IPCS INCHEM Home

    CARBOFURAN

    First draft prepared by
    E. Bosshard
    Wetttswil, Switzerland1

    Explanation
    Evaluation for acceptable daily intake
       Biochemical aspects: Absorption, distribution, and excretion
       Toxicological studies
          Acute toxicity
          Short-term toxicity
          Long-term toxicity and carcinogenicity
          Reproductive toxicity
          Developmental toxicity
          Genotoxicity
          Special studies
             Dermal sensitization
             Neurotoxicity
             Inhibition of cholinesterase activity
       Observations in humans
    Comments
    Toxicological evaluation
    References

    Explanation

         Carbofuran was evaluated for the first time by the JMPR in 1976
    (Annex 1, reference 26), when a temporary ADI of 0-0.003 mg/kg bw was
    established on the basis of a NOAEL of 10 ppm (equivalent to 0.5 mg/kg
    bw per day) for reproductive parameters in a three-generation study in
    rats conducted by Industrial Biotest Laboratories. The Meeting
    expressed concern about the lack of appropriate data on reversible
    cholinesterase depression in the dietary studies and the apparent
    sensitivity of brain rather than erythrocyte or plasma cholinesterase.
    A safety factor of 200 was used to establish the temporary ADI. The
    1976 JMPR requested short-term studies in rodents in order to define
    the dose that causes brain acetylcholinesterase depression  in vivo.
    Furthermore, comparative biochemical studies on cholinesterase
    inhibition were considered to be desirable to compare the sensitivity
    of juveniles and adults. The Meeting also considered that further
    studies of reproductive toxicity would be desirable in order to define
    the highest NOAEL. Carbofuran was re-evaluated by the JMPR in 1979
    (Annex 1, reference 32), when the preliminary results of a long-term
    study in rats were reviewed with respect to inhibition of brain
    acetylcholinesterase activity. The Meeting was informed that several
    toxicological studies were in progress; therefore, the temporary ADI

              

    1  Until end 1995, at the Federal Office of Public Health

    of 0-0.003 mg/kg bw was extended. The 1979 JMPR requested submission
    of long-term feeding studies in appropriate species and further
    studies of reproductive and developmental toxicity. The compound was
    re-evaluated by the JMPR in 1980 (Annex 1, reference 34), which
    established an ADI of 0-0.01 mg/kg bw on the basis of a NOAEL of
    20 ppm (equivalent to 1 mg/kg bw per day) for growth reduction and
    cholinesterase inhibition in a long-term study in rats. In 1982, the
    JMPR noted (Annex 1, reference 38) that, although the 1976 evaluation
    was based on data from the Industrial Biotest Laboratories, the 1979
    and 1980 Joint Meetings had reviewed studies from other sources.
    Therefore, the 1982 JMPR endorsed the conclusion of the 1980 JMPR and
    supported the ADI of 0-0.01 mg/kg bw.

         Carbofuran was evaluated by the present Meeting within the CCPR
    periodic review programme. This monograph includes relevant data from
    the previous monographs (Annex 1, references 27, 33, and 35) and
    summarizes those that have become available in the meantime, from
    sources other than Industrial Biotest Laboratories. The results of
    Industrial Biotest Laboratories studies are included in a few cases in
    which an independent audit validation report was available.

    Evaluation for acceptable daily intake

    1.  Biochemical aspects: Absorption, distribution, and excretion

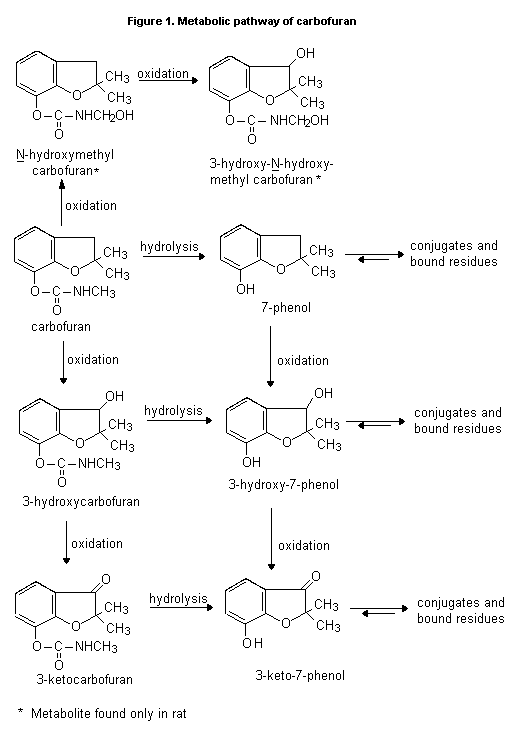
         In a study first evaluated by the 1976 JMPR (Annex 1, reference
    26), male Swiss white mice given an oral dose of 2 mg/kg bw of
    3H-labelled carbofuran eliminated 37-67% of the dose in the urine
    within the first 24 h. The main metabolic pathway starts with
    hydroxylation, to give 3-hydroxycarbofuran, and continues with
    oxidation, resulting in the formation of 3-ketocarbofuran. Breakage
    of the carbamate ester linkage results in liberation of phenolic
    derivatives and their corresponding conjugates, principally glycosides
    (Metcalf  et al., 1968; Fukuto & Metcalf, 1969).

         In a study first evaluated by the 1976 JMPR (Annex 1, reference
    26), rats were given either 0.4 mg/kg bw [14C-carbonyl]-carbofuran or
    4 mg/kg bw [14C-phenyl ring]carbofuran. Measurement of 14C-carbon
    dioxide expired by the rats treated with [14C-carbonyl]carbofuran
    indicated that about 45% of the administered dose was hydrolysed
    within 32 h; total urinary excretion amounted to 38% and faecal
    excretion to about 4% of the dose. After administration of the
    ring-labelled compound, total urinary excretion was about 92% and
    faecal excretion was 3% of the dose. Most of the radiolabel was
    eliminated within the first 24 h after treatment, indicating rapid
    oxidative cleavage of the ester linkage and rapid elimination.
    Analysis of metabolites in urine showed that 3-hydroxycarbofuran,
    3-keto-carbofuran phenol, 3-hydroxy- N-hydroxymethylcarbofuran,
    3-hydroxymethylcarbofuran, and carbofuran phenol were the major
    metabolites.  In vitro in rat liver homogenates, the main metabolites
    were 3-hydroxycarbofuran and carbofuran phenol derivatives, indicating
    that the metabolism  in vivo follows the same general pattern
    observed  in vitro. In a further group of rats given a single oral
    dose of 1 mg/kg bw, analysis of various tissues showed residues
    ranging from 0.06 ppm in bone to < 1.4 ppm in liver. By 8 h after
    treatment, all of the residue levels were < 0.8 ppm (Dorough, 1968).

         In plants, carbofuran is metabolized by hydroxylation, hydrolysis,
    and conjugation resulting in glycosides. After oral administration of
    alfalfa residues of carbofuran to rats, the urinary metabolites were
    glucuronides and sulfates, indicating cleavage of the conjugates and
    reconjugation (Knaak  et al., 1969).

         Carbofuran is thus rapidly absorbed, metabolized, and eliminated,
    primarily via the urine, in the species investigated. Hydroxylation,
    hydrolysis, and conjugation reactions are the major metabolic steps.
    The resulting metabolites are either esters or cleavage products of
    the ester linkage (Dorough, 1968; Kuhr & Dorough, 1976).

         A scheme of the proposed metabolic pathway is given in Figure 1.

    FIGURE 2

         [14C-phenyl ring]Carbofuran was administered in capsules to
    laying hens once a day for seven consecutive days at doses equivalent
    to dietary concentrations of 0 and 25 ppm. Carbofuran was extensively
    metabolized and rapidly eliminated, resulting in low residues in eggs
    and tissues. Muscle tissue and fat contained < 0.01 ppm; kidney,
    liver, and eggs contained concentrations of < 0.2 ppm carbofuran
    equivalents. Conjugates formed after oxidative and hydrolytic
    reactions were further conjugated to their corresponding sulfate
    conjugates and appeared to bind with biomolecules (e.g. proteins) to
    form nonextractable residues (Hoffman & Robinson, 1994a).

         [14C-phenyl ring]Carbofuran was administered in gelatine
    capsules to lactating goats once a day for seven consecutive days at
    doses equivalent to dietary concentrations of 0 and 25 ppm. Carbofuran
    was extensively metabolized and readily eliminated. Muscle and fat
    contained < 0.01 ppm; kidney, liver, and milk contained 0.09-0.39
    ppm. Metabolites occurred in nonconjugated and conjugated forms, the
    latter being further conjugated to the sulfate conjugates, which bind
    to biomolecules and result in nonextractable (bound) residues (Hoffman
    & Robinson, 1994b).

    2.  Toxicological studies

    (a)  Acute toxicity

         The results of numerous studies of the acute toxicity of
    carbofuran in rats were evaluated previously (Annex I, reference 26)
    and are summarized in Table 1. The oral LD50 values for rats were
    6-18 mg/kg bw. The toxic signs observed were typical of cholinesterase
    inhibition: salivation, cramp, trembling, and sedation were observed
    within minutes after administration and lasted for up to three days.

         Additional studies that have become available since the first
    evaluation give oral LD50 values for technical-grade carbofuran in
    rats of about 5 mg/kg bw in females and 14 mg/kg bw in males (Elleman,
    1979; Sabol, 1979a, b; Norvell, 1983a,b). The dermal LD50 in rabbits
    for carbofuran of a purity of 96.1% was > 2000 mg/kg bw (Mehta,
    1981). In rats treated by inhalation with a carbofuran formulation
    (Furadan 95), the LC50 value was 0.11 mg/litre for a 1-h exposure
    (Signorin, 1995).

         The results of studies on the acute toxicity of several
    metabolites of carbofuran are summarized in Table 2.

         Studies of combined treatment with carbofuran and thiofanox or
    carbofuran and isofenphos revealed no potentiating effects. Additive
    or even subadditive toxic effects were found after simultaneous
    administration of the test compounds (Mihail, 1981; Flucke, 1986).

