IPCS INCHEM Home

    CHLORFENVINPHOS

    First draft prepared by
    M.F.A. Wouters & P.H. van Hoeven-Arentzen
    National Institute of Public Health and Environmental Protection,
    Bilthoven, Netherlands

         Explanation
         Evaluation for acceptable daily intake
              Biochemical aspects
                   Absorption, distribution and excretion
                   Biotransformation
                   Effects on enzymes and other biochemical parameters
              Toxicological studies
                   Acute toxicity
                   Short-term toxicity
                   Long-term toxicity and carcinogenicity
                   Reproductive toxicity
                   Embryotoxicity and teratogenicity
                   Genotoxicity
                   Special studies
                        Skin and eye irritation and skin sensitization
                        Cholinesterase inhibition and related
                             pharmacological and neurotoxic effects
                        Hormone concentrations
                        Porphyrigenic potential
                   Observations in humans
                   Comments
                   Toxicological evaluation
              References

    Explanation

         Chlorfenvinphos was evaluated by the Joint Meeting in 1971
    (Annex I, reference 16), which allocated an ADI of 0-0.002 mg/kg bw.
    The technical material contains not less than 90% chlorfenvinphos
    with an approximate E:Z isomer ratio of 1:8.6; a typical sample
    contains 9.5% E and 82.3% Z isomer.

         The compound was re-evaluated by the present Meeting as a
    result of the CCPR periodic review programme. This monograph
    summarizes the data received since the previous evaluation,
    comprising short-term studies in mice and dogs, long-term studies in
    mice and rats, a study of reproductive toxicity in rats and studies
    on embryotoxicity and teratogenicity in rats and rabbits. It also
    includes relevant studies from the previous monograph (Annex I,
    reference 17).

    Evaluation for acceptable daily intake

    1.  Biochemical aspects

    (a) Absorption, distribution and excretion

         Six male and six female rats (strain not specified) given a
    dose of 2 ppm of [14C-vinyl]-chlorfenvinphos (3.0 µCi/mg) excreted
    52-77% of the radiolabel in urine within 24 h. An additional 6.1-26%
    was excreted during the next 24 h. Faecal elimination comprised 11%
    of the radiolabel, and a further 1.4% was excreted via the lungs
    within 96 h, by which time the entire dose had been excreted. In the
    same study, two male and two female dogs (strain not specified) fed
    capsules containing 0.3 ppm [14C-vinyl]-chlorfenvinphos (8.0 µCi)
    excreted 86% (83-91%) of the administered radiolabel in urine and
    4.1% in faeces within 24 h (Hutson  et al., 1967; Annex I,
    reference 17).

         After administration of 25-30 ppm to young rats (strain not
    specified), unchanged chlorfenvinphos was detected in peripheral
    blood. A dog that received 88 mg/kg in feed had similar
    concentrations of unchanged chlorfenvinphos in peripheral blood
    after a similar interval (Hutson & Hathway, 1967; Annex I, reference
    17).

         After intramuscular injection of a single 233-mg dose of
    14C-chlorfenvinphos (647 µCi) into a lactating cow, only 0.2% of
    the radiolabel appeared in the milk, mainly during the first two
    milkings. Unchanged chlorfenvinphos represented 75% of the
    radiolabel (Hunter, 1969a; Annex I, reference 17).

         Oral administration of a single 12.5-mg dose of
    14C-chlorfenvinphos (35.1 µCi) to an adult man resulted in rapid
    elimination of radiolabel in the urine: 72% of the dose was excreted
    within 4.5 h and 94% within 24 h (Hutson, 1969; Annex I, reference
    17).

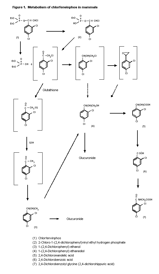
    (b)  Biotransformation

         Oral administration of 2 ppm 14C-chlorfenvinphos to rats
    (strain not specified) was followed by complete metabolism of the
    compound. The urinary metabolites were 2-chloro-1-(2,4-
    dichlorophenyl)vinylethyl hydrogen phosphate (32% of administered
    radiolabel), [1-(2,4-dichlorophenyl)ethyl-ß-D-glucopyranosid]uronic
    acid (41%), 2,4-dichloromandelic acid (7.0%),
    2,4-dichlorophenylethanediol glucuronide (2.6%) and
    2,4-dichlorohippuric acid (4.3%) (Hutson  et al., 1967; Annex I,
    reference 17).

         14C-Chlorfenvinphos was also completely metabolized in dogs
    (strain not specified) that received 0.26 ppm. The proportions of

    urinary metabolites were as follows: 2-chloro-1-(2,4-
    dichlorophenyl)vinylethyl hydrogen phosphate, 70%; [1-(2,4-
    dichlorophenyl)ethyl-ß-D-glucopyranosid]uronic acid, 3.6%;
    2,4-dichloromandelic acid, 13%; 2,4-dichlorophenyl-ethanediol
    glucuronide, 2.7%. 2,4-Dichlorohippuric acid was not detected
    (Hutson  et al., 1967; Annex I, reference 17).

         The milk of a lactating cow given an intramuscular injection of
    0.58 mg/kg bw 14C-chlorfenvinphos contained 0.2% of the
    radiolabel, of which 75% was unchanged chlorfenvinphos; there were
    also small amounts of 2,4-dichloro-acetophenone,
    1-(2,4-dichlorophenyl)ethanol and 2,4-dichloromandelic acid. The
    urinary metabolites comprised 1-(2,4-dichlorophenyl)ethanol and
    1-(2,4-dichlorophenyl)ethanediol. The glucuronides of these
    compounds were not detected (Hunter, 1969a; Annex I, reference 17).

         Five metabolites were identified in the urine of an adult man
    following administration of a single oral dose of 12.5 mg
    14C-chlorfenvinphos. These were
    2-chloro-1-(2,4-dichlorophenyl)vinylethyl hydrogen phosphate, 24%;
    2,4-dichloromandelic acid, 24%; [1-(2,4-dichlorophenyl)-ethyl-ß-D-
    glucopyranosid]uronic acid, 2,4-dichlorophenylethanediol glucuronide
    and 2,4-dichlorobenzoyl glycine (Hutson, 1969; Annex I, reference
    17).

