IPCS INCHEM Home

    MANEB

    First draft prepared by
    A. Kocialski
    Office of Pesticide Programs,
    US Environmental Protection Agency, Washington, DC, USA

    EXPLANATION

         Maneb was evaluated by the Joint Meetings in 1963, 1965, 1967,
    1970, 1974, 1977 and 1980 (Annex I, references 2, 4, 8, 14, 22, 28,
    34).  An ADI of 0-0.05 mg/kg bw was established at the 1980 Meeting
    for maneb, or the sum of any combination of maneb, mancozeb and
    zineb, of which not more than 0.002 mg/kg bw may be present as
    ethylenethiourea (ETU).

         This monograph summarizes new or not previously reviewed data
    on maneb, as well as relevant data from previous monographs and
    monograph addenda on this substance.

    EVALUATION FOR ACCEPTABLE DAILY INTAKE

    Biological data

    Biochemical aspects

    Absorption, distribution and excretion

    Rats

         Sprague-Dawley rats (CD-Crl:CD[SD]BR) were divided into three
    experimental groups of 5 animals/sex/dose and treated as follows:
    Group B received a single oral dose by gavage of the radiolabelled
    test compound (purity not stated) at 25 mg/kg bw, Group C received
    oral gavage doses of unlabelled test compound (80% wettable powder
    formulation) daily for 14 days at 25 mg/kg bw followed by a single
    oral gavage dose of radiolabelled test compound at 25 mg/kg bw on
    day 15, and Group D received a single oral gavage dose of
    radiolabelled compound at 2235 mg/kg bw.  Animals were then placed
    in individual metabolism cages and observed daily. Expired carbon
    dioxide, urine and faecal samples were collected at 6, 12, 24, 48,
    72, 96 and 120 hours from all groups and from the high-dose group
    only at 144 and 168 hours.  Blood samples were collected at
    termination and the following tissues excised for determination of
    14C residues, bone (femur), brain, fat, gonads, heart, kidney,
    thyroid, liver, lung, blood, muscle (thigh), spleen and residual
    carcass.

         There were no treatment-related effects in animals receiving 25
    mg/kg bw.  Hypoactivity, excessive salivation, and soft faeces were
    observed in animals given the high dose.  One male died and one male
    was sacrificed in a moribund condition at the high dose.  There were
    no differences between sexes within groups with regard to excretion
    patterns, with the maximum difference between sexes within each
    group for urine and faeces generally not greater than 3%.  14C
    urine and faeces values for sexes combined at 120 hours were 51% and
    29% and 60% and 28% for groups B and C, respectively. Greater than
    90% of the absorbed 14C was eliminated in urine by 24 hours in
    males and females. Mean urine and faeces values for sexes combined
    at the high dose (Group D) at 7 days were 40% and 38%, respectively. 
    Less than 1% of the dose was eliminated as carbon dioxide in all
    dose groups.  The 14C concentration in rat blood at termination was
    less than 0.02% of the administered dose.  The average 14C
    concentration (as percent of dose per gram of tissue) was greatest
    for the thyroid followed by the kidney and liver in Groups B and C.

         The percent of 14C present in urine as ETU at 12 hours after
    oral administration was 21.3%-25.7% in males and 27.7%-30.4% in
    females, on a mole/mole basis, for all groups.  The percent of 14C
    present in faeces as ETU at 24 hours was 3.7% in males and females

    of Group B, 12% and 6% in males and females, respectively in Group
    C, and 50% in males and 42% in females in the high-dose group.  The
    percent of 14C in urine present as maneb (and/or other carbon
    disulfide generators) was 0.08%-0.14% in males and 0.12%-0.34% in
    females, for all groups (Puhl, 1985).

         Groups of male Charles River rats (32 animals/group) were
    treated with a single dermal application of 14C maneb technical
    formulation (98% radio-purity, 91% chemical purity) at doses of
    0.08, 0.71 or 8.9 mg/rat.  A fourth group was given 0.08 mg/rat of
    14C maneb in deionized water.  Doses were applied to 10 square
    centimetres of the shaved anterior dorsal area of each animal.  Four
    animals from each group were exposed to 14C maneb for either 0.5,
    1.0, 2.0, 4.0, 10 or 24 hours and sacrificed at the end of the
    exposure period.  Two additional groups were exposed at each dose
    level and then sacrificed at 48 and 72 hours after the initial
    exposure.  Animals treated with 0.08, 0.71 or 8.9 mg/rat and exposed
    from 0.5 to 10.0 hours showed skin absorbtion values ranging from
    0.1% to 0.5%.  14C in blood and urine was less than the limit of
    quantitation (LOQ).  The amount of 14C bound to skin ranged from
    1.56 to 7.76%.  These same groups of animals exposed for 24 hours
    and sacrificed at 24 hours showed skin absorbtion values ranging
    from about or below the LOQ to 0.25%.  The amount of 14C found in
    blood was at or below 0.01%.  The amount detected in urine was less
    than 0.26%.  14C bound to skin ranged from a low of 2.56% to 6.99%. 
    Group four animals exposed to 0.08 mg/rat for 10 hours and
    sacrificed at 10 hours showed skin absorbtion values ranging from
    0.19% to 3.18%.  Blood values ranged from 0.01% to 0.06%, and urine
    values ranged from 0.28% to 1.56%.  The percent bound to skin was
    between 22.79 to 34.53%.  Group four animals exposed to 0.08 mg/rat
    and sacrificed at 24 hours had the following values - 6.5% absorbed
    through skin, 0.01% found in blood, 3.05% detected in urine and
    26.8% bound to skin (Craine, 1991).

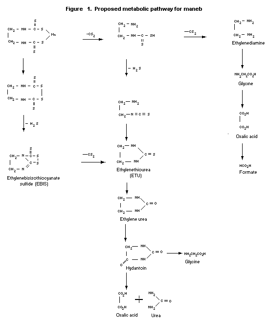
    Biotransformation

         The biotransformation pathway for maneb in rats is shown in
    Figure 1.

    Toxicological studies

    Acute toxicity studies

         Summaries of acute toxicity data for maneb technical and maneb
    75% dust are given in Tables 1 and 2.  WHO has classified maneb as
    unlikely to present acute hazard in normal use (WHO, 1992).

    FIGURE 01


        Table 1.  Acute toxicity of maneb technical
                                                                                                           
    Species        Strain              Sex          Route          LD50           LC50        Reference
                                                                (mg/kg bw)       (mg/l)
                                                                                                           

    Rat1           Crl:CD BR           M/F          oral          > 5000                      Naas, 1989a

    Rat2           Crl:CD BR           M/F         inhal.                         7.38        Terrill, 1990

    Rabbit3        NZW                 M/F         dermal         > 2000                      Naas, 1989b

                                                                                                           

    1    Deionized water as vehicle; 3/5 males died, 0/5 females died.
    2    Dose only 4 hour exposure, respirable dust of 3.8 microns.  Analytical LC50 of 5.34 mg/l 
         for males and greater than 7.38 mg/l for females. 14 day observation period. 
         Respiratory distress and decreased body-weight were the major clinical signs.
    3    Deionized water as vehicle.


