IPCS INCHEM Home

    FOLPET

    First draft prepared by
    J-J. Larsen

    Institute of Toxicology, National Food Agency of Denmark, Ministry of
    Health, Soborg, Denmark

    Explanation
    Evaluation for acceptable daily intake
         Biochemical aspects
              Absorption, distribution, and excretion
              Biotransformation
              Effects on enzymes and other biochemical parameters
         Toxicological studies
              Acute toxicity
              Short-term toxicity
              Long-term toxicity and carcinogenicity
              Reproductive toxicity
              Developmental toxicity
              Genotoxicity
              Special studies
                   Delayed cutaneous hypersensitivity
         Observations in humans
         Comments
         Toxicological evaluation
    References

    Explanation

         Folpet was evaluated toxicologically by the Joint Meeting in
    1969, 1973, 1982, 1984, 1986, 1990, and 1993 (Annex I, references 12,
    20, 38, 42, 47, 59, and 68). A toxicological monograph was prepared in
    1969 (Annex I, reference 13), and monograph addenda were prepared in
    1973, 1984, 1986, and 1990 (Annex I, references 21, 43, 49, and 61).
    Additional information on the effects on enzymes and other biochemical
    parameters, acute toxicity, long-term toxicity and carcinogenicity,
    and delayed cutaneous hypersensitivity are reviewed in the present
    monograph, together with a compilation of the relevant papers reviewed
    by previous meetings.

    Evaluation for acceptable daily intake

    1.  Biochemical aspects

    (a)  Absorption, distribution, and excretion

         Mice (108) and rats (36) received 0, 50, or 5000 ppm folpet in
    their diet for 21 days. Two, four or six hours after an oral pulse
    dose of 14C-folpet (labelled in the trichloromethylthiol moiety), the
    animals were killed and the gastrointestinal tract was removed.
    Quantification of the radiolabel present as a percentage of the
    administered dose showed that mice removed a greater proportion of
    label from the gastrointestinal tract than did rats and at a faster
    rate. Less unchanged folpet was found in mice than in rats at each
    interval at both doses. The proportion of radiolabel in the tissues
    of the gastrointestinal tract was 1-3% in both species. The
    gastrointestinal transit time (from stomach to caecum) was less than
    2 h in mice and 4-6 h in rats. At each interval after the low dose,
    most of the parent compound was recovered from the stomach; however,
    the smaller amounts found in the mouse stomach indicate a faster rate
    of emptying in this species. At the high dose, most of the unchanged
    folpet was located in the mouse caecum and the rat stomach. The
    portion of residual activity (considered to be 'covalently' bound to
    tissues), presented as the ratio of bound radiolabel at the high and
    low dose and expressed in terms of microgram equivalents, varied from
    14:1 and 30:1 in the stomach to 115:1 and 180:1 in the ileum of
    rats and mice, respectively. Folpet is rapidly degraded in the
    gastrointestinal tract, to a greater extent at lower than at higher
    doses and in mice more than in rats. The greater amounts of
    radioactivity 'covalently' bound after the high dose indicate lack of
    sufficient glutathione for removal of thiophosgene (FAO/WHO, 1990).

         A study of excretion and radioactive balance over five days in 36
    mice and 12 rats treated as in the previous study showed that after a
    pulse dose of 14C-folpet, 14C was excreted in expired air, urine, and
    faeces. In the first 24 h, urinary excretion of the label was lower in
    rats treated with 50 ppm (41.8%) than in those treated with 5000 ppm
    (51.5%). More excretion was observed at the low dose in mice (50 ppm,
    59.1%; 5000 ppm, 44.3%). Faecal excretion of radiolabel indicated that
    the transit times in rats were slower (48 h) than those in mice
    (24 h), and at 5000 ppm mice excreted five times more label than rats.
    Biliary excretion of 14C-folpet was about 2% in rats and < 0.1% in
    mice (FAO/WHO, 1990).

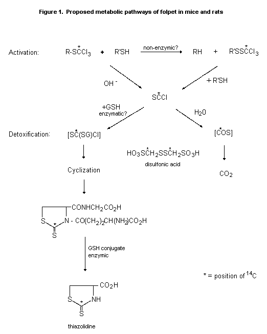
    (b)  Biotransformation

         Hydrolysis of folpet yields phthalimide, which is further
    hydrolysed to phthalic acid, chloride ions, and various organic
    sulfurs. Similar rapid degradation occurs in the presence of
    sulfhydryl compounds. The half-life of the sulfonamide bond in blood

    is about 1 min. Data from studies of the trichloromethylthiol group in
    captan indicate that the three chlorine atoms are liberated as
    chloride ions, four sulfhydride groups being used in the reactions:
    two thiol groups to give the tetrahydrophthalimide, thiophosgene, and
    one chloride ion, and an additional two thiol groups to react with the
    thiophosgene, giving two more chloride ions, carbon disulfide, and the
    sulfide derived from the thiol groups (FAO/WHO, 1969). The proposed
    metabolic pathways of folpet in mice and rats are shown in Figure 1.

         Mice (108) and rats (36) received 0, 50, or 5000 ppm folpet in
    the diet for 21 days. Two, four, or six hours after an oral pulse dose
    of 14C-folpet (labelled in the trichloromethylthiol moiety), the
    animals were killed and the gastrointestinal tract was removed. At
    2 h, the disulfonic acid was the major metabolite in rat duodenum,
    both the thiazolidine and the glutathione conjugate of thiophosgene
    being present. At 4 h, the disulfonic acid predominated and the
    thiazolidine metabolite was not seen. The same metabolites were seen
    in mice, but the thiazolidine metabolite predominated in the later
    samples, indicating that mice rely more than rats on glutathione
    conjugation for detoxification of the 'active metabolite' of folpet
    (FAO/WHO, 1990).

         A study of excretion and radioactive balance over five days in 36
    mice and 12 rats treated as in the previous study showed quantitative
    differences in the urinary excretion of metabolites. The sulfonic acid
    metabolite predominated in rats, while the thiazolidine metabolite
    predominated in mice after the high dose. This again indicated a
    possibly greater utilization of, and requirement for glutathione in
    mice (FAO/WHO, 1990).

    (c)  Effects on enzymes and other biochemical parameters

         Incubation of folpet with rat liver microsomes, with and without
    NADPH, showed that folpet may not require metabolism to inhibit
    microsomal enzymes. The inhibition of hepatic microsomal cytochrome
    P450 by folpet  in vitro could be prevented by prior addition of
    reduced glutathione to the incubation medium (FAO/WHO, 1990)

         Folpet at 5 µmol/litre inhibited the activity of the Ca2+
    transport ATPase in human erythrocytes  in vitro (FAO/WHO, 1990).

         Groups of 150 CD-1 male mice, 30-35 g, and 75 Sprague-Dawley male
    rats, 230-300 g, received a single dose of folpet at 0, 7.7, 72, or
    668 mg/kg bw by gavage and were killed at various times thereafter,
    when the glutathione concentrations were measured in their livers and
    in different regions of the gastrointestinal tract. Depletion of the
    hepatic and gastrointestinal concentrations of glutathione was
    observed in both rats and mice, the latter species showing the most
    pronounced effect. The depletion was evident in duodenum, ileum, and
    jejunum within 0.5 h after treatment, with a clear dose-response

    CHEMICAL STRUCTURE 1

    relationship in mice. By 2 h after treatment, the glutathione
    depletion in rat and mouse duodenum was similar, and at 6 h the
    glutathione levels were higher than those in controls. More
    glutathione was re-bound in the duodenum and jejunum of mice than of
    rats, indicating that mice have a stronger requirement for and greater
    utilization of glutathione, this perhaps being the major route of
    metabolism in this species (FAO/WHO, 1990).

         Mice (72) and rats (24) were fed dietary concentrations of 0, 50,
    or 5000 ppm folpet for 21 days. The mean concentration of glutathione
    in rat liver at both doses was similar to that in controls, whereas a
    small decline was observed in mice at 5000 ppm. In both species, the
    glutathione concentrations were significantly increased after 50 ppm
    and 5000 ppm in both duodenum and jejunum. A similar effect in the
    ileum was more pronounced in mice. These results suggest an initial
    depletion of glutathione followed by increasing  de novo synthesis of
    glutathione, resulting in a 'rebound' elevation in tissue glutathione
    concentrations in the gastrointestinal tract. The tissue weights of
    the stomach, duodenum, and jejunum were increased in both species. The
    mean cytosolic protein concentrations (total milligrams per tissue) in
    duodenum and jejunum were also increased in both species, the greater
    increase being found in rats. Total cytosolic protein in mouse liver
    declined to 86% of control values. Glutathione- S-transferase
    levels (with 1-chloro-2,4-dinitrobenzene as substrate) increased
    significantly in the duodenum, jejunum, and ileum of both species,
    in the liver of rats, and in the stomach of mice after treatment
    with 5000 ppm. This led to a greater capacity to enzymatically
    conjugate thiophosgene with glutathione. A marked reduction in the
    concentrations of lipid peroxides (malonaldehyde was used as an
    indicator of the overall lipid peroxidation state of the mucosal
    cells) was noted in the duodenum of both species receiving 5000 ppm
    folpet in the diet, but the reduction was statistically significant
    only in the stomachs of mice. No alteration was found in the
    intracellular level of conjugated dienes in either species in
    comparison with controls. The non-selenium-dependent glutathione
    peroxidase activity (i.e. that due to the activity of glutathione-
     S-transferase) was increased in the duodenum, jejunum, and ileum in
    both species receiving 5000 ppm folpet in the diet and in the stomachs
    of rats at either dose (FAO/WHO, 1990).

