IPCS INCHEM Home

    PARATHION-METHYL (addendum)

     First draft prepared by
     M.S. Morrow,
     US Environmental Protection Agency
     Washington DC, USA

    Explanation
    Evaluation for acceptable daily intake
         Biochemical aspects
              Absorption, distribution, and excretion
              Biotransformation
         Toxicological studies
              Acute toxicity
              Short-term toxicity
              Long-term toxicity and carcinogenicity
              Reproductive and developmental toxicity
              Genotoxicity
              Special studies
                   Dermal and ocular irritation and dermal sensitization
                   Neurotoxicity
         Observations in humans
         Comments
         Toxicological evaluation
    References

    Explanation

         Parathion-methyl was last evaluated toxicologically by the Joint
    Meeting in 1984., when an ADI of 0-0.02 mg/kg bw was allocated
    (Annex I, reference 42). Since the last evaluation, additional studies
    have been conducted on this chemical, which are summarized in this
    monograph addendum. Parathion-methyl was re-evaluated at the present
    Meeting within the periodic review programme of the CCPR, with
    particular attention to the recent WHO Environmental Health Criteria
    monograph on parathion-methyl (EHC 145).

    Evaluation for acceptable daily intake

    1.  Biochemical aspects

    (a)  Absorption, distribution, and excretion

         Parathion-methyl can be absorbed through the skin and the
    digestive and respiratory tracts. Absorption from the gastrointestinal
    tract is rapid, and detection in the bloodstream has been reported
    immediately after oral administration. Differences between the oral
    and intravenous toxicity of parathion-methyl that have been reported
    are believed to occur during the first pass through the liver.
    Activation reactions by liver microsomal oxidases result in the
    formation of the toxic substance, methyl paraoxon. Detoxification of
    parathion-methyl and methyl paraoxon are accomplished by conjugation
    with glutathione.

         When parathion-methyl was administered intravenously to mongrel
    dogs at doses of 1, 3, 10, or 30 mg/kg bw, a rapid decrease in serum
    parathion-methyl concentrations was reported during the first few
    hours, due primarily to distribution and elimination of the lower
    concentrations. At the two higher doses, a slower decrease in serum
    concentrations was reported and was associated with linear deep-
    compartment kinetics (Braeckman  et al., 1980).

         Administration of labelled parathion-methyl to male and female
    rats as a single oral dose or as a single oral dose preceded by 14
    oral doses of nonradioactive test material resulted in rapid
    absorption of the material from the gastrointestinal tract, with
    62-94% of the radiolabel excreted within 8 h. By 48 h, 76-99% of the
    label had been excreted, urinary excretion being identified as the
    major route. Negligible amounts of label were found in the blood,
    tissues, organs, and expired air (Van Dijk, 1988).

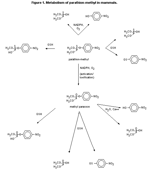
    (b)  Biotransformation

         Conversion of parathion-methyl to its toxic metabolite,
    methyl paraoxon, occurs within minutes of oral administration
    (Yamamoto  et al., 1983). The liver is the primary organ for
    detoxification by reactions involving either O-demethylation or
    hydrolysis and resulting in the formation of demethyl compounds or
    dimethyl phosphoric acids. The main metabolites recovered from the
    urine of humans after administration of parathion-methyl were
     para-nitrophenol and dimethyl phosphate.

         The metabolism of parathion-methyl in mammals is shown in 
    Figure 1.

    2.  Toxicological studies

    (a)  Acute toxicity

         The acute toxicity of parathion-methyl in rats is shown in 
    Table 1.

        Table 1.  Acute toxicity of parathion-methyl in rats
                                                                                              

    Sex       Route         LD50 or LC50   Purity           Reference
                                           (mg/kg bw or     (%)
                                           mg/litre air)
                                                                                              

    Male      Oral          25             80               Cuthbert & Carr (1986)
    Female                  62
    Male      Dermal        483            80               Cuthbert & Carr (1986)
    Female                  481
    Male      Inhalation    0.135          80               Greenough & McDonald (1986)
                                                                                              
    
    (b)  Short-term toxicity

    Mice

         Groups of 15 CD-1 mice of each sex were fed diets containing
    parathion-methyl (purity, 93.65%) at levels of 0,10, 30, or 60 ppm.
    The diets were analysed periodically to determine the content of
    parathion-methyl. The mean body weights of males at 30 ppm were 3-7%
    lower than those of controls, but only during the first five weeks of
    the study. At the highest dose, the body weights of both males and
    females were 4-20% lower than those of controls. No effects were
    reported on mortality, clinical signs, or histopathological
    appearance. A decrease in absolute and relative testicular weights was
    reported in all males, but no histological abnormalities were seen.
    Decreased ovarian weights were seen in females at the middle and high
    doses. Cholinesterase inhibition was not measured. The NOAEL was
    10 ppm, equivalent to 1.5 mg/kg bw per day (Daly & Rhinehart, 1980a).

