IPCS INCHEM Home

    TECNAZENE

    First draft prepared by
    J.-J. Larsen,
    Institute of Toxicology, National Food Agency,
    Ministry of Health, Soborg, Denmark

         Explanation
         Evaluation for acceptable daily intake
              Biochemical aspects
                   Absorption, distribution and excretion
                   Biotransformation
              Toxicological studies
                   Acute toxicity
                   Short-term toxicity
                   Long-term toxicity and carcinogenicity
                   Reproductive toxicity
                   Embryotoxicity and teratogenicity
                   Genotoxicity
              Observations in humans
              Comments
              Toxicological evaluation
         References

    Explanation

         Tecnazene was evaluated by the Joint Meeting in 1974, 1978,
    1981 and 1983 (Annex I, references 22, 30, 36 and 40). A temporary
    ADI (0-0.01 mg/kg bw) was allocated in 1978, which was confirmed as
    a full ADI in 1983. Since review of the toxicology of tecnazene in
    1983, several new studies have become available. This monograph
    summarizes the data received since the previous evaluation and
    contains relevant summaries from the previous monograph and
    monograph addenda on tecnazene (Annex I, references 23, 31 and 37).

    Evaluation for acceptable daily intake

    1.  Biochemical aspects

    (a)  Absorption, distribution and excretion

         Two rats weighing about 200 g each and two guinea-pigs weighing
    about 500 g each were treated orally by stomach tube with
    suspensions of tecnazene in water, at 750 µmol/kg bw for rats and
    450 µmol/kg bw for guinea-pigs. About 20% was recovered in the
    faeces of both species over 72 h, indicating a high degree of
    absorption (Bray  et al., 1959).

         In a preliminary experiment in rats, each of three males and
    three females was given a single oral dose of 1 mg/kg bw
    14C-tecnazene. Excretion of radioactivity in urine, faeces and
    expired air was measured for up to 48 h, and the distribution of
    radioactivity in tissues was determined by whole-body
    autoradiography in one male and one female killed at 24 and 48 h
    after dosing. In addition, each of five male and five female rats
    was given a single oral dose of 1 mg/kg bw 14C-tecnazene. Urinary
    and faecal excretion of radioactivity was monitored for seven days,
    at which time residual radioactivity was measured in blood, selected
    tissues and carcasses. The male rats excreted 42% of the
    administered radiolabel in the urine and 47% in the faeces during
    the 0-48-h period after dosing, whereas females excreted 80% in
    urine and 12% in faeces during the same period. The remaining
    portion of the dose was excreted more slowly; radiolabel was still
    detected in urine and faeces seven days after treatment. Negligible
    levels were detected in expired carbon dioxide. Whole-body
    autoradiography showed the highest concentrations of radiolabel 24 h
    after treatment in the intestinal contents of male and female rats.
    The highest tissue concentrations were found in kidney, liver and
    nasal passages; radiolabel was also present in blood, lungs and
    skin. The distribution of radioactive residues in tissues 48 h after
    treatment was similar to that at 24 h, although the amounts were
    much lower in all tissues except the nasal passages. There was no
    significant difference in tissue distribution between male and
    female rats. Seven days after treatment, the concentrations of
    radiolabel in the tissues were low but were generally slightly
    higher in males (0.13%) than in females (0.05%). In males, the
    highest concentrations were found in abdominal fat, kidney, lung,
    blood and heart. In female rats, the highest concentrations were
    found in abdominal fat, blood and ovaries. The amounts of radiolabel
    in the residual carcasses did not exceed 0.5% of the dose in rats of
    either sex (Bratt, 1991).

    (b)  Biotransformation

         The distribution of 14C-tecnazene was studied in male and
    female rats (strain and number not specified) after oral

    administration of 1 mg/kg bw. Pooled urine and faeces were taken
    over 0-48 h and analysed chromatographically. The pattern of
    metabolites in urine appeared to be the same in males and females,
    but the quantities differed. The major component in urine was a
    tetrachlorophenyl-mercapturate conjugate; tecnazene,
    tetrachloroaniline and tetrachlorothioanisole were identified in
    faeces (Bentley & Powles, 1992).