         In 240 mice and 48 rats treated as in the previous study, the
    mean microsomal protein (total milligrams per tissue) was
    significantly increased in rat duodenum, jejunum, and ileum. Although
    increases were also observed in these tissues in mice, they were not
    statistically significant. Total hepatic microsomal protein declined
    significantly in rats but remained unchanged in mice. Cytochrome P450
    was reduced in the livers of both species, but the reduction was
    statistically significant only in mice receiving 5000 ppm folpet. Both
    aniline hydroxylase and 7-ethyloxycoumarin  O-deethylase activities

    were reduced in hepatic microsomes in both species at both doses, the
    reduction in aniline hydroxylase being statistically significant at
    5000 ppm (FAO/WHO, 1990).

         In an experiment with 90 mice and 54 rats treated as in the
    previous study, a statistically significant decrease in pH was
    observed in the duodenum and jejunum of mice fed 5000 ppm folpet.
    Incorporation of 3H-thymidine into the mucosal DNA was reduced in
    most tissues of both species. In neither species was their evidence of
    a dose-related increase in DNA synthesis (FAO/WHO, 1990).

         Male Sprague-Dawley rats (200-250 g) were treated with folpet
    suspended in 0.5 ml corn oil by intraperitoneal injection at
    doses up to 100 mg/kg bw or orally at doses up to 1000 mg/kg bw.
    Intraperitoneal injection of 50 mg/kg bw significantly decreased the
    activities of benzphetamine  N-demethylase and cytochrome P450, while
    that of serum aspartate transaminase was significantly increased. Oral
    doses up to 10 times the intraperitoneal dose did not have similar
    effects (FAO/WHO, 1990).

         In a preliminary study, groups of 313 male Crl:CD-1 (ICR) BR
    mice, about 48 days old, were fed 0 or 5000 ppm folpet for 21 days.
    Clinical signs and food consumption were monitored weekly. At the
    end of treatment, the animals were sacrificed and used for either
    histopathological investigations or biochemical measurement of cyclin-
    dependent kinases (CKD) and proliferating cell nuclear antigen (PCNA).
    Treatment-related findings included glandular hyperplasia of the
    crypts, hypertrophy of the villous epithelium of the duodenum,
    hypertrophy of the villous epithelium of the jejunum, and a twofold
    increase in CKD and PCNA levels in 9000 ×  g (S9) fractions from the
    duodenum. It was concluded that the upper gastrointestinal tract
    (especially the duodenum) could be used to assess the effect of
    folpet. Sampling of the first 3 cm of duodenum for histopathological
    examination and biochemical analysis of sonicated fractions was
    recommended (Waterson, 1994a).

         Subsequently, the mechanism of the effect of folpet on the
    duodenum was studied in groups of 51 Crl:CD-1 (ICR) BR mice fed 0 or
    5000 ppm folpet, equal to 692 mg/kg bw per day, or 11 or 111 ppm
    perchlormethyl mercaptan, equal to 2 or 16 mg/kg bw per day, for 28
    days. The latter compound was included because 5000 ppm technical-
    grade folpet contains about 11 ppm. Clinical signs and food
    consumption were monitored daily, and body weight was determined
    weekly. At the end of treatment, the animals were sacrificed and the
    duodenum used for either histopathological investigations or
    measurement of CDK and PCNA in S9 fractions. There was no treatment-
    related mortality or change in clinical signs. In week 1, the body-
    weight gain and the food intake of the animals receiving folpet or
    111 ppm perchlormethyl captan was lower than that of controls.
    Haematoxylin staining revealed glandular hyperplasia of the crypts in

    the first 2.5 cm of the duodenum of most animals receiving folpet and
    hypertrophy of the villous epithelium in the entire duodenum of all
    animals given folpet. The crypts in the entire duodenum of all animals
    in all groups stained for PCNA; more animals receiving folpet showing
    a greater degree of staining. An approximately twofold increase over
    that in controls was seen in CDK concentrations in fractions from the
    entire length of the duodenum of animals receiving folpet; there was
    no significant difference from controls in CDK concentrations in mice
    fed 11 or 111 ppm perchlormethyl mercaptan. The PCNA concentrations
    were significantly higher than control values in S9 fractions from the
    entire length of the duodenum in the groups receiving folpet or
    11 ppm perchlormethyl mercaptan. It was concluded that folpet acts
    significantly differently from perchlormethyl mercaptan in the
    duodenum, when CDK is used as the index, and these findings were
    supported by the findings of both the biochemical PCNA assay and
    histopathological immunochemistry. Since both CDK and PCNA are
    increased in proliferating cells, the findings of the two studies were
    considered to demonstrate proliferative stimulation as early as three
    to four weeks after initiation of treatment with a tumour-inducing
    dose of folpet (Waterson, 1994b).

         The mechanism of the effect of folpet on the duodenum was further
    studied in five groups of 132 male Crl:CD-1 (ICR) BR mice, about 48
    days old, which were fed 0 or 5000 ppm folpet (purity, 99.4%), equal
    to 717 mg/kg bw; 5000 ppm folpet, equal to 679 mg/kg bw, plus 11 ppm
    perchlormethyl mercaptan (purity, 95%), equal to 1.5 mg/kg bw;
    11 ppm perchlormethyl mercaptan alone, equal to 1.6 mg/kg bw; or
    0.4% hydrogen peroxide, equal to 527 mg/kg bw (positive control,
    administered in the drinking-water) for 28 days followed by a 28-day
    recovery period for selected mice. An acclimatization period of 11
    days was allowed before commencement of treatment, at which time the
    mice were nine weeks old and weighed 26-45 g. The mice were housed
    three to a cage. The identity of the test compound was confirmed by
    chemical analysis, and the accuracy of the preparations and the
    homogeneity and stability of the dietary formulations were found to be
    satisfactory. Clinical signs and food consumption were monitored
    daily. At the end of treatment and recovery, specified animals were
    sacrificed and allocated for either pathological investigation of the
    duodenum or biochemical measurement of total protein, non-protein
    thiol, CDK, and PCNA in duodenal fractions by means of commercially
    available kits.

         Animals receiving hydrogen peroxide had a statistically
    significant reduction in body-weight gain and a lowered efficiency of
    food use in comparison with controls. At termination, a marginal
    increase in glandular hyperplasia of the crypts and hypertrophy of the
    villous epithelium in the duodenum were seen in mice treated with
    folpet, folpet plus perchlormethyl mercaptan, or hydrogen peroxide in
    comparison with controls. No such changes were seen after the recovery
    period.

         Treatment of mice with folpet (with or without perchlormethyl
    mercaptan) resulted in increased protein (per milligram of tissue) in
    total duodenal mucosal epithelium. The effect of folpet was greater in
    the first 2.5 cm of the duodenum than in the next 3.5 cm and was
    completely reversed after 28 days of withdrawal of animals from the
    test diet. Treatment with perchlormethyl mercaptan alone or with
    hydrogen peroxide had no such effect. The non-protein thiol
    concentration was also increased after administration of folpet (with
    or without perchlormethyl mercaptan) and with hydrogen peroxide.
    Again, the effects were greatest in the first 2.5 cm of the duodenum
    and were fully reversible after the recovery period. Treatment with
    perchlormethyl mercaptan alone had no such effect. Folpet (with or
    without perchlormethyl mercaptan) and hydrogen peroxide, but not
    perchlormethyl mercaptan alone, increased the concentrations of CDK in
    the first 2.5 cm of the duodenum; after the recovery period, no
    significant difference in CDK concentrations was detected between
    treated and untreated animals. The PCNA concentrations in duodenal S9
    fractions were close to the limit of detection of the assay system,
    but a significant increase in PCNA concentrations was detected after
    treatment with folpet (with or without perchlormethyl mercaptan) in
    the first 2.5 cm, confirming the CDK response. In contrast, the PCNA
    concentrations also indicated cell proliferation in the next 3.5 cm of
    the duodenum, although the effect was not seen after the recovery
    period. Treatment with perchlormethyl mercaptan or with hydrogen
    peroxide had no clear effect on PCNA concentrations in the duodenum.
    In none of the investigations was there evidence that perchlormethyl
    mercaptan and folpet have interactive effects.