        Table 1.  Acute toxicity of carbofuran

                                                                                                          

    Species            Sex                Route          LD50 (mg/kg bw)             Reference
                                                         or LC50 (mg/litre)
                                                                                                          

    Mouse                            Oral                     14.4             Kimmerle (1966)
    Rat           Male               Oral                     18.0             Kimmerle (1966)
    Rat           Male               Oral                     7.8              Grönning & Kimmerle (1974)
    Rat           Male               Oral                     11.9             Kohn (1967a)
    Rat           Female             Oral                     6.0              Grönning & Kimmerle (1974)
    Rat           Female             Oral                     13.8             Kimmerle (1966)
    Rat           Male and female    Oral                     14.1             Powers (1964)
    Rat           Male               Intraperitoneal          8.2              Kimmerle (1966)
    Rat           Female             Intraperitoneal          2.8              Kimmerle (1966)
    Rat           Male and female    Intraperitoneal          1.4              Kohn (1967b)
    Rat           Male and female    Dermal                   > 500            Kimmerle (1966)
    Rat           Male               Inhalation (1 h)         0.108            Kimmerle (1966)
    Rat           Male               Inhalation (1 h)         0.091            Grönning & Kimmerle (1974)
    Rat           Male               Inhalation (4 h)         0.088            Kimmerle (1966)
    Rat           Female             Inhalation (1 h)         0.080            Grönning & Kimmerle (1974)
    Rat           Female             Inhalation (4 h)         0.075-0.11       Grönning & Kimmerle (1974)
    Guinea-pig    NR                 Oral                     9.2              Kimmerle (1966)
    Rabbit        NR                 Oral                     7.5              Kimmerle (1966)
    Cat           NR                 Oral                     2.5-3.5          Kimmerle (1966)
    Dog           NR                 Oral                     15-19            Kimmerle (1966)
                                                                                                          
        Table 2.  Acute oral toxicity of metabolites of carbofuran in rats

                                                                      

    Metabolite                   LD50              Reference
                              (mg/kg bw)
                                                                      

    3-Hydroxycarbofuran      21.9 (male)         Freeman (1984a)
                             8.3  (female)
    3-Ketocarbofuran         108  (male)         Freeman (1984b)
                             93.1 (female)
    3-Hydroxy-7-phenol       1916 (male)         Freeman (1984c)
                             1654 (female)
    3-Keto-7-phenol          > 800               Freeman (1984d)
    7-Phenol                 2450 (male)         Freeman (1984e)
                             1743 (female)
                                                                      

    (b)  Short-term toxicity

    Rabbits

         In a range-finding study, groups of rabbits were treated dermally
    with carbofuran (technical-grade; purity, 96.9%) at doses of 0, 100,
    300, or 1000 mg/kg bw per day over seven days; the contact time was
    6 h/day. No clinical signs of toxicity and no local irritation
    were observed. The treatment did not affect body weight or food
    consumption. A 30% depression in plasma cholinesterase activity was
    measured in males at 100 and 300 mg/kg bw per day and a 47% reduction
    at 1000 mg/kg bw per day. Brain acetylcholinesterase activity was
    reduced by 26% in males at 100 mg/kg bw per day, 49% in those at 300
    mg/kg bw per day, and 54% in those at 1000 mg/kg bw per day. These
    reductions were not statistically significant (Kedderis, 1985a).

         New Zealand white rabbits received applications of carbofuran
    (technical-grade; purity, 96.9%) for about 6 h/day at doses of 0, 10,
    100, or 1000 mg/kg bw per day for 21 consecutive days. No signs
    of toxicity and no effects on body weight, food consumption,
    haematological or clinical chemical parameters, organ weights,
    or gross or histopathological appearance were observed. Brain
    acetylcholinesterase activity was reduced by 21% in males at 100 mg/kg
    bw per day and 26% in those at 1000 mg/kg bw per day. The reductions
    were not statistically significant. The NOAEL was 10 mg/kg bw per day
    (Kedderis, 1985b).

    Dogs

         In a 14-day range-finding study, single beagle dogs were fed
    diets designed to provide carbofuran (technical-grade; purity, 96.1%)
    at concentrations of 0, 18, 32, 56, 100, 316, or 1000 ppm, equivalent
    to 0, 0.45, 0.8, 1.4, 2.5, and 8 mg/kg bw per day. The animal that
    initially received 18 ppm was changed to a dose of 1000 ppm on day 4
    of the study. At this dose, body weight loss and depressed food intake
    were observed, and clinical signs included muscle tremor, emesis, and
    salivation. Although cholinesterase activity was measured in plasma
    and erythrocytes, dose-related depression was found only in plasma, at
    all doses; inhibition ranged from 16% (within the historical control
    range) in animals at 18 ppm to < 92% at 1000 ppm (Burtner 1982).

         In a 13-week feeding study, carbofuran (purity, 99.6%) was
    administered in the diet to groups of four male and four female
    beagle dogs to provide concentrations of 0, 10, 70, or 500/250 ppm,
    equivalent to 0, 0.43, 3.1, and 10.6 mg/kg bw per day. Two additional
    animals of each sex per group were assigned to recovery groups to
    study the reversibility of the effects over a four-week period. The
    feed concentration of 500 ppm was reduced to 250 ppm from treatment
    day 6 onwards because of marked toxicity: one dog at this dose died on
    day 5 of treatment due to a treatment-related invagination of the
    jejunum. At concentrations > 10 ppm, hyperaemia (e.g. at ear pinnae
    and oral mucous membranes) and increased salivation were observed.
    Clinical signs at the highest dose consisted of muscular spasms,
    ataxia (pronounced in males during the first week of dosing but
    sporadic thereafter), decreased motility, tachypnoea and deep
    respiration, and vomiting. At 500 ppm, food consumption was markedly
    reduced and loss of body weight was observed; reduction of the dose to
    250 ppm resulted in recovery of food consumption and body-weight gain.
    The treatment had no effect on ophthalmoscopic, electrocardiographic,
    haematological, or clinical chemical parameters but inhibited
    cholinesterase activity and caused alterations in organ weights and in
    gross and histopathological appearance. Dose-related inhibition of
    plasma and erythrocyte cholinesterase activity was observed in all
    treated groups. Maximal inhibition occurred on test day 1, when the
    plasma activity was 70, 27, and 13% of the control activity at 10, 70,
    and 500/250 ppm and the erythrocyte activity was 68, 29, and 11% of
    the control, respectively. The plasma and erythrocyte cholinesterase
    activities returned to normal during the four-week recovery period.
    There was no inhibition of brain acetylcholinesterase activity by the
    end of the treatment or recovery period. An NOAEL was not determined
    because inhibition of erythrocyte acetylcholinesterase and increased
    salivation were seen at the lowest dose tested (Bloch  et al., 1987a).

         This study was followed by a four-week feeding study in order to
    establish a NOAEL with respect to clinical signs and cholinesterase
    inhibition: Groups of four male beagle dogs were fed diets providing
    concentrations of 0 or 5 ppm carbofuran (purity, 99.6%) for four
    weeks. The treatment had no effects on clinical signs, mortality, body
    weight, food consumption, or plasma or erythrocyte cholinesterase
    activity. The NOAEL was 5 ppm, equal to 0.22 mg/kg bw per day (Bloch
     et al., 1987b).

         In an earlier one-year study, groups of six male and six female
    beagle dogs were given diets providing concentrations of 0, 10, 20, or
    500 ppm carbofuran (technical-grade; purity, 96.1%), equal to 0,
    0.3, 0.6, and 13 mg/kg bw per day. At 500 ppm, body weight losses
    associated with emesis were observed, particularly in males, and from
    the fifth month these animals were fed a supplemented control diet.
    One male at 500 ppm died. Muscle tremor and salivation occurred
    sporadically at this dose, and all males showed marked depression of
    the haematocrit, haemoglobin values, and erythrocyte count from five
    months. Only transient, much less pronounced depressions of these
    parameters were observed in females at the high dose. Plasma
    cholinesterase activity was inhibited in most males at 10 and
    20 ppm and markedly (77%) in all animals at 500 ppm. Erythrocyte
    acetylcholinesterase activity was reduced by 21-27% in many males
    at 500 ppm. At the end of the study, a 24% depression in brain
    acetylcholinesterase activity was observed in males at 500 ppm,
    whereas females at this dose showed a 44% increase. No relevant
    inhibition of erythrocyte or brain acetylcholinesterase activity was
    seen in animals at 10 or 20 ppm. The absolute brain and heart weights
    of males at 500 ppm were depressed, but no macroscopic or microscopic
    changes were found in these organs. Gross treatment-related lesions
    observed in the animals at 500 ppm consisted of a marked loss of body
    fat and alopecia. Histopathological examination revealed an increased
    amount of hepatocellular endoplasmic reticulum in the treated dogs,
    but no clear dose-response relationship was seen. Degeneration of the
    seminiferous tubules, giant-cell formation, or aspermia was observed
    in males at 500 ppm and in a single male at 20 ppm. Minimal-to-
    moderate inflammatory changes of the lung were observed at a higher
    incidence in the dogs at 500 ppm. The NOAEL was 10 ppm, equal to
    0.3 mg/kg bw per day, on the basis of the histopathological changes
    in the testes of one male at 20 ppm (Taylor, 1983).

    (c)  Long-term toxicity and carcinogenicity

    Mice

         In a two-year study first evaluated by the 1980 JMPR (Annex 1,
    reference 34), groups of 100 male and 100 female Charles River CD-1
    mice were fed diets providing concentrations of 0, 20, 125, or 500 ppm
    carbofuran (technical-grade; purity, 95.6%), equal to 0, 2.8, 18,
    and 70 mg/kg bw per day. The treatment had no effect on general
    appearance, mortality, or urinary parameters. Body-weight gain was

    slightly reduced in single males at 125 ppm and in most animals at
    500 ppm during the first year of the study; however, a 20% reduction
    in body-weight gain in comparison with the controls was observed in
    females at 500 ppm at the end of the study. Food consumption was also
    sporadically reduced in animals at the highest dose, particularly
    during the first months of the study. Haematological and clinical
    chemical examinations revealed no treatment-related changes, except
    for inhibition of brain acetylcholinesterase activity; cholinesterase
    activities were not measured in erythrocytes or plasma. A
    statistically significant depression of brain acetylcholinesterase
    activity was observed in animals at 125 and 500 ppm. Maximal
    inhibition at 125 ppm was 31% of the activity in concurrent controls;
    at 500 ppm, the maximal depression was 55%. Organ weights were changed
    sporadically but were not related to treatment. No gross pathological
    findings were observed that were indicative of a relationship with
    treatment. Microscopic examination revealed no treatment-related
    change and no evidence of a compound-related increase in tumour
    incidences. The NOAEL was 20 ppm, equal to 2.8 mg/kg bw per day, on
    the basis of inhibition of brain acetylcholinesterase activity at
    125 ppm. The conclusions of the earlier evaluation were therefore
    confirmed (Brown, 1980; Goldenthal, 1980, 1982a).

