IPCS INCHEM Home

    TEFLUBENZURON

    First draft prepared by
    J. Taylor and M. Watson,
    Pesticides Safety Directorate,
    Ministry of Agriculture, Fisheries and Food,
    York, United Kingdom

         Explanation
         Evaluation for acceptable daily intake
              Biochemical aspects
                   Absorption, distribution and excretion
                   Biotransformation
              Toxicological studies
                   Acute toxicity
                   Short-term toxicity
                   Long-term toxicity and carcinogenicity
                   Reproductive toxicity
                   Embryotoxicity and teratogenicity
                   Genotoxicity
                   Special studies
                        Skin and eye irritation and skin sensitization
              Observations in humans
              Comments
              Toxicological evaluation
         References

    Explanation

         Teflubenzuron is an insect growth regulator belonging to the
    benzoyl urea group of compounds. It acts at the developmental stages
    of insect pests, primarily via ingestion and by interfering with
    chitin synthesis and the moulting process. It has an ovicidal effect
    in some insects. Teflubenzuron was reviewed for the first time by
    the present Meeting.

    Evaluation for acceptable daily intake

    1.  Biochemical aspects

    (a)  Absorption, distribution and excretion

    Rats

         Groups of nine male and nine female Wistar rats received
    teflubenzuron uniformly labelled with 14C in the aniline ring
    (radiochemical purity, > 99%) at a dose of 25 mg/kg bw in dimethyl
    sulfoxide, daily for seven consecutive days by gavage. Radioactive
    residues in urine and faeces were assessed in four rats of each sex
    during the dosing period and for eight days after the last dose. In
    the other five animals of each sex, radioactivity was analysed in
    organs and tissues 1, 6, 24, 48 and 120 h after dosing for seven
    days. Radiolabel was rapidly excreted during and after the seven-day
    dosing period, predominantly via the faeces. The mean levels in
    urine and faeces over the treatment and eight-day depuration periods
    showed no significant sex differences; 2-3% of the total radiolabel
    was found in urine and 90-93% in faeces. At the end of the
    depuration period, only 0.1% was found in the carcass. The total
    radioactive residue recovered was 93-95% of the administered dose.
    Assessment of radiolabel levels in rats between 1 and 120 h after
    treatment showed no residue exceeding 0.5% of the administered dose
    in any of the organs or tissues analysed (including fat) by 48 h
    after the last treatment, with the exception of the liver
    (0.1-0.2%). By 120 h, the level of radiolabel was less than 0.01% of
    the total dose administered in virtually all organs and tissues
    analysed, except liver, where the level was 0.05%.
    14C-Teflubenzuron labelled in the aniline ring was thus rapidly
    excreted, predominantly in the faeces, with no evidence of
    significant bioaccumulation in organs or tissues (Schlüter, 1984).

         Groups of five male and five female Wistar rats received
    uniformly 14C-aniline ring-labelled teflubenzuron (radiochemical
    purity, > 97%) in aqueous solutions of 1% Tylose and 1% Tween 80 by
    gavage, according to different dosing regimes. Rats in the first
    group were given one dose of 25 mg/kg bw, those in the second were
    given one dose of 750 mg/kg bw, and those in the third group
    received 14 daily doses of unlabelled teflubenzuron at 25 mg/kg bw
    per day followed by the same dose of radiolabelled compound. Urine
    and faeces were collected for eight days after treatment, after
    which time the animals were killed. Excretion patterns were similar
    in males and females at each dosing regimen. Most of the radiolabel
    (91-95% of the total dose) was excreted in the faeces, predominantly
    within 24 h, and only small quantities (0.2-0.9%) were found in
    urine during eight days after treatment. Low levels of radiolabel
    were detected in carcasses of animals (low-dose groups, 0.04-0.08%;
    high-dose group, < 0.01% of the total dose). The total recoveries
    of radioactive residue were 91-96%.

         A preliminary experiment in one male and one female showed that
    no radioactivity was present over 24 h in expired air of animals
    treated orally with 25 mg/kg bw.

         In another investigation, groups of five males and five females
    received single oral doses of 25 or 750 mg/kg bw
    14C-teflubenzuron, and blood samples were taken up to 168 h after
    dosing. Plasma levels in animals given the low dose reached a
    plateau after 1-8 h, at 0.38-0.46 µg/ml in males and 0.22-0.25 µg/ml
    in females; the levels declined after 24 h and were < 0.01 µg/ml in
    animals of each sex by 168 h. Blood levels of the active ingredient
    were similar to the plasma levels in these animals. At 750 mg/kg bw,
    the concentrations of radiolabel in plasma increased only slightly
    (by four- to sixfold) in animals of each sex in comparison with the
    30-fold increase in dose. In males, a mean peak concentration of
    3.27 µg/ml was noted at 24 h; in females, the highest concentrations
    were observed between 20 min and 8 h (0.98-1.43 µg/ml). Plasma
    concentrations declined from the second day after dosing, reaching
    0.06 µg/ml after seven days in males and 0.08 µg/ml in females. The
    blood levels of the compound were slightly lower than the plasma
    levels in these animals. The plasma concentrations observed were
    likely to be a consequence of differences in overall absorption
    rates at the low and high doses (Schlüter, 1986).

         Groups of three male and three female Wistar rats received a
    bile-duct cannula and then a single dose by gavage of 25 or 750
    mg/kg bw 14C-aniline ring-labelled teflubenzuron (radiochemical
    purity, > 98%) in an aqueous solution containing 1% Tylose and 1%
    Tween 80. Animals given 25 mg/kg bw excreted 1.4% of the
    administered dose in urine, 16% in bile and 46% in faeces between 0
    and 48 h; about 0.4% of the dose was measured in liver, 23% in the
    gastrointestinal tract and 1.6% in the remaining carcass at 48 h. A
    total of 87-90% of the radioactivity was recovered. At 750 mg/kg bw,
    0.4% of the administered dose was excreted in urine, 1.9% in bile
    and 65% in faeces between 0 and 48 h; about 0.06% of the dose was
    measured in liver, 19% in the gastrointestinal tract and 1.2% in the
    remaining carcass at 48 h. A total of 86-88% of the radiolabel was
    recovered. There was no significant sex difference in the excretion
    pattern. The bile was a major route of excretion at the low dose but
    a minor route at the high dose (Hawkins & Mayo, 1988).

         The concentration of teflubenzuron in the plasma of groups of
    five male and five female Wistar rats was determined after a 28-day
    exposure to diets containing, 0, 500, 1000, 2000, 4000, 8000, 16 000
    or 32 000 ppm teflubenzuron (purity, 92.4%), equivalent to 0 and
    about 40-2500 mg/kg bw per day. Plasma concentrations were assayed
    on day 28 by high-performance liquid chromatography (HPLC). The
    concentrations were essentially constant for male rats receiving
    dietary concentrations of > 1000 ppm and in females receiving
    > 2000 ppm, at mean plateau levels of 0.38 µg/ml in males and
    0.42 µg/ml in females. The results suggest that the absorption of

    teflubenzuron from the diet by rats is saturated at 1000-2000 ppm.
    There were no deaths and no overt signs of toxicity or effects on
    food consumption, body weight, gross pathological signs or liver
    weights that could be attributed to treatment (Ellgehausen  et al.,
    1986).

         Plasma concentrations of teflubenzuron were determined at 4,
    26, 52 and 104 weeks in Wistar rats fed diets containing 2500 or 10
    000 ppm for 111 weeks. Time-related increases in plasma
    concentrations were observed. The concentrations in males (0.18-0.79
    µg/ml at 2500 ppm and 0.23-0.70 µg/ml at 10 000 ppm) showed no
    evidence of a plateau between the two dose levels at weeks 26 and
    52, although similar plasma concentrations were noted at weeks 4 and
    104. In females, a plateau was seen between the two dose levels; the
    concentrations were 0.18-0.60 µg/ml at 2500 ppm and 0.14-0.43 µg/ml
    at 10 000 ppm (Tennekes  et al., 1989).