         Thus, administration of folpet for 28 days (with or without
    perchlormethyl mercaptan) increased protein and non-protein thiol
    concentrations in both the first 2.5 cm and the next 3.5 cm of the
    duodenum, while CDK concentrations were increased only in the first
    2.5 cm. The latter finding was supported by the results of the PCNA
    assay but not by histopathological immunocytochemistry. The results
    also showed that the biochemical effects of folpet on the mouse
    duodenum are reversible after a 28-day recovery period (Waterson,
    1995).

    2.  Toxicological studies

    (a)  Acute toxicity

         The LD50 in adult male and female rats and in female wealings
    treated orally with folpet was > 5000 mg/kg bw (FAO/WHO, 1990),
    and the LD50 in rabbits treated percutaneously with folpet was
    > 23 000 mg/kg bw (FAO/WHO, 1969).

         Exposure of rats to folpet (purity unspecified) by inhalation for
    4 h showed an LC50 of 0.39 mg/litre for males and 0.43 mg/litre for
    females (Blagden, 1991).

    (b)  Short-term toxicity

    Rats

         Groups of 10 rats of each sex were fed dietary levels of 0, 0.1,
    0.32, or 1% folpet for 12 weeks. Growth was normal, except in male
    rats fed the 1% level which showed a significant decrease There were
    no gross abnormalities, and histopathological examination of the
    liver, kidneys, adrenals, intestines, lungs, and gonads of two males
    and two females from each group revealed no abnormalities (FAO/WHO,
    1969).

         Groups of 20 Fischer 344 rats of each sex were fed dietary
    concentrations of 0, 0.2, 0.4 or 0.8% folpet (purity, 89%) for 13
    weeks. During treatment, the body weights and food consumption of
    males at the middle and high doses and of females at the high dose
    were significantly reduced. After 10 weeks, there were no significant
    differences between treated and control groups, but there were dose-
    related decreases in the activities of alkaline phosphatase and
    alanine aminotransferase in all treated groups, of aspartate
    aminotransferase in all treated males and in females it the high dose,
    and of lactate dehydrogenase in all treated males. Blood urea and
    chloride levels were increased, but total serum proteins were reduced
    in males at the middle and high doses. Blood urea was reduced in
    treated females, total protein was reduced in the high-dose groups,
    and albumin was reduced in the mid- and high-dose groups. Treatment-
    related irritation of the proximal gastrointestinal tract was seen at
    necropsy, as was hyperkeratosis of the non-glandular gastric mucosa.
    Slight acanthosis of the stomach occurred in one female rat in each
    group. The kidneys of males at the middle and high doses showed slight
    but dose-related increases in the number of foci of atrophic
    basophilic renal tubules, which were considered to be unrelated to
    treatment (FAO/WHO, 1986).

         Groups of 20 Sprague-Dawley rats of each sex received folpet
    (purity unspecified) at dietary levels of 0, 0.03, 0.1, 0.3, or 1.0%
    for 13 weeks. Dietary analyses showed that the achieved doses were
    85-106% of the nominal values. At the end of treatment, half of the
    rats in each group were sacrificed; the remainder were given the basal
    diet for a further two weeks and were then sacrificed. No clinical
    signs or mortality occurred during the study period. The growth of
    rats at the high dose was significantly reduced during treatment, and
    this retardation was not made up during the recovery period. Food
    consumption, haematological parameters, serum hepatic enzyme levels,
    and renal function were unaffected by treatment. At necropsy, animals
    at the high dose had reduced mean body weights; relative brain weight
    was also reduced, but kidney weight was increased. There were no
    significant differences in organ weights of animals sacrificed two
    weeks after treatment. No treatment-related gross pathological changes
    were observed, but histopathological examination of animals sacrificed

    immediately after treatment showed acanthosis, hyperkeratosis,
    submucosal oedema, and pleocellular inflammatory infiltration, with
    occasional focal gastric erosion and ulceration in the non-glandular
    stomach of rats at the high dose. No such lesions were seen after the
    recovery period. The NOAEL was 300 mg/kg bw per day, based on reduced
    body weight and other effects at the high dose (FAO/WHO, 1986).

    Dogs

         In a pilot study, four beagle dogs of each sex were given folpet
    (purity, 89.8-91.1%) at 0, 790, 1800 or 4000 mg/kg bw per day by
    capsule for 13 weeks. Food intake was generally lower in treated dogs
    than in controls. Body weight gain was reduced in all treated groups,
    significantly so in animals at the middle and high doses. All treated
    dogs showed vomiting and diarrhoea, the symptoms being especially
    marked in those at the middle and high doses. Treatment-related
    changes included poor condition, abdominal distension, excessive
    salivation, and a progressive decrease in testicular size,
    particularly in animals at the middle and high doses. All males and
    one female at the high dose died or were killed  in extremis.
    Neurological examination of these dogs and of those males which
    survived 12 weeks of treatment and ophthalmoscopic examination of
    survivors showed no remarkable changes. Most dogs killed  in extremis
    had leukocytosis, and some had decreased serum phosphate levels. One
    dog had normochromic normocytic anaemia. Surviving dogs had decreased
    serum calcium and total plasma protein concentrations, but increased
    serum chloride levels. At necropsy, most treated dogs had decreased
    brain, liver, kidney, spleen, and testicular weights. Pathological
    examination showed atrophy, depletion, and fibrosis of the lymphatic
    and haematopoietic systems, gonadal degeneration with prostatic
    atrophy and fibrosis, thyroid degeneration, and muscular dystrophy
    (FAO/WHO, 1986).

         Groups of six beagle dogs of each sex were given folpet (purity,
    89.5%) in gelatine capsules at 0, 10, 60, or 140 mg/kg bw per day. The
    latter dose was reduced to 120 mg/kg bw per day after 50 days because
    of low food consumption and reduced body-weight gain. All animals were
    sacrificed and necropsied after one year. All males at the high dose
    and three at the middle dose initially lost weight, and the mean body
    weights of animals at the middle and high doses showed a dose-related
    reduction (which was not significant) throughout the rest of the
    study. Dose-related decreases in food consumption were seen in animals
    at the middle and high doses, in males during the first three months,
    and in females during the first month. Although the food consumption
    of males was subsequently comparable to that of controls, that
    of females tended to be reduced in a non-dose-related manner.
    Ophthalmoscopy at six and 12 months revealed no effect. There was a
    tendency for reduced leukocyte counts in males at one, two, three, and
    six months, but not at nine or 12 months; however, the counts were not
    significantly different from control values. A significant decrease in

    mean serum cholesterol and in total protein, albumin, and globulin
    levels was seen in males at the middle and high doses; females at the
    high dose had significantly reduced mean serum protein, albumin,
    and cholesterol levels. Urinalysis, necropsy, and subsequent
    histopathology showed no effect of treatment. The NOAEL was 10 mg/kg
    bw per day, on the basis of decreased body weight and food consumption
    and serum biochemical changes (FAO/WHO, 1986).

         Groups of five beagle dogs of each sex received technical-grade
    folpet in capsules at 0, 325, 650, or 1300 mg/kg bw per day for 52
    weeks. None died. Animals of each sex at the high and intermediate
    doses had decreased body weight during treatment; a concomitant
    decrease in food intake was found in animals of each sex at the high
    dose. Clinical signs seen in all treated groups included vomiting,
    diarrhoea, and salivation; the latter was seen only during the first
    eight weeks in animals at the low dose but was more pronounced at the
    high and intermediate doses. Dogs at these doses were in poorer
    condition than controls. Haematological parameters were affected in
    all treated females during the first third of the study and included
    decreased packed cell volume and haemoglobin and erythrocyte counts.
    Clinical chemical changes (e.g. reduced total protein, cholesterol,
    glucose, and urea) observed during treatment were related to the poor
    physical condition of the dogs. Chloride levels were increased in
    males, mainly those at the high dose, which also had decreased calcium
    levels; the latter effect was also observed in females at the high and
    intermediate doses up to week 25 of treatment. A reduced urine volume
    was noted in females at the high dose after 13 weeks of treatment, and
    both males and females had acid urine; this effect persisted in males
    at the high and intermediate doses throughout the study. Tubular
    testicular degeneration associated with an absence of spermatozoa in
    the epididymides was found in two male dogs at the high dose; one also
    had moderate prostatic gland atrophy. The absolute testicular weights
    of males at the high dose were decreased. Changes in relative organs
    weights were recorded in the adrenals (all males and females at the
    intermediate dose), brain and kidney (males at the high dose and
    females at the intermediate dose), liver, and thyroid (males at the
    intermediate dose and females at the high dose). The NOAEL was
    325 mg/kg bw per day (FAO/WHO, 1990).

