IPCS INCHEM Home

    FENARIMOL

    First draft prepared by
    P.H. van Hoeven-Arentzen

    National Institute of Public Health and Environmental Protection,
    Bilthoven, Netherlands

    Explanation
    Evaluation for acceptable daily intake
         Biochemical aspects
              Absorption, distribution, and excretion
              Biotransformation
              Other metabolic studies
         Toxicological studies
              Acute toxicity
              Short-term toxicity
              Long-term toxicity and carcinogenicity
              Reproductive toxicity
              Developmental toxicity
              Genotoxicity
              Special studies
                   Dermal and ocular irritation and dermal sensitization
                   Mechanisms of effects on reproduction
                   Relevance to humans of adverse reproductive effects in
                   rodents
         Comments
         Toxicological evaluation
    References

    Explanation

         Fenarimol is a pyrimidin-5-yl benzhydrol fungicide, which is used
    on many crops. It was considered for the first time by the present
    Meeting.

    Evaluation for acceptable daily intake

    1.  Biochemical aspects

    (a)  Absorption, distribution, and excretion

         Several studies were performed (Hoffmann  et al., 1985a,b,c) in
    which groups of five male and five female Wistar rats were given a
    single oral dose of 1 or 13 mg/kg bw 14C-fenarimol, as a mixture of
    lots labelled at the carbinol carbon, the  ortho-chlorophenyl ring,
    and the  para-chlorophenyl ring.

         Fenarimol was rapidly absorbed, as measured in blood samples
    taken periodically up to 24 h after the low dose and up to 48 h after
    the high dose. The peak plasma levels occurred about 1 h after
    treatment and were 0.08-0.21 µg/g after the low dose and 2.79-
    3.62 µg/g after the high dose (in equivalents). The concentrations
    then declined, with average half-lives of 11..9-16.8 h. Both the peak
    plasma concentrations and the area under the plasma concentration-time
    (0-24 h) curve (AUC) were dependent on sex and dose. The peak plasma
    concentrations and the AUCs were higher in female than in male rats
    given the low dose, but no difference was seen at 13 mg/kg bw. The
    increase in the AUC in animals of each sex and the peak plasma
    concentrations in males were much greater than the 13-fold difference
    in dose, suggesting that the metabolism of fenarimol was saturated
    after the high dose (Hoffman  et al., 1985c).

         The concentrations of radiolabel in the major tissues and organs
    were measured 1 and 24 h and seven days after administration of the
    two doses. After 1 h, the flushed-out intestines contained about 7.5%
    of the administered dose after the low dose and about 3.2% after the
    high dose. The liver contained 5.3-8.7% of the administered dose; all
    other tissues contained < 0.7%. The highest concentrations in
    tissues other than the intestine were in the liver (3 µg/g) at the low
    dose and in fat (33-58 µg/g), liver, pancreas, and adrenal glands at
    the high dose. The tissue concentrations decreased rapidly, and by
    24 h liver and fat contained 19-47% and 7-18%, respectively, of the
    1-h values. The major exception to this trend was the intestine, where
    the amount of radiolabel increased between 1 and 24 h; this finding
    is consistent with the observed biliary excretion of fenarimol
    metabolites (see below). The amount of radiolabel recovered in
    carcass (rinse excluded) and tissues after seven days was 1 and 2.2%,
    respectively, of the low and high dose. At that time, all tissue
    samples had residue concentrations < 1 µg/g (equivalents), except for
    the ovaries and the adrenal, pituitary, and thyroid glands of females
    at the high dose (1-3 µg/g). The radiocarbon levels in most tissues
    were somewhat higher in females than in males (Hoffman  et al.,
    1985b,c).

         14C-Fenarimol was rapidly and extensively eliminated, most
    within 48 h and principally via the faeces. Within seven days, males
    at either dose had excreted about 83% in faeces and 6.8% in urine;
    females at the low dose had excreted 77% in faeces and 9% in urine,
    and those at the high dose had excreted 66 and 13% in faeces and
    urine, respectively. A preliminary experiment showed negligible
    excretion in expired air. In a subsequent experiment with
    bilecannulated rats, biliary excretion was shown to be a major route
    of elimination, with no sex difference; by 24 h after treatment with
    either dose, 57-78% had been eliminated in bile. Elimination in bile
    plus urine by 24 h accounted for 78-79% and 65-83% of the administered
    dose at 1 and 13 mg/kg bw, respectively. The amount of radiolabel in
    the bile was proportional to the dose administered, indicating that
    absorption was similar at the two doses (Hoffman  et al., 1985a,c).

         Groups of five male and five female Wistar rats received daily
    oral doses of 1 mg/kg bw unlabelled fenarimol (purity, 97%) for 14
    days and on day 15 they received the same dose of radiolabelled
    compound. Urine and faeces were collected daily for seven days, and
    then the animals were killed and organs and tissues were examined for
    14C activity. Total urinary excretion accounted for 6.5% of the dose
    in males and 9.2% in females, and total faecal excretion accounted for
    76.2% in males and 78% in females. At 24 h, females excreted fenarimol
    at a slightly lower rate than males. The levels of radiolabel in the
    residual carcass were 1.2% of the dose in males and 1.5% in females.
    The tissue levels ranged from < 0.005 to 0.04 µg/g (equivalents),
    with the highest levels in liver in males and in adrenals in females
    (Hoffman  et al., 1985d).

         A lactating goat was fed gelatin capsules containing fenarimol
    labelled in the carbinol carbon twice daily for five days at a dose
    equivalent to 10 ppm of its daily food consumption and was killed 16 h
    later. A second lactating goat served as a control. Peak plasma
    concentrations were observed about 4 h after the first dose. A
    steady-state condition was reached between 56 and 96 h at a plasma
    level of about 0.026 µg/ml equivalents. The major routes of
    elimination were faeces (53%) and urine (28%); < 0.1% of the total
    dose was excreted via milk, with a steady-state level of about
    0.007 µg/ml equivalents reached after 56 h. The highest concentrations
    of label were found in bile (2.97 µg/g), liver (0.42 µg/g), and kidney
    (0.14 µg/g). The concentrations in fat, muscle, and carcass were
    similar to the plasma concentration. High levels of radiolabel
    remained in the gastrointestinal tract and contents at sacrifice (13%
    of the total dose). Unchanged fenarimol represented about 21% of the
    radiolabel in the liver; the principal metabolite in the liver, a
    methyl sulfone derivative of fenarimol, represented about 33%.
    Metabolites were not identified in bile, faeces, kidney, or urine
    (Prout, 1994; Watson, 1994).

         Dermal absorption of fenarimol was evaluated in two male and two
    female rhesus monkeys by comparing the results of intravenous and
    topical administration of 14C-fenarimol (mixture of three
    radiotracers). Fenarimol dissolved in ethanol was administered by both
    routes at a dose of 2 mg/kg bw. The topical dose was applied under an
    occlusive bandage to 6 cm2 of shaved forearm for 24 h (the vehicle
    was evaporated with a hairdryer) and then removed by washing. The
    study was terminated 168 h after treatment, when 83% of the dermal
    dose and 75% of the intravenous dose were recovered. The mean AUCs for
    plasma radiolabel were 0.243 and 15.6 h x µg/ml after topical and
    intravenous administration, respectively. Cumulative urinary plus
    faecal excretion up to seven days after administration was 1.98 and
    75.4%, respectively. The quantity of the applied dose that was
    absorbed can be expressed either as the ratio of the topical to the
    intravenous AUC or as the ratio of the percent excreted seven days
    after topical versus intravenous administration. Low dermal absorption
    values were obtained by the two routes: 1.56 and 2.63%, respectively.
    Pharmacokinetic data derived after intravenous injection indicated
    that 14C-fenarimol was partially bound to plasma protein and that
    elimination from plasma was biphasic, with half-lives of 3.3 and
    62.8 h (Hoffman  et al., 1985e).

    (b)  Biotransformation

         Wistar rats were given one oral dose of 1 or 13 mg/kg bw
    14C-fenarimol, and urine and faeces were collected daily for seven
    days. Samples were pooled by sex and dose and then analysed for the
    presence of 14C-fenarimol and metabolites. Fenarimol was extensively
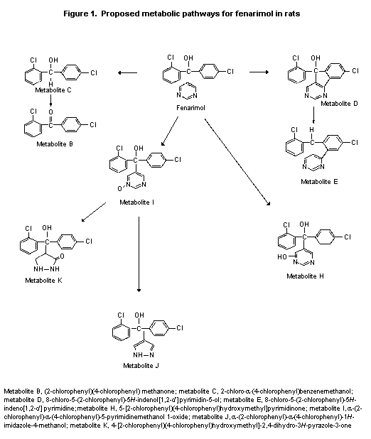
    metabolized, less than 3% of the dose being excreted unchanged in the
    faeces. More than 40 metabolites, each representing less than 10% of
    the dose, were detected in urine and faeces, many of which appeared to
    be common to urine and faeces. Some of these are shown in Figure 1.
    Metabolites K, J, and F were the major metabolites, representing 6-9%,
    3-4%, and 6-7% of the low dose, respectively. Lower percentages of
    metabolites K and F and higher percentages of metabolite J were
    observed after the 13 mg/kg bw dose, perhaps due to maturation of one
    pathway. Given the large number of minor metabolites detected,
    metabolism probably occurred at more than one site on the molecule and
    involved several pathways. The proposed major metabolic pathways of
    fenarimol are oxidation of the carbinol carbon atom, the chlorophenol
    rings, and the pyrimidine ring. A proposed minor pathway involves
    cyclization between a chlorophenyl ring an d the pyrimidine ring
    (Figure 1) (Althaus, 1985a).

         Only trace amounts of unchanged fenarimol were found in 24-h bile
    samples from rats treated with 1 or 13 mg/kg bw 14C-fenarimol. The
    biliary metabolites occurred predominantly as glucuronic acid
    conjugates, and similar metabolic profiles were seen at the two doses.
    After enzymatic hydrolysis, a complex mixture of metabolites was

    CHEMICAL STRUCTURE 1

    found, the main one being metabolite K. In contrast, most of the
    radiolabel in the faeces was present as free compounds, indicating
    that biliary metabolites undergo further metabolism or hydrolysis
    before being excreted (Goebel, 1985).

         The tissue distribution of fenarimol in Wistar rats was
    determined 1 and 24 h after administration of 1 or 13 mg/kg bw
    14C-fenarimol. The main radiolabelled constituents identified in
    blood and kidney after 1 h were unchanged fenarimol and metabolite I.
    The amount of fenarimol increased with dose, from 19 to 40% of the
    total radioactivity in blood in males and from 50 to 73% in females.
    Fenarimol also accounted for most of the radiolabel in the liver
    (67-90%), whereas metabolite K represented 3-6%. Females had more
    unchanged fenarimol residues than males, indicating more extensive
    metabolism in males. Furthermore, metabolism was reduced at the higher
    dose, suggesting saturation (Althaus, 1985b).

    (c)  Other metabolic studies

         Some barrier to placental transport of fenarimol-derived
    radiolabel was found in rats on days 14-17 of gestation but virtually
    no barrier on day 18 (Hoffman & Hirsch, 1981a). Fenarimol-derived
    radiolabel was excreted in milk and subsequently concentrated in the
    hypothalamus of neonates. The concentration in milk up to 48 h after
    treatment was three to five times greater than that in maternal plasma
    (Hoffman & Hirsch, 1981b).

    2.  Toxicological data

    (a)  Acute toxicity

         The results of studies of acute toxicity are summarized in 
    Table 1.

    (b)  Short-term toxicity

    Mice

         In a pilot study reported with few details, groups of four male
    ICR mice were given fenarimol (purity unspecified) in the diet at 0
    (10 animals), 25, 50, 100, 200, 400, 800, 1600, 3200, 6400, or
    12 800 ppm for 14 days. No effects were observed on mortality or
    clinical signs. terminal body weight was reduced at the highest dose.
    In the liver (the only organ investigated), dose-related increases in
    relative weight and in the rate of hepatic metabolism of  para-
    nitroanisole were seen at > 800 ppm. There were no effects on liver
    pathology or histopathology (Hoffman  et al., 1975b).

        Table 1.  Acute toxicity of fenarimol
                                                                                                               

    Species             Sex            Route               LD50 or LC50        Purity    Reference
                                                           (mg/kg bw or        (%)
                                                           mg/litre air)
                                                                                                               

    ICR mouse           Male           Oral                4508a               NR        Hoffman et al. (1975a)
                        Female                             > 4000a
    Wistar-derived      Male           Oral                2576a               NR        Hoffman et al. (1975a)
      Harlan rat        Female                             2515a
    Albino rabbit       Male and       Dermal              > 2000b             NR        Hoffman et al. (1977a)
                        female
    Fischer 344 rat     Male and       Inhalationc         > 2.07              97%       Hoffman et al. (1980a)
                        female         (1-h)
    Wistar-derived      FemMe          intraperitoneal     533                 NR        Hoffman et al. (1975a)
      Harlan rat
    Beagle dogc         Male and       Oral                > 200               NR        Hoffman et al. (1975a)
                        female
                                                                                                               

    NR, not reported
    a  Signs of toxicity: hypoactivity, leg weakness, loss of righting reflex, ptosis (1-6 h after treatment);
       loose stools; diuresis, diarrhoea, debilitation (24 h after treatment); recovery within 8-10 days
    b  Application on intact and abraded skin; one death, but no signs of toxicity or irritation
    c  Nose only; nominal concentration, 133 mg/litre; particle size, 12 µm
    d  Only one male and one female
             In a poorly reported study, groups of 10 male and 10 female ICR
    mice were fed diets containing 0, 365, 620, 1100, 2000, or 3300 ppm
    fenarimol (purity unspecified) for three months, equivalent to 0, 52,
    88, 157, 286, or 471 mg/kg bw per day. Food consumption was not
    measured, and ophthalmological examinations were not performed. There
    were no treatment-related effects on mortality, clinical signs of
    toxicity, haematology, or body weight. A statistically significant
    reduction in total bilirubin was observed in animals of each sex at
    the two highest doses and in males at 1100 ppm. Hepatic  para-
    nitroanisole metabolism, determined in five animals of each sex in
    each group, showed a significant dose-related increase in females at
    > 1100 ppm and in males at > 2000 ppm. Relative liver weights
    were increased in a dose-related manner in males at > 365 ppm (10%
    increase) and in females at > 620 ppm (11% increase) and reached
    statistical significance at 620 and 1100 ppm, respectively. Absolute
    liver weights were increased at > 620 ppm. The main effects seen on
    histopathological examination of tissues other than nervous tissue
    were centrilobular hypertrophy and hepatomegaly in the livers of males
    at 1100 ppm and 2000 ppm, respectively, and in females at the highest
    dose. A shift from a diffuse distribution of fat droplets to a more
    periportal distribution was observed in animals of each sex at
    > 2000 ppm. In kidneys, a higher incidence of fat droplets was
    observed in females at > 2000 ppm. The NOAEL was 365 ppm,
    equivalent to 52 mg/kg bw per day (Hoffman  et al., 1975c).