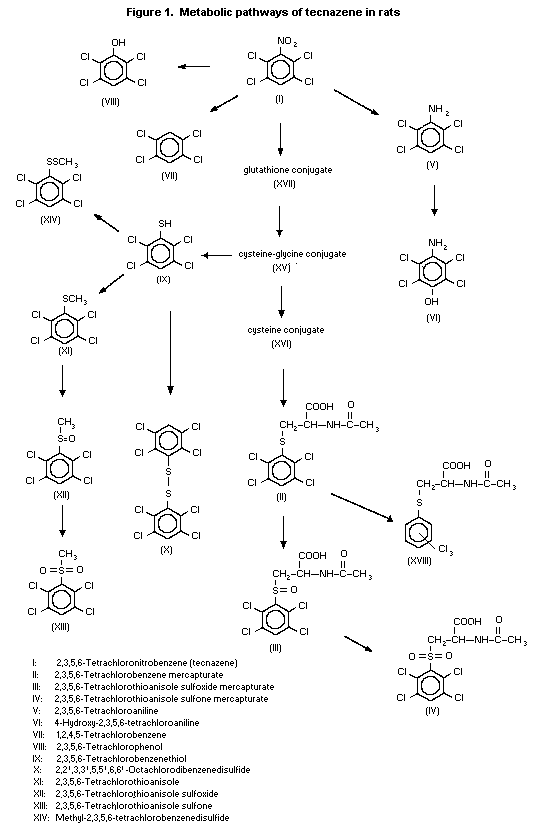
         Alpk:APfSD rats of each sex received 14C-tecnazene as one
    oral dose of 1 mg/kg bw or four daily doses of 135 mg/kg bw, and
    their urine and faeces were collected. Metabolites were also
    determined in bile from one male and one female rat given one oral
    dose of 135 mg/kg bw. Females given 1 mg/kg bw excreted 75% of the
    radiolabel in urine and 25% in faeces, while males excreted 50% in
    urine and 50% in faeces. After a single dose of 135 mg/kg bw, males
    excreted 80% of the radiolabel in bile, 5% in urine and 5% in
    faeces, and females excreted 35% in bile, 35% in urine and 15% in
    faeces. Tecnazene was extensively metabolized: 16 metabolites were
    identified in urine and bile, and the chemical structures of an
    additional two metabolites were partially elucidated (Figure 1). A
    total of 42 metabolites were separated as radiolabelled peaks by
    high-performance liquid chromatography, although many of these
    represented less than 0.1% of the administered dose. The principal
    route of metabolism was via the tetrachlorobenzene-glutathione
    conjugate pathway. There was evidence of enterohepatic circulation,
    leading to the excretion of tetrachlorobenzene mercapturate and
    corresponding S-oxidation products in the urine. Tecnazene was also
    metabolized by minor pathways, including ß-lyase-mediated metabolism
    and formation of tetrachlorobenzenethiol, probably from the cysteine
    conjugate, which resulted in a number of minor sulfur-containing
    metabolites. Tecnazene also underwent loss of the nitro moiety,
    resulting in tetrachlorobenzene and replacement of the nitro moiety
    with a hydroxyl group, to give tetrachlorophenol. The nitro moiety
    of tecnazene was also reduced, resulting in the formation of
    tetrachloroaniline which is hydroxylated to form
    4-hydroxytetrachloroaniline (Lappin & Pritchard, 1992).

         Tecnazene was administered to groups of one to six female
    rabbits, weighing 2-3 kg, at single doses of 0.01, 0.1, 0.5, 1.5 or
    3 g by stomach tube as suspensions in water. Most of the material
    (60-70%) was recovered in the faeces within three days; the
    remainder (35-38%) was excreted in the urine, primarily as
    conjugated products. The average percentages of the dose excreted in
    urine were 12% as 2,3,5,6-tetrachloroaniline, 12% as glucuronide, 1%
    as ethereal sulfate and 11% as mercapturic acid. Some
    4-amino-2,3,5,6-tetrachlorophenol was excreted unconjugated (Bray
     et al., 1953).

    FIGURE 01

         Other polychlorinated nitrobenzenes, such as
    2,3,4,6-tetrachloronitrobenzene and pentachloro-nitrobenzene, also
    form mercapturic acids  in vivo. Pentachlorophenyl mercapturic acid
    was the major metabolite of pentachloronitrobenzene in the urine of
    rats (Renner, 1980) and rabbits (Betts  et al., 1955).

    2.  Toxicological studies

         Aromatic nitro compounds are of considerable importance not
    only as pesticides, e.g. tecnazene and quintozene
    (pentachloronitrobenzene), but also as solvents and synthetic
    intermediates for many technical products. Nitrobenzene is toxic and
    is readily absorbed through the skin. In cases of acute poisoning,
    haematological changes occur, such as decreased haemoglobin level
    and methaemoglobinaemia; and symptoms of intoxication, such as
    vomiting, colic, headaches, breathlessness and cyanosis, are seen.
    Additional effects on the central nervous system result in anxiety
    and convulsions. A variety of nitrophenols affect the release of
    acetylcholine at nerve endings in the small intestine and certain
    muscles. Individual nitro aromatic compounds can cause specific
    symptoms of poisoning in addition to the general ones described
    above. Chronic poisoning with nitroaromatic compounds results in
    cirrhosis or acute atrophy of the liver. Allergic reactions are
    caused by 1-chloro-2,4-dinitrobenzene, probably by an
    antigen-antibody reaction which results after the dinitrophenyl
    group is bound covalently to natural proteins. In early studies,
    pentachloronitrobenzene caused liver abnormalities, such as
    single-cell necrosis, fatty metamorphosis of hepatocytes and
    enlarged centrilobular hepatocytes.