    Rats

         In a study reviewed by the JMPR in 1979 and 1980 (Annex 1,
    references 32 and 34), carbofuran (technical-grade; purity, 95.6%) was
    administered in the diet to groups of 90 male and 90 female Charles
    River CD rats to provide concentrations of 0, 10, 20, or 100 ppm, for
    two years. Groups of 10 animals of each sex per dose were killed at 6,
    12, and 18 months, and blood and brain samples were collected for
    determination of cholinesterase activity. The treatment did not affect
    general appearance, mortality, food consumption, or ophthalmoscopic,
    haematological, or urinary parameters. Body-weight gain was reduced in
    animals of each sex at 100 ppm. Clinical chemical examinations
    revealed statistically significant inhibition of cholinesterase
    activity in plasma, erythrocytes, and brain in rats at 100 ppm. The
    maximal reduction of cholinesterase activity in males was 37% in
    plasma, 24% in erythrocytes, and 25% in brain; the corresponding
    percentages in females at 100 ppm were 26% in plasma, 19% in
    erythrocytes, and 43% in brain. No relevant inhibition of
    acetylcholinesterase activity was seen in erythrocytes or brain of
    animals at 10 or 20 ppm (Case & Wilson, 1979). Various changes in
    organ weights were considered to be due to changes in body weight. No
    treatment-related gross pathological or histopathological changes were
    observed, and there was no evidence of tumorigenicity. The NOAEL was
    20 ppm, equivalent to 1 mg/kg bw per day, on the basis of reduced body
    weight gain and acetylcholinesterase inhibition in erythrocytes and
    brain at the higher dose. The conclusions of the earlier evaluation
    were thus confirmed (Goldenthal, 1979a; Rapp, 1980a; Goldenthal,
    1982b).

    (d)  Reproductive toxicity

    Rats

         In a three-generation study first evaluated by the 1980 JMPR
    (Annex 1, reference 34), groups of Charles River CD rats (10 males and
    20 females per group for the first and second generations; 12 males
    and 24 females per group for the third generation) were maintained on
    a diet providing concentrations of 0, 20, or 100 ppm carbofuran
    (purity, 95.6%), equal to 0, 1.2, and 6 mg/kg bw per day for males and
    0, 1.9, and 9.7 mg/kg per day for females. Each generation was mated
    twice to produce two litters. The treatment did not affect the general
    behaviour, appearance, or survival of the parental rats. Parental
    body-weight gain was lower at 100 ppm throughout the course of
    treatment and was associated with lower food consumption, particularly
    in males. Fertility indices were not adversely affected. The survival
    of pups of the F1a, F2a, and F3a generations at 100 ppm was reduced
    at lactation day 4 in comparison with the control. Dehydration was
    seen in pups of some litters of the F3a and F3b generations at
    100 ppm. The mean weights of pups at 100 ppm were lower than those of
    the controls on day 21  post partum in all generations. No compound-
    related gross pathological lesions were seen at necropsy in the F0,
    F1, or F2 parental animals or the F2b or F3b litters. Various organ
    weights of animals of the F2 parental and F3b pup generations at
    20 and 100 ppm were statistically significantly changed. Because
    clear dose-response relationships were not always seen and no
    histopathological alterations were associated with these changes, the
    findings were considered not to be of biological significance. The
    NOAEL was 20 ppm, equal to 1.2 mg/kg bw per day, on the basis of
    reductions in body-weight gain in the parental generation and
    reductions in the growth and survival of pup generations at
    100 ppm. Thus, the earlier evaluation of this study was confirmed
    (Goldenthal, 1979b; Rapp, 1980b; Goldenthal, 1982c).

    (e)  Developmental toxicity

    Rats

         In a study first evaluated by the 1980 JMPR (Annex 1, reference
    34), carbofuran (technical-grade; purity, 95.6%) was administered to
    groups of 24 pregnant Charles River rats by intubation in 0.25%
    carboxymethylcellulose at doses of 0, 0.1, 0.3, or 1 mg/kg bw per day
    on days 6-15 of gestation. Transient, dose-dependent clinical signs
    (chewing motions) were observed at doses > 0.1 mg/kg bw per day for
    a short period after treatment. Overt signs of toxicity in animals at
    0.3 mg/kg bw per day included rough coats and lethargy; at the high
    dose, lacrimation, increased salivation, trembling, and convulsions
    were also seen. One female at the high dose died. The treatment had no
    effect on the body weights of dams or pups. Reproductive parameters
    (e.g. numbers of corpora lutea, implantations, and resorptions and

    litter size) were not adversely affected by treatment. Skeletal
    examination revealed a higher incidence of some variations in
    ossification of sternebrae in treated animals but with no clear
    dose-response relationship. Similar alterations were prevalent in the
    control group at an incidence of 47% of fetuses. There was no evidence
    of teratogenicity. An NOAEL was not determined because transient
    clinical signs were observed at the lowest dose (Barron  et al., 1978).

         Groups of 25 pregnant Charles River COBS CD rats were treated
    with carbofuran (purity, 95.6%) by gavage in corn oil at daily doses
    of 0, 0.25, 0.5, or 1.2 mg/kg bw on days 6-15 of gestation. The
    treatment had no effect on the general appearance, behaviour,
    mortality, or body weights of the dams. No differences between groups
    were noted in reproductive parameters such as the numbers of corpora
    lutea, implantations, and resorptions, litter size, or fetal body
    weight. No evidence of teratogenicity was seen (Rodwell, 1980a).

         In a pilot study, groups of 10 pregnant Charles River COBS rats
    were fed carbofuran (purity, 95.6%) in the diet to give concentrations
    of 0, 20, 60, 120, 160, or 200 ppm, equal to 0, 1.5, 4, 8, 11, and
    13 mg/kg bw per day, on gestation days 6-19. Neither survival nor
    behaviour was affected by the treatment. Hair loss, soft stools,
    and scabbing were seen at higher incidences in the treated than
    the control group. A dose-related loss in mean maternal body
    weight occurred during the first two days of treatment with doses
    > 60 ppm, resulting in reduced body-weight gains throughout the
    treatment period in animals at 120, 160, and 200 ppm. A dose-related
    decrease in food consumption was observed at doses > 60 ppm at the
    beginning of the treatment period. Reproductive parameters (litter
    size and the numbers of resorptions, implantations, and corpora lutea)
    were not adversely affected. On the basis of these results, doses of
    0, 20, 60, and 160 ppm were selected for the main study (Rodwell,
    1980b, 1985).

         The main study was conducted with groups of 40 pregnant Charles
    River COBS rats fed diets giving concentrations of 0, 20, 60, or 160
    ppm carbofuran (purity, 95.6%), equal to 0, 1.5, 4.4, and 11 mg/kg bw
    per day, on gestation days 6-19. Treatment had no effect on appearance
    or behaviour, except for a slight increase in hair loss, matting of
    the ventral haircoat, and soft stools, particularly in females at 60
    and 160 ppm. A dose-related reduction in body-weight gain was seen at
    doses > 60 ppm during the treatment period, with single instances
    of body-weight loss in animals at 60 and 160 ppm at the beginning of
    treatment. Increases in body-weight gain of treated animals during the
    subsequent lactation period resulted in very similar body weights in
    all groups at the end of lactation. Food consumption was reduced
    during the first few days of treatment in animals at 60 and 160 ppm.
    No differences between groups were observed in reproductive parameters
    (such as the numbers of corpora lutea, implantations, and resorptions

    and litter size). The mean weights of pups at 160 ppm were decreased
    throughout lactation. The incidence of malformations was not
    increased. The NOAEL for maternal toxicity was 20 ppm, equal 1.5 mg/kg
    bw per day, on the basis of reduced body-weight gain of the dams at
    doses > 60 ppm. The NOAEL for pup toxicity was 60 ppm, equal to 4.4
    mg/kg bw per day, on the basis of reduced weights of pups at 160 ppm
    (Rodwell, 1981).

         Groups of 24 mated female Sprague-Dawley (CD) rats were given
    diets containing carbofuran (purity, 99.1%) to provide concentrations
    of 0, 20, 75, or 300 ppm, equal to 0, 1.7, 5, and 20 mg/kg bw per day,
    from gestation day 6 through lactation day 10. Physical observations
    were made, and body weight and food consumption were measured for all
    maternal animals at selected intervals throughout the gestation and
    lactation periods. The numbers of live pups were recorded, and litter
    parameters such as pinna detachment, incisor eruption, eye opening,
    motor activity, auditory startle response, and brain weights were
    evaluated. Neuropathological examinations were performed on six pups
    of each sex per group that were killed on postnatal days 11 and 60.
    Maternal animals were killed after weaning of the last litter. No
    deaths occurred during the study. Reduced body-weight gain was seen in
    dams at 75 and 300 ppm during gestation and also during the lactation
    period for those at 300 ppm. Food consumption was reduced in dams at
    these two doses at various periods during gestation. Treatment had no
    effect on pregnancy rates, length of gestation, or litter size, and
    there was no evidence of prolonged or difficult delivery. Treatment at
    300 ppm resulted, however, in a greater number of dead pups at birth
    than among the controls (not statistically significant). A dose-
    dependent reduction in pup weight was observed in animals at 75 and
    300 ppm throughout the lactation period, and the reductions persisted
    after weaning. Pup survival was adversely affected by prenatal
    administration of carbofuran at 75 or 300 ppm on lactation day 4 until
    weaning at lactation day 21. Treatment at doses of 75 or 300 resulted
    in developmental delays of three to four days in vaginal patency and
    preputial separation; marginal delays were seen with respect to pinna
    detachment, lower incisor eruption, and eye opening. No adverse effect
    was noted on auditory startle response, motor activity, or swimming
    development, but there was an angle reduction at doses > 75 ppm.
    Brain weights were not affected by treatment. No treatment-related
    macroscopic findings were observed in dams or pups. Microscopic
    examinations of pups in the control and high-dose groups revealed no
    compound-related abnormality. The NOAEL was 20 ppm, equal to 1.7 mg/kg
    bw per day, on the basis of reduced body-weight gain of dams and pups,
    reduced pup survival, and slight developmental delay at doses > 75 ppm
    (Ponnock, 1994).

