IPCS INCHEM Home

    FLUMETHRIN

    First draft prepared by
    D.B. McGregor,
    International Agency for Research on Cancer, Lyon, France

    Explanation
    Evaluation for acceptable daily intake
       Biochemical aspects
          Absorption, distribution, and excretion
          Biotransformation
          Effects on enzymes
       Toxicological studies
          Acute toxicity
          Short-term toxicity
          Long-term toxicity and carcinogenicity
          Reproductive toxicity
          Developmental toxicity
          Genotoxicity
          Special studies
             Dermal and ocular irritation and dermal sensitization
             Neurotoxicity
             Anti-allergic and pseudi-allergic activity
             Bronchial activity
             Effect on concentration of glucose and triglycerides in blood
             Effects on gastrointestinal tract of rats
             Haematological and cardiovascular effects
             Diuretic effects
             Toxicity of metabolites: Flumethrin acid
       Observations in humans
    Comments
    Toxicological evaluation
    References

    Explanation

         Flumethrin is an alpha-cyano-3-phenoxyphenyl pyrethroid
    insecticide used in the control of ectoparasites on cattle, sheep,
    goats, horses, and dogs. It is formulated as a 6% solution for use as
    a spray or dip and as a 1% solution for the pour-on treatment of
    cattle. In addition, flumethrin is marketed as strips for the
    diagnosis and control of varroatosis in bee hives. Flumethrin as
    currently produced and used is the result of optimization of the
    manufacturing process and consists of > 90%  trans-Z-1 and  trans-Z-2
    isomers (with < 2%  cis-Z and < 1%  trans-E isomers as by-products). The
    development of flumethrin first led to a substance that was a mixture
    of 30-45%  trans Z-1 and  trans Z-2 isomers and 45-63%  trans E-1 and  trans
    E-2 isomers, the corresponding  cis isomers occurring as by-products at
    < 6%. This material was used in a long-term study of toxicity and
    carcinogenicity in rats and is referred to as flumethrin with a low 
     trans-Z content.

         Flumethrin was evaluated for the first time by the present
    Meeting.

    Evaluation for acceptable daily intake

    1.  Biochemical aspects

    (a)  Absorption, distribution, and excretion

         After a single oral dose of [F-phenyl-U-14C]-flumethrin was
    given to rats, about 30% of the dose was absorbed (Steinke  et al.,
    1983).

         The kinetics and metabolism of flumethrin were investigated in
    Wistar BOR: WISW rats with [Cl-phenyl-U-14C]-labelled compound
    administered in physiological saline solution containing 5% Cremophor
    EL (Klein, 1993a). The dosing regimes were as follows: 1 mg/kg bw
    administered orally as a single dose to male and female rats, 5 mg/kg
    bw administered orally as a single dose to male rats, 1 mg/kg bw
    administered orally to male rats on seven consecutive days, or 1 mg/kg
    bw administered intraduodenally to bile-fistulated male rats.
    Absorption was rapid but incomplete. In rats with a fistulated bile
    duct, about 75% of the dose was absorbed and 77-88% was eliminated in
    the faeces, mostly after absorption and excretion in the bile; only
    about 2% was excreted in the urine. The difference in absorption found
    in these studies appears to be dependent upon the position of the
    label and may be due to ester hydrolysis in the stomach. The highest
    concentrations were found in the plasma. The time for a rise in the
    plasma concentration from 25 to 75% of the maximal value varied
    between 2 and 3.5 h, the maximum being achieved in about 8 h. The
    elimination half-lives were 130-160 h, demonstrating the slow release
    of radiolabel from the plasma, also reflected in the low clearance
    values (< 12 ml/kg bw per h) and very low renal clearance
    (< 1.2 ml/kg bw per h). The concentrations of radiolabel found in
    the organs examined 48 h after dosing were 3- to 50-fold lower than in
    plasma. Particularly low concentrations were found in spleen, fat,
    brain, and bone. The distribution volume under steady-state conditions
    was 25-44% of the body volume, indicating either slow or limited
    distribution to peripheral compartments from plasma (considered as the
    central compartment). Redistribution into plasma before biliary
    excretion was also slow, as indicated by the relatively large mean
    residence times (190-235 h). Radiolabel accumulated in plasma after
    multiple dosing, so that the relative plasma concentration had
    increased almost 10-fold after seven days. Once dosing had stopped,
    the plasma concentration of radiolabel fell very slowly, the
    elimination half-life being about 155 h; seven days after
    administration, 9-20% of the dose was still present in the body
    (excluding the gastrointestinal tract).

         The distribution of [Cl-phenyl-U-14C]-flumethrin and its
    metabolites were investigated by whole-body autoradiography in rats
    for 1-48 h after a single oral dose of 5 mg/kg bw. The distribution
    pattern was established within 1 h after dosing, the concentrations

    decreasing only slowly thereafter. The highest concentration was found
    in the liver, but high concentrations were also found in the spleen,
    kidney, lung, adrenal cortex, cartilage, bone marrow, pineal gland,
    pituitary, and subcutaneous adipose tissue; the lowest concentrations
    were found in the central nervous system (Klein, 1993b).

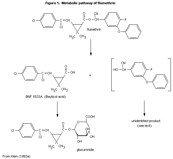
    (b)  Biotransformation

         In the experiment of Klein (1993a), the main radioactive
    compounds found in the faeces were unchanged flumethrin (which
    accounted for about 50% of the radiolabel recovered from male rats and
    about 25% of that from female rats) and the metabolite, 3-[2-chloro-
    2-(4-chlorophenyl)ethenyl]-2,2-dimethylcyclopropanecarboxylic acid,
    flumethrin acid (BNF 5533A), which accounted for 15-18% of the
    radiolabel recovered from male rats and about 30% of that from female
    rats. No other biotransformation products were found in the faeces.
    With [fluorophenyl-U-14C]-flumethrin (low  trans Z) given orally to
    rats, two primary metabolites were identified in the urine (Ecker,
    1983). These were 3-(4'-hydroxy-phenoxy)-4-fluorobenzoic acid and
    3-phenoxy-4-fluorobenzoic acid, which accounted for 50 and 35%,
    respectively, of the urinary radiolabel over 0-24 h and 80 and 10% of
    the urinary activity over 24-48 h. Glycine conjugates of the primary
    metabolites were also identified, but each accounted for no more than
    4 and 7.4%, respectively, of the urinary radiolabel. In the metabolism
    of other compounds containing the alpha-cyano-3-phenoxybenzyl moiety
    (e.g. fenvalerate, Kaneko  et al., 1981), the phenyl ring may be
    hydroxylated and, following ester bond hydrolysis, the cyano group is
    converted to SCN- and carbon dioxide and 3-phenoxybenzaldehyde is
    oxidized to the carboxylic acid. The resultant acids and phenols can
    then conjugate with glucuronic acid, sulfate, and/or amino acids. The
    metabolic pathway of flumethrin is shown in Figure 1.

         Kinetics and tissue residues were investigated in a 530-kg
    lactating cow after application of [F-phenyl-U-14C]-flumethrin at
    1.77 mg/kg bw to the skin of the back. The plasma concentration of
    total radiolabel rose to a maximum of 6.3 ng/ml 23 h after application.
    The highest concentration in the milk (3 ng/ml) was found 31 h after
    application. By 48 h after dosing, when the cow was slaughtered, the
    flumethrin-equivalent concentrations of radiolabel were 70 ng/ml in
    bile in the gall-bladder and 281 ng/ml in urine in the urinary bladder.
    Of the tissues examined, the liver (9 ng/g tissue) and kidneys (10 ng/g
    tissue) contained the highest concentrations of residues; 71.7% of the
    applied dose remained at the application site (Cameron, 1986).

    FIGURE 5

         In a study with [Cl-phenyl-U-14C]-flumethrin, a dose of
    1 mg/kg bw was administered intravenously to one 545-kg dairy cow
    and one 340-kg steer. Both animals were slaughtered 8 h after
    administration, and the quantities of radiolabel present in all
    excreta and in liver, kidneys, muscle, fat, and milk were measured.
    The highest concentrations were found in the liver (cow, 13 µg/g;
    steer, 3.5 µg/g), followed by the kidney (cow, 0.88 µg/g; steer,
    1.4 µg/g). The metabolite flumethrin acid was also found in all the
    materials examined, except the milk, and was present as the glucuronide
    in the liver and kidneys. In milk, an additional degradation product
    was found but not identified, which constituted 11.5% of the total
    residues in milk (Klein, 1995).

    (c)  Effects on enzymes

         Pyrethroids can interact with liver drug-metabolizing enzymes,
    but there appears to be a difference between some Type II pyrethroids
    that contain an alpha-cyano function and inhibit such enzymes, e.g.
    deltamethrin (Anadón  et al., 1990), and the Type I pyrethroids that
    do not contain this function and may induce drug-metabolizing enzymes,
    e.g. permethrin (Carlson & Shoening, 1980; Anadón  et al., 1988). In
    experiments in which groups of 12 male Wistar rats received flumethrin
    by intraperitoneal injection for six days, the Type II pyrethroid
    response was demonstrated, in that there were reductions in cytochrome
    P450 protein content (36%), NADPH-cytochrome c reductase activity
    (38%), aniline hydroxylase activity (52%), aminopyrine  N-demethylase
    activity (54%), and UDP-glucuronosyl transferase activity (34%)
    (Anadón  et al., 1995).