    CHEMICAL STRUCTURE

    Rats

         Groups of 20 Sprague-Dawley rats of each sex received diets
    containing parathion-methyl (purity, 93.65%) at doses of 0, 2.5, 25,
    or 75 ppm for 91-94 consecutive days. Females at the highest dose had
    increased mortality during the first four weeks of the study, and
    animals of each sex showed tremors, emaciation, anogenital staining,
    and decreased body weight, although food consumption was greater than
    that of controls. Erythrocyte parameters and the levels of glucose,
    total protein, albumin, and globulin were decreased at one or more
    intervals in animals at the high dose, and increases were reported in
    serum aspartate aminotransferase and alkaline phosphatase activities
    and in blood urea nitrogen. The haematological and serum chemistry
    values were, however, within biologically normal ranges. Gross and
    histopathological changes were reported in animals at the high dose,
    including discoloured and abraded foci in the stomach, which were
    correlated histologically with ulcerative gastritis, but these were
    considered secondary to the stress that resulted from administration
    of the test material. Additional histological findings included
    lymphoid necrosis and necrosis of the submaxillary salivary glands. At
    the medium dose, erythrocyte and plasma cholinesterase activities were
    decreased in animals of each sex, whereas brain acetylcholinesterase
    activity was inhibited only in females. Erythrocyte acetylcholine-
    sterase activity was decreased in males at the low dose but not to a
    biologically significant level. The NOAEL was 2.5 ppm, equivalent to
    0.125 mg/kg bw per day, and was based on the decrease in brain
    acetylcholinesterase activity in females (Daly & Rhinehart, 1980b).

    Rabbits

         Groups of five male and five female New Zealand white rabbits
    received parathion-methyl (purity, 93.1%) topically at doses of 0, 1,
    5, 10, or 100 mg/kg bw per day for 21 days. The compound was applied
    as a 1% solution in carboxymethylcellulose to a depilated surface on
    the body of each animal and was held in contact with the skin for 6 h
    on each day of exposure. No dermal effects were reported in males, but
    in females at 10 and 100 mg/kg bw per day inhibition of erythrocyte
    acetylcholinesterase activity was seen. The LOAEL was 10 mg/kg bw per
    day, and the NOAEL was 5 mg/kg bw per day (Goad, 1992).

         Groups of six New Zealand white rabbits of each sex received
    parathion-methyl (purity, 96.3%) topically at doses of 0,10, 50, or
    250 mg/kg bw per day. One-half of the animals in each group were
    tested on abraded skin. At > 50 mg/kg bw per day, brain and
    erythrocyte acetylcholinesterase activities were inhibited. The NOAEL
    was 10 mg/kg bw per day (Mihail & Vogel, 1984).

    Dogs

         Groups of two beagle dogs of each sex were given parathion-methyl
    (purity, 94.3%) in the diet at levels of 0, 2.5, 5 or 10 mg/kg bw per
    day for 14 days. Decreases in body-weight gain and/or body weight were
    reported in males and females at the middle and high doses, and feed
    consumption was significantly lower in all animals at the high dose
    and in females at the middle dose. Cholinesterase inhibition was not
    measured. The NOEL was 2.5 mg/kg bw per day, based on the effects on
    body weight and food consumption at 5 mg/kg bw per day (Tegeris &
    Underwood, 1977).

         Groups of four beagle dogs of each sex were fed diets containing
    parathion-methyl (purity, 94.32%) at levels of 0, 0.3,1, or 3 mg/kg bw
    per day for 13 weeks (90 days). There were no effects on body weight,
    food consumption, or mortality, and no clinical signs of toxicity;
    however, significant decreases in brain, erythrocyte, and plasma
    cholinesterase activities were seen in males and females at the high
    dose at weeks 6 and 13. At the middle dose, plasma cholinesterase
    activity was significantly decreased in males at week 13 and
    erythrocyte cholinesterase was significantly decreased in animals of
    each sex. The NOAEL was 1 mg/kg bw per day (Tegeris & Underwood,
    1978).

         Groups of eight beagle dogs of each sex received parathion-methyl
    (purity, 94.9%) at doses of 0, 0.03, 0.3, or 3 mg/kg bw per day for 13
    weeks, followed by a recovery period of up to seven weeks. Animals
    were observed for clinical signs of toxicity; extensive
    ophthalmological examinations were conducted, including fundic
    observations, intraocular pressure, electroretinogram, and slit-lamp
    examination. Brain cholinesterase was measured at terminal sacrifice.
    Significant decreases (> 20% of control levels) were seen in plasma
    and erythrocyte cholinesterase activities at weeks 6 and 13 in animals
    at the highest dose, and at terminal sacrifice the brain choline-
    sterase activity was 48% of that of controls. No functional or
    morphological ocular impairment was observed. The NOAEL was 0.3 mg/kg
    bw per day and the LOAEL was 3 mg/kg bw per day, based on the
    decreases in brain cholinesterase activity (Daly, 1989).

    (c)  Long-term toxicity and carcinogenicity

    Mice

         Parathion-methyl (purity, 95.5%) was fed to male and female
    B6C3F1 mice at dietary levels of 0, 1, 7, or 50 ppm for two years. No
    carcinogenicity was seen. Clinical signs of toxicity were infrequent
    in treated animals, and none of the gross or histopathological
    findings were associated with treatment. Erythrocyte, plasma, and

    brain cholinesterase activities were significantly inhibited in
    animals receiving 50 ppm. Erythrocyte acetylcholinesterase activity
    was also significantly inhibited (by 40-57% of the control value) in
    animals at 7 ppm. The NOAEL was 7 ppm, equal to 1.6 mg/kg bw per day
    (Eiben, 1991).