    (a)  Acute toxicity

         Two early studies in which rats were given an aqueous
    suspension of tecnazene orally or intraperitoneally indicated little
    acute toxicity, the LD50 values being 7500 and 3500 mg/kg bw,
    respectively (Annex I, references 23 and 31). The LD50 values for
    tecnazene (purity, 96%) administered orally to rats in corn oil were
    2000 mg/kg bw in males and 1300 mg/kg bw in females (Barber, 1985).

    (b)  Short-term toxicity

    Mice

         Groups of 12 mice were fed tecnazene in the diet at levels of
    0, 1344 or 13 440 ppm, equivalent to 0, 202 or 2016 mg/kg bw per
    day, for 31 days, after which they were killed. Body weights were
    measured at the start and end of the study, and food consumption was
    determined daily. Mice receiving the high dose did not gain body
    weight during the 31-day period. The NOAEL was 1344 ppm, equivalent
    to 202 mg/kg bw per day (Buttle & Dyer, 1950).

         A group of 24 mice were fed tecnazene in the diet at a dose of
    10 000 mg/kg bw per day. When deaths occurred within three to four
    days, the study was discontinued. Animals were found to have fatty
    degeneration of the liver and fatty changes in the spleen and kidney
    (Buttle & Dyer, 1950).

    Rats

         Groups of five rats were fed tecnazene in the diet at doses of
    0, 800, 4000 or 20 000 ppm, equivalent to 0, 40, 200 or 1000 mg/kg
    bw per day, for 10 weeks. Deaths occurred at the highest dose, and
    growth was reduced at 4000 ppm. The NOAEL was 800 ppm, equivalent to
    40 mg/kg bw per day (Buttle & Dyer, 1950).

         Groups of 12 male and 12 female randomly selected Alpk:APfSD
    rats weighing 120-124 g (males) and 111-116 g (females) were fed
    diets containing tecnazene (purity, 98.7%) at concentrations of 0,
    50, 500 or 5000 ppm, equal to 0, 4.5, 45 or 500 mg/kg bw per day in
    males and 0, 4.9, 49 or 500 mg/kg bw per day in females, for 90
    days. All animals were observed daily for mortality and signs of
    toxicity, and body weight and food consumption were recorded weekly.
    Animals in the control and high-dose groups underwent
    ophthalmoscopic examinations during the week before sacrifice. After
    sacrifice, haematology, clinical chemistry, gross pathology and
    histopathology were undertaken on all rats. Administration of 5000
    ppm tecnazene was associated with reduced body-weight gain
    throughout the study and with an associated reduction in food
    consumption and efficiency of food use during week 1. The marked
    effect on body weight was reflected in reduced plasma triglyceride
    levels, plasma alanine transaminase and creatine kinase activities
    and erythrocyte parameters and changes in the levels of total plasma
    protein and urea. The liver was identified as a target organ:
    Increased liver weight and hepatic aminopyrine-N-demethylase
    activity were seen at 500 and 5000 ppm, with histological evidence
    of hepatic hypertrophy at 5000 ppm, indicating an adaptive change.
    Increased plasma alkaline phosphatase activity and cholesterol
    levels were noted at 5000 ppm, and to a lesser extent for males at
    500 ppm. In the absence of adverse histopathological findings,
    however, these changes were considered not to be of toxicological
    significance. The kidney was also identified as a target organ.
    Increased kidney weight was seen in males and females given 5000
    ppm, which, in the absence of histopathological change, reflects a
    possible adaptive response. Mild renal functional changes, indicated
    by signs of urinary incontinence (wetness or staining around the
    urogenital area), decreased specific gravity and cloudy urine, were
    noted at 5000 ppm. Urinary incontinence was also observed at 500 ppm
    in females. On the basis of general toxicity, including the adaptive
    effects in the liver and kidneys, the NOAEL was 500 ppm, equal to 45
    mg/kg bw per day (Horner, 1992).

    Dogs

         Groups of four male and four female beagle dogs were given
    tecnazene (purity, 98.7%) at 0, 2, 15 or 200 mg/kg bw per day for 90
    days. Blood samples were taken before treatment and at weeks 4, 8
    and 13 and tested for changes in haematological parameters and
    clinical chemistry. Food consumption and clinical observations were