    2.  Toxicological studies

    (a)  Acute toxicity

         The results of studies of the acute toxicity of flumethrin are
    listed in Table 1. The acute toxicity is slightly greater in female
    than male rats and depends on the vehicle used. The sex difference
    may reflect the greater metabolic conversion in female rats,
    and differences between the solvents in respect of polarity,
    which determines the proportion of the dose adsorbed from the
    gastrointestinal tract, may explain the differences in oral toxicity.
    The formulation containing Cremophor EL, which is known to enhance
    absorption, was markedly more toxic; however, this formulation is used
    only for administration in toxicological studies. The acute toxicity
    of flumethrin in the other vehicles was moderate to low.

        Table 1.  Acute toxicity of flumethrin and products

                                                                                                           

         Formulation                Route          Species     Sex           LD50          Reference
                                                                          (mg/kg bw)
                                                                                                           

    Flumethrin in                Oral               Rat       Male        > 100          Bomann (1994a)
    water/Cremophor EL                                        Female      > 100
                                 Oral               Rat       Male        56             Bomann (1992a)
                                                              Female      41
    Flumethrin in arachis oil    Oral               Rat       Male       
                                                                          911            Renhof (1983a)
                                                              Female      662
    Flumethrin in miglyol        Oral               Rat       Male        3849           Renhof (1983a)
                                                              Female      2248
    Flumethrin in 1:10           Oral               Rat       Male        302            Renhof (1983b)
    acetone:arachis oil                                       Female      138
    Flumethrin in corn oil       Dermal             Rat       Male        > 2000         Bomann (1994b)
                                                              Female      > 2000
    1% pour-on formulation       Oral               Rat       Male        > 20           Schmidt (1984a)
                                                              Female      > 20
                                 Oral               Mouse     Male        > 20           Schmidt (1984a)
                                                              Female      > 20
                                 Dermal             Rat       Male        > 5            Schmidt (1984a)
                                                              Female      > 5
                                 Dermala            Rat       Male        > 5            Schmidt (1984a)
                                                              Female      > 5
                                 Intraperitoneal    Mouse     Male        approx. .1     Schmidt (1984b)
                                                              Female      approx. 5
    Bayticol EC 6% in            Oral               Rat       Male        > 500-< 2000   Bomann (1992b)
    Solvesso 200                                              Female      > 500-< 2000
                                 Dermal             Rat       Male        > 5000         Bomann (1992c)
                                                              Female      > 5000
                                                                                                           

    Table 1.  (Cont'd)

                                                                                                           

         Formulation                Route          Species     Sex           LD50          Reference
                                                                          (mg/kg bw)

                                                                                                          

    Bayvarol strips              Oral               Rat       Male        > 2000         Bomann (1992d)
    (0.55 g Bayticol/100g)                                    Female      > 2000
                                 Dermal             Rat       Male        > 5000         Bomann (1992e)
                                                              Female      > 5000
    Bayticol EC 7.5%             Inhalation         Rat       Male        approx. 3000   Thyssen (1982)
                                 (4 h)                        Female      > 2934
                                                                                                           

    a    On scarified skin
             After acute administration of flumethrin, the most prominent
    clinical signs were manifestations of central nervous system toxicity,
    such as reduced motor activity, respiratory disorders, altered
    gait, and salivation. The onset of action occurred 1-15 min after
    administration, and the effects were comparatively long-lasting. The
    reported manifestations of toxicity are largely consistent with those
    known collectively as the choreoathetosis (sinuous writhing) with
    salivation syndrome, which is produced by other insecticidal
    pyrethroids, classified on this basis as Type II pyrethroids, which
    contain an alpha-cyano-2-phenoxybenzyl alcohol group (Vijversberg &
    van den Bercken, 1982).

         In the studies of acute toxicity, particular attention was paid
    to effects on the central nervous system. In animals investigated for
    behaviour on an inclined plane, flumethrin was administered orally
    in a vehicle which enhances toxicity, i.e. as an emulsion in
    water/Cremophor EL, and, for comparison, in milk, a vehicle of
    relevance as regards the consumer. Doses of 5 mg/kg bw in both
    formulations had a slight effect, i.e. the inclination of the plane at
    which the dosed animals slipped off was lower than that at which the
    control animals slipped off. A dose of 1 mg/kg bw, administered as an
    emulsion in water/Cremophor, also had a very slight effect, but no
    effect was seen with 0.3 mg/kg bw or with 1 mg/kg bw administered as
    an emulsion in milk (Bomann, 1994c).

         After dermal application, the LD50 was > 2000 mg/kg bw. The
    clinical signs were comparable to those observed after oral
    administration. Evidence of skin reactions, such as scaling and
    incrustation and sometimes scratches, were found at the application
    site (Bomann, 1994b).

         Studies of flumethrin products (Table 1) did not indicate
    potentiation by the other constituents of commercially available
    formulations. The results obtained were within the respective ranges
    calculated on the basis of the toxicity of the active ingredient.
    Dermal application of a dose of 5 ml/kg bw of a pour-on formulation
    had no systemic or local effects (Schmidt, 1984a), and intraperitoneal
    administration of the 1% pour-on formulation to mice also showed
    little toxicity (Schmidt, 1984b).

         Deaths occurred after inhalation of the product Flumethrin EC
    7.5% at a nominal concentration > 10 000 mg/m3 (Table 1). At
    500 mg/m3, inhalation was tolerated with no adverse effects (Thyssen,
    1982).

    (b)  Short-term toxicity

    Rats

         Groups of 15 male and 15 female Wistar BOR: WISW rats received
    diets containing flumethrin (purity, 98.7%) to provide concentrations
    of 0, 10, 50, or 250/150 ppm (150 ppm from the third week onwards) for
    13 weeks. An additional 10 rats of each sex per group were killed
    after four weeks. At concentrations > 50 ppm, skin lesions were
    seen on the head, neck, shoulder girdle, and front extremities.
    Although treatment was continued, these changes had cleared up in
    about half of the animals by the end of the study. During the first
    two weeks of the study, both food intake and water consumption of the
    group at 250 ppm were depressed by about 40%; these effects were
    accompanied by body-weight losses in animals of each sex. With the
    change to a dose of 150 ppm, food and water consumption became
    indistinguishable from the control values and there were no further
    weight losses. Body weights remained slightly reduced throughout the
    study in this group (terminal differences in comparison with controls
    being about 9% in males and 8% in females). Unscheduled deaths
    occurred only in animals at 250/150 ppm, four females and one male
    dying during the first two weeks of treatment and another male during
    week 5. The NOAEL was 10 ppm, equal to 0.7 mg/kg bw per day in males
    and 0.8 mg/kg bw per day in females (Hahnemann & Rühl, 1985).

         Groups of 20 male and 20 female Wistar BOR: WISW rats received
    flumethrin (purity, 94.6%) in the diet at levels providing
    concentrations of 0, 10, 40, or 160 ppm for 15 weeks. Dosing at 160
    ppm resulted in a reduction in food intake, retardation of body-weight
    development, and clinical signs, but none of the animals died. The
    body weights of animals at 160 ppm were 24% lower than those of
    controls for males and 8% for females, but there were no significant
    differences in the other groups. The principal clinical signs in
    animals at 160 ppm were piloerection, increases or decreases in motor
    activity, and spastic or staggering gait. Immediately after the start
    of dosing, the animals at this dose were also seen to groom their fur
    intensively and in particular to make frequent scratching movements.
    This produced skin lesions, some of which were several centimeters in
    diameter and bled after being scratched repeatedly. A small proportion
    of these skin lesions, and similar ones found on a few animals at
    40 ppm, healed as the study progressed. Alpha-cyano pyrethroids are
    known to have a paraesthetic effect, which is regarded as the most
    probable cause of the skin lesions. Correlated with the presence of
    skin lesions on particular rats at this dose at the end of the study
    were reductions in erythrocyte count (approx. 16%), haematocrit
    (approx. 12%), and haemoglobin concentration (approx. 14%) and an
    increase in the leukocyte count (approx. 50%). The differential blood
    count showed a reduction in the proportion of lymphocytes (approx.
    11%), with a corresponding increase in neutrophils (approx. 145%), a
    usual reaction during inflammation. The compound did not appear to

    affect blood chemistry, and the changes seen, such as a reduction in
    protein (approx. 10%) and albumin (approx. 18%) concentrations in
    animals at the highest dose, are regarded as consequences of the poor
    condition and of the skin lesions. Male animals at 160 ppm also had a
    reduced cholesterol concentration (24%) and a reduction in the protein
    content of the urine, but females had an increased protein content
    accompanied by a reduction in the volume of urine with a corresponding
    increase in the density of the urine.