    Chickens

         Laying hens were administered 14C-teflubenzuron orally twice
    daily at a dose of 1.25 mg/kg bw per day for 7.5 days. The
    administered dose was recovered rapidly and almost completely in
    excreta. The residues of radioactivity in tissues 8 h after the last
    dose were low; the highest levels (expressed as equivalents) were
    found in bile (about 2.6 µg/g), liver (0.33 µg/g), fat (about 1.0
    µg/g) and skin (0.45 µg/g). Minimal amounts of radiolabel were
    eliminated in eggs, with the highest levels in yolk. Radioactivity
    in the plasma reached a plateau (at 0.06-0.10 µg/ml) by day 4 of
    treatment. The half-life of elimination of radioactive residue from
    plasma was about two days (Cameron  et al., 1987b).

    Goats

         14C-Aniline ring-labelled teflubenzuron was administered
    orally to two lactating goats twice daily for 7.5 days to give a
    total dose of 1 mg/kg bw per day. The animals were killed 8 h after
    the final dose. The main route of elimination of radiolabel was via
    the faeces, which, with the intestinal contents, accounted for about
    99% of the total dose. Urinary excretion represented < 1% of the
    administered dose. Radiolabel was found in bile at an equivalent
    concentration of 1.3 µg/ml. Low concentrations of radiolabel were
    found in plasma (with a plateau reached at day 4) and milk (day 5);
    the highest equivalent concentrations were 0.008-0.010 µg/ml in
    plasma and 0.010-0.015 µg/ml in milk. Low levels of radiolabel were
    found in tissues; the highest were in liver (0-14% of the total
    dose) and lung (0.02%) (Cameron  et al., 1987a).

    (b)  Biotransformation

    Rats

         The metabolism of teflubenzuron was assessed in Wistar rats
    that had been dosed orally with 25 mg/kg bw 14C-aniline
    ring-labelled compound for seven consecutive days in the experiment
    described above (Schlüter, 1984). The faeces was the major route of
    elimination of radiolabel (about 90%). Metabolites in faeces were
    identified by thin-layer chromatography (TLC). Most of the
    radioactive residue in the faeces (70-75% of the administered dose)
    consisted of unchanged teflubenzuron; the remainder consisted of at
    least 15 unknown metabolites, none of which represented as much as
    1% of the administered dose. Characterization of radioactive
    residues in the urine, representing about 2.5% of the administered
    dose, indicated the presence of three metabolites, each representing
    < 1% of the dose. Two, which were structural isomers, were
    identified by TLC and mass spectroscopy as hydroxylated products of
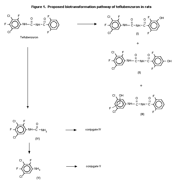
    teflubenzuron (metabolites I and II, see Figure 1). The third
    product, identified by mass spectroscopy, was formed by
    dehalogenation of a fluoride atom with substitution by a hydroxide
    group (metabolite III, see Figure 1). The position of the
    substitution of the fluorine atom in the aniline ring could not be
    established, as insufficient quantities of the metabolite were
    available for nuclear magnetic resonance spectroscopy. There was no
    significant difference between males and females in the metabolism
    of teflubenzuron (Schlüter, 1985).

         The biotransformation of teflubenzuron was investigated in the
    urine and faeces of Wistar rats that had been given a single oral
    dose of 25 or 750 mg/bw 14C-labelled compound or single doses of
    25 mg/kg bw of unlabelled compound for 14 consecutive days followed
    by a single dose of labelled compound. Most of the faecal
    radioactive residue was found by TLC, HPLC and ultraviolet and mass
    spectroscopy to be unchanged compound. Trace amounts of diverse,
    mostly polar compounds were noted in each treatment group. One of
    these compounds was identified as 3,5-dichloro-2,4-difluorophenyl
    urea (metabolite IV, see Figure 1). TLC indicated that the low
    levels of radiolabel in urine consisted mainly of very polar
    compounds. Traces of the active ingredient were shown by HPLC and
    ultraviolet spectroscopy to be present in urine, but this may have
    been due to contamination by small particles of faeces. TLC and HPLC
    of urine of animals treated at 750 mg/kg bw revealed the presence of
    minor amounts of 3,5-dichloro-2,4-difluorophenyl urea (metabolite
    IV). There were no significant differences in metabolism between
    males and females or between animals that had and had not been
    pre-treated with unlabelled teflubenzuron (Schlüter, 1986).

    FIGURE 01

         The nature of the excretion products in faecal extracts, bile
    and urine from rats with bile cannulas that were given 25 or 750
    mg/kg bw 14C-aniline ring-labelled teflubenzuron orally was
    investigated by TLC. Most of the radiolabel extracted from 0-48-h
    faeces of treated animals of each sex co-chromatographed with
    teflubenzuron. In 0-48-h bile, most of the radiolabel was in
    unidentified polar material. A minor biliary metabolite
    co-chromatographed with 3,5-dichloro-2,4-difluorophenyl urea
    (metabolite IV, see Figure 1), and another co-chromatographed with

    teflubenzuron. Hydrolytic treatment of 0-48-h bile extracts
    indicated the presence of conjugates of 3,5-dichloro-2,4-
    difluorophenyl urea (conjugate IV, see Figure 1), the corresponding
    substituted aniline (conjugate V) and the  meta-hydroxybenzoyl
    derivative of teflubenzuron (metabolite I). The major radioactive
    component in 0-48-h urine extracts from animals at 25 mg/kg bw was
    unidentified polar material. Three minor urinary metabolites
    co-chromatographed with 3,5-dichloro-2,4-difluorophenyl urea
    (metabolite IV), its corresponding substituted aniline metabolite
    (metabolite V) and the  meta-hydroxybenzoyl derivative (metabolite
    I) of teflubenzuron (Hawkins & Mayo, 1988).

    Chickens

         Laying hens that had been administered a total of 1.25 mg/kg bw
    per day of 14C-teflubenzuron by oral doses twice daily for 7.5
    days were shown by TLC and HPLC to excrete mainly the parent
    compound. Radiolabel in bile was in the form of a very polar
    compound, which on treatment with ß-glucuronidase yielded a compound
    with similar chromatographic characteristics to the
     meta-hydroxybenzoyl derivative (metabolite I, see Figure 1) of
    teflubenzuron (22% of radioactivity in bile). A compound with
    identical HPLC retention characteristics to teflubenzuron was found
    in fat, liver, plasma and egg yolk (Cameron  et al., 1987b).

         Further investigations of metabolites in chickens by mass
    spectrometry showed that teflubenzuron was the major component of
    excreta. Two components of liver and kidney extracts were observed
    by TLC and HPLC; one had characteristics identical to those of
    teflubenzuron, but the other could not be identified. A third
    component of kidney extracts was shown to be 3,5-dichloro-2,4-
    difluorophenyl urea (metabolite IV, see Figure 1). Further evidence
    was provided for the presence of teflubenzuron in egg yolk and fat
    (Cameron  et al., 1988).

    Goats

         In lactating goats given oral doses twice daily to give a total
    of 1 mg/kg bw per day 14C-teflubenzuron over 7.5 days, the major
    faecal component was shown by TLC to be unchanged teflubenzon. About
    41% of the biliary radiolabel had similar characteristics on HPLC
    and TLC to the  meta-hydroxybenzoyl derivative (metabolite I, see
    Figure 1) of teflubenzuron after treatment with ß-glucuronidase. No
    unchanged teflubenzuron was found in bile (Cameron  et al., 1987a).
    Mass spectrometry showed conclusively that the major faecal
    component was teflubenzuron. In goat liver, the major radioactive
    component was a polar compound, which was not considered to be a
    conjugate since it was unaffected by treatment with deconjugating
    enzymes. Traces of a metabolite that co-chromatographed with the
     meta-hydroxybenzoyl derivative (metabolite I) of teflubenzuron
    were found in liver extracts (Cameron  et al., 1989).