    Rats

         In a pilot study reported in little detail, four male and four
    female male Wistar rats were fed diets containing fenarimol (purity
    unspecified) at 0 (10 animals per group), 25, 50, 100, 200, 400, 800,
    1600, 3200, 6400, or 12 800 ppm for 14 days. Three animals at the high
    dose died. Signs of toxicity, including anorexia, piloerection,
    ataxia, and tremors, and decreased body weight and food consumption
    were seen at doses > 3200 ppm. In the liver, the only organ
    investigated, there were dose-related increases in relative weight at
    > 400 ppm and in the rate of hepatic metabolism of  para-
    nitroanisole at > 200 ppm. Histopathological examination of the
    liver revealed centrilobular hypertrophy at > 400 ppm and focal
    necrosis at > 6400 ppm; no effects were seen at < 100 ppm
    (Hoffman  et al., 1975d).

         In a subsequent study in male Wistar rats, also poorly reported,
    four animals per treatment group and 10 controls were fed diets
    containing fenarimol (purity unspecified) at 0, 25, 50, 100, 200, 400,
    800, 1600, 3200, or 6400 ppm for 14 days. Food consumption and body
    weight were reduced at > 1600 ppm; increased absolute and relative
    liver weights were seen at > 800 ppm and increased hepatic
    microsomal protein content at > 400 ppm. A dose-related reduction
    in glucose-6-phosphatase activity was seen at > 800 ppm. The rate

    of hepatic metabolism of  para-nitroanisole was increased in a
    dose-related fashion at > 200 ppm. No effects on the liver were
    seen at < 100 ppm (Hoffman  et al., 1975e).

         In another poorly reported study, groups of 20 male and 20 female
    Wistar rats were fed diets containing 0 (25 animals per sex), 50, 200,
    or 800 ppm fenarimol (purity unspecified) for three months, equivalent
    to 0, 2.5, 10, or 40 mg/kg bw per day. Five animals of each sex in
    each group were kept for a recovery period of two weeks. No
    ophthalmological examinations were performed. There were no treatment
    -related effects on mortality, clinical signs of toxicity, food
    consumption, haematology, or clinical chemistry (only blood urea
    nitrogen, glucose, and alanine aminotransferase measured). A slight
    depression in body weight was observed in males at the high dose. A
    dose-related increase in relative liver weight was observed in animals
    of each sex, which was statistically significant at the high dose. The
    relative weights of the kidneys of males and females and of the
    thyroid of females were increased at the high dose. Hepatic  para-
    nitroanisole metabolism, determined in five animals of each sex in
    each group, showed a significant, dose-related increase in females at
    800 ppm and in males at > 200 ppm. The main effect seen on
    histopathological examination of tissues other than nervous tissue was
    centrilobular hypertrophy in males and a shift from slight to moderate
    fatty metamorphosis in females at the high dose. At the end of the
    recovery period, only increased liver weight was still observed at the
    high dose. The NOAEL was 50 ppm, equivalent to 2.5 mg/kg bw per day
    (Hoffman  et al., 1975f).

         In a study with no recovery period and again with little detail
    reported, groups of 10 male and 10 female Wistar rats were fed diets
    containing 0, 140, 200, 275, 365, or 500 ppm fenarimol (purity
    unspecified) for three months, equivalent to 0, 7, 10, 14, 18, or
    25 mg/kg bw per day. There were no treatment-related effects on
    mortality, clinical signs of toxicity, body weight, food consumption,
    haematology, clinical chemistry, or histopathology (nervous tissue was
    not examined). A dose-related increase in relative liver weight was
    observed in females at > 275 ppm and in males at 500 ppm. Hepatic
     para-nitroanisole metabolism, determined in five animals of each sex
    in each group, showed a dose-related increase, which was statistically
    significant at > 275 ppm. The NOAEL was 200 ppm, equivalent to
    10 mg/kg bw per day (Hoffman  et al., 1975g).

    Rabbits

         A 21-day study of dermal toxicity was conducted in groups of five
    male and five female New Zealand white rabbits, which received daily
    applications of 0 or 1000 mg/kg bw technical-grade fenarimol (purity,
    97%) or 500 or 1000 mg/kg bw of a wettable powder formulation
    containing 50% fenarimol for 6 h/day. A further group received
    1000 mg/kg bw of the formulation and was then held for a recovery

    period of 14 days. Technical-grade fenarimol induced no treatment-
    related effect on appearance, behaviour, body weight, food
    consumption, ophthalmological parameters, dermal irritation,
    haematological or clinical chemical parameters, organ weights, or
    gross or histological appearance of tissues. The NOAEL was thus the
    highest dose tested, 1000 mg/kg bw per day. The formulation induced no
    treatment-related systemic toxicity, but dermal irritation was seen in
    both groups, characterized by slight to severe erythema and slight
    oedema during the treatment phase. The irritation subsided within nine
    days after exposure (Hoffman  et al., 1985f).

    Dogs

         Groups of four male and four female beagle dogs were fed gelatin
    capsules containing fenarimol (purity unspecified) at doses of 0,
    1.25, 5, or 20 mg/kg bw per day for three months. No treatment-related
    effect was seen on appearance, behaviour, body weight, food
    consumption, ophthalmological, haematological, or clinical chemical
    parameters, urinalysis, organ weights, hepatic  para-nitroanisole
    metabolism, or gross or histological appearance of tissues (excluding
    nervous tissue). The NOAEL was thus the highest dose tested, 20 mg/kg
    bw per day (Hoffman  et al., 1975h).

         Groups of six male and six female beagle dogs were given gelatin
    capsules containing fenarimol (purity, 96.7%) at doses of 0, 1.25,
    12.5, or 125 mg/kg bw per day for one year. Two dogs of each sex in
    each group were maintained for a recovery period of three months. No
    treatment-related effect was seen on mortality, body weight, food
    consumption, or ophthalmological, haematological, or urinary
    parameters. One, five, seven, and 12 dogs in the four groups had
    soft, runny, or mucoid stools on two, 10, 21, and 34 occasions,
    respectively. Transient enlargement of the mammary glands of female
    dogs was seen in all groups, and there was a slight treatment-related
    increase in incidence and duration in four animals in the group at the
    highest dose, lasting for up to 46 days. At the high dose, increased
    alkaline phosphatase and liver  para-nitroanisole  O-demethylase
    activities and increased absolute and relative liver weights were
    observed in animals of each sex; a trend to increased relative ovarian
    weight was also observed at this dose. These increases were still seen
    after recovery. The only treatment-related histopathological finding
    was mild hepatic bile stasis in one female in the treatment phase and
    in two males after the recovery period. The NOAEL was 12.5 mg/kg bw
    per day (Hoffman  et al., 1985g).

    (c)  Long-term toxicity and carcinogenicity

         In many of the studies described below, increased blood glucose
    was found. Although apparent dose-dependent increases were observed in
    several studies, the end-point (measured only at termination) was very
    variable and inconsistent, usually with flat dose-response curves. No

    clear explanation could be found for these apparent increases. The
    effect was considered to be compound-related but toxicologically
    insignificant and was not taken into account in establishing the NOAEL
    for each study.

    Mice

         Groups of 20 male and 20 female ICR mice (30 of each sex in the
    control group) were fed diets containing 0, 50, 170, or 600 ppm
    fenarimol (purity, 97%), equivalent to 0, 7.1, 24.3, or 85.7 mg/kg bw
    per day, for 12 months. Food consumption was not measured, urinalysis
    was not performed, and haematology and clinical chemistry were
    determined only at termination. There were no treatment-related
    effects on mortality, clinical signs of toxicity, or haematology.
    Body-weight gain of males at 600 ppm was slightly decreased. A
    dose-related increase in blood glucose levels was observed at
    > 50 ppm, which was statistically significant at 600 ppm in males
    and at 170 ppm in females. A significant increase in serum creatinine
    concentration was seen in females at 170 and 600 ppm. The activity of
    alanine aminotransferase was increased in males at the high dose. The
    absolute and relative liver and spleen weights were increased in males
    at 600 ppm, and relative liver weight was increased in females at
    600 ppm. Absolute and relative uterine weights were decreased at this
    dose. A slight, dose-related increase in the incidence of very slight
    or slight fatty change in the liver was observed, reaching 10-20% at
    600 ppm (0% in controls). The NOAEL was 170 ppm, equivalent to
    24.3 mg/kg bw per day (Hoffman  et al., 1978a).

         In two replicate studies, groups of 40 male and 40 female ICR
    mice (60 animals of each sex in the control group) were fed diets
    containing 0, 50, 170, or 600 ppm fenarimol (purity, 97.9%),
    equivalent to 0, 7.1, 24.3, or 85.7 mg/kg bw per day, for two years.
    Food consumption was not measured, and haematology and clinical
    chemistry were carried out only at termination. Since the results of
    the replicate studies were similar, they were reported as a single
    study. There were no treatment-related effects on mortality, clinical
    signs of toxicity, or haematological or clinical chemical parameters.
    Body-weight gain of males at 600 ppm was slightly decreased. A
    tendency towards increased relative liver weights and a slightly
    increased incidence of hepatic fatty change (2.5-6%; 1-2% in controls)
    were observed in animals of each sex at the high dose. The tumour
    incidence was not enhanced. Although the laboratory considered that
    there were no significant effects in these studies, the slight
    reduction in body weight suggests minimal toxicity. The NOAEL was thus
    170 ppm, equivalent to 24.3 mg/kg bw per day (Hoffman  et al.,
    1978b).

    Rats

         Wistar rats of the first parental generation in a multi-
    generation study of reproduction {see Hoffman  et al., 1977b) were
    maintained on treated diets for another three months after the end of
    the study and thereby received the diets for a total of one year.
    Groups of 20 male and 20 female rats (30 of each sex in the control
    group) received doses of 0, 50, 130, or 350 ppm fenarimol (purity,
    97.9%), equivalent to 0, 2.5, 6.5, or 17.5 mg/kg bw per day.
    Haematology and clinical chemistry were evaluated only at termination;
    no urinalysis was performed, and nervous tissue was not examined at
    histopathology. There were no treatment-related effects on mortality,
    clinical signs of toxicity, or body weight. The limited data available
    on food consumption (intake during weeks 1, 8, 42, and 54 only)
    indicated no effects. Males at the high dose had increased erythrocyte
    counts and and decreased leukocyte counts. Blood glucose levels were
    elevated in males at all doses (not dose-related but highest at the
    high dose) and in females at 130 and 350 ppm. A dose-related reduction
    in blood urea nitrogen was observed in males at > 50 ppm. Absolute
    and relative liver weights and relative kidney weight were increased
    in females, and absolute and relative spleen weights were decreased in
    males at the high dose. Slight atrophy of the acini of the pancreas
    was observed more frequently at the high dose, predominantly in males.
    The effects on clinical chemical parameters are not considered to be
    adverse. The NOAEL was thus 130 ppm, equivalent to 6.5 mg/kg bw per
    day (Hoffman  et al., 1978c).

         Groups of 20 male and 20 female Wistar rats (30 of each sex in
    the control group) received diets containing 0, 50, 130, or 350 ppm
    fenarimol (purity, 97.9%) for 18 months, equal to 0, 2.3, 6.0, or
    16 mg/kg bw for males and 0, 3.6, 8.4, or 22.9 mg/kg bw per day for
    females. Urinalysis and ophthalmological examinations were not
    performed, and haematology and clinical chemistry were evaluated only
    at termination. There were no treatment-related effects on mortality
    (survival was a slightly higher at the highest dose), food
    consumption, clinical signs of toxicity, or clinical chemistry. A
    reduction in growth was seen consistently in all treated groups; on
    several occasions, 10% reductions in body weight were seen at 130 and
    350 ppm. At 350 ppm, a slight decrease in leukocyte count was observed
    in males and in prothrombin time in females. A dose-related decrease
    in serum prolactin levels was observed in females, but it was not
    statistically significant, and the individual levels within the groups
    were very variable. Relative liver weight was increased in all treated
    groups, but the reduction was statistically significant only at
    350 ppm. At this dose, absolute and relative ovarian weights were
    increased, and absolute spleen weights were reduced in males. A slight
    increase in the incidence of a fatty liver was seen in all treated
    males (60-70%; 43% in controls), and an increase in the severity of

    fatty changes in liver was observed in females at the high dose. The
    NOAEL was 50 ppm, equal to 2.3 mg/kg bw for males and 3.6 mg/kg bw per
    day for females (Hoffman  et al., 1978d).