    Rats

         Groups of 70 Sprague-Dawley CD rats received diets containing
    parathion-methyl (purity, 94.6%) at levels of 0, 0.5, 2.5, 12.5, or
    50 ppm, equivalent to average intakes of 0.02, 0.107, 0.5, and
    2.2 mg/kg bw per day, for one year. Fifty animals of each sex per
    group were evaluated at the end of the study; two groups of five
    animals per sex per group were evaluated for ocular toxicity at six
    and 12 months; and two groups of five animals per sex per group were
    evaluated for changes in peripheral nerves at six and 12 months. No
    effects were seen on mortality, on the eye by ophthalmoscopic
    examination, or on the optic nerve or retina microscopically. Clinical
    signs of aggressiveness and hyperactivity were reported in animals
    receiving 50 ppm; reduced mean body weights were also reported at this
    dose. Plasma and erythrocyte cholinesterase levels were decreased by
    > 20% of control levels in animals of each sex at the two highest
    doses, and brain acetylcholinesterase activity was inhibited in
    animals of each sex at the highest dose and in females at 12.5 ppm.
    Peripheral neuropathy was seen in distal and proximal segments of the
    sciatic nerve in animals at the two highest doses, which was
    characterized by myelin bubbles and Schwann cell proliferation. An
    increased percentage of large diameter fibres was seen in the tibial
    nerves and an increased incidence of myelin ovoids in the sural nerves
    of males receiving 12.5 ppm. Myelin bubbles and Schwann cell
    proliferation were also seen in two of 10 rats at 2.5 ppm, but these
    changes were not statistically significant nor of the same degree of
    severity as those in rats receiving 12.5 ppm. The NOAEL was 2.5 ppm,
    equal to 0.11 mg/kg bw per day (Daly, 1991).

         Groups of 50 male and 50 female Wistar TNO/W74 rats received
    diets containing parathion-methyl (purity, 94.8%) at levels of 2, 10,
    or 50 ppm for two years. The control group comprised 100 rats of each
    sex. No carcinogenic effects were seen. Most of the toxic effects were
    observed at 50 ppm and included decreased body-weight gain, increased
    food consumption, tremors, slightly increased mortality, and decreased
    haemoglobin and haematocrit values in females at the high dose at
    termination. Alkaline phosphatase activity was increased and plasma
    protein levels were significantly lowered throughout the study,
    perhaps correlated with an increase in urinary protein. The other
    clinical findings were considered to be incidental. Plasma and
    erythrocyte cholinesterase activities were slightly inhibited in rats
    receiving 10 ppm of parathion-methyl, and brain cholinesterase
    activity was only 78% of the control value in males at this dose.

    Inhibition of plasma and erythrocyte cholinesterase activities was
    reported in animals of each sex at 50 ppm, and the brain
    cholinesterase activity was 50% of that reported for controls in males
    and 37% in females. The NOAEL was 2 ppm, equivalent to 0.1 mg/kg bw
    per day, and the LOAEL was 10 ppm, equivalent to 0.5 mg/kg bw per day,
    based on a 22% reduction in brain acetylcholinesterase activity
    (Bomhard  et al., 1981).

         Groups of 60 Sprague-Dawley rats of each sex received
    parathion-methyl (purity, 93.65%) at dietary levels of 0, 0.5, 5, or
    50 ppm for two years. No carcinogenic effects were seen. Toxic effects
    were observed in animals at 50 ppm and included tremors, anogenital
    staining, reduced body weight, retinal degeneration, decreases in
    erythrocyte parameters, and sciatic nerve degeneration. The plasma,
    erythrocyte, and brain cholinesterase activities of males at the high
    dose at study termination were significantly lower than those of
    controls (82, 9, and 76%, respectively, of the control value). In
    females, brain cholinesterase activity was reduced by 79%. At 5 ppm,
    an abnormal gait was reported in one female, and haemoglobin and
    haematocrit and erythrocyte counts were slightly reduced in other
    animals. No effects on cholinesterase activity were reported. The
    NOAEL was 5 ppm, equivalent to 0.25 mg/kg bw per day (Daly, 1983).

    Dogs

         Groups of eight beagle dogs received parathion-methyl (purity,
    93.7%) at levels of 0, 0.03, 0.1, or 0.3 mg/kg bw per day for one
    year. Animals were observed daily, clinical chemistry and haematology
    were assessed at designated intervals, and erythrocyte and plasma
    cholinesterase activities were monitored monthly. Brain acetylcholine-
    sterase activity was determined at study termination. No clinical
    signs and no significant effects on body weight or food consumption
    were reported, and clinical pathology, gross pathology, and
    histopathology showed no compound-related changes. The NOAEL was
    0.3 mg/kg bw per day, the highest dose tested (Ahmed & Saguartz,
    1981).

    (d)  Reproductive and developmental toxicity

    Rats

         Groups of Wistar HAN rats were given parathion-methyl (purity,
    97%) at doses of 0, 0.3, 1.0, or 3.0 mg/kg bw per day by gavage on
    days 6-15 of gestation. Parental animals were monitored for mortality,
    clinical signs of toxicity, body weights, food consumption, and
    cholinesterase activity. Litters were evaluated for abnormalities,
    sex, and weight. Five deaths and clinical signs of toxicity, including
    somnolence, ataxia, and dyspnoea, were seen in maternal animals at the
    high dose throughout the study. Increased post-implantation losses and

    decreases in food consumption, body weight, and body-weight gain were
    also reported, and plasma and erythrocyte cholinesterase activities
    were decreased. Fetuses from dams receiving 3.0 mg/kg bw showed an
    increased frequency of delayed ossification and reduced body weight.
    The maternal and developmental NOAEL was 1 mg/kg bw per day
    (Becker  et al., 1987)

         Inseminated female rats received parathion-methyl (purity, 94.4%)
    by gavage on days 6-15 of gestation at doses of 0, 0.1, 0.3, or
    1 mg/kg bw per day. At 1 mg/kg bw per day, maternal toxicity was seen,
    manifested as significantly decreased body-weight gain during
    treatment and gestation. Fetal weight was also significantly lower,
    and the frequency of stunted fetuses was greater. The NOAEL for
    maternal and developmental effects was 0.3 mg/kg bw per day
    (Machemer, 1977).

