IPCS INCHEM Home

    PROPINEB

    First draft prepared by
    M. Watson
    Pesticide Safety Directorate, Ministry of Agriculture, Fisheries and
    Food
    Harpenden, Hertfordshire, United Kingdom

    EXPLANATION

         Propineb was first evaluated by the Joint Meeting in 1977, when
    a temporary ADI of 0-0.005 mg/kg bw was established (Annex I,
    reference 28).  The temporary ADI was extended in 1980 and 1983
    (Annex I, references 34 and 40).  At the 1985 Joint Meeting (Annex
    I, reference 44), the temporary ADI was not extended in view of the
    carcinogenic response in the liver of mice to propylene thiourea
    (PTU) and the lack of NOAELs for thyroid effects of propineb and
    PTU.  This monograph summarizes new or not previously reviewed data
    on propineb, as well as relevant data from previous monographs and
    monograph addenda on this pesticide.

    EVALUATION FOR ACCEPTABLE DAILY INTAKE

    BIOLOGICAL DATA

    Biochemical aspects

    Absorption, distribution and excretion

         In male Sprague-Dawley rats, dosed orally with 5 or 50 mg 14C-
    propineb/kg bw, 60-70% of the radioactivity was absorbed in 48
    hours.  About 50% of the activity was excreted via urine and 40% via
    faeces within this period. Exhalation during the first 24 hours
    after administration amounted to 7% and excretion in the bile to 3%
    of the administered dose (Ecker, 1975; Weber, 1980).

         Peak levels in blood and most organs were reached 3-5 hours
    after administration, whereas in the thyroid the maximum
    concentration was attained after 24 hours.  Within 4 days the total
    elimination exceeded 99%.  The half-life of elimination from the
    tissues (except the thyroid) was first rapid, than slower, varying
    between 5 and 20 days.  Four days post-dosing (50 mg/kg bw), the
    concentration of radioactive material in the thyroid was about 100
    times and in the kidney and pituitary 3-4 times higher than the
    average concentration for all other organs except the
    gastrointestinal tract.  After 16 days the relative concentration
    factor for the thyroid was about 30 (Patschke & Wegner, 1975).

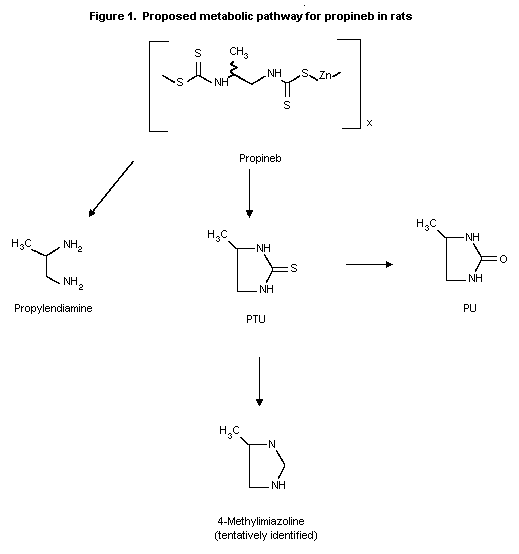
    Biotransformation

         The main metabolites found in the urine of dosed rats were
    propylene diamine (accounting for 12-15% of the renally excreted
    activity), PTU and propylene urea (PU) (accounting together for 40-
    45%). A minor metabolite was 4-methylimidazoline (less than 5%).  No
    compounds could be considered as potential intermediates for
    complete degradation to CO2 (Ecker, 1975).

         The metabolic pathway of propineb in rats is illustrated in
    Figure 1.

    Toxicological studies

    Acute toxicity studies

         Technical grade propineb of 84-87% purity was tested in the
    acute toxicity studies summarised in Table 1.  WHO has classified
    propineb as unlikely to present acute hazard in normal use (WHO,
    1992).

    FIGURE 01

        Table 1.  Acute toxicity of propineb
                                                                                                      
    Species      Sex      Route           LD50             LC50                Reference
                                          (mg/kg bw)       (mg/m3)
                                                                                                      

    Mouse        M/F      oral            > 5000                               Thyssen & Kimmerle, 1978

    Mouse        M/F      s.c.            1500-2000                            Thyssen & Kimmerle, 1978

    Mouse        M        inhalation                       > 391 (1 x 4 h)     Thyssen & Kimmerle, 1978

    Rat          M/F      oral            > 5000                               Thyssen & Kimmerle, 1978

    Rat          F        oral            5900                                 Flucke & Kimmerle, 1977

    Rat          M/F      dermal          > 5000                               Thyssen & Kimmerle, 1978

    Rat          M/F      i.p.            102-141                              Thyssen & Kimmerle, 1978

    Rat          M/F      inhalation                       > 522 (1 x 1 h)     Thyssen & Kimmerle, 1978

    Rat          M/F      inhalation                       > 693 (1 x 4 h)     Thyssen & Kimmerle, 1978

    Rat          M/F      inhalation                       > 193 (5 x 4 h)     Thyssen & Kimmerle, 1978 

    Hamster       M       inhalation                       > 391 (1 x 4 h)     Thyssen & Kimmerle, 1978 

    Cat           M       oral             > 500                               Thyssen & Kimmerle, 1978 

    Sheep         M/F     oral             2500                                Hoffmann, 1983 

                                                                                                      
    
    Short-term toxicity studies

    Rats

         Groups of 50 male and 50 female Wistar rats received diets
    containing propineb (technical material, 93.5% purity) at
    concentrations of 0, 100 or 500 ppm.  The homogeneity, stability and
    accuracy of admixture of the test material into the test diet was
    not checked during the study.  Half of the rats from each group were
    sacrificed after 6 months, the remainder were sacrificed after a
    subsequent withdrawal period of 8 weeks.  Treatment with 100 ppm did
    not cause thyroid enlargement in either sex, whereas treatment with
    500 ppm caused marked thyroid enlargement in both males and females.