    Rabbits

         In a study first evaluated by the JMPR in 1980 (Annex 1,
    reference 34), groups of 17 pregnant New Zealand white rabbits were
    treated by intubation with carbofuran (purity, 95.6%) at doses of 0,
    0.2, 0.6, or 2 mg/kg bw per day on gestation days 6-18. The deaths of
    five females at 2 mg/kg bw per day were considered to be related to
    treatment. Signs of maternal toxicity and behavioural changes in
    animals at this dose included trembling, loss of muscle control,
    salivation, sneezing, chewing motions, and reduced food and water
    consumption. Body weight was not affected by the treatment. No
    differences between groups were seen in reproductive parameters.
    Macroscopic examination revealed no treatment-related tissue
    alteration and no evidence of embryotoxicity or teratogenicity, even
    at maternally toxic doses. The NOAEL was 0.6 mg/kg bw per day, on the
    basis of maternal toxicity. The same conclusion was drawn by the 1980
    JMPR (Rao, 1978 [cited incorrectly as Felton, 1978, in Annex 1
    reference 35]).

         Carbofuran (purity, 95.6%) was administered by gavage at doses of
    0, 0.12, 0.5, or 2 mg/kg bw per day on gestation days 6-18 to groups
    of 20 pregnant New Zealand white rabbits. One dam at 2 mg/kg bw per
    day died of an unknown cause. Matting and/or staining of the haircoat
    was seen at a somewhat higher frequency in the treated animals.
    Although the mean maternal body weight was reduced during treatment,
    no clear dose-response relationship was seen. A marked reduction in
    body-weight gain was observed at 2 mg/kg bw per day early in the
    treatment; no data were available on food consumption. Reproductive
    parameters (numbers of corpora lutea, implantations, and resorption,
    litter size, fetal body weight were not affected by treatment. A
    slightly increased incidence of misaligned sternebrae was seen in
    fetuses at 2 mg/kg bw per day. The NOAEL was 0.5 mg/kg bw per day, on
    the basis of reduced body weight in dams at 2 mg/kg bw and the
    increase in skeletal variations (Laveglia, 1981).

         Carbofuran was given to CD rats by gastric intubation at doses of
    0.05-5 mg/kg bw per day on days 7-19 of gestation and to CD-1 mice at
    doses of 0.1-20 mg/kg bw per day on gestation days 6-16. At 1, 3, and
    5 mg/kg bw per day, 40-55% of the rats died, and the numbers of
    implantation sites and live fetuses were reduced. The frequency of
    malformations was not increased. In mice at 10 or 20 mg/kg bw per day,
    about 50% of dams died, and fetal body weight was reduced. A shift in
    the rib profile (decreased incidence of 13 ribs, increased incidence
    of 14 ribs) was observed at 10 and 20 mg/kg bw per day. There was no
    evidence of teratogenicity in either rats or mice (Courtney  et al.,
    1985).

    (f)  Genotoxicity

         The results of tests for the genotoxicity of carbofuran are
    summarized in Table 3. Carbofuran was included among other carbamate
    insecticides tested  in vitro in the porcine brain tubulin assembly
    assay for the detection of action as a microtubule poison and
    aneuploidy inducer (Stehrer & Wolf, 1995). Carbofuran induced a
    dose-dependent reduction in the degree of polymerization of tubulin
    and an 11% reduction in the maximal polymerization velocity. It was
    active in  S. typhimurium strains TA1538 and TA98 in the presence and
    absence of an exogenous metabolic activation system (Moriya  et al.,
    1983), induced sister chromatid exchange in human peripheral
    lymphocytes (Georgian  et al., 1985), and induced gene mutation in
    V79 hamster cells (Woijciechowski  et al., 1982).

    (g)  Special studies

    (i)  Dermal sensitization

         Guinea-pigs were given 10 intracutaneous injections of
    technical-grade carbofuran as an inducer, followed by a final
    challenge injection. Dinitrochlorobenzene was used as a positive
    control. Carbofuran was not sensitizing (Schoenig, 1967; Ellison,
    1980).

    (ii)  Neurotoxicity

    Rats

         In a 28-day range-finding study, groups of five male and five
    female Sprague-Dawley CD rats were maintained on a diet providing
    technical-grade carbofuran (purity, 98.6%) at concentrations of 0, 50,
    200, 500, 1000, 3000, or 6000 ppm, equivalent to 0, 2.5, 10, 25, 50,
    150, and 300 mg/kg bw per day. Two males receiving 6000 ppm died.
    Dose-related clinical signs that were noted at doses > 200 ppm in
    animals of each sex consisted of exophthalmia, splayed hindlimbs in
    females at 200 ppm, tremors and staggered gait at 500 and 1000 ppm,
    and loss of muscle control and ataxia at 3000 and 6000 ppm. Treatment-
    related clinical signs seen in animals at doses > 500 ppm were
    decreased locomotion, dehydration, lacrimation, and unthriftiness.
    Body-weight gain was reduced at concentrations > 50 ppm among males
    (marginal at 50 ppm) and at > 200 ppm among females (marginal at
    200 ppm). Necropsy showed no treatment-related gross lesions (Freeman,
    1993). The NOAEL was 50 ppm, equivalent to 2.5 mg/kg bw per day.

        Table 3.  Results of tests for the genotoxicity of carbofuran

                                                                                                                                      

         End-point                 Test system              Concentration              Purity       Results            Reference
                                                                                         (%)
                                                                                                                                      

    In vitro

    Reverse mutation             S. typhimurium           100-10 000 µg/plate          98.3        Negativea       Haworth & Lawlor
                                 TA98, TA100,                                                      Positiveb       (1983a)
                                 TA1535, TA1537
                                 TA1538
    Reverse mutation             S. typhimurium           100-10 000 µg/plate          98          Negativec       Haworth & Lawlor
                                 TA98, TA100,                                                                      (1983b)
                                 TA1535, TA1537
                                 TA1538
    Reverse mutation             S. typhimurium           100-10 000 µg/plate          80          Negativea       Haworth & Lawlor
                                 TA98, TA100,                                                      Positived       (1983c)
                                 TA1535, TA1537
                                 TA1538
    Reverse mutation             S. typhimurium           100-10 000 µg/plate          99          Negativee       Haworth & Lawlor
                                 TA98, TA100,                                                                      (1983d)
                                 TA1535, TA 1537
                                 TA1538
    Reverse mutation             S. typhimurium           100-10 000 µg/plate          98          Negativef       Haworth & Lawlor
                                 TA98, TA100,                                                                      (1983e)
                                 TA1535, TA1537
                                 TA1538
    Reverse mutation             S. typhimurium           100-10 000 µg/plate          98          Negativef       Haworth & Lawlor
                                 TA98, TA100,                                                                      (1983f)
                                 TA1535, TA1537
                                 TA1538
                                                                                                                                      

    Table 3.  (Cont'd)

                                                                                                                                      

         End-point                 Test system              Concentration              Purity       Results            Reference
                                                                                         (%)
                                                                                                                                      

    Reverse mutation             S. typhimurium           100-10 000 µg/plate          97.6        Negativeg       Haworth & Lawlor
                                 TA98, TA100,                                                                      (1983g)
                                 TA1535, TA1537
                                 TA1538
    Reverse mutation             S. typhimurium           100-10 000 µg/plate          96          Negativeh       Haworth & Lawlor
                                 TA98, TA100,                                                                      (1983h)
                                 TA1535, TA1537,
                                 TA1538
    Reverse mutation             S. typhimurium           1-10 000 µg/plate            97.6        Negative        DeGraff (1983a)
                                 TA100
    Reverse mutation             S. typhimurium           61.7-5000 µg/plate           99          Negativea       Farrow (1983a)
                                 TA98                                                              Positivei
    Reverse mutation             S. typhimurium           61.7-5000 µg/plate           97.6        Negativea       DeGraff (1983a)
                                 TA98, TA100,                                                      Positivej
                                 TA1537, TA1538
    Reverse mutation             S. typhimurium           123-10 000 µg/plate          98.3        Negativea       Farrow (1983c)
                                 TA98, TA100,                                                      Positivek
                                 TA1537
    Reverse mutation             S. typhimurium           1-5000 µg/plate              NR          Negative        Simmon (1979)
                                 TA98, TA100,
                                 TA1535, TA1537,
                                 TA1538
    Reverse mutation             E. coli WP2 uvrA         1-5000 µg/plate              NR          Negative        Simmon (1979)
    Mitotic recombination        S. cerevisiae            1-50 mg/ml                   NR          Negative        Simmon (1979)
    Unscheduled DNA synthesis    Human fibroblasts        0.1-1000 µg/mll              NR          Negative        Simmon (1979)
                                 (WI-38)
    Growth inhibition            E. colim, B. subtilis    1-500 mg/ml                  NR          Negativen       Simmon (1979)
    Unscheduled DNA synthesis    Rat hepatocytes          1-100 µg/ml                  97.6        Negativea       Thilagar (1983a)
                                                                                                                                      

    Table 3.  (Cont'd)

                                                                                                                                      

         End-point                 Test system              Concentration              Purity       Results            Reference
                                                                                         (%)
                                                                                                                                      

    Sister chromatid exchange    Chinese hamster          78.1-312.5 µg/ml with S9     97.6        Negativeo       Thilagar (1983b)
                                 ovary cells              12.5-100 µg/ml without S9                Negative
    Sister chromatid exchange    Chinese hamster          312.5-2500 µg/ml with S9     96          Positivep       Thilagar (1983c)
                                 ovary cells              12.5-100 µg/ml without S9                Positive
    Chromosomal aberration       Chinese hamster          312.5-2500 µg/ml with S9     96          Negative        Thilagar (1983d)
                                 ovary cells              50-1000 µg/ml without S9                 Negative
    Cell mutation tk locus       Mouse lymphoma           134-1780 µg/ml with S9       97.6        Negativeq       Kirby (1983a)
                                 L5178 Y cells            16-211 µg/ml without S9                  Positive
    Cell mutation tk locus       Mouse lymphoma           134-1780 µg/ml with S9       96          Positive        Kirby (1983b)
                                 L5178 Y cells            24-316 µg/ml without S9

    In vivo

    Sex-linked recessive         Drosophila               10 ppm (feeding solution)    NR          Negative        Valencia (1981)
    lethal mutation              melanogaster
    Sex-linked recessive         Drosophila               7.5 ppm (feeding solution)   97.6        Negative        Valencia (1983)
    lethal mutation              melanogaster
    Sex-linked recessive         Drosophila               5 and 10 ppm (feeding        97.6        Negative        DeGraff (1983b)
    lethal mutation              melanogaster             solution)
    Cytogenicity                 Male rat                 0.6 or 2.6 mg/kg bw per      98          Negative        Putman (1983a)
                                 bone marrow              day orally, 5 days
    Cytogenicity                 Male rat                 1, 6 or 10 mg/kg bw per      96          Negative        Putman (1983b)
                                 bone marrow              day orally, 5 days
                                                                                                                                      