         At necropsy, only skin lesions were found. In animals at the
    highest dose, the marked differences in body weight resulted in
    reductions in the weights of some organs and increases in the relative
    weights. Animals at 160 ppm showed evidence of stimulation of
    extramedullary haematopoiesis in the spleen and a reduction in stored
    haemosiderin, which were considered to have been the result of the
    blood losses described above. The reduction in the neutral fat content
    of the liver and in the size of the seminal vesicles of animals at the
    highest dose were considered to have been due to the poor condition of
    the animals and not to be related directly to flumethrin. The NOAEL
    was thus 10 ppm, equal to 0.7 mg/kg bw per day (Bomann & Sander,
    1995).

    Dogs

         Groups of four male and four female beagle dogs, about eight
    months old, received diets containing flumethrin (purity, 98.7%) to
    provide concentrations of 0, 50, 100, or 200 ppm for 13 weeks. Animals
    at doses > 50 ppm showed thinned hair or hairlessness, and in some
    instances weeping, ulcerative, scabbed patches were seen on the neck,
    back, tall, ears, and limbs. These lesions had partially healed by the
    end of the study. The group at 200 ppm had reduced food intake and
    body-weight gains. Those at 100 and 200 ppm had slightly raised blood
    urea values, which were statistically significant in week 13 in
    animals at the highest dose (6.4 versus 7.9 mmol/litre); however,
    there was no evidence of gross pathological changes in the kidneys
    (Hoffmann & Kaliner, 1984). There was no NOAEL in this study.

         In a study to achieve a no-effect level that was not found in
    the earlier study because of the presence of skin lesions, groups of
    four male and four female beagle dogs about six months old received
    diets containing flumethrin (same batch as used in the previous
    study) providing concentrations of 0 or 25 ppm for 13 weeks. No
    differences were observed between the two groups of dogs, although
    histopathological examination was not performed since no histological
    differences were observed in the previous study. In particular, no
    skin lesions were detected. The NOAEL was 25 ppm, equal to 0.88 mg/kg
    bw per day in males and 0.94 mg/kg bw per day in females (Hoffmann,
    1985).

    Cattle

         A single dose of 50 ml of a 1% flumethrin formulation was
    administered by gavage to two six-week-old calves, and one calf
    received a placebo formulation. All three animals were observed for
    five days. The two animals given the flumethrin formulation voided
    watery faeces for a short time within the first 24 h, and their
    food intake was lower in the first 48 h after administration. There
    were no changes in body-weight development or in haematological,
    clinicochemical, or urinary parameters, and no changes were seen in
    the calf give the placebo. Thus, if an animal were to lick the product
    off treated skin, the only effects likely to occur are mild and
    reversible (Iida  et al., 1988).

         A dose of 4 mg/kg bw, i.e. twice the therapeutic dose, was
    applied to the backs of 18 calves, which were then observed for the
    next 2 h and daily for three weeks. The treatment was well tolerated,
    and there were no clinical signs or local effects on the skin (Dorn,
    1989a). In a similar study in which 4 mg/kg bw was applied to the
    dorsal midline of 15 young bovines, there was no evidence of local or
    systemic effects during daily observation for three weeks (Dorn,
    1989b). When the same dose was applied to the backs of 13 pregnant
    cows, the treatment had no effect on the animals' behaviour or general
    health. There was also no evidence of an effect on labour or on the
    calves, which were given a clinical examination at delivery and
    thereafter at weekly intervals (Dorn, 1989c).

    (c)  Long-term toxicity and carcinogenicity

         No studies of the long-term toxicity or carcinogenicity of
    flumethrin have been conducted, but a two-year study was carried out
    with flumethrin with a low  trans-Z isomer content (purity, 91.3%) in
    which groups of 50 male and 50 female Wistar BOR:WISW (SPF Cpb) rats
    received diets containing providing concentrations of 0, 2, 10, 50,
    or 250 ppm. An additional 10 rats of each sex per group were killed
    after 12 months of treatment. No significant effects were seen on
    growth, mortality, food or water consumption, or behaviour at doses
    < 50 ppm. At 250 ppm, both male and female rats showed retarded
    growth development, and their mean body weights were > 10% lower than
    those of the controls at 50 weeks. At 103 weeks, the numbers of deaths
    in the groups given 0, 2, 10, 50, and 250 ppm were 7, 5, 8, 7 and 3
    males and 10, 11, 7, 9, and 19 females. Much of the increased
    mortality among the female rats at 250 ppm was due to the fact that
    several were killed in a moribund state or died from severe skin
    lesions and the related poor general condition. These lesions
    consisted of ulcerative dermatitis occurring at a dose-dependent
    incidence and severity, which first appeared in the second week of
    treatment. The maximal incidences were seen after four weeks. These
    lesions later healed in females at 50 ppm and in males at 50 or
    250 ppm. Some inconsistent, statistically significant changes were

    observed on periodic haematological examination: the number of
    polymorphonuclear neutrophils increased, mainly in males at 250 ppm,
    and inconsistent increases were also seen in other groups. Slight
    decreases in lymphocyte counts were observed almost exclusively in
    males at 50 and 250 ppm after 26, 52, and 78 weeks, but the decreases
    were not significant after 104 weeks. These may be nonspecific
    reactions to the inflammatory changes in the skin and were similar to
    those reported in the 15-week dietary study described above (Bomann &
    Sander, 1995). Sporadic differences were observed in erythrocyte and
    haemoglobin parameters, but these were inconsistent with respect to
    dose and time and are not considered to be treatment-related.
    While statistically significant differences between groups did
    occur, studies of blood chemistry did not indicate any consistent,
    dose-related changes in albumin, bilirubin, urea, creatinine,
    cholesterol, glucose, or the activities of the plasma enzymes alkaline
    phosphatase, alanine transaminase, aspartate transaminase, creatine
    kinase, and lactate dehydrogenase. No biologically important changes
    were seen in chloride (deviation from control, < 4%), and the
    larger changes in phosphate ion concentrations did not show a
    dose-response relationship. The sodium ion concentration was unaltered
    and that of potassium showed dose-related increases in males only at
    52 and 104 weeks, but not at 26 or 78 weeks. Similarly, decreases in
    calcium ion in both males and females occurred at 52 and 104 weeks,
    but not at 26 or 78 weeks. This erratic pattern of changes does not
    indicate that they were the result of treatment. Urine analysis showed
    no variations attributable to treatment in either male or female rats
    at 26, 52, 78, or 104 weeks. At autopsy, no treatment-related changes
    were observed, but one female at 250 ppm killed at 52 weeks had the
    skin lesions described above.

         The relative weights of the lungs and kidneys were increased in
    both male and female rats at 250 ppm at the end of the study: lung,
    368 mg/100 g bw in controls vs 407 in males at 250 ppm and 426 mg/
    100 g bw vs 482 in females; kidney, 605 mg/100 g bw vs 658 at 250 ppm
    in males and 665 mg/100 g bw vs 717 in females. The absolute weights
    of these organs were not changed; the weights relative to brain weight
    were not available because the brain was not weighed. Most of the
    effects appeared to be due to reductions in total body weight in
    animals at 250 ppm.

         Histological examinations were restricted to the groups at 0 and
    250 ppm groups. Few non-neoplastic histopathological findings were
    considered to be treatment-related. Two male and five female rats had
    skin ulcerations, the etiology of which was not established. Male
    rats, but not females, also had slight proliferation of the bile duct,
    the incidences after 104 weeks being 12/50 in controls, 17/50 animals
    at 2 ppm, 12/50 of those at 10 ppm, 16/50 of those at 50 ppm, and
    23/50 of those at 250 ppm. The incidences of neoplastic lesions were
    not affected by treatment, the numbers of tumour-bearing rats per
    group of 50 being 25 male controls and 11 at 2 ppm, five at 10 ppm,

    eight at 50 ppm, and 15 at 250 ppm, and 31 female controls, 18 at
    2 ppm, 19 at 10 ppm, 23 at 50 ppm, and 23 at 250 ppm. The incidences
    of specific, more frequent tumours were similar in the controls and
    animals at 250 ppm, with mammary carcinomas in 6/44 control females,
    2/49 at 2 ppm, 0/47 at 10 ppm, 5/47 at 50 ppm, and 0/45 at 250 ppm;
    mammary fibroadenomas were found in 2/44 controls, 5/49 at 2 ppm, 3/47
    at 10 ppm, 4/47 at 50 ppm, and 4/45 at 250 ppm. Pituitary adenomas
    were found in 14/39 controls, in 4/39 animals at 2 ppm (in 4/4 masses
    subjected to histological examination), in 12/43 animals at 10 ppm
    (12/12 masses), in 11/41 animals at 50 ppm (11/11 masses), and 6/30
    animals at 250 ppm. The NOAEL was 10 ppm, equal to 0.5 mg/kg bw per
    day in males and 0.6 mg/kg bw per day in females (Bomhard  et al.,
    1987, 1991).