         Pretreatment of CFE rats for 12 days with 200 ppm dieldrin, an
    inducer of the monooxygenase system, afforded a 10-fold protection
    against the acute toxic effects of chlorfenvinphos. At a dose of 2.5
    mg/kg bw chlorfenvinphos, dieldrin pretreatment brought about
    minimal changes in the metabolic profile; however, in rats treated
    with 13 mg/kg bw chlorfenvinphos, animals that had not received
    dieldrin pretreatment showed clinical signs of intoxication, while
    the pretreated rats had a four-fold increase in the yield of
    de-ethyl-chlorfenvinphos and more rapid urinary excretion (66%
    compared with 16% without pretreatment during the first 12 h)
    (Hutson & Wright, 1980).

         The acute oral toxicity of chlorfenvinphos in Fischer 344 rats
    was also reduced by pretreatment with chlorfenvinphos. Protection
    was seen after 8 h and became maximal 24 h after oral pretreatment
    at a dose of 15 mg/kg bw. A maximal three-fold increase in the
    LD50 was seen, but there were no changes in the type of toxic
    signs or time of death. The protection was related to a decrease in
    the plasma concentration of chlorfenvinphos and to reduced
    inhibition of brain cholinesterase. The same single oral
    pretreatment increased chlorfenvinphos metabolism to 178% in the
    hepatic microsomal fraction and increased various indicators of
    cytochrome P450-related biotransormation activity. Pharmacokinetic
    analysis of protection against the acute toxicity of succeeding
    doses suggested that the decrease in plasma concentration was
    correlated to the induction of the hepatic biotransformation and

    possibly to a greater uptake of chlorfenvinphos by the liver and
    reduced uptake by the intestines (Ikeda  et al., 1990, 1991, 1992).

    (c)  Effects on enzymes and other biochemical parameters

         The de-ethylation of radiolabelled chlorfenvinphos  in vitro
    was investigated in liver slices from mice, rats, rabbits and dogs.
    In all of the preparations, chlorfenvinphos was converted to
    2-chloro-1-(2,4-dichlorophenyl)vinylethyl hydrogen phosphate. The
    catalysing enzyme was located in the microsomal fraction of liver
    homogenates and was found to be dependent on NADPH and oxygen. The
    mechanism of dealkylation involved hydroxylation of the alpha-carbon
    atom of an alkyl group, which was removed as the corresponding
    aldehyde. An inverse correlation was observed between the oral
    LD50 and the rate of de-ethylation, the conversion rates being 1
    in rats, 8 in mice, 24 in rabbits and 88 in dogs (Donninger  et
     al., 1972).

         The rates of oxidative metabolism (O-de-ethylation) by liver
    preparations from rats, rabbits and human beings  in vitro have
    also been compared. As in the study described above, rats had a much
    lower conversion rate than rabbits. When the results were expressed
    in terms of cytochrome P450, detoxification of chlorfenvinphos by
    human liver enzymes was almost as effective as that by rabbit
    enzymes (Hutson & Logan, 1986). A proposed metabolic pathway is
    shown in Figure 1.

    2.  Toxicological studies

    (a)  Acute toxicity

         A striking intra-species difference in acute toxicity is seen,
    the oral LD50 values being 9.6-39 mg/kg bw for rats, 117-200 mg/kg
    bw for mice, 125-250 mg/kg bw for guinea-pigs, 300-1000 mg/kg bw for
    rabbits and > 12 000 mg/kg bw for dogs. The dermal LD50 was
    30-108 mg/kg bw for rats and 412-4700 mg/kg bw for rabbits. The
    symptoms recorded were typical of anticholinesterase activity (Annex
    I, reference 17). In male and female Charles River CD rats, the oral
    LD50 of 93.1% pure chlorfenvinphos was 31 mg/kg bw and the dermal
    LD50 was 420 mg/kg bw. The effects observed included tremor,
    fasciculation, salivation, splayed gait, unkempt appearance,
    chromodacryorrhoea, piloerection, hunched posture, salivation,
    hypothermia, tachypnoea and twitching (Gardner, 1992).

         Pretreatment of rats (strain not specified) with 200 ppm
    dieldrin (equivalent to 10 mg/kg bw per day) for 12 days afforded a
    10-fold protection against the acute oral toxic effect of
    chlorfenvinphos (Hutson & Wright, 1980).

    (b)  Short-term toxicity

    Mice

         Groups of 10 male and 10 female NMRI mice were treated with
    chlorfenvinphos (purity, 92.8%) at doses of 0, 1, 10, 100 or 1000
    ppm in the diet (equal to 0.18, 1.9, 18 or 188 mg/kg bw per day for
    males and 0.21, 2.1, 21 or 226 mg/kg bw per day for females) for 28
    days. Treatment did not affect survival, body weight or
    ophthalmoscopic end-points, and macroscopic and microscopic
    examinations showed no effect. Females at the highest dose had a
    slight but significant increase in food consumption during the last
    two weeks of the study, but relative food consumption was not
    significantly increased. The concentration of serum albumin was
    slightly increased in males fed 100 or 1000 ppm, but the increase
    was not related to dose; the total protein concentration was
    increased in males fed 1000 ppm. Plasma cholinesterase activity was
    inhibited in both males and females, by 18-19% in those fed 10 ppm,
    by 79-82% in those treated with 100 ppm and by 94-95% in those at
    1000 ppm. Erythrocyte cholinesterase activity was inhibited by 30%
    in males fed 100 ppm and by 65-66% in males and females fed 1000
    ppm. Brain cholinesterase activity was inhibited by 50-54% in
    animals of each sex fed 1000 ppm; in females, activity was inhibited
    by about 30% in those fed 100 ppm, by 20% in those fed 10 ppm and by
    26% in those fed 1 ppm (not related to dose); in males, 8%
    inhibition was seen in those fed 100 ppm and 22% in those fed 10
    ppm. At 1000 ppm, males had increased relative weights of liver and
    kidney, and females showed increased relative weights of liver and

    heart. The NOAEL was 1 ppm, equal to 0.18 mg/kg bw per day (Tennekes
     et al., 1991).

    Dogs

         In a range-finding study, groups of two male and two female
    pure-bred beagle dogs were fed diets containing 0, 3, 100 or 3000
    ppm chlorfenvinphos (equal to 0.12, 3.9 or 105 mg/kg bw per day) for
    four weeks. No effect was seen on mortality, clinical signs, body
    weight or ophthalmoscopic or haematological end-points; urinalysis
    and macroscopic and microscopic examinations also showed no effect.
    The food intake of two dogs fed 3000 ppm was reduced during the
    first week of treatment and remained reduced in one dog
    throughoutthestudy. In dogs fed 100 or 3000 ppm, a dose-related
    reduction in plasma cholinesterase activity was observed; those fed
    3000 ppm also had a reduction in erythrocyte cholinesterase activity
    and a slight increase in liver weight (Allen  et al., 1992).