         In two replicate studies, groups of 40 male and 40 female Wistar
    rats (60 animals of each sex in the control group) were fed diets
    containing 0, 50, 130, or 350 ppm fenarimol (purity, 97.9%), equal to
    0, 2.0, 5.3, or 14.6 mg/kg bw for males and 0, 2.8, 7.6, or 21.5 mg/kg
    bw for females, for 24 months. Haematology and clinical chemistry were
    evaluated only at termination. Since the results of the two replicate
    studies were similar, they were reported as a single study. There was
    a dose-related increase in the rate of survival, increasing in males
    from 27% (controls) to 44% (high dose) and in females from 38 to 54%;
    however, the rate was not sufficient to meet the criteria for a valid
    negative result in a study of carcinogenicity. There were no
    treatment-related effects on clinical signs of toxicity or organ
    weights. Body-weight gain of males was slightly reduced at 350 ppm
    during the first nine months of the study. The leukocyte count was
    decreased in animals of each sex at the high dose. Dose-related
    increases in blood glucose levels were seen at all doses, which were
    statistically significant in males at the high dose and in one study
    at > 50 ppm in females. In one study, a dose-related reduction in
    mean serum prolactin values was seen in females at > 50 ppm, which
    reached statistical significance at 350 ppm; however, individual
    values were very variable, with similar ranges in all groups. Males
    also showed a statistically significant increase in prolactin levels
    at 350 ppm, and females had increased levels of luteinizing hormone.
    Although hormone levels were investigated to elucidate the effects of
    fenarimol on reproduction, the laboratory considered the toxicological
    significance of the observed changes to be unknown. An increased
    incidence of fatty changes in the liver, which tended to be dose-
    related, was seen especially in males; the overall incidences in males
    and females in the two studies were 29, 40, 43, and 53% at 0, 50, 130,
    and 350 ppm. An increase in severity was observed in animals of each
    sex at the high dose. The incidence of hyperplastic nodules was
    slightly increased: 0% in controls, 1.9% at 50 ppm, 1.9% at 130 ppm,
    and 4.4% at 350 ppm, and reached statistical significance at the high
    dose. In addition, hepatic-cell adenomas were seen in 0.6% of rats at
    130 ppm and in 3.2% at 350 ppm (statistically significant). There was
    no NOAEL, owing to the slight effects on the liver at the low dose
    (Hoffman  et al., 1978e).

         A further two-year carcinogenicity study was conducted in order
    to establish a no-effect level for the effects on the liver observed
    in the previous study. Groups of 50 male and 50 female Wistar rats
    were fed diets containing 0, 12.5, 25, or 50 ppm fenarimol (purity,
    96.7%), equal to 0, 0.6, 1.2, or 2.5 mg/kg bw for males and 0, 0.7,
    1.5, or 3.0 mg/kg bw per day for females, for 24 months. Haematology
    and clinical chemistry were evaluated only at termination, and the
    liver was the only organ examined at necropsy. The survival rate was

    low due to an outbreak of chronic respiratory disease during the 16th
    and 17th months: only 10-32% per sex per group survived for two years
    There were no treatment-related effects on clinical signs of toxicity,
    haematology, or liver weight. Reductions in body-weight gain, food
    consumption, and food efficiency were observed in males at the high
    dose during the first year of the study. The glucose content of blood
    was increased in animals of each sex at 50 ppm. The incidence of fatty
    liver was increased at the high dose, especially in males (60%; 26% in
    controls). There was no evidence of an increase in tumour incidence,
    but the survival rate was not sufficient to meet the criteria for a
    valid negative result in a study of carcinogenicity. The NOAEL was
    25 ppm, equal to 1.2 and 1.5 mg/kg bw per day for males and females,
    respectively (Hoffman  et al., 1982a).

         Groups of 50 male and 50 female Wistar rats were fed fenarimol
    (purity, 97%) at 0, 12.5, 25, or 50 ppm in their diet, equal to 0,
    0.5, 1.0, or 2.0 mg/kg bw for males and 0, 0.6, 1.2, or 2.3 mg/kg bw
    per day for females, for 24 months. Haematology and clinical chemistry
    were evaluated only at termination, and the liver was the only organ
    weighed. There was no treatment-related effect on survival rates
    (29-44% for males and 56-74% for females), body-weight gain, food
    consumption, food efficiency, haematology, hepatic  para-nitroanisole
    metabolism, liver weight, or histopathology of any organ. Slight
    increases in the incidences of low body weight and pale eyes were
    noted in all treated males. Blood glucose levels were increased at
    25 ppm in males and at 50 ppm in animals of each sex. The tumour
    incidence was not increased. The effects seen were considered not to
    be adverse. The NOAEL was therefore 50 ppm, the highest dose tested,
    equal to 2.0 and 2.3 mg/kg bw per day for males and females,
    respectively (Hoffman & Pierce, 1985).

         In a further analysis of the data on carcinogenicity from the
    study conducted in 1986, the incidences of hepatocellular adenoma and
    carcinoma at the high dose in the replicate study and at the low dose
    in the last study were combined and analysed for trend. There was no
    statistically significant evidence that fenarimol is oncogenic
    (Rodricks  et al., 1989).

         In a study conducted to assess the initiating activity of
    fenarimol, groups of six or 12 male Fischer 344 rats were fed 350 ppm
    fenarimol (purity unspecified) in the diet for eight or 20 weeks;
    one group fed fenarimol for eight weeks was subsequently fed
    phenobarbital for 12 weeks. In order to investigate promotion
    potential, hepatocellular foci were induced by exposure to  N-2-
    fluorenylacetamide for eight weeks, and then rats were fed 350 ppm
    fenarimol for 12 weeks. Livers were examined after eight or 20 weeks
    for the presence of altered hepatocellular foci that were iron-
    excluding or contained gamma-glutamyl transpeptidase. Fenarimol had no
    initiating or promoting activity in rat liver (Hoffman & Amundson,
    1985).

    (d)  Reproductive toxicity

    Mice

         In two pilot studies, groups of 10 male and 10 female ICR mice
    were fed fenarimol (purity, 97.9%) in the diet. In the first study,
    treatment with doses of 50, 170, or 600 ppm was started one week
    before mating and was continued up to day 21 of lactation. In the
    second study, treatment with doses of 0, 170, 350, or 600 ppm was
    started two weeks before mating and continued up to day 14 of
    lactation. One female at 600 ppm died and one was killed with signs of
    dystocia. No effect on body weight was detected. Fertility was clearly
    reduced (and fewer females had copulatory plugs) at 350 and 600 ppm in
    the second study only, and there was evidence of reduced fertility at
    170 ppm. Liveborn litter size was reduced at 350 and 600 ppm,
    apparently as a result of an increased incidence of stillbirths. A
    lengthened gestation period was observed at 600 ppm No NOAEL could be
    established owing to the limited study design (Markham  et al.,
    1978a).

         In a three-generation study, groups of 20 male and 20 female ICR
    mice (30 of each sex in the control group) were fed fenarimol (purity,
    97.9%) at dietary levels of 0, 35, 70, or 140 ppm, equivalent to 0, 5,
    10, or 20 mg/kg bw per day, starting 61-63 days before mating. Food
    consumption was not measured, and the surviving parental animals were
    not necropsied. No compound-related effects were observed in the
    parents, on reproductive parameters, or on the pups. The NOAEL was
    140 ppm, equivalent to 20 mg/kg bw per day (Markham  et al., 1978b).

    Rats

         In a two-generation study, groups of 20 male and 20 female Wistar
    rats (30 of each sex in the control group) were fed fenarimol (purity,
    97.9%) in the diet at concentrations of 0, 50, 130, or 350 ppm,
    equivalent to 0, 12.5, 6.5, or 17.5 mg/kg bw per day. Food consumption
    was not measured. F0 rats were exposed for 55 days before the first
    of three matings; after the third mating, the animals were maintained
    on the test diets for another three months and then evaluated for
    long-term toxicity (see Hoffman  et al., 1978c). The F1b offspring
    were destined to become F1 parents. The F1 animals were exposed to
    the test diets for 58 days before the first mating. After weaning, the
    F1 parents were placed on control diet for 63 days before a second
    mating (reversibility test). For the third mating, a reversibility and
    cross-over experiment was performed: the F1 animals continued to be
    exposed to control diets, for a total of about five months by the time
    of mating. F1 males were mated with untreated virgin females and
    F1 females with untreated males. In each of the three F1
    breedings, one female at 350 ppm died, perhaps due to dystocia. The
    F1 males at 130 and 350 ppm had decreased body-weight gain. There
    was a dose-related reduction in fertility (proportion of pregnant

    females) at 130 and 350 ppm, and the effect was time-dependent, being
    more pronounced after each successive F0 mating and even more
    pronounced after the first F1 mating, in which fertility was 20 and
    0%, respectively, at 130 and 350 ppm. There was some evidence of
    reduced fertility at 50 ppm, but the effects were not statistically
    significant. After the F1 parent animals had been fed the control
    diet, fertility was 45 and 10%, respectively. Cross-over analysis
    showed clearly that the reduced fertility was male-mediated, and there
    was some, inconclusive evidence that it might also be female-mediated:
    the fertility of treated females was lowered at all doses. The control
    value for untreated females was, however, low, and age may have been a
    factor since the females were over 10 months old A reduction in
    liveborn litter size was seen at 350 ppm after the F0 matings,
    probably due to an increase in the proportion of stillborn pups. In
    all treated groups, but especially at 350 ppm, there were more females
    with a lengthened gestation period (23-24 days) than among controls.
    There was no consistent, substantive effect on the survival rate or
    body weight of the progeny. Gross necropsy of weanlings revealed an
    increased incidence (14.2% compared to 5.2% in controls; not
    statistically significant) of hydronephrosis at 350 ppm after the
    third mating of the F0 generation. No NOAEL could be established for
    reproductive effects, because of the slight evidence of reduced
    fertility at the lowest dose. The NOAEL for general systemic toxicity
    in parental animals was 50 ppm, equivalent to 2.5 mg/kg bw per day
    (Hoffman  et al., 1977b).

         In a further three-generation study, groups of 20 male and 20
    female Wistar rats (30 of each sex in the control group) were fed
    fenarimol (purity, 97.9%) in the diet at concentrations of 0, 12.5,
    25, or 50 ppm, equivalent to 0, 0.625, 1.25, or 2.5 mg/kg bw per day.
    Exposure started 56-71 days before the first mating, and three
    generations of one, two, and one nests were bred. The surviving
    parental animals were not necropsied. The death of one female during
    parturition and signs of haemorrhage in another female during
    parturition (signs of dystocia), both at 50 ppm, were attributed to
    treatment. Body-weight gain was slightly reduced during the premating
    period in F1 males at 50 ppm. After both F1 mating periods,
    fertility was clearly reduced at 50 ppm, together with a reduction in
    the proportion of females with copulatory plugs, and there was some
    evidence of a reduction in fertility after the F2 mating at 50 ppm. A
    statistically significant, dose-related reduction in liveborn litter
    size (apparently due to an increase in stillbirths) at 25 and 50 ppm
    after the second F1 mating was not considered to be related to
    treatment by the laboratory; however, it occurred only after a long
    exposure and has been seen to be a clear result of shorter exposure to
    a higher concentration of fenarimol (see Hoffman  et al., 1977b). The
    NOAEL for reproductive effects was 12.5 ppm, equivalent to 0.625 mg/kg
    bw per day. The NOAEL for general systemic toxicity was 25 ppm,
    equivalent to 1.25 mg/kg bw per day (Markham  et al., 1978c).

         A single-generation study of cross-over design was conducted in
    groups of 10 male and 10 female Wistar rats fed fenarimol (purity,
    97.9%) by gavage at a dose of 0 or 35 mg/kg bw per day, starting one
    month before mating and continuing up to one month thereafter for
    males and up to day 20  post partum for females. In two groups,
    control males were mated with control and treated females, and in the
    third group treated males were mated with control females. The
    fertility of treated males was reduced, together with a reduction in
    the proportion of females with copulatory plugs, and the liveborn
    litter size of treated females was reduced, apparently due to an
    increased incidence of stillbirths. There was no NOAEL (Hoffman
     et al., 1980b).

         Groups of 15 male and 15 female Wistar and Sprague-Dawley rats
    were compared with regard to their susceptibility to reproductive
    effects under identical conditions in a cross-over study similar to
    that described above (Hoffman  et al., 1980e), except that the serum
    levels of luteinizing hormone and prolactin were also investigated. In
    both strains, body-weight loss and dystocia were observed during the
    first week of treatment. Fertility was reduced in treated males, as
    was the number of females with copulatory plugs. The mean liveborn
    litter size was reduced in Sprague-Dawley rats only, due to an
    increased incidence of stillbirths. Post-partum survival was reduced
    in treated females of both strains. The serum levels of luteinizing
    hormone were increased and those of prolactin decreased in treated
    females of both strains. There was no NOAEL (Hoffman  et al., 1980c).

         In another single-generation study of cross-over design, groups
    of 10 male and 10 female Wistar rats were fed fenarimol (purity,
    97.9%) by gavage at 0 or 35 mg/kg bw per day, starting one month
    before mating up to one month thereafter, encompassing gestation and
    lactation. In two groups, control males were mated with control and
    treated females, and in the third group treated males were mated with
    control females. The serum levels of prolactin, luteinizing hormone,
    and testosterone and  para-nitroanisole- O-demethylase activity were
    measured. Two treated females died due to dystocia. Fertility was
    reduced in treated males, and the proportion of females with
    copulatory plugs and vaginal sperm was reduced. In all cases in which
    there was evidence of mating, it was not delayed, and the females
    became pregnant. The liveborn litter size of treated females was
    reduced, apparently due to an increased incidence of stillbirths; in
    addition, gestation length was increased, and progeny survival through
    day 7  post partum was slightly reduced. Absolute and relative liver
    weights and liver enzyme activity were increased in treated males
    and females; treated males also had hypertrophy of centrilobular
    hepatocytes. There was no NOAEL (Hoffman  et al., 1980d).