    2.  Toxicological studies

    (a)  Acute toxicity

         The results of studies of the acute toxicity of teflubenzuron
    (purity, 96.5-97.5%) are summarized in Table 1. After oral
    treatment, rats and mice showed only slight signs of toxicity,
    including ruffled fur, dyspnoea, sedation and hunched posture, which
    had resolved in all cases by 48-72 h. After intraperitoneal
    administration, similar signs of toxicity were observed, which were
    generally more severe and longer lasting. Deaths unrelated to
    treatment were seen at 300 mg/kg bw, the lowest dose tested. There
    was no evidence of toxicity after dermal treatment at 2000 mg/kg bw.
    Slight dyspnoea and ruffled fur were the only findings after
    inhalation, and these had resolved within 24 h. Teflubenzuron had no
    clear effect on gross pathological findings in these studies.

    Table 1.  Acute toxicity of teflubenzuron in male and female rodents
                                                                       

         Species  Route            LD50 (mg/kg bw)  Reference
                                   or LC50 (mg/m3)
                                                                       

         Mouse    Oral             > 5000           Ullman, 1983b
         Rat      Oral             > 5000           Ullman et al., 1988
         Rat      Oral             > 5000           Ullman, 1983a
         Rat      Dermal           > 2000           Ullman, 1983c
         Rat      Intraperitonea]  > 2000           Ullman, 1983d
         Rat      Inhalation       > 5038           Ullman, 1983e
                                                                       

    (b)  Short-term toxicity

    Mice

         Groups of 12 male and 12 female CD-1 mice were administered
    teflubenzuron (purity unspecified) at 0, 100, 1000 or 10 000 ppm in
    the diet for 13 weeks, equal to 12, 115 or 1210 mg/kg bw per day in
    males and 14, 143 or 1450 mg/kg bw per day in females. (The
    techniques used to investigate biological parameters were not
    specified.) Treatment appeared to have no effect on clinical signs
    of toxicity, deaths, body-weight gain, food consumption or the
    results of ophthalmoscopy, urinalysis and haematology. Clinical
    chemical investigations revealed increased alanine aminotransferase
    activity (in animals of each sex) and a raised cholesterol level (in
    females) at 1000 and 10 000 ppm, and increased alkaline phosphatase
    activity in females at 10 000 ppm. Necropsy revealed liver
    enlargement in animals of each sex and dark-coloured livers in males
    at 1000 and 10 000 ppm. Liver weights were increased in animals of
    each sex at the middle and high doses. Histopathology revealed

    centrilobular hepatocellular swelling in animals of each sex and
    fatty change in males at 1000 and 10 000 ppm and microgranuloma in
    males at 10 000 ppm. The NOAEL was 100 ppm, equal to 12 mg/kg bw per
    day (Takahashi  et al., 1987).

    Rats

         In a 28-day range-finding study, groups of five male and five
    female Wistar rats were administered teflubenzuron (purity not
    specified) in the diet at levels of 0, 100, 1000 or 10 000 ppm.
    There were no deaths or signs of toxicity and no significant effects
    on body-weight gain. Food consumption of males at the highest dose
    level was slightly reduced. Haematology and urinalysis showed no
    treatment-related findings. Clinical chemical analyses revealed
    treatment-related increases in the activities of serum aspartate and
    alanine aminotransferase in animals of each sex and of lactate
    dehydrogenase in females at 1000 and 10 000 ppm. Gross pathology
    revealed no treatment-related lesions. Histopathology and organ
    weight measurements were not performed. The NOAEL was 100 ppm, equal
    to 12 mg/kg bw per day (Suter, 1983).

         Groups of 10 male and 10 female Wistar rats were administered
    teflubenzuron (purity, 96.5%) at 0, 100, 1000 or 10 000 ppm in the
    diet for 13 weeks. Additional groups of five male and five female
    rats in the control and highest-dose groups were maintained on
    control diet for a further four weeks after the 13-week treatment
    phase to determine the reversibility of any findings. There were no
    deaths and no treatment-related signs of toxicity. Body weights and
    food consumption were not affected, and urinalysis, ophthalmoscopy
    and haematology did not reveal any treatment-related findings.
    Clinical chemical analyses showed increased activities of ornithine
    carbamoyl transferase and alanine and aspartate aminotransferases in
    animals of each sex at 1000 and 10 000 ppm at six weeks; males had
    more significant increases and also an increase in alkaline
    phosphatase activity at the highest dose. At 13 weeks, ornithine
    carbamoyl transferase activity was increased in animals of each sex
    at 10 000 ppm; some males had marked increases, and males also had
    increased activities of alanine and aspartate aminotransferases and
    slightly increased activities of lactate dehydrogenase and alkaline
    phosphatase. At 17 weeks (after the four-week recovery phase),
    clinical chemical parameters were not significantly altered in the
    highest-dose group over those in the control group. Liver weights of
    females and testicular weights of males were increased at the
    highest dose at 13 weeks, but no treatment-related effects on organ
    weights were observed at this dose at 17 weeks. Gross necropsy and
    histopathology of animals at 13 and 17 weeks revealed no
    treatment-related findings. The NOAEL was 100 ppm, equal to 8.0
    mg/kg bw per day (Suter  et al., 1987a).

         The effects of treatment with aqueous solutions of five benzoyl
    urea insecticides, including teflubenzuron, on haematological

    parameters was investigated in 10 Wistar rats (sex not specified),
    which were given 100 mg/kg bw per day of the active ingredient by
    gavage for 28 days. Ten rats were used as controls. No overt signs
    of toxicity were seen. Teflubenzuron slightly increased reticulocyte
    counts; the increase was comparable to those seen after similar
    treatment with diflubenzuron and hexaflumuron, but smaller than
    those induced by flufenoxuron and triflumuron. No other
    haematological parameters were affected by treatment with
    teflubenzuron. Relatively minor effects on haemoglobin, mean
    corpuscular haemoglobin concentration and methaemoglobin formation
    were induced by some of the other insecticides (Tasheva & Hristeva,
    1993).

    Dogs

         In a 28-day range-finding study, pairs of one male and one
    female beagle dogs were fed diets containing 0, 100, 1000 or 10 000
    ppm teflubenzuron (purity, 96.7%), equivalent to 2.5, 25 or 250
    mg/kg bw per day. Treatment did not affect signs of toxicity, food
    consumption or body weight, and haematology, clinical chemistry,
    urinalysis and gross pathology revealed no significant
    treatment-related effect. The NOAEL was 10 000 ppm, equivalent to
    250 mg/kg bw per day (Bathe, 1983).

         Groups of four male and four female beagle dogs were fed diets
    containing teflubenzuron (purity, 96.5%) at 0, 100, 1000 or 10 000
    ppm for 13 weeks. There were no deaths or signs of toxicity during
    the study; food consumption and body-weight gain were unaffected,
    and a hearing test, ophthalmoscopic examinations, haematology and
    urinalysis showed no findings of toxicological significance.
    Clinical chemical analyses revealed increased activities of alanine
    and aspartate aminotransferases, alkaline phosphatase and ornithine
    carbamoyl transferase in one male and one female at 10 000 ppm at
    week 4; gamma-glutamyltranspeptidase activity was increased in the
    same female. Alkaline phosphatase activity was raised in another
    male and ornithine carbamoyl transferase activity increased in two
    other males at the same dose. At week 8, alkaline phosphatase,
    alanine aminotransferase and gamma-glutamyltrans-peptidase
    activities were increased in one male at 10 000 ppm, but by week 13
    only alanine aminotransferase activity was raised in this animal.
    Liver weights were slightly increased in animals of each sex at the
    highest dose. Gross pathology revealed a firm liver with many
    irregularities in the contour of the capsule in one male at 10 000
    ppm. Isolated dark-red foci were noted in the pyloric area of the
    stomachs of two dogs at the middle dose and two at the high dose.
    The incidence of nodular foci in the pyloric or fundic area was also
    increased at the high dose. Histopathological examination indicated
    slight to moderate hepatotoxicity, resembling chronic active
    hepatitis, in one male and one female at 10 000 ppm and slight
    hepatotoxicity in one male at 100 ppm. Moderate centrilobular
    hepatic necrosis was seen in another male at 100 ppm, and slight

    round-cell infiltration was seen in one male at 1000 ppm and one at
    10 000 ppm. Slight to moderate focal gastritis was noted in two
    females at 10 000 ppm and in one at 1000 ppm. Follicular hyperplasia
    of the pyloric mucosa in the stomach was noted in one control male
    and in three males and three females at the highest dose. In view of
    the possibly treatment-related histopathological findings in the
    livers of males at 100 ppm, no NOAEL was identified in this study
    (Bathe  et al., 1984).