    Table 3.  (Cont'd)

    NR   not reported
    S9   9000 × g supernatant of Aroclor-induced rat liver microsomes
    a    With metabolic activation
    b    Weak positive response (2.2-fold increase in revertants per plate) of strain TA1535 only in the absence of S9
    c    The 1.9-fold increase in TA1535 revertants per plate observed in the absence of S9 did not meet the criteria for a
         positive response.
    d    Weak positive response (2.2-fold increase in revertants per plate) of strain TA1535 in the absence of S9
    e    The 1.7-fold increase in TA1535 revertants per plate in the absence of S9 did not meet the criteria for a positive
         response.
    f    1.9-fold increase in TA1535 revertants per plate in both tests (Haworth & Lawlor, 1983 e,f) in the absence of S9
    g    1.8-fold increase in TA1535 revertants and 1.4-fold increase in TA100 revertants in the absence of S9
    h    1.6-fold increase in TA1535 revertants and 1.5-fold increase in TA100 revertants in the absence of S9
    i    Twofold increase in TA1535 revertants at 5000 µg/plate in the absence of S9. Precipitation of the compound occurred
         at this concentration.
    j    Dose-dependent increase in TA1535 revertants at all doses in the absence of S9
    k    About a threefold increase TA1535 revertants at 1048 and 3145 µg/plate
    l    Precipitation observed at 1000 µg/ml
    m    Relative toxicity assays (growth inhibition) in DNA repair-proficient and -deficient strains of E. coli and B. subtilis
    n    Statistically significant increase in sister chromatid exchange frequency in comparison with solvent control in the
         presence of S9 at a concentration of 312.5 µg/ml and in the absence of S9 at 100 µg/ml. The increases did not meet the
         criteria for a positive response.
    o    In the absence of S9
    p    Statistically significant increases in sister chromatid exchange frequency in comparison with solvent control at all
         doses in the presence and absence of S9
    q    Three S9-activated cultures out of 20 had mutant frequencies that were more than twice the mean mutant frequency of
         the solvent controls. The significance of the increase is questionable because growth was strongly inhibited (> 90%)
         in these cultures.
             In the main study, groups of 10 male and 10 female Charles River
    Sprague-Dawley rats were maintained on a diet designed to provide
    concentrations of 0, 50, 500, or 1000 ppm, equivalent to 0, 2.4, 27.3,
    and 55.3 mg/kg bw per day in males and 0, 3.1, 35.3, and 64.4 mg/kg bw
    per day in females. Clinical signs, mortality, body weight and food
    consumption were recorded, and functional observational battery and
    motor activity testing were conducted before treatment and at weeks
    4, 8, and 13 of treatment. The nervous systems of five rats of each
    sex at the high dose and in the control group were examined for
    histopathological lesions. One male at 1000 ppm was found moribund
    on day 83 and was killed, and single animals in all groups,
    including controls, were killed during the study for humane reasons.
    Treatment-related clinical signs observed at concentrations
    > 500 ppm consisted of exophthalmia, splayed hindlimbs, loss of
    muscle control (in females), staggered gait, and tremors. Animals at
    all doses had a dose-related reduction in body-weight gain; the
    differences attained statistical significance in males at all doses
    but in females only at 1000 ppm. Sporadic reductions in food
    consumption were seen in animals at 1000 ppm, particularly males;
    females showed increased food consumption. Functional observational
    battery testing revealed effects in animals receiving doses
    > 500 ppm, including gait impairment, a reduction in hindlimb grip
    strength, whole-body tremors, and abnormal posture. Motor activity was
    significantly reduced among females receiving 1000 ppm. The single
    male at 1000 ppm found moribund on day 83 had calcifications in the
    urethra; no other macroscopic treatment-related lesions were found. No
    treatment-related histopathological lesions were found in the central
    or peripheral nervous system of animals at the high dose (Freeman,
    1994). The NOAEL for neurotoxicity was thus 50 ppm, equal to 3 mg/kg
    bw per day. There was no NOAEL for systemic toxicity.

    (iii)  Inhibition of cholinesterase activity

         In a comparative study in newborn, weanling, and adult
    Sprague-Dawley rats, first evaluated by JMPR in 1980 (Annex 1,
    reference 34), the purpose was to determine the time of maximal
    inhibition of cholinesterase activity in plasma, erythrocytes, and
    brain and the time of recovery after the administration of a single
    oral dose of carbofuran. The LD50 values were 8.1 mg/kg bw for
    newborn and 7.3 for weanling rats. The baseline cholinesterase
    activities in untreated animals were determined at the age of two to
    three days for newborns, 27-29 days for weanlings, and 99-101 days for
    adult rats. The baseline activities in erythrocytes were lower in
    newborns and weanlings than in adults, and those in brain were lower
    in newborns than in weanlings and adults. After administration of
    single oral doses of carbofuran at 3.2 mg/kg bw for newborns, 2.2
    mg/kg bw for weanlings, and 4 mg/kg bw for adults, maximal depression
    of erythrocyte activity occurred within 1 h in all groups, and maximal
    depression of brain activity occurred within 1 h in weanlings and

    adults and after 4 h in neonates. Full recovery was attained within
    24 h after dosing, independently of the age of the animals. There were
    no differences in sensitivity to cholinesterase inhibition with age
    (Becci, 1979).

         In a study to investigate the relationship between carbofuran
    metabolism  in vivo and acetylcholinesterase inhibition, male
    Sprague-Dawley rats were given single intravenous or oral doses of
    14C carbofuran at 50 µg/kg bw, and urine, faeces, and expired air
    were analysed for oxidative and hydrolytic metabolites; blood, plasma,
    and various tissues were analysed for carbofuran and its main
    oxidative metabolite, 3-hydroxycarbofuran. Erythrocyte acetyl-
    cholinesterase activity  in vitro was used as an index of toxicity.
    From 41 to 47% of the administered dose was recovered as 14C-carbon
    dioxide after 8 h, independently of the route of administration. About
    15% of the dose was found in urine and < 1% in faeces. 3-Hydroxy-
    carbofuran was formed rapidly and underwent enterohepatic circulation,
    resulting in an elimination half-life of about 64 min for all tissues;
    the elimination half-life of the parent compound was about 29 min.
    Rapid recovery of the erythrocyte acetylcholinesterase activity
    closely paralleled carbofuran metabolism, and the primary disposition
    of 3-hydroxycarbofuran  in vivo was by metabolic conjugation
    (Ferguson  et al., 1984).

    3.  Observations in humans

         Carbofuran was reported to have induced sensitization in a patch
    test in 30 farmers with contact dermatitis (Sharma & Kaur, 1990).

         Poisoning was reported in three female farmworkers who threw
    carbofuran granules onto a coffee plantation in Jamaica. The women did
    not wear protective clothing. The signs of poisoning reported included
    vomiting, lassitude, nausea, and hypersalivation. Cholinesterase
    activity was not determined in these patients (Coleman  et al., 1990).

    Comments

         Carbofuran is rapidly absorbed, metabolized, and eliminated,
    mainly in the urine, after oral administration to mice and rats. After
    oral administration of [phenyl-14C]carbofuran to rats, 92% of the
    radiolabel was eliminated in the urine and 3% in faeces. Most of the
    radiolabel was eliminated within 24 h after treatment. With a
    [carbonyl-14C]-labelled compound, 45% was eliminated as 14C-carbon
    dioxide. The metabolic pathway consists in hydroxylation, oxidation,
    hydrolysis, and conjugation.

         Carbofuran is highly toxic after acute oral administration. The
    oral LD50 values in various species ranged from 3 to 19 mg/kg bw.
    Carbofuran had no sensitizing potential in guinea-pigs, and no local
    irritation was found in rabbits after repeated dermal applications
    over 7 or 21 days. WHO has classified carbofuran as 'highly hazardous'
    (WHO, 1996).

         In a 13-week study in dogs fed diets providing 0, 10, 70, or
    500/250 ppm (dose reduced because of marked toxicity), an NOAEL was
    not identified because of inhibition of erythrocyte acetylcholin-
    esterase activity and some clinical signs were observed at the lowest
    dose. In a subsequent four-week study in dogs, the highest dose
    administered was 5 ppm, equal to 0.22 mg/kg bw per day, which was the
    NOAEL for clinical signs, mortality, effects on body weight and food
    consumption, and cholinesterase activity in plasma and erythrocytes.
    In a one-year study in dogs at dietary concentrations of 0, 10, 20, or
    500 ppm, the NOAEL was 10 ppm, equal to 0.3 mg/kg bw per day, on the
    basis of histopathological testicular changes in a single male at
    20 ppm; similar changes were observed in animals at 500 ppm. There
    was no inhibition of erythrocyte or brain acetylcholinesterase at
    concentrations of 10 or 20 ppm. The overall NOAEL in these short-term
    studies in dogs was 5 ppm, equal to 0.22 mg/kg bw per day.

         In two-year studies of toxicity and carcinogenicity at dietary
    concentrations of 0, 20, 125, or 500 ppm in mice and 0, 10, 20, or
    100 ppm in rats, the NOAELs were 20 ppm, equal to 2.8 mg/kg bw per
    day, in mice and 20 ppm, equivalent to 1 mg/kg bw per day, in rats, on
    the basis of inhibition of erythrocyte and brain acetylcholinesterase
    activity. There was no evidence of tumorigenicity.

         In a three-generation study of reproductive toxicity in rats at
    dietary concentrations of 0, 20, or 100 ppm, the NOAEL was 20 ppm,
    equal to 1.6 mg/kg bw per day, on the basis of reduced body-weight
    gain in parental animals and reduced pup growth and pup survival at
    100 ppm.

         In an early study of developmental toxicity, rats were given
    carbofuran at doses of 0, 0.1, 0.3, or 1 mg/kg bw per day by gavage.
    An NOAEL could not be identified in this study. Dose-dependent,
    transient clinical signs (chewing motions) were observed in the dams.

    In a later study in rats at oral doses of 0, 0.25, 0.5, or 1.2 mg/kg
    bw per day, the NOAEL for maternal and fetal toxicity was 1.2 mg/kg bw
    per day, the highest dose tested. In a further study of teratogenicity
    in rats, with dietary administration of 0, 20, 60, or 160 ppm
    carbofuran, the NOAEL for maternal toxicity was 20 ppm, equal to
    1.5 mg/kg bw per day, on the basis of a reduction in body-weight gain
    at 60 ppm. The NOAEL for pup toxicity, based on reduced pup weight,
    was 60 ppm, equal to 4.4 mg/kg bw per day. None of the studies showed
    teratogenic potential.