         In a multigeneration study of reproductive toxicity,
    parathion-methyl (purity, 95%) was administered in the diets of 10
    male and 20 female Wistar rats at levels of 0, 2, 10, or 50 ppm. Each
    of the F0, F1, and F2 generations was mated twice. At 50 ppm,
    convulsions were observed in F1b parents, and decreased growth was
    reported among parental animals of all generations. At this dose,
    adverse effects were reported on birth weight, litter size, and the
    viability and growth of pups. At 10 ppm, fertility was decreased and
    pup survival was slightly decreased in both the F1 and F2
    generations. The NOAEL for reproductive toxicity was 2 ppm, equivalent
    to 0.1 mg/kg bw per day (Löser & Eiben, 1982).

         In a two-generation study of reproductive toxicity, groups of 15
    male and 30 female Sprague-Dawley rats received parathion-methyl
    (purity, 93.7%) at dietary levels of 0, 0.5, 5, or 25 ppm for 14 weeks
    before mating of F0 parents and for 18 weeks before mating of F1
    parents. Treatment was continued through gestation and weaning.
    Selected F1 adults and five weanlings of each sex in each group per
    generation were examined histologically. The body weights of females
    at the high dose in both generations were reduced during the lactation
    period, but the litters of both generations appeared to be unaffected
    by treatment. No abnormalities were seen in reproductive performance,
    as indicated by mating, pregnancy, and fertility rates, pup viability
    and survival, and gross and microscopic lesions, nor were there
    significant differences in the body weights of offspring. The NOAEL
    was 5 ppm, equivalent to 0.25 mg/kg bw per day, for parental toxicity
    and 25 ppm, equivalent to 1.25 mg/kg bw per day, for reproductive
    toxicity (Daly 1982).

    Rabbits

         Groups of 15 inseminated Himalayan rabbits received parathion-
    methyl (purity, 95.7%) at doses of 0, 0.3, 1, or 3 mg/kg bw per day by
    gavage on gestation days 6-18. Fetuses were removed by caesarian
    section on day 29. No effects were reported on litter parameters. In
    maternal animals at 3 mg/kg bw, erythrocyte and plasma cholinesterase
    activities were inhibited, but no other effects were reported. The
    NOAEL was 1 mg/kg bw per day for maternal effects and
    3 mg/kg bw per day for developmental effects (Renhof, 1984).

    (e)  Genotoxicity

         The genotoxic effects of parathion-methyl are summarized in Table
    2.

    (f)  Special studies

    (i)  Dermal and ocular irritation and dermal sensitization

         Three male and three female New Zealand white rabbits received
    0.1 ml of parathion-methyl (purity, 80%) by instillation into the
    right eye. Slight redness was observed in the eyes of all rabbits 1 h
    after instillation; all had returned to normal by 48 h.

         Topical application of parathion-methyl (purity, 80%) to New
    Zealand white rabbits was associated with very slight to moderate
    erythema 1 and 24 h after removal of gauze patches. Slight oedema was
    also observed in one of six rabbits. The skin of all animals was
    normal by 48 h.

         In the Magnusson-Kligman test, female guinea-pigs received six
    intradermal doses of parathion-methyl (purity, 80%) in 5% paraffin oil
    or emulsified with 0.05 ml of Freund's complete adjuvant. A challenge
    concentration was applied two weeks after induction, and reactions
    were assessed 24 and 48 h after the patch was removed. Parathion-
    methyl was not considered to be a sensitizing agent in guinea-pigs
    (Cuthbert & Carr, 1986).

    (ii)  Neurotoxicity

         Groups of 10 male and 10 female Sprague-Dawley rats received
    parathion-methyl (purity, 93.1%) by gavage as single doses of 0,
    0.025, 7.5, 10 (males only), or 15 (females only) mg/kg bw.
    Neurobehavioural evaluations, consisting of a battery of tests for
    motor activity and functional observation, were conducted at
    designated intervals during the 14-day observation period, and plasma
    and erythrocyte cholinesterase activities were determined at several
    intervals during the study. Acetylcholinesterase activity was measured
    in six regions of the brain at the time of the peak effect and at day

        Table 2.  Results of tests for the genotoxicity of parathion-methyl
                                                                                                                                              

    End-point                   Test system              Concentration                Purity    Results           Reference
                                                         or dose                      (%)
                                                                                                                                              

    In vitro
    Reverse mutation            S. typhimurium TA98,     2-12 500 µg/plate            approx.   Positive in       Herbold (1986a)
                                TA100, TA1535, TA1537                                 96%       TA100 at
                                                                                                > 900 µg/plate
    Reverse mutation            S. typhimurium           2-12 500 µg/plate            94        Positive          Herbold (1986b)
    Unscheduled DNA             Rat hepatocytes          3 × 10-5-3 × 10-2 µl/ml      NR        Negative          Curren (1989)
     synthesis

    In vivo
    Dominant lethal mutation    Mouse                    10 mg/kg bw                  95.7      Negative          Herbold (1984)
    Micronucleus formation      Bor:NMRI mouse           2 × 5, 2 × 10 mg/kg bw       95.6      Negative          Herbold (1982)
                                                                                                                                              

    NR, not reported
        14. At the middle and high doses, parathion-methyl had transient
    effects on motor activity and function, inducing lacrimation,
    salivation, tremors, muscle fasciculations, ataxia, muscle weakness,
    and miosis; and plasma, erythrocyte, and brain cholinesterase
    activities were inhibited by 67, 56, and 76% at the time of the peak
    effect, respectively. in males at the high dose, body-weight gain was
    significantly lower than that of controls; similar findings were not
    made in females, and the mean body weights were not affected. In males
    at this dose, the number of sites at which focal demyelination was
    present was increased in comparison with controls, with demyelination
    in the cervical (3/6) and lumbar (5/6) dorsal root fibres, in the
    cervical (2/6) and lumbar (4/6) ventral root fibres, and in the lumbar
    spinal (1/6), tibial (3/6), and sural nerves (2/6). Similar findings
    were not found in females. The NOAEL for acute neurotoxicity was
    0.025 mg/kg bw (Minnema, 1994).