    Guinea-pigs

         In a two-generation study., groups of 15 male and 30 female
    guinea-pigs of the F0 generation and 20 males and 20 females of the
    F1 parent generation were fed fenarimol (purity, 98.5%) at dietary
    levels of 0 or 400 ppm, starting four weeks before mating for the F0
    parents and 70 days before mating for the F1 parents. There were
    no treatment-related effects on mortality or food consumption.
    Body-weight gain was reduced in males of both generations and in F0
    females during the premating period. There was no effect on
    reproductive parameters, except that the proportion of liveborn
    progeny was marginally lower in treated animals of each generation.
    The laboratory considered this to be a reflection of litter size, i.e.
    lower survival in larger litters, which has previously been documented
    in guinea-pigs. Although the data presented support this view for the
    control groups, it does not do so for the treated groups. Therefore,
    400 ppm, equal to 33 mg/kg bw per day for males and 35 mg/kg bw per
    day for females, slightly affected gestational survival, although this
    is not of clear toxicological importance (Hoffman  et al., 1983a).

    Rabbits

         In a single-generation stud), of cross-over design, groups of
    9-11 male and 9-11 female Dutch belted rabbits were fed fenarimol
    (purity, 97.9%) by gavage at 0 or 35 mg/kg bw per day, starting one
    month before mating and continuing up to one month thereafter for
    males and up to day 6  post partum for females. In two groups,
    control males were mated with control and treated females, and in the
    third group treated males were mated with control females. Prolactin
    and testosterone levels were determined, and premating semen volume,
    sperm count, and sperm viability were measured. There was no evidence
    of systemic toxicity or adverse reproductive effects. The. NOAEL was
    the only dose tested, 35 mg/kg bw per day (Hoffman  et al., 1980e).

    (e)  Developmental toxicity

    Rats

         Groups of 25 pregnant Wistar rats were fed fenarimol (purity,
    97.9%) by gavage at 0, 5, 13, or 35 mg/kg bw per day during days 6-15
    of gestation. None of the dams died, and there were no signs of
    toxicity and no effects on food consumption or body weight. The only
    finding in fetuses was an increased incidence of hydronephrosis at the
    high dose (in 30% of fetuses and 62% of litters, in comparison with 9%
    of fetuses and 25% of litters in controls). The NOAEL for maternal
    toxicity was 35 mg/ kg bw per day and that for embryo- and
    fetotoxicity, 13 mg/kg bw per day (Hoffman  et al., 1980f).

         A special study was conducted to investigate the reversibility of
    fenarimol-induced hydronephrosis in neonatal rats. In three replicate
    studies, pregnant Wistar rats were fed fenarimol (purity, 99.6%) by
    gavage at 0 or 35 mg/kg bw per day during days 6-15 of gestation. Two
    groups were sacrificed on day 20 or 21 of gestation, and the others
    were allowed to litter and wean their progeny. The normal prenatal and
    postnatal examinations were performed, and the kidneys and ureters of
    the progeny were examined on days 20 and 21 of gestation and on days
    1, 7, 21, 42, and 63  post partum. The total numbers of female rats
    examined on gestation days 20 and 21 were 25 and 15, respectively;
    postnatally, 15 in the control group and 20 in the test group were
    examined. There were no treatment-related effects on dams with regard
    to mortality, body weight, or food consumption, but sporadic cases of
    dystocia were noted. Prenatal examination revealed a slight decrease
    in the proportion of live fetuses due to an increase in early
    resorptions. Fetal weights were slightly lower on day 20 but not day
    21; on day 20, the number of runt fetuses was also increased.
    Hydroureter and hydronephrosis were seen more often among exposed
    fetuses on days 20 and 21, and a slightly increased incidence of
    skeletal variants, such as cervical ribs and 14 thoracic fibs, was
    observed, but only day-20 fetuses were examined. Fetal kidney weights
    were depressed by treatment. Postnatal examination revealed a slight
    increase in gestational length and reduced liveborn litter size.
    Furthermore, neonatal mortality was increased during week 1  post
     partum, pup body weights were increased, hypothermia was more
    common, and the absolute kidney weights of the progeny were increased.
    A reduction in the increased incidence of hydroureter, which was seen
    prenatally, was observed with advancing neonatal age, but a
    significant increase in hydronephrosis was seen in progeny on day 1
     post partum (50% of treated pups and 23% of control pups). At
    subsequent examinations, the incidence was still increased but was
    substantially less than on day 1  post partum. The slight or moderate
    microscopic alterations associated with the observed hydronephrosis
    were limited to the renal pelvis and papilla and therefore did not
    constitute true pathological hydronephrosis, which is associated with
    severe damage, such as glomerular destruction, shortening and blunting
    of renal tubules, and reduction or absence of the outer nephrogenic
    layer. There was no effect on kidney function, including specific
    gravity and osmolality, determined on day 63  post partum. As the
    observed hydronephrosis was apparently not a significant pathological
    condition and was to at least some degree reversible, together with
    the fact that it is a common finding in the Wistar rat, its increased
    incidence is considered to be due to delayed development and not a
    teratogenic effect (Hoffman  et al., 1983b).

    Rabbits

         Groups of 15 pregnant Dutch-belted rabbits were fed fenarimol
    (purity, 97%) by gavage at 0, 3, 10, or 35 mg/kg bw per day on
    gestation days 6-18 and were sacrificed on gestation day 28. There

    were no treatment-related effects on mortality, body weight, or food
    consumption. 4 slight reduction in litter size was observed at 10 and
    35 mg/kg bw, but this was not considered to be related to treatment
    since the number of implantations and the implantation index were also
    reduced in these groups. The occurrence of oedema and various limb and
    skeletal defects in five fetuses from one anorectic female at 35 mg/kg
    bw was not clearly a direct response to treatment. There was no
    evidence of irreversible structural changes. In the absence of clear
    evidence of maternal or developmental toxicity, the NOAEL was 35 mg/kg
    bw per day, the highest dose tested (Hoffman  et al., 1977c).

         Groups of 20 female New Zealand white rabbits were fed fenarimol
    (purity, 96.6%) by gavage at 0, 15, 50, or 150 mg/kg bw per day on
    gestation days 6-18 and were sacrificed on gestation day 28. There
    were no treatment-related effects on mortality. Body weight and food
    consumption were reduced at 150 mg/kg bw, and four rabbits at the
    highest dose lost weight, became anorectic, and then aborted. The
    number of live fetuses per litter was reduced, and there was an
    increase in the number of early resorptions (neither statistically
    significant). The only finding in fetuses was an increased incidence
    of extrathoracic ribs (84% of fetuses, compared with 61% in controls).
    There was no evidence of irreversible structural changes. The NOAEL
    for maternal and embryo- and fetotoxicity was 50 mg/kg bw per day
    (Hoffman & Russel, 1990).

    (f)  Genotoxicity

         A number of tests for genotoxicity have been carried out with
    fenarimol. The results are summarized in Table 2.

    (g)  Special studies

    (i)  Dermal and ocular irritation and dermal sensitization

         A single, 4-h, semi-occluded application of 0.5 g technical-grade
    fenarimol (purity stated to be 100%) onto the intact skin of three
    male New Zealand white rabbits produced no skin irritation (Jones,
    1994a).

         After instillation of 0.1 ml (equivalent to 56 mg) of technical-
    grade fenarimol (purity stated to be 100%) into the conjunctival sac
    of the eyes of one male and two female New Zealand white rabbits,
    slight conjunctival irritation was observed up to 24 h. Iridial
    inflammation was noted in one treated eye 1 h after treatment. The
    treated eyes appeared to be normal after 24-48 h (Jones, 1994b).

         Fenarimol (purity, 97%) was tested in a Magnusson-Kligman
    maximization test in 10 Hartley guinea-pigs; the control group
    consisted of five animals. Barely perceptible erythema were seen in
    two treated animals and in one of four surviving controls (Hoffman &
    Arthur, 1980).

        Table 2.  Results of tests for the genotoxicity of fenarimol
                                                                                                                                             

    End-point                   Test system                  Concentration                         Purity    Results        Reference
                                                             or dose                               (%)
                                                                                                                                             

     In vitro

    Reverse mutationa           S. typhimurium TA100,        125-2000 µg/plateb;                   97        Negatived      Hoffman et al.
                                TA98, TA1535, TA1537,        62.5-1000 µg/platec;                                           (1988a)
                                E. coli WP2uvrA-             toxicity and precipitation
                                                             at highest concentration;
                                                             vehicle, dimethyl sulfoxide
    Chromosomal aberrationa     Human lymphocytes            1.75-25 µg/mlb for 25 h               97        Negatived      Murli (1988)
                                                             59.9-160 µg/mlc for 1 he;
                                                             vehicle, dimethyl sulfoxide
    Gene mutationa              Mouse lymphoma               1-50 µg/ml for 4 h;                   97        Negatived      Hoffman et al.
                                L5178Y tk+/-cells            cytotoxic at > 35 µg/ml;                                       (1988a)
                                                             vehicle, dimethyl sulfoxide
    Unscheduled DNA             Rat hepatocytes              0.05-100 nmol/ml for 5 h;             97        Negativea      Probst (1979)
      synthesisa,f                                           cytotoxic at > 50 nmol/ml;
                                                             vehicle, dimethyl sulfoxide

     In vivo

    Chromosomal aberration      10 male Chinese hamsters;    Oral; 250 mg/kg bw per day            98        Negatived      Siou & Lerond-
                                bone-marrow cells            for 2 daysg; sacrifice at 24,                                  Conan (1982)
                                                             48, and 72 h; vehicle, peanut oil
    Micronucleus formation      Groups of 10 male Swiss      Oral; 1000 mg/kg bw per day           > 98      Weakly         Siou et al. (1982)
                                mice; hone-marrow cells      for 2 daysh; sacrifice at 24,                   positivei
                                                             48, and 72 h; vehicle, peanut oil
    Micronucleus formation      Groups of five male and      Oral; 125, 625, or 1250 mg/kg         97        Negatived      Ivett (1988)
                                five female Sprague-Dawley   bwj; sacrifice at 24, 48, and
                                rats; bone-marrow cells      72h; vehicle, corn oil
                                                                                                                                             

    Table 2.  (Con't)
                                                                                                                                             

    End-point                   Test system                  Concentration                         Purity    Results        Reference
                                                             or dose                               (%)
                                                                                                                                             

     In vivo (con't)

    Dominant lethal mutation    Groups of 10 male Wistar-    Oral; 350 mg/kg bw; vehicle,          97        Inconclusivek  Hoffman et al.
                                Harlan rats                  5% acacia solution                                             (1977d)
                                                                                                                                             

    a  No confirmatory experiment
    b  Without metabolic activation
    c  With metabolic activation
    d  Positive controls yielded positive result(s)
    e  As cell cycle delay was observed with metabolic activation in a preliminary test, incubation was for 45.3 h after treatment.
       No cell cycle delay without activation; toxicity at highest doses tested
    f  Only one culture per concentration; only 20 cells per concentration analysed
    g  No mention of cytotoxicity; dose based on preliminary test in which all five animals died at 1000 mg/kg bw per day lot two days
    h  No mention of cytotoxicity; dose based on preliminary test in which all five animals died at 4000 mg/kg bw per day lot two days.
       In the main test, one animal treated for 72 h died.
    i  Slight but statistically significant increase in micronuclei at 24 h sacrifice only; i.e. micronucleus frequencies per
       1000 polychromatic erythrocytes; at 24 h: control, 0.19 ± 0.03; treated, 0.33 ± 0.06
    j  Toxic signs (lethargy, unsteady gait) at > 125 mg/g bw; one animal died at 1250 mg/kg bw.
    k  Treated males bred with untreated females weekly for eight weeks. Dose > 1/10 of the LD50. No sign of toxicity observed.
       Only 7-10 pregnant females per mating interval per dose group. No reference to positive controls. No treatment-related effect on
       fertility rate or pre- or post-implantation losses.
        (ii)  Mechanisms of effects on reproduction

         Groups of six adult male Sprague-Dawley rats were given 35 mg/kg
    bw per day fenarimol (purity unspecified) by gavage or subcutaneously
    for 30 days; eight males served as controls. After 15 days of
    treatment, each male was mated with two untreated females. No effect
    was seen on male body weight, male fertility, the histopathology of
    the testis or ventral prostate, or serum levels of testosterone,
    follicle-stimulating hormone, or luteinizing hormone. Epididymal
    weight was reduced after oral administration, but no histopathological
    effects were observed. Serum prolactin levels were reduced after
    systemic exposure, and prostatic prolactin binding was reduced after
    exposure by either route. In a second experiment, groups of 15 males
    were fed 0 or 35 mg/kg bw per day by gavage for 70 days and were bred
    30 and 56 days after exposure. The parameters measured were the same
    as in the first experiment except for follicle-stimulating hormone.
    Serum prolactin levels and prostatic prolactin binding were reduced,
    and the serum testosterone level was slightly elevated. There were no
    other effects (Hanlin, 1981a).

         Groups of 10 adult female Sprague-Dawley rats received fenarimol
    (purity, 97%) at 0 or 35 mg/kg bw per day by gavage for about 60 days
    before mating with untreated males, and then throughout pregnancy and
    lactation. There were no effects on body weight or fertility. There
    was some suggestion of an increase in proestrous prolactin level, but
    the serum levels of prolactin were variable both before estrus and
    during lactation and those of luteinizing hormone were variable before
    estrus. Overall, there was no clear compound-related effect. There was
    some evidence of a slight increase in estrous cycle length (Smalstig,
    1981a).

         Groups of 30 male Wistar rats were fed a diet containing 0 or
    350 ppm fenarimol (purity, 97.7%) from 25 to 82 days of age. Twenty in
    each group were mated and 10 were unmated; unmated males were killed
    at the end of treatment, and the remaining animals were fed control
    diet until day 117. Mating trials were conducted weekly with untreated
    females on days 40-110. There were no significant effects on food
    consumption or body-weight gain. A delay in the onset of reproductive
    behaviour (percent mating and inseminating) was observed, but the
    effect was reversible, since 100% fertility was attained at day 110.
    The only effect on male reproductive organs was a reduction in
    epididymal weight at the end of the treatment phase, with recovery
    after cessation of treatment. No tissues were examined microscopically
    (Hoffman & Hirsch, 1981c).