    Table 2.  Acute toxicity of maneb DF1
                                                                                                           
    Species        Strain              Sex          Route          LD50           LC50        Reference
                                                                (mg/kg bw)       (mg/l)
                                                                                                           

    Rat2           Sprague-Dawley      M/F          oral          > 5000                      Glaza, 1988a
                   CD(R)

    Rat3           Sprague-Dawley      M/F       inhal. 4 h                       > 2.0       Hoffmann, 1991
                   CD(R)                          exposure

    Rabbit4        NZW                 M/F         dermal         > 2000                      Glaza, 1988b

                                                                                                           

    1    Maneb DF (75% Dust)
    2    Uniform suspension in deionized water
    3    Mean exposure concentration 2.0 mg/l with a nominal concentration of 53 mg/l. 
         Mass Median Aerodynamic Diameter was 3.3 microns with an average 
         Geometric Standard Deviation of 2.4, and 8.8% of particles were 
         less than one (1) micron in size. There were no deaths during the whole body exposure.
    4    0.9% saline vehicle
    

    Short-term toxicity studies

    Rats

         Sprague-Dawley (Crl:CD BR) rats (32/sex/dose; control 16/sex)
    received a nose-only exposure to maneb technical (86.8% purity
    adjusted to 100%) for 6 hours/day, five days a week for 4 weeks at a
    target level of 100 mg/m3 (particle size ranged from 3.45-3.83
    microns).  All animals survived to scheduled sacrifice and compound-
    related signs were unremarkable.  T4 and TSH values in males and
    TSH values in females were decreased during week one only.  However,
    results for treated males were generally less than control values
    for the remainder of the study and were not considered biologically
    meaningful.  Results for females were generally comparable to
    controls.  Gross necropsy was not remarkable between treated and
    controls.  Mean absolute lung weights for both sexes were comparable
    to controls but relative weights increased.  Mean terminal body-
    weights were decreased for both sexes and paralleled the increased
    relative lung to body-weight ratio.  Residue levels of maneb,
    manganese and ETU generally remained fairly constant during the
    exposure period and was less than the limit of detection after the
    recovery period.  During weeks 1-4, residue levels in lungs for
    males ranged between 3.9-7.9 ppm (7.9-6.8 ppm for weeks 2 and 4) for
    maneb; 4.8-6.0 ppm for manganese and 0.12-0.19 ppm for ETU; for
    females 2.1-4.2 ppm for maneb, 1.8-2.8 for manganese and < 0.1-0.12
    ppm for ETU.  Residue levels in the urine of females was generally
    less than the limit of detection for maneb and manganese while
    values for ETU generally ranged between 1.3 and 2.15 ppm during the
    exposure period and less than the limit of detection during the
    recovery phase.  Manganese was not detected in males and maneb and
    ETU were not detected during recovery. Maneb ranged from 1.3-6.6 ppm
    during exposure and ETU from 5-29 ppm (5.0-5.1 for weeks 2 and 4)
    (Terrill, 1991).

         Charles River Sprague-Dawley albino rats (28/sex/dose) received
    nose-only target inhalation exposures of 0, 10, 30 or 100 mg/m3 (0,
    10, 32, or 98 mg/m3 gravimetric concentration with an equivalent
    mean aerodynamic diameter of 3.5 [+/-2.0] microns) of technical
    maneb (purity not stated) for 6 hours a day, 5 days a week for 13
    consecutive weeks.  Measured concentrations of ETU for the low,
    middle, and high-dose groups were 0.12, 0.71 and 2.5 mg/m3. 
    Fourteen animals per sex per dose were sacrificed after 13 weeks of
    exposure and the remaining animals allowed to recover for 13 weeks
    and then sacrificed.

         There were no exposure-related effects on appearance or
    behaviour and no compound-related deaths.  Body weight of females
    exposed to the inter-mediate and high dose were depressed during the
    exposure period, whereas males had decreased body weights only at
    100 mg/m3 for weeks 1-3.  There were no exposure-related effects

    observed in ophthalmologic, haematologic (10 parameters) or serum
    biochemical measurements (21 parameters including T3 and T4) after
    the exposure period.  Absolute organ weights were comparable to
    control group.  There was no evidence of any dose-related
    macroscopic or microscopic changes in animals sacrificed at 13
    weeks.  ETU was detected in the urine of all exposed rats, in the
    thyroids of all high-dose animals, in the liver of two females of
    the intermediate-dose group and the plasma of one intermediate dose
    female.  ETU concentration in the urine was dose-related in both
    sexes but was much greater in females.  ETU mean residues in the
    thyroid for males were however much greater in males (23.6 µg/ml)
    than females (8.4 µg/ml).  Maneb residues were also found in urine
    of both sexes.

         At the end of the 13-week recovery period no differences were
    observed among the treated groups that could be attributed to test
    material exposure when compared to controls.  ETU and maneb residues
    were not detected in any tissue or body fluids measured after a 13-
    week recovery period.  The NOAEL was 10 mg/m3 based on decreased
    body weight at 30 mg/m3 (Ulrich, 1986, 1987).

         Sprague-Dawley derived Crl:CDBR rats (15 animals/sex/dose)
    received dietary concentrations of 0, 80, 400 or 1300 ppm of maneb
    technical (78% purity). Ten animals/sex/dose were sacrificed at 14
    weeks and 5 animals/sex/dose were placed on a 4-week recovery period
    and sacrificed at 17 weeks.  There were no overt signs of toxicity
    or dose-related effects on mortality, ophthalmology or haematology. 
    Body-weight gains for males and females at 1300 ppm were
    significantly decreased at 13 weeks.  At week 17, body weights of
    high-dose males were comparable to the control group, while female
    body weight was 10% lower than controls.  Food consumption was
    comparable to controls.

         A dose-related decrease in T4 levels and a concomitant
    increase in TSH levels were seen in dosed females at 14 weeks.  The
    decrease in T4 levels was significant at the high dose.  In males
    T4 values were slightly decreased and TSH values slightly increased
    at 1300 ppm. T4 values for males and females were similar to or
    higher than concurrent controls at the end of the recovery period,
    while TSH values were similar to or lower than controls. T3 values
    were increased, but not statistically significant in high-dose males
    and females at 14 weeks and in females at the end of the recovery
    period.  T3 values for males at the high dose were comparable to
    controls at the end of the recovery period.  There were no changes
    of toxicological significance in other clinical chemistry
    parameters.  A dose-related trend (dose-related increase) was
    evident for thyroid/parathyroid weights of dosed males and females. 
    Absolute weights were significantly increased in males at 400 and
    1300 ppm, and relative weights were significantly increased in high-
    dose males.  Thyroid/parathyroid weights of dosed and control

    animals were similar following a 4-week recovery period.  There were
    no compound-related changes in macroscopic pathology in dosed
    animals at 14 or 18 weeks.  Follicular cell hyperplasia of the
    thyroid was observed in 1/10 mid-dosed males, 10/10 high-dosed males
    and 2/10 high-dosed females compared with none in the controls. 
    Increased colloid of the thyroid was also exhibited in 4/10 high-
    dose males.  Thyroid changes regressed following the recovery phase.
    However one high-dose male manifested a follicular cell adenoma. 
    Granular renal pigment was observed in 2/10 low-dose males and all
    animals in the mid and high-dose groups. However, the incidence of
    chronic progressive nephropathy was similar in dosed and control
    males and females.  At the end of the recovery period a reduction in
    the incidence and amount of renal pigment was reported in 3/5 mid-
    dose and 3/5 high-dose males and 4/5 mid-dose and 4/5 high-dose
    females.  The NOAEL was 80 ppm, equal to 5.0 mg/kg bw/day, based on
    an increase in absolute thyroid weight and thyroid follicular cell
    hyperplasia at 400 ppm (Trutter, 1988).