    (d)  Reproductive toxicity

    Rats

         A two-generation study was conducted on groups of 30 male and 30
    female Wistar/HAN rats [strain: Kfm: WIST (SPF)] fed diets containing
    flumethrin (45.6% in Aerosil 200) at concentrations providing
    concentrations of 0, 1, 5, or 50 ppm. The F0 generation received the
    test diet for 84 days before mating and during the mating period,
    gestation, and lactation until day 21 after littering. The F1
    parental generation received the test diet from the age of four to
    seven weeks for 105 days before mating and thereafter over the same
    periods as the F0 generation. No effects of treatment with 1 or 5 ppm
    were discernible in any generation. After treatment with 50 ppm, skin
    lesions developed on male and female animals of the F0 generation and
    on females of the F1 generation. Male rats at this dose showed a
    reduction in food consumption before mating in the F0 generation and
    in all phases of the study in the F1 generation; females had a
    reduced food consumption in the F0 generation in all phases and in
    the F1 generation during the two lactation phases. The body-weight
    development of males of the F0 generation and of males and females of
    the F1 generation was retarded in all phases. The reductions in food
    consumption and body-weight gain were seen as early as the first week
    of dosing before mating.

         Survival in all F1 and F2 generations was lower during the
    first four days after delivery, but the losses up to day 21 after
    delivery were greatest in the F1b, F2a, and F2b generations. In
    addition, the weight gain of the pups of the F1 and F2 generations
    was retarded. A higher incidence of pups with a cramped or bent
    posture, stiff limbs in caudal posture, and/or pectus carinatum was
    seen, with hypothermia, and vocalization was more frequent. These
    observations are probably secondary to the toxic effects on
    the parents. No malformations were found. Investigations of the

    haematological status of the F1 parental animals gave no indication
    of treatment-related changes. The NOAEL was 5 ppm, equal to 0.36 mg/kg
    bw per day for males and 0.40 mg/kg bw per day for females (Dotti  et
     al., 1992).

    (e)  Developmental toxicity

    Rats

         Groups of 28 female Charles River Crl:CD Br rats, 11 weeks old
    when mated, were given flumethrin (purity, 93.5%) formulated as a
    0.4 mg/ml solution in distilled water containing 5% Emulphor EL-719
    and 5% ethanol, orally at doses of 0, 0.5, 1, or 2 mg/kg bw per day on
    days 6-15 of gestation. Day 0 of gestation was defined as the day on
    which spermatozoa were found in the vagina. The rats tolerated the
    dose of 0.5 mg/kg bw per day, but doses > 1 mg/kg bw per day were
    toxic to the dams, the effects including increased salivation and
    lacrimation, reduced activity, ataxia, and ptosis. At 2 mg/kg bw per
    day, there was a reduction in food intake during treatment and a
    reduction in body-weight gain. There was no evidence of teratogenicity
    at any dose and no embryotoxic or fetotoxic effects in animals at 0.5
    or 1 mg/kg bw per day. Animals at 2 mg/kg bw per day had significant
    reductions in placental weights (0.53 g vs 0.48 g in controls) and
    fetal weights (3.8 g vs 3.4 g, sexes combined); they also had an
    increased number of fetuses with reduced ossification of the skull
    bones (42% vs 67%) and cervical vertebral arches (1% vs 16%). The
    NOAEL was 0.5 mg/kg bw per day for maternal toxicity and 1 mg/kg bw
    per day for developmental toxicity (Kowalski  et al., 1987).

    Rabbits

         Groups of 17 American-Dutch rabbits, at least 4.5 months old when
    they were artificially inseminated with semen from proven males,
    received flumethrin (purity, 93.5%) formulated as a 0.4 mg/ml solution
    in distilled water containing 5% Emulphor EL-719 and 5% ethanol orally
    at doses of 0, 0.5, 1.7, or 6 mg/kg bw per day on days 7-19 of
    gestation. The high dose was selected on the basis of a range-finding
    study in pregnant rabbits (source not identified). Dosing at 0.5 or
    1.7 mg/kg bw per day was tolerated with no adverse effects. Animals at
    6 mg/kg bw per day had reduced food intake during treatment and
    reduced body weights; reproductive function was not affected. At
    6 mg/kg bw per day, a slight trend for a reduction in the weights of
    the fetuses, particularly the females, was seen, but this was not
    significant. There was no indication of teratogenic potential. The
    NOAEL was 1.7 mg/kg bw per day (Clemens & Hartnagel, 1987).

    (f)  Genotoxicity

         Flumethrin has been adequately tested for its ability to induce
    point mutations, DNA damage, and clastogenicity (Table 2). An early
    bacterial mutagenesis assay using four strains of  Salmonella
     typhimurium gave equivocal results in several strains and weakly
    positive results in strain TA98, but the latter were not confirmed in
    later experiments. Tests with the isolated  trans-Z-1 and  trans-Z-2
    isomers in  S. typhimurium also gave negative results. A small
    increase in the frequency of chromosomal aberrations was observed in
    Chinese hamster V79 cells 18 h after treatment with flumethrin in
    the presence of an exogenous metabolic system. This effect was not
    observed in an earlier experiment with human lymphocytes, and there
    was no indication of chromosomal aberration induction  in vivo, as
    might be indicated by the results of tests for micronucleus formation
    in bone-marrow cells of mice. In these and all other tests with
    flumethrin, the results were clearly negative. The Meeting concluded
    that flumethrin is not genotoxic.

    (g)  Special studies

    (i)  Dermal and ocular irritation and dermal sensitization

         In tests for ocular and dermal (occluded patch) irritation in New
    Zealand white rabbits, a 1% pour-on formulation of flumethrin produced
    slight erythema of the conjunctivae for up to 48 h after treatment and
    slight oedema of the conjunctivae for up to 24 h after treatment.
    Dermal application induced pronounced reddening and some oedema after
    24 h. These effects had largely resolved by 72 h (Schmidt, 1984a).

         Two pour-on formulations of flumethrin were tested in New Zealand
    white rabbits exposed for 4 h. One formulation was not irritating,
    while the other was slightly irritating to the skin. Exposure for 24 h
    resulted in irritation with both formulations (Pauluhn, 1985a).

         In a test for irritation on the skin and the mucous membrane of
    the eyes of New Zealand white rabbits, flumethrin was applied as a 10%
    formulation in olive oil. No irritation of either skin (4-h exposure)
    or eyes (24-h exposure) was observed (Krötlinger, 1994).

         Flumethrin (purity, 88.3%) was tested for dermal sensitizing
    activity in the Magnusson and Kligman maximization test on male
    Bor:DHPW guinea-pigs. For intradermal induction, flumethrin was
    administered as a 5% solution in PEG 400; for topical induction and
    for challenge, it was administered as a 50% solution in PEG 400. There
    were no post-challenge skin reactions (Diesing, 1991).

        Table 2.  Results of tests for the genotoxicity of flumethrin

                                                                                                                                      

       End-point              Test system           Concentration     Purity              Results                    Reference
                                                                       (%)
                                                                                                              

                                                                                  Without S9        With S9
                                                                                                                                      

    Flumethrin

    Reverse mutation      S. typhimurium TA100     15 625 µg/plate     97.6     Inconclusive     Negative         Herbold (1984)
    Reverse mutation      S. typhimurium TA1535    15 625 µg/plate     97.6     Negative         Inconclusive     Herbold (1984)
    Reverse mutation      S. typhimurium TA1537    15 625 µg/plate     97.6     Inconclusive     Negative         Herbold (1984)
    Reverse mutation      S. typhimurium TA98      15 625 µg/plate     97.6     Inconclusive     Weakly           Herbold (1984)
                                                                                                 positive
    Reverse mutation      S. typhimurium TA100     5000 µg/plate       94.6     Negative         Negativea        Gahlmann (1993a)
    Reverse mutation      S. typhimurium TA1535    5000 µg/plate       94.6     Negative         Negativea        Gahlmann (1993a)
    Reverse mutation      S. typhimurium TA1537    5000 µg/plate       94.6     Negative         Negativea        Gahlmann (1993a)
    Reverse mutation      S. typhimurium TA98      5000 µg/plate       94.6     Negative         Negativea        Gahlmann (1993a)
    Reverse mutation      S. typhimurium TA100     15 000 µg/plate     94.6     Negative         Negative         Gahlmann (1993a)
    Reverse mutation      S. typhimurium TA1535    15 000 µg/plate     94.6     Negative         Negative         Gahlmann (1993a)
    Reverse mutation      S. typhimurium TA1537    15 000 µg/plate     94.6     Negative         Negative         Gahlmann (1993a)
    Reverse mutation      S. typhimurium TA98      15 000 µg/plate     94.6     Negative         Negative         Gahlmann (1993a)
    Reverse mutation      S. cerevisiae D7         10 000 µg/ml        92.7     Negative         Negative         Herbold (1985a)
    Cell mutation, tk     Mouse lymphoma           1000 µg/ml          92.7     Negative         Negative         Cifone & Myhr
    locus                 L5178Y cells                                                                            (1985)
    Cell mutation, hprt   Chinese hamster lung     100 µg/ml           95.1     Inconclusive     Negative         Brendler-Schwaab
    locus                 V79 cells                                                                               (1995)
    Unscheduled DNA       Rat hepatocyte           300 µg/ml           94.6     Negative         Not tested       Brendler-Schwaab
    synthesis             primary culture                                                                         (1994)
    Chromosomal           Chinese hamster lung     125 µg/ml           95.1     Negative         Negative         Herbold (1995a)
    aberration            V79 cells (18- and
                          30-h sampling)
                                                                                                                                      