    (c)  Long-term toxicity and carcinogenicity

    Mice

         Goups of 80 CD-1 (ICR derived) mice of each sex were fed dietary
    concentrations of 1000, 5000, or 12 000 ppm folpet (purity, 93%) for
    112-113 weeks. A group of 104 mice of each sex served as controls.
    Survival was not affected, but body-weight gain was reduced in animals
    at 5000 and 12 000 ppm. Although sporadic changes in food consumption
    were noted, no dose-related effects were apparent. Haematological
    parameters were normal at one year, but at the end of treatment,

    possible macrocytic anaemia was seen in animals of each sex at
    12 000 ppm. The only changes seen at gross pathological examination
    were duodenal lesions and related gastrointestinal abnormalities. A
    dose-related increase in the incidence of duodenal adenomas and
    adenocarcinomas was observed in mice at 5000 and 12 000 ppm, with
    incidences in males and females of 0 and 1% in controls, 2 and 3% at
    1000 ppm, 10 and 12% at 5000 ppm, and 52 and 54% at 12 000 ppm,
    respectively. Males at the high dose also had an increased incidence
    of jejunal adenocarcinomas. There was no NOAEL (FAO/WHO, 1984).

         Four groups of 52 B6C3F1 mice of each sex were given dietary
    concentrations of folpet (purity, 89.0%) at 0, 0.1, 0.5, or 1.0% for
    21 weeks and then 0, 0.1, 0.35, or 0.7% for 83 weeks. Dietary analyses
    at weeks 0, 1, 13, and 26 showed the levels to be 88-91% of the
    nominal value. Food consumption was depressed during the first few
    weeks of treatment in mice at the middle and high doses, and body-
    weight gain was reduced in these animals throughout the study.
    Clinical signs, observed principally in animals at the high dose,
    comprised erythema, dry flaking skin, reddish fur discolouration, and
    weeping skin, particularly during the first 21 weeks. Leukocyte counts
    in survivors at 52, 78, and 104 weeks were not affected by treatment.
    The longevity of animals at the two highest doses was reduced. The
    increased relative weights of the brain, heart, lungs, liver, kidneys,
    and testes reflected the reduced body weight of treated animals.

         Macroscopically, a dose-related increase in non-glandular gastric
    mucosal ulceration and thickening of the gastric and duodenal walls
    were observed. The jejunal wall was thickened in females at the middle
    dose and in all mice at the high dose. Dose-related distension of the
    duodenal lumen was also seen. After week 79, there was a dose-related
    increase in the incidence of nodules or masses on the luminal surface
    of the stomach and duodenum and on the duodenal serosa. Animals at the
    middle and high doses had dose-related epidermal hyperkeratosis and
    acanthosis and oesophageal hyperkeratosis. Increased areas of marked
    acanthosis and hyperkeratosis of non-glandular gastric mucosa were
    seen in animals at the middle dose and males at the high dose.

         Microscopic gastric ulceration occurred, with no apparent
    relation to dose. The dose-related appearance of areas of atypical
    duodenal glandular hyperplasia and mucosal gland proliferation were
    seen in all treated animals, but especially in males. This atypical
    hyperplasia was often associated with duodenal adenomas and
    adenocarcinomas. Atypical glandular proliferation was seen only
    occasionally in the jejunum of treated females. Gastric papillomas and
    squamous-cell carcinomas, which may have been secondary to mechanical
    obstruction of the duodenal lumen, were found in all treated males but
    not in control males. A dose-related increase in the incidence of
    gastric papillomas was also found in all treated females, but
    similar lesions occurred in 2/51 controls. Duodenal adenomas and
    adenocarcinomas were found in all treated animals of each sex, with

    a significant dose-response relationship. A single jejunal
    adenocarcinoma was seen in mice at the high dose. Primary or
    metastatic tumours of uncertain etiology were found in all treated
    males, but the incidences of bronchioalveolar adenomas and malignant
    lymphomas were lower in these animals, suggesting high incidences in
    control males. There was no NOAEL (FAO/WHO, 1986).

         Four groups of 52 six-week old B6C3F1 mice of each sex were given
    dietary concentrations of 0, 1000, 5000, or 10 000 ppm folpet (purity,
    89%) for 104 weeks. The formulated diets were analysed after one and
    two weeks and were found to be stable (no data). During the first few
    weeks of the study, marked irritation of the integumentary system was
    observed. Typical lesions, usually on the neck, included flaking,
    weeping, and eroded skin, erythema, and red discolouration of the fur.
    Early deaths occurred in all treated males and in females at the
    middle and high doses and were attributed to the presence of fatal
    tumours. Dose-related macroscopic lesions were found in the stomach
    and duodenum. The non-glandular gastric mucosa of all treated animals
    showed an increased incidence of nodules, masses, wall thickenings,
    and ulceration, and an increased incidence of partial luminal duodenal
    obstruction was seen 1-5 cm distal to the pylorus in the form of wall
    thickenings and mucosal nodules. An increased incidence of these
    lesions was noted in animals that died after 79 weeks of treatment.
    Microscopic examination of the skin revealed hyperkeratosis, and a
    dose-related in, crease in the incidence of oesophageal and non-
    glandular gastric mucosal hyperkeratosis was seen in all treated
    groups. Ulceration of the non-glandular stomach was observed in
    animals at the low and intermediate doses. Atypical hyperplasia of the
    duodenal mucosa was seen in all treated mice. Duodenal adenomas and
    carcinomas were seen in all treated groups, and the incidence was
    dose-related. Gastric squamous-cell papillomas and carcinomas were
    seen more frequently in animals at 5000 and 10 000 ppm. There appeared
    to be a correlation between the presence of macroscopically visible
    gastric neoplasia and duodenal obstruction: the four males with
    gastric carcinoma had partial duodenal nodular obstruction, and five
    of seven females at the high dose with an increased incidence of
    gastric papillomas had partially obstructed duodenal lumens. No other
    toxic or carcinogenic effect was seen in any organ.

         The authors suggested that the partial duodenal obstruction
    disturbed the natural flow of the gastrointestinal contents and may
    have exacerbated the mucosal changes in the stomach. The resulting
    stagnation may have raised the effective concentration and residence
    time of folpet, and the elevated concentration of this irritant, with
    the possible presence of bile acids and pancreatic enzymes, may have
    overwhelmed the defence mechanism of the mucosal cells, resulting
    in the development of gastric neoplasms. In conclusion, dietary
    administration of folpet to B6C3F1 mice induced a dose-related
    appearance of atypical duodenal hyperplasia, adenomas, and
    adenocarcinomas, which were suggested to have appeared subsequent

    to, and as an indirect result of, the partial luminal duodenal
    obstruction. There was no NOAEL (Nyska  et al., 1990).

         Groups of 52 male and 52 female CD-1 mice were fed diets
    containing folpet (purity, 92.4%) at concentrations of 0, 150, 450, or
    1350 ppm, equal to 0, 16, 47, and 151 mg/kg bw per day for 98 weeks
    for males and 0, 16, 51, and 154 mg/kg bw per day for 104 weeks for
    females. A control group consisting of 100 male and 100 female mice
    received a normal diet. The mice were assigned to treatment groups on
    the basis of computer-generated random numbers and were acclimatized
    for 14 days before the beginning of treatment. The mice were 3542 days
    of age and had mean body weights of 29.7, 29.6, 29.5, and 29.6 g
    (males) and 23.4, 23.7, 23.0, and 23.7 g (females) at 0, 150, 450, and
    1350 ppm, respectively, at the time of the first dose. The 150-ppm
    preparation was found to contain 89-91% of the nominal concentration
    and was stable after storage at -20°C for seven days and then at 20°C
    for four days; samples taken from six places in the mix showed
    satisfactory homogeneity: 89-95% of the nominal value with 150 ppm and
    78-88% with 1350 ppm. Verification of the concentrations resulted in
    analytical values of 89-96% of the nominal concentrations. Animals
    were inspected daily for evidence of reactions to treatment. Body
    weight and food and water consumption were determined weekly. All 187
    animals found dead or killed during the treatment period were
    subjected to gross pathological and histopathological examination.