         Groups of four male and four female pure-bred beagle dogs were
    fed diets containing 0, 3, 100 or 3000 ppm chlorfenvinphos (equal to
    0.1, 2.8 or 92 mg/kg bw per day for males and 0.1, 3.1 or 93 mg/kg
    bw per day for females) for 52 weeks. No effects were found on
    mortality, clinical signs, ophthalmoscopic or haematological
    parameters or brain cholinesterase activity; urinalysis and
    macroscopic and microscopic examinations also showed no effect. Food
    consumption of animals fed 3000 ppm was reduced during the first
    four to five weeks, and body-weight loss was recorded for most of
    these animals during the first five to six weeks of treatment;
    however, both food consumption and body weight subsequently returned
    to normal. In males fed this dose, the plasma magnesium
    concentration was decreased at 52 weeks; in females, the plasma
    chloride concentration was increased at 26 and 52 weeks, and albumin
    was decreased at 4, 13 and 52 weeks. Plasma cholinesterase activity
    was inhibited by 71-95% in dogs fed 100 or 3000 ppm, and the effect
    was dose-related. In animals fed 3 ppm, a significant 31% reduction
    in plasma cholinesterase activity was observed in males at 52 weeks
    and a 7-10% reduction in females at weeks 8-13. Erythrocyte
    cholinesterase activity was markedly reduced (75-83%) in animals of
    each sex fed 3000 ppm from week 4 onwards. At this dose, the
    relative adrenal weight was increased in males and the relative
    thyroid weight was increased in females. The NOAEL in this study was
    100 ppm, equal to 2.8 mg/kg bw per day (Allen  et al., 1993).

    Figure 1.  Metabolism of chlorfenvinphos in mammals

    FIGURE 01

    (c)  Long-term toxicity and carcinogenicity

    Mice

         In a study designed to determine carcinogenic potential,
    chlorfenvinphos (purity, 92.8%) was administered for 24 months to
    groups of 74 male and 74 female NMRI mice at 1, 25 or 625 ppm in the
    diet, equal to 0.15, 3.7 or 93 mg/kg bw per day for males and to
    0.2, 5.0 or 119 mg/kg bw per day for females. Twelve mice of each
    sex from each group were sacrificed after 52 weeks of treatment; all
    females were killed after 90 weeks of treatment and all males after
    104 weeks. Clinical signs, food consumption, body weight,
    differential leukocyte count, cholinesterase activity and organ
    weights were observed, and macroscopic and microscopic examinations
    were undertaken. Plasma cholinesterase activity was inhibited in
    animals of each sex fed 25 ppm (38-50% inhibition) or 625 ppm
    (87-96%). In males and females fed 625 ppm, erythrocyte
    cholinesterase activity was decreased by 18-66% and brain
    cholinesterase activity by 25-46%. Microscopic examination at
    termination of the experiment showed changes in the adrenal cortex
    of males fed 625 ppm, which included increased incidence and
    intensity of ceroid pigment and focal hypertrophy and increased
    severity of nodular hyperplasia. Tumour incidence was not enhanced.
    No effects were observed at 25 ppm, equal to 3.7 mg/kg bw per day
    (Schmid  et al., 1993).

    Rats

         In a study of both chronic toxicity and carcinogenicity, groups
    of 50 male and 50 female Wistar rats were fed chlorfenvinphos
    (purity, 90.5%) at 0.3, 1, 3 or 30 ppm in the diet (equivalent to
    0.015, 0.05, 0.15 or 1.5 mg/kg bw per day) for 24 months. The
    control group consisted of 100 rats of each sex. Clinical signs,
    body weight and food consumption were observed. At termination,
    organ weights, haematological parameters and the results of clinical
    chemistry, urinalysis and macroscopic and microscopic examinations
    were recorded. Additional groups of 12 rats of each sex were
    examined after 6, 12 and 18 months for haematological and clinical
    chemical parameters including cholinesterase activity; after
    sacrifice, the organs were weighed and animals fed 0, 0.3 or 30 ppm
    chlorfenvinphos were examined macroscopically and histologically.
    Plasma cholinesterase activity was inhibited after six months in all
    treated animals but thereafter only in rats fed 3 or 30 ppm. In
    males and females fed 30 ppm, erythrocyte cholinesterase activity
    was inhibited by about 60% and brain cholinesterase activity by
    about 45%; erythrocyte cholinesterase activity was inhibited by
    about 17% in females fed 1 or 3 ppm after 12 months' exposure. In
    all groups and at all intervals during the study, minor but
    significant changes were seen in the concentrations of alpha-, ß-
    and gamma-globulins. No dose-related or significant macroscopic or
    histological changes were observed, and tumour incidences were not

    enhanced. The NOAEL in this study was 3 ppm, equivalent to 0.15
    mg/kg bw per day (Pickering, 1980).

    (d)  Reproductive toxicity

    Rats

         In a range-finding study, 10 male and 10 female Wistar rats
    were exposed to 0, 5, 25 or 125 ppm chlorfenvinphos (purity, 92.8%)
    mixed with microgranulated feed (equivalent to 0.25, 1.3 or 6.3
    mg/kg bw per day) during a three-week period before mating and
    throughout mating, gestation and lactation. After they had been
    weaned, F1 pups were reared for a further week on their test
    diets. The body-weight gain of males and females fed 125 ppm was
    slightly reduced. Inhibition of erythrocyte and brain cholinesterase
    activity was observed in females fed 5, 25 or 125 ppm and in males
    fed 25 or 125 ppm. Plasma cholinesterase activity was inhibited only
    in females. Reproductive parameters, including mating, gestation,
    parturition, pregnancy rate, lactation and litter characteristics,
    were not affected (Dotti  et al., 1993a).

