Kenya Pyrethrum Information
         Centre, Oberalm, Austria.

    Goldenthal, E.I. (1990b) Evaluation of pyrethrum extract in an
         18-month dietary oncogenic study in mice. Unpublished report,
         laboratory project ID: 556-013, MRID #41559401 from International
         Research & Development Corp. Submitted to WHO by Kenya Pyrethrum
         Information Centre, Oberalm, Austria.

    Goldenthal, E.I. (1990c) Evaluation of pyrethrum extract in a two-year
         dietary toxicity and oncogenicity study in rats. Unpublished
         report, laboratory project ID: 556-011, MRID #41559501 from
         International Research & Development Corp. Submitted to WHO by
         Kenya Pyrethrum Information Centre, Oberalm, Austria.

    Goldenthal, E.I. (1992) 21-day repeated dose dermal toxicity study
         with pyrethrum extract in rabbits. Laboratory project ID:
         556-018, MRID #42212601 from International Research & Development
         Corp. Submitted to WHO by Kenya Pyrethrum Information Centre,
         Oberalm, Austria.

    Hermansky, S.J. & Hurley, J.M. (1993a) Peroral (gavage) neurotoxicity
         probe study with pyrethrins in rats (Sprague Dawley). Unpublished
         report, laboratory project ID: 91N0122, MRID #42930401 from Bushy
         Run Research Center. Submitted to WHO by Kenya Pyrethrum
         Information Centre, Oberalm, Austria.

    Hermansky, S.J. & Hurley, J.M. (1993b) Acute oral neurotoxicity study
         with pyrethrins in rats (Sprague Dawley). Unpublished report,
         laboratory project ID: 92N1036, MRID #42925801 from Bushy Run
         Research Center. Submitted to WHO by Kenya Pyrethrum Information
         Centre, Oberalm, Austria.

    Hoffmann, G.M. (1991) Acute inhalation toxicity in rats (Sprague
         Dawley). Unpublished report, project No. 91-8331, MRID #42008001
         from Biosearch Inc., Philadelphia, Pennsylvania, USA. Submitted
         to WHO by Kenya Pyrethrum Information Centre, Oberalm, Austria.

    Mitchell, J.C., Dupuis, G. & Towers, G.H.N. (1972) Allergic contact
         dermatitis from pyrethrum  (Chrysanthemum sp.).  Br. J. 
          Dermatol., 86, 568-573.

    Myer, J.R. (1991) Evaluation of pyrethrum extract in a 5-day toxicity
         study in New Zealand white rabbits. Unpublished report,
         laboratory project ID: 556-017 from International Research &
         Development Corp. Submitted to WHO by Kenya Pyrethrum Information
         Centre, Oberalm, Austria.

    Newton, P.E. (1992) 90-day inhalation toxicity study of pyrethrum
         extract in the rat via whole body exposure. Unpublished report,
         project No. 91-8335, MRID #42478201 from Bio/dynamics, Inc.
         Submitted to WHO by Kenya Pyrethrum Information Centre, Oberalm,
         Austria.

    Putman, D.L. & Morris, M.J. (1989) Chromosome aberrations in Chinese
         hamster ovary (CHO) cells. Unpublished report, laboratory study
         No. T8729.337, MRID #41344601 from Microbiological Associates
         Inc. Submitted to WHO by Kenya Pyrethrum Information Centre,
         Oberalm, Austria.

    Ramirez, M.A. (1930) Pyrethrum: An etiologic factor in vasomotor
         rhinitis and asthma.  J. Allergy, 1, 149-155.

    Rickett, F.E., Tyszkiewicz, K. & Brown, N.C. (1972) Pyrethrum
         dermatitis. Part I: The allergenic properties of various extracts
         of pyrethrum flowers.  Pyrethrum Post, 11, 85.

    Romanelli, P. (1991a) Primary skin irritation in rabbits (New Zealand
         white). Unpublished report, project No. 91-7316A, MRID #41964803
         from Biosearch Inc., Philadelphia, Pennsylvania, USA. Submitted
         to WHO by Kenya Pyrethrum Information Centre, Oberalm, Austria.