         The overall mortality rate was unaffected by treatment, and no
    inter-group differences in mortality were seen by either pairwise or
    trend analyses; therefore, none of the deaths was considered to be
    related to treatment with folpet. The incidence of skin encrustations,
    particularly on the dorsal surface, was generally higher in males
    receiving a dietary concentration of 1350 ppm. This finding was
    considered to be associated with a greater incidence of fighting among
    these animals during the first 70 weeks of treatment. In the later
    part of the treatment period, the incidence of skin encrustations
    in males was similar to that of controls. The incidence, group
    distribution, location, and mean onset time of palpable swellings were
    not considered to be related to treatment. The body-weight gain of
    males receiving 1350 ppm was slightly lower than that of controls for
    about the first 70 weeks of treatment. Food consumption was unaffected
    by treatment, but the efficiency of food use during the first 14 weeks
    of treatment with 1350 ppm was slightly inferior to that of the
    controls. The treatment-related effect on male body-weight gain and
    the low food conversion efficiency seen at this dose during the first
    14 weeks of treatment were considered to be nonspecific toxic effects.
    The body-weight gain of females was unaffected by treatment.

         Organ weight analysis revealed lower absolute and relative liver
    weights in males that received 1350 ppm in comparison with controls.
    High absolute and relative spleen weights in males at 150 ppm were due
    to an unusually large spleen in one animal. Macroscopic examination of
    animals killed after 104 weeks of treatment revealed a high incidence

    of masses in the duodena of females at 1350 ppm. When all of the
    animals were considered together, there was a higher incidence of
    duodenal masses and thickening of the stomach wall in females at
    1350 ppm than in controls. Microscopic examination revealed benign
    papillomas in the keratinized region of the stomach in one male and
    three females at 1350 ppm and in one female at 450 ppm. A benign
    adenoma was found in the duodenal mucosa of one female at 1350 ppm.
    Villous hyperplasia was seen in the duodenal mucosa of three females
    at the highest dose and in one male at 450 ppm; a similar finding was
    seen in the jejunum of one male at 450 ppm. Hyperplasia of the lamina
    propria of the duodenum was seen in two males at 1350 ppm, and another
    male at this dose had similar changes in the jejunum and ileum in
    addition to villous fusion, mucosal dysplasia, and hyperplasia of
    Paneth cells. The incidence of keratoachanthosis of the nonglandular
    stomach was higher among females at 1350 ppm. than among controls.
    Although one female at 450 ppm had a benign squamous-cell papilloma
    and two males at this dose had gastrointestinal hyperplasia, these
    findings were considered to have occurred by chance. There were no
    other changes in the gastrointestinal tract, and there were no changes
    in the liver that were considered to be related to treatment. As the
    low liver weights of males at 1350 ppm were confined to one sex and
    there was no histopathological correlate, the toxicological
    significance of this finding is unclear. It was concluded that
    administration of folpet in the diet at a concentration of 1350 ppm
    produced tumours in the upper parts of the gastrointestinal tract of
    CD-1 mice. The NOAEL was 16 mg/kg bw per day on the basis of duodenal
    hyperplasia (East, 1994).

    Rats

         Groups of 60 Charles River Crl:CD(SD)BR rats of each sex were fed
    dietary concentrations of 0, 200, 800, or 3200 ppm technical-grade
    folpet (purity, 89.5%) for 104 weeks. An interim sacrifice of 10 rats
    of each sex per dose was conducted at 52 weeks. Growth rates and
    survival were unaffected by treatment, except for a slight tendency to
    reduced body weights in females at the high dose during the first
    year; food consumption was correspondingly reduced at this dose.
    Conventional ophthalmoscopic, haematological, biochemical, and
    urinary analyses indicated no effect of treatment. At necropsy, no
    changes attributable to treatment were observed on organ weights.
    Hyperkeratosis and/or acanthosis and some erosion and/or ulceration in
    the non-glandular stomach were seen in animals at the high dose. These
    lesions were occasionally accompanied by submucosal oedema and
    submucosal inflammatory cellular infiltrates. The NOAEL was 800 ppm,
    equivalent to 40 mg/kg bw per day (FAO/WHO, 1986).

         Groups of 60 Fischer 344 rats were fed diets containing 0, 500,
    1000, or 2000 ppm folpet (purity, 89%) for 104 weeks. The diets were
    prepared weekly and analysed frequently for folpet content. Food
    intake was reduced in all treated groups in comparison with controls,

    but body weight was reduced only in treated males. There were no
    clinical signs of toxicity. Necropsy indicated a tendency to an
    increased incidence of gastric ulceration, which was significant
    only in females. Treatment also induced an increased incidence
    of ulceration in the forestomach in animals at the high dose.
    Hyperkeratosis of the oesophagus was seen in rats at the high dose
    and of the forestomach in animals at the middle and high doses. An
    increased incidence of gastric ulceration was present in the
    forestomach of animals of each sex at the high dose. The incidences of
    C-cell adenoma, benign mammary fibroepithelioma and malignant lymphoma
    showed positive significant trends with dose, but only that for the
    latter neoplasms was statistically significant. All tumour incidences
    were within the normal historical range for rats of this strain. The
    NOAEL was 500 ppm, equivalent to 25 mg/kg bw per day (FAO/WHO, 1986).

         Groups of 20 Fischer 344 rats of each sex were fed diets intended
    to provide concentrations of 0, 250, 1500, or 5000 ppm folpet (purity,
    91%) for 104 weeks. The actual dietary concentrations, calculated
    on a weekly basis, were 0, 190, 1290, and 4530 ppm. Longevity was
    unaffected. The mean body weight and food intake of animals at the
    high dose were depressed, by up to 10% in males and 6% in females,
    and water intake was depressed at the high dose, especially in
    females. Serum alkaline phosphatase and alanine aminotransferase
    activities were reduced in treated groups throughout the study, and
    those of aspartate aminotransferase, creatinine phosphokinase, and
    gamma-glutamyl transferase were decreased sporadically. A significant
    reduction in blood cholesterol was seen in animals of each sex of the
    high dose throughout treatment. The plasma protein level was reduced
    in males at the high dose during the first year of treatment, and the
    level of phosphate was elevated at most examinations. The urea
    concentration was increased in females at the high dose at 18 months.
    Most treated males excreted more concentrated urine in smaller volumes
    at three and six months. Only non-neoplastic lesions were observed,
    consisting of hyperkeratosis of the oesophageal and gastric squamous
    epithelium. The NOAEL was 190 ppm, equivalent to 10 mg/kg bw per day
    (FAO/WHO, 1990).

    (d)  Reproductive toxicity

    Rats

         Four groups of 25 CD rats of each sex were fed dietary
    concentrations of 0, 250, 1500, or 5000 ppm folpet (purity, 91%) over
    the course of two generations. Body weight gain and food consumption
    were reduced in parental animals of the F0 and F1 generations at
    the highest dose; a minor decrease in body weight was observed in F1
    and F2 offspring. The principal histopathological effect was
    hyperkeratosis of the non-glandular gastric mucosa in F0 and F1
    animals at the intermediate and high doses, oesophageal hyperkeratosis
    in F1 animals at the intermediate and high doses, and an increased

    incidence of basophilic renal tubules in males of the F0 generation
    at the high dose. Folpet was concluded not to be a specific
    reproductive toxin in this test system (FAO/WHO, 1990).

         In a two-generation study, groups of 30 Crl:COBS/CD(SD)/Charles
    River rats of each sex were fed diets containing 0, 200, 800, or
    3600 ppm folpet (purity, 89.5%) during growth, mating, gestation, and
    lactation for two litters per generation. Initial mating was begun 62
    days after the start of exposure. The test diets were fed to F0 males
    until the end of mating to produce the F1b litters and to F0 females
    until weaning of the F1b litters. Pups were sacrificed 21-23 days
    after parturition, with the exception of those F1b pups selected to
    produce the F2 generation. Mating of the F1b pups was begun after 12
    weeks of exposure, and the above sequence was repeated. Gross necropsy
    was performed on all parental rats and on the F1a, F1b, and F2b
    litters. The diet was changed three times per week, and each batch was
    analysed: the diets contained 79.9-101% of the nominal concentration.
    The body weights of F0 and F1 males and F1 females at the high dose
    and of their pups were depressed by treatment; the effect was most
    marked in adult males, especially in the second generation. Food
    consumption was correspondingly reduced. Treatment had no significant
    effect on mating, fertility indices, pregnancy rates, litter sizes,
    pup weights, growth, or litter survival rates. No treatment-related
    effects were found at necropsy or on histopathological examination.
    The NOAEL for maternal toxicity was 800 ppm, equivalent to 40 mg/kg bw
    per day, based on the reduction in body weights; there was no evidence
    of reproductive toxicity (FAO/WHO, 1986).