    Table 2.  (Cont'd)

                                                                                                                                      

       End-point              Test system           Concentration     Purity              Results                    Reference
                                                                       (%)
                                                                                                              

                                                                                  Without S9        With S9
                                                                                                                                     

    Chromosomal           Human lymphocyte         1000 µg/ml          92.7     Negative         Negative         Herbold (1985b)
    aberration            primary culture (24-h
                          sampling)
    Micronucleus          Mouse bone marrow        50 mg/kg bw × 1     93.5     Negative                          Herbold (1986)
    induction             in vivo (24-, 48-, and   orally
                          72-h sampling)
    Micronucleus          Mouse bone marrow        1000 mg/kg × 1      95.1     Negative                          Herbold (1995b)
    induction             in vivo (16-, 24-, and   intraperitoneally
                          48-h sampling)

    Flumethrin-trans-Z-1 isomer

    Reverse mutation      S. typhimurium TA98      15 000 µg/plate     98.3     Negative         Negative         Herbold (1990a)

    Flumethrin-trans-Z-2-isomer

    Reverse mutation      S. typhimurium TA98      15 000 µg/plate     95.4     Negative         Negative         Herbold (1990b)
                                                                                                                                      

    S9, 9000 × g supernatant of liver microsomes used as exogenous metabolic activation system
    a    An additional test in the presence of 30% S9; all bacterial studies include duplicate experiments with 10% S9
             Repetition of this maximization test with another batch of
    flumethrin (purity, 94.6), formulated in the same manner and at the
    same concentrations as above but with an additional 25% concentration
    for challenge, also gave no evidence of any potential for inducing
    skin sensitization (Vohr, 1994).

    (ii)  Neurotoxicity

         Male and female Wistar Bor: WISW rats received flumethrin by
    gavage for 14 days at doses of 20 mg/kg bw for males and 10 mg/kg bw
    for females for the first four days, but due to signs of severe
    toxicity and one death, the doses for the remainder of the study were
    reduced to 10 mg/kg bw for males and 5 mg/kg bw for females. The
    treatment was followed by 31 days of observation. This study was
    conducted because other pyrethroids such as cypermethrin, fenvalerate,
    and permethrin cause slight axonal degeneration, mainly in peripheral
    nerves, at highly toxic doses in rats (WHO, 1989, 1990a,b). Two to
    three hours after the first administration, the rats showed apathy,
    reduced motility, accelerated breathing, salivation, and head
    twitching. Later in the study, spastic gait was also seen, and digging
    and shaking movements replaced the head twitch. The intensity of these
    symptoms had declined only marginally by 24 h. When the doses were
    reduced, the symptoms moderated in some rats. Some symptoms persisted
    for up to two days after the 14-day dosing period, but the surviving
    rats had completely recovered by the end of the observation period.
    Thus, the high doses used caused dysfunction of the nervous
    system, the observable effects of which were fully reversible.
    Histopathological examination of the central and peripheral nervous
    system gave no evidence of neurotoxicity-related morphological damage
    (Flucke & Schilde, 1988).

         Single doses of 0, 10, 31.5, or 100 mg/kg bw flumethrin were
    administered orally to male Bor: WISW rats and Bor: CF1 mice. No
    muscle-relaxant, analgesic, anticonvulsant, or cataleptic effects were
    seen in animals at any dose, using standard pharmacological tests.
    There was no evidence of impairment of central coordination, function,
    reflexes, or neuromuscular transmission in the rats. Flumethrin caused
    moderate stimulation of spontaneous motor activity in mice at all
    doses, and the degree of stimulation was statistically significant
    among animals of 31.5 and 100 mg/kg bw. Orientational activity was
    also inhibited in these animals. Those at 100 mg/kg bw showed slight
    potentiation of the duration and depth of hexobarbital-induced
    anaesthesia (Starke, 1985).

    (iii)  Anti-allergic and pseudo-allergic activity

         Histamine release in rat peritoneal mast cells sensitized
    passively by exposure to immunoglobulin E from mouse serum was not
    affected by concentrations of 0, 10-7, 10-6, or 10-5 g/ml flumethrin
    (Gardiner  et al., 1985).

    (iv)  Bronchial activity

         Flumethrin at concentrations of 10-9 to 10-5 g/ml had no effect
    on leukotrine D4- or histamine-induced contraction in isolated
    guinea-pig tracheas (Gardiner  et al., 1985).

    (v)  Effect on concentration of glucose and triglycerides in blood

         Single doses of 0, 10, 32, or 100 mg/kg bw flumethrin were
    administered orally to fasting and fed rats. The concentrations of
    glucose in the blood of fed animals at all doses and of fasted
    animals at the lowest and highest dose were slightly (24-64%) but
    significantly increased for dose-related times of 60-240 min. There
    was no effect on the triglyceride concentration. As marked variations
    in the blood glucose concentration are seen even under physiological
    conditions, these increases are not considered to be of particular
    relevance (Puls & Bischoff, 1985).

    (vi)  Effects on gastrointestinal tract of rats

         Single doses of 0, 10, 30, or 100 mg/kg bw flumethrin were
    administered orally to rats. At the highest dose, a statistically
    significant increase in intestinal transit time was seen in the
    charcoal propulsion test. No gastric lesions were observed at autopsy.
    Intraduodenal administration of 10, 30, or 100 mg/kg bw caused a
    slight, non-significant, not dose-related reduction in acid secretion
    in the perfused stomach (to 79, 58, and 75%, respectively, of the
    control level) (Bonabello  et al., 1987).

    (vii)  Haematological and cardiovascular effects

         Single doses of 0, 10, 32, or 100 mg/kg bw flumethrin were
    administered orally to rats, and blood samples were taken 90 min
    later. Neither coagulation, platelet aggregation, nor fibrinolysis was
    affected (Seuter  et al., 1985).

         Flumethrin at doses of 10, 32, or 100 mg/kg bw administered
    orally to anaesthetized dogs induced slight increases in heart rate,
    unrelated to dose, in one of three animals at 10 and 100 mg/kg bw.
    These increases were not considered to be related to treatment (Knorr,
    1986).

    (viii)  Diuretic activity

         Flumethrin at doses of 0, 10, 32, or 100 mg/kg bw was administered
    orally to rats, and urine was collected over 6 h to determine sodium
    and potassium concentrations. Clinical signs including increased
    salivation and reduced motor activity were seen in a few treated
    animals. None of the doses changed urine output or sodium excretion.
    Potassium excretion was significantly increased by the 10 and 100 mg/kg
    bw doses but not by 32 mg/kg bw. The variations were not considered to
    be treatment-related (Hirth, 1985).

    (ix)  Toxicity of metabolites: Flumethrin acid

         Flumethrin acid is the major metabolite of flumethrin in rats and
    cattle. The oral LD50 of flumethrin acid in fasted rats was 935 mg/kg
    bw (95% confidence interval [CI], 549-1594) in males and 620 mg/kg bw
    (95% CI, 500-771) in females. The principal clinical signs were
    piloerection, lethargy, reduced motor activity, staggering gait,
    animals lying prone or on their side, atonia, and slow and laboured
    breathing. After dermal application of 5000 mg/kg bw, none of the
    animals died. The only clinical signs were lethargy and reduced motor
    activity. Small lesions and slight hyperaemia were observed at the
    application site. Exposure of male and female rats to 338 mg/m3 by
    inhalation, the highest concentration of flumethrin acid that it was
    technically feasible to generate, for 4 h was well tolerated, and no
    clinical signs of toxicity were observed (Pauluhn, 1985b).

         When rats were observed for possible effects on the central
    nervous system, by measuring the angle at which they slip from a plane
    before and at various times from 1 to 24 h after treatment with 0, 1,
    3, or 10 mg/kg bw flumethrin, no treatment-related reduction in the
    angle was observed (Bomann, 1995a). In tests for dermal and ocular
    irritancy in rabbits, flumethrin acid had no effect (Pauluhn, 1985b).

         In a test for reverse mutation in  S. typhimurium TA98, flumethrin
    acid showed no activity (Herbold, 1984a).

         In a four-week study in which Wistar rats were given dietary
    concentrations of 0, 30, 100, or 300 ppm flumethrin acid, no clinical
    signs of toxicity or effects on food consumption or body-weight
    development were seen. There was no evidence of treatment-related
    changes in haematological, clinicochemical, or necroscopic findings.
    No treatment-related histological changes were observed. The NOAEL was
    thus 300 ppm, equivalent to 27 mg/kg bw, the highest dose tested
    (Bomann, 1995b).