    Rabbits

         New Zeeland white rabbits (five animals/sex/dose) were
    administered 0 (sham treated), 100, 300 or 1000 mg/kg bw/day of 86%
    maneb technical (adjusted to 100%) and applied to the shaved (10%)
    dorsal intact skin area.  Applications were made for 6 hours a day,
    5 days a week for 3 weeks.  Clinical findings, body weight, food
    consumption and organ weights were comparable to controls. Values
    for haematology and serum chemistry were comparable between treated
    and control groups.  Gross signs of skin irritation were observed in
    2/10, 8/10 and 10/10 animals at the low, mid and high-dose. 
    Erythema was not observed at 100 mg/kg bw/day and edema was not
    observed at 100 or 300 mg/kg bw/day (Draize method).  Erythema when
    present was generally graded slight as was edema. Epidermal scaling
    was observed in 2, 8, and 10 animals at the low-, mid- and high-
    doses.  Histopathology showed epidermal irritation at the site of
    application in all dose groups, which was characterized by minimal
    to slight acanthosis and hyperkeratosis.  Follicular cell
    hypertrophy of the thyroid was observed in 7/10 animals at 1000
    mg/kg/day.  Increased colloid material was observed in 2 and 4
    females at 300 and 1000 mg/kg/day, respectively (Trutter, 1988).

    Dogs

         Beagle dogs (2 animals/sex/dose) received dietary
    concentrations of technical maneb (91.58% purity) of 0, 100, 400 or
    1600 ppm for 13 weeks.  At the high dose, diarrhoea was observed in
    1 male and 1 female with attendant decreased activity in the female.
    Body weight was decreased 20% and food consumption 30% in high-dose
    females.  Body weight and food consumption were comparable between
    treated and control groups for males.  Slight to marked anaemia was
    observed in 1 male and 1 female at 6 and 13 weeks with enhanced 

    erythropoietic activity in all dogs at the high dose. T3 and T4
    values were decreased in both sexes at 1600 ppm at six weeks but not
    13 weeks.  Total lipid, cholesterol, triglyceride and phospholipid
    concentrations were slightly increased in males at 6 and 13 weeks. 
    Fluctuations for these parameters were also observed in one high-
    dose female along with slight to moderate increases in glutamate
    dehydrogenase and GGT activity and slight decreases in plasma
    calcium, creatinine and total protein concentrations at 6 weeks.
    Post-mortem examination revealed increased thyroid weight in 1 male
    and 1 female at 1600 ppm.  Increased liver to body-weight ratio was
    also observed in the second female.  One male and 1 female of the
    high-dose group also manifested enlargement or thickening of the
    thyroid gland upon macroscopic examination. Microscopic examination
    revealed moderate to severe thyroid follicular cell hyperplasia in
    high-dose males.  One female at 400 ppm manifested slight thyroid
    follicular cell hyperplasia; both females in the 1600 ppm group
    showed thyroid follicular cell hyperplasia ranging from slight to
    minimal.  A minimal degree of thyroid follicular cell hypertrophy
    was recorded for 1 male at 400 ppm and 1 female at 100 ppm.  A
    slight focus of hypertrophic cells in the adenohypophysis of the
    high-dose male, which had a severe thyroid follicular cell
    hyperplasia was also observed.  The NOAEL was 100 ppm, equal to 3.7
    mg/kg bw/day, based on thyroid follicular cell hyperplasia at 400
    ppm (Allen  et al., 1989).

         Beagle dogs (5/sex/dose) were given dietary concentrations of
    0, 50, 200, 1000 or 2200 ppm of maneb (89.2% purity) for 52 weeks. 
    No deaths occurred during the study.  Diarrhoea was observed in dogs
    at 1000 ppm (1/5 females) and 2200 ppm (3/5 males and 1/5 females).
    Body weight for males was generally comparable between treated and
    control groups.  High-dose females displayed lower body weights
    compared to controls.  Body-weight gain was decreased in both males
    and females at 2200 ppm.  Group mean food intake at 2200 ppm was
    decreased in males and females.

         Ophthalmological examination revealed no adverse effects at any
    dose level.  Mean erythrocyte count, haemoglobin concentration, and
    haematocrit at 200, 1000 and 2200 ppm were significantly decreased
    at 13 weeks only in females. Increased mean cell volumes were
    observed at 2200 ppm in males and 1000 ppm in females.  Decreased
    mean cell haemoglobin concentration was reported in both sexes at
    2200 ppm along with reticulocytosis and polychromasia.  Platelet
    counts were increased in both sexes at 2200 ppm and in males at 1000
    ppm. T4 values were decreased at 2200 ppm in males and females. 
    T3 was markedly depressed at 2200 ppm for both sexes. Increased
    group mean values for cholesterol, total lipids, and phospholipids
    were dose-related and statistically significant but only at 2200 ppm
    for some of the parameters of either sex.  Bilirubin values were
    increased in males and females at 2200 ppm as was ALP.  Urinalysis
    findings were comparable between treated and controls.  Neurological

    examinations of postural reactions, spinal reflexes and of cranial
    nerves revealed no treatment-related effects.  The absolute and
    relative weight of the thyroids was increased in both sexes at 2200
    ppm as was the adrenal weight.  Thyroid enlargement and/or
    thickening was observed in all dogs at 2200 ppm and 7/10 dogs at
    1000 ppm.  Thyroid follicular hyperplasia was reported for all dogs
    at 1000 and 2200 ppm.  Thyroid histopathology was unremarkable at
    lower dose levels.  There were no other findings suggestive of any
    treatment-related effect. The NOAEL was 200 ppm, equal to 6.4 mg/kg
    bw/day for males and 7.2 mg/kg bw/day for females, based on thyroid
    enlargement and thickening and thyroid follicular cell hyperplasia
    at 1000 ppm (Corney  et al., 1992).

    Monkeys

         Rhesus monkeys, (4/sex/group) received 0, 100, 300 or 3000 ppm
    of maneb technical (90% purity) in the diet for 6 months. At 6, 13
    and 26 weeks, all animals were administered 10 µCi of 131I (on an
    empty stomach) and determinations were made for 131I absorption into
    the thyroid at 2 and 48 hours post-dosing in conjunction with
    determinations for serum T4, T3, protein-bound 131I in serum and
    loss of 131I from the thyroid (i.e. half-life in days).

         Behaviour and external appearance of treated and control
    animals were comparable, and all females demonstrated normal
    menstrual discharges. Mean body-weight gains in animals (sexes
    combined) given 3000 ppm maneb were lower than those of controls and
    the low- and mid-dose groups.  Food consumption was unaffected.
    Haematology and clinical biochemistry revealed no meaningful
    differences between controls and treated groups.  However, studies
    conducted with 131I revealed significantly decreased 131I absorption
    by the thyroid in animals (sexes combined) receiving 3000 ppm at 26
    weeks.  131I uptake was decreased 40% in males and 35% in females.
    Protein-bound 131I was also decreased in animals (sexes combined) at
    3000 ppm with the decrease largely attributable to males.  Results
    of urinalysis and electrocardiograms were comparable between control
    and treated groups. Gross necropsy was unremarkable between groups.
    Absolute organ weights for thyroids were increased in monkeys (sexes
    combined) at 300 and 3000 ppm. However, statistical significance was
    reached only at the high dose and largely attributable to males. 
    Males also showed a greater increase at 300 ppm than did females. 
    Enlarged thyroid with large follicles, flat epithelium, and colloid
    described as somewhat darker than usual was reported for 7 animals
    at 3000 ppm.  Moderate proliferation of the epithelium was also
    present in two high-dose animals.  Only 1 animal at the high-dose
    had no thyroid-associated pathology.  The NOAEL was 100 ppm, equal
    to 7.3 mg/kg bw/day, based on an increase in thyroid weight at 300
    ppm (Leuschner  et al., 1977).