    (e)  Developmental toxicity

    Rats

         In a pilot study, groups of eight female mated CRL:COBS CD (SD)
    BR rats were given 0, 20, 80, 320, or 640 mg folpet/kg bw by gavage on
    days 6-19 of gestation. There were no deaths, but clinical signs
    including rales, excess salivation, chromorhinorrhoea, gasping, soft
    or liquid faeces, decreased motor activity, dyspnoea, and distended
    gut were observed. Reduced maternal body weight was seen at
    > 80 mg/kg bw, and food consumption was reduced at > 320 mg/kg
    bw; the average fetal body weight was also reduced at the latter dose.
    In the main study, groups of 25 rats were given folpet (purity, 89%)
    at 0, 10, 60, or 360 mg/kg bw by gavage on days 6-19 of gestation.
    Animals were killed on day 20. Clinical signs including excess
    salivation, chromorhinorrhoea, decreased motor activity, soft or
    liquid faeces, dyspnoea, and urine-stained fur were observed. Three
    rats at the high dose died, two from intubation errors. No gross
    lesions attributable to treatment were seen in surviving rats. Rats at
    > 10 mg/kg bw gained less weight than controls during treatment.
    Food consumption was reduced in animals at the high dose only. The
    numbers of implantations, live and dead fetuses, fetal viability, and

    resorptions, the average fetal body weight per litter, the fetal sex
    ratio, and the number of corpora lutea were comparable in all groups.
    Gross, visceral, and skeletal abnormalities were seen in all groups,
    but there were no compound-related effects on ossification. The NOAEL
    for maternal toxicity was 10 mg/kg bw per day (FAO/WHO, 1984).

         Groups of six rats were treated daily on days 6-15 of gestation
    with folpet (purity, 88.6%) at 10, 65, 420, or 2750 mg/kg bw by
    gavage. Maternal toxicity, reduced body-weight gain, and reduced fetal
    weight were seen only at 2750 mg/kg bw. Following this pilot study,
    groups of 22 female Charles River CD rats received folpet (purity,
    91.1%) in 0.5% acetic acid containing 0.5% carboxymethylcellulose at
    0, 150, 550, or 2000 mg/kg bw on days 6-15 of gestation. The animals
    were sacrificed on day 20. Clear signs of toxicity were observed in
    animals at the high dose, including soft faeces (in 21/21 rats), fur
    staining (in 4/21), and perianal staining (in 8/21); one animal died.
    Food consumption was decreased during the first days of treatment with
    the intermediate dose and was markedly decreased throughout treatment
    with the high dose. Maternal body weight was also decreased at the
    middle and high doses. Gravid uterine weights were depressed in dams
    at the middle and high doses, but terminal maternal body weight
    (without the gravid uterus) was significantly depressed only at the
    high dose. Pre- and post-implantation losses were greater than in
    controls in animals at the middle dose, and fetal weights were reduced
    at the middle and high doses. Fetal crown-rump length was slightly
    decreased after treatment with the middle and high doses. A single
    fetus at the high dose (1/277) had multiple major malformations, and a
    second pup had unilateral microphthalmia. The incidence of hepatic
    discolouration was significant at the high dose. Skeletal anomalies
    occurred in all treated groups, and the incidence of reduced
    ossification of cranial and pubic bones, sternebrae, metacarpals, and
    metatarsals was significant in animals at the middle and high doses.
    There was also a dose-related reduction in ossification of the
    interparietal bone in all treated groups, and the occurrence of
    angulated ribs was dose-related. There was no NOAEL for teratogenicity
    (FAO/WHO, 1986).

    Hamsters

         Groups of 2-13 pregnant hamsters were given a single dose of
    400-1000 mg/kg bw folpet on day 7 or 8 of gestation or were treated
    daily on days 6-10 with a total of 1000-2500 mg/kg bw. The animals
    were killed and examined on day 15 of gestation. Maternal mortality
    was increased and some abnormal fetuses were produced at the highest
    doses, but the lower doses did not induce teratogenic effects
    (FAO/WHO, 1973).

    Rabbits

         Groups of 20 artificially inseminated New Zealand white rabbits
    were given folpet (purity, 89%) at 0, 10, 20, or 60 mg/kg bw by oral
    intubation on days 6-28 of gestation and were killed on day 29. The
    death of one doe at 60 mg/kg bw was considered to be related to
    treatment. One doe at the low dose aborted on day 21 of gestation and
    one at the high dose on day 22 of gestation; one doe in the control
    group delivered a litter on day 28 and one at the high dose on day 29.
    Significant inhibition of body-weight gain and food consumption was
    seen in animals at the middle and high doses. The average numbers of
    corpora lutea, implantations, resorptions, and fetuses per litter and
    the sex ratio and numbers of dead and resorbed implantations per
    litter were comparable in all groups. The mean body weights of all
    fetuses were decreased at the middle and high doses. There was a
    significant increase in the incidence of hydrocephaly, and four
    fetuses in three litters of dams at the high dose also had skull,
    gastric, and pulmonary abnormalities. The NOAEL for maternal and
    fetoxicity was 10 mg/kg bw per day, and that tor teratogenicity was
    29 mg/kg bw per day (FAO/WHO, 1984).

         Groups of six mated HY/CR female New Zealand white rabbits were
    given folpet (purity, 91.1%) at 0, 10, 60, or 150 mg/kg bw per day by
    gavage on days 6-18 of gestation. Marked body-weight loss was seen at
    the high dose. Although fetal size was unaffected by treatment, fetal
    mortality was more marked at the high dose. Post-implantation losses
    were increased in animals at the middle dose. Subsequently, groups of
    14 mated HY/CR New Zealand white rabbits were given folpet (purity,
    91.1%) at 0, 10, 40, or 160 mg/kg bw per day by gavage on days 7-19 of
    gestation. Dams were sacrificed on day 29 of gestation. Body-weight
    gain was decreased during the initial few days of treatment with the
    middle dose and after initiation of treatment with the high dose;
    there was a corresponding decrease in food consumption in animals at
    the high dose. There were no deaths. Gravid uterine weight was
    significantly reduced in dams at the middle and high doses. Fetal
    death (post-implantation loss) occurred more frequently at the high
    dose than in controls; the proportion of small fetuses was also
    increased in this group and mean fetal weight was nonsignificantly
    reduced. There was evidence of delayed skeletal maturation at the high
    dose and, to a lesser degree, at the middle dose. The incidence of
    bilateral lumbar ribs appeared to increase with dose in animals at the
    middle and high doses. Ossification of caudal vertebrae, sternebrae,
    and long-bone epiphyses was reduced at the high dose. Other, minor
    skeletal malformations did not apper to be related to treatment. There
    was no evidence of hydrocephalus in either treated or control rabbits.
    The NOAEL for maternal toxicity, fetotoxicity, and teratogenicity was
    10 mg/kg bw per day (FAO/WHO, 1986).

         Groups of 20 artificially inserminated female Hazelton Dutchland
    New Zealand white (D1A  Hra: (NZW) specific pathogen-free) rabbits
    were given folpet (purity, 89.5%) in Tween 80 (10.5% by weight) and
    carboxymethylcellulose (0.7% by weight) at a volume of 5 ml/kg bw per
    day by gavage, to give a dose of 60 mg/kg bw per day on days 7-9,
    10-12, 13-15, or 16-18 of gestation. Analysis of the formulations
    indicated a folpet content of 87.8-104% of the nominal concentration.
    Dams were sacrificed on day 29 of gestation; those that aborted
    or delivered, the single animal that died, and those terminally
    sacrificed were subjected to necropsy and examination of the uterine
    contents. Abortion by two rabbits that received folpet on days 7-9 and
    10-12 of gestation may have been related to treatment; otherwise, no
    clinical signs of toxicity were observed during the study, although
    the incidence of soft or liquid faeces was increased in all treated
    groups, usually after treatment. No gross lesions attributable
    to treatment were seen at necropsy. Maternal body weight was
    significantly reduced in all treated animals, although less so in
    those treated on days 7-9 and 10-12 than in the others. Food
    consumption was correspondingly reduced. Treatment had no apparent
    effect on the rate of abortion or on fetal resorption. The average
    litter sizes were unaffected, as were the average fetal weights, the
    number of viable fetuses, and the sex ratio. A significantly increased
    incidence of fetuses with an irregularly shaped fontanelle was
    observed in the group treated on days 13-15; the control incidence was
    4.5%, but this variation did not occur in groups treated on days 7-9
    or 16-18. It was possibly related to treatment, but the significance
    of the effect was not clear. There were no other significant
    variations in fetal skull morphology, and the incidences of
    hydrocephalus and of gastric or pulmonary anomalies were not increased
    in any group. The NOAEL for teratogenicity was 60 mg/kg bw per day
    (FAO/WHO, 1986).

    Hens

         The yolks or air sacs of 830 fresh, fertilized hens' eggs were
    injected with folpet in dimethyl sulfoxide at 3-20 mg/kg egg weight.
    After incubation, the incidence of malformations was 8.19%. The
    metabolites of folpet, phthalimide and phthalic acid, were
    administered under similar conditions, except that ethanol was used as
    the solvent for phthalic acid. Gross abnormalities were seen in 3.93%
    of 305 eggs injected with phthalimide and in 3.1% of 290 eggs treated
    with phthalic acid. Controls -- 1500 eggs injected with dimethyl
    sulfoxide and several thousand with ethanol -- had incidences of < 2%
    gross abnormalities. Micromelia, amelia, and phocomelia accounted for
    most of the deformities (FAO/WHO, 1969).