         In a supplementary study designed to establish a clear NOAEL,
    groups of four male and four female beagle dogs were fed diets
    containing teflubenzuron (purity, 92.4%) at 0, 30 or 100 ppm,
    equivalent to 0.75 or 2.5 mg/kg bw per day, for 13 weeks, and the
    same parameters were assessed as in the first study. No
    toxicologically significant effects were observed in either treated
    group (Bathe  et al., 1985).

         The combined NOAEL in the two 13-week studies was 100 ppm,
    equal to 4.1 mg/kg bw per day, on the basis of pathological findings
    in the stomachs of dogs treated at 1000 ppm in the first study.

         Groups of four male and four female beagle dogs were fed diets
    containing teflubenzuron (purity, 92.4%) at 0, 30, 100 or 500 ppm
    for 52 weeks. There were no deaths and no treatment-related signs of
    toxicity; food consumption, body-weight gain, auditory perception
    and ophthalmoscopic findings were not affected by treatment, and
    haematology, clinical chemistry and urinalysis showed no effect.
    Liver weights were increased in males treated at 500 ppm. Gross
    necropsy and histopathological investigations revealed no other
    treatment-related findings. The NOAEL was 100 ppm, equal to 3.2
    mg/kg bw per day (Sachsse, 1986).

    (c)  Long-term toxicity and carcinogenicity

    Mice

         In an 18-month study of carcinogenicity, teflubenzuron (purity,
    92.4%) was administered in the diet to groups of 60 male and 60
    female NMRI mice at doses of 0, 15, 75 or 375 ppm, equal to 2.1, 10
    or 54 mg/kg bw per day for males and 3.1, 15 or 72 mg/kg bw per day
    for females. Ten animals of each sex in each group were killed at 12
    months, and the remainder were killed at 18 months. Treatment did
    not affect mortality or signs of toxicity, and ophthalmoscopy and
    haematology showed no changes. Body-weight gain was reduced in males
    at 375 ppm. Clinical chemical analyses revealed increased activities
    of aspartate and alanine aminotransferases, lactate dehydrogenase,
    alkaline phosphatase and ornithine carbamoyl transferase at 52 weeks
    in males at 375 ppm. The alanine and aspartate aminotransferase and
    ornithine carbamoyl transferase activities were still elevated at 78
    weeks. Females treated at this dose had elevated alanine
    aminotransferase and ornithine carbamoyl transferase activities at

    week 52, and elevated alanine aminotransferase, lactate
    dehydrogenase and ornithine carbamoyl transferase activities at week
    78. Liver weights were increased at weeks 52 and 78 in males and
    females at the highest dose and were slightly increased at week 78
    in males at 75 ppm. Macroscopic investigations revealed an increased
    incidence of hepatic nodules in males at 375 ppm and a dose-related
    increase in the incidence of hepatic foci at week 78 in males at 75
    and 375 ppm. Histopathological investigations indicated an increased
    incidence of hepatocellular adenomas in males treated at 75 and 375
    ppm at the time of the terminal kill: 6/50 in controls, 5/50 at 15
    ppm, 11/50 at 75 ppm and 16/50 at 375 ppm. Contemporary historical
    data on NMRI control mice from four long-term (84-110 weeks) studies
    performed at the same laboratory indicated an incidence of
    hepatocellular adenomas in control males of 4.5-16.4%, with a mean
    incidence of 10.9%. Therefore, the incidence of hepatocellular
    adenomas was increased above historical control values in animals
    treated at 75 and 375 ppm.

         Dose-related non-neoplastic hepatic changes were observed in
    animals of each sex at the interim and terminal kills, which were
    characterized mainly by various combinations of hepatocellular
    hypertrophy, centrilobular to disseminated single-cell necrosis,
    diffuse Kupffer-cell proliferation, disseminated phagocytic cell
    foci, lipofuscin accumulation and patchy glycogen storage. These
    changes were generally more pronounced in males. At the terminal
    kill, the changes were moderate to severe in males treated at 75 and
    375 ppm, and these animals also had an increased incidence of
    hepatocellular nodular hyperplasia. Males at 15 ppm had increased
    incidences of slight hepatocellular hypertrophy, single-cell
    necrosis and phagocytic-cell foci. Similar non-neoplastic hepatic
    changes were seen at the terminal kill in females at 375 ppm,
    whereas only increased incidences of slight single-cell necrosis and
    phagocytic-cell foci were noted at 75 ppm; at 15 ppm, slight
    single-cell necrosis was seen. Slight to moderate bile duct
    proliferation was seen in a dose-related fashion, and a decrease in
    the amount of normal centrilobular fat storage was observed in males
    at 75 and 375 ppm. Females at the highest dose had an increased
    incidence of a patchy, coarse-droplet fatty change. At the interim
    kill, males at 75 and 375 ppm had increased incidences of many of
    the same non-neoplastic hepatic changes. At 15 ppm, increased
    incidences of hepatocellular hypertrophy and single-cell necrosis
    were seen. Females at 375 ppm had increased incidences of
    phagocytic-cell foci and patchy fatty change at the interim kill. In
    view of the treatment-related histopathological hepatic effects at
    15 ppm, equal to 2.1 mg/kg bw per day, no NOAEL could be identified
    in this study. Although there was an increased incidence of hepatic
    effects observed at 15 ppm, they were not significantly increased in
    terms of severity (Suter  et al., 1987b).

         Liver sections from males (comprising one routine slide and six
    additional slides from each liver, with three sections per slide,

    making a total of 21 sections) in the study described above were
    re-evaluated by an independent pathologist, who concluded that the
    development of hepatocellular nodules, adenomas and carcinomas in
    males was not related to treatment with teflubenzuron. A possibly
    dose-related increase in the incidence of hepatocellular nodules was
    observed, however, in males on the basis of the pathologist's
    diagnoses: 2/60 in controls, 0/60 at 15 ppm, 6/60 at 75 ppm and
    12/60 at 375 ppm. In addition, a slight but non-significant increase
    in the incidence of hepatocellular adenomas was noted in males at 75
    and 375 ppm: 8/60 in controls, 5/60 at 15 ppm, 13/60 at 75 ppm and
    13/60 at 375 ppm. The revised diagnoses were based on use of more
    detailed diagnostic criteria for hepatocellular nodules and adenomas
    than those described in the report of Suter  et al. (1987b). The
    pathologist's report concluded that teflubenzuron 'did not manifest
    either tumorigenic effect (enhancement of hepatocellular adenomas)
    or carcinogenic effect (enhancement of hepatocellular carcinomas)'
    (Vesselinovitch, 1988). The Meeting concluded that this
    re-evaluation could not override the report of the pathologist of
    the original study.

    Rats

         In a 120-week study of toxicity and carcinogenicity, groups of
    70 male and 70 female Wistar rats were administered teflubenzuron
    (purity, 92.4%) in the diet at 0, 20, 100 or 500 ppm, equivalent to
    1, 5 or 25 mg/kg bw per day. Ten rats of each sex in each group were
    killed at 53 and 107 weeks and the remainder at 120 weeks. The mean
    plasma concentrations of teflubenzuron determined in surviving
    animals before the kill at week 107 were 0.02 µg/ml for animals of
    each sex at 20 ppm, 0.06 µg/ml for males and 0.04 µg/ml for females
    at 100 ppm and 0.26 µg/ml for males and 0.13 µg/ml for females at
    500 ppm. Treatment did not affect mortality, signs of toxicity, body
    weight, food consumption or the results of ophthalmoscopic or
    hearing tests; haematology and urinalysis indicated no
    treatment-related changes. Clinical chemical analyses revealed
    increased activities of aspartate and alanine aminotransferases at
    weeks 14, 26, 53 and 78 and increased alanine aminotransferase
    activity at week 120 in males treated at 500 ppm. Ornithine
    carbamoyl transferase activity was increased at weeks 53 and 78 in
    males at 500 ppm. Liver weights were slightly increased in males at
    this dose at week 120. Gross pathology showed no treatment-related
    changes. Histopathology revealed a statistically significant
    increase in the incidence of haemangiomas in mesenteric lymph nodes
    of males treated at the highest dose (8/47 compared to 1/48 control
    males). The incidence of this tumour in the concurrent control group
    was generally lower than that in historical control groups, and the
    incidence in males at the high dose was within the historical
    control range. The NOAEL was 100 ppm, equivalent to 5 mg/kg bw per
    day (Suter  et al., 1987c).