    3.  Observations in humans

         No reported cases of systemic poisoning with flumethrin in humans
    were available to the Meeting. There are, however, published reports
    of cases of poisoning with other pyrethroids. In a review of 573
    cases of poisoning with other alpha-cyano pyrethroids (delamethrin,
    fenvalerate, and cypermethrin), poisoning was due to either incorrect
    occupational use of the product, attempted suicide, or accidents. In
    cases in which the product had come into contact with the skin, the
    presentation comprised a burning sensation on the face, tingling,
    papules, and dermatitis. In cases of mild poisoning, there was also
    dizziness, headache, nausea, anorexia, and weakness. In cases of
    moderate poisoning, the signs and symptoms were more intense, and
    there were states of reduced consciousness and muscle twitching in
    the extremities. Seven deaths are listed; two are attributable to
    misdiagnosis and inappropriate treatment. Most patients recovered
    within six days. In the more severe cases, recovery took up to 55
    days. Treatment consisted of symptomatic and supportive measures.
    There were no delayed complications (He  et al., 1989). There is no
    basis for considering that flumethrin would act differently from the
    compounds studied.

    Comments

         Flumethrin was absorbed rapidly, but not completely, after oral
    administration in all species investigated. The concentrations in the
    tissues of rats two days after dosing were three- to 50-fold lower
    than those in the blood; the lung contained higher concentrations
    than other tissues, and the central nervous system had the lowest
    concentrations. Excretion occurred primarily in the faeces. The main
    metabolite was flumethrin acid, which was distinctly less toxic than
    the parent substance in acute and four-week dietary studies in rats
    and did not induce reverse mutation in bacteria.

         The acute oral toxicity of flumethrin in laboratory animals is
    moderate to low. The reported manifestations of its toxicity are
    largely consistent with those known collectively as the choreoathetosis
    with salivation (CS) syndrome, which is produced by other insecticidal
    pyrethroids containing an alpha-cyano-3-phenoxybenzyl alcohol group.
    After acute dermal application, the toxicity of flumethrin was low; the
    clinical signs were the same as those seen after oral administration.
    There was no evidence of acute toxicity after dermal application of
    5 ml/kg bw of a 1% pour-on formulation. In tests for dermal and ocular
    irritancy, the active substance proved not to be irritating. In tests
    for local irritancy with the 1% pour-on formulation, slight, transient
    skin changes (mainly barely perceptible erythema and/or swelling) were
    seen, but no changes in the mucous membrane of the eye, were observed.
    WHO has not classified flumethrin for acute toxicity.

         After oral administration of flumethrin for three months to rats
    at dietary concentrations of 0, 10, 40, or 160 ppm and to dogs at
    dietary concentrations of 0, 25, 50, 100, or 200 ppm, the NOAELs were
    10 ppm (equal to 0.7 mg/kg bw per day) for rats and 25 ppm (equal to
    0.88 mg/kg bw per day) for dogs. In both species, the most obvious
    findings were skin alterations, but these were not due to primary
    dermatitis caused by flumethrin but to frequent scratching, with
    attendant bleeding and, in some instances, inflammation. Alpha-cyano
    pyrethroids are known to produce paraesthesia, which is considered
    to be the most probable cause of the observed skin lesions. The
    toxicological studies provided no evidence of immunotoxicity, e.g.
    effects on leukocyte counts or on other relevant organs (thymus and
    spleen).

         The results of studies of developmental toxicity in rats at doses
    of 0, 0.5, 1, or 2 mg/kg bw per day on days 6-15 of gestation and
    rabbits at doses of 0, 0.5, 1.7, or 6 mg/kg bw per day on days 7-19 of
    gestation provided no evidence that flumethrin is teratogenic at doses
    extending into the range that is toxic to the dams. Some fetotoxicity
    was observed at doses that also induced maternal toxicity in both
    species. The NOAELs were 0.5 mg/kg bw per day for rats and 1.7 mg/kg
    bw per day for rabbits.

         A two-generation study of reproductive toxicity in rats exposed
    to flumethrin at dietary concentrations of 0, 1, 5, or 50 ppm did not
    indicate primary reproductive toxicity; the reduced pup survival and
    body-weight gain and certain postural and behavioural changes in the
    pups at the highest dose may have been secondary to maternal toxicity.
    The NOAEL was 5 ppm, equal to 0.36 mg/kg bw per day.

         No studies of long-term toxicity or carcinogenicity have been
    conducted with the currently used isomeric mixture of flumethrin.
    A two-year study was available, however, in which rats were fed
    diets providing flumethrin with a low  trans-Z content at dietary
    concentrations of 0, 2, 10, 50, or 250 ppm. Skin lesions developed in
    rats at 50 and 250 ppm, and there was slight proliferation of the bile
    ducts in male rats at 250 ppm. Neither the number of tumour-bearing
    rats nor the incidence of any specific neoplasm was increased.
    The Meeting considered the following toxicological findings:
    (i) Flumethrin with a low  trans-Z content has no carcinogenic
    potential. (ii) Other pyrethroids, such as cyhalothrin (WHO, 1990a),
    cypermethrin (WHO, 1989a), fenvalerate (WHO, 1990d), and the related
    resmethrins (WHO, 1989b) also have no carcinogenic potential.
    (iii) Treatment with permethrin (WHO, 1990b) resulted in small
    increases in the incidence of lung tumours in female mice in three
    studies, but no increases were found in either rats or male mice.
    (iv) Treatment with deltamethrin was associated with unspecified
    thyroid adenomas in rats in one study, but no tumours were induced
    in mice or in either species in other studies (WHO, 1990c).
    (v) Flumethrin had no genotoxic potential in a number of well-conducted
    tests covering a variety of end-points. (vi) Flumethrin showed no
    sensitizing potential. (vii) No preneoplastic responses were seen in
    studies of up to 13 weeks in duration. The Meeting considered that the
    carcinogenic potential of the  trans-Z isomers that are present in the
    currently used isomeric mixture of flumethrin had been assessed in the
    study in rats in which the low  trans-Z product was tested.

         Oral administration of highly toxic doses of flumethrin to rats
    can cause dysfunction of the nervous system, but the effect is rapidly
    reversible and is not accompanied by morphological damage to the
    central or peripheral nervous system.

         Pharmacological tests in experimental animals gave no evidence of
    impairment of vital functions. Studies to establish the tolerance of
    calves and cattle to flumethrin showed no significant effects, even
    when animals licked the application site.

         An ADI of 0-0.004 mg/kg bw was allocated, on the basis of the
    NOAEL of 0.36 mg/kg bw per day in the two-generation study of
    reproductive toxicity in rats, using a 100-fold safety factor.

    Toxicological evaluation

    Levels that cause no toxic effect

         Rat:      10 ppm, equal to 0.7 mg/kg bw per day (13- and 15-week
                   studies of toxicity)

                   5 ppm, equal to 0.36 mg/kg bw per day (two-generation
                   study of reproductive toxicity)

                   0.5 mg/kg bw per day (maternal toxicity in a study of
                   developmental toxicity)

         Rabbit:   1.7 mg/kg bw per day (maternal and fetal toxicity in a
                   study of developmental toxicity)

         Dog:      25 ppm, equal to 0.88 mg/kg bw per day (13-week study
                   of toxicity)

    Estimate of acceptable daily intake for humans

         0-0.004 mg/kg bw

    Studies that would provide information useful for continued evaluation
    of the compound

         Results of any studies that are planned or in progress in
         rodents, dogs, or exposed human subjects

        Toxicological criteria for estimating guidance values for dietary and non-dietary exposure to flumethrin

                                                                                                                                      

          Exposure                  Relevant route, study type, species                        Results, remarks
                                                                                                                                      

    Short-term (1-7 days)       Oral, toxicity, rat                              LD50 = 41-3849 mg/kg bw, depending on the vehicle
                                Dermal, toxicity, rat                            LD50 > 2000 mg/kg bw
                                Inhalation, toxicity, rat                        LC50 = 225 mg/m3
                                Dermal, irritation, rabbit                       Not irritating
                                Ocular, irritation, rabbit                       Not irritating
                                Dermal, sensitization, guinea-pig                Not sensitizing

    Medium-term (1-26 weeks)    Repeated oral, 15 weeks, toxicity, rat           NOAEL = 0.7 mg/kg bw per day
                                Repeated oral, 13 weeks, toxicity, dog           NOAEL = 0.88 mg/kg bw per day
                                Repeated oral, reproductive toxicity, rat        NOAEL = 0.36 mg/kg bw per day, reduced body-weight
                                                                                 gain of adults
                                Repeated oral, developmental toxicity, rat       NOAEL = 1 mg/kg bw per day, developmental toxicity
                                Repeated oral, developmental toxicity, rabbit    NOAEL = 1.7 mg/kg bw per day, maternal and
                                                                                 developmental toxicity

    Long-term (> 1 year)        Repeated oral, 2 years, toxicity and             NOAEL = 0.5 mg/kg bw per day, skin lesions;
                                carcinogenicity, rat                             no carcinogenicity
                                                                                                                                      
        References

    Anadón, A., Diez, M.J., Sierra, M., Sanchez, J.A. & Teran, M.T. (1988)
    Microsomal enzyme induction by permethrin in rats.  Vet. Hum. Toxicol.,
    30, 309-312.

    Anadón, A., Martinez-Larrańaga, M.R., Fernandez, M.C., Dķaz, M.J.
    & Bringas, P. (1990) Effect of ciprofloxacin on antipyrine
    pharmacokinetics and metabolism in rats.  Antimicrob. Agents Chemother.
    34, 2148-2151.