    During the 8-week withdrawal period the enlargement receded in male
    rats, but relative thyroid weights were still higher than control
    values in females, indicating a tendency to reversibility (Loeser,
    1968).

         In a 3-month feeding study in Wistar rats, groups of 15 males
    and 15 females received dietary levels of 0, 5, 10, 25, 50 or 100
    ppm propineb (87% purity).  The homogeneity, stability and accuracy
    of admixture of the test material into the test diet was not checked
    during the study.  There was no treatment-related effect on
    behaviour, survival, food intake or weight gain.  Haematological and
    urinalysis investigations revealed no indication of any reaction to
    treatment.  Clinical chemistry investigations revealed increased
    sorbitol dehydrogenase activity in serum in male rats treated with
    50 or 100 ppm and increased serum lactate dehydrogenase activity in
    males and females treated with 100 ppm.  Gross pathology and organ
    weight analysis revealed no indication of any reaction to treatment. 
    No histopathological examination of tissues was performed and it was
    thus considered inappropriate to derive an NOAEL from the results of
    this study (Loeser, 1969).

         Groups of 10 male and 10 female Wistar TNO/W74 rats were
    exposed to propineb aerosols at analytically-determined
    concentrations of 0, 5, 8, 29, or 44 mg/m3, five times per week for
    6 hours, for 3 weeks.  Rats exposed to 44 mg/m3 exhibited severely
    disturbed behaviour including paralysis of the extremities.  All the
    female rats and 1 male rat at this exposure level died by the 13th
    exposure.  Animals that died had sharp losses in body weight and
    were cachectic.  Gross necropsies revealed small spleens and livers,
    enlarged adrenals, and inflamed lungs.  Histopathology revealed
    acute vasculature congestion in the lungs, liver, kidneys, and
    bronchial lymph nodes, indicating that the cause of death was
    cardiovascular failure.  One male rat at 29 mg/m3 also exhibited
    hind limb paralysis but survived to the end of the study.  The
    remaining test animals did not differ from control animals with
    respect to appearance, behaviour or body-weight gains. 
    Haematological examinations, clinical chemistry, and urinalyses
    (performed just prior to termination), and results of gross
    necropsies, organ weight determinations, and histopathological
    examinations revealed no indication of any reaction to treatment in
    animals surviving to termination (Thyssen & Mohr, 1979).

         In a study to compare the effects of propineb with various
    other thyro-suppressive agents, groups of 50 male and 50 female
    Wistar rats were treated orally with 50 mg/kg bw/day of the
    following compounds: pure propineb, two technical samples of
    propineb, PTU, ETU, zineb or methyl thiouracil as a positive
    control.  An untreated control was also included and 10 male and 10
    female rats were killed after 7, 14 or 21 days treatment and after
    14 or 28 days recovery.  Investigations of thyroid activity was

    limited to recording of thyroid weight, no biochemical analyses or
    histopathology were performed. PTU, ETU and methyl thiouracil caused
    significant increases in absolute and relative thyroid weight in
    rats of both sexes, while the three propineb samples caused an
    increase in the relative weight in females only. The thyroid
    enlargement induced by propineb was reversible during the withdrawal
    period, the effect of the other agents was partially reversible.
    Propineb had only a moderate effect compared to methyl thiouracil,
    whereas PTU had an equivalent effect to that of methyl thiouracil
    and was somewhat stronger than ETU (Kimmerle, 1972).

         Propineb of unknown purity was administered in the feed for 62
    days to 5 groups of 80 male Wistar TNO/W74 rats at dosage levels of
    0, 2, 10, 50, or 250 ppm.  The homogeneity, stability and accuracy
    of admixture of the test material into the test diet was not checked
    during the study.  Ten rats per group were killed for interim
    sacrifice at 7 days or at 21 days.  An additional 10 rats per group
    were also sacrificed at 7, 21, or 62 days for "thyroid function
    tests", which was reported separately (see Weber & Dressler, 1980). 
    The remaining animals were sacrificed at 62 days.  No mortalities
    occurred during the study and daily examinations indicated no
    effects that could be attributed to the test material.  Mean body
    weights of animals in the 250 ppm group were slightly but
    consistently lower than those of the control group throughout the
    entire study, but food consumption was unaffected.  Total thyroxin
    was decreased in the 50 and 250 ppm groups at 21 and 62 days. 
    Thyroid weights were decreased in the 250 ppm group at 7 days, but
    later increased in the 50 and 250 ppm groups at 62 days. 
    Histopathology did not reveal any treatment-related changes in the
    thyroid.  Organ weight analysis and histopathological examinations
    of liver and adrenals revealed no effects that could be attributed
    to the test material.  The NOAEL in this study was 10 ppm (equal to
    0.74 mg/kg bw/day), based on changes in thyroxin concentration and
    increased thyroid weight at 50 and 250 ppm (Kroetlinger  et al.,
    1980).