         In a supplementary study, three groups of 60 male and 60 female
    Wistar rats were given teflubenzuron (purity, 92.4%) in the diet at
    0, 2500 or 10 000 ppm, equivalent to 125 or 500 mg/kg bw per day.
    Ten animals of each sex at each dose were killed at week 104, and 50
    of each sex in each group at week 111. The plasma concentrations of
    teflubenzuron were determined in five animals of each sex at each
    dose after 4, 26, 52 and 104 weeks. Time-related increases in plasma
    concentrations were observed in animals of each sex; the
    concentrations in animals treated at 2500 and 10 000 ppm were
    0.18-0.79 and 0.23-0.70 µg/ml, resepctively, in males and 0.18-0.60
    and 0.14-0.43 µg/ml, respectively, in females. The survival rate of
    males at 10 000 ppm at termination was significantly increased over
    that in controls. There were no treatment-related clinical signs of
    toxicity or effects on food consumption, but the body-weight gains
    of females were slightly reduced at both doses. Haematology and
    urinalysis showed no treatment-related findings. Increased
    activities of plasma alanine and aspartate aminotransferases were
    seen in males at 2500 and 10 000 ppm throughout treatment. Liver
    weights were increased in males at the highest dose at week 104 and
    to a lesser extent at week 111. Gross pathology revealed increased
    incidences of diffuse, clay-coloured discoloration and focal and
    multifocal discoloration in livers of males at the highest dose.
    Histopathology revealed a number of treatment-related non-neoplastic
    liver lesions: Increased incidences of foci of mixed and basophilic
    cells were noted in males at 2500 and 10 000 ppm, and an increased
    incidence of basophilic-cell foci was seen in females at 10 000 ppm.
    The incidence of focal hepatocellular hyperplasia was increased in
    males at the highest dose, and the incidences of fatty change and
    centrilobular hepatocellular hypertrophy were increased in males and
    females at 2500 and 10 000 ppm. Spongiosis hepatis was increased in
    incidence in males at the highest dose. As treatment-related
    non-neoplastic findings were seen at both doses, no NOAEL could be
    identified in this study (Tennekes  et al., 1989).

    (d)  Reproductive toxicity

    Rats

         Groups of 25 male and 25 female Sprague-Dawley rats were fed
    diets containing teflubenzuron (purity, 92.4%) at 0, 20, 100 or 500
    ppm for two generations, with one litter per generation. The F0
    generation was kept for 10 weeks before mating and the F1
    generation for about 12 weeks. Reproductive performance and effects
    on adults and offspring were monitored daily throughout the study;
    observations included body weight, food consumption, mating
    performance, fertility rate, duration of gestation, pup hair growth,
    pinna unfolding, tooth eruption, eye opening, litter size, pup
    weight, pup mortality and sex ratio. F1 pups underwent functional
    tests, comprising pupillary reflex, startle response and ability to
    learn use of a water maze, and the sexual organs of the parental and
    F1 animals that received the highest dose were examined by gross

    necropsy and histopathology. There was no evidence of toxicity and
    no effects on reproductive performance (Osterburg, 1986). The NOAEL
    was > 500 ppm, equal to 40 mg/kg bw per day.

    (e)  Embryotoxicity and teratogenicity

    Rats

         Teflubenzuron (purity, 96.5%) was administered in 0.5% aqueous
    carboxymethyl-cellulose to groups of 25 naturally inseminated female
    Wistar rats by gavage on days 6-15 after mating at doses of 0, 10,
    50 or 250 mg/kg bw per day. The dams were killed on day 20 of
    gestation, and the fetuses were examined after caesarean section.
    The doses were selected on the basis of the results of a
    range-finding study of doses up to 250 mg/kg bw per day (Gleich,
    1984). There were no treatment-related fetotoxic or teratogenic
    effects or signs of maternal toxicity. The NOAEL for both dams and
    fetuses was 250 mg/kg bw per day (Gleich  et al., 1984a).

         Groups of 25 naturally inseminated female Wistar rats received
    teflubenzuron (purity, 92.1%) in 0.5% aqueous carboxymethylcellulose
    by gavage at doses of 0, 100, 300 or 1000 mg/kg bw per day on days
    7-17 of gestation. The dams were killed on day 20 of gestation, and
    the fetuses examined after caesarean section. There were no
    treatment-related signs of maternal toxicity or any treatment-
    related teratogenic or fetotoxic effects. The NOAEL for both dams
    and fetuses was 1000 mg/kg bw per day (Ishida  et al., 1987).

    Rabbits

         Groups of 14-15 Himalayan rabbits proven to be pregnant were
    administered teflubenzuron (purity, 96.5%) in 0.5% aqueous
    carboxymethylcellulose at 0, 10, 50 or 250 mg/kg bw per day by
    stomach tube on days 6-18 of gestation. The doses were based on the
    results of a range-finding study in which rabbits received doses of
    up to 250 mg/kg bw per day with no sign of toxicity and no effect on
    fetuses. Caesarean sections were performed on the dams on day 29 of
    gestation. There were no treatment-related effects on the dams or
    fetuses. The NOAEL for maternal toxicity, fetotoxicity and
    teratogenicity was 250 mg/kg bw per day (Gleich  et al., 1984b).

         A group of 22 naturally inseminated New Zealand white rabbits,
    18 of which were proven to be pregnant, were administered
    teflubenzuron (purity, 96.5%) in 0.5% aqueous carboxymethyl
    cellulose at 1000 mg/kg bw per day by stomach tube on days 6-18 of
    gestation. Sixteen rabbits (15 proven to be pregnant) treated with
    the vehicle alone served as the control group. The dams were killed
    on day 28 of gestation. The only sign of maternal toxicity possibly
    related to treatment was noted at necropsy as an increased incidence
    of 'grossly granulated cut surfaces of the liver' in dams treated at
    1000 mg/kg bw per day (in 8/22 as compared with 1/16 controls).

    There were no signs of treatment-related fetotoxicity or
    teratogenicity at this dose. The NOAEL for maternal toxicity could
    not be established conclusively in view of the possible effect on
    the liver. The NOAEL for fetotoxicity and teratogenicity was 1000
    mg/kg bw per day (Osterburg, 1987).

         Four groups of four or five pregnant Himalayan rabbits were
    given teflubenzuron (purity unspecified) in 0.5% aqueous
    carboxymethylcellulose by gavage at doses of 0, 250 or 500 mg/kg bw
    per day (two groups at the highest dose) on days 6-18 of gestation.
    All animals except those in the second group at the highest dose
    were killed on day 19. Their livers were immediately removed and
    weighed, and the cytochrome P450 content and  O- and
     N-demethylase activities were assessed in homogenates; the numbers
    of corpora lutea, living embryos and early resorptions were counted.
    Animals in the second group at the high dose underwent caesarian
    section on day 29 and their livers were examined in the same way as
    described above. Fetuses were incubated for 24 h before being
    examined for malformations. No toxicologically significant findings
    were found, and there was no evidence of liver enzyme induction in
    the dams (Gleich, 1985).

    (f)  Genotoxicity

         The results of tests for the genotoxicity of teflubenzuron
    (Table 2) revealed no evidence for mutagenicity or clastogenicity.