         In a study of the possible involvement of uterine prostaglandins
    in parturition, female Sprague-Dawley and Charles River CD rats
    received 35 mg/kg bw per day fenarimol (purity, 97%) or the corn oil
    vehicle orally from day 12 of pregnancy until parturition, or day 23
    of pregnancy if no parturition occurred. The prostaglandin F,

    content, its release in and from the uterus, and serum progesterone
    levels were measured some days before and at parturition. Sprague-
    Dawley females showed delayed and/or difficult parturition and a
    slight increase in the frequency of fetal and pup death, which
    appeared to be related to the occurrence of difficult parturition.
    There was no effect on prostaglandin F, content; its release at
    parturition was increased and not decreased, which would have been
    expected with delayed parturition. Serum progesterone levels appeared
    to be higher in treated females, and particularly in those that did
    not deliver. The authors interpreted this finding as indicating that
    progesterone did not fall to the low levels that facilitate or
    initiate parturition in the rat (Smalstig, 1981b).

         Progesterone concentrations in plasma were determined in late
    pregnancy in groups of 12 Sprague-Dawley rats treated with 0 or
    350 ppm fenarimol (purity unspecified) during pregnancy. Most of the
    treated animals experienced delayed parturition associated with
    dystocia and usually resulting in maternal death. High plasma
    progesterone levels (66% of the peak value seen on day 19, in
    comparison with 13% in controls) were seen in treated animals
    immediately before normal parturition. The authors interpreted this
    finding as indicating that luteolysis had not occurred, thus delaying
    normal parturition (Tinsley, 1982).

         A simulated rat ovarian microsomal system was used to measure the
    effect of fenarimol on aromatase activity  in vitro. Fenarimol
    (purity unspecified) at molar concentrations 5-50 times the substrate
    concentration inhibited aromatase activity by 55-90%. In a comparison
    with aromatase inhibitors used clinically, fenarimol was as potent as
    testolactone but less potent than aminoglutethimide and was therefore
    considered to be a moderately weak inhibitor (Hoffman  et al.,
    1982b).

         The urogenital sinuses were removed from 15-17-day-old male and
    female Charles River rat embryos and implanted under the kidney
    capsules of intact syngeneic male hosts (10 implants per animal). One
    implanted male was then treated with 35 mg/kg bw per day fenarimol
    (purity unspecified) for 21 days, one received the corn oil vehicle,
    and one was treated with the positive control compound, cyproterone
    acetate, which has anti-androgenic effects. Treatment with fenarimol
    or corn oil had no effect on the differentiation or function of
    transplanted urogenital sinuses in adult male rats. In contrast,
    cyproterone acetate retarded prostatic development, and secretions
    were absent (Neubauer  et al., 1982).

         Concentrations of 10-9 to 5 × 10-5 mol/litre fenarimol (purity
    unspecified) were tested for androgen-binding capacity  in vitro.
    Fenarimol did not show affinity for binding to prostatic androgen
    receptors, although 17% inhibition was seen at the highest
    concentration. In an assay to determine whether fenarimol inhibits the

    uptake of 3H-testosterone into the ventral prostate or the median
    basal hypothalamus and preoptic areas of the brain, groups of 8-10
    male Sprague-Dawley rats were given 0 or 35 mg/kg bw fenarimol
    subcutaneously 20 and 3 h before sacrifice. Testosterone uptake was
    not inhibited; in fact, uptake into the ventral prostate was
    increased, whereas a positive control substance inhibited uptake into
    the ventral prostate. In an assay to determine whether fenarimol
    inhibits androgen-stimulated growth of seminal vesicles and ventral
    prostate after castration, groups of six to eight immature rats were
    given a daily subcutaneous injection of 0.25 mg/kg bw testosterone
    propionate plus a daily oral or subcutaneous dose of 0, 5, 15, or
    35 mg/kg bw fenarimol three days after castration for seven
    consecutive days. A dose-related reduction in seminal vesicular weight
    was seen with oral doses > 15 mg/kg bw, but the effect was not
    statistically significant. The authors of the study concluded that
    there was no inhibition (Hanlin, 1981b).

         In a study to investigate whether fenarimol interferes with the
    binding of androgens to the androgen receptor, groups of nine
    castrated adult Wistar rats were fed fenarimol (purity unspecified) at
    0 or 350 ppm in the diet for seven days. Cytosol from the hypothalamic
    preoptic area, the frontal and parietal cerebral cortex, the
    pituitary, and the ventral prostate was then incubated with
    radiolabelled methyltrienolone (R1881; a potent synthetic androgen).
    No reduction in binding to the cytoplasmic androgen receptors was
    seen. In a second experiment, groups of one to two male rats were
    treated similarly and then with radiolabelled R1881 before sacrifice.
    There was no effect on binding to nuclear androgen receptors in the
    tissues examined (the hypothalamic preoptic area, the pituitary, the
    amygdala, the cerebral cortex, the prostate, the diaphragm, or the
    liver), and the concentrations of conjugated and unconjugated labelled
    R1881 were similar in all tissues. In a third experiment, pregnant
    rats were fed 0 or 350 ppm fenarimol in the &let for most of the
    period of gestation. Four female pups from each group were given a
    subcutaneous injection of 3H-testosterone at the age of three or
    four days and were killed 2 h later. There was no effect on the
    binding of testosterone to the nuclear receptors in the hypothalamic
    preoptic area amygdala (Hoffman  et al., 1981a).

         In a study of the estrogenic and anti-estrogenic potential of
    fenarimol, groups of six immature female Holtzman rats received either
    35 mg/kg bw fenarimol (purity unspecified) by gavage plus a
    subcutaneous dose of estradiol, 35 mg/kg bw fenarimol by gavage, or a
    subcutaneous dose of estradiol daily for three days. One dose of
    fenarimol with several doses of estradiol, several doses of fenarimol
    (8.75, 17.5, and 35 mg/kg bw) with one dose of estradiol, and
    fenarimol in different vehicles were tested. There was no evidence for
    agonistic or antagonistic effects on estrogen, as indicated by changes

    in uterine weight. Fenarimol at concentrations of 1-1000 nmol/litre
    did not inhibit the binding of estradiol to estrogen receptors in the
    cytosol of immature rat uteri  in vitro (Black, 1981a).

         In a study of the effect of fenarimol on the binding of estrogen
    to its receptor and on circulating estrogen levels at parturition,
    fenarimol (purity unspecified) had no significant effect on the
    nuclear uptake of estrogens by the hypothalamic preoptic area amygdala
    or pituitary in groups of six adult ovariectomized rats fed 350 ppm in
    the diet for seven days. Treatment of groups of four to six female
    Wistar rats on days 0-21 of gestation at this dose did not affect the
    concentration of estrone or estradiol in the plasma on day 21 (Hoffman
     et al., 1981b).

         Groups of three immature Dutch belted female rabbits were given
    subcutaneous rejections of 0.5 µg oestradiol for six days and then
    received either daily subcutaneous injections of 100 µg progesterone,
    daily gavage doses of 60 mg fenarimol (purity unspecified), or the two
    treatments combined, for five days. There was no evidence for a
    progestational or anti-progestational effect in uteri examined
    microscopically 24 h after the last dose (Black, 1981b).

         Groups of seven pregnant Wistar rats were fed a diet containing
    350 ppm fenarimol (purity, 97.7%) on gestation days 0 to 14-18. On the
    last day of treatment, maternal blood and two fetuses per litter were
    sampled 2 and 6 h after a gavage dose of radiolabelled fenarimol.
    Placental transport was limited (the ratio of 14C in fetus to that
    in maternal plasma was < 1) during days 14-17, the period associated
    with genital tract morphogenesis, but increased steadily from day 15
    onwards, to reach a ratio of 1 by day 18, when the organization of
    sexual behaviour in the fetal brain begins (Hoffman & Hirsch, 1981a).

         Female Wistar rats were fed 0 or 350 ppm fenarimol (purity,
    97.7%) in the diet on days 0-5  post partum, and dams and pups
    received an oral dose of radiolabelled fenarimol on day 5. One group
    of 18 dams was used to study excretion into milk; the pups of seven
    other dams were culled to three males and three females per litter.
    The concentration of radiolabel in milk was three to five times higher
    than that in maternal plasma up to 48 h after treatment. Radiolabel in
    milk was rapidly taken up by the pups; the concentrations in the
    hypothalamus increased more rapidly, attained higher maximal levels
    (up to seven times higher 1 h after administration), and decreased
    more slowly than in the remainder of the neonatal brain. In the
    absence of previous exposure to fenarimol, an alteration was seen in
    the rate but not the extent to which radiolabel was taken up by either
    the hypothalamus or the brain. The major difference between pups
    treated directly with 14C-fenarimol and those exposed via the milk
    was in the rate of elimination, which was considerably faster after
    direct treatment (Hoffman & Hirsch, 1981b).

         In a study of the effects of fenarimol on the concentration of
    estrogen receptors in the hypothalamus and on the conversion of
    testosterone to estrogen, as an indirect measure of central aromatase
    activity, pregnant Wistar rats received dietary concentrations of 0 or
    350 ppm fenarimol (purity unspecified) from gestation day 3-4 to day
    21. The concentration of nuclear estrogen receptors was measured in
    the hypothalamic preoptic area amygdala of day-21 fetuses and of
    neonates on day 3-4. The mean concentration was reduced by 44-46% in
    fetuses of each sex and by 56% in neonates, especially in males.
    Sex-specific differences in the concentration of receptors in the
    exposed neonates were abolished, i.e. males no longer had higher
    concentrations. In a second experiment, male Wistar rats that were
    castrated but had testosterone implants and intact males received 0 or
    350 ppm fenarimol in the diet for seven days. The concentration of
    nuclear estrogen receptors was reduced in both groups. The circulating
    levels of testosterone indicated that the effect on receptor
    concentration could not be attributed to testosterone levels. In a
    third experiment, pregnant Wistar rats received 0 or 350 ppm fenarimol
    in the diet from about gestation day 18 to day 3-4  post partum, and
    groups of 12 female neonates (used to eliminate endogenous
    testosterone production as a variable) were then dosed with
    radiolabelled testosterone. Significantly lower concentrations of
    estrone and estradiol were observed in homogenates of hypothalamic
    preoptic area amygdala from exposed pups, and, contrary to controls,
    no labelled estradiol was detected in the nuclei. Fenarimol did not
    affect the concentrations of testosterone or dihydrotestosterone in
    the nuclear extracts of the hypothalamic preoptic area amygdala. Since
    testosterone is metabolized to dihydrotestosterone by the enzyme
    5µ-reductase and to estradiol by aromatase, this observation suggests
    that the reduction in receptors is associated with inhibition of
    aromatase (Hoffman  et al., 1981c).

    (iii)  Relevance to humans of adverse reproductive effects in rodents

         The adverse effect of fenarimol on the fertility of male mice
    and rats appears to be due to an effect on the organization
    (differentiation) and expression of male sexual behaviour, which is
    known to be controlled within the central nervous system (Naftolin
     et al., 1991). The mechanism is dependent on aromatization of
    testosterone to estradiol-17ß. Evidence is available from several
    studies that the expression of human male sexual behaviour has a
    different hormonal basis from that in rats, i.e. depends on both a
    direct action of testosterone and conversion of testosterone to
    dihydrotestosterone, but not on the conversion of testosterone to
    estradiol-17ß. Mantzoros  et al. (1995) showed that the frequency of
    human male sexual behaviour is correlated with the serum level of
    dihydrotestosterone but not of estradiol-17ß. Gooren (1985)
    administered an aromatase inhibitor (testolactone) or an estrogen
    receptor antagonist (tamoxifen) to men and also concluded that
    estradiol-17ß is not important in the control of male sexual

    behaviour. Bagatell  et al. (1994) showed that there was no change in
    male sexual function after a treatment regimen involving testolactone,
    testosterone, and a gonadotropin RH antagonist, which resulted in a
    specific decrease in estradiol-17ß levels while keeping testosterone
    and dihydrotestosterone at normal levels. A single study indicates a
    role for estradiol-17ß in the expression of human male sexual
    behaviour (Luisi & Franchi, 1980). The results showed that an
    aromatizable form of testosterone is more effective in stimulating
    libido than the non-aromatizable androgen mesterolone; however, this
    result is difficult to interpret as it is not known whether
    mesterolone can cross the blood-brain barrier.

         Men with a genetic defect resulting in impaired androgen
    receptor-mediated activity, but with no effect on estradiol-17ß
    receptor-mediated activity or on aromatase, did not show normal male
    sexual behaviour (Breedlove, 1994). A further study of genetic defects
    (Smith  et al., 1994) supports this conclusion, since an XY man
    lacking functional estrogen receptors remained masculine, indicating
    that estradiol-17ß does not control sexual differentiation in human
    males; however, sexual activity was not assessed. Furthermore,
    aromatase is confined mainly to the gonads and brain of rats and mice,
    while it is also expressed in placenta, adipose tissue, and liver in
    higher primates, including humans. Thus, the proportion of target
    enzyme to inhibitor would be greater in humans than in rats, requiring
    more inhibitor to achieve the same degree of inhibition at a given
    target site.