         Ten male rats per group from the above-described study were
    used for "thyroid function tests" at 7, 21, or 62 days.  In
    addition, iodine accumulation in the thyroid was assayed 24 hours
    after oral intubation of 0.2 µCi of 131I-NaI tracer by measuring
    radioactivity in excised and weighed thyroid tissue.  Concentrations
    of T3 and T4 in the serum were also determined by use of a
    commercially-available 125I radioimmunoassay test system.  Mean
    thyroid weights were increased above control values in the 50 ppm
    group at 62 days, and in the 250 ppm group at 21 days and at 62
    days.  A decrease in mean thyroid weights was observed in the 2 ppm
    group at 7 days.  Mean iodine accumulation in the thyroid, expressed
    as the amount of radioactive iodine per mg of tissue, was decreased
    below control values in the 50 ppm group at 62 days and in the 250
    ppm group at 21 and 62 days.  Mean T3 concentrations were increased

    above control values in the 2 ppm group and in the 10 ppm group at 7
    days.  A decrease in mean T3 was observed in the 250 ppm group at
    62 days.  Mean T4 concentrations were decreased below control
    values in the 250 ppm group at 7, 21 and 62 days.  The study results
    indicate that propineb affects thyroid function at all dosage levels
    tested.  The effect appears to be dose-related.  At 50 ppm and 250
    ppm, iodine accumulation in the thyroid was reduced and at 250 ppm,
    T3 and T4 serum levels were also reduced.  A compensatory reaction
    occurred, however, at these dosage levels, as evidenced by increased
    thyroid weights and a return toward control values for several of
    the other parameters.  At 2 and 10 ppm, an effect on thyroid
    function was indicated by the increased levels at 7 days of T3, the
    more biologically-active form of the thyroid hormone.  However, this
    is considered to be a normal physiological response, without lasting
    adverse effect.  The NOAEL in this study was thus 10 ppm, equal to
    0.74 mg/kg bw/day (Weber & Dressler, 1980).

         The effect of propineb on thyroid function was investigated in
    a 63-day feeding study in Wistar rats.  Groups of 36 males received
    dietary concentrations of 0, 0.2, 0.6, 2 or 10 ppm propineb. 
    Technical material of 83.3% purity was used, but dietary levels
    refer to pure active ingredient.  The homogeneity, stability and
    accuracy of admixture of the test material into the test diet was
    checked during the study and found to be adequate.  On days 7, 21
    and 63 thyroid function was investigated by determination of thyroid
    weight, measurement of 131I incorporation into the thyroid and by
    radio immunoassay determination of T3, T4 and TSH in the serum. 
    Food and water intake was not affected by treatment, but body-weight
    gain was slightly depressed at 2 and 10 ppm in comparison with
    controls.  Thyroid weights were unaffected by treatment at any of
    the examinations.  Although minor inter-group differences in results
    of other investigations attained a level of statistical significance
    when compared with controls, there were no consistent, dose-related
    effects.  Histopathological examination of thyroids was conducted
    later and this revealed a minimal to slight hypertrophy in the
    follicular epithelium of 2 of 10 rats treated with 10 ppm for 63
    days.  No similar changes were seen at the same dose level after
    shorter treatment periods or at lower doses at any of the treatment
    periods.  The NOAEL in this study was 10 ppm since the minor
    histological changes seen in thyroid at 10 ppm were not considered
    to be a permanent adverse effect in rats.  The apparent changes in
    body-weight gain were disregarded, since this effect was not
    supported by results of any other feeding study with propineb in
    rats, and there were large inter-group differences in initial body
    weight in this study, which hampered interpretation of the weight
    gain data (Weber  et al., 1991).

    Rabbits

         Technical grade propineb of 87.3% purity was dermally applied
    to the shaven backs of groups of 6/sex New Zeeland white rabbits
    (one half of which had intact and one half abraded skin test sites),
    5 times per week for 7 hours for 3 weeks at dosage levels of 0, 50,
    or 250 mg/kg bw/day.  Three male rabbits died during the study of
    severe pneumonitis.  Daily observations, including skin reactions,
    revealed no effects attributable to the test material.  No
    differences in body weights between control and test animals were
    observed.  All clinical laboratory tests, gross necropsies and
    histopathological examinations revealed no indication of any
    reaction to treatment with propineb.  With the exception of slightly
    increased liver weights in female rabbits treated with 250 mg/kg
    bw/day, organ weights in control and test animals were similar
    (Mihail & Kaliner, 1979).

    Dogs

         In a 4-month feeding study, groups of beagle dogs (2/sex)
    received dietary concentrations of 0, 100, 400 or 1600 ppm propineb
    (86% purity).  The homogeneity, stability and accuracy of admixture
    of the test material into the test diet was not checked during the
    study.  The results of this study revealed no indication of any
    reaction to treatment in terms of survival, behaviour, food intake,
    weight gain, clinical laboratory investigations, gross pathology and
    organ weight analysis.  No histopathological examination of tissues
    was carried out and it is thus considered inappropriate to derive an
    NOAEL from the results of this study (Loeser, 1967).