    Romanelli, P. (1991b) Sensitization study in guinea pig (Hartley
         strain). Unpublished report, project No. 91-7316A, MRID #
         41964804 from Biosearch Inc., Philadelphia, Pennsylvania, USA.
         Submitted to WHO by Kenya Pyrethrum Information Centre, Oberalm,
         Austria.

    San, R.H.C. & Springfield, K.A. (1989)  Salmonella/
         mammalian-microsome plate incorporation mutagenicity assay (Ames
         test) with a confirmatory assay. Unpublished report, laboratory
         study No. T8729.501014, MRID #41344701 from Microbiological
         Associates, Inc. Submitted to WHO by Kenya Pyrethrum Information
         Centre, Oberalm, Austria.

    Schardein, J.L. (1987a) Evaluation of pyrethrum extract in a dose
         range-finding teratology study in rats. Unpublished report,
         laboratory project ID: 556-001, MRID #40603701 form International
         Research & Development Corp. Submitted to WHO by Kenya Pyrethrum
         Information Centre, Oberalm, Austria.

    Schardein, J.L. (1987b) Evaluation of pyrethrum extract in definitive
         rat teratology study. Unpublished report, laboratory project ID:
         IRDC 556-002, MRID #40288202 from International Research &
         Development Corp. Submitted to WHO by Kenya Pyrethrum Information
         Centre, Oberalm, Austria.

    Schardein, J.L. (1987c) Evaluation of pyrethrum extract in a dose
         range-finding teratology study in rabbits. Unpublished report.
         laboratory project ID: 556-003, MRID #40603702 from International
         Research & Development Corp. Submitted to WHO by Kenya Pyrethrum
         Information Centre, Oberalm, Austria.

    Schardein, J.L. (1987d) Evaluation of pyrethrum extract in a
         definitive rabbit teratology study. Unpublished report,
         laboratory project ID: IRDC 556-004, MRID #40288203 from
         International Research & Development Corp. Submitted to WHO by
         Kenya Pyrethrum Information Centre, Oberalm, Austria.

    Schardein, J.L. (1989) Two generation reproduction study in rats with
         pyrethrum extract. Unpublished report, laboratory project ID:
         IRDC 556-005, MRID #41327501 from International Research &
         Development Corp. Submitted to WHO by Kenya Pyrethrum Information
         Centre, Oberalm, Austria.

    Selim, S. (1995) Pharmacokinetics and metabolism of 14C pyrethrin I
         in the rat. Unpublished report, study No. P1092006, MRID
         #43554304 from Biological Test Center. Submitted to WHO by Kenya
         Pyrethrum Information Centre, Oberalm, Austria.

    Springfield, A.C., Carlson, G.P. & DeFeo, J.J. (1973) Liver
         enlargement and modification of hepatic microsomal drug
         metabolism in rats by pyrethrum.  Toxicol. Appl. Pharmacol., 24,
         298-308.

    Zucker, A. (1965) Investigation of purified pyrethrum extracts.
          Ann. Allergy, 23, 335-339.

    Appendix 1: Application of the Conceptual Framework for Cancer Risk
                Assessment

    (Revised on the basis of discussions at the IPCS Workshop on
    Developing a Conceptual Framework for Cancer Risk Assessment, 16-18
    February 1999, Lyon, France)

         This framework, developed by an IPCS working group, provides a
    generic approach to the principles commonly used in evaluating a
    postulated mode of action for tumour induction by a chemical. Thus,
    the framework was used by the 1999 JMPR to provide a structured
    approach to the assessment of the overall weight-of-evidence for the
    postulated mechanism of the increased incidences of benign tumours of
    the liver, thyroid, and skin in rats and a treatment-related effect on
    the incidence of lung tumours in mice observed after long-term
    administration of pyrethrins. 