    Long-term toxicity/carcinogenicity studies

    Mice

         Crl:CD-1 (ICR) BR mice (75/sex/group) received dietary
    concentrations of 0, 60, 240 or 2400 ppm maneb technical (89.5%
    purity) for 79 weeks.  An interim sacrifice and necropsy was
    performed on 20 animals/sex/dose group at 52 weeks.  The mortality
    rate, clinical signs, and palpable masses were comparable between
    treated and control groups for both sexes.  Female body weight was
    decreased at 240 ppm and decreased for males and females at 2400
    ppm.  Erythrocytes, haemoglobin, and haematocrit were decreased at
    2400 ppm in both sexes at interim and terminal sacrifice.  T4
    levels were decreased at 2400 ppm in both sexes. T4 levels were
    also significantly decreased in females at 60 ppm and 240 ppm at
    terminal sacrifice. A dose-related trend was evident across all
    three doses. At terminal necropsy hepatic masses were evident and
    occurred at a greater frequency in high-dose males and females than
    controls. Organ-weight changes at 2400 ppm were biologically and
    statistically significant only for thyroid and only at terminal
    sacrifice. However, histopathology of the thyroid was unremarkable. 
    A significant increase was observed in high-dose males of
    hepatocellular adenomas at terminal necropsy.  The number of females
    with hepatocellular adenomas at terminal necropsy were comparable to
    controls.  However, the overall incidence of hepatocellular adenomas
    was significantly increased for both sexes at 2400 ppm.  The NOAEL
    was 60 ppm, equal to 11 mg/kg bw/day, based on decreased body weight
    and decreased T4 levels at 240 ppm.  Hepatocellular adenomas were
    observed at 2400 ppm in both sexes (Tompkins, 1992).

    Rats

         Sprague-Dawley (SIV 50) rats (90/sex/group) were fed dietary
    concentrations of maneb (90% purity) of 0, 30, 100, 300 or 1000 ppm
    for 31 months.  Interim sacrifices were conducted at 3, 6, and 12
    months on 5 animals/sex/dose and all survivors terminated at 31
    months.  Beginning at 26 weeks all animals were palpated once a
    week.  Haematology and clinical biochemistry parameters were
    evaluated at pre-test and 3, 6, 12, 18 and 24 months in 10
    animals/sex/dose.  At 3, 6, 12 and 24 months, 10 animals/sex/dose
    were gavaged with 131I (10 µCi) and determinations made for the
    biological half-life of 131I in thyroid over a 10-day period, 131I
    serum activity, protein bound 131I in serum, serum T4, and the
    binding index of T3. Tumour and mortality rates were compared
    statistically by means of analysis of variance according to the
    method of Peto.

         Behaviour, appearance, food consumption and mortality were
    comparable between treated and control groups.  Body weights at 31
    months were within the normal range.  However, body weights were

    decreased 25% in males and 40% in females at 12 and 24 months. There
    were no significant differences between groups or any apparent dose-
    related trends in any of the haematology or clinical biochemistry
    parameters measured.  131I retention time in the thyroid was
    significantly increased only at the high dose tested for males at 6
    and 12 months and females at 6 months.  Values for 1000 ppm animals
    were slightly increased but not statistically significant.  Mean
    serum T4 was not significantly different between groups for any
    time period.  However, T4 values at 1000 ppm at 6 and 12 months
    were decreased 10% in males and 20% in females.  Urinalysis
    comparisons between groups were unremarkable. Thyroid weights were
    increased at 1000 ppm in males and in females when compared to
    controls at 31 months.

         All other absolute and relative organ weights appeared
    comparable to control values.  Macroscopic and microscopic
    examination of animals sacrificed during the interim periods
    (5/sex/dose) revealed no compound-related changes.  Gross and
    histopathology of 75 animals (inter-current deaths and terminal
    sacrifice) per sex in the control group and high-dose group did not
    reveal compound-related non-neoplastic or neoplastic changes. 
    Additional histological examination of liver, kidney and urinary
    bladder in both sexes at all lower doses also revealed no compound-
    related non-neoplastic or neoplastic changes. The NOAEL was 300 ppm,
    equal to 20 mg/kg bw/day, based on decreased body weight, an
    increase in the half-life retention time of 131I in the thyroid,
    decreased T4 values and an increased absolute thyroid weight at
    1000 ppm (Leuschner  et al., 1979, 1986a,b; Leuschner 1991).

    Reproduction studies

    Rats

         Male and female rats (Crl:CD(SD)BR VAF/Plus) were randomly
    assigned by weight into 4 groups of 28 (F0) and 24 (F1) males and
    females per group and received 0, 75, 300 or 1200 ppm of maneb (80-
    90% purity) in the diet.  Animals were bred for 1 litter in each of
    2 consecutive filial generations.  There were no treatment-related
    deaths or clinical signs at the low-or mid-dose.  One high-dose
    female in the F0 and F1 generation died.  Both females had
    locomotor difficulties and appeared thin.  The second generation
    female also suffered from hind limb paralysis.  Signs were
    considered treatment-related. Overall food consumption was decreased
    for the F0 and F1 males and females.  There was an increase in the
    food conversion ratio for females of both generations during the
    early part of mating.  There was also a dose-related increase in
    water consumption at the mid and high-dose for males and females of
    the F0 and F1 generation during the final two weeks prior to
    mating.  No change in food or water consumption was observed at the
    low dose.  F1 females had a 20% decrease in food consumption at

    1200 ppm and a 10% decrease at 300 but values were not statistically
    significant.  Body-weight gains were significantly lower for males
    and females of the F0/F1 generations at 1200 ppm and for females
    of the F0 generation at 300 ppm.  Body weight for dams of the F0
    and F1 generations during the periods of gestation and lactation
    was decreased only at 1200 ppm of the F1 generation.  Body-weight
    gain, however, during the lactation period for the F0 and F1 dams
    was substantially increased at 1200 ppm.

         The mating performance, pregnancy rate and gestational period
    for treated groups was comparable to the control group.  Adult gross
    pathology revealed a slight but apparently dose-related increase in
    the number of enlarged cervical lymph nodes for males of the mid-
    and high-doses of the F0 and F1 generation.  The increase was not
    reported as statistically significant.  Slight but apparently dose-
    related increases were also reported for fluid distention of the
    uterus in both generations of females, but the values were not
    statistically significant.  Minimal diffuse follicular epithelial
    hypertrophy/hyperplasia and centrilobular hepatocyte enlargement
    were observed in males at 1200 ppm in both generations.  Thyroid
    follicular cell adenomas were also observed in F1 males at 1200
    ppm.  High-dose females of both generations also manifested minimal
    diffuse follicular cell hyperplasia/hypertrophy.  At 300 ppm 2/23
    males of the F1 generation manifested thyroid follicular cell
    hyperplasia.  There were no apparent adverse effects of treatment on
    implantation rates, litter size or pup mortality.  A significant
    decrease in mean pup and litter weights was observed only at 1200
    ppm of the F1 generation and F2 generation.  The startle response
    (reflex) was slightly delayed at the mid and high dose of both
    generations. Macroscopic examination of selected tissues showed no
    compound-related effects.  Liver weights were increased (organ
    weight/body-weight ratio) in both sexes of the F1 generation at 75,
    300 and 1200 ppm, as well as for females of the F0 generation at
    300 and 1200 pm.  Kidney weight was also increased in the F0
    generation males (1200 ppm) and females (300 and 1200 ppm). The
    NOAEL was 75 ppm, equal to 5.6 mg/kg bw/day for males and 6.2 mg/kg
    bw/day for females, based on increased organ to body-weight ratios
    for liver and kidney, and thyroid follicular cell hyperplasia at 300
    ppm (Ryle  et al., 1991).