    (g)  Special studies

    Skin and eye irritation and skin sensitization

         The potential of teflubenzuron (purity, 96.5%) to irritate skin
    was investigated in three New Zealand white rabbits by applying 0.5
    g of the compound, moistened with tap water, to intact skin on the
    clipped dorsum of each rabbit and keeping it under an occlusive
    dressing for 4 h. There was no evidence of skin irritation over 72 h
    (Ullman, 1983f).

         The potential of teflubenzuron (purity, 96.5%) to irritate the
    eye was investigated in three New Zealand white rabbits by
    introducing 0.1 g of undiluted test material into the conjunctival
    sac of the left eye of each animal. Slight conjunctival and scleral
    redness was observed in each animal after 1 h. No signs of
    irritation were seen at 24, 48 or 72 h (Ullman, 1983g).


    
    Table 2.  Results of tests for the genotoxicity of teflubenzuron
                                                                                                         
    End-point          Test object            Concentration           Purity  Results    Reference
                                              of teflubenzuron        (%)
                                                                                                         

    In vitro
    Reverse mutation   S. typhimurium TA98,   125-5000 µg/plate       NR      Negativea  Kramer, 1982
                       100, 1535, 1537, 1538  in DMSO

    Point mutation at  Chinese hamster V79    5-50 µg/ml              92.4    Negativea  Heidemann, 1986
     hprt locus        cell line              in DMSO

    Chromosomal        Chinese hamster V79    4, 25, 50 µg/ml         92.4    Negativea  Heidemann, 1985
     aberration        cell line              in DMSO

    Unscheduled DNA    Wistar CF HB male      1-100 µg/ml             92.4    Negativea  Müller, 1986
     synthesis         rat hepatocytes        in acetone

    In vivo
    Micronucleus       NMRI mice              5000 mg/kg bw in        96.5    Negative   Guenard, 1984
     formation                                2% carboxymethyl-
                                              cellulose, sodium salt
                                                                                                         

    DMSO, dimethyl sulfoxide; NR, not reported
    a In the presence and absence of metabolic activation


    
         The potential of teflubenzuron (purity, 93.5%) to sensitize
    skin was investigated in the guinea-pig (Dunkin-Hartley)
    maximization test, in which 10 animals were used as negative
    controls and 20 as the test group. The results of two topical
    challenges after intradermal or topical induction with the test
    substance indicated that teflubenzuron did not sensitize skin under
    these conditions (Ullman, 1984).

    3.  Observations in humans

         No information was available.

    Comments

         In rats, teflubenzuron was absorbed only partially from the
    gastrointestinal tract, absorption being dose-dependent and
    saturable. Absorbed teflubenzuron was excreted mainly via the bile,
    urinary excretion representing only a minor route. Faecal excretion
    of absorbed and unabsorbed teflubenzuron was the main route. There
    was no evidence of bioaccumulation in organs or tissues.

         Teflubenzuron was eliminated largely unchanged in faeces,
    although a number of unidentified minor metabolites were found.
    Hydroxylated metabolites of teflubenzuron were found in urine in low
    amounts. 3,5-Dichloro-2,4-difluorophenylurea and its corresponding
    substituted aniline were observed in urine, indicating that cleavage
    of the benzoylurea moiety had occurred. Conjugates of these
    metabolites and the unconjugated 3,5-dichloro-2,4-difluorophenylurea
    were detected in bile.

         Teflubenzuron has low acute oral, dermal and inhalational
    toxicity; it was more acutely toxic when administered by the
    intraperitoneal route. WHO (1992) has classified teflubenzuron as
    being unlikely to present an acute hazard in normal use.

         In mice, rats and dogs given repeated doses in the diet, the
    major target organ was the liver. Pathological and clinical chemical
    findings of hepatotoxicity varied with species, dose and duration of
    dosing. The indicators of hepatotoxicity included effects such as
    increased activities of serum alanine aminotransferase, aspartate
    aminotransferase, ornithine carbamoyl transferase, lactate
    dehydrogenase and alkaline phosphatase, increased liver weight, and
    hepatocellular necrosis, fatty change, hypertrophy and hyperplasia.
    Haematological parameters generally remained unaltered by treatment.

         In a 13-week study of toxicity in mice fed levels of 0, 100,
    1000 or 10 000 ppm, effects indicative of hepatotoxicity were
    observed at 1000 and 10 000 ppm. The NOAEL was 100 ppm, equal to
    11.9 mg/kg bw per day. In a 28-day range-finding and a 13-week study
    of toxicity, rats were fed diets containing 0, 100, 1000 or 10 000
    ppm. The NOAEL was 100 ppm in each, equal to 11.7 and 8.0 mg/kg bw
    per day, respectively, on the basis of indications of
    hepatotoxicity. Two 13-week studies in dogs fed diets containing 0,
    100, 1000 or 10 000 ppm and 0, 30 or 100 ppm indicated an NOAEL of
    100 ppm, equal to 4.1 mg/kg bw per day, on the basis of focal
    gastritis in dogs treated at 1000 ppm in the first study. The NOAEL
    in the 13-week studies concurred with the NOAEL of 100 ppm, equal to
    3.2 mg/kg bw per day, observed in a 52-week study in dogs, in which
    liver weights were increased in males fed the highest level of 500
    ppm.

         Mice fed diets containing 0, 15, 75 or 375 ppm for 18 months in
    a study of carcinogenicity showed non-neoplastic hepatotoxicity at

    all doses. Changes observed in livers of mice at the lowest dose
    were increased in incidence over those in controls but were not
    increased in severity. The lowest dose of 15 ppm, equal to 2.1 mg/kg
    bw per day, was the LOAEL. Histopathological investigations
    indicated an increased incidence of hepatocellular adenomas in males
    at 75 and 375 ppm, in comparison with rates in concurrent and
    historical controls. This tumorigenic potential in mice was
    considered not to be relevant to humans.

         In a 120-week study of toxicity and carcinogenicity, rats were
    fed diets containing 0, 20, 100 or 500 ppm teflubenzuron. The NOAEL
    was 100 ppm, equal to 4.8 mg/kg bw per day, on the basis of
    increased serum enzyme activities and liver weights in males. In a
    supplementary study, rats were fed diets containing 0, 2500 or 10
    000 ppm for 111 weeks. No NOAEL could be assigned because
    non-neoplastic liver changes and increased serum enzyme activities
    were seen at both doses. There was no evidence of carcinogenicity.

         In a two-generation (one litter per generation) study of
    reproductive toxicity in rats fed dietary concentrations of 0, 20,
    100 or 500 ppm, the NOAEL was 500 ppm, equal to 40 mg/kg bw per day,
    on the basis of lack of toxicity or effects on reproductive
    performance.

         Two studies of teratogenicity in rats treated by gavage showed
    no evidence of maternal toxicity, fetotoxicity or teratogenicity at
    doses up to either 250 or 1000 mg/kg bw per day. In a study of
    teratogenicity in rabbits, there was no evidence of maternal
    toxicity, fetotoxicity or teratogenicity at doses of 0, 10, 50 or
    250 mg/kg bw per day. A second study of teratogenicity, in rabbits
    treated by gavage at 0 or 1000 mg/kg bw per day, showed no evidence
    of fetotoxicity or teratogenicity. Effects possibly related to
    treatment were noted at necropsy in the livers of some dams treated
    at 1000 mg/kg bw per day. In another study, there was no evidence of
    liver enzyme induction in pregnant rabbits treated by gavage with
    doses of up to 500 mg/kg bw per day.

         Teflubenzuron has been adequately tested for genotoxicity  in
     vivo and  in vitro in a range of assays. The Meeting concluded
    that it was not genotoxic.

         An ADI was allocated on the basis of the LOAEL of 15 ppm, equal
    to 2.1 mg/kg bw per day, in the 18-month study of carcinogenicity in
    mice. A 200-fold safety factor was applied since no NOAEL was
    identified in this study.