         In a two-generation study of reproductive toxicity, groups of
    25 male and 25 female Wistar rats were treated with 0, 1, 10 or 100
    ppm chlorfenvinphos (purity, 92.8%) mixed with microgranulated diet,
    equivalent to 0, 0.05, 0.5 or 5 mg/kg bw per day. The diets were fed
    to the parental generation during growth, mating, gestation and
    lactation and to one litter per generation. Clinical signs, body
    weight, food consumption, cholinesterase activity (only in the
    parent generation), mating performance and reproductive parameters
    were observed. The parents were examined histologically; the pups
    were sexed and examined for gross malformations, and the numbers of
    stillborn and live pups were recorded. One male fed 100 ppm died on
    day 10, and reduced body-weight gain and food consumption were noted
    in males and females of the parental and F1 generations at this
    dose. A slight decrease in food consumption was observed in F1
    males and parental and F1 females fed 10 ppm. Plasma
    cholinesterase activity was decreased by 14-78% in males and females
    fed 10 or 100 ppm, and erythrocyte cholinesterase activation was
    inhibited by 35-63% in males and females fed 100 ppm. Brain
    cholinesterase activity was decreased by 32% in males and 38% in
    females fed 100 ppm and by 17% in females fed 10 ppm. In the
    parental generation, post-implantation loss was higher in animals
    fed 10 or 100 ppm than in controls, and postnatal loss was increased
    in rats fed 100 ppm; breeding loss up to the end of lactation was
    higher in animals fed 10 or 100 ppm. In the F1 generation,
    breeding loss was higher than that in controls in animals fed 100
    ppm. At this dose, retardation of body-weight gain was noted in both
    F1 and F2 pups during the lactation period. The NOAEL in this
    study was 1 ppm, equivalent to 0.05 mg/kg bw per day (Dotti  et
     al., 1993b).

    (e)  Embryotoxicity and teratogenicity

    Rats

         Groups of 25 pregnant specific-pathogen-free CrL:COBS CD(SD)BR
    rats were treated by gavage with chlorfenvinphos (purity, > 90%) at
    0, 0.3, 1 or 3 mg/kg bw per day in corn oil on days 6-15 of
    pregnancy. The doses were determined in a preliminary study in which
    doses of 3, 6 and 10 mg/kg bw per day caused dose-related loss of
    body weight. The rats were sacrificed on day 20 of gestation. No
    effects were found on food consumption, pregnancy rate or litter
    parameters, including numbers of fetal deaths, implants, corpora
    lutea and pre- and post-implantation losses, litter weight, fetal
    weight and gravid uteri, or on the incidences of malformations,
    visceral and skeletal anomalies and variations. The only clinical
    effect seen was the occurrence of small faeces in animals fed 3
    mg/kg bw per day from days 3-4 until the end of treatment;
    body-weight gain was slightly decreased in animals fed 3 mg/kg bw
    per day on days 6-20. There was no indication of irreversible
    structural effects. The NOAEL for maternal toxicity in this study
    was 1 mg/kg bw per day, and that for developmental toxicity was 3
    mg/kg bw per day (Mayfield & John, 1986).

    Rabbits

         Pregnant banded Dutch rabbits (21-22 per group) received three
    capsules containing chlorfenvinphos (purity not specified) at 25, 50
    or 100 mg/kg bw per day in corn oil (total volume, 200 µl) on days
    6-18 of gestation. A control group of 32 females was used. The
    rabbits were sacrificed on day 28 of gestation. No effects were
    found on mortality, clinical signs or mean numbers of corpora lutea,
    implantations, resorptions or fetal deaths. Body-weight gain and
    food consumption were reduced in dams fed 100 mg/kg bw per day on
    days 6-12 of gestation. Plasma and erythrocyte cholinesterase
    activities were decreased in dams at all doses, erythrocyte activity
    being decreased by 55-75%. Brain cholinesterase activity was not
    measured. Pre-implantation losses occurred in dams fed 25 or 100
    mg/kg bw per day. No differences in the incidences of visceral or
    skeletal malformations or variations between the groups were
    observed that could be attributed to treatment. There was no
    indication of irreversible structural effects. No NOAEL could be
    established for maternal toxicity; the NOAEL for embryo- and
    fetotoxicity was 100 mg/kg bw per day (Dix  et al., 1979).

         In a limited experiment with rats, rabbits and hamsters, doses
    of 50 mg/kg bw per day and higher increased the incidence of open
    eyes and oedema in hamster dams and decreased the weight and length
    of hamster fetuses (Dzierzawski & Minta, 1979).

    (f)  Genotoxicity

         The results of tests for the genotoxicity of chlorfenvinphos
    are summarized in Table 1.

    (g)  Special studies

    (i)  Skin and eye irritation and skin sensitization

         Chlorfenvinphos (purity, 93.1%), administered to three New
    Zealand white rabbits as a 4-h semi-occluded topical application of
    0.5 ml undiluted compound, caused very slight erythema within 1 h
    after removal of the dressing. The erythema persisted for at least
    48 h after treatment, but all overt effects disappeared within seven
    days. The compound was considered slightly irritating to rabbit skin
    (Gardner, 1992).

         The skin sensitizing potential of chlorfenvinphos was examined
    in two studies in guinea-pigs. In the first study, 10 male and 10
    female Tunstall breeding unit 'P' guinea-pigs received an
    intradermal injection of 0.5% (mol/volume) chlorfinvenphos (purity,
    91.3%) during the induction period, a topical application of the
    undiluted test compound one week later and a challenge application
    of undiluted compound two weeks after that. A control group of five
    male and five female animals was used. No effect was seen in the
    test animals 24 or 48 h after removal of the challenge patches
    (Rose, 1982).

         In the second study, 10 male and 10 female Dunkin-Hartley
    guinea-pigs were given an intradermal induction dose of 2%
    (mol/volume) chlorfenvinphos (purity, 93.1%) and undiluted compound
    for the topical and challenge applications. A control group of five
    male and five female animals was used. Ten of 20 test animals showed
    a positive response after 24 h and nine of the same animals after 48
    h. None of the control animals responded (Gardner, 1992).

         Instillation of 0.1 ml undiluted chlorfenvinphos (purity,
    93.1%) into the eyes of three New Zealand white rabbits caused
    marked constriction of the pupil, slight conjunctival redness,
    slight chemosis and ocular discharge. All signs were reversed within
    24 h. The compound is not considered to irritate the eye (Gardner,
    1992).