    Special studies on embryotoxicity/teratogenicity

    Rats

         Sexually mature female Sprague-Dawley Crl:CD BR rats were
    inseminated by sexually mature males and randomly divided into 4
    groups of 25 dams each.  Pregnant dams were gavaged with 0, 20, 100
    or 500 mg/kg bw/day of maneb technical (90.4% purity) on days 6-15
    of gestation.  No dams died on study.  Neurobehavioural clinical
    signs (impaired mobility, hind limb paralysis, excessive

    mastication) were observed on day 11 of gestation and persisted
    throughout the study in high-dose treated females. Soft stools and
    decreased defecation was also reported.  Two high-dose females also
    exhibited pallor and decreased body temperature.  At 100 mg/kg
    bw/day soft stool was the only compound-related sign observed. 
    Clinical signs for low-dose treated animals were comparable to
    control animals.  At 100 and 500 mg/kg bw/day, maternal body weights
    and body-weight gain were significantly reduced.  Low-dose values
    were comparable to controls.  Terminal body weights were decreased
    at 100 and 500 mg/kg bw/day.  However, net body weight (i.e.
    terminal weight minus gravid uterine weight) was decreased only at
    the high dose, as was gravid uterine weight.  Food consumption was
    comparable between control group and low-dose females.  Food
    consumption was decreased at higher doses.  Caesarean section
    observations indicated no fetal deaths but, dose-related resorptions
    at the mid and high-dose levels which paralleled a dose-related and
    statistically significant increase in early resorptions. Post-
    implantation losses were also increased at the mid and high dose
    with concurrent decreases in the number of viable fetuses at the
    same dose levels.  Low-dose observations were comparable to
    controls.  External fetal observations were comparable to control
    group for all dose levels as were visceral malformations and
    variations.  Skeletal malformations were comparable between all
    experimental groups when compared on a litter or fetal basis. 
    Numerous skeletal variations were observed only in the high-dose
    group and were generally indicative of developmental delay as
    evidenced by reduced ossification of various skeletal structures. 
    These findings at the high dose also exceeded maximum values of the
    historical control data. The NOAEL for maternal toxicity and
    embryo/fetotoxicity was 20 mg/kg bw/day.  Maternal toxicity was seen
    at 100 mg/kg bw/day as decreased body weight and decreased food
    consumption.  Embryo/fetotoxicity was observed as increased (early)
    resorptions, increased post-implantation losses and a decrease in
    the number of viable fetuses at 100 mg/kg bw/day.  No teratogenicity
    was observed (Nemec, 1992).

         Female Sprague-Dawley rats (23-25 dams/group) were gavaged with
    20, 100, or 500 mg/kg bw/day of technical maneb (99.99% purity with
    less than 0.01% ETU) in 0.5% CMC on days 6-15 of gestation.  Two
    additional groups serving as controls received either CMC (24 dams)
    or were left untreated (24 dams).

         There were no compound-related deaths and no clinical signs
    below 500 mg/kg bw/day.  High-dose dams manifested unsteady gait,
    dragging of the rear limbs, diminished sensitivity to pain in the
    affected limbs and paresis of the rear limbs.  Body weights and
    body-weight gain were decreased at the high dose. Gross pathology
    was unremarkable in all treated dams. There were no statistically
    significant differences between treated and control groups for
    implantations, conception rate, corpora lutea, and the number of

    live fetuses per litter.  At 500 mg/kg bw/day, however, the number
    of litters with dead fetuses was increased. Fetal observations at
    the time of caesarean section revealed no remarkable findings at
    dose levels of 20 and 100 mg/kg bw/day.  However, animals receiving
    500 mg/kg bw/day showed numerous changes including short tail,
    meningocele, accessory toe, shortened toes, macroglossia,
    syndactyly, kyphosis, oligodactyly and shortened splayed toes.  The
    mean fetal body weight per litter was also decreased as was mean
    fetal body length per litter at 500 mg/kg bw/day.  The number of
    anomalous litters was significantly increased at the high dose
    (25/25, 100%) for all malformations combined.  Of the 304 live
    fetuses examined at the high dose, 246 (80.9%) had anomalies.  A
    statistically significant increase in the number of fetal variants
    was also observed at 500 mg/kg bw/day for all variations and
    retardations combined.  Maternal toxicity was seen at 500 mg/kg
    bw/day as clinical signs and decreased body weight and body-weight
    gain.  Embryo/fetotoxicity and teratogenicity were seen at 500 mg/kg
    bw/day based on decreased fetal body weight and body length, and an
    increase in the number of anomalous litters and fetuses for all
    malformations combined and for all variations and retardations
    combined (Kapp  et al., 1991).

    Rabbits

         Himalayan Chbb:HM rabbits were randomly assigned into four
    groups (15 does/group).  The study was divided into 3 phases.  Five
    does per dose group were artificially inseminated at each time
    period. Gavage doses of 5, 20 or 80 mg/kg bw/day of maneb technical
    (90.6% purity with 2% ETU contamination) were administered in CMC on
    days 6 through 18 inclusive.  The control group received CMC only. 
    At the high dose, 1 animal died and 3 were sacrificed - 1 moribund,
    1 after aborting on day 21, and 1 after premature delivery on day
    28.  At the mid-dose, 1 animal was sacrificed in a moribund state
    and 1 control animal delivered prematurely.

         There were no compound-related signs of toxicity observed
    during the study.  Body weight and body-weight gain were decreased
    at the high dose.  Food consumption was decreased on days 7-9 and
    10-11.  Gross pathology revealed no compound-related abnormalities
    in dams at terminal sacrifice.  Pre-implantation loss and pregnancy
    rates were comparable between control and test groups as were the
    number of corpora lutea or implantations among control and test
    groups.  Post-implantation loss was non-significantly increased at
    the high dose; however, a significant decrease in the number of
    viable fetuses and an increase in the number of resorptions were
    observed.  Fetal body weights, crown-rump length and sex ratio were
    comparable between treated and control groups.  The placental weight
    of female fetuses only was significantly greater at the high dose
    compared to controls.  Uterine weight was significantly reduced in
    does administered 80 mg/kg bw/day.  There were no fetal external

    abnormalities observed.  There were no compound-related visceral or
    skeletal abnormalities in fetuses.  NOAELs could not be determined
    due to study deficiencies (Merkle, 1983).