         In a 2-year feeding study, groups of 4 male and 4 female beagle
    dogs received dietary concentrations of 0, 100, 300, 1000 or 3000
    ppm propineb (purity approximately 86%).  The summarized results of
    this study revealed no indication of any reaction to treatment in
    terms of survival, behaviour, food intake, weight gain, clinical
    laboratory investigations, gross pathology, organ weight analysis or
    histopathology.  The NOAEL for this study may therefore be defined
    as 3000 ppm (equivalent to 75 mg/kg bw/day), the highest dose level
    tested.  A complete detailed report of this study was not available
    for evaluation (Loser, 1973a).

    Long-term toxicity/carcinogenicity studies

    Mice

         Propineb of 82.9% purity was administered in the feed to groups
    of NMRI mice (50/sex) for 104 weeks at dietary levels of 0, 50, 200,
    or 800 ppm.  The homogeneity, stability and accuracy of admixture of
    the test material into the test diet was not checked during the
    study.  No substantial differences in mortality were observed

    between male and female control and test groups, although the best
    survival of any group was seen in the high-dose males.  Clinical
    observations did not indicate any differences between test and
    control mice and food consumption and body-weight gain was similar
    in male and female control and test groups.  Haematological,
    clinical chemistry, and urinalysis examinations did not reveal any
    effects attributable to the test material.  Gross necropsies were
    reported to be negative for lesions attributable to the test
    material.  Organ weight analysis did not reveal any differences that
    could be related to the test material.  Non-neoplastic lesions were
    not reported in the histopathological evaluation.  Percentages of
    female mice with tumours of any kind were 65, 66, 73, and 88% for
    the control, low-, mid-, and high-dose groups, respectively.  A
    similar increase was not observed in treated male mice.  Frequently-
    observed neoplasms were those commonly seen in NMRI mice and
    consisted of pulmonary adenomas and malignant lymphomas in male and
    female mice and benign granulosa cell tumours in the ovaries of
    female mice.  Thyroid or adrenal tumours were not increased in
    treated male or female mice.  An increased incidence of
    hepatocellular adenomas was observed in the high-dose male group. 
    Percentages were 6, 7, 0, and 20 for the control, low, mid-, and
    high-dose male groups, respectively.  Hepatocellular carcinomas in
    male mice ranged from 0 to 4%, but their incidence was not dose-
    related.  Historical control data presented by the testing
    laboratory for hepatocellular adenomas in NMRI mice ranged from 4 to
    12%.  The increase in hepatocellular adenomas in the high-dose male
    group may possibly be related to treatment with the test material,
    but may have been affected by the higher survival rate in this group
    compared to the controls.  Hepatocellular tumours were not increased
    in treated female mice.  The NOAEL in this study was 200 ppm (equal
    to 26 mg/kg bw/day), based on the equivocal alteration in hepatic
    tumour incidence at 800 ppm (Brune  et al., 1980).

    Rats

         Groups of Wistar rats (25/sex/dose and 50/sex/control group)
    were fed diets containing propineb (technical material, 93.5%
    purity) at dietary levels of 0, 1, 10, 100, 1000, 2000 or 8000 ppm
    for 2 years.  The homogeneity, stability and accuracy of admixture
    of the test material into the test diet was not checked during the
    study.  The mortality rate was increased in comparison with controls
    at 1000 ppm and above, such that at 2000 and 8000 ppm in females and
    at 8000 ppm in males, no rats survived to termination.  Dose-related
    reduced weight gain and food intake were also evident at 1000, 2000
    and 8000 ppm.  Apparent muscular weakness, leading to paralysis
    (described as myasthenia) was seen in rats receiving 1000, 2000 or
    8000 ppm.  The results of limited clinical chemistry investigations
    (conducted at 16 and 24 months) did not reveal any indication of
    reaction to treatment.  At autopsy, increased kidney, liver and
    thyroid weights were noted at 100 ppm and above.  Histopathology

    revealed no changes in kidney and liver, but did show evidence of
    degeneration of skeletal muscle at 1000 ppm and above, along with an
    increased incidence of TSH-related thyroid tumours in these groups. 
    The NOAEL in this study was thus 10 ppm (equivalent to 0.5 mg/kg
    bw/day) based on the organ weight changes noted at 100 ppm and above
    (Loeser, 1974a).

         In a second study, carried out in order to more closely define
    the NOAEL in long-term administration to rats, groups of 40 male and
    40 female Wistar rats (95/sex in the control group) were fed diets
    containing propineb (93.5% purity) at dietary levels of 0, 5, 10,
    25, 50 or 100 ppm for 2 years.  The homogeneity, stability and
    accuracy of admixture of the test material into the test diet was
    not checked during the study.  There were no clinical signs of
    reaction to treatment and no effects on food consumption, growth
    rate or mortality at any dose level.  Limited clinical chemistry
    analyses revealed that serum ALT and AST activities were slightly
    higher than control values after 52 weeks in rats receiving 100 ppm,
    but no similar effect was seen at termination. Serum PBI levels were
    lower than control values, at 52 weeks and prior to termination, in
    rats receiving 100 ppm.  At autopsy there were no macroscopic
    abnormalities attributable to treatment and organ weight analysis
    revealed no significant intergroup differences.  Histopathology
    revealed no changes considered to be related to the administration
    of propineb, in particular, the nature, location and frequency of
    tumours provided no indication of any carcinogenic effect.  The
    NOAEL was 50 ppm, equivalent to 2.5 mg/kg bw/day, in this study
    (Loeser, 1974b).