    Anadón, A., Martinez-Larrańaga, M.R., Dķaz, M.J., Bringas, P.,
    Fernandez, M.C., Martinez, M.A. & Fernandez-Cruz, M.L. (1995) Effects
    of flumethrin on hepatic drug-metabolizing enzymes and antipyrine
    disposition in rats.  Toxicol. Appl. Pharmacol., 132, 14-18.

    Bomann, W. (1992a) Bay Vq 1950 (Flumethrin). Investigations of acute
    oral toxicity in rats. Report No. 20924, 7.1.1992. Submitted to WHO by
    Bayer AG, Leverkusen, Germany.

    Bomann, W. (1992b) Bayticol EC 6% (c.n.: Flumethrin). Investigations
    of acute oral toxicity in rats. Report No. 20922, 7.1.1992. Submitted
    to WHO by Bayer AG, Leverkusen, Germany.

    Bomann, W. (1992c) Bayticol EC 6% Bayticol EC6% (c.n.: Flumethrin).
    Investigations of acute oral toxicity in rats. Report No. 20923,
    7.1.1992. Submitted to WHO by Bayer AG, Leverkusen, Germany.

    Bomann, W. (1992d) Bayvarol-Strips (c.n.: Flumethrin). Untersuchungen
    zur akuten oralen Toxizität an Ratten. Ber. No. 21093, 17.2.1992.
    Submitted to WHO by Bayer AG, Leverkusen, Germany.

    Bomann, W. (1992e) Bayvarol-Strips (c.n.: Flumethrin). Untersuch-
    ungenzur akuten dermalen Toxizität an Ratten. Ber. No. 21094,
    17.2.1992. Submitted to WHO by Bayer AG, Leverkusen, Germany.

    Bomann, W. (1994a) Bayticol P (c.n.: Flumethrin). Study for acute oral
    toxicity in rats. Report No. 23422, 19.10.1994. Submitted to WHO by
    Bayer AG, Leverkusen, Germany.

    Bomann, W. (1994b) Bayticol P (c.n.: Flumethrin). Study for acute
    dermal toxicity in rats. Report No. 23421, 19.10.1994. Submitted to
    WHO by Bayer AG, Leverkusen, Germany.

    Bomann, W. (1994c) Bayticol P (c.n.: Flumethrin). Study for acute oral
    toxicity of Bayticol P formulated in water/Cremophor EL and in milk in
    female rats. Report No. 23493, 23.11.1994. Submitted to WHO by Bayer
    AG, Leverkusen, Germany.

    Bomann, W. (1995a) Bayticol acid (Bayticolsäure). Study for acute oral
    toxicity in Wistar rats. Report No. 23863, 22.3.1995. Submitted to WHO
    by Bayer AG, Leverkusen, Germany.

    Bomann, W. (1995b) Bayticol acid (Bayticolsäure). Investigations of
    subacute toxicity in Wistar rats (feeding study over 4 weeks). Report
    No. 24057, 7.6.1995. Submitted to WHO by Bayer AG, Leverkusen,
    Germany.

    Bomann, W. & Sander, E. (1995) Bayticol P (c.n.: Flumethrin).
    Investigations or subchronic toxicity in Wistar rats (feeding study
    over 15 weeks). Report No. 23925, 11.4.1995. Submitted to WHO by Bayer
    AG, Leverkusen, Germany.

    Bomhard, E., Ramm, W. & Rühl-Fehlert, C. (1987) Flumethrin (BAY V1
    6045) Studies on the chronic toxicity and carcinogenicity in Wistar
    rats. Report No. 16245, 25.11.1987. Submitted to WHO by Bayer, AG,
    Leverkusen, Germany.

    Bomhard, E., Ramm, W. & Rühl-Fehlert, C. (1991) Flumethrin (BAY V1
    6045) Studies on the chronic toxicity and carcinogenicity in Wistar
    rats. Amendment. Report No. 16245a, 24.5.1991. Submitted to WHO by
    Bayer, AG, Leverkusen, Germany.

    Bonabello, A. & Grassi, A. (1987) Safety pharmacology of Bay Vq 1950
    in the gastrointestinal tract: Its effect on intestinal charcoal
    transit, on gastric tolerability and on basal gastric acid secretion
    in rats. Berich No. 4137 (P), 23.7.1987. Submitted to WHO by Bayer,
    AG, Leverkusen, Germany.

    Brendler-Schwaab, S. (1994) Evaluation of Bayticol P in the rat
    primary hepatocyte unscheduled DNA synthesis assay. Report No. 23461,
    8.11.1994. Submitted to WHO by Bayer AG, Leverkusen, Germany.

    Brendler-Schwaab, S. (1995) Flumethrin. Mutagenicity study for the
    detection of induced forward mutation in the V79-HPRT assay  in
     vitro. Report No. 24162, 14.7.1995. Submitted to WHO by Bayer AG,
    Leverkusen, Germany.

    Cabral, J.R.P., Galendo, D., Laval, M. & Lyandrat, N. (1990)
    Carcinogenicity studies with deltamethrin in mice and rats.  Cancer
     Lett., 49, 147-152.

    Cameron, B. (1986) Bayticol, Bay Vq 1950. The pharmacokinetics and
    tissue residues of [14C]-Bayticol in the lactating cow following
    topical administration. Report No. 4108. Unpublished report from
    Inveresk Research International Ltd, Musselburgh, Scotland. Submitted
    to WHO by Bayer AG, Leverkusen, Germany.

    Carlson, G.P. & Shoening, G.P. (1980) Induction of liver microsomal
    NADPH cytochrome c reductase and cytochrome P450 by some new synthetic
    pyrethroids.  Toxicol. Appl. Pharmacol., 52, 507-512.

    Cifone, M.A. & Myhr, B.C. (1985) Mutagenicity evaluation of Bay Vq
    1950 in the mouse lymphoma forward mutation assay. Pharma-Bericht No.
    3170 (P). Unpublished report from Litton Bionetics, Inc., Kensington,
    MD, USA. Submitted to WHO by Bayer AG, Leverkusen, Germany.

    Clemens, G.R. & Hartnagel, R.E. (1987) A teratology study in the
    rabbit with Bay Vq 1950 (Bayticol-P). Report No. MTD 0021. Unpublished
    report from Miles Laboratories, Inc., Elkhart, IN, USA. Submitted to
    WHO by Bayer AG, Leverkusen, Germany.

    Diesing, L. (1991) Bayticol. Investigations of the skin-sensitizing
    action in the guinea pig (maximization test after Magnusson & Ligman).
    Report No. 20542. Submitted to WHO by Bayer AG, Leverkusen, Germany.

    Dorn, H. (1989a) To assess the safety of Bayticol pour on after dermal
    application in cattle. Report No. 89/13401. Submitted to WHO by Bayer,
    AG, Leverkusen, Germany.

    Dorn, H. (1989b) To assess the safety of Bayticol pour on after dermal
    application in cattle. Report No. 89/13395. Submitted to WHO by Bayer,
    AG, Leverkusen, Germany.

    Dorn, H. (1989c) To assess the tolerance of Bayticol pour on 1% in
    pregnant cows. Report No. 89/13394. Submitted to WHO by Bayer, AG,
    Leverkusen, Germany.

    Dotti, A., Kinder, J., Biedermann, K., Luetkemeier, H., Wright, J. &
    Terrier, C. (1992) Bay Vq 1950. Multiple generation reproduction study
    in rats. Report No. R 5500. Unpublished report from Research and
    Consulting Co., Itingen, Switzerland. Submitted to WHO by Bayer, AG,
    Leverkusen, Germany.

    Ecker, W. (1983) Biotransformation von [fluorbenzoiring-U-14C] Bay V1
    6045 bei der Ratte. Unpublished Bayer AG Report No. 83/11072 (11545).
    Submitted to WHO by Bayer, AG, Leverkusen, Germany.

    Flucke, W. & Schilde, B. (1988) Bay Vq 1950 (c.n.: Flumethrin).
    Studies of the neurotoxic effects on the peripheral and central
    nervous system of rats following subacute oral administration. Report
    No. 16983. Submitted to WHO by Bayer, AG, Leverkusen, Germany.

    Gahlmann, R. (1993a) Flumethrin.  Salmonella/Mikrosome test. Special
    study. Report No. 22613. Submitted to WHO by Bayer AG, Leverkusen,
    Germany.

    Gahlmann, R. (1993b) Flumethrin.  w/Mikrosome test. Special study.
    Report No. 22614. Submitted to WHO by Bayer AG, Leverkusen, Germany.

    Gardiner, P.J., Hammond, M.D. & Francis, D.L. (1985) BAY Vq 1950:
    General/Safety respiratory pharmacology: I. Anti-allergic and
    pseudo-allergic activity in rat peritoneal mast cells. II. Evaluation
    of bronchoactivity in the guinea-pig isolated trachea. Report No. 3555
    (P). Submitted to WHO by Bayer AG, Leverkusen, Germany.