    Special study on hydrolytic stability of maneb in DMSO

         14C-maneb (1.7 mg) was dissolved in 1.7 ml of DMSO and 30
    minutes later added (dosing) to teflon-lined vials containing
    sterilized buffer solutions (pH 5, 7 and 9) and stirred under
    aseptic conditions. The final maneb concentration was approximately
    10 ppm and the DMSO concentration was 1% (v/v).  Hydrolysis was
    performed in the dark at 25 °C.  Aliquots were analyzed on day 0
    (i.e. immediately after dosing), and on days 1, 2, 4, 7, 14 and 30. 
    Parent chemical, maneb, was not detected at any sampling time.  A
    mixture of several identified and unidentified compounds was
    reported at all pH levels on day 0 including, but not limited to,
    ETU, EBIS and Jaffe's base.  ETU was generally the highest on day 0
    and increased in concentration with time while the remaining
    compounds decreased with time.  The proportionality of the compounds
    varied with changing pH (Rudel, 1990). 

    Special studies on genotoxicity

         Maneb has been adequately tested in a series of  in vitro and
     in vivo genotoxicity assays.  The results are summarized in Table
    3.  A number of available studies were not considered, either
    because DMSO was used as a solvent in which maneb is very unstable
    or because of important omissions from the reports.  The Meeting
    concluded that maneb is not genotoxic.

    Special studies on sensitization and irritation

    Guinea-pigs

         Hartley albino guinea-pigs (6/sex) were dosed topically with
    technical maneb (purity not stated) for 6 hours a day, three times a
    week for three weeks (modified Buehler method).  Animals were
    challenged two weeks after the last induction and re-challenged one
    week later.  Three males and three females received
    dinitrochlorobenzene (DNCB; positive control group) and were treated
    in a similar manner as the test group but were not re-challenged. 
    Reactions were scored at 24 and 48 hours after a challenge.  DNCB
    was determined to be an extreme sensitizing agent and maneb a
    moderate sensitizing agent under the test conditions (Naas, 1989e).


        Table 3.  Results of genotoxicity assays on maneb
                                                                                                                                              
    Test system            Test object                  Concentration1                  Purity              Results         Reference
                                                                                                                                              

    1. GENE MUTATION ASSAYS

    1.A. Bacterial Gene Mutation Assays

    Salmonella             S. typhimurium TA1535,       8.3-675 µg/plate;               Not specified       Negative        Arni, 1981
    reversion assay        TA1537, TA98, TA100          in acetone

                           S. typhimurium               3-100 µg/plate;                 88.1% a.i.          Negative        Thomas, 1985
                           TA1535, TA1537,              in deionized water
                           TA1538, TA98, TA100

    1.B. In Vitro Mammalian Gene Mutation Assays

    Mammalian gene         Chinese hamster ovary        0.1-30 µg/ml;                   88.1% a.i.          Negative        Thomas, 1986b, 
    mutation assay         (CHO)/hprt                   in deionized water                                                  1988

    2. STRUCTURAL CHROMOSOMAL ALTERATIONS

    2.A. In Vivo Chromosomal Alterations

    In vivo aberrations    Chick embryos                0.5-27 g/l in                   80% a.i.            Negative        Arias, 1988
                                                        aqueous solution

    Complete and partial   D. melanogaster              10 000 ppm saturated            Not specified       Negative        Woodruff et al., 
    chromosome loss        mus-302 mutant               aqueous solution with                                               1983
                                                        ethanol and sucrose

    Bone marrow            Albino mouse                 100 mg/kg                       Not specified       Negative        Kondratenko & 
    cytogenetics                                                                                                            Kurinnyi, 1972

                                                                                                                                              

    Table 3 (contd)
                                                                                                                                              
    Test system            Test object                  Concentration1                  Purity              Results         Reference
                                                                                                                                              

    Bone marrow            Male and female              46.4 mg/kg/day for 2 days;      Not specified       Negative        Zeller & 
    cytogenetics           Chinese hamsters             in carboxy-methylcellulose                          (increased      Engelhardt, 1980
    (cont'd)                                                                                                gaps)

                           Male Fischer 344 rat         4.9 g/kg (acute);               88.1% a.i.          Negative        Ivett & Lebowitz,
                                                        1.64 g/kg/day for 5 days;                                           1985
                                                        in carboxy-methylcellulose

    Dominant lethal assay  Male NMRI mice               10-100 mg/kg/day for            Not specified       Negative        Leuschner, 1978
                                                        5 days; in saline

    Micronucleus assay     Male or female ICR mouse     1 g/kg with 100 mg/kg           Not specified       Negative        Seiler, 1977
    with sodium nitrite                                 NaNO2; in gum arabic soln.

    3. OTHER GENOTOXIC EFFECTS

    3.A. DNA Damage and/or Repair Assays and Related Tests

    In vitro unscheduled   Primary rat hepatocytes      0.5-100 µg/ml;                  88.1% a.i.          Negative        Loveday, 1986, 
    DNA synthesis (UDS)    from male Fischer 344 rat    in culture medium                                                   1988

    3.B. Sister Chromatid Exchange (SCE) Assays 

    In vitro SCE assays    Chinese hamster ovary        0.5-30 µg/ml ± rat              88.1% a.i.          Weak            Thomas, 1986a
                           (CHO) cells                  or mouse S9;                                        positive
                                                        in deionized water                                  with
                                                                                                            activation

    In vivo SCE assays     Chick embryos                0.5-27 g/l in aqueous           80% a.i.            Positive        Arias, 1988
                                                        solution

                                                                                                                                              

    Table 3 (contd)
                                                                                                                                              
    Test system            Test object                  Concentration1                  Purity              Results         Reference
                                                                                                                                              

    3.C. Cell Transformation Assays

    Cell transformation    C3H/10T 1/2 cells            0.05-0.2 µg/ml;                 88.1% a.i.          Negative        Tu et al., 1985
                                                        in water?;
                                                        no activation used

                           C3H/10T 1/2 cells with       0.2 µg/ml as                    88.1% a.i.          Negative        Tu et al., 1986
                           "promotion"                  "promoter"; in water?

                                                                                                                                              

    1     In vitro assays performed with and without exogenous activation unless indicated otherwise or the test system does not
         normally use such supplementation; solvent is provided if specified in the report
    

         Maneb DF (75% dust) was administered to male albino guinea-pigs
    of the Dunkin-Hartley strain following a modified method of Buehler. 
    No delayed hypersensitivity reaction was observed.  Animals
    receiving DNCB as positive control showed positive sensitization
    reactions (Glaza, 1988c).

    Rabbits

         Single, 0.5 gram doses of maneb technical (purity not stated)
    were applied to the clipped, intact skin of 6 New Zeeland white
    rabbits under a semi-occlusive dressing for a 4-hour exposure
    period.  Application sites were evaluated in accordance with the
    method of Draize at approximately 30-60 minutes and 24, 48 and 72
    hours after patch removal and daily thereafter for 14 days.
    Technical maneb induced a very slight to slight erythema and edema.
    Other dermal findings were not remarkable.  Technical maneb was
    concluded to be slightly irritating (Draize score 1.5) (Naas,
    1989c).

         Single, 100 mg doses of maneb technical were instilled into the
    lower conjunctival sac of the right eyes of 6 New Zeeland white
    rabbits.  The eyelids were held closed for approximately one second
    and released.  The left eye served as the contralateral control. 
    Eyes were left unwashed and examined at 1, 24, 48 and 72 hours and
    at 4 and 7 days. Sodium fluorescein was used in evaluating corneal
    damage at 72 hours and 7 days. No corneal involvement was observed.
    Four of six rabbits cleared of all ocular reactions by day 7.  Minor
    conjunctival reactions were present in two rabbits on day 7. Maneb
    technical was considered to be a moderate irritant based on
    persistent conjunctival irritation in two rabbits for 7 days and the
    mean response of 8-19 out of a maximum of 20 for conjunctival
    irritation over the initial 72-hour period (Naas, 1989d).