    Reproduction studies

         In a 3-generation study in rats, with two litters per
    generation, groups of 10 male and 20 female Long Evans rats received
    propineb (93.5% purity) at dietary levels of 0, 20, 60, 200 or 600
    ppm.  The homogeneity, stability and accuracy of admixture of the
    test material into the test diet was not checked during the study. 
    Treatment with 200 ppm led to slight symptoms of hind limb paralysis
    in parental animals, while treatment with 600 ppm led to increased
    mortality, decreased weight gain and severe hind limb paralysis. 
    With regard to the reproductive parameters, treatment with 200 ppm
    was associated with slightly lower gestation rates and a lower
    number of pups per litter after one mating, while treatment with 600
    ppm was associated with substantially lower gestation rates (up to
    50%) after nearly all matings and lower birth weight and lower
    numbers of pups per litter after some matings.  Lactation
    performance of dams receiving 600 ppm which did have offspring was
    not, however, adversely affected.  The NOAEL was 60 ppm (equivalent
    to 3 mg/kg bw/day) (Loeser, 1973b).

    Special studies on embryo/fetotoxicity

    Rats

         Groups of 17-23 mated female rats were given propineb by oral
    gavage at levels of 0, 3, 10, 30 or 100 mg/kg bw/day on days 6 to 15
    of gestation.  Treatment with 30 mg/kg bw/day was associated with
    slight maternal toxicity (somnolence, ruffled coat, limpness), while
    treatment with 100 mg/kg bw/day led to severe maternal toxicity
    (paralysis of extremities, ataxia, dyspnoea, tremors), leading to
    mortality in some cases.  At this high dose, fetal growth was
    depressed, and teratogenic effects (dysplasia of extremities) were
    also seen. The NOAELs were 10 and 30 mg/kg bw/day for maternal and
    embryo/fetotoxicity, respectively (Machemer, 1974a).

         These results were supported by studies published in the
    literature; in one study, doses greater than 400 mg/kg bw/day caused
    abnormalities and maternal toxicity when given to rats on day 11 of
    gestation and in another study, using doses of 0, 25, 50 100 or
    200 mg/kg bw/day on days 6 to 16 of gestation, abnormalities and
    maternal toxicity were observed at 100 and 200 mg/kg bw/day
    (Larsson  et al., 1976; Vicari  et al., 1985).

    Rabbits

         Groups of 16 mated female rabbits were given propineb (83.9%
    purity), by oral gavage, at dose levels of 0, 10, 30 or 100 mg/kg
    bw/day from day 6 to day 18 of gestation.  Signs of severe maternal
    toxicity were seen at 100 mg/kg bw/day, including reduced weight
    gain and food intake in comparison with controls, dyspnea and
    ventro-lateral recumbency, and signs of abortion in two females.
    Body-weight gain and food intake were also reduced at 30
    mg/kg bw/day.  Evaluation of reproduction parameters revealed a
    dose-related increased post-implantation loss at 30 and 100 mg/kg
    bw/day.  Fetal parameters, including external, skeletal and visceral
    examinations, revealed no effects associated with treatment with
    propineb. The NOAEL for maternal toxicity was 10 mg/kg bw/day, while
    there was no indication of embryo/fetotoxicity or teratogenicity at
    100 mg/kg bw/day, the highest dose tested (Becker  et al., 1988).

    Special studies on genotoxicity

         Results of genotoxicity tests on propineb are summarized in
    Table 2.  The Meeting concluded that propineb was not genotoxic.

    Special studies on sensitization

         Propineb (83.9% purity) was tested for possible skin
    sensitizing potential in guinea-pigs in a Magnusson and Kligman
    maximization test, employing a test group of 20 animals and two


        Table 2.  Results of genotoxicity assays on propineb
                                                                                                                   
    Test system         Test object                Concentration       Purity     Results     Reference 
                                                                                                                   

    Ames test           S. typhimurium             up to 2.5 mg/       84.3%      Negative    Herbold, 1980a 
                        TA98, TA100, TA1535,       plate
                        TA1537

    Ames test           S. typhimurium             up to 0.864         ?          Negative    Hatano Institute, 1978
                        TA98, TA100, TA1535,       mg/plate
                        TA1537, TA1538
                        E. coli WP2

    Preferential        B. subtilis M45, H17       up to 0.864         ?          Negative    Hatano Institute, 1978
    toxicity                                       mg/plate

    HGPRT forward       CHO cells                  0.11-60 mg/ml       ?          Negative    Lehn, 1988 
    mutation assay

    UDS                 Rat hepatocytes            5-30 mg/ml          ?          Negative    Cifone, 1987 

    Micronucleus test   Mouse                      2 x 1000 or 2 x     85.7%      Negative    Herbold, 1982 
                                                   2000 mg/kg bw

    Micronucleus test   Mouse                      not known           ?          Negative    Rolandi et al., 1984 

    Dominant lethal     NMRI mice                  500 mg/kg bw        ?          Negative    Machemer, 1974b

                                                                                                                   
    

    control groups of 10 animals each.  Following intradermal induction
    with 0.1% propineb and topical induction with 25% propineb, the
    first challenge was carried out using 25% propineb.  A positive
    response was seen in all 20 test animals, against no positive
    reactions in the first control group.  A second challenge was
    carried out using 2.5% propineb.  Positive reactions were seen on
    this occasion in 18 test animals against 4 in the control group. 
    This study therefore detected clear indications of the allergic
    potential of propineb in guinea-pigs (Heimann, 1987).