    Toxicological evaluation

    Levels that cause no toxic effect

         Mouse:    100 ppm, equal to 11.9 mg/kg bw per day (13-week
                   study of toxicity)

         Rat:      100 ppm, equal to 4.8 mg/kg bw per day (120-week
                   study of toxicity and carcinogenicity)
                   500 ppm, equal to 40 mg/kg bw per day (two-generation
                   study of reproductive toxicity)
                   1000 mg/kg bw per day (study of teratogenicity,
                   maternal and fetal toxicity)

         Rabbit:   1000 mg/kg bw per day (fetal toxicity in a study of
                   teratogenicity)
                   250 mg/kg bw per day (maternal toxicity in a study of
                   teratogenicity)

         Dog:      100 ppm, equal to 3.2 mg/kg bw per day (one-year
                   study of toxicity)

    Lowest-observed-adverse-effect level

         Mouse:    15 ppm, equal to 2.1 mg/kg bw per day (18-month study
                   of carcinogenicity)

    Estimate of acceptable daily intake for humans

         0-0.01 mg/kg bw

    Studies that would provide information useful for continued
    evaluation of the compound

         Further observations in humans

    References

    Bathe, R. (1983) 28-Day oral toxicity (feeding) study with CME 134
    in beagle dogs. Project 017212. Document No. 134AB-432-001.
    Unpublished report from Research and Consulting Co. Ag, Itingen,
    Switzerland. Submitted to WHO by Shell International Chemical Co.,
    London, United Kingdom.

    Bathe, R., Frei, T., Luetkemeier, H., Schlotke, B. & Terrier, C.
    (1984) 13-Week oral (feeding) toxicity study with CME 134 in beagle
    dogs. Project 018865. Document No. 134AB-433-007. Unpublished report
    from Research and Consulting Co. Ag, Itingen, Switzerland. Submitted
    to WHO by Shell International Chemical Co. Ltd, London, United
    Kingdom.

    Bathe, R., Frei, T., Luetkemeier, H., Schlotke, B. & Terrier, C.
    (1985) 13-Week oral (feeding) toxicity study with CME 134 in beagle
    dogs. Project 040702. Document No. 134AB-433-008. Unpublished report
    from Research and Consulting Co. Ag, Itingen, Switzerland. Submitted
    to WHO by Shell International Chemical Co. Ltd, London, United
    Kingdom

    Cameron, B.D., O'Brien, J.W. & Young, C.G. (1987a) The disposition
    of [14C]-CME 134 in the lactating goat. Report No. 4278A. Document
    No. 134AX-652-001. Unpublished report from Inveresk Research
    International Ltd, Musselburgh, Scotland, United Kingdom. Submitted
    to WHO by Shell International Chemical Co. Ltd, London, United
    Kingdom.

    Cameron, B.D., O'Brien, J.W. & Young, C.G. (1987b) The disposition
    of [14C]-CME 134 in the laying hen. Report No. 4278B. Unpublished
    report from Inveresk Research International Ltd, Musselburgh,
    Scotland, United Kingdom. Submitted to WHO by Shell International
    Chemical Co. Ltd.

    Cameron, B.D., O'Brien, J.W., Young, C.G. & McGuire, G.M. (1988)
    Further identification of [14C]-CME 134 metabolites in the hen.
    Unpublished report from Inveresk Research International Ltd,
    Musselburgh, Scotland, United Kingdom. Submitted to WHO by Shell
    International Chemical Co. Ltd, London, United Kingdom.

    Cameron, B.D., O'Brien, J.W., Young, C.G. & McGuire, G.M. (1989)
    Further identification of [14C]-CME 134 metabolites in the goat.
    Report No. 4490A. Unpublished report from Inveresk Research
    International Ltd, Musselburgh, Scotland, United Kingdom. Submitted
    to WHO by Shell International Chemical Co. Ltd, London, United
    Kingdom.

    Ellgehausen, K. (1986) 28-Day dietary study with CME 134 in the rat
    for proof of absorption. Project 059973. Document No. 134AB-651-005.
    Unpublished report from Research and Consulting Co. Ag, Itingen,

    Switzerland. Submitted to WHO by Shell International Chemical Co.
    Ltd, London, United Kingdom.

    Gleich, J. (1984) CME 134. Dosifindungsversuch für eine Prufung auf
    embryotoxische Wirkung an Ratten nach oraler Applikation. Report No.
    4/7/84. Document No 134AB-451-001. Unpublished report from Institute
    of Toxicology, E. Merck, Darmstadt, Germany. Submitted to WHO by
    Shell International Chemical Co. Ltd, London, United Kingdom.

    Gleich, J. (1985) CME 134. Supplementary study on embryotoxicity and
    liver enzyme induction in Himalayan rabbits. Report No. 4/65/85.
    Document No. 134AB-451-005. Unpublished report from Institute of
    Toxicology, E. Merck, Darmstadt, Germany. Submitted to WHO by Shell
    International Chemical Co. Ltd, London, United Kingdom.

    Gleich, J., Weisze, G. & Unkelbach, H. (1984a) CME 134.
    Embryotoxicity study in rats after oral administration. Report No.
    4/29/84. Document No. 134AB-451-003. Unpublished report from
    Institute of Toxicology, E. Merck, Darmstadt, Germany. Submitted to
    WHO by Shell International Chemical Co. Ltd, London, United Kingdom.

    Gleich, J., Weisze, G., Unkelbach, H.D. & Hofmann, A. (1984b) CME
    134. Embryotoxicity study in rabbits after oral administration.
    Report No. 4/63/84. Document No. 134AB-451-004. Unpublished report
    from Institute of Toxicology, E. Merck, Darmstadt, Germany.
    Submitted to WHO by Shell International Chemical Co. Ltd, London,
    United Kingdom.

    Guenard, J. (1984) Mouse micronucleus assay with CME 134. Project
    025672. Unpublished report from Resarch and Consulting Co. Ag,
    Itingen, Switzerland. Submitted to WHO by Shell International
    Chemical Co. Ltd, London, United Kingdom.

    Hawkins, D.R. & Mayo, B.C. (1988) The biliary excretion and
    metabolism of [14C]-CME 134. Report No. HRC/CMK 17/871263. Document
    No. 134AX-651-010. Unpublished report from Huntingdon Research
    Centre Ltd, Huntingdon, United Kingdom. Submitted to WHO by Shell
    International Chemical Co. Ltd, London, United Kingdom.

    Heidemann, A. (1985) CME 134. Chromosome aberrations in cells of
    Chinese hamster cell line V79. Study LMP 135C. Document No.
    134AB-457-003. Unpublished report from the Laboratory for
    Mutagenicity Testing, Darmstadt, Germany. Submitted to WHO by Shell
    International Chemical Co. Ltd, London, United Kingdom.

    Heidemann, A. (1986) CME 134. Detection of gene mutations in somatic
    mammalian cells in culture: HGPRT-test with V79 cells. Study LMP
    135B. Document No. 134AC-457-005. Unpublished report from the
    Laboratory for Mutagenicity Testing, Darmstadt, Germany. Submitted
    to WHO by Shell International Chemical Co. Ltd, London, United
    Kingdom.

    Ishida, S., Yamazaki, E., Ikeya, M. & Suzuki, K. (1987)
    Teratological study in rats treated orally with teflubenzuron. Study
    No. R-128. TZ-432-001. Unpublished report from Bozo Research Centre
    Ltd, Tokyo, Japan. Submitted to WHO by Shell International Chemical
    Co. Ltd, London, United Kingdom.

    Kramer, P.J. (1982) CME 134. In vitro assessment for mutagenic
    potential in bacteria with and without addition of a metabolizing
    system. Experiment T12 568. Document No. 134AA-457-001. Unpublished
    report from Institute of Toxicology, E. Merck, Darmstadt, Germany.
    Submitted to WHO by Shell International Chemical Co. Ltd, London,
    United Kingdom.

    Müller, E. (1986) CME 134. Unscheduled DNA synthesis in hepatocytes
    of male rats in vitro (UDS test). Study LMP 135A. Document No.
    134AC-457-006. Unpublished report from the Laboratory for
    Mutagenicity Testing, Darmstadt, Germany. Submitted to WHO by Shell
    International Chemical Co. Ltd, London, United Kingdom.