    
    Table 1.  Results of tests for the genotoxicity of chlorfenvinphos
                                                                                                                        
    End-point          Test system               Concentration            Purity    Results       Reference
                       of chlorfenvinphos        (%)
                                                                                                                        

    In vitro
    Reverse mutation   S. typhimurium TA98,      25-2025 µg/platea        NR        Negativeb,c   Arni & Müller, 1979
                       100, 1535, 1537

    Reverse mutation   E. coli WP2, WP2 hcr,     250 µg/plate             NR        Negatived     Shirasu  et al., 1976
                       S. typhimurium TA1535,
                       1536, 1537, 1538

    Reverse mutation   S. typhimurium TA98,      Up to 5000 µg/plate      NR        Negativec,d   Moriya  et al., 1983
                       100, 1535, 1537, 1538

    Reverse mutation   S. typimurium TA100       Up to 5000 µg/plate      NR        Positivec,e   Moriya  et al., 1983

    Reverse mutation   S. typhimurium TA98,      Up to 5000 µg/plate      NR        Negativec,e   Moriya  et al., 1983
                       1535, 1537, 1538

    Reverse mutation   S. typhimurium TA98,      0.2-2000 µg/plate        90.5      Negativeb,c   Brooks, 1978
                       100, 1538

    Reverse mutation   E. coli B/r WP2           NR                       > 99      Negativec,d   Dean, 1971
    Reverse mutation   E. coli WP2, WP2 uvrA     0.2-2000 g/plate         90.5      Negativec     Brooks, 1978
    Reverse mutation   E. coli WP2 hcr           Up to 5000 µg/plate      NR        Negativeb,c   Moriya  et al., 1983
    Mitotic gene       Saccharomyces             0.001-5.0 mg/ml; toxic   90.5      Negativec,d   Brooks, 1978
    conversion         cerevisiae JD1            at 0.5, 1.0, 5.0 mg/ml

    Chromosomal        Human lymphocytes         18.8-300 µg/platea,d     93.1      Negativeb,c   Strasser & Arni,
    aberrations                                  15.6-250 µg/platea,e                             1988

    Table 1 (contd)
                                                                                                                        
    End-point          Test system               Concentration            Purity    Results       Reference
                       of chlorfenvinphos        (%)
                                                                                                                        

    In vivo
    Chromosomal        Chinese hamster           25 or 50 mg/kg bw        90.5      Negativec     Dean, 1978
    aberrations        bone marrow               per day for 2 days

    Dominant lethal    CD1 mice (male)           10, 20 or 40 mg/kg bw    90.5      Negativec     Dean & Hend, 1978
    mutation                                     in DMSO
                                                                                                                        

    NR, nor reported; DMSO, dimethyl sulfoxide
    a It is not clear whether chlorfenvinphos was tested: the substance was coded C8949.
    b In the presence and absence of metabolic activation
    c Positive controls were used.
    d In the absence of metabolic activation
    e In the presence of metabolic activation


    

    (ii)  Cholinesterase inhibition and related pharmacological
          and neurotoxic effects

         After oral administration of chlorfenvinphos at 15 mg/kg bw to
    Fischer 344 rats, brain cholinesterase activity was maximally
    inhibited (to about 20% of the control value) at 4 h; the inhibition
    lasted more than 24 h after administration (Ikeda  et al., 1990).

         Groups of 10 male and 10 female Wistar rats were fed dietary
    concentrations of 0, 0.3, 1, 3 or 30 ppm chlorfenvinphos for four
    weeks, or received the same treatments and then received control
    diet for four weeks. Administration of 30 ppm resulted in decreased
    activity of plasma, erythrocyte and brain cholinesterase. Feeding of
    the control diet for four weeks reversed the inhibition of plasma,
    erythrocyte and brain cholinesterase activities, resulting in values
    of 100, 88 and 91%, respectively (Pickering, 1978).

         In a comparison of the lethality of chlorfenvinphos after
    intravenous and oral administration, Sprague-Dawley rats given
    lethal doses by either route showed typical signs of
    anticholinesterase poisoning and marked reductions in brain and
    erythrocyte cholinesterase activity. Anaesthetized and conscious
    rats administered chlorfenvinphos intravenously had hypertension and
    apnoea. After oral administration, breathing stopped before
    cessation of heart beats (Takahashi  et al., 1991).

         The effects of chlorfenvinphos on spontaneous
    electroencephalographic, electromyo-graphic and cholinesterase
    activity in brain and red blood cells was examined in male Wistar
    rats. Single oral doses of 1 mg/kg bw had no effect. Doses over 2
    mg/kg bw induced dose-related inhibition of the cholinesterase
    activity in brain and erythrocytes. Maximal inhibition of brain
    cholinesterase activity was seen 3 h after treatment and lasted for
    more than 72 h. Electroencephalography showed a prominent arousal
    pattern, and the appearance of slow-wave sleep and para-sleep was
    markedly depressed. The duration of the arousal pattern was
    proportional to the dose; however, the awake-sleep cycle returned to
    the control rate on the second day, and an increase in para-sleep
    occurred on the third day (Osumi  et al., 1975).

         In 30 Sprague-Dawley rats fed a diet containing 150 ppm
    chlorfenvinphos (equivalent to 7.5 mg/kg bw per day) for three
    months, no effect was seen on the amplitude of the muscular response
    to nerve stimulation. Electrophysiological effects were signalled
    firstly by a prolonged negative potential after the direct muscle
    response to a single nerve impulse and secondly by repetitive
    activity. These abnormalities became more marked with time. Double
    and repetitive stimulation reduced or abolished the prolonged
    negative potential and repetitive activity (Maxwell & LeQuesne,
    1982).

         Oral administration to male Wistar rats of chlorfenvinphos at
    50% of the LD50 caused maximal inhibition of brain cholinesterase
    activity (to about 15% of the control value) between 2 and 3 h after
    treatment. A significant reduction in brain norepinephrine level was
    seen within 15 min, but no consistent diminution was seen
    subsequently. During exposure at 5% of the LD50 for 12 weeks,
    brain cholinesterase activity was inhibited to 60-80% of control
    values and brain norepinephrine content was significantly decreased,
    with maximal depletion at week 8 (Brzezinski & Wysocka-Paraszewska,
    1980).

         Cholinesterase activity in plasma, erythrocytes and different
    parts of the brain, open-field behaviour and response to change in a
    'T' maze were investigated in two groups of male Wistar rats after
    administration of a single intraperitoneal injection of 1 or 3 mg/kg
    bw chlorfenvinphos. Cholinesterase activity was strongly inhibited,
    to a similar degree, in the blood and brain, with a mean inhibition
    of 80% in rats at the high dose and 50% in those at the low dose 3 h
    after treatment. Reversal of the inhibition proceeded at similar
    rates in the blood and brain and was complete within 96 h with the
    low dose and within 14 days with the high dose. No changes in
    negotiating the 'T' maze that suggested impairment of short-term
    memory were observed up to 14 days after treatment. In the
    open-field test, a decrease in short-term memory was manifested by
    the absence of increased locomotor and exploratory activity in
    response to a new object, only in rats administered 3 mg/kg bw. This
    finding suggests that behavioural disturbances last longer than
    recovery of cholinesterase activity (Socko  et al., 1989).