         In the study of long-term toxicity by Daly (1991) in
    Sprague-Dawley CD rats, ophthalmoscopic examination, electro-
    retinograms, light microscopy, and electron microscopy revealed no
    ocular toxicity. Microscopic and morphometric studies of various
    preparations of the sciatic nerve and its extensions revealed several
    lesions in animals at 12.5 and 50 ppm, which are consistent with
    demyelination. These included myelin bubbles, myelin ovoids, Schwann
    cell proliferation, and the presence of phagocytic cells. In addition,
    increased lengths of demyelination were observed in teased nerve
    preparations. The NOAEL for neurotoxicity was 2.5 ppm, equivalent to
    0.11 mg/kg bw per day (Daly, 1992).

         Hens received parathion-methyl (purity, 95.8%) by intubation at
    doses of 0 or 250 mg/kg bw; the test dose thus exceeded the LD50 of
    215 mg/kg bw. Positive control animals received 600 mg/kg bw of
    tri- ortho-cresyl phosphate. A second dose was administered 21 days
    after the first. No clinical signs were seen, and there were no
    histopathological lesions in the brain, spinal cord, or nervous tissue
    that were indicative of delayed neurotoxicity. One-half of the treated
    hens died; surviving birds showed clinical signs of toxicity including
    lethargy, depression, wing droop, salivation, shallow and rapid
    respiration, and cyanotic comb. The hens recovered within about seven
    days (Beaver  et al., 1990).

    3.  Observations in humans

         Five male volunteers received daily doses of 3 mg parathion-
    methyl for 28 days, followed by 3.5 mg per day for the next 28 days
    and then by 4 mg per day for 43 days. No signs of toxicity were
    reported, and no effect on plasma or erythrocyte cholinesterase
    activity was observed (Moeller & Rider, 1961).

         Three groups of five volunteers were given 4.5 mg parathion-
    methyl for 30 days, followed by 5 mg per day for 29 days or 5.5 mg per
    day for 24 days. These doses were followed by 6 mg per day for 29 days
    or by 6.5 mg/day for 35 days, and finally by 7 mg per day for 24 days.
    No significant inhibition of plasma or erythrocyte cholinesterase
    activity was reported (Moeller & Rider, 1962).

         After oral doses of up to 19 mg to male volunteers for 30 days,
    no evidence of toxicity was reported (Rider  et al., 1969); however,
    when doses of 24 mg were given daily for four weeks, plasma and
    erythrocyte cholinesterase activities were inhibited, by 23-24% and
    27-55%, respectively (Rider  et al., 1970). In another study
    (Rider  et al., 1971), doses of parathion-methyl that were increased
    from 14 to 20 mg over a 30-day period had no effect on cholinesterase
    activity. The NOAEL was thus 0.3 mg/kg bw per day.

    Comments

         Parathion-methyl is absorbed through the skin and from the
    respiratory and digestive tracts. Observed differences between its
    oral and intravenous toxicity are believed to be associated with
    first-pass effects in the liver. The compound is rapidly excreted;
    negligible amounts of the labelled dose were present in the blood,
    tissues, and organs at 48 h. Conversion of parathion-methyl to
    paraoxon-methyl has been shown to occur within minutes after oral
    administration to rats. Detoxification is achieved by O-demethylation
    or hydrolysis to  para-nitrophenol. In humans the primary urinary
    metabolites were  para-nitrophenol and dimethyl phosphate.

         Parathion-methyl is acutely toxic at low doses when administered
    either orally (LD50 = 4 mg/kg bw) or by inhalation (LC50 =
    0.13 mg/litre). The compound is slightly irritating to the skin and
    the eyes but has not been shown to be a sensitizing agent. WHO has
    classified parathion-methyl as 'extremely hazardous'.

         In a 90-day study in mice at dietary levels of 0, 10, 30, or
    60 ppm, the NOAEL was 10 ppm (equivalent to 1.5 mg/kg bw per day) on
    the basis of significant decreases in absolute and relative testicular
    weights. Cholinesterase activity was not measured in this study. In a
    90-day study in rats, the NOAEL was 2.5 ppm (equivalent to 0.12 mg/kg
    bw per day) on the basis of significant decreases in plasma,
    erythrocyte, and brain cholinesterase activities at 25 ppm (equivalent
    to 1.2 mg/kg bw per day).

         Two 13-week studies were conducted in dogs, in which parathion-
    methyl was administered at dietary levels of 0, 0.3, 1, or 3 mg/kg bw
    per day in one study and 0, 0.03, 0.3, or 3 mg/kg bw per day in the
    other. In both studies, the LOAEL was 3 mg/kg bw per day, on the basis
    of decreases in erythrocyte, plasma, and brain cholinesterase activity.
    The NOAELs were 1 and 0.3 mg/kg bw per day, respectively. In a one-year
    study in dogs, the NOAEL was also 0.3 mg/kg bw per day, the highest
    dose tested.

         In a one-year study in rats to determine the ocular and
    neurotoxic effects of parathion-methyl, dietary levels of 0, 0.5, 2.5,
    12, or 50 ppm were administered. Ocular toxicity was not observed.
    Degenerative changes of the sciatic nerve and its extensions
    consistent with demyelination were observed at the two highest doses.
    The LOAEL was 12 ppm, equal to 0.5 mg/kg bw per day. The NOAEL was
    2.5 ppm, equal to 0.1 mg/kg bw per day.