    (f)  Genotoxicity

         Folpet has been adequately tested in a number of assays for
    genotoxicity  in vitro and  in vivo. The positive controls gave the
    expected positive responses. The results are summarized in Table 1.

    (g)  Special studies

    Delayed cutaneous hypersensitivity

         The skin sensitizing potential of folpet (purity and stability
    not given) was evaluated in albino Dunkin-Hartley guinea-pigs, 8-11
    weeks old, weighing 309-411 g, by the Magnusson-Kligman test. The
    animals were obtained from David Hall Limited, Burton-on-Trent,
    Staffordshire, United Kingdom, and were acclimatized for at least five
    days before treatment. Twenty animals were allocated to the treatment
    group (for induction and challenge with folpet) and 10 animals to the
    control group (induction with vehicle and/or Freund's complete
    adjuvant and challenge with folpet). The animals were induced by three
    series of two 0.1-ml intradermal injections of a 1:1 mixture of
    Freund's complete adjuvant and water, 0.1% folpet (w/v) in arachis
    oil, and 0.1% folpet (w/v) in a 1:1 preparation of Freund's complete
    adjuvant plus arachis oil; one week later, 0.2-0.3 ml of 50% folpet
    (w/w) in arachis oil was applied topically under an occlusive bandage
    for 48 h. Erythematous reactions were quantified after 1 and 24 h.
    During challenge, 0.1-0.2 ml of 25% folpet (w/w) in arachis oil was
    applied topically under an occlusive bandage for 24 h on the right
    flank, and the vehicle alone was applied on the left flank.
    Erythematous reactions were quantified after 24 and 48 h. Seven days
    after the original challenge, all test and control animals were
    rechallenged with 10% folpet (w/w) in arachis oil.

         Moderate and diffuse redness was noted at 18 treatment sites 1 h
    after removal of the patches. Scattered mild redness was noted at nine
    treatment sites at 24 h. Skin reactions observed after the initial
    topical challenge included moderate and diffuse redness (at three
    sites at 24 h and one site at 48 h) and scattered mild redness (at 14
    sites at 24 h and 13 sites at 48 h). The responses were considered to
    be due to primary cutaneous irritation caused by folpet. The animals
    were re-challenged with a lower concentration of folpet, as the
    irritation might have precluded sensitization responses. Scattered
    mild redness was elicited at six treatment sites at 24 h and at two
    sites at 48 h, the reaction extending beyond the treatment sites in
    some animals. Erythema could not be evaluated at some sites because of
    other adverse reactions, including desquamation, oedema, scabs,
    cracking of the epidermis, fur loss, fissuring, hyperkeratinization,
    and loss of skin elasticity. Technical-grade folpet was thus a strong
    sensitizer on guinea-pig skin (Dreher, 1990).

        Table 1.  Results of tests for the genotoxicity of folpet
                                                                                                                                             

    End-point                      Test system                    Concentration                       Purity   Results            Reference
                                                                  or dose                             (%)
                                                                                                                                             

     In vitro
    Reverse mutation               E. coli PQ37                   0.03, 0.10, 0.3, or 1.0 µg/ml       90       Positivea          FAO/WHO (1986)
    Reverse mutation               E. coil PQ37                   3.0, 10, or 30 µg/ml                90       Negativeb          FAO/WHO (1986)
    Reverse mutation               S. typhimurium TA100,          0 or 50 µg/plate                    NR       Positive only      Tennekes (1995)
                                   TA98, TA1535, TA1537,                                                       in TA100a
                                   TA1538, E. coli WP2uvrA-
    Reverse mutation               S. typhimurium TA1535,         0 or 100 µg/plate                   NR       Positivea          Tennekes (1995)
                                   TA1537, TA1538
    Reverse mutation               S. typhimurium TA100,          0, 25, or 45 µg/plate               NR       Positivea          Tennekes (1995)
                                   TA1535
    Reverse mutation               E. coli TKJ6321,                                                   NR       Positivea          Tennekes (1995)
                                   TKJ5211                                                                     Weakly positiveb
    Reverse mutation               E. coli WP2hcr+ WP2hcr-        0 or 100 µg/plate                   NR       Positivea          Tennekes (1995)
    Reverse mutation               E. coli WP2hcr                 0 or 45 µg/plate                    NR       Positivea          Tennekes (1995)
    Chromosomal aberration         Chinese hamster ovary          NR                                  NR       Positivea          Tennekes (1995)
                                   cells                                                                       Weakly positiveb
    Chromosomal aberration         Human lymphoid cell line       NR                                  NR       Positivea          Tennekes (1995)
    Chromosomal aberration         Human lymphocytes              0, 1, 2, or 3 µg/ml for 24 h        90.1     Negativec          Tennekes (1995)
    Gene mutation hprt locus       Chinese hamster V79            0, 125, 0.25, 0.5, 1.0, or 2.0      90.1     Negativea          FAO/WHO (1986)
                                   lung fibroblasts               µg/ml
    Gene mutation hprt locus       Chinese hamster V79            3.125, 6.25, 12.5, or 50 µg/ml      90.1     Negativeb          FAO/WHO (1986)
                                   lung fibroblasts
    Gene mutation hprt locus       Chinese hamster ovary          NR                                  NR       Positivea          Tennekes (1995)
                                   cells
    Gene mutation tk locus         Mouse lymphoma                                                     NR       Positivea          Tennekes (1995)
                                   L5178Y cells
                                                                                                                                             

    Table 1.  (con't)
                                                                                                                                             

    End-point                      Test system                    Concentration                       Purity   Results            Reference
                                                                  or dose                             (%)
                                                                                                                                             

     In vivo
    Somatic cell mutation          T strain male mice             Oral; 0, 100, 1500, or 5000 ppm     88.7     Negative           FAO/WHO (1986)
                                   C57Bl/6 female mice            on days 8.5-12.5 of gestation
    Micronucleus formation         CD-1 mice                      10, 50, or 250 mg/kg bw             91       Negative           FAO/WHO (1986)
    Micronucleus formation         Groups of five male and        Oral; 125, 625, or 1250 mg/kg       97       Negatived          Ivett (1988)
                                   five female Sprague-Dawley     bwj; sacrifice at 24, 48, and
                                   rats; bone-marrow cells        72h; vehicle, corn oil
    Sex-linked recessive           Drosophila melanogaster                                            NR       Positive           Tennekes {1995)
    lethal mutation
                                                                                                                                             

    NR, not reported
    a  In the absence of metabolic activation
    b  With metabolic activation
    c  Authors concluded result was positive
        3.  Observations in humans

         A retrospective study of mortality was conducted in a cohort of
    134 workers occupationally exposed during the manufacture of captan
    for up to nine months annually and to folpet for up to three months
    annually. There was an apparent increase in the number of deaths from
    all causes (18) in the cohort in comparison with the number expected
    from US mortality rates (standardized mortality ratio, 164). The
    excess mortality was due mainly to cardiovascular disease and
    'external causes' unrelated to occupation. No statistically
    significant increases were observed for any specific cause of death,
    including neoplasia, but there were too few deaths to evaluate cause-
    specific mortality. Lack of adequate industrial hygiene monitoring
    precluded satisfactory estimation of previous exposure (FAO/WHO,
    1986).

    Comments

         Excretion of orally administered folpet by mice and rats is about
    45-55% in urine, 30-40% in expired air, and 11-17% in faeces; very
    little biliary excretion occurs, particularly in mice.

         Important degradation pathways of folpet in rodents result in the
    formation of phthalimide and thiophosgene. The latter is detoxified,
    at least in part, by three mechanisms: oxidation and/or hydrolysis to
    carbon dioxide; reaction with the cysteine moiety of glutathione to
    yield thiazolidine-2-thione-4-carboxylic acid; and reaction with
    sulfite to produce dithiobis(methanesulfonic acid).

         A study in which rats were exposed by acute inhalation indicated
    an LC50 of 0.39 (male) to 0.43 (female) mg/litre. The WHO has
    classified folpet as unlikely to present an acute hazard in normal
    use.