    (iii)  Hormone concentrations

         In Wistar rats given chlorfenvinphos as a single oral dose of
    6.15 mg/kg bw, a significant increase in corticosterone
    concentration was seen after 1 and 3 h and in aldosterone
    concentration 1-6 h after treatment. Plasma corticosteroid levels
    were maximal within 1 h, when brain cholinesterase activity was only
    slightly inhibited (Osicka-Koprowska  et al., 1984).

    (iv)  Porphyrigenic potential

         Chlorfenvinphos induced porphyria in primary cultures of
    chicken embryo liver cells. Its porphyrigenic potential was markedly
    increased by prior treatment of the cells with a compound that
    induces drug metabolizing enzymes (Koeman  et al., 1980).

    3.  Observations in humans

         Workers in India were studied while applying chlorfenvinphos to
    paddy rice over a period of six days; they were not wearing
    protective clothing. Workers applying an emulsifiable concentrate
    had decreased plasma cholinesterase activity but no change in
    erythrocyte cholinesterase activity. Workers applying granules
    containing 10% chlorfenvinphos had no reduction in cholinesterase
    activity (Blok  et al., 1977).

         A group of 33 workers employed in a chlorfenvinphos
    manufacturing plant were monitored medically for eight years
    (1967-75). Two control groups were used. The exposed group had
    slightly lower haemoglobin levels and slightly lower cholinesterase
    activity in plasma and erythrocytes. Some changes in
    neurophysiological parameters (lower electromyographic voltages,
    associated with slower conduction velocities) were observed, but
    these were reversed when the workers were removed from exposure
    (Ottevanger, 1976).

         Workers involved in the manufacture of chlorfenvinphos were
    monitored in 1985-86 in a routine programme in which blood and urine
    were collected and cholinesterase activity was measured in whole
    blood, plasma and erythrocytes. A few cases of depressed plasma
    cholinesterase were recorded, which were not, however, correlated
    with increases in the urinary concentrations of diethylphosphate and
    monoethylphosphate metabolites (Eadsforth, 1987).

    Comments

         The main step in the biotransformation of chlorfenvinphos is
    detoxification by de-ethylation into the corresponding
    phosphodiester; microsomal enzymes play an important role.
    Interspecies differences in the rate of metabolism of
    chlorfenvinphos were found  in vitro. Oxidative metabolism by human
    liver enzymes was comparable to that of rabbit liver enzymes.

         Single oral doses of chlorfenvinphos were very toxic to rats,
    toxic to mice and guinea-pigs and moderately to slightly toxic to
    rabbits and dogs. The clinical signs observed were consistent with
    cholinesterase inhibition and included tremors, fasciculation and
    salivation. Pretreatment with enzyme inducers can increase the acute
    oral LD50. Interspecies differences in the acute oral LD50
    reflect the activity of the hepatic metabolizing enzymes involved in
    the detoxification of chlorfenvinphos. WHO (1992) has classified
    chlorfenvinphos as extremely hazardous.

         In a four-week study in which mice were fed 0, 1, 10, 100 or
    1000 ppm chlorfenvinphos in the diet, plasma and erythrocyte
    cholinesterase activities were inhibited in animals fed 100 or 1000
    ppm. Brain cholinesterase activity was inhibited in males fed 10 or
    1000 ppm and in females at all doses; thus, no NOAEL could be
    established for female mice. The NOAEL in males was 1 ppm, equal to
    0.18 mg/kg bw per day.

         In a one-year study in which dogs were fed 0, 3, 100 or 3000
    ppm in the diet, inhibition of erythrocyte cholinesterase activity
    and increased relative adrenal weight were seen in males; in
    females, increased relative thyroid weight was seen in those fed the
    highest dose. The NOAEL was 100 ppm, equal to 2.8 mg/kg bw per day.

         In a study of the carcinogenicity of chlorfenvinphos, in which
    mice were fed 0, 1, 25 or 625 ppm in the diet, no increase in tumour
    incidence was observed. Erythrocyte and brain cholinesterase
    activity was inhibited in mice fed the highest dose. The NOAEL was
    25 ppm, equal to 3.7 mg/kg bw per day.

         In a two-year study of toxicity and carcinogenicity in rats fed
    diets containing 0, 0.3, 1, 3 or 30 ppm, erythrocyte and brain
    cholinesterase activity was inhibited in those fed 30 ppm. There was
    no evidence of carcinogenicity. The NOAEL was 3 ppm, equivalent to
    0.15 mg/kg bw per day.

         In a two-generation study of reproductive toxicity in rats fed
    diets containing 0, 1, 10 or 100 ppm, reduced brain cholinesterase
    activity, post-implantation loss and breeding losses were observed
    in animals fed 10 or 100 ppm. The NOAEL was 1 ppm, equivalent to
    0.05 mg/kg bw per day.

         In two studies of teratogenicity--one in rats and one in
    rabbits--doses that were maternally toxic were not embryotoxic and
    there was no indication of teratogenicity. In rats, the NOAEL was 1
    mg/kg bw per day for maternal toxicity and 3 mg/kg bw per day, the
    highest dose tested, for developmental toxicity. In rabbits, no
    NOAEL could be established for maternal toxicity (< 25 mg/kg bw);
    the NOAEL for developmental toxicity was > 100 mg/kg bw per day.

         Chlorfenvinphos was mutagenic in only one study, in  Salmonella
     typhimurium TA100 in the presence of an exogenous metabolic system
    at doses of at least 1000 µg per plate. It was inactive in other
    bacterial tests and did not induce mitotic conversion in yeast or
    chromosomal aberrations in human lymphocytes  in vitro.
    Chlorfenvinphos did not induce chromosomal aberrations in Chinese
    hamster bone-marrow cells or dominant lethal effects in male mice
     in vivo. The Meeting concluded that chlorfenvinphos was not
    genotoxic.

         Delayed neurotoxicity in chickens has not been evaluated.

         Observations in humans were not suitable for use in estimating
    an ADI.

         An ADI was established on the basis of an NOAEL of 0.05 mg/kg
    bw per day in a two-generation study of reproductive toxicity in
    rats and a 100-fold safety factor.