         In a two-year study in mice, parathion-methyl was not carcino-
    genic at dietary levels up to 50 ppm (equal to 9.2 mg/kg bw per day).
    The NOAEL was 7 ppm, equal to 1.6 mg/kg bw per day, on the basis of
    significant decreases in erythrocyte, plasma, and brain cholinesterase
    activities. In a study of toxicity and carcinogenicity in rats fed
    parathion-methyl at dietary levels of 0, 2, 10, or 50 ppm, there was
    no evidence of carcinogenicity. The NOAEL was 2 ppm (equivalent to
    0.1 mg/kg bw per day), and the LOAEL was 10 ppm (equivalent to
    0.5 mg/kg bw per day), on the basis of a reduction in brain
    acetylcholinesterase activity. In another two-year study In rats,
    parathion-methyl did not induce carcinogenic effects. The NOAEL was
    5 ppm (equivalent to 0.25 mg/kg bw per day) on the basis of tremors,
    anogenital staining, reduced body weight, retinal degeneration,
    sciatic nerve degeneration, decreased packed cell volume and
    haemoglobin and erythrocyte counts, and decreased brain cholinesterase
    activity in males and females at 50 ppm (equivalent to 2.5 mg/kg bw
    per day).

         Two studies of developmental toxicity were conducted in rats. In
    one study, animals received parathion-methyl by gavage at doses of
    0, 0.3,1, or 3 mg/kg bw per day. The NOAEL for maternal and
    developmental toxicity was 1 mg/kg bw per day on the basis of
    increased numbers of deaths, ataxia, and dyspnoea in dams and delayed
    ossification in fetuses. In another study, the NOAEL for maternal and
    developmental toxicity was 0.3 mg/kg bw per day on the basis of
    significant decreases in maternal body-weight gain during treatment
    and gestation and an increased incidence of stunted fetuses at 1 mg/kg
    bw per day. In studies of developmental toxicity in rabbits, decreased
    erythrocyte and plasma cholinesterase activities were reported in dams
    receiving 3 mg/kg bw per day by gavage. No developmental effects were
    reported that could be attributed to the administration of parathion-
    methyl. The NOAEL for maternal toxicity was 1 mg/kg bw, and that for
    developmental toxicity was 3 mg/kg bw.

         In a multigeneration study in rats, dietary levels of 0, 2, 10,
    or 50 ppm were administered. Slight effects on pup survival were
    reported in animals receiving 10 ppm, equivalent to 0.5 mg/kg bw per
    day. The NOAEL was 2 ppm, equivalent to 0.1 mg/kg bw per day. In
    another study, in which dietary levels of 0, 0.5, 5, or 25 ppm were
    administered, decreases in maternal body weights during the lactation
    period were observed at 25 ppm. The NOAEL was 5 ppm, equivalent to
    0.25 mg/kg bw per day. The overall NOAEL in the two studies of
    reproductive toxicity was 5 ppm, equivalent to 0.25 mg/kg bw per day.

         Parathion-methyl was mutagenic in bacteria, but there was no
    evidence of genotoxicity in a limited range of studies in mammalian
    systems.

         The NOAEL derived from the combined results of several studies
    conducted in humans, based on the depression of erythrocyte and plasma
    cholinesterase activities, was 0.3 mg/kg bw per day.

         An ADI of 0-0.003 mg/kg bw was established on the basis of the
    NOAEL of 5 ppm, equivalent to 0.25 mg/kg bw per day, in the two-year
    study in rats for retinal degeneration, sciatic nerve demyelination,
    reduced body weight, anaemia, and decreased brain acetylcholinesterase
    activity. A safety factor of 100 was used. Since the toxicological
    end-points seen in animals were other than acetylcholinesterase
    inhibition, a safety factor of 10 could not be applied to the NOAEL in
    humans.

    Toxicological evaluation

     Levels that cause no toxic effect

    Mouse:      7 ppm, equal to 1.6 mg/kg bw per day (two-year study of
                toxicity and carcinogenicity)

    Rat:        5 ppm, equivalent to 0.25 mg/kg bw per day (two-year study
                of toxicity and carcinogenicity)
                5 ppm, equivalent to 0.25 mg/kg bw per day (study of
                reproductive toxicity)

                0.3 mg/kg bw per day (maternal, embryo-, and fetotoxicity
                and teratogenicity in study of developmental toxicity)

    Rabbit:     1 mg/kg bw per day (maternal toxicity in study of
                developmental toxicity)
                3 mg/kg bw per day (no embryo- or fetotoxicity or
                teratogenicity in study of developmental toxicity)

    Dog:        0.3 mg/kg bw per day (one-year study of toxicity and
                carcinogenicity)

    Human:      0.3 mg/kg bw per day

     Estimate of acceptable daily intake for humans

         0-0.003 mg/kg bw

     Estimate of acute reference dose

         An acute reference dose of 0.03 mg/kg bw was derived by applying
    the usual 10-fold safety factor to an NOAEL of 19 mg/kg bw (highest
    oral dose), corresponding to about 0.3 mg/kg bw per day, in humans,
    based on the absence of inhibition of erythrocyte acetylcholinesterase
    activity.

     Studies that would provide information useful for continued evaluation
     of the compound

         Observations in humans, particularly reports of poisoning
    incidents and/or evaluation of potential long-term neurological and
    behavioural effects.
    