         In a further experiment, propineb (premix, 83.3% purity) was
    tested for possible skin sensitizing potential in guinea-pigs in a
    Buhler patch test employing a test group and two control groups of
    12 animals each.  Following epicutaneous induction with 50%
    propineb, challenge was carried out with 2.5% and 50% propineb.  The
    test material was tolerated without reaction and this study revealed
    no indication of a skin sensitizing potential of propineb in guinea-
    pigs (Flucke, 1989).

         Irritant and/or allergizing characteristics of propineb in
    humans was not confirmed. Between 1964 (when production began) and
    1988 no allergies or skin sensitizing reactions associated with
    propineb were recorded, "even though skin contact had been frequent
    as a result of cleaning work" (Mueller, 1988).

    Observations in humans

         No information available.

    COMMENTS

         Orally administered propineb in rats is rapidly absorbed and
    excreted largely via urine and faeces.  Although there was some
    evidence of excretion by exhalation, the available metabolic data
    (which detected PTU and propyleneurea as the main urinary
    metabolites along with propylenediamine and a small amount of 4-
    methylimidazoline) found no metabolites which could be considered as
    potential intermediates for degradation to CO2.  Study results
    indicated that a proportion of the administered dose accumulates
    temporarily in the thyroid.  Although most elimination occurred
    within 4 days of dosing, the half-life of elimination for the
    proportion remaining was relatively long.  This could be due to
    incorporation of portion of the molecule into endogenous substances
    following metabolism, which would also account for the radioactivity
    eliminated with exhaled air.

         Propineb has moderate to low acute toxicity in mice, rats,
    hamsters, cats and sheep.  WHO has classified propineb as unlikely
    to present acute hazard in normal use.

         The results of toxicity studies clearly indicate that propineb
    has a goitrogenic effect in rats, although no similar finding was
    noted in rabbits or dogs.  In a 62-day study in male rats using
    dietary levels of 0, 2, 10, 50 or 250 ppm, the NOAEL was 10 ppm
    (equal to 0.74 mg/kg bw/day), based on changes in thyroxine
    concentration and increased thyroid weight at higher doses. 
    Although in a later 63-day study using dietary levels of 0, 0.2,
    0.6, 2 or 10 ppm slight hyperplasia was seen in the thyroid in 2
    rats out of 10 treated with 10 ppm, this finding was considered not
    to be a permanent adverse effect in rats.

         In a comparative study in rats of the effects of propineb, PTU,
    ETU, zineb and methyl thiouracil on thyroid weight, propineb had
    only a moderate effect compared to methyl thiouracil, whereas PTU
    had an equivalent effect to that of methyl thiouracil and was
    somewhat stronger than ETU.  These results suggest that the effects
    of propineb on the thyroid in rats may be caused primarily by the
    metabolite, PTU.  Dogs tolerated much higher doses of propineb,
    dietary administration of 3000 ppm, equivalent to 75 mg/kg bw/day,
    causing no adverse effects over 2 years.

         In long-term studies, treatment-related alterations in tumour
    incidence were seen in rats and mice.  In mice treated with 0, 50,
    200 or 800 ppm, an increase in hepatocellular adenomas was seen in
    males only, at the highest dose tested, but there was no increase in
    the incidence of hepatic carcinomas and no similar effect in
    females. The NOAEL was 200 ppm, equal to 26 mg/kg bw/day, based on
    this change in hepatic tumour incidence.  In rats, there were two
    studies, using dietary levels of 0, 1, 10, 100, 1000, 2000 or 8000

    ppm in the first and 0, 5, 10, 25, 50 or 100 ppm in the second.  The
    overall NOAEL was 50 ppm, equivalent to 2.5 mg/kg bw/day, based on
    increased kidney and liver weight (without histological correlation)
    and increased thyroid weight at 100 ppm and above.  An increase in
    thyrotropin-related thyroid tumours and skeletal muscle degeneration
    was seen in rats at dietary levels of 1000 ppm and greater, but
    these doses were accompanied by increased mortality.

         In a three-generation reproduction study in rats using dietary
    levels of 0, 20, 60, 200 or 600 ppm the NOAEL was 60 ppm, equivalent
    to 3 mg/kg bw/day, with adverse effects on maternal health and
    impaired reproductive performance seen at higher doses.

         Teratogenicity studies indicated that propineb has teratogenic
    potential in rats, but no evidence of teratogenicity was seen, even
    in the presence of maternal toxicity, in rabbits.  In rats, using
    dose levels of 0, 3, 10, 30 or 100 mg/kg bw/day, the NOAELs were 10
    and 30 mg/kg bw/day for maternal and embryo/fetotoxicity,
    respectively, with evidence of teratogenicity at 100 mg/kg bw/day. 
    In rabbits, using dose levels of 0, 10, 30 or 100 mg/kg bw/day, the
    NOAEL for maternal toxicity was 10 mg/kg bw/day, while there was no
    evidence of teratogenicity or embryo/fetotoxicity at 100 mg/kg
    bw/day, the highest dose tested.