    recorded daily, body weight was recorded weekly, and ophthalmoscopic
    examinations were done before treatment and before sacrifice. All
    dogs were examined by gross pathology and histopathology. Body
    weight was reduced in animals of each sex at 200 mg/kg bw per day,
    but food consumption was unaffected by treatment. The liver was
    identified as the target organ, since evidence for an adaptive
    response was seen in all treated groups in the form of a
    dose-related increase in liver aminopyrine- N-demethylase activity.
    At 200 mg/kg bw per day, there was a more marked response, including
    increased alkaline phosphatase activity, increased liver weight (>
    60%) and histopathological changes typical of increased
    proliferation of the smooth endoplasmic reticulum. Altered liver
    function at this dose was indicated by changes in most clinical
    chemical parameters and small changes in some haematological
    parameters, including increased clotting times, platelet counts and
    mean cell volumes. Minimal alterations in liver weight (19%) and
    clinical chemical parameters were also seen in females receiving 15
    mg/kg bw per day. A slight increase in liver weight in males at 15
    mg/kg bw per day was due mainly to the response in one dog. Changes
    in organ weights of animals at 200 mg/kg bw per day were not
    associated with histopathological abnormalities induced by
    tecnazene, although there was evidence of delayed sexual maturation
    in males that was consistent with the reduced growth of these
    animals. On the basis of body-weight reduction and the adaptive
    effect on the liver, the NOAEL in this study was 15 mg/kg bw per day
    (Hodge, 1992).

         Two male and two female beagle dogs were given capsules
    containing tecnazene at concentrations of 0, 3.8, 15, 60 or 240
    mg/kg bw per day, six days per week for two years. All of the dogs
    receiving the highest dose died during the first year of the study,
    and microscopic changes were noted in the liver, kidney and bone
    marrow. At 60 mg/kg bw per day, growth was normal, but serum
    alkaline phosphatase activity was increased. No effects were seen on
    haematological, urological or electrocardiographic parameters. The
    NOAEL was 15 mg/kg bw per day for animals of each sex (summarized in
    Annex I, reference 23).

    (c)  Long-term toxicity and carcinogenicity

    Mice

         Groups of 65 male and 65 female CD-1 mice were fed 0, 750 or
    1500 ppm tecnazene (purity, > 99.0%) in the diet for 80 weeks,
    equal to 0, 78 or 155 mg/kg bw per day in males and 0, 86 or 174
    mg/kg bw per day in females. The mice were observed daily for
    clinical signs. Those that died during the first 13 weeks of the
    study were submitted to a macroscopic necropsy and replaced by
    reserve animals on the same treatment. Body weights were recorded
    weekly during the first 12 weeks and every two weeks thereafter.
    Food consumption was assessed weekly, and water intake was assessed

    daily by visual inspection. At the end of study, all mice were
    examined by gross pathology and histopathology. A total of 237 mice
    (131 males and 106 females) died or were killed  in extremis, but
    the group distribution, time and cause of death were not related to
    treatment. Body weights and food and water intakes of treated mice
    were similar to those of the untreated controls throughout the
    study. The pattern of non-neoplastic pathological effects was
    unchanged by treatment, and treatment had no effect on tumour type
    or incidence. The NOAEL was 1500 ppm, equal to 155 mg/kg bw per day
    (Ben-Dyke  et al., 1978a).

    Rats

         Groups of 65 male and 65 female CD rats were fed tecnazene
    (purity, > 99.0%) in the diet at 0, 750 or 1500 ppm for 104 weeks,
    equal to 0, 27 or 56 mg/kg bw per day in males and 0, 32 or 63 mg/kg
    bw per day in females. Animals were observed daily for clinical
    signs. Those that died during the first 13 weeks of the study were
    submitted to macroscopic necropsy and replaced by reserve animals on
    the same treatment. Body weights were recorded weekly during the
    first 12 weeks and every two weeks thereafter. Food consumption was
    assessed weekly, and water intake was assessed daily by visual
    inspection. At the end of study, all mice were examined by gross
    pathology and histopathology. The few signs seen during treatment
    were considered not to be of biological significance. Mortality
    rates, body weights, food intakes and efficiency of food use were
    not affected by treatment. The range of macroscopic changes seen at
    necropsy were those commonly seen in CD rats. There were some
    differences between groups in the incidences of pituitary adenomas
    and mammary gland tumours, but these were considered not to be
    related to treatment. The incidences of other tumour types were
    similar in treated and control groups. The NOAEL was 1500 ppm, equal
    to 56 mg/kg bw per day (Ben-Dyke  et al., 1978b).

    (d)  Reproductive toxicity

    Rats

         Groups of 30 male and 30 female Alpk:APfSD (Wistar-derived)
    rats, four to five weeks old, were fed diets containing tecnazene
    (purity, 98.7%) at 0, 300, 1000 or 5000 ppm, equal to 32, 106 or 571
    mg/kg bw per day in males and 34, 113 or 576 mg/kg bw per day in
    females. After 12 weeks, the animals were mated and allowed to rear
    the ensuing F1a litters to weaning. During the pre-weaning phase,
    it became evident that the F1a pups could not tolerate the
    5000-ppm dose, and they and their dams were given control diet from
    days 17-20 for the remainder of the lactation period. The F1a
    offspring were considered to be unsuitable to form the next parental
    generation, so an F1b litter was produced after the parental dose
    had been reduced to 3000 ppm. The F1b offspring and dams at the
    highest dose were also given control diet during the pre-weaning

    phase because of poor weight gain of the pups (from days 21-25, and
    earlier for a few litters born later); however, the F1 parents
    were selected from among the F1b offspring. The highest dietary
    level was further reduced to 2000 ppm, and these animals were
    allowed to produce the F2a litter after a 12-week pre-mating
    period. Diets containing 0, 300, 1000 or 2000 ppm tecnazene, equal
    to 31, 103 or 220 mg/kg bw per day in males and 34, 111 or 235 mg/kg
    bw per day in females, were then fed continuously throughout the
    remainder of the study.