         The results of an early study of teratogenicity in rabbits at
    oral doses of 0, 0.2, 0.6, or 2 mg/kg bw per day showed an NOAEL of
    0.6 mg/kg bw per day for maternal toxicity on the basis of clinical
    signs and an NOAEL of 2 mg/kg bw per day for fetotoxicity and
    teratogenicity. In a subsequent study in rabbits at doses of 0, 0.12,
    0.5, or 2 mg/kg bw per day, the NOAEL was 0.5 mg/kg bw per day on the
    basis of slightly reduced body-weight gain in dams and a slightly
    increased incidence of skeletal variations in pups at 2 mg/kg bw per
    day. These studies provide no evidence for teratogenicity.

         In a 90-day study of neurotoxicity in rats at dietary
    concentrations of 0, 50, 500, or 1000 ppm, systemic toxicity
    (reduction in body-weight gain) was observed at all doses. Clinical
    signs of neurotoxicity were observed at 500 and 1000 ppm. No
    histopathological lesions were found in the nervous system.

         In a study of developmental neurotoxicity, carbofuran was
    administered in the diet of rats to provide concentrations of 0, 20,
    75, or 300 ppm from gestation day 6 through lactation day 10.
    Reductions in the body-weight gain of dams and pups and in pup
    survival and some evidence of delayed pup development were found at
    doses > 75 ppm. The NOAEL was 20 ppm, equal to 1.7 mg/kg bw per
    day, on the basis of reduced body-weight gain in dams and signs of
    fetotoxicity at higher doses.

         Carbofuran has been tested for genotoxicity in a wide range of
    tests  in vivo and  in vitro. The Meeting concluded that it is not
    genotoxic.

         An ADI of 0-0.002 mg/kg bw was allocated on the basis of the
    NOAEL for erythrocyte acetylcholinesterase inhibition of 0.22 mg/kg bw
    per day in a four-week study in the most sensitive species, the dog,
    and using a 100-fold safety factor. The use of a short-term study to
    set the ADI is justified because the effect observed was reversible
    and acute.

    Toxicological evaluation

    Levels that cause no toxicological effect

         Mouse:    20 ppm, equal to 2.8 mg/kg bw per day (two-year study
                   of toxicity and carcinogenicity)

         Rat:      20 ppm, equivalent to 1 mg/kg bw per day (two-year
                   study of toxicity and carcinogenicity)

                   20 ppm, equal to 1.2 mg/kg bw per day (three-generation
                   study of reproductive toxicity)

                   1.2 mg/kg bw per day (highest dose tested in a study of
                   developmental toxicity)

                   20 ppm, equal to 1.5 mg/kg bw per day (study of
                   developmental toxicity)

                   20 ppm, equal to 1.7 mg/kg bw per day (study of
                   developmental neurotoxicity)

         Rabbit:   0.6 mg/kg bw per day (study of developmental toxicity)

         Dog:      5 ppm, equal to 0.22 mg/kg bw per day (four-week study
                   of toxicity)

    Estimate of acceptable daily intake for humans

         0-0.002 mg/kg bw

    Studies that would provide information useful for continued
    evaluation of the compound

         Further observations in humans

        Toxicological criteria for estimating guidance values for dietary and non-dietary exposure to carbofuran

                                                                                                                                      

           Exposure                   Relevant route, study type, species                         Results, remarks
                                                                                                                                      

    Short-term (1-7 days)          Oral, toxicity, rat                                  LD50 = 6-14.4 mg/kg bw
                                   Dermal, toxicity, rat                                LD50 > 500 mg/kg bw
                                   Inhalation, toxicity, rat                            LC50 = 0.088-0.1 mg/litre
                                   Dermal, irritation, rabbit                           Not irritating
                                   Ocular irritation, rabbit                            Not available
                                   Dermal, sensitization, guinea-pig                    Not sensitizing

    Medium-term (1-26 weeks)       Repeated oral, 4 weeks, toxicity, dog                NOAEL = 0.22 mg/kg bw per day
                                   Repeated oral, reproductive toxicity, rat            NOAEL = 1.6 mg/kg bw per day, parental
                                                                                        and pup toxicity
                                   Repeated oral (gavage), developmental                NOAEL = 1.2 mg/kg bw per day (highest
                                   toxicity, rat                                        dose tested). No evidence of teratogenicity
                                   Repeated oral (feeding), developmental               NOAEL = 1.5 mg/kg bw per day, maternal
                                   toxicity, rat                                        toxicity
                                   Repeated oral, developmental toxicity, rabbit        NOAEL = 0.6 mg/kg bw per day, maternal
                                                                                        toxicity. No evidence of teratogenicity
                                   Repeated oral, developmental neurotoxicity, rat      NOAEL = 1.7 mg/kg bw per day

    Longterm (> 1 year)            Repeated oral, 2 years, carcinogenicity, mouse       NOAEL = 2.8 mg/kg bw per day,
                                                                                        cholinesterase inhibition. No evidence
                                                                                        of carcinogenicity
                                   Repeated oral, 2 years, carcinogenicity, rat         NOAEL = 1 mg/kg bw per day, reduced
                                                                                        body-weight gain and cholinesterase
                                                                                        inhibition. No evidence of carcinogenicity
                                                                                                                                      
        References

    Barron, P., Giesler, P. & Ras, G.N. (1978) Teratogenicity of
    carbofuran in rats. Act-No. 184.33. Unpublished report prepared by
    Warf Institute, Inc. Wisconsin, USA. Submitted to WHO by FMC Corp.,
    Philadelphia, PA, USA.

    Becci, G. (1979) Study of cholinesterase activity inhibition by
    carbofuran in neonate, weanling and adult rats. Study-No. A 79-343.
    Unpublished report prepared by Food and Drug Research Laboratories,
    Inc. Submitted to WHO by FMC Corp., Philadelphia, PA, USA.

    Bloch, I., Frei, T.H., Madoerin, K., Luetkemeier, H., Vogel, W.,
    Schlotke, B., Vogel, O. & Terrier, C. (1987a) 13-Week oral toxicity
    feeding study with carbofuran (D1221) in the dog. RCC-No. 077837 (FMC
    Study No. A95-4249). Unpublished report prepared by Research
    Consulting Company AG, Itingen, Switzerland. Submitted to WHO by FMC
    Corp., Philadelphia, PA, USA.

    Bloch, I. Frei, T., Luetkenmeier, H., Vogel, W. & Terrier, C. (1987b)
    4-Week oral toxicity (feeding) study with carbofuran 'D 1221' in male
    dogs. RCC No. 087963 (FMC Study No. A95-4248). Unpublished report
    prepared by Research & Consulting Company AG, Itingen, Switzerland.
    Submitted to WHO by FMC Corp., Philadelphia, PA, USA.

    Brown, W.R. (1980) 2-Year dietary toxicity and carcinogenicity study
    in mice with technical carbofuran. Act No. 150.52 Histopathology Part.
    Unpublished report prepared by Research Pathology Services, Inc. PA,
    USA. Submitted to WHO by FMC Corp., Philadelphia, PA, USA.

    Burtner, B.R. (1982) 14-Day oral toxicity (range finding) study in
    beagle dogs of carbofuran. (FMC Study No. A81-604, Toxicogenics No.
    410-0714). Unpublished report prepared by ToxiGenics, Inc., IL, USA.
    Submitted to WHO by FMC Corp., Philadelphia, PA, USA.

    Case, R.S. & Wilson, N.H. (1979) Cholinesterase evaluation conducted
    during a two year dietary toxicity/oncogenicity study with carbofuran
    in rats. Study No. Tox-79-001. Unpublished report prepared for FMC.
    Submitted to WHO by FMC Corp., Philadelphia, PA, USA.

    Coleman, A.M.E., Smith, A. & Watson, D. (1990) Occupational carbamate
    pesticide intoxication in three farm workers.  West Indian Med. J.,
    39, 109-113.

    Courtney, K.D., Andrews, J.E., Springer, J. & Dalley, L. (1985)
    Teratogenic evaluation of the pesticides Baygon, carbofuran,
    dimethoate and EPN.  J. Environ. Sci. Health B, 20, 373-406.

    DeGraff, M.G. (1983a) Mutagenicity evaluation of FMC 10242 in the Ames
     Salmonella/microsome plate test Study No. A 83-1037). Unpublished
    report by Litton Bionetics, Inc., Kensington, MD, USA. Submitted to
    WHO by FMC Corp., Philadelphia, PA, USA.

    DeGraff, W.G. (1983b) Mutagenicity evaluation of MC 10242 for the
    sex-linked recessive lethal test in  Drosophila melanogaster. Study
    No. A 83-1060. Unpublished report prepared by Litton Bionetics, Inc.
    Kensington, MD, USA. Submitted to WHO by FMC Corp., Philadelphia, PA,
    USA.

    Dorough, H.W. (1968) Metabolism of Furadan (NIA-10242) in rats and
    houseflies.  J. Agric. Food Chem., 16, 319-325.

    Elleman, P.N. (1979) Acute oral toxicity (FIFRA-EPA) in rats with
    carbofuran technical (FMC Study No. A 79-339, CSE-Study No. 0180).
    Unpublished report prepared by Cosmopolitan Safety Evaluation (CSE)
    Inc., NJ, USA. Submitted to WHO by FMC Corp., Philadelphia, PA, USA.

    Ellison, T. (1980) Audit validaton of the skin sensitization test on
    NIA 10242 Technical. Unpublished report on Study No. A 5300. Submitted
    to WHO by FMC Corp., Philadelphia, PA, USA.

    Farrow, M.G. (1983a)  Salmonella typhimurium/mammalian microsome
    plate incorporation assay with compound FMC 10242 (FMC Study-No. A
    83-905, HLA No. 331). Unpublished report prepared by Hazleton
    Laboratories America, Inc., VA, USA. Submitted to WHO by FMC Corp.,
    Philadelphia, PA, USA.

    Farrow, M.G. (1983b)  Salmonella typhimurium/mammalian microsome
    plate incorporation assay with compound FMC 10242 (FMC Study No. A
    83-907, HLA No. 332). Unpublished report prepared by Hazleton
    Laboratories America, Inc., VA, USA. Submitted to WHO by FMC Corp.,
    Philadelphia, PA, USA.