    Osterburg, I. (1986) Two generation oral (dietary administration)
    reproduction toxicity study in the rat. Project No. 460/1. Document
    No. 134AB-453-002. Unpublished report from Hazleton Laboratories,
    Münster, Germany. Submitted to WHO by Shell International Chemical
    Co. Ltd, London, United Kingdom.

    Osterburg, I. (1987) CME 134. Oral (gavage) teratogenicity limit
    test in the rabbit. Project No. 460/13. Document No. 134AB-451-009.
    Unpublished report from Hazleton Laboratories, Münster, Germany.
    Submitted to WHO by Shell International Chemical Co. Ltd, London,
    United Kingdom.

    Sachsse, K. (1986) 52-Week oral (feeding) toxicity study with CME
    134 in beagle dogs. Project 034828. Document No. 134AB-437-005.
    Unpublished report from Research and Consulting Co. Ag, Itingen,
    Switzerland. Submitted to WHO by Shell International Chemical Co.
    Ltd, London, United Kingdom.

    Schlüter, H. (1984) Initial investigations on the biokinetics of
    CME134 in the rat. Document No. 134AA-651-001. Unpublished report
    from Celamerck GmbH, Biochemical Laboratory, Ingelheim, Germany.
    Submitted to WHO by Shell International Chemical Co. Ltd, London,
    United Kingdom.

    Schlüter, H. (1985) Investigations on the metabolism of CME134 in
    the rat. Document No. 134AA-651-012. Unpublished report from
    Celamerck GmbH, Biochemical Laboratory, Ingelheim, Germany.
    Submitted to WHO by Shell International Chemical Co. Ltd, London,
    United Kingdom.

    Schlüter, H. (1986) The biokinetics and metabolism of [14C]-CME 134
    in the rat. Document No. 134AX-651-007. Unpublished report from
    Celamerck GmbH, Biochemical Laboratory, Ingelheim, Germany.

    Submitted to WHO by Shell International Chemical Co. Ltd, London,
    United Kingdom.

    Suter, P. (1983) 28 Day range-finding study with CME 134 in rats.
    Project 017201. Document No. 134AB-432-002. Unpublished report from
    Research and Consulting Co. Ag, Itingen, Switzerland. Submitted to
    WHO by Shell International Chemical Co. Ltd, London, United Kingdom.

    Suter, P., Horst, K., Luetkemeier, H., Chevalier, J. & Terrier, C.
    (1987a) 13-Week subchronic toxicity (feeding) study with CME 134 in
    the rat. Project 018843. Document No. 134AB-433-006. Unpublished
    report from Research and Consulting Co. Ag, Itingen, Switzerland.
    Submitted to WHO by Shell International Chemical Co. Ltd, London,
    United Kingdom.

    Suter, P., Dewert, H., Luetkemeier, H., Westen, H. & Terrier, C.
    (1987b) 18-Month oncogenicity (feeding) study with CME 134 in mice.
    Project 027810. Document No. 134AB-455-003. Unpublished report from
    Research and Consulting Co. Ag, Itingen, Switzerland. Submitted to
    WHO by Shell International Chemical Co. Ltd, London, United Kingdom.

    Suter, P., Dewert, H., Luetkemeier, H., Schlotke, B., Ellgehausen,
    H., Terrier, Ch. (1987c) 120-week chronic toxicity and oncogenicity
    study with CME 134 in the rat. Project 027472. Document No
    134AB-437-006. Unpublished report from Research and Consulting Co.
    Ag, Itingen, Switzerland. Submitted to WHO by Shell International
    Chemical Co. Ltd, London, United Kingdom.

    Takahashi, K., Saitoh, T., Miyaoka, S., Maita, K. & Goloh, M. (1987)
    13 Weeks subacute toxicity study with teflubenzuron in mice. Report
    T-15. Document no. 134AB-433-005. Unpublished report from Kodaira
    Laboratory, Japan. Submitted to WHO by Shell International Chemical
    Co. Ltd, London, United Kingdom.

    Tasheva, M. & Hristeva, V. (1993) Comparative study on the effects
    of five benzoylphenylurea insecticides on haematological parameters
    in rats.  J. Appl. Toxicol., 13, 67-68.

    Tennekes, H., Stucki, P., Luetkemeier, H., Biedermann, K., Bloch,
    M., Chevalier, H., Vogel, O. & Terrier, C. (1989) Chronic toxicity
    and oncogenicity (feeding) study with CME 134 in the rat. Project
    064192. Document No. 134AB-437-009. Unpublished report from Research
    and Consulting Co. Ag, Itingen, Switzerland. Submitted to WHO by
    Shell International Chemical Co. Ltd, London, United Kingdom.

    Ullman, L. (1983a) Acute oral toxicity study (LD50) with CME 134
    in rats. Project 019596. Document No. 134AB-421-004. Unpublished

    report from Research and Consulting Co. Ag, Itingen, Switzerland.
    Submitted to WHO by Shell International Chemical Co. Ltd, London,
    United Kingdom.

    Ullman, L. (1983b) Acute oral toxicity study (LD50) with CME 134
    in mice. Project 025571. Document No. 134 AB-421-005. Unpublished
    report from Research and Consulting Co. Ag, Itingen, Switzerland.
    Submitted to WHO by Shell International Chemical Co. Ltd, London,
    United Kingdom.

    Ullman, L. (1983c) Acute dermal toxicity study (LD50) with CME 134
    in rats. Project 025593. Document No. 134 AB-422-001. Unpublished
    report from Research and Consulting Co. Ag, Itingen, Switzerland.
    Submitted to WHO by Shell International Chemical Co. Ltd, London,
    United Kingdom.

    Ullman, L. (1983d) Acute intraperitoneal toxicity study (LD50)
    with CME 134 in rats. Project 025582. Document No. 134AB-424-001.
    Unpublished report from Research and Consulting Co. Ag, Itingen,
    Switzerland. Submitted to WHO by Shell International Chemical Co.
    Ltd, London, United Kingdom.

    Ullman, L. (1983e) 4-Hour dust-aerosol inhalation toxicity study
    (LD50) with CME 134 in rats. Project 025626. Document No.
    134AB-423-001. Unpublished report from Research and Consulting Co.
    Ag, Itingen, Switzerland. Submitted to WHO by Shell International
    Chemical Co. Ltd, London, United Kingdom.

    Ullman, L. (1983f) Primary skin irritation study following a single
    4-hour occlusive application with CME 134 in the rabbit. Project
    025604. Document No. 134AB-465-001. Unpublished report from Research
    and Consulting Co. Ag, Itingen, Switzerland. Submitted to WHO by
    Shell International Chemical Co. Ltd, London, United Kingdom.

    Ullman, L. (1983g) Primary eye irritation study after single
    application with CME 134 in the rabbit. Project 025615. Document No.
    134AB-466-001. Unpublished report from Research and Consulting Co.
    Ag, Itingen, Switzerland. Submitted to WHO by Shell International
    Chemical Co. Ltd, London, United Kingdom.

    Ullman, L. (1984) Test for delayed hypersensitivity in the albino
    guinea-pig with CME 134 Project 034817. Document No. 134AB-467-001.
    Unpublished report from Research and Consulting Co. Ag, Itingen,
    Switzerland. Submitted to WHO by Shell International Chemical Co.
    Ltd, London, United Kingdom.

    Ullman, L., Sacher, R. & Vogel, O. (1988) Acute oral toxicity study
    with teflubenzuron in rats. Project 206741, Document No.
    134AC-421-009. Unpublished report from Research and Consulting Co.

    Ag, Itingen, Switzerland. Submitted to WHO by Shell International
    Chemical Co. Ltd, London, United Kingdom.

    Vesselinovitch, S. (1988) Histologic evaluation of liver tissues
    originating from potential carcinogenicity bioassay studies of CME
    134, Batch DW 44/83 in NMRI mice. Unpublished report from the
    Departments of Pathology and Radiology, University of Chicago, IL,
    USA. Submitted to WHO by Shell Chemical Co. Ltd, London, United
    Kingdom.


    See Also:
       Toxicological Abbreviations