         Dietary administration of 5000 ppm tecnazene was associated
    with reduced body-weight gain and food consumption during the
    pre-mating period, but 300 or 1000 ppm had no adverse effects. A
    dose-related incidence of signs of urinary incontinence (wetness or
    staining around the urogenital area) was seen in treated animals,
    but the significance of this finding was uncertain. A clear,
    dose-related effect on the offspring was associated with
    administration of 3000 or 5000 ppm tecnazene. At the highest dietary
    level, pup survival, clinical condition and growth were adversely
    affected; only pup growth was affected by 3000 ppm. Doses of 2000
    ppm or less had no adverse effect on pup growth or survival.
    Treatment induced a dose-related increase in kidney weight in males
    of both generations, but no corresponding histological change was
    observed. Increased liver weight was seen in both parents and
    offspring at all dietary levels of tecnazene; histological changes
    indicative of an adaptive response were observed in adults receiving
    1000 ppm or more but not in those receiving 300 ppm or in any of the
    offspring. The increased organ weights were considered to reflect an
    adaptive response and, in the absence of histological change, were
    considered to be of no toxicological significance. Tecnazene did not
    affect reproductive performance in either generation. The NOAEL for
    maternal toxicity was 1000 ppm, equal to 103 mg/kg bw per day. The
    NOAEL for filial toxicity and reproductive toxicity was 2000 ppm,
    equal to 220 mg/kg bw per day (Moxon, 1992).

    (e)  Embryotoxicity and teratogenicity

    Rats

         Groups of 24 pregnant Alpk:APfSD (Wistar-derived) rats, 12
    weeks of age, were treated by gavage with tecnazene (purity, 98.7%)
    at 0, 15, 50 or 150 mg/kg bw per day on days 7-16 of gestation. The
    females were observed daily for clinical signs of toxicity and were
    killed on day 22 of gestation. They were examined by gross
    pathology, and their uteri were examined for live fetuses and
    intra-uterine deaths. The fetuses were weighed, examined for
    external visceral abnormalities, sexed, eviscerated and stained for
    skeletal examination, and the number of implantations was
    determined. Administration of 150 mg/kg bw per day resulted in a
    statistically significant reduction in body-weight gain of dams,
    particularly on days 7-10; no maternal toxicity was apparent at

    lower doses. Overall, there was an increased number of fetuses with
    minor skeletal defects (unossified centra of the third and fourth
    cervical vertebrae) and an increased incidence of some skeletal
    variants (partially ossified transverse processes of the seventh
    cervical vertebrae and of the fourth lumbar vertebrae) at 150 mg/kg
    bw per day. There was no evidence of embryo- or fetotoxicity or
    teratogenicity at any dose. The NOAEL for maternal toxicity and for
    embryo- and fetotoxicity was 50 mg/kg bw per day, on the basis of
    effects on body weight and minor skeletal defects, respectively
    (Whiles, 1991).

    Rabbits

         Tecnazene (purity, 98.7%) was administered in corn oil by
    gavage to groups of 20 pregnant New Zealand white rabbits at 0, 15,
    45 or 135 mg/kg bw per day on days 7-19 of gestation. The animals
    were killed on day 30 of gestation and their uteri examined for live
    fetuses and intra-uterine deaths. The fetuses were weighed, examined
    for external and visceral abnormalities, sexed, eviscerated and
    processed for skeletal examination. Two animals given 135 mg/kg bw
    per day were killed when moribund on days 20 and 27 of gestation;
    the death that occurred on day 20 was considered to be related to
    treatment, as it was associated with adverse clinical signs, poor
    food consumption and body-weight loss. There was no evidence of
    overt toxicity in the remaining animals in this group or in animals
    given 15 or 45 mg/kg bw per day, and there was no treatment-related
    effect on the litters. A total of 27 major defects were seen in 18
    fetuses from 14 litters. Of these defects, 13 occurred in controls,
    and treatment did not appear to have affected the overall incidence
    of major defects. Four minor skeletal defects or variants were noted
    at 45 or 135 mg/kg bw per day, which were considered to represent a
    minimal effect of tecnazene on fetal development. These defects
    included slightly increased manus scores at 45 and 135 mg/kg bw per
    day, marginally increased incidences of 27 pre-sacral vertebrae and
    extra thirteenth ribs and a slightly increased incidence of
    misshapen hyoid at 135 mg/kg bw per day. The NOAEL for maternal
    toxicity was 45 mg/kg bw per day on the basis of adverse clinical
    signs and body-weight loss, and the NOAEL for embryo- and
    fetotoxicity was 15 mg/kg bw per day, on the basis of minor skeletal
    defects (Hopkins, 1991).