         Maneb DF (75% dust) produced corneal and iridial irritation and
    slight to severe conjunctival irritation in the unwashed eyes of New
    Zeeland white rabbits.  Iridial irritation and slight to moderate
    conjunctival irritation were observed in the washed eyes (60 second
    flush with water at 30 seconds post-compound administration) of
    companion New Zeeland white rabbits.  Ocular irritation cleared by
    72 hours in washed eyes and in less than 7 days in unwashed eyes
    (Glaza, 1988d).

         Maneb DF (75% dust) applied to the intact skin of New Zeeland
    white rabbits for 4 hours and scored according to the method of
    Draize at 4, 24, 48, 72 and 96 hours post-administration produced a
    slight irritation (Draize score < 1.0 for all readings) (Glaza,
    1988e).

    COMMENTS

         Male and female rats given 25 mg/kg bw/day of 14C-labelled
    maneb orally showed no differences between sexes with regard to
    excretion patterns. Greater than 90% of the absorbed 14C was
    eliminated in urine by 24 hours.  Less than 1% was eliminated as
    carbon dioxide. Average 14C concentration as percent of dose per
    gram of tissue was greatest for the thyroid, followed by kidney and
    liver. The percent of 14C present in urine as ETU at 12 hours was
    21-30% on a mole/mole basis and less than 0.4% as maneb.

         The acute oral, dermal and inhalation toxicity of maneb
    technical and maneb 75% dust is low.  WHO has classified maneb as
    unlikely to present acute hazard in normal use.

         Rats were fed dietary concentrations of 0, 80, 400 or 1300 ppm
    maneb technical for 13 weeks.  The NOAEL was 80 ppm (equal to 5.0
    mg/kg bw/day) based on an increase in absolute thyroid weight and
    thyroid follicular cell hyperplasia at 400 ppm.

         In dogs fed dietary concentrations of maneb technical at 0,
    100, 400 or 1600 ppm for 13 weeks, the NOAEL was 100 ppm (equal to
    3.7 mg/kg bw/day) based on thyroid follicular cell hyperplasia at
    400 ppm.

         In a 52-week study in dogs, maneb was administered at dietary
    concentrations of 0, 50, 200, 1000 or 2200 ppm.  The NOAEL was 200
    ppm (equal to 6.4 mg/kg bw/day) based on thyroid enlargement and
    thickening and thyroid follicular cell hyperplasia at 1000 ppm.

         The overall NOAEL in dogs, based on the evaluation of all of
    the data on this species, was 6.4 mg/kg bw/day.

         In a six-month study in monkeys, maneb was administered at
    dietary concentrations of 0, 100, 300 or 3000 ppm. The NOAEL was 100
    ppm (equal to 7.3 mg/kg bw/day) based on an increase in thyroid
    weight at 300 ppm.

         In a 79-week carcinogenicity study in mice at dietary
    concentrations of 0, 60, 240 or 2400 ppm, the NOAEL was 60 ppm,
    equal to 11 mg/kg bw/day, based on decreased body weight and
    decreased thyroxine levels at 240 ppm.  Hepatocellular adenomas were
    observed at 2400 ppm in both sexes.

         In a 31-month toxicity/carcinogenicity study in rats at dietary
    concentrations of 0, 30, 100, 300 or 1000 ppm, the NOAEL was 300 ppm
    (equal to 20 mg/kg bw/day) based on decreased body weight, an
    increase in the half-life retention time of 131I in the thyroid,
    decreased T4 values and an increased absolute thyroid weight at
    1000 ppm.  There was no evidence of carcinogenicity.

         In a two-generation reproduction study in rats at dietary
    concentrations of 0, 75, 300 or 1200 ppm, the NOAEL was 75 ppm
    (equal to 5.6 mg/kg bw/day) based on increased organ to body-weight
    ratios for liver and kidney, and thyroid follicular cell hyperplasia
    at 300 ppm.

         An oral teratogenicity study in rats was conducted at dose
    levels of 0, 20, 100 or 500 mg/kg bw/day. The NOAEL was 20 mg/kg
    bw/day for maternal toxicity and embryo/fetotoxicity. Maternal
    toxicity was seen at 100 mg/kg bw/day as decreased body weight and
    decreased food consumption.  Embryo/fetotoxicity was observed as
    increased (early) resorptions, increased post-implantation losses
    and a decrease in viable fetuses at 100 mg/kg bw/day.  No
    teratogenicity was observed.

         In a second oral teratogenicity study in rats conducted at dose
    levels of 0, 20, 100 or 500 mg/kg bw/day the NOAEL for maternal
    toxicity and embryo/fetotoxic and teratogenic effects was 100 mg/kg
    bw/day. Maternal toxicity was seen at the highest dose as decreased
    body weight and clinical signs.  Embryo/fetotoxicity and
    teratogenicity were seen at the highest dose as decreased fetal body
    weight and body length, and an increase in the number of anomalous
    litters and fetuses for all malformations combined and for all
    variations and retardations combined.

         An oral teratogenicity study in rabbits was conducted at dose
    levels of 0, 5, 20 or 80 mg/kg bw/day.  Due to study deficiencies a
    NOAEL could not be determined.

         Maneb has been adequately tested in a series of  in vitro and
     in vivo genotoxicity assays.  The Meeting concluded that maneb is
    not genotoxic.  A number of available studies were not considered,
    either because DMSO was used as a solvent in which maneb is very
    unstable or because of important omissions from the reports.

         The data on maneb would support an ADI of 0-0.05 mg/kg bw,
    based on the NOAEL of 5.0 mg/kg bw/day for thyroid effects in rats,
    using a 100-fold safety factor.  However, the Meeting established a
    group ADI of 0-0.03 mg/kg bw for maneb, alone or in combination with
    mancozeb, metiram and/or zineb, because of the similarity of the
    chemical structures of the EBDCs, the comparable toxicological
    profiles of the EBDCs based on the toxic effects of ETU, and the
    fact that parent EBDC residues cannot be differential using
    presently-available analytical procedures.

    TOXICOLOGICAL EVALUATION

    Level causing no toxicological effect

         Mouse:    60 ppm in the diet, equal to 11 mg/kg bw/day 
                   (79-week study)

         Rat:      80 ppm in the diet, equal to 5.0 mg/kg bw/day 
                   (13-week study)
                   300 ppm in the diet, equal to 20 mg/kg bw/day 
                   (31-month study)
                   75 ppm in the diet, equal to 5.6 mg/kg bw/day
                   (reproduction study)

         Dog:      200 ppm in the diet, equal to 6.4 mg/kg bw/day 
                   (52-week study)

         Monkey:   100 ppm in the diet, equal to 7.3 mg/kg bw/day 
                   (6-month study)

    Estimate of acceptable daily intake for humans

         0-0.03 mg/kg bw (group ADI with mancozeb, metiram, and zineb).

    Studies which will provide valuable information in the continued
    evaluation of the compound

         Observations in humans.

    REFERENCES

    Allen, T.R., Frei, Th., Biedermann, K., Luetkemeier, H., Terrier,
    Ch., Vogel, O., Wilson, J. (1989). 13-week oral toxicity (feeding)
    study with maneb technical in the dog. Unpublished report No. 206605
    from Research and Consulting Company, Ltd., Itingen, Switzerland.
    Submitted to WHO by Elf Atochem.