    Farrow, M.G. (1983c)  Salmonella typhimurium/mammalian microsome
    plate incorporation assay with compound FMC 10242 (FMC Study No. A
    83-909, HLA No. 333). Unpublished report prepared by Hazleton
    Laboratories America, Inc., VA, USA. Submitted to WHO by FMC Corp.,
    Philadelphia, PA, USA.

    Ferguson, P.W., Dey, M.S., Jewell, S.A. & Krieger, R.I. (1984)
    Corbofuran metabolism and toxicity in the rat.  Fundam. Appl.
     Toxicol., 4, 14-21.

    Freeman, C. (1984a) Acute oral toxicity of FMC 18209 technical
    (3-hydroxy-carbofuran) in rats. FMC Study No. A 83-1136. Unpublished
    report prepared by FMC Toxicology Laboratory, NJ, USA. Submitted to
    WHO by FMC Corp., Philadelphia, PA, USA.

    Freeman, C. (1984b) Acute oral toxicity of FMC 17481 technical
    (3-keto-carbofuran) in rats. FMC Study No. A 83-1137. Unpublished
    report prepared by FMC Toxicology Laboratory, NJ, USA. Submitted to
    WHO by FMC Corp., Philadelphia, PA, USA.

    Freeman, C. (1984c) Acute oral toxicity of FMC 16497 (3-hydroxy-
    7-phenol) rats. FMC Study No. A83-1134. Unpublished report Pprepared
    by FMC Toxicology Laboratory, NJ, USA. Submitted to WHO by FMC Corp.,
    Philadelphia, PA, USA.

    Freeman, C. (1984d) Acute oral toxicity of FMC 19841 (3-keto-7-phenol)
    in rats. FMC Study No. A83-1135. Unpublished report prepared by FMC
    Toxicology Laboratory, NJ, USA. Submitted to WHO by FMC Corp.,
    Philadelphia, PA, USA.

    Freeman, C. (1984e) Acute oral toxicity of FMC 10272 (7-phenol) in
    rats. FMC Study No. A83-1133. Unpublished report prepared by FMC
    Toxicology Laboratory, NJ, USA. Submitted to WHO by FMC Corp.,
    Philadelphia, PA, USA.

    Freeman, C. (1993) Twenty-eight day neurotoxicity range-finding study
    in rats with carbofuran technical. FMC No. A 92-3704. Unpublished
    report prepared by FMC Corporation, Toxicology Laboratory, NJ, USA.
    Submitted to WHO by FMC Corp., Philadelphia, PA, USA.

    Freeman, C. (1994) Subchronic neurotoxicity screen in rats with
    carbofuran technical. FMC Study No. 92-3705. Unpublished report
    prepared by FMC Corporation Toxicology Laboratory, NJ, USA. Submitted
    to WHO by FMC Corp., Philadelphia, PA, USA.

    Flucke, W. (1986) SRA 12869 (isofenphos) and D 1221 (carbofuran):
    Study for combination toxicity. Study No. 134337. Unpublished report
    prepared by Bayer AG, Insititute of Toxicology. Submitted to WHO by
    Bayer AG, Leverkusen, Germany.

    Fukuto, T.R. & Metcalf, R.L. (1969) Metabolism of insecticides in
    plants and animals. Biological effects of pesticides in mammalian
    systems.  Ann. NY Acad. Sci., 160, Art. 1.

    Georgian, L.I., Moraru, I., Draghicescu, T. & Tarnavschi, R. (1985)
    The effect of low concentrations of carbofuran, cholin salt of maleic
    hydrazine, propham and chlorpropham on sister-chromatid exchange (SCE)
    frequency in human lymphocytes  in vitro. Mutat. Res., 147, 296.

    Goldenthal, E.I. (1982a) 2-Year dietary toxicity and carcinogenicity
    study in mice. FMC Study No. Act No. 150.52 (IRDC No. 167-116).
    Unpublished report prepared by International Research and Development
    Corporation, MI, USA. Submitted to WHO by FMC Corp., Philadelphia, PA,
    USA.

    Goldenthal, E.I. (1982b) 2-Year dietary toxicity and carcinogenicity
    study in rats. FMC Study No. Act No. 130.51 (IRDC No. 167-115).
    Unpublished report prepared by International Research and Development
    Corporation, MI, USA. Submitted to WHO by FMC Corp., Philadelphia, PA,
    USA.

    Goldenthal, E.I. (1982c) Three generation reproduction study in rats.
    FMC Study No. Act. No. 131.53 (IRDC No. 167-114). Unpublished report
    prepared by International Research and Development Corporation, MI,
    USA. Submitted to WHO by FMC Corp., Philadelphia, PA, USA.

    Haworth, S.R. & Lawlor, T.E. (1983a)  Salmonella/mammalian microsome
    plate incorporation mutagenicity assay (Ames test). Carbofuran
    technical. FMC Study No. A 83-868 (MBA Study No. 1921.501).
    Unpublished report prepared by Microbiological Associates, MD, USA.
    Submitted to WHO by FMC Corp., Philadelphia, PA, USA.

    Haworth, S.R. & Lawlor, T.E. 1983b)  Salmonella/mammalian microsome
    plate incorporation mutagenicity assay (Ames test). Carbofuran
    technical. FMC Study No. A 83-913 (MBA Study No. 1934.501).
    Unpublished report prepared by Microbiological Associates, MD, USA.
    Submitted to WHO by FMC Corp., Philadelphia, PA, USA.

    Haworth, S.R. & Lawlor, T.E. (1983c)  Salmonella/mammalian microsome
    plate incorporation mutagenicity assay (Ames test). Carbofuran
    Technical. FMC Study No. A 83-948 (MBA Study No. 1938.501).
    Unpublished report prepared by Microbiological Associates, MD, USA.
    Submitted to WHO by FMC Corp., Philadelphia, PA, USA.

    Haworth, S.R. & Lawlor, T.E. (1983d)  Salmonella/mammalian microsome
    plate incorporation mutagenicity assay (Ames test). Carbofuran
    technical. FMC Study No. A 83-949 (MBA Study No. 1936.501).
    Unpublished report prepared by Microbiological Associates, MD, USA.
    Submitted to WHO by FMC Corp., Philadelphia, PA, USA.

    Haworth, S.R. & Lawlor, T.E. (1983e)  Salmonella/mammalian microsome
    plate incorporation mutagenicity assay (Ames test). Carbofuran
    technical. FMC Study No. A 83-950 (MBA Study No. 1935.501).
    Unpublished report prepared by Microbiological Associates, MD, USA.
    Submitted to WHO by FMC Corp., Philadelphia, PA, USA.

    Haworth, S.R. & Lawlor, T.E. (1983f)  Salmonella/mammalian microsome
    plate incorporation mutagenicity assay (Ames test). Carbofuran
    technical. FMC Study No. A 83-951 (MBA Study No. 1937.501).
    Unpublished report prepared by Microbiological Associates, MD, USA.
    Submitted to WHO by FMC Corp., Philadelphia, PA, USA.

    Haworth, S.R. & Lawlor, T.E. (1983g)  Salmonella/mammalian microsome
    plate incorporation mutagenicity assay (Ames test). Carbofuran
    technical. FMC Study No. A 83-973 (MBA Study No. 1982.501).
    Unpublished report prepared by Microbiological Associates, MD, USA.
    Submitted to WHO by FMC Corp., Philadelphia, PA, USA.

    Haworth, S.R. & Lawlor, T.E. (1983h)  Salmonella/mammalian microsome
    plate incorporation mutagenicity assay (Ames test). Carbofuran
    technical. FMC Study No. A 83-1063. Unpublished report prepared by
    Microbiological Associates, MD, USA. Submitted to WHO by FMC Corp.,
    Philadelphia, PA, USA.

    Hoffman, S.L. & Robinson, R.A. (1994a) Metabolism of C14-carbofuran
    in laying hens. XBL Study No. XBL 92051; FMC Study No. 078 POU 92M1.
    Unpublished report prepared by XenoBiotic Laboratories, Inc.,
    Plainsboro, NJ, USA. Submitted to WHO by FMC Corp., Philadelphia, PA,
    USA.

    Hoffman, S.L. & Robinson, R.A. (1994b) Metabolism of C14-carbofuran
    in lactating goats. XBL Study No. XBL 92051; FMC Study No. 078 GOA
    92M1. Unpublished report prepared by XenoBiotic Laboratories, Inc.,
    Plainsboro, NJ, USA. Submitted to WHO by FMC Corp., Philadelphia, PA,
    USA.

    Kedderis, L.B. (1985a) Seven-day repeated dose dermal toxicity
    range-finding study in rabbits with FMC 10242 technical (carbofuran).
    Study No. A 85-1645. Unpublished report prepared by FMC Corporation.
    NJ, USA. Submitted to WHO by FMC Corp., Philadelphia, PA, USA.

    Kedderis, L.B. (1985b) Twenty-one day repeated dose dermal toxicity
    range-finding study in rabbits with FMC 10242 technical (carbofuran).
    Study No. A 85-1678. Unpublished report prepared by FMC Corporation,
    NJ, USA. Submitted to WHO by FMC Corp., Philadelphia, PA, USA.

    Kirby, P.E. (1983a) L 5178Y TK+/- mouse lymphoma mutagenesis assay.
    FMC Study No. A 83-962 and A 83-988 (MBA Study No. T1982.701).
    Unpublished report prepared by Microbiological Associates, Bethesda,
    MD, USA. Submitted to WHO by FMC Corp., Philadelphia, PA, USA.

    Kirby, P.E. (1983b) L5178Y TK+/- mouse lymphoma mutagenesis assay.
    FMC Study No. A 83-1064 (MBA Study No. T2124.201). Unpublished report
    prepared by Microbiological Associates, Bethesda, MD, USA. Submitted
    to WHO by FMC Corp., Philadelphia, PA, USA.

    Knaak, J.B., Munger, D.M. & McCarthy, J.F. (1969) The metabolism of
    carbofuran alfalfa residues in the rat. Abstracts of Papers, 158th
    National Meeting of the American Chemical Society, 7-12 September.
    Submitted to WHO by FMC Corp., Philadelphia, PA, USA.

    Kuhr, R.J. & Dorough, H.W. (1976)  Carbamate Insecticides: Chemistry,
     Biochemistry and Toxicology, Cleveland, OH, CRC Press. Submitted to
    WHO by FMC Corp., Philadelphia, PA, USA.