    (f)  Genotoxicity

         The results of tests for the genotoxicity of tecnazene are
    summarized in Table 1.


    
    Table 1.  Results of tests for the genotoxicity of tecnazene
                                                                                                        
    End-point     Test system           Concentration       Purity  Results     Reference
                                        of tecnazene        (%)
                                                                                                        

    In vitro
    Reverse       S. typhimurium TA98,  0.32-1000 µg/plate  NR      Negativea   Cattanach & Riach, 1989
     mutation      100, 1535, 1538

    Forward       Mouse lymphoma        1-50 µg/ml          97.1    Negativeb   Adams et al., 1989
     mutation      cells (L5178Y)                                   Positivec
     at tk locus

    Chromosomal   Human                 20 µg/ml            97.1    Negativea   Brooker et al., 1989
     aberration    lymphocytes          80 µg/ml                    Negativec
                                        80 µg/ml                    Positiveb
                                        160 µg/ml                   Positivea

    In vivo
    Micronucleus  C57Bl/6               1160-1860 mg/kg bw  97.1    Negative    Randall & Howard, 1989
     formation     JfCD 1/Alpk
                   mice
                                                                                                        

    a In the presence and absence of metabolic activation
    b In the presence of metabolic activation
    c In the absence of metabolic activation


    
    3.  Observations in humans

         No information was available.

    Comments

         After oral administration of radiolabelled tecnazene to rats,
    about 90% of the dose was recovered within 48 h. Excretion was
    divided almost equally between urine and faeces in males but
    occurred predominantly (80%) via the urine in females. The remainder
    of the dose was excreted more slowly, and radioactivity was still
    detectable in urine and faeces seven days after dosing. Negligible
    levels of radioactivity were detected in expired carbon dioxide.
    Whole-body autoradiography showed that 24 h after dosing the highest
    concentrations of radioactivity were located in the intestinal
    contents of animals of each sex; the highest tissue concentrations
    were found in the kidney, liver and the nasal passages.

         Tecnazene is extensively metabolized in rats. A total of 42
    metabolites have been separated from urine and bile, of which 16,
    including the parent compound, have been identified. The principal
    route of metabolism is via the tetrachlorobenzene glutathione
    conjugate pathway. Metabolites present in urine and faeces include
    the tetrachloro-phenyl-mercapturate conjugate, tetrachloroaniline
    and tetrachlorothioanisole. The pattern of metabolites in urine and
    faeces is the same in male and female rats, but the quantities
    differ.

         In female rabbits, about 70% of an oral dose of tecnazene was
    recovered in the faeces within three days. The remainder was
    excreted in urine, primarily as glucuronide, sulfate and mercapturic
    acid conjugates of 2,3,5,6-tetrachloroaniline. Some unconjugated
    4-amino-2,3,5,6-tetrachlorophenol was also excreted.

         Tecnazene has low oral toxicity in rats. WHO (1992) has
    classified tecnazene as unlikely to present an acute hazard in
    normal use.

         In a 90-day study in rats fed dietary concentrations of 0, 50,
    500 or 5000 ppm, the NOAEL was 500 ppm, equal to 45 mg/kg bw per
    day, on the basis of effects on body-weight gain and on the liver
    and kidneys.

         In a 90-day study in dogs given 0, 2, 15 or 200 mg/kg bw per
    day orally, the NOAEL was 15 mg/kg bw per day on the basis of
    effects on body and liver weights.

         In a two-year study in which dogs were given tecnazene at 0,
    3.8, 15, 60 or 240 mg/kg bw per day orally, the NOAEL was 15 mg/kg
    bw per day, on the basis of elevation of serum alkaline phosphatase
    activity. Owing to the small number of animals and lack of access to
    the original report, data from this study could not be considered in
    establishing an ADI.

         In an 80-week study of carcinogenicity in mice fed dietary
    concentrations of 0, 750 or 1500 ppm, the NOAEL was 1500 ppm, equal
    to 155 mg/kg bw per day. There was no evidence of carcinogenicity
    and no effect on body weight, mortality or clinical signs.

         In a 104-week study of carcinogenicity in rats fed 0, 750 or
    1500 ppm, the NOAEL was also 1500 ppm, equal to 56 mg/kg bw per day.
    There was no evidence of carcinogenicity. As no clinical chemical or
    haematological parameters were evaluated in this study, the Meeting
    considered it inadequate for an evaluation of long-term toxicity.