         The framework guidelines suggested 10 section headings. The
    introduction (see monograph section 2(c), 'Long-term studies of
    toxicity and carcinogenicity') describes the cancer end-points that
    have been observed. Three of these (rat liver and thyroid neoplasms,
    rat keratoacanthomas, and mouse lung tumours) are addressed separately
    in the analysis. An approriate mode of action is postulated and the
    key events identified; the observed dose-response relationships and
    temporal relationships are discussed. The strength, consistency, and
    specificity of the association of tumour response with key events and
    the biological plausibility are analysed. Alternative modes of action
    are identified and found not to be supported. The three postulated
    modes of action are discussed below, with some uncertainties about
    both the biology of tumour development and the database on the
    compound and any inconsistencies in the method that were identified.

    *  The increased incidences of hepatocellular adenomas were associated
       with persistent induction of cytochrome P450 enzymes and
       hepatocellular hypertrophy, suggesting that pyrethrins are
       rodent-specific hepatoproliferative carcinogens. Enzyme induction
       leading to increased clearance of thyroid hormones would also be
       consistent with the increased incidence of follicular hyperplasia
       and follicular adenomas seen. The level of confidence in this
       postulated mode of action is moderate, because some uncertainties
       and inconsistencies were introduced by the method. Therefore,
       additional studies to identify more key events in the liver and
       thyroid (e.g. measurements of enzyme induction with purified
       pyrethrins, estimation of thyroid hormone changes, and estimation
       of thyroid and pituitary weights) are required. 

    *  The higher incidence of keratoacanthomas in male rats at the high
       dose, which exceeds the upper limit of the range in historical
       controls, was considered to be related to treatment. The slight
       increase in the incidence of cystic lesions in the skin and
       subcutis in males observed macroscopically provided some support
       that the increased incidence of neoplastic lesions is a result of
       irritating chronic injury of the skin. There were some

       uncertainties introduced by the method, and differing opinions on
       the biology of these tumours were found in the literature. The
       level of confidence in this postulated mode of action is very low,
       and no further studies were identified to support it. 

    *  The increased incidence of lung tumours in mice might be a result
       of proliferative processes following chronic injury of the
       respiratory epithelium or activation of microsomal mixed-function
       enzymes, especially in Clara cells, which contain high
       concentrations of P450 enzymes. Such chronic injury might be
       followed by cell proliferation with a dose-response relationship.
       The level of confidence in this postulated mode of action is,
       however, very low. 

       There was also little confidence in other possible modes of action.
    Uncertainties in the database on pyrethrins were identified.
    Improvement of the method used in the study of carcinogenicity (e.g.
    detailed histological sectioning of each lung lobe cut at the level of
    bronchi and additional microscopic examination of step-sections of the
    remaining lung tissue beginning at the level of the bronchi in all
    animals of each sex, followed by a re-evaluation of all histological
    slides in the absence of knowledge of their origin; reporting of the
    number and size of neoplastic and preneoplastic lesions in each
    animal) could serve to increase confidence that these tumours have no
    relevance at the low concentrations to which humans and animals are
    exposed.

       The Meeting concluded that the increased tumour incidences
    associated with exposure to pyrethrins are threshold phenomena of
    negligible relevance to the low concentrations to which humans are
    exposed and that pyrethrins have no genotoxic or mutagenic potential.
    Therefore, no classification of cancer risk is necessary. However,
    additional studies are required.

       The discussion of the postulated mode of action of tumour induction
    by pyrethrins was helpful in the overall process of hazard
    characterization and risk assessment and contributed to consideration
    of the relevance of the findings in animals to the human situation.
    Application of the framework also promoted confidence in the
    conclusions reached, as it represents use of a defined procedure which
    mandates consistent documentation of the facts and reasoning that
    includes consideration of inconsistencies and uncertainties. The
    Meeting concluded that the framework could be developed for use both
    by regulators and by researchers in identifying research needs on the
    basis of clear delineation of data gaps and inconsistencies.
    


    See Also:
       Toxicological Abbreviations