         Propineb has been adequately tested in a series of genotoxicity
    assays from which the Meeting concluded that it is not genotoxic.

         An ADI was allocated to propineb, which was based on the NOAEL
    from the short-term thyroid function study in rats (10 ppm, equal to
    0.74 mg/kg bw/day) using a safety factor of 100.

    TOXICOLOGICAL EVALUATION

    Level causing no toxicological effect

         Mouse:    200 ppm in the diet, equal to 26 mg/kg bw/day 
                   (2-year study)

         Rat:      10 ppm in the diet, equal to 0.74 mg/kg bw/day 
                   (62-day thyroid function study)
                   50 ppm, equivalent to 2.5 mg/kg bw/day (2-year study)

         Dog:      3000 ppm in the diet, equivalent to 75 mg/kg bw/day
                   (2-year study).

    Estimate of acceptable daily intake for humans

              0-0.007 mg/kg bw

    Studies which will provide information valuable in the continued
    evaluation of the compound

         Observations in humans.

    REFERENCES

    Becker, H., Vogel, W. & Terrier, Ch. (1988) Embryotoxicity
    (including teratogenicity) study with LH 30/Z in the rabbit. Report
    R 4460, Research and Consulting Company AG, Itingen, Switzerland.
    Unpublished report submitted to WHO by Bayer AG.

    Brune, H., Deutsch-Wenzel, R., & Mohr, U. (1980) Toxicology
    examination of propineb in a chronic feeding study on NMRI mice.
    Biological laboratory of Dr. Brune (Hamburg), Report No. R 1792.
    Unpublished report submitted to WHO by Bayer AG.

    Cifone, M.A. (1987) Mutagenicity Test on LH 30/Z in the rat primary
    hepatocyte unscheduled DNA synthesis assay. Hazleton Laboratories
    America, Inc., Report No. TR 4086. Unpublished report submitted to
    WHO by Bayer AG.

    Ecker, W. (1975) l4C-Antracol, metabolism studies on orally dosed
    rats. Pharma report No. PH 5352. Bayer AG, Isotope Chemistry
    Laboratory, Institute for Pharmacokinetics. Unpublished report
    submitted to WHO by Bayer AG.

    Flucke, W. & Kimmerle, G. (1977) Propineb (LH 30/Z), triadimefon
    (MEB 6447). study for acute toxicity after simultaneous
    administration of both active ingredients. Bayer AG Institute of
    Toxicology, Report No. 7065. Unpublished report submitted to WHO by
    Bayer AG.

    Flucke, W. (1989) Propineb: Study for skin sensitising effect on
    guinea-pigs (Buhler's patch test). Bayer AG, Department of
    Toxicology. Report No. 17734. Unpublished report submitted to WHO by
    Bayer AG.

    Hatano Institute, Food and Drug Safety Centre (1978): Report of the
    mutagenicity study of Propineb. Unpublished report submitted to WHO
    by Bayer AG.

    Heimann, K.-G. (1987) Propineb, Study for skin sensitising effect on
    guinea-pigs. Bayer AG, Institute of toxicology. Report No. 15897.
    Unpublished report submitted to WHO by Bayer AG.

    Herbold, B. (1980a) LH 30/Z (Propineb, Antracol - Active ingredient)
     Salmonella/microsome test to evaluate for point mutation. Report
    No 9321, Bayer AG, Institute of Toxicology. Unpublished report
    submitted to WHO by Bayer AG.

    Herbold, B. (1982) LH 30/Z - Propineb - antracol - active ingredient
    - micronucleus test in mice. Report No 10974, Bayer AG, Institute of
    Toxicology. Unpublished report submitted to WHO by Bayer AG.

    Hoffmann, K. (1983) LH 30/Z (Antracol active ingredient), acute
    toxicity for sheep after oral administration. Bayer AG Institute of
    Toxicology, Report No. 11463. Unpublished report submitted to WHO by
    Bayer AG.

    Kimmerle, G. (1972) Comparative test of Antracol, Propylene
    thiourea, zineb and ethylene thiourea for thyroid action in rats.
    Report No 3551, Bayer AG, Institute of Toxicology. Unpublished
    report submitted to WHO by Bayer AG.

    Kroetlinger, F., Loeser, E., Kalinger, G. (1980) Propineb (antracol
    active ingredient) - subchronic toxicology study to establish the
    dose-time-effect relationship for the thyroid (feeding study over 9
    weeks). Report No 9313, Bayer AG, Institute of Toxicology.
    Unpublished report submitted to WHO by Bayer AG.

    Larsson, S.K., Arnander, C., Cekanova, E. & Kjellberg, M. (1976)
    Studies of teratogenic effects of the Dithiocarbamates Maneb,
    Mancozeb, and Propineb.  Teratology, 14: 171-183.