    Laveglia, J. (1981) Teratology study in the rabbit with carbofuran.
    FMC Study No. A 80-452 (IRDC No. 167-156). Unpublished report prepared
    by International Research and Development Corporation, MI, USA.
    Submitted to WHO by FMC Corp., Philadelphia, PA, USA.

    Mehta, C.S. (1981) Rabbit acute dermal toxicity. FMC Study No. A
    81-564 (Stillmeadow No. 2142.81). Unpublished report prepared by
    Stillmeadow, Inc., TX, USA. Submitted to WHO by FMC Corp.,
    Philadelphia, PA, USA.

    Metcalf, R.L., Fukuto, T.R., Collins, C., Borck, K., Abd El-Aziz, S.,
    Munoz, R. & Cassil, C.C. (1968) Metabolism of 2,2-dimethyl-
    2,3-dihydrobenzofuranyl-7  N-methylcarbamate (Furadan) in plants,
    insects and mammals.  J. Agric. Food Chem., 16, 300-311.

    Mihail, F. (1981) D1221 (carbofuran) and Dacamox (thiofanox): Acute
    combination toxicity study. Study No. 10280. Unpublished report
    prepared by Bayer AG, Institute of Toxicology. Submitted to WHO by
    Bayer AG, Leverkusen, Germany.

    Moriya, M., Ohta, K., Watanabe, T., Miyazawa, K., Kato, K. & Shirasw
    Y. (1983) Further mutagenicity studies on pesticides in bacterial
    reversion assay systems.  Mutat. Res., 116, 185-216.

    Norwell, M.J. (1983a) Acute oral toxicity of FMC 10242, technical, in
    rats. FMC Study No. A 83-1101. Unpublished report prepared by FMC
    Toxicology Laboratory, NJ, USA. Submitted to WHO by FMC Corp.,
    Philadelphia, PA, USA.

    Norwell, M.J. (1983b) Acute oral toxicity of FMC 10242, technical, in
    rats. FMC Study No. A 83-1102. Unpublished report prepared by FMC
    Toxicology Laboratory, NJ, USA. Submitted to WHO by FMC Corp.,
    Philadelphia, PA, USA.

    Ponnock, K.S. (1994) A developmental neurotoxicity study of carbofuran
    in the rat via dietary administration. Study No. 93-4506, FMC Study
    No. A 93-3746. Unpublished report prepared by Pharmaco LSR, Inc.
    Toxicology Services North America, NJ, USA. Submitted to WHO by FMC
    Corp., Philadelphia, PA, USA.

    Putman, D.L. (1983a) Activity of FMC 10242 in the in vivo cytogenetics
    assay in Sprague-Dawley rats. FMC Study No. A 83-972 (MBA No.
    T1982.102). Unpublished report prepared by Microbiological Associates,
    Bethesda, MD, USA. Submitted to WHO by FMC Corp., Philadelphia, PA,
    USA.

    Putman, D.L. (1983b) Activity of FMC 10242 in the subchronic in vivo
    cytogenetics assay in male rats. Study No. A 83-1065 (MBA No.
    T2124.102). Unpublished report prepared by Microbiological Associates,
    Bethesda, MD, USA. Submitted to WHO by FMC Corp., Philadelphia, PA,
    USA.

    Rao, G.N. (1978) Teratology study of carbofuran in rabbits. Study No.
    185-33. Unpublished report prepared by Warf Institute, Inc. WI, USA.
    Submitted to WHO by FMC Corp., Philadelphia, PA, USA.

    Rapp, W.R. (1980a) 24 Month dietary toxicity/carcinogenicity study of
    carbofuran in rats. Act No. 130.51. Pathology report. Unpublished
    report prepared by Wm. R. Rapp & Co. Inc., Allied Services for
    Research, NJ, USA. Submitted to WHO by FMC Corp., Philadelphia, PA,
    USA.

    Rapp, W.R. (1980b) A three generation reproduction study of carbofuran
    in rats. FMC Act No. 131.531. Pathology report. Unpublished report
    prepared by Wm. R. Rapp & Co. Inc., Allied Services for Research, NJ,
    USA. Submitted to WHO by FMC Corp., Philadelphia, PA, USA.

    Rodwell, D.E. (1980a) Teratology study in the rat with carbofuran.
    (FMC Study No. A 80-453, IRDC No. 167-155). Unpublished report
    prepared by International Research and Development Corp., MI, USA.
    Submitted to WHO by FMC Corp., Philadelphia, PA, USA.

    Rodwell, D.E. (1980b; amended 1985) Pilot teratology study in the rat
    with carbofuran in the diet (FMC Study No. A 80-443, IRDC No.
    167-153). Unpublished report prepared by International Research and
    Development Corp., MI, USA. Submitted to WHO by FMC Corp.,
    Philadelphia, PA, USA.

    Rodwell, D.E. (1981; with amendment) Teratology and postnatal study in
    the rat with carbofuran (FMC Study No. A 80-444, IRDC No. 167-154).
    Unpublished report prepared by International Research and Development
    Corp., MI, USA. Submitted to WHO by FMC Corp., Philadelphia, PA, USA.

    Sabol, R.J. (1979a) Rat acute oral toxicity with carbofuran technical.
    Study No. 1083-79; FMC Study No. ACT 267.01-01. Unpublished report
    prepared by Stillmeadow, Inc., TX, USA. Submitted to WHO by FMC Corp.,
    Philadelphia, PA, USA.

    Sabol, R.J. (1979b) Rat acute oral toxicity with furadan insecticide,
    carbofuran 96.6%. Study No. 11231-79; FMC Study No. ACT 267.01-02
    (01). Unpublished report prepared by Stillmeadow, Inc., TX, USA.
    Submitted to WHO by FMC Corp., Philadelphia, PA, USA.

    Schoenig, G. (1967) Skin sensitization test on NIA 10242 technical.
    IBT Study No. A 5300. FMC Study No. NCT 176.36. Unpublished report
    prepared by Industrial Bio Test Laboratory, Inc, IL, USA. Submitted to
    WHO by FMC Corp., Philadelphia, PA, USA.

    Sharma, V.K. & Kaur, S. (1990) Contact sensitization by pesticides in
    farmers.  Contact Derm., 23, 77-80.

    Signorin, J. (1995) DOT acute inhalation toxicity study in rats. FMC
    Study No. A 94-4097. Unpublished report prepared by FMC Corp.,
    Toxicology Laboratory, NJ, USA. Submitted to WHO by FMC Corp.,
    Philadelphia, PA, USA.

    Simmon, U.F. (1979) In vitro microbiological mutagenicity and
    unscheduled DNA synthesis studies of eighteen pesticides. Study No.
    68-01-2458 (FMC Study No. A81-509, EPA 600/1-79-041). Report prepared
    by SRI International, Menlo Park, California, for Health Effects
    Research Laboratory Office of Research and Development. US
    Environmental Protection Agency, Research Triangle Park, NC, USA.
    Submitted to WHO by FMC Corp., Philadelphia, PA, USA.

    Stehrer-Schmid, P. & Wolf, H.U. (1995) Effects of benzofuran and seven
    benzofuran derivatives including four carbamate insecticides in the in
    vitro porcine brain tubulin assembly assay and description of a new
    approach for the evaluation of the test data.  Mutat. Res., 339,
    61-72.

    Taylor, G.D. (1983) One-year chronic oral toxicity study in beagle
    dogs with carbofuran. FMC study No. A 81-605 (Toxicogenics No.
    410-0715). Unpublished report prepared by ToxiGenics, Inc., IL, USA.
    Submitted to WHO by FMC Corp., Philadelphia, PA, USA.

    Thilagar, A. (1983a) Unscheduled DNA synthesis in rat primary
    hepatocytes. FMC Study No. A 83-969 (MBA No. T1982.380). Unpublished
    report prepared by Microbiological Associates, Bethesda, MD, USA.
    Submitted to WHO by FMC Corp., Philadelphia, PA, USA.

    Thilagar, A. (1983b) Sister chromatid exchange assay in Chinese
    hamster ovary (CHO) cells. FMC Study No. A 83-1095 (MBA No.
    1982.334001). Unpublished report prepared by Microbiological
    Associates, Bethesda, MD, USA. Submitted to WHO by FMC Corp.,
    Philadelphia, PA, USA.

    Thilagar, A. (1983c) Sister chromatid exchange assay in Chinese
    hamster ovary (CHO) cells. FMC Study No. A 83-1097 (MBA No.
    2124.334001). Unpublished report prepared by Microbiological
    Associates, Bethesda, MD, USA. Submitted to WHO by FMC Corp.,
    Philadelphia, PA, USA.

    Thilagar, A. (1983d) Chromosome aberrations in Chinese hamster ovary
    (CHO) cells. FMC Study No. A 83-1096. Unpublished report prepared by
    Microbiological Associates, Bethesda, MD, USA. Submitted to WHO by FMC
    Corp., Philadelphia, PA, USA.

    Valencia, R. (1981) Mutagenesis screening of pesticides using
     Drosophila. FMC Study No. A 83-1042 (EPA 600/1-81-017). Report
    prepared by Warf Institute Inc., Madison, WI, for Health Effects
    Research Laboratory. Office of Research and Development, US
    Environmental Protection Agency, Research Triangle Park, NC, USA.
    Submitted to WHO by FMC Corp., Philadelphia, PA, USA.

    Valencia, R. (1983)  Drosophila sex-linked recessive lethal assay
    of 2,3-dihydro-2,2-dimethyl-7-benzofuranyl- N-methyl carbamate
    (carbofuran). FMC Study No. A 83-1019 (MBA No. T1047.160). Unpublished
    report prepared by Microbiological Associates, Bethesda, MD and the
    University of Wisconsin, Zoology Department, USA. Submitted to WHO by
    FMC Corp., Philadelphia, PA, USA.

    WHO (1996)  The WHO Recommended Classification of Pesticides by Hazard
     and Guidelines to Classification 1996-1997 (WHO/PCS/96.3), International
    Programme on Chemical Safety, Geneva.

    Woijcieckowski, J.P., Kaur, P. & Sabharwal, P.S. (1982) Induction of
    ouabain resistance in V-79 cells by four carbamate pesticides.
     Environ. Res., 29, 48-53.
    


    See Also:
       Toxicological Abbreviations
       Carbofuran (ICSC)
       Carbofuran (Pesticide residues in food: 1979 evaluations)
       Carbofuran (Pesticide residues in food: 1980 evaluations)
       Carbofuran (JMPR Evaluations 2002 Part II Toxicological)