         In a two-generation study of reproductive toxicity in rats fed
    dietary concentrations of 0, 300, 1000 or 5000/2000 ppm, the NOAEL
    for parental toxicity was 1000 ppm, equal to 106 mg/kg bw per day.
    The NOAEL for filial toxicity was 2000 ppm, equal to 220 mg/kg bw
    per day. There were no adverse effects on reproduction.

         In a study of teratogenicity in rats administered 0, 15, 50 or
    150 mg/kg bw per day by gavage, the NOAEL was 50 mg/kg bw per day
    for both maternal toxicity and embryo- and fetotoxicity on the basis
    of reduced body-weight gain and minor skeletal defects,
    respectively. No teratogenic effects were observed.

         In a study of teratogenicity in rabbits administered 0, 15, 45
    or 135 mg/kg bw per day by gavage, the NOAEL was 45 mg/kg bw per day
    for maternal toxicity on the basis of body-weight loss and reduced
    food consumption. The NOAEL was 15 mg/kg bw per day for embryo- and
    fetotoxicity on the basis of minor skeletal defects. No teratogenic
    effects were observed.

         Tecnazene can produce clastogenic effects  in vitro but not
     in vivo. No mutagenicity was observed in bacteria. The Meeting
    concluded that tecnazene is not genotoxic.

         An ADI was established on the basis of an NOAEL of 15 mg/kg bw
    per day for toxicity in the 90-day study in dogs and for embryo- and
    fetotoxicity in the study of teratogenicity in rabbits. Owing to the
    lack of adequate data on the long-term toxicity of the compound, the
    Meeting applied a 1000-fold safety factor to the NOAEL.

    Toxicological evaluation

    Levels that cause no toxic effect

         Mouse:    1500 ppm, equal to 155 mg/kg bw per day (80-week
                   study of carcinogenicity)

         Rat:      500 ppm, equal to 45 mg/kg bw per day (90-day study
                   of toxicity)
                   1500 ppm, equal to 56 mg/kg bw per day (104-week
                   study of carcinogenicity)

         Rabbit:   15 mg/kg bw per day (embryo- and fetotoxicity in a
                   study of teratogenicity)

         Dog:      15 mg/kg bw per day (90-day study of toxicity)

    Estimate of acceptable daily intake for humans

         0-0.02 mg/kg bw

    Studies that would provide information useful for continued
    evaluation of the compound

    1.   One-year study of toxicity in dogs

    2.   Long-term study of toxicity in rats

    References

    Adams, K., Ransome, S.J., Henly, S.M., Kirkpatrick, D., Skinner, N.
    & Bottoms, M.A (1989) An assessement of the mutagenic potential of
    tecnazene using the mouse lymphoma TK locus assay. Unpublished
    report No. ISN 206/89508 from Huntingdon Research Centre Ltd,
    Huntingdon, United Kingdom. Submitted to WHO by Zeneca
    Agrochemicals, Fernhurst, Haslemere, United Kingdom.

    Barber, J.E. (1985) Tecnazene: acute oral toxicity study.
    Unpublished report No. CTL/P/1232 from Imperial Chemical Industries
    PLC, Central Toxicology Laboratory, Macclesfield, United Kingdom.
    Submitted to WHO by Zeneca Agrochemicals, Fernhurst, Haslemere,
    United Kingdom.

    Ben-Dyke, R., McSheehy, T.W., Cummins, H.A., Finn, J.P. & Newman,
    A.J. (1978a) Tecnazene: oncogenic response in mice to continuous
    dietary administration for 80 weeks. Unpublished report No. 78/ILY
    19/080 from Life Science Research, Stock, United Kingdom. Submitted
    to WHO by Zeneca Agrochemicals, Fernhurst, Haslemere, United
    Kingdom.

    Ben-Dyke, R., McSheehy, T.W., Cummins, H.A., Finn, J.P. & Newman,
    A.J. (1978b) Tecnazene: carcinogenic response in rats to dietary
    administration for 104 weeks. Unpublished report No. 78/ILY 20/078
    from Life Science Research, Stock, United Kingdom. Submitted to WHO
    by Zeneca Agrochemicals, Fernhurst, Haslemere, United Kingdom.

    Bentley, M. & Powles, P. (1992) Tecnazene--preliminary examination
    of urinary and faecal metabolites in the rat. Unpublished report No.
    7119-72/305 from Hazleton United Kingdom, Harrogate, United Kingdom.
    Submitted to WHO by Zeneca Agrochemicals, Fernhurst, Haslemere,
    United Kingdom.

    Betts, J.J., James, S.P. & Thorpe, W.V. (1955) The metabolism of
    pentachloronitrobenzene and 2:3:4:6-tetrachloronitrobenzene and the
    formation of mercapturic acids in the rabbit.  Biochem. J., 61,
    611-617.

    Bratt, H. (1991) Tecnazene: Excretion and tissue retention of a
    single oral dose (1 mg/kg) in the rat. Unpublished report No.
    CTL/P/3202 from ICI Central Toxicology Laboratory. Submitted to WHO
    by Zeneca Agrochemicals, Fernshurst, Haslemere, United Kingdom.