        Toxicological criteria for setting guidance values for dietary and non-dietary exposure to parathion-methyl
                                                                                                                           

    Exposure                    Relevant route, study type, species           Results, remarks
                                                                                                                           

    Short-term (1-7 days)       Skin, sensitization, guinea-pig               Not sensitizing
                                Eye, sensitization, rabbit                    Slightly irritating
                                Skin, irritation, rabbit                      Slightly irritating
                                Inhalation 4-h, toxicity, rat                 LC50 = 0.13 mg/litre
                                Oral, toxicity, rat                           LD50 = 4-62 mg/kg bw
                                Dermal, toxicity, rat                         LD50 = 480 mg/kg bw
                                Acute neurotoxicity, one dose, rat            NOAEL = 0.025 mg/kg bw per day

    Medium-term (1-26 weeks)    Repeated dermal, 21-day, toxicity, rabbit     NOAEL = 10 mg/kg bw per day; decreases
                                                                              in brain acetylcholinesterase activity
                                Repeated oral, 90-day, toxicity, rat          NOAEL = 0.125 mg/kg bw per day
                                Oral, developmental toxicity, rat             NOAEL = 0.3 mg/kg bw per day; decreased
                                                                              maternal body weights, decreased fetal
                                                                              weights, stunted growth
                                Repeated oral, reproductive toxicity, rat     NOAEL = 0.25 mg/kg bw per day; slight
                                                                              effects on pup survival

    Long-term (> one year)      Repeated oral, two-year toxicity and          NOAEL = 0.25 mg/kg bw per day
                                carcinogenicity, rat
                                                                                                                           
        References

    Ahmed, E & Saguartz, J.W. (1981) Methyl parathion: One year dog study.
         Unpublished report from Pharmacopathics Research Laboratories,
         Inc., USA. Submitted to WHO by Cheminova Agro SA,
         Lemvig, Denmark.

    Beaver, J.B., Foster, J., Cockrell, B.Y. & Jabar, M. (1990) Methyl
         parathion: An acute delayed neurotoxicity in the laying hen
          (Gallus gallus domesticus). Unpublished report No. USAE1200
         10590 from Wildlife International Ltd, USA. Submitted to WHO by
         Cheminova Agro SA, Lemvig, Denmark.

    Becker, H., Frei, D., Luetkemeier, H., Vogel, W. & Terrier, C. (1987)
         Embryotoxicity including teratogenicity study with E-120
         technical in the rat. Unpublished report provided by Cheminova
         Agro SA, Lemvig, Denmark.

    Bomhard, E., Loser, E. & Schilde, B. (1981) E-605 methyl
         (parathion-methyl) chronic toxicological study on rats (feeding
         experiment over two years). Unpublished report No. 9889 from
         Bayer AG. Submitted to WHO by Cheminova Agro SA, Lemvig, Denmark.

    Braeckman, R.A., Godefroot, M.G., Blondeel, G.M. & Belpaire, F.M.
         (1980) Kinetic analysis of the fate of methyl parathion in the
         dog.  Arch. Toxicol., 43, 263-271.

    Curren, R.D. (1989) Methyl parathion-Unscheduled DNA synthesis in rat
         primary hepatocytes. Unpublished report No. USAE 120220689 from
         Microbiological Associates, Inc., USA. Submitted to WHO by
         Cheminova Agro SA, Lemvig, Denmark.

    Cuthbert, J.A. & Carr, S.M.A. (1986) Methyl parathion 80% technical:
         Acute toxicity tests. Unpublished report No. IRI Project
         No. 234117 from Inveresk Research International, Musselburgh,
         United Kingdom. Submitted to WHO by Cheminova Agro SA,
         Lemvig, Denmark.

    Daly, I.W. (1982) A two generation reproduction study of methyl
         parathion in rats. Unpublished report from Biodynamics Inc., East
         Millstone, New Jersey, USA. Submitted to WHO by Cheminova Agro
         SA, Lemvig, Denmark.

    Daly, I.W. (1983) A two-year chronic feeding study of methyl parathion
         in rats. Unpublished report No. 77-2060(BD-78019) from
         Biodynamics Inc., East Millstone, New Jersey, USA. Submitted to
         WHO by Cheminova Agro SA, Lemvig, Denmark.

    Daly, I.W. (1989) A 13-week subchronic toxicity study of: methyl
         parathion in dogs via the diet followed by a one month recovery.
         Unpublished report No. MOB1158 from Biodynamics Inc., East
         Millstone, New Jersey, USA. Submitted to WHO by Cheminova Agro
         SA, Lemvig, Denmark.

    Daly, I.W. (1991) A twelve month oral toxicity study of methyl
         parathion (E120) in the rat via dietary admixture with special
         focus on ocular an d sciatic nerve effects. Unpublished report
         No. MOB5072 from Biodynamics Inc., East Millstone, New Jersey,
         USA. Submitted to WHO by Cheminova Agro SA, Lemvig, Denmark.

    Daly, I.W & Rhinehart, W.E. (1980a) A three month feeding study of
         methyl parathion in mice. Unpublished report No. 77-2057 from
         Biodynamics, Inc., East Millstone, New Jersey, USA. Submitted to
         WHO by Cheminova Agro SA, Lemvig, Denmark.

    Daly, I.W & Rhinehart, W.E. (1980b) A three month feeding study of
         methyl parathion in rats. Unpublished report No. 77-2059 from
         Biodynamics, Inc., East Millstone, New Jersey, USA. Submitted to
         WHO by Cheminova AgroSA, Lemvig, Denmark.

    Eiben, R. (1991) E120 (methyl parathion) study for chronic toxicity
         and carcinogenicity in B6C3F1 mice (administration in the
         diet over a period of 24 months). Unpublished report No. 20258
         from Bayer AG. Snbmitted to WHO by Cheminova AgroSA,
         Lemvig, Denmark.