    Toxicological evaluation

    Levels that cause no toxic effect

    Mouse:    25 ppm, equal to 3.7 mg/kg bw per day (two-year study of
              carcinogenicity)

    Rat:      3 ppm, equivalent to 0.15 mg/kg bw per day (two-year study
              of toxicity and carcinogenicity)
              1 ppm, equivalent to 0.05 mg/kg bw per day (two-generation
              study of reproductive toxicity)
              1 mg/kg bw per day (maternal toxicity in a study of
              teratogenicity)

    Rabbit:   < 25 mg/kg bw per day (maternal toxicity in a study of
              teratogenicity)

    Dog:      100 ppm, equal to 2.8 mg/kg bw (one-year study of
              toxicity)

    Estimate of acceptable daily intake for humans

         0-0.0005 mg/kg bw

    Studies that would provide information useful for continued
    evaluation of the compound

    1.   Study of delayed neurotoxicity in chickens, with estimation of
         neuropathy target esterase

    2.   Further observations in humans

    3.   Studies of pharmacokinetics in mammals  in vivo

    References

    Allen, T.R., Corney, S.J., Frei, T., Luetkemeier, H., Biedermann, K.
    & Springall, C.J. (1992) 4-Week oral range-finding toxicity
    (feeding) study with chlorfenvinphos in the dog. RCC Project No.
    271934. Unpublished report from Research and Consulting Co.,
    Itingen, Switzerland. Submitted to WHO by American Cyanamid Co.,
    Princeton, NJ, USA.

    Allen, T.R., Corney, S.J., Frei, T., Luetkemeier, H., Biedermann, K.
    & Springall, C.J. (1993) 52-Week oral toxicity (feeding) study with
    chlorfenvinphos in the dog. RCC Project No. 271945. Unpublished
    report from Research and Consulting Co., Itingen, Switzerland.
    Submitted to WHO by American Cyanamid Co., Princeton, NJ, USA.

    Arni, P. & Müller, D. (1979) Salmonella/mammalian microsome
    mutagenicity test with C8949. Test for mutagenic properties in
    bacteria. Experiment no. 78/2589. Unpublished report from Ciba-Geigy
    Ltd, Basel, Switzerland. Submitted to WHO by American Cyanamid Co.,
    Princeton, NJ, USA.

    Blok, A.C., Mann, A.H. & Robinson, J. (1977) Organophosphorus
    insecticide exposure of sprayers under field conditions in rice in
    India. I. Birlane (chlorfenvinphos). TOX 77-005. Unpublished report
    from Shell International Research Maatschappy, Toxicology Division.
    Submitted to WHO by American Cyanamid Co., Princeton, NJ, USA.

    Brooks, T.M. (1978) Toxicity studies with chlorfenvinphos:
    mutagenicity studies with chlorfenvinphos in micro-organisms. Group
    Research Report TLGR.00142.78. Unpublished report from Shell
    Research Ltd, London. Submitted to WHO by American Cyanamid Co.,
    Princeton, NJ, USA.

    Brzezinski, J. & Wysocka-Paruszewska, B. (1980) Neurochemical
    alterations in rat brain as a test for studying the neurotoxicity of
    organophosphorus insecticides.  Arch. Toxicol., Suppl. 4, 475-478.

    Dean, B.J. (1971) The mutagenic effect of organophosphate
    insecticides on Escherichia coli. Group Research Report
    TLGR.0034.71. Unpublished report from Shell Research Ltd, London.
    Submitted to WHO by American Cyanamid Co., Princeton, NJ, USA.

    Dean, B.J. (1978) Toxicity studies with chlorfenvinphos: chromosome
    studies on bone marrow cells of Chinese hamsters after two daily
    oral doses of chlorfenvinphos. Group Research Report TLGR.0087.78.
    Unpublished report from Shell Research Ltd, London. Submitted to WHO
    by American Cyanamid Co., Princeton, NJ, USA.

    Dean, B.J. & Hend, R.W. (1978) Toxicity studies with
    chlorfenvinphos: dominant lethal assay in male mice after single
    oral doses of chlorfenvinphos. Group Research Report TLGR.0063.78.

    Unpublished report from Shell Research Ltd, London. Submitted to WHO
    by American Cyanamid Co., Princeton, NJ, USA.

    Dix, K.M., Cassidy, S.L. & Vilkauls, J. (1979) Toxicity of
    chlorfenvinphos: teratological studies in rabbits given
    chlorfenvinphos orally. Group Research Report TLGR.79.105.
    Unpublished report from Shell Research Ltd, London. Submitted to WHO
    by American Cyanamid Co., Princeton, NJ, USA.

    Donninger, C., Hutson, D.H. & Pickering, B.A. (1972) The oxidative
    dealkylation of insecticidal phosphoric acid triesters by mammalian
    liver enzymes.  Biochem. J., 126, 701-707.

    Dotti, A., Kinder, J., Luetkemeier, H. & Biedermann, K. (1993a)
    Chlorfenvinphos. Preliminary study to the two-generation
    reproduction study in the rat. RCC Project No. 271822. Unpublished
    report from Research and Consulting Co., Itingen Switzerland.
    Submitted to WHO by American Cyanamid Co., Princeton, NJ, USA.

    Dotti, A., Kinder, J., Luetkemeier, H. & Biedermann, K. (1993b) Two
    generation reproduction study with chlorvinphos in the rat. RCC
    Project No. 271833. Unpublished report from Research and Consulting
    Co., Itingen, Switzerland. Submitted to WHO by American Cyanamid
    Co., Princeton, NJ, USA.

    Dzierzawski, A. & Minta, M. (1979) Embryotoxic effects of
    chlorfenvinphos and bromfenvinphos in laboratory animals.  Bull.
     Vet. Inst. Pulawy, 23, 1-2, 32-42.

    Eadsforth, C.V. (1987) Biological monitoring of exposure of
    operators during manufacture of Birlane in CAS, location CMDU-N,
    during 1985-6. Unpublished report from Shell Biomedical Laboratory,
    SNR/SNC Pernis. Submitted to WHO by American Cyanamid Co.,
    Princeton, NJ, USA.

    Gardner, J. (1992) Birlane technical: acute oral and dermal dermal
    toxicity in rat, skin and eye irritancy in rabbit and skin
    sensitization potential in guinea pig. Unpublished report from Shell
    Research Ltd, Sittingbourne Research Centre, Sittingbourne, United
    Kingdom. Submitted to WHO by American Cyanamid Co., Princeton, NJ,
    USA.

    Hutson, D.H. & Wright, A.S. (1980) The effect of hepatic microsomal
    monooxygenase induction on the metabolism and toxicity of the
    organophosphorus insecticide chlorfenvinphos.  Chem. Biol.
     Interactions, 31, 93-101.