    Bray, H.G., Hybs, Z., James, S.P. & Thorpe, W.V. (1953) The
    metabolism of 2:3:5:6- and 2:3:4:5-tetrachloronitrobenzenes in the
    rabbit and the reduction of aromatic nitro compounds in the
    intestine.  Biochem. J., 53, 266-273.

    Bray, H.G., Franklin, T.J. & James, S.P. (1959) The formation of
    mercapturic acids. 3. N-Acetylation of S-substituted cysteines in
    the rabbit, rat and guinea pig.  Biochem. J., 73, 465-473.

    Brooker, P.C., Akhurst, L.C. & King, J.D. (1989) Tecnazene:
    metaphase chromosome analysis of human lymphocytes cultured  in
     vitro. Unpublished report No. ISN 207/89289 from Huntingdon
    Research Centre Ltd, Huntingdon, United Kingdom. Submitted to WHO by
    Zeneca Agrochemicals, Fernhurst, Haslemere, United Kingdom.

    Buttle, G.A.H. & Dyer, F.J. (1950) Experiments on the toxicology of
    2,3,5,6-tetrachloronitrobenzene.  J. Pharm. Pharmacol., 2, 371-375.

    Cattanach, P.J. & Riach, C.G. (1989) Tecnazene: testing for
    mutagenic activity with Salmonella typhimurium TA 1535, TA 1537, TA
    1538, TA 98 and TA 100. Unpublished report No. 4872 from Inveresk
    Research International, United Kingdom. Submitted to WHO by Zeneca
    Agrochemicals, Fernhurst, Haslemere, United Kingdom.

    Donikian, M., Owen, S.D., Wiland, J. & Drobeck, H.P. (1965) Oral
    administration of 2,3,5,6-tetrachloronitrobenzene to beagle dogs for
    two years. Unpublished report from Sterling Winthrop Research
    Institute (1974 Evaluations of some pesticide residues in food, WHO
    1975).

    Hodge, M.C.E. (1992) Tecnazene: 90 day oral dosing study in dogs.
    Unpublished report No. CTL/P/3614 from ICI Central Toxicology
    Laboratory, Macclesfield, United Kingdom. Submitted to WHO by Zeneca
    Agrochemicals, Fernhurst, Haslemere, United Kingdom.

    Hopkins, M.N. (1991) Tecnazene: Teratogenicity study in the rabbit.
    Unpublished report No. CTL/P/3184 from ICI Central Toxicology
    Laboratory, Macclesfield, United Kingdom. Submitted to WHO by Zeneca
    Agrochemicals, Fernhurst, Haslemere, United Kingdom.

    Horner, J.M. (1992) Tecnazene: 90-day feeding study in rats.
    Unpublished report No. CTL/P/3648 from ICI Central Toxicology
    Laboratory, Macclesfield, United Kingdom. Submitted to WHO by Zeneca
    Agrochemicals, Fernhurst, Haslemere, United Kingdom.

    Lappin, G.J. & Pritchard, D.J. (1992) Tecnazene: Biotransformation
    in the rat. Unpublished report No. CTL/P/3731 from ICI Central
    Toxicology Laboratory, Macclesfield, United Kingdom. Submitted to
    WHO by Zeneca Agrochemicals, Fernhurst, Haslemere, United Kingdom.

    Moxon, M.E. (1992) Tecnazene: multigeneration study in the rat.
    Unpublished report No. CTL/P/3596 from ICI Central Toxicology
    Laboratory, Macclesfield, United Kingdom. Submitted to WHO by Zeneca
    Agrochemicals, Fernhurst, Haslemere, United Kingdom.

    Randall, V. & Howard, C.A. (1989) Tecnazene: an evaluation in the
    mouse micronucleus test. Unpublished report No. CTL/P/2632 from ICI
    Central Toxicology Laboratory, Macclesfield, United Kingdom.
    Submitted to WHO by Zeneca Agrochemicals, Fernhurst, Haslemere,
    United Kingdom.

    Renner, G. (1980) Metabolic studies on pentachloronitrobenzene
    (PCNB) in rats.  Xenobiotica, 10, 537-550.

    Whiles, A.J. (1991) Tecnazene: Teratogenicity study in the rat.
    Unpublished report No. CTL/P/3193 from ICI Central Toxicology
    Laboratory, Macclesfield, United Kingdom. Submitted to WHO by Zeneca
    Agrochemicals, Fernhurst, Haslemere, United Kingdom.


    See Also:
       Toxicological Abbreviations
       Tecnazene (EHC 42, 1984)
       Tecnazene (HSG 12, 1988)
       Tecnazene (WHO Pesticide Residues Series 4)
       Tecnazene (Pesticide residues in food: 1978 evaluations)
       Tecnazene (Pesticide residues in food: 1981 evaluations)