    Goad, M.E.P. (1992) Twenty-one day subchronic dermal toxicity study
         with methyl parathion in rabbits. Unpublished report No. 67376
         from Arthur D. Little. Submitted to WHO by Cheminova AgroSA,
         Lemvig, Denmark.

    Greenough, R.J. & McDonald, P. (1986) Methyl parathion 80%
         technical/acute inhalation toxicity study in rats. IRI Project
         No. 632295 from Inveresk Research International, Musselburgh,
         Scotland. Submitted to WHO by Cheminova AgroSA, Lemvig, Denmark.

    Herbold, B. (1982) E120-parathion-methyl-folidal M active ingredient
         -- Micronucleus test on the mouse to evaluate for mutagenic
         effect. Unpublished report No. 10769 from Bayer AG. Submitted to
         WHO by Cheminova Agro SA, Lemvig, Denmark.

    Herbold, B. (1984) E120-parathion methyl -- Dominant lethal test on
         the male mouse to evaluate for mutagenic effect. Unpublished
         report No. 12731 from Bayer AG. Submitted to WHO by Cheminova
         Agro SA, Lemvig, Denmark.

    Herbold, B. (1986a) E120 (c.n. parathion methyl) -- Salmonella/
         microsome test to evaluate for point mutagenic effect.
         Unpublished report No. 15306 from Bayer AG. Submitted to WHO by
         Cheminova Agro SA, Lemvig, Denmark.

    Herbold, B. (1986b) E120 (c.n. parathion methyl) -- Salmonella/
         microsome test to evaluate for point mutagenic effect.
         Unpublished report No. 15230 from Bayer AG. Submitted to WHO by
         Cheminova Agro SA, Lemvig, Denmark.

    Löser, E. & Eiben, R. (1982) E-605 methyl-Multigeneration studies on
         rats. Unpublished report No. 6812 from Bayer AG. Submitted to WHO
         by Cheminova Agro SA, Lemvig, Denmark.

    Machemer, L. (1977) Parathion-methyl -- Evaluation for embryotoxic and
         teratogenic effects on rats following oral administration.
         Unpublished report submitted to WHO by Cheminova AgroSA,
         Lemvig, Denmark.

    Mihail, F. & Vogel, O. (1984) Subacute dermal toxicity studies with
         rabbits. Unpublished report No. 12484 from Bayer AG. Submitted to
         WHO by Cheminova Agro SA, Lemvig, Denmark.

    Minnema, D.J. (1994) Acute neurotoxicity study of methyl parathion in
         rats. Unpublished report No. HWA2688-102 from Hazelton. Submitted
         to WHO by Cheminova Agro SA, Lemvig, Denmark.

    Moeller, H.C. & Rider, J.A. (1961)  Fed. Proc., 20, 434.

    Moeller, H.C. & Rider, J.A. (1962)  Fed. Proc., 21, 451.

    Renhof, M. (1984) Parathion-methyl (Folidol M active ingredient) study
         for embryotoxic effects on rabbits after oral administration.
         Unpublished report No. 12907 from Bayer AG. Submitted to WHO by
         Cheminova Agro SA, Lemvig, Denmark.

    Rider, J.A., Moeller, H.C., Puletti, E.J. & Swader, J.I. (1969)
         Toxicity of parathion, systox, octamethyl pyrophosphoramide and
         methyl parathion in men.  Toxicol. Appl. Pharmacol.,
         14, 603-611.

    Rider, J.A., Swader, J.I. & Puletti, E.J. (1970) Methyl parathion and
         guthion anticholinesterase effects in human subjects (Abstract
         No. 588).  Fed. Proc., 29, 349.

    Rider, J.A., Swader, J.I. & Puletti, E.J. (1971) Anticholinesterase
         toxicity studies with methyl parathion, guthion and phosdrin in
         human subjects.  Fed. Proc., 30, 1382.

    Tegeris, A.S. & Underwood, P.C. (1977) A 14 day study of methyl
         parathion in the dog. Unpublished report No. 7754 from
         Pharmacopathics Research Laboratories, Inc., USA. Submitted to
         WHO by Cheminova Agro SA, Lemvig, Denmark.

    Tegeris, A.S. & Underwood, P.C. (1978) Methyl parathion: Ninety day
         feeding to dogs. Unpublished report No. 7754 from Pharmacopathics
         Research Laboratories, Inc., USA. Submitted to WHO by Cheminova
         Agro SA, Lemvig, Denmark.

    Van Dijk, H. (1988) C14-parathion methyl: Absorption, distribution,
         excretion and metabolism after single and repeated oral
         administration to rats. Unpublished report No. 090876 from RCC
         Umweltchemie AG. Submitted to WHO by Cheminova Agro SA,
         Lemvig, Denmark.

    Yamamoto, T., Egashira, T., Yoshida, T. & Kurwin, Y. (1983)
         Comparative metabolism of fenitrothion and methylparathion in
         male rats.  Acta Pharmacol Toxicol., 53, 96-102.
    


    See Also:
       Toxicological Abbreviations
       Parathion-methyl (FAO/PL:1968/M/9/1)
       Parathion-methyl (WHO Pesticide Residues Series 2)
       Parathion-methyl (WHO Pesticide Residues Series 5)
       Parathion-methyl (Pesticide residues in food: 1978 evaluations)
       Parathion-methyl (Pesticide residues in food: 1979 evaluations)
       Parathion-methyl (Pesticide residues in food: 1980 evaluations)
       Parathion-methyl (Pesticide residues in food: 1984 evaluations)