    Hahnemann, S. & Rühl, C.H. (1985) Bay Vq 1950 (BAY V1 6045p).
    Subchronic toxicological investigations in rats. Feeding study over 13
    weeks. Report No. 13658 (E). Submitted to WHO by Bayer AG, Leverkusen,
    Germany.

    He, F., Wang, S., Liu, L., Chen, S., Zhang, Z. & Sun, J. (1989)
    Clinical manifestation and diagnosis of acute pyrethroid poisoning.
     Arch. Toxicol., 63, 54-58.

    Herbold, B. (1984) Bay Vq 1950.  Salmonella/microsome test to evaluate
    for point-mutagenic effects. Report No. 12904 (F), 30.8.1984. Submitted
    to WHO by Bayer AG, Leverkusen, Germany.

    Herbold, B. (1985a) Bay Vq 1950. Test for point-mutagenic effects on
     S. cerevisiae D7. Report No. 13737 (P). Submitted to WHO by Bayer
    AG, Leverkusen, Germany.

    Herbold, B. (1985b) BAY Vq 1950. Cytogenetic investigations in human
    lymphocyte cultures  in vitro to check for chromosome damaging
    activity  (in vitro). Report No. 13167 (F). Submitted to WHO by Bayer
    AG, Leverkusen, Germany.

    Herbold, B. (1986) Bayticol P. Micronucleus test in mice to evaluate
    for clastogenic activity. Report No. 14501. Submitted to WHO by Bayer
    AG, Leverkusen, Germany.

    Herbold, B. (1990a) Flumethrin- trans-Z-1-isomer.  Salmonella/microsome
    test using  Salmonella TA98. Report No. 19573. Submitted to WHO by Bayer
    AG, Leverkusen, Germany.

    Herbold, B. (1990b) Flumethrin- trans-Z-2-isomer.  Salmonella/microsome
    test using  Salmonella TA 98. Report No. 19572. Submitted to WHO by Bayer
    AG, Leverkusen, Germany.

    Herbold, B. (1995a) Flumethrin. In vitro mammalian chromosome
    aberration test with Chinese hamster V79 cells. Report No. 24524.
    Submitted to WHO by Bayer AG, Leverkusen, Germany.

    Herbold, B. (1995b) Flumethrin. Micronucleus test on the mouse. Report
    No. 23869. Submitted to WHO by Bayer AG, Leverkusen, Germany.

    Hirth, C. (1985) Bay Vq 1950. Study of diuretic activity in rats.
    Report No. 14092. Submitted to WHO by Bayer AG, Leverkusen, Germany.

    Hoffmann, K. & Kaliner, G. (1984) Bay Vq 1950. Subchronic toxicity
    study in dogs with oral administration (13 weeks feeding study).
    Report No. 13155. Submitted to WHO by Bayer AG, Leverkusen, Germany.

    Hoffmann, K. (1985) Bay Vq 1950. Subchronic toxicity study in dogs
    with oral administration/supplementary study (13 weeks feeding study).
    Report No. 13169. Submitted to WHO by Bayer AG, Leverkusen, Germany.

    Iida, M., Akagi, H. & Hashizume, M. (1988) Study on safety of Bayticol
    pour-on in calves. Rep. No. 89/13245. Submitted to WHO by Bayer AG,
    Leverkusen, Germany.

    Kaneko, H., Ohkawa, H. & Miyamoto, J. (1981) Comparative metabolism of
    fenvalerate and the [2S, alpha S]-isomer in rats and mice.  J. Pestic.
     Sci., 6, 317-326.

    Klein, O. (1993a) [Cl-Phenyl-U-14C] Flumethrin: Investigation of the
    biokinetic behaviour and the metabolism in the rat. Bericht No.,
    PF-3823, ME-16/93, KNO 58. Submitted to WHO by Bayer AG, Leverkusen,
    Germany.

    Klein, O. (1993b) [Cl-Phenyl-U-14C] Flumethrin: Investigations on the
    distribution of the total radioactivity in the rat. Projekt-No.
    M1840667. Report in preparation, 1995. Submitted to WHO by Bayer AG,
    Leverkusen, Germany.

    Klein, O. (1995) Metabolism of [14C]-Bayticol in the dairy cow and
    male beef cattle. Project No. M1840667-2. Report No. MR 323/95 KNO68.
    Submitted to WHO by Bayer AG, Leverkusen, Germany.

    Knorr, A. (1986) Influence on hemodynamics and cardiac contractility
    of anesthesized dogs after oral administration. Pharma-Bericht No.
    Submitted to WHO by Bayer AG, Leverkusen, Germany.

    Kowalski, R.L., Clemens, G.R. & Hartnagel, R.E. (1987) A teratology
    study with Bayticol-P (Flumethrin = Bay Vq 1950) in the rat. R-Bericht
    No. 3960. Unpublished report from Miles Laboratories, Inc., Elkhart,
    IN, USA. Submitted to WHO by Bayer, AG, Leverkusen, Germany.

    Krötlinger, F. (1994) Bayticol P. Study for skin and eye irritation/
    corrosion in rabbits. Ber-No. 23559. Submitted to WHO by Bayer AG,
    Leverkusen, Germany.

    Pauluhn, J. (1985a) Bayticol P pour on 1%. Study on the irritancy/
    corrosion potential on rabbit skin. Report No. 14033. Submitted to WHO
    by Bayer AG, Leverkusen, Germany.

    Pauluhn, J. (1985b) Bayticol-P-Säure. Untersuchungen zur Gewer-
    betoxikologie. Ber-No. 13643. Submitted to WHO by Bayer AG, Leverkusen,
    Germany.

    Puls, W. & Bischoff, H. (1985) Bay Vq 1950. Influence of orally
    administered Bay Vq 1950 on the blood glucose and serum triglyceride
    concentrations in fed rats and fasted rats. Report No. 14366.
    Submitted to WHO by Bayer AG, Leverkusen, Germany.

    Renhof, M. (1983a) Bay Vq 1950 in peanut oil and miglyol. Acute oral
    toxicity in the rat. Report No. 12047 (P). Submitted to WHO by Bayer
    AG, Leverkusen, Germany.

    Renhof, M. (1983b) Bay Vq 1950 in acetone/peanut oil 1:10. Acute oral
    toxicity in the rat. Report No. 12048 (P). Submitted to WHO by Bayer
    AG, Leverkusen, Germany.

    Schmidt, M. (1984a) Bay Vq 1950 pour on 1%. Acute toxicity in the rat
    and the mouse. Study of primary irritant/corrosive activity on rabbit
    skin and eye. Report No. 12761 (P). Submitted to WHO by Bayer AG,
    Leverkusen, Germany.

    Schmidt, M. (1984b) Bay Vq 1950 pour on 1%. Acute toxicity in the rat
    and mouse after intraperitoneal application. Report No. 12760 (P).
    Submitted to WHO by Bayer AG, Leverkusen, Germany.

    Seuter, F. & Perzborn, E. (1985) Blood-pharmacological investigations.
    Report No. 14213. Submitted to WHO by Bayer AG, Leverkusen, Germany.

    Starke, B. (1985) CNS safety pharmacology study with Bay Vq 1950
    (Bayticol P) on oral administration. Pharma-Bericht No. 3541.
    Submitted to WHO by Bayer AG, Leverkusen, Germany.

    Steinke, W., Weber, H. & Suwelack, D. (1983) [14C] BAY V1 6045:
    Pharmakokinetik in Ratten. PH-Report No. 11941. Submitted to WHO by
    Bayer AG, Leverkusen, Germany.

    Thyssen, J. (1982) Bayticol EC 7.5%. Investigation into the acute
    toxicity on inhalation. Report No. 10946. Submitted to WHO by Bayer
    AG, Leverkusen, Germany.

    Vijversberg, H.P.M. & Van den Bercken, J. (1982) Action of pyrethroid
    insecticides on the vertebrae nervous system.  Neuropathol. Appl.
     Neurobiol., 8, 421-440

    Vohr, H.-W. (1994) Bayticol P. Investigations of skin sensitization in
    guinea pigs (Magnusson & Kligman test). Report No. 23026. Submitted to
    WHO by Bayer AG, Leverkusen, Germany.

    WHO (1989a)  Cypermethrin (Environmental Health Criteria 82),
    International Programme on Chemical Safety, Geneva, 154 pp.

    WHO (1989b)  Resmethrins (Environmental Health Criteria 92),
    International Programme on Chemical Safety, Geneva, 79 pp.

    WHO (1990a)  Cyhalothrin (Environmental Health Criteria 99),
    International Programme on Chemical Safety, Geneva, 106 pp.

    WHO (1990b)  Deltamethrin (Environmental Health Criteria 97),
    International Programme on Chemical Safety, Geneva, 133 pp.

    WHO (1990c)  Fenvalerate (Environmental Health Criteria 95),
    International Programme on Chemical Safety, Geneva, 121 pp.

    WHO (1990d)  Permethrin (Environmental Health Criteria 94),
    International Programme on Chemical Safety, Geneva, 125 pp.
    


    See Also:
       Toxicological Abbreviations
       Flumethrin (UKPID)