         Fenarimol would appear to have an adverse effect on reproductive
    parameters in female mice and rats, as gestation and parturition are
    extended, resulting in dystocia. This effect is also a direct effect
    of the inhibition of aromatase, since circulating progesterone is
    sustained at a high level, preventing timely luteolysis and resulting
    in continued functioning of the corpora lutea and thus prolonging
    gestation. In a review, Chwalisz (1994) outlined the mechanisms of
    pregnancy and parturition in female rats. In order to maintain
    pregnancy, rats depend on the corpus luteum as a source of
    progesterone. Parturition requires an abrupt decrease in the
    progesterone level, an increase in that of estrogen, and consequently
    a decreased ratio of progesterone:estrogen. In contrast, humans (like
    guinea-pigs) use the placenta as a source of progesterone during
    pregnancy, and an abrupt decrease in progesterone secretion is not
    required for parturition. These differences in endocrine control of
    parturition, particularly the lesser role of estrogens in stimulating
    labour in women, indicate that rats are probably not a relevant model
    for predicting the effects of aromatase inhibition on human
    parturition and that guinea-pigs are a better model.

    Comments

         Fenarimol given orally to rats was rapidly absorbed, distributed
    and excreted. Elimination occurred principally in the faeces (76-83%),
    mainly as a result of biliary excretion, and to a lesser extent in the
    urine (6.5-9.2%). Residue levels in tissues were relatively low.
    Dermal absorption of fenarimol by monkeys was low (about 2.5%). There
    was some barrier to placental transport of fenarimol-derived
    radiolabel in rats during part of the gestation period. Although the
    levels of the radiolabel in the milk of lactating rats were three to
    five times those in the plasma, only a very small proportion of the
    dose (< 0.1%) was eliminated in the milk of a lactating goat.

         Fenarimol is extensively metabolized to many metabolites. The
    major pathways are oxidation of the carbinol-carbon atom, the
    chlorophenol rings, and the pyrimidine ring. Repeated oral
    administration to rats had no effect on the elimination of fenarimol
    or its metabolites.

         Fenarimol has low acute oral and dermal toxicity, the LD50
    values in rats and rabbits being 2550 and > 2000 mg/kg bw
    respectively. After inhalation, the LC50 was > 2 mg/litre (1-h
    exposure). Fenarimol did not irritate skin or eyes and was not a skin
    sensitizer in guinea-pigs in a maximization test. The WHO has
    classified fenarimol as unlikely to present an acute hazard in normal
    use.

         In a 14-day pilot study in mice given dietary concentrations of
    25-12 800 ppm, liver toxicity was observed at 800 ppm and above. In a
    three-month study in mice given dietary concentrations of 0, 360, 620,
    1100, 2000, or 3300 ppm, toxicity was observed mainly in the liver, as
    increased liver weight, hepatic enzyme induction, centrilobular
    hypertrophy, and hepatomegaly. The NOAEL was 360 ppm, equivalent to
    52 mg/kg bw per day, on the basis of an increase in liver weight at
    620 ppm.

         In two 14-day pilot studies in rats given dietary concentrations
    of 25-12 800 ppm, liver toxicity was observed at 200 ppm and above.
    Dietary administration of fenarimol to rats for three months at 0, 50,
    200, or 800 ppm also resulted in liver toxicity at and above
    200 ppm, seen as increased liver weight, hepatic enzyme induction,
    centrilobular hypertrophy, and fatty changes in the liver. The NOAEL
    was 50 ppm, equivalent to 2.5 mg/kg bw per day, on the basis of
    induction of liver enzymes. In another three-month study in rats, with
    doses of 0, 140, 200, 280, 360, and 500 ppm, the NOAEL was 200 ppm,
    equivalent to 10 mg/kg bw per day, on the basis of an increase in
    liver weight and induction of hepatic enzymes at 280 ppm and above.

         In a three-month study in dogs, oral administration of fenarimol
    in gelatin capsules at doses of 0, 1.2, 5, or 20 mg/kg bw per day
    resulted in no systemic toxicity. In a one-year study in which dogs
    were given 0, 1.2, 12, or 120 mg/kg bw per day, toxicity was observed
    at the highest dose. This included liver toxicity and, in female dogs,
    a transient enlargement of the mammary gland and increased ovarian
    weight; an increase in the occurrence of soft stools was observed at
    all doses. The NOAEL was 12 mg/kg bw per day.

         In a study of chronic toxicity, mice were administered fenarimol
    at dietary levels of 0, 50, 170, or 600 ppm for 12 months. The NOAEL
    was 170 ppm, equivalent to 24 mg/kg bw per day, on the basis of
    decreased body-weight gain and effects on the liver at 600 ppm. In a
    two-year study of carcinogenicity, mice were given diets containing 0,
    50, 170, or 600 ppm fenarimol. The NOAEL was 370 ppm, equivalent to
    24 mg/kg bw per day, on the basis of a slight decrease in body-weight
    gain in males at 600 ppm. There was no evidence of carcinogenicity.

         Two studies of chronic toxicity were performed in which rats were
    administered dietary concentrations of fenarimol at 0, 50, 130 or
    350 ppm for 12 or 18 months. In both studies, the main effects at the
    highest dose were a decrease in the leukocyte count, increased liver
    weight, and decreased spleen weight. In the 12-month study, the NOAEL
    was 130 ppm, equal to 6 mg/kg bw per day. In the 18-month study, the
    NOAEL was 50 ppm, equal to 2.3 mg/kg bw per day, on the basis of a
    reduction in body weight.

         Three carcinogenicity studies were performed in rats. In the
    first, rats were administered diets containing 0, 50, 130, or 350 ppm
    fenarimol. A small increase in the incidence of hepatocellular adenoma
    was seen at the highest dose. There was no NOAEL, owing to a slight
    increase in fatty changes and hyperplastic nodules in the liver at all
    doses. No clear treatment-related effect on tumour incidence was seen.
    Two further studies were performed at lower doses (O, 12, 25, or
    50 ppm). In the first study, the survival was very low, owing to an
    outbreak of chronic respiratory disease. There was evidence of reduced
    body-weight gain and an increased incidence of fatty changes in the
    liver at 50 ppm. No adverse effect was observed in the second study.
    The overall NOAEL for all three studies was 25 ppm, equal to 1.2 mg/kg
    bw per day. There was no evidence of carcinogenicity.

         A three-generation study of reproductive toxicity in mice given
    dietary levels of 0, 35, 70, or 140 ppm fenarimol revealed no adverse
    effects on parental mice or offspring. In earlier pilot studies,
    however, doses of 170 ppm and above reduced fertility and live-born
    litter size and lengthened the gestation period. The NOAEL was
    140 ppm, equivalent to 20 mg/kg bw per day.

         In a two-generation study of reproductive toxicity in which
    guinea-pigs were given 0 or 400 ppm fenarimol in the diet (equal to
    33 mg/kg bw per day), parental toxicity was seen and there was
    equivocal evidence of a slight effect on the proportion of live-born
    progeny. In a single-generation study of reproductive toxicity with a
    cross-over design, rabbits were treated orally with fenarimol at a
    level of 0 or 35 mg/kg bw per day. There was no evidence of general
    systemic toxicity or of effects on reproduction.

         Two multigeneration studies of reproductive toxicity have been
    performed in rats. In a two-generation study, rats were exposed to
    dietary concentrations of 0, 50, 130, or 350 ppm, and in a three-
    generation study to 0, 12, 25, or 50 ppm. Fenarimol reduced fertility,
    caused dystocia, reduced live-born litter size and lengthened the
    gestation period. In the first study, cross-over data showed that the
    reduction in fertility was clearly mediated through the male and was
    only slightly reversible. The overall NOAEL for general systemic
    toxicity was 25 ppm, equivalent to 1.2 mg/kg bw per day, on the basis
    of reduced body-weight gain in F1 males at 50 ppm and above. The
    overall NOAEL for reproductive toxicity was 12 ppm, equivalent to
    0.62 mg/kg bw per day, on the basis of a reduction in live-born litter
    size at 25 ppm and above.

         Three single-generation studies of reproductive toxicity with a
    cross-over design have been conducted in rats, which were exposed
    orally to fenarimol at doses 0 or 35 mg/kg bw per day. These studies
    showed that the effects on reproduction were not strain-dependent, the
    effects on fertility were clearly male-mediated, and the reduction in
    live-born litter size (probably due to an increased incidence of
    stillbirths) was female-mediated. No correlation was found between
    fertility and the levels of prolactin, luteinizing hormone, or
    testosterone, organ weights, histopathological findings, or sperm
    morphology.

         The single- and multigeneration studies of reproductive toxicity
    show that fenarimol has adverse effects on reproduction in rats and
    (at higher doses) in mice, but not in guinea-pigs or rabbits. A number
    of studies were performed to investigate the mechanism of the adverse
    effects on reproduction, and particularly those on fertility. The
    results of these studies and of others in the open literature show
    that fenarimol affects male sexual differentiation and subsequent
    behaviour indirectly by inhibiting the aromatase-catalysed conversion
    of testosterone to estradiol-17ß within the hypothalamus. Data from
    the literature strongly indicate that while estradiol-17ß is the
    central regulator of sexual differentiation in rats, human male sexual
    behaviour is controlled by dihydrotestosterone, which is formed from
    testosterone by the enzyme 5µ-reductase. There is evidence that the
    effect of fenarimol in female rats (delayed parturition) is also due
    to inhibition of aromatase, as this inhibition results in a sustained
    level of circulating progesterone and prolonged corpus luteal

    function, thus leading to delayed parturition. In contrast to rats, an
    abrupt decrease in progesterone secretion is not required for
    parturition in guinea-pigs or humans. The Meeting concluded that,
    although not clear-cut, there is sufficient evidence that the adverse
    effects on the organization and expression of sexual behaviour in male
    rats and on delayed parturition in female rats are not relevant for
    humans.

         In a study of developmental toxicity, pregnant rats were given
    fenarimol by gavage at doses of 0, 5, 13, or 35 mg/kg bw per day.
    There was evidence of developmental toxicity (hydronephrosis) but no
    signs of maternal toxicity at the high dose. In a study in which some
    females were also allowed to litter and wean their progeny, pregnant
    rats were exposed to 0 or 35 mg/kg bw per day during days 6-15 of
    gestation. There were adverse effects on reproductive performance
    (increased length of gestation, dystocia) and developmental toxicity
    (increased hydronephrosis) but no evidence of general systemic
    maternal toxicity. The increased incidence of hydronephrosis appeared
    to be due to delayed development and was not considered a teratogenic
    effect. Overall, the NOAEL for maternal toxicity was 35 mg/kg bw per
    day, and that for embryo- and fetotoxicity was 13 mg/kg bw per day.

         In a study of developmental toxicity in which rabbits were
    administered fenarimol by gavage at doses of 0, 3, 10, or 35 mg/kg bw
    per day, no signs of toxicity were observed in dams or fetuses. In a
    second study, rabbits were exposed orally to doses of 0, 15, 50, or
    150 mg/kg bw per day. The NOAEL for maternal toxicity was 50 mg/kg bw
    per day, on the basis of reductions in body weight and food
    consumption and an increased incidence of abortions. The NOAEL for
    embryo- and fetotoxicity was also 50 mg/kg bw per day, on the basis of
    a reduced number of live fetuses and an increased incidence of extra
    ribs. There was no evidence of teratogenic potential.

         Fenarimol has been adequately tested for genotoxicity in a series
    of assays  in vitro and  in vivo. The Meeting concluded that
    fenarimol is not genotoxic.

         The Meeting concluded that the effects of fenarimol in male rats
    (reduced fertility) and female rats (delayed parturition) are due to
    inhibition of aromatase, an enzyme that is not involved in these
    aspects of human reproduction. It therefore decided that it would be
    inappropriate to use the NOAEL seen in studies of reproductive
    toxicity in determining the ADI. An ADI of 0-0.01 mg/kg bw was
    established on the basis of an overall NOAEL of 1.2 mg/kg bw per day,
    seen in several studies of carcinogenicity in rats, and a safety
    factor of 100.

    Toxicological evaluation

     Levels that cause no toxic effect

    Mouse:    24 mg/kg bw per day (12-month study of chronic toxicity)

              20 mg/kg bw per day (three-generation study of reproductive
              toxicity)

    Rat:      1.2 mg/kg bw per day (three studies of carcinogenicity)

              0.62 mg/kg bw per day (multigeneration study of reproductive
              toxicity)*

              13 mg/kg bw per day (embryo- and fetotoxicity in study of
              developmental toxicity)

    Dog:      12 mg/kg bw per day (one-year study of toxicity)

    Rabbit:   50 mg/kg bw per day (maternal and embryo- or fetotoxicity in
              study of developmental toxicity)

     Estimate of acceptable daily intake for humans

         0-0.01 mg/kg bw

     Studies that would provide information valuable for the continued
     evaluation of the compound 

         Observations in humans

             

    *  Data considered irrelevant for evaluation with respect to human
       health.

        Toxicological criteria for setting guidance values for dietary and non-dietary exposure to fenarimol
                                                                                                                    

    Exposure                      Relevant route, study type, species          Result, remarks
                                                                                                                    

    Short-term (1-7 days)         Skin, irritation, rabbit                     Not irritating
                                  Eye, irritation, rabbit                      Not irritating
                                  Skin, sensitization, guinea-pig              Not sensitizing
                                  Oral, toxicity, rat                          LD50 = 2550 mg/kg bw
                                  Dermal, toxicity, rabbit                     LD50 > 2000 mg/kg bw
                                  Inhalation, toxicity, rat, 1 h               LC50 > 2 mg/litre

    Medium-term (1-26 weeks)      Dermal, toxicity, 21 -day, rabbit            No systemic effect; no irritation at
                                                                               1000 mg/kg bw
                                  Dietary, toxicity, three months, rat         NOAEL = 2.5 mg/kg bw; hepaticenzyme
                                                                               induction
                                  Dietary, three-generation, reproductive      NOAEL = 0.625 mg/kg bw; reduced
                                  toxicity, rat                                live-born litter size
                                  Gavage, developmental toxicity, rat          NOAEL = 13 mg/kg bw;
                                                                               hydronephrosis; no maternal toxicity

    Long-term (> one year)        Dietary, toxicity, two years, rat            NOAEL = 1.2 mg/kg bw; fatty changes
                                                                               in liver
                                                                                                                    
        References

    Althaus, W.A. (1985a) Characterization and identification of
         radioactivity in urine and feces of Wistar rats given single oral
         doses mixed-labeled 14C fenarimol. Unpublished report No.
         ABC-0310 dated December 1985 from Lilly Research Laboratories,
         USA. Submitted to WHO by DowElanco Europe, Wantage, Oxon, United
         Kingdom.