    Hutson, D.H. & Logan, C.J. (1986) Detoxification of the
    organophosphorus insecticide chlorfenvinphos by rat, rabbit and
    human liver enzymes.  Xenobiotica, 16, 87-93.

    Ikeda, T., Kojima, T., Yoshida, M., Takahashi, H., Tsuda, S. &
    Shirasu, Y. (1990) Pretreatment of rats with an organophosphorus
    insecticide, chlorfenvinphos, protects against subsequent challenge
    with the same compound.  Fundam. Appl. Toxicol., 14, 560-567.

    Ikeda, T., Tsuda, S. & Shirasu, Y. (1991) Metabolic induction of the
    hepatic cytochrome P450 system by chlorfenvinphos in rats.  Fundam.
     Appl. Toxicol., 17, 361-367.

    Ikeda, T., Tsuda, S. & Shirasu, Y. (1992) Pharmacokinetic analysis
    of protection by organophosphorus insecticide, chlorfenvinphos,
    against the toxicity of its succeeding dosage in rats.  Fundam.
     Appl. Toxicol., 18, 299-306.

    Koeman, J.H., Debets, F.M.H. & Strik, J.J.T.W.A. (1980) The
    porphyrogenic potential of pesticides with special emphasis on
    organophosphorus compounds. In: Tordoir, W.F. & van Heemstra,
    E.A.H., eds,  Field Worker Exposure during Pesticide Application,
    Amsterdam, Elsevier Scientific Publishing Co., pp. 157-162.

    Maxwell, J.C. & LeQuesne, P.M. (1982) Neuromuscular effects of
    chronic administration of two organophosphorus insecticides to rats.
     Neurotoxicology, 3, 1-10.

    Mayfield, R. & John, D.M. (1986) Effect of Birlane on pregnancy of
    the rat. HCR Report No. SLL 84/851593. Unpublished report from
    Huntingdon Research Centre, . Submitted to WHO by American Cyanamid
    Co., Princeton, NJ, USA.

    Moriya, M., Ohta, T., Watanabe, K., Miyazawa, T., Kato, K. &
    Shirasu, Y. (1983) Further mutagenicity studies on pesticides in
    bacterial reversion assay systems.  Mutat. Res., 116, 185-216.

    Osicka-Koprowska, A., Lipska, M. & Wysocka-Paruszewska, B. (1984)
    Effects of chlorfenvinphos on plasma corticosterone and aldosterone
    levels in rats.  Arch. Toxicol., 55, 68-69.

    Osumi, Y., Fujiwara, H., Oishi, R. & Takaori, S. (1975) Central
    cholinergic activation by chlorfenvinphos, an organophosphate, in
    the rat.  Jpn. J. Pharmacol., 25, 47-54.

    Ottevanger, C.F. (1976) An epidemiological and toxicological study
    of occupational exposure to an organphosphorus pesticide. University
    of Amsterdam, MD Thesis. Rotterdam, Phoenix & den Oudsten.

    Pickering, C.E. (1978) Toxicity of chlorfenvinphos: the
    reversibility of cholinesterase and aliesterase inhibition produced
    by feeding chlorfenvinphos. Unpublished report from Shell Research,
    TLGR0169.78, Sittingbourne United Kingdom. Submitted to WHO by
    American Cyanamid Co., Princeton, NJ, USA

    Pickering, R.G. (1980) Toxicity studies on the insecticide
    chlorfenvinphos. A two year feeding study in rats. Budget ref.
    50070712. Unpublished report from Shell Research Ltd, London.
    Submitted to WHO by American Cyanamid Co., Princeton, NJ, USA.

    Rose, G.P. (1982) Toxicology of Birlane: the skin sensitizing
    potential of Birlane. Project No. 226/82. Unpublished report from
    Shell Research Ltd, Sittingbourne Research Centre, Sittingbourne,
    United Kingdom. Submitted to WHO by American Cyanamid Co.,
    Princeton, NJ, USA.

    Schmid, H., Probst, D., Luetkemeier, H., Weber, K., Wilson, J.T.,
    Springall, C.J. & Biedermann, K. (1993) Oncogenicity (feeding) study
    with chlorfenvinphos in the mouse. Final Report. RCC Project No.
    265926. Unpublished report from Research and Consulting Co.,
    Itingen, Switzerland. Submitted to WHO by American Cyanamid Co.,
    Princeton, NJ, USA.

    Shirasu, Y., Moriya, M., Kato, K., Furuhashi, A. & Kada, T. (1976)
    Mutagenicity screening system of pesticides in the microbial system.
     Mutat. Res., 40, 19-30.

    Socko, R., Gralewicz, S. & Gorny, R. (1989) Neurotoxicity of
    chlorphenvinphos, an organo-phosphorus pesticide: effects on blood
    and brain cholinesterase activity, open field, behavior and
    response-to-change in a 'T' maze in rats.  Polish J. Occup. Med.,
    2, 294-308.

    Strasser, F. & Arni, P. (1988) Chromosome studies on human
    lymphocytes. Test material C8949 tech. Test no.: 871201. Unpublished
    report from Ciba-Geigy Ltd, Basel, Switzerland. Submitted to WHO by
    American Cyanamid Co., Princeton, NJ, USA.

    Takahashi, H., Kojima, T., Ikeda T., Tsuda S. & Shirasu Y. (1991)
    Differences in the mode of lethality produced through intravenous
    and oral administration of organophosphorus insecticides in rats.
     Fundam. Appl. Toxicol., 16, 459-468.

    Tennekes, H., Janiak, T., Stucki, H.P., Probst, D., Luetkemeier, H.,
    Vogel, O., Schlotke, B., Biedermann, K. & Heusner, W. (1991) 28-Day
    range-finding (feeding) study with chlorfenvinphos in the mouse. RCC
    Project No. 243202. Unpublished report from Research and Consulting
    Co., Itingen, Switzerland. Submitted to WHO by American Cyanamid
    Co., Princeton, NJ, USA.

    WHO (1992) The WHO recommended classification of pesticides by
    hazard and guidelines to classification 1992-1993 (WHO/PCS/92.14).
    Available from the International Programme on Chemical Safety, World
    Health Organization, Geneva, Switzerland.


    See Also:
       Toxicological Abbreviations
       Chlorfenvinphos (ICSC)
       Chlorfenvinphos (WHO Pesticide Residues Series 1)
       Chlorfenvinphos (Pesticide residues in food: 1984 evaluations)