    Lehn, H. (1988) LH 30/Z - Mutagenicity study for the detection of
    induced forward mutations in the CHO/HGPRT assay  in vitro. Report
    No 16840, Bayer AG, Department of Toxicology. Unpublished report
    submitted to WHO by Bayer AG.

    Loeser, E. (1967) Bay 46131 - Subchronic feeding study on dogs.
    Report No 450, Bayer AG, Institute of Toxicology. Unpublished report
    submitted to WHO by Bayer AG.

    Loeser, E. (1968) Bay 46131 - Study of the reversibility of
    enlargement of thyroids in rats. Report No 836, Bayer AG, Institute
    of Toxicology. Unpublished report submitted to WHO by Bayer AG.

    Loeser, E. (1969) Bay 46131 - Subchronic toxicology study in rats
    (investigation over 3 months). Report No 1500, Bayer AG, Institute
    of Toxicology. Unpublished report submitted to WHO by Bayer AG.

    Loeser, E. (1973a) Bay 46131 - Chronic toxicity study in dogs
    (duration 2 years). Report No 4213, Bayer AG, Institute of
    Toxicology. Unpublished report submitted to WHO by Bayer AG.

    Loeser, E. (1973b) Bay 46131 - Multigeneration study in rats. Report
    No 4214, Bayer AG, Institute of Toxicology. Unpublished report
    submitted to WHO by Bayer AG.

    Loeser, E. (l974a) Chronic toxicity studies on Rats (2-year feeding
    experiment). Report No 4927, Bayer AG, Institute of Toxicology.
    Unpublished report submitted to WHO by Bayer AG.

    Loeser, E. (l974b) Chronic toxicity studies on Rats (2-year feeding
    experiment). Report No 4608, Bayer AG, Institute of Toxicology.
    Unpublished report submitted to WHO by Bayer AG.

    Machemer, L. (1974a) LH 30/Z (antracol active ingredient) -
    investigation of embryotoxicity and teratogenicity in rats following
    oral administration. Report No 4895, Bayer AG, Institute of
    Toxicology. Unpublished report submitted to WHO by Bayer AG.

    Machemer, L. (1974b): LH 30/Z (antracol active ingredient) -
    dominant lethal test in the male mouse. Report No 4795, Bayer AG,
    Institute of Toxicology. Unpublished report submitted to WHO by
    Bayer AG.

    Mihail, F. & Kaliner, G. (1979) LH 30/Z (antracol active
    ingredient), subacute dermal cumulative toxicity study on rabbits.
    Bayer AG Institute of Toxicology, Report No. 8322. Unpublished
    report submitted to WHO by Bayer AG.

    Mueller, H. (1988) Internal company memorandum, Bayer AG Medical
    Department, to Dr Machemer, Bayer AG, Institute of Toxicology.
    Unpublished document submitted to WHO by Bayer AG.

    Patschke, K., Wegner, L.A. (1975) Antracol-l4C, biokinetic studies
    on rats after oral application. Report No. PH 5268. Bayer AG,
    Institute for Pharmacokinetics. Unpublished report submitted to WHO
    by Bayer AG.

    Rolandi, A., De Marinis, E. & De Caterina, M. (1984) Dithiocarbamate
    pesticides, activity of propineb in the micronucleus test in mice.
     Mut. Res. 135: 193-197.

    Thyssen, J. & Kimmerle, G. (1978) Antracol active ingredient (LH
    30/Z), acute toxicological study. Bayer AG Institute of Toxicology,
    Report No. 7208. Unpublished report submitted to WHO by Bayer AG.

    Thyssen, J. & Mohr (1979) Antracol active ingredient, subacute
    inhalation study on rats. Bayer AG Institute of Toxicology, Report
    No. 8334. Unpublished report submitted to WHO by Bayer AG.

    Vicari, L., De Dominicis, G., Vito, M., Placido, C., de Marinis, E.
    (1985) Teratogenic and goitrogenic activity of propineb and
    propylene thiourea in the Rat.  Boll. Soc. It. Biol. 61: 271-278.

    Weber, H. (1980) - Biokinetics of antracol-14C (PH-Report No 5268)
    and propylene thiourea (PH-Report No 7397). Bayer AG, Institute. for
    Pharmacokinetics. Unpublished report submitted to WHO by Bayer AG.

    Weber, H., Dressler, H.F. (1980) Effect on thyroid function of male
    rats following subchronic administration of propineb (antracol-
    active ingredient). Report No 9268, Bayer AG, Isotope and Biokinetic
    Laboratory. Unpublished report submitted to WHO by Bayer AG.

    Weber, H., Mager, H., Hartman, E. (1991) Propineb feeding study:
    Effect on thyroid function in male Wistar rats at low dose levels up
    to 10 ppm for a time interval up to 63 days. Bayer AG Department of
    Toxicology. Report No. PF 3475. Unpublished report submitted to WHO
    by Bayer AG.

    WHO (1992). The WHO recommended classification of pesticides by
    hazard and guidelines to classification 1992-1993 (WHO/PCS/92.14).
    Available from the International Programme on Chemical Safety, World
    Health Organization, Geneva, Switzerland.


    See Also:
       Toxicological Abbreviations
       Propineb (Pesticide residues in food: 1977 evaluations)
       Propineb (Pesticide residues in food: 1984 evaluations)
       Propineb (Pesticide residues in food: 1985 evaluations Part II Toxicology)