    Althaus, W.A. (1985b) Characterization and identification of
         radioactivity in blood, liver and kidney of Wistar rats given
         single oral doses of mixed-labelled 14C fenarimol. Unpublished
         report No. ABC-0321 dated December 1985 from Lily Research
         Laboratories, USA. Submitted to WHO by DowElanco Europe, Wantage,
         Oxon, United Kingdom.

    Bagatell, C.J., Heiman, J.R., Rivier, J.E. & Bremmer, W.J. (1994)
         Effects of endogenous testosterone and oestradiol on sexual
         behaviour in normal young men.  J. Clin. Endocrinol. Metab., 78,
         711-716.

    Black, L.J. (1981a) Evaluation of the estrogenic and antiestrogenic
         potential of EL-222 in the immature rat uterus. Unpublished
         report dated September 1981 from Lilly Research Laboratories,
         USA. Submitted to WHO by DowElanco Europe, Wantage, Oxon, United
         Kingdom.

    Black, L.J. (1981b) Evaluation of the progestational or
         antiprogestational potential of EL-222 in immature rabbits.
         Unpublished report dated September 1981 from Lilly Research
         Laboratories, USA. Submitted to WHO by DowElanco Europe, Wantage,
         Oxon, United Kingdom.

    Breedlove, S.M. (1994) Sexual differentiation of the human nervous
         system.  Ann. Rev. Psychol., 45, 389-418.

    Chwalisz, K. (1994) The use of progesterone antagonists for cervical
         ripening and as an adjunct to labour and delivery.  Hum,
          Reprod., 9 (Suppl. 1), 131-161.

    Goebel, G.V. (1985) Characterization of radioactivity in bile from
         rats dosed orally with 14C fenarimol. Unpublished report No.
         ABC-0312 dated May 1985 from Lilly Research Laboratories, USA.
         Submitted to WHO by DowElanco Europe, Wantage, Oxon, United
         Kingdom.

    Gooren, L.J.G. (1985). Human male sexual functions do not require
         aromatisation of testosterone: A study using tamoxifen,
         testolactone, and dihydrotesterone.  Arch. Sex. Behav., 14,
         539-548.

    Hanlin, M.L. (1981a) Fertility studies with EL-222 in the adult male
         rat. Unpublished report dated September 1981 from Lilly Research
         Laboratories, USA. Submitted to WHO by DowElanco Europe, Wantage,
         Oxon, United Kingdom.

    Hanlin, M.L. (1981b) Anti-androgenic studies with EL-222 in the male
         rat. Unpublished report dated September 1981 from Lilly Research
         Laboratories, USA. Submitted to WHO by DowElanco Europe, Wantage,
         Oxon, United Kingdom

    Hoffman, D.G. & Amundson, M. (1985) Initiation and promotion study of
         fenarimol on rat liver carcinogenesis. Unpublished report dated
         November 1985 from Naylor Dana Institute for Disease Prevention,
         Valhalla, New York, USA Submitted to WHO by DowElanco Europe,
         Wantage, Oxon, United Kingdom.

    Hoffman, D.G. & Arthur, B.H. (1980) Guinea pig sensitization study
         with Lilly compound 56722 (fenarimol). Unpublished report No.
         GP-9538 dated January 1980 from Lilly Research Laboratories, USA.
         Submitted to WHO by DowElanco Europe, Wantage, Oxon, United
         Kingdom.

    Hoffman, D.G. & Hirsch, K.S. (1981a) Placental transport of EL-222 in
         the Wistar rat. Unpublished report No. R10480 dated October 1981
         from Lilly Research Laboratories, USA. Submitted to WHO by
         DowElanco Europe, Wantage, Oxon, United Kingdom.

    Hoffman, D.G. & Hirsch, K.S. (1981b) Exposure of the neonatal rat to
         EL-222 as a component of milk: Evidence for the presence of
         EL-222 in the central nervous system during the organization of
         adult sexual behaviour. Unpublished report No R01781 dated
         October 1981 from Lilly Research Laboratories, USA. Submitted to
         WHO by DowElanco Europe, Wantage, Oxon, United Kingdom.

    Hoffman, D.G. & Hirsch, K.S. (1981c) A special fertility study with
         EL-222 (fenarimol) in the Wistar rat. Unpublished report No
         R07380 dated October 1981 from Lilly Research Laboratories, USA.
         Submitted to WHO by DowElanco Europe, Wantage, Oxon, United
         Kingdom.

    Hoffman, D G. & Pierce, E.C. (1985) A chronic toxicity/oncogenicity
         study in Wistar rats maintained on diets containing low
         concentrations of fenarimol for two years. Unpublished report No.
         R07781 dated May 1985 from Lilly Research Laboratories, USA.
         Submitted to WHO by DowElanco Europe, Wantage, Oxon, United
         Kingdom.

    Hoffman, D.G. & Russel, D.R. (1990) A developmental toxicity study of
         fenarimol (EL-222, compound 056722) administered orally to New
         Zealand white rabbits. Unpublished report No. B00290 dated
         October 1990 from Lilly Research Laboratories, USA. Submitted to
         WHO by DowElanco Europe, Wantage, Oxon, United Kingdom.

    Hoffman, D.G., Broddle, W.D., Gibson, W.R. & Morton, D.M. (1975a) The
         acute toxicity of EL-222 in mice, rats, dogs, ducks mid quail.
         Unpublished report dated August 1975 from Lilly Research
         Laboratories, USA. Submitted to WHO by DowElanco Europe, Wantage,
         Oxon, United Kingdom.

    Hoffman, D.G., Bernhard, N.R., Gibson, W.R., Owen, N.V. & Morton, D.M.
         (1975b) A pilot 2-week subacute toxicity study of EL-222 in mice.
         Unpublished report No. M-9074, M-9084 dated August 1975 from
         Lilly Research Laboratories, USA. Submitted to WHO by DowElanco
         Europe, Wantage, Oxon, United Kingdom.

    Hoffman, D.G., Gibson, W.R., Harris, P.N. & Morton, D.M. (1975c)
         Three-month subacute oral toxicity studies on EL-222 in mice.
         Unpublished report No. M-9015 dated August 1975 from Lilly
         Research Laboratories, USA. Submitted to WHO by DowElanco Europe,
         Wantage, Oxon, United Kingdom.

    Hoffman, D.G., Bernhard, N.R., Gibson, W.R., Harris, P.N. & Morton,
         D.M. (1975d) A pilot 2-week subacute toxicity study of EL-222 in
         rats. Unpublished report No. R-713, R-723 dated August 1975 from
         Lilly Research Laboratories, USA. Submitted to WHO by DowElanco
         Europe, Wantage, Oxon, United Kingdom.

    Hoffman, D.G., Bernhard, N.R. & Morton, D.M. (1975e) A 2-week subacute
         study of the effects of EL-222 on hepatic p-nitroanisole
         metabolism in rats. Unpublished report No. R-244, R-254 dated
         August 1975 from Lilly Research Laboratories, USA. Submitted to
         WHO by DowElanco Europe, Wantage, Oxon, United Kingdom.

    Hoffman, D.G., Gibson, W.R., Harris, P.N. & Morton, D.M. (1975f)
         Three-month subacute oral toxicity studies on EL-222 in rats.
         Unpublished report No. R-1013 dated August 1975 from Lilly
         Research Laboratories, USA. Submitted to WHO by DowElanco Europe,
         Wantage, Oxon, United Kingdom.

    Hoffman, D.G., Gibson, W.R., Harris, P.N. & Morton, D.M. (1975g)
         Three-month subacute oral toxicity studies on EL-222 in rats.
         Unpublished report No. R-1164 dated August 1975 from Lilly
         Research Laboratories, USA. Submitted to WHO by DowElanco Europe,
         Wantage, Oxon, United Kingdom.

    Hoffman, D.G., Gibson, W.R., Harris, P.N. & Morton, D.M. (1975h)
         Three-month subacute oral toxicity studies on EL-222 in dogs.
         Unpublished report No. D-4183 dated August 1975 from Lilly
         Research Laboratories, USA. Submitted to WHO by DowElanco Europe,
         Wantage, Oxon, United Kingdom.

    Hoffman, D.G., Arthur, B.H., Gibson, W.R. & Morton, D.M. (1977a) The
         acute dermal and ocular toxicity of technical EL-222 in rabbits.
         Unpublished report dated January 1977 from Lilly Research
         Laboratories, USA. Submitted to WHO by DowElanco Europe, Wantage,
         Oxon, United Kingdom.

    Hoffman, D.G., Adams, E.R., Markham, J.K., Owen, N.V., Gibson, W.R. &
         Morton, D.M. (1977b) A multi-generation reproduction study with
         EL-222 in the rat. Unpublished report No. R-715, R-1345, R-956,
         R-966 dated November 1977 from Lilly Research Laboratories, USA.
         Submitted to WHO by DowElanco Europe, Wantage, Oxon, United
         Kingdom.

    Hoffman, D.G., Markham, J.K., Adams, E.R., Owen, N.V & Morton, D.M.
         (1977c) A teratology study on compound 56722 (EL-222) in the
         rabbit. Unpublished report No. B-7125 dated January 1977 from
         Lilly Research Laboratories, USA. Submitted to WHO by DowElanco
         Europe, Wantage, Oxon, United Kingdom.

    Hoffman, D.G., Markham, J.K., Owen, N.V. & Morton, D.M. (1977d) A
         dominant lethal study of compound 56722 (EL-222) in the rat.
         Unpublished report dated January 1977 from Lilly Research
         Laboratories, USA. Submitted to WHO by DowElanco Europe, Wantage,
         Oxon, United Kingdom.

    Hoffman, D.G.  et al. (1978a) Twelve-month chronic oral toxicity of
         EL-222 (56722) in mice. Unpublished report No. M-9155 dated April
         1978 from Lilly Research Laboratories, USA. Submitted to WHO by
         DowElanco Europe, Wantage, Oxon, United Kingdom.

    Hoffman, D.G., Gibson, W.R., Pierce, E.C., Harris, P.N. & Morton, D.M.
         (1978b) Twenty-four month chronic oral toxicity of EL-222 (56722)
         in mice. Unpublished report No. M-9135, M-9145, dated August 1978
         from Lilly Research Laboratories, USA. Submitted to WHO by
         DowElanco Europe, Wantage, Oxon, United Kingdom.

    Hoffman, D.G.  et al. (1978c) A one-year toxicity study with EL-222
         in the rat. Unpublished report No. R-715 dated June 1978 from
         Lilly Research Laboratories, USA. Submitted to WHO by DowElanco
         Europe, Wantage, Oxon, United Kingdom.

    Hoffman, D.G., Gibson, W.R., Pierce, E.C. & Morton, D.M. (1978d)
         Eighteen-month chronic oral toxicity of EL-222 (56722) in rats.
         Unpublished report No. R-435 dated May 1978 from Lilly Research
         Laboratories, USA. Submitted to WHO by DowElanco Europe, Wantage,
         Oxon, United Kingdom.

    Hoffman, D.G., Gibson, W.R., Pierce, E.C. & Morton, D.M. (1978e)
         Twenty-four month chronic oral toxicity of EL-222 (56722) in
         rats. Unpublished report No. R-405, R-415, dated April 1978 from
         Lilly Research Laboratories, USA. Submitted to WHO by DowElanco
         Europe, Wantage, Oxon, United Kingdom.

    Hoffman, D.G., Gomez, S.R. & Dorato, M.A. (1980a) The acute inhalation
         toxicity of Lilly compound 56772, fenarimol, in the Fischer 344
         rat. Unpublished report No. R-H-99-80 dated December 1980 from
         Lilly Research Laboratories, USA. Submitted to WHO by DowElanco
         Europe, Wantage, Oxon, United Kingdom.

    Hoffman, D.G., Owen, N.V. & Markham, J.K. (1980b) A cross-over
         reproduction study with EL-222 (Lilly compound 56722) in the rat.
         Unpublished report No. R-286 dated April 1980 from Lilly Research
         Laboratories, USA. Submitted to WHO by DowElanco Europe, Wantage,
         Oxon, United Kingdom.

    Hoffman, D.G., Owen, N.V. & Markham, J.K. (1980c) Additional
         cross-over reproduction studies with EL-222 (Lilly compound
         56722) in the Wistar and the Sprague-Dawley rat. Unpublished
         report No. R-57, R-67 dated April 1980 from Lilly Research
         Laboratories, USA. Submitted to WHO by DowElanco Europe, Wantage,
         Oxon, United Kingdom.

    Hoffman, D.G., Owen, N.V & Adams, E.R. (1980d) A cross-over fertility
         study with EL-222 in the Wistar rat. Unpublished report No.
         R08379 dated June 1980 from Lilly Research Laboratories, USA.
         Submitted to WHO by DowElanco Europe, Wantage, Oxon, United
         Kingdom.

    Hoffman, D.G., Adams, E.R. & Owen, N.V. (1980e) A cross-over fertility
         study with EL-222 in the Dutch-belted rabbit. Unpublished report
         No. B7229, dated June 1980 from Lilly Research Laboratories, USA.
         Submitted to WHO by DowElanco Europe, Wantage, Oxon, United
         Kingdom.

    Hoffman, D.G., Owen, N.V. & Adams, E.R. (1980f) A teratology study
         with EL-222 in the rat. Unpublished report No. R06279 dated
         January 1980 from Lilly Research Laboratories, USA. Submitted to
         WHO by DowElanco Europe, Wantage, Oxon, United Kingdom.