         A two-year study of carcinogenicity in mice with dietary
    concentrations of 0, 1000, 5000, or 10 000 ppm showed a dose-related
    increase in the incidence of atypical duodenal hyperplasia, adenomas,
    and adenocarcinomas, leading to partial obstruction of the duodenal
    lumen in animals of each sex. A no-effect level was not observed. In
    another two-year study of carcinogenicity, mice were given dietary
    concentrations of 0, 150, 450, or 1350 ppm. A treatment-related
    decrease in male body-weight gain was seen. There was a higher
    incidence of duodenal masses and thickening of the stomach wall in
    females and reduced liver weight in males at 1350 ppm. Microscopic
    changes at 1350 ppm and to a minor degree at 450 ppm included benign
    papillomas in the keratinized region of the stomach, benign adenomas
    in the duodenal mucosa, villous hyperplasia in the duodenal and
    jejunal mucosa, and hyperplasia of the lamina propria of the duodenum.
    Administration of folpet in the diet at a concentration of 1350 ppm
    induced tumours in the upper parts of the gastrointestinal tract
    (non-glandular stomach and duodenum) of mice of each sex. The NOAEL
    was 150 ppm, equal to 16 mg/kg bw per day.

         Folpet has been adequately tested for genotoxicity in a range of
    assays, which demonstrate that it is mutagenic and clastogenic  in
     vitro but not  in vivo. The in-vitro responses were reduced or
    abolished by the presence of liver homogenates, serum, glutathione, or
    cysteine whenever these experimental modifications were investigated.
    The Meeting concluded that folpet does not present a significant
    genotoxic risk, owing to the presence of an efficient detoxification
    mechanism  in vivo.

         Oral administration of folpet causes time-dependent changes in
    the glutathione content and glutathione  S-transferase activities of
    different regions of the gastrointestinal tract of mice and rats, with
    consequent effects on the detoxification of folpet. As early as three

    to four weeks after initiation of treatment with a tumour-inducing
    dose of folpet, both protein and non-protein thiol concentrations were
    increased throughout the duodenum of mice. Reaction with protein thiol
    is important for toxicity, while reaction with glutathione is
    important for detoxification. At the same time, some hyperplasia and
    hypertrophy were observed and the concentration of cyclin-dependent
    kinase was increased, but only in the proximal half of the duodenum, a
    result supported by assaying for proliferating cell nuclear antigen.
    These data indicate that sustained proliferative stimulation of the
    proximal duodenum is a consequence of oral administration of folpet.
    The Meeting concluded that this finding represents an important
    element in the process by which folpet, which is not genotoxic
     in vivo, induces tumours in the mouse gastrointestinal tract.

         A maximization test indicated that folpet is a sensitizer and
    irritant in guinea-pig skin.

         An ADI of 0-0.1 mg/kg bw was allocated on the basis of the NOAEL
    of 10 mg/kg bw per day in the two-year study of toxicity and
    carcinogenicity in rats, the one-year study of toxicity in dogs, and
    studies of reproductive toxicity in rats and rabbits, and a safety
    factor of 100.

    Toxicological evaluation

     Levels that cause no toxic effect

    Mouse:    150 ppm, equal to 16 mg/kg bw per day (104-week study of
              toxicity and carcinogenicity)

    Rat:      190 ppm, equivalent to 10 mg/kg bw per day (104-week study
              of toxicity and carcinogenicity)

              800 ppm, equivalent to 40 mg/kg bw per day (two-generation
              study of reproductive toxicity)

              10 mg/kg bw per day (maternal toxicity in study of
              developmental toxicity)

    Rabbit:   10 mg/kg bw per day (maternal and fetotoxicity in study of
              developmental toxicity)

    Dog:      10 mg/kg bw per day (one-year study of toxicity)

     Estimate of acceptable daily intake for humans

         0-0.1 mg/kg bw

     Studies that would provide information useful for continued
     evaluation of the compound

         Further observations in humans

        Toxicological criteria for setting guidance values for dietary and non-dietary exposure to folpet
                                                                                                                                    

    Exposure                      Relevant route, study type, species          Results, Remarks
                                                                                                                                    

    Short-term (1-7 days)         Skin, sensitization, guinea-pig              Sensitizer and irritant in maximization test
                                  Oral, toxicity, rat                          LD50 > 5000 mg/kg bw
                                  Inhalation, 4 h lethality, rat               LC50 = 0.4 mg/litre
                                  Dermal, toxicity, rabbit                     LD50 > 23 000 mg/kg bw

    Medium-term (1-26 weeks)      Repeated oral, 13-week toxicity, rat         NOAEL = 300 mg/kg bw per day based on reduced
                                                                               body weight, irritation of proximal gastrointestinal
                                                                               tract, and other effects
                                  Repeated oral, reproductive toxicity,        NOAEL = 40 mg/kg bw per day based on reduced
                                  rat                                          body weight
                                  Oral, developmental toxicity, rabbit         NOAEL = 10 mg/kg bw per day based on reduced
                                                                               body weight and food consumption; no fetotoxicity
                                                                               or teratogenic effect

    Long-term (> one year)        Repeated oral one year, toxicity, dog        NOAEL = 10 mg/kg bw per day based on reduced
                                                                               body weight and food consumption and serum
                                                                               biochemical changes
                                                                                                                                    
        References

    Blagden, S.M. (1991) Folpet technical: Acute inhalation toxicity
         study, four-hour exposure (nose only) in the rat. Unpublished and
         unnumbered report (Project No. 306/51) from Safepharm
         Laboratories Ltd, Derby, United Kingdom. Submitted to WHO by
         Makhteshim Chemical Works Ltd, Beer-Sheva, Israel.

    Dreher, D.M. (1990) Folpet technical: Magnusson & Kligman maximization
         study in the guinea pig. Unpublished and unnumbered report
         (Project No. 8/81) from Safepharm Laboratories Ltd, Derby, United
         Kingdom. Submitted to WHO by Makhteshim Chemical Works Ltd,
         Beer-Sheva, Israel.

    East, P.W. (1994) Folpet: Oncogenicity study by dietary administration
         to CD-1 mice for 104 weeks. Unpublished report No. 94/0403,
         Pharmaco LSR No. MAK/117, from Pharmaco LSR Ltd, Eye, Suffolk,
         United Kingdom. Submitted to WHO by Makhteshim Chemical Works
         Ltd, Beer-Sheva, Israel.

    FAO/WHO (1970) 1969 Evaluations of some pesticide residues in food.
         The monographs. FAO/PL: 1969/M/17/1, WHO/Food Add./70.38, Rome,
         FAO.

    FAO/WHO (1974) 1973 Evaluations of some pesticide residues in food.
         WHO Pesticide Residue Series No. 3, Geneva, WHO.

    FAO/WHO (1985) FAO Plant Production and Protection Paper 67.
         Evaluations, 1984. Rome, FAO. FAO/WHO (1987) Pesticide Residues
         in Food -- 1986. Evaluations, Part II -- Toxicology. FAO
         Production and Protection Paper 78/2. Rome, FAO.

    FAO/WHO (1991) Pesticide Residues in Food -- 1990. Toxicology
         Evaluations. WHO/PCS/91.47, Geneva, WHO.

    Nyska, A., Waner, T., Paster, Z., Bracha, P., Gordon E.B. & Klein, B.
         (1990) Induction of gastrointestinal tumors in mice fed the
         fungicide folpet: Possible mechanisms.  Jpn. J. Cancer Res., 81,
         545-549.

    Tennekes, H. (1995) The genetic toxicology of folpet. Position paper
         commissioned by Makhteshim Chemical Works Ltd, Beer-Sheva,
         Israel. Submitted to WHO by Makhteshim Chemical Works Ltd,
         Beer-Sheva, Israel

    Waterson, L.A. (1994a) Folpet, feasibility study by dietary
         administration to male mice for 21 days. Report No. MBS
         43/942221, from Huntingdon Research Centre Ltd, Huntingdon,
         Cambs, United Kingdom. Submitted to WHO by Makhteshim Chemical
         Works Ltd, Beer-Sheva, Israel.

    Waterson, L.A. (1994b) Folpet, extended feasibility/preliminary study
         by dietary administration to male mice for 28 days. Report number
         MBS 44/942343, from Huntingdon Research Centre Ltd, Huntingdon,
         Cambs, United Kingdom. Submitted to WHO by Makhteshim Chemical
         Works Ltd, Beer-Sheva, Israel.

    Waterson, L.A. (1995) Folpet, investigation of the effect on the
         duodenum of male mice after dietary administration for 28 days
         with recovery. Report No. MBS 45/9423003, from Huntingdon
         Research Centre Ltd, Huntingdon, Cambs, United Kingdom Submitted
         to WHO by Makhteshim Chemical Works Ltd, Beer-Sheva, Israel.
    


    See Also:
       Toxicological Abbreviations
       Folpet (HSG 72, 1992)
       Folpet (ICSC)
       Folpet (FAO/PL:1969/M/17/1)
       Folpet (WHO Pesticide Residues Series 3)
       Folpet (WHO Pesticide Residues Series 4)
       Folpet (Pesticide residues in food: 1984 evaluations)
       Folpet (Pesticide residues in food: 1986 evaluations Part II Toxicology)
       Folpet (Pesticide residues in food: 1990 evaluations Toxicology)