    Hoffman, D.G., Hirsch, K.S. & MacLusky, N.J. (1981a) Effects of EL-222
         on the binding of androgens to cytoplasmic and nuclear androgen
         receptors. Unpublished report dated October 1981 from Yale
         University Medical School Connecticut, USA. Submitted to WHO by
         DowElanco Europe, Wantage, Oxon, United Kingdom.

    Hoffman, D.G., Hirsch, K.S. & MacLusky, N.J. (1981b) Effects of EL-222
         on circulating estrogens and the binding of estrogens to estrogen
         receptors in the rat central nervous system. Unpublished report
         dated October 1981 from Lilly Research Laboratories, USA.
         Submitted to WHO by DowElanco Europe, Wantage, Oxon, United
         Kingdom.

    Hoffman, D.G., Hirsch, K.S. & MacLusky, N.J. (1981c) Effects of EL-222
         on the concentration of estrogen receptors and the conversion of
         testosterone to estrogens in the hypothalamus. Unpublished report
         dated October 1981 from Yale University Medical School,
         Connecticut, USA. Submitted to WHO by DowElanco Europe, Wantage,
         Oxon, United Kingdom.

    Hoffman, D.G., Gibson, W.R., Pierce, E.C. & Morton, D.M. (1982a) A
         low-dose chronic toxicity/oncogenicity study in Wistar rats
         maintained on diets containing fenarimol for two years.
         Unpublished report No. R06479 dated November 1982 from Lilly
         Research Laboratories, USA. Submitted to WHO by DowElanco Europe,
         Wantage, Oxon, United Kingdom.

    Hoffman, D.G., Brodie, A.M.H. & Hirsch, K.S. (1982b) An in vitro
         measure of aromatase inhibition by EL-222. Unpublished report
         dated January 1982 from the University of Maryland, Baltimore,
         Maryland, USA. Submitted to WHO by DowElanco Europe, Wantage,
         Oxon, United Kingdom.

    Hoffman, D.G., Markham, J.K & Miller, B.J. (1983a) A two-generation
         reproduction study with fenarimol (EL-222, compound 56722) in
         guinea pigs. Unpublished report No. G00682, G00483 dated December
         1983 from Lilly Research Laboratories, USA. Submitted to WHO by
         DowElanco Europe, Wantage, Oxon, United Kingdom.

    Hoffman, D.G., Owen, N.V & Byrd, R.A. (1983b) The effect of prenatal
         fenarimol (EL-222, compound 56722) exposure on kidney development
         and maturation in the rat. Unpublished report No. R10682, R10782,
         R10882 dated November 1983 from Lilly Research Laboratories, USA.
         Submitted to WHO by DowElanco Europe, Wantage, Oxon, United
         Kingdom.

    Hoffman, D.G., Masten, J.L. & Hanasono, G.K (1985a) The biliary
         excretion of radioactivity by male and female Wistar rats given
         single oral doses of 14C-fenarimol (compound 56722, EL-222).
         Unpublished report No. R02485 dated April 1985 from Lilly
         Research Laboratories, USA. Submitted to WHO by DowElanco Europe,
         Wantage, Oxon, United Kingdom.

    Hoffman, D.G., Masten, J.L & Hanasono, G.K. (1985b) Tissue
         distribution of radioactivity in Wistar rats determined one or
         twenty-four hours after single oral doses of 14C-fenarimol
         (EL-222, compound 56722). Unpublished report No. R16684 dated
         April 1985 from Lilly Research Laboratories, USA. Submitted to
         WHO by DowElanco Europe, Wantage, Oxon, United Kingdom.

    Hoffman, D.G., Masten, J.L., Walker, C.G. & Hanasono, G.K. (1985c)
         Radiocarbon disposition studies on Wistar rats given single
         oral doses of 14C-fenarimol (EL-222, compound 56722):
         Pharmacokinetics, and excretion/tissue distribution seven days
         after dosing. Unpublished report No. R06484, R08584 dated March
         1985 from Lilly Research Laboratories, USA. Submitted to WHO by
         DowElanco Europe, Wantage, Oxon, United Kingdom.

    Hoffman, D.G., Weaver, D.E. & Van Lier, R.B.L. (1985d) Distribution of
         radioactivity into tissues and organs from Wistar rats given oral
         doses of unlabeled fenarimol daily for two weeks followed by a
         single dose of 14C-fenarimol (EL-222, compound 56722).
         Unpublished report No. R01285 dated March 1985 from Lilly
         Research Laboratories, USA. Submitted to WHO by DowElanco Europe,
         Wantage, Oxon, United Kingdom.

    Hoffman, D.G., Van Lier, R.B.L. & Weaver, D.E. (1985e) The
         percutaneous absorption of 14C fenarimol dissolved in ethanol
         in rhesus monkeys. Unpublished report No. P04085, P04585 dated
         October 1985 from Lilly Research Laboratories, USA. Submitted to
         WHO by DowElanco Europe, Wantage, Oxon, United Kingdom.

    Hoffman, D.G., Pierce, E.C., Brown, G.E. & Negliski, S. (1985f)
         Subchronic (21-day) dermal toxicity study in rabbits with
         technical fenarimol (EL-222, compound 56722) and Rubigan 50W, a
         wettable powder formulation (FN-0742) containing 50% fenarimol.
         Unpublished report No. B02183 dated May 1985 from Lilly Research
         Laboratories, USA. Submitted to WHO by DowElanco Europe, Wantage,
         Oxon, United Kingdom.

    Hoffman, D.G., Gries, C.L., Pierce, E.C., Means, J.R. & White, J.F.
         (1985g) A one year chronic oral toxicity study of fenarimol in
         dogs with a three month recovery period. Unpublished report No.
         D02683 dated May 1985 from Lilly Research Laboratories, USA.
         Submitted to WHO by DowElanco Europe, Wantage, Oxon, United
         Kingdom.

    Hoffman, D.G., Richardson, K.A. & Kokkino, A.J. (1988a) The effect of
         fenarimol (EL-222, compound 56722) on the induction of reverse
         mutations in  Salmonella typhimurium and Escherichia coli using
         the Ames test. Unpublished report No. 880215AMT4, 880222AMS4,
         dated August 1988 from Lilly Research Laboratories, USA.
         Submitted to WHO by DowElanco Europe, Wantage, Oxon, United
         Kingdom.

    Hoffman, D.G., Oberly, T.J. & Richardson, K.A. (1988b) The effect of
         fenarimol on the induction of forward mutation at the thymidine
         kinase locus of L51787 mouse lymphoma cells. Unpublished report
         No. 880106MLT4, 880113MLA4, dated August 1988 from Lilly Research
         Laboratories, USA. Submitted to WHO by DowElanco Europe, Wantage,
         Oxon, United Kingdom.

    Ivett, J.L. (1988) Mutagenicity test on 56722 (EL-222) in the in vivo
         rat micronucleus assay. Unpublished report No. 10348-0-455 dated
         October 1988 from Hazleton, USA. Submitted to WHO by DowElanco
         Europe, Wantage, Oxon, United Kingdom.

    Jones, J.R. (1994a) Fenarimol technical: Acute dermal irritation test
         in the rabbit. Unpublished report No. 291/50 dated February 1994
         from Safepharm Laboratories, United Kingdom. Submitted to WHO by
         DowElanco Europe, Wantage, Oxon, United Kingdom.

    Jones, J.R. (1994b) Fenarimol technical: Acute eye irritation test in
         the rabbit. Unpublished report No. 291/51 dated February 1994
         from Safepharm Laboratories, United Kingdom. Submitted to WHO by
         DowElanco Europe, Wantage, Oxon, United Kingdom.

    Luisi, M. & Franchi, R. (1980) Double blind group comparative study of
         testosterone undecanoate and mesterolone in hypogonadal male
         patients.  J. Endocrinol. Invest., 3, 305-308.

    Mantzoros, C.S., Georgiadis, E.I. & Trichopoulos, D. (1995)
         Contribution of dihydrotestosterone to male sexual behaviour.
          Br. Med. J., 310, 1289-1291.

    Markham, J.K., Hoffman, D.G., Adams, E.R., Owen, N.V. & Morton, D.M.
         (1978a) Pilot reproduction studies with EL-222 (Lilly compound
         56722) in the mouse. Unpublished report No. M-9165, M-9215 dated
         July 1978 from Lilly Research Laboratories, USA. Submitted to WHO
         by DowElanco Europe, Wantage, Oxon, United Kingdom.

    Markham, J.K., Hoffman, D.G., Broddle, W.D., Owen, N.V. & Morton, D.M.
         (1978b) A multi-generation study with EL-222 (Lilly compound
         56722) in the mouse. Unpublished report No. M-9086, M-9296,
         M-9326 from Lilly Research Laboratories, USA. Submitted to WHO by
         DowElanco Europe, Wantage, Oxon, United Kingdom.

    Markham, J.K., Hoffman, D.G., Owen, N.V. & Morton, D.M. (1978c) A
         second multi-generation reproduction study with EL-222 (Lilly
         compound 56722) in the rat. Unpublished report No. R-636, R-1076,
         R-217 dated July 1978 from Lilly Research Laboratories, USA.
         Submitted to WHO by DowElanco Europe, Wantage, Oxon, United
         Kingdom.

    Murli, H. (1988) Mutagenicity test on 56722 in an in vitro cytogenetic
         assay measuring chromosomal aberration frequencies in cultured
         purified human lymphocytes. Unpublished report No. 10348-0-449
         dated August 1988 from Hazelton, USA. Submitted to WHO by
         DowElanco Europe, Wantage, Oxon, United Kingdom.

    Naftolin, F., Keefe, D., Apa, R., Palumbo, A. & Garcia-Segura, L.M.
         (1991) The apparent paradox of sexual differentiation of the
         brain.  Contrib. Gynecol. Obstet., 18, 24-32.

    Neubauer, B.L.  et al. (1982) Effect of EL-222 (compound 56722,
         fenarimol) on the developing reproductive tract. Unpublished
         report dated January 1982 from Lilly Research Laboratories, USA.
         Submitted to WHO by DowElanco Europe, Wantage, Oxon, United
         Kingdom.

    Probst, G.S. (1979) The effect of Lilly compound 56722 (EL-222) on the
         induction of DNA repair synthesis in primary cultures of adult
         rat hepatocytes. Unpublished report No. 790502-1 dated June 1979
         from Lilly Research Laboratories, USA. Submitted to WHO by
         DowElanco Europe, Wantage, Oxon, United Kingdom.

    Prout, M. (1994) The disposition of 14C fenarimol in the lactating
         goat. Unpublished report No. IRI 154147 dated October 1994 from
         Inveresk Research International, Musselburgh, United Kingdom.
         Submitted to WHO by DowElanco Europe, Wantage, Oxon, United
         Kingdom.

    Rodricks, J.V.  et al. (1989) Response to USSR concerns regarding the
         potential oncogenicity of fenarimol. Unpublished report dated
         February 1989 from Environ Corp., Washington DC, USA. Submitted
         to WHO by DowElanco Europe, Wantage, Oxon, United Kingdom.

    Simpson, E.R., Mahendroo, M.S., Means, G.D., Kilgore, M.W.,
         Hinshelwood, M.M., Graham-Lorence, S., Amarneh, B., Ito, Y.,
         Fisher, C.R., Dodson, M.M., Mendelson, C.R & Bulun, S. (1994)
         Aromatase cytochrome P450, the enzyme responsible for oestrogen
         biosynthesis.  Endocr. Rev., 15, 342-355.

    Siou, G. & Lerond-Conan, L. (1982) Test for mutagenic potential of
         technical-grade fenarimol by examination of chromosomal damage in
         the Chinese hamster. Unpublished report No. 658 dated June 1982
         from C.E.R.T.I., Versailles, France. Submitted to WHO by
         DowElanco Europe, Wantage, Oxon, United Kingdom.

    Siou, G., Lerond-Conan, L.  et al (1982) Test for mutagenicity of
         technical-grade fenarimol using a micronucleus technique in the
         mouse. Unpublished report No. 650 dated May 1982 from C.E.R.T.I.,
         Versailles, France. Submitted to WHO by DowElanco Europe,
         Wantage, Oxon, United Kingdom.

    Smalstig, E.B. (1981a) Study of the possible influence of compound
         EL-222 on fertility in the adult female rat. Unpublished report
         dated September 1981 from Lilly Research Laboratories, USA.
         Submitted to WHO by DowElanco Europe, Wantage, Oxon, United
         Kingdom.

    Smalstig, E.B. (1981b) Studies of the influence of EL-222 on uterine
         prostaglandin F2alpha in the female rat at parturition.
         Unpublished report dated November 1981 from Lilly Research
         Laboratories, USA. Submitted to WHO by DowElanco Europe, Wantage,
         Oxon, United Kingdom.

    Smith, E.P., Boyd, J., Frank, G., Takahashi, H., Cohen, R.M., Specker,
         B., Williams, T.C., Luhbahn, D.B. & Korach, K.S. (1994) Oestrogen
         resistance caused by a mutation in the oestrogen-receptor gene in
         a man.  New Engl. J. Med., 331, 1056-1061.

    Tinsley, F.C. (1982) Preparturiton progesterone levels in fenarimol
         (EL-222) treated rats. Unpublished report dated August 1982 from
         Lilly Research Laboratories, USA. Submitted to WHO by DowElanco
         Europe, Wantage, Oxon, United Kingdom.

    Watson, D. (1994) Accurate measurement of an isolated metabolite of
         fenarimol. Unpublished report No. DWC/719 dated October 1994 from
         Huntingdon Research Centre, United Kingdom. Submitted to WHO by
         DowElanco Europe, Wantage, Oxon, United Kingdom.
    


    See Also:
       Toxicological Abbreviations
       Fenarimol (Pesticide residues in food: 1995 evaluations Part II Toxicological & Environmental)