    Arias, E. (1988). Sister chromatid exchanges and chromosomal
    aberrations in chick embryos after treatment with the fungicide
    maneb.  Mutation Res. 206: 271-273.

    Arni, P. (1981).  Salmonella/mammalian-microsome mutagenicity test
    with CGA 31 364 = maneb. Unpublished experiment No. 810466 from
    Ciba-Geigy Limited, Basle, Switzerland.

    Corney, S.J., Allen, T.R., Janiak, T., Frei, Th., Leutkemeier, H.,
    Biedermann, K., Vogel., O. & Springall, C. (1992). A 52-week oral
    toxicity study (feeding) with maneb technical in the dog.
    Unpublished report No. 206616 from Research and Consulting Co.,
    Ltd., Itingen, Switzerland. Submitted to WHO by Elf Atochem.

    Craine, E.M. (1991). A dermal radiotracer absorbtion study in rats
    with 14C maneb. Unpublished report No. WIL-134010 (reissued final
    report March 13, 1991) from WIL Research Laboratories, Inc.,
    Ashland, Ohio, USA. Submitted to WHO by Elf Atochem.

    Glaza, S. (1988a). Acute oral toxicity study of Maneb DF in rats.
    Unpublished report No. HLA 80104922 from Hazleton Labs America Inc.,
    Madison, Wisconsin, USA. Submitted to WHO by Elf Atochem.

    Glaza, S. (1988b). Acute dermal toxicity study of Maneb DF in
    rabbits. Unpublished report No. HLA 80104923 from Hazleton Labs
    America Inc., Madison, Wisconsin, USA. Submitted to WHO by Elf
    Atochem.

    Glaza, S. (1988c). Dermal sensitization study of Maneb DF in guinea-
    pigs. Unpublished report No. HLA 80104926 from Hazleton Labs America
    Inc., Madison, Wisconsin, USA. Submitted to WHO by Elf Atochem.

    Glaza, S. (1988d). Primary eye irritation study of Maneb DF in
    rabbits. Unpublished report No. HLA 80104924 from Hazleton Labs
    America Inc., Madison, Wisconsin, USA. Submitted to WHO by Elf
    Atochem.

    Glaza, S. (1988e). Primary dermal irritation study of Maneb DF in
    rabbits. Unpublished report No. HLA 80104925 from Hazleton Labs
    America Inc., Madison, Wisconsin, USA. Submitted to WHO by Elf
    Atochem.

    Hoffman, G. (1991). An acute inhalation toxicity study of Maneb DF
    in the rat. Unpublished report No. 90-8287 from Bio/dynamics, Inc.,
    East Millstone, New Jersey, USA. Submitted to WHO by Elf Atochem.

    Ivett, J. & Lebowitz, H. (1985). Clastogenic evaluation of maneb
    technical lot MT 01 (88.1% ai.) in the rat bone marrow cytogenic
    assay. Unpublished final report No. LBI 22202 from Litton Bionetics
    Inc., Kensington, Maryland, USA. Submitted to WHO by Elf Atochem.

    Kapp, R.W., Schellhaas, L.J., Piccirillo, V.J. (1991). Prenatal
    toxicity study of maneb in rats. Unpublished report Nos. BASF
    88/0522; 88/0523; 88/0524 from BASF Gewerbehygiene und Toxikologie,
    Ludwigshaven, Germany. Submitted to WHO by Elf Atochem.

    Kondratenko, T. & Kurinnyi, A. (1972). Effects of some fungicides
    (dithiocarbamic acid derivatives) on chromosomes of bone marrow
    cells in mice.  Tsitol. Genet. 6: 225-228.

    Leuschner, F. (1991). Chronic oral toxicity of manganese-ethylene-
    1,2-bis-dithiocarbamate, 90% - called for short "maneb" - in Sprague-
    Dawley (SIV) - rats (with special attention to carcinogenic
    properties). Unpublished registration document No. (BASF) 86/0430
    Amendment No. 3 dated April 19, 1991 from Laboratory of Pharmacology
    and Toxicology, Hamburg, West Germany.  Submitted to WHO by Elf
    Atochem.

    Leuschner, F. (1978). Dominant lethal test on male mice with
    manganese ethylene-1,2-bis-dithiocarbamate. Unpublished report No.
    BASF 78/298 from Laboratorium für Pharmakologie und Toxikologie,
    Hamburg, Germany. Submitted to WHO by Elf Atochem.

    Leuschner, F., Dontenwill, W. & Hubschner, F. (1986a). Chronic oral
    toxicity of manganese-ethylene-1,2-bis-dithiocarbamate, 90% - called
    for short "maneb" -in Sprague-Dawley (SIV) - rats (with special
    attention to carcinogenic properties). Unpublished registration
    document No. (BASF) 86/0430 Amendment No. 1 dated October 2, 1986
    from Laboratory of Pharmacology and Toxicology, Hamburg, West
    Germany. Submitted to WHO by Elf Atochem.

    Leuschner, F., Leuschner, A. & Hubschner, F. (1986b). Chronic oral
    toxicity of manganese-ethylene-1,2-bis-dithiocarbamate, 90% - called
    for short "maneb" - in Sprague-Dawley (SIV) - rats (with special
    attention to carcinogenic properties). Unpublished registration
    document No. (BASF) 86/0430 Amendment No. 2 dated October 20, 1986
    from Laboratory of Pharmacology and Toxicology, Hamburg, West
    Germany. Submitted to WHO by Elf Atochem.

    Leuschner, F., Leuschner, A., Klie, R., Dontenwill, W. & Rogulja, P.
    (1979). Chronic oral toxicity of manganese-ethylene-1,2-bis-
    dithiocarbamate, 90% - called for short "maneb" - in Sprague-Dawley
    (SIV) - rats (with special attention to carcinogenic properties).
    Unpublished registration document No. (BASF) 86/0430 from Laboratory
    of Pharmacology and Toxicology, Hamburg, West Germany. Submitted to
    WHO by Elf Atochem.

    Leuschner, F., Leuschner, A., Schneider, C., Schwerdtfeger, W. &
    Dontenwill, W. (1977). Oral toxicity of maneb in the Rhesus monkey:
    six months dietary dosing. Unpublished report No. WF 1172 from
    Laboratorium für Pharmakologie und Toxikologie, Hamburg, Federal
    Republic of Germany. Submitted to WHO by Elf Atochem.

    Loveday, K. (1986).  In vitro unscheduled DNA synthesis assay in
    rat hepatocytes: the effect of technical grade maneb. Unpublished
    report No. 850047-20 from American Biogenics Corporation, Woburn,
    Massachusetts, USA. Submitted to WHO by Elf Atochem.

    Loveday, K. (1988).  In vitro unscheduled DNA synthesis assay in
    rat hepatocytes: the effect of technical grade maneb. Supplementary
    report PW-118 to Unpublished report No. 850047-20 from American
    Biogenics Corporation, Woburn, Massachusetts, USA. Submitted to WHO
    by Elf Atochem.

    Merkle, J. (1983). Study to determine the prenatal toxicity of
    manganous ethylenebis (dithiocarbamate) in rabbits. Unpublished
    study RZ-No. 83/094 from BASF AG, Ludwigshafen Rhein, Federal
    Republic of Germany. Submitted to WHO by Elf Atochem.

    Naas, D.J. (1989a). Acute oral toxicity (LD50) study in albino rats
    with maneb technical. Unpublished report No. WIL-134003 from WIL
    Research Laboratories, Inc., Ashland Ohio, USA. Submitted to WHO by
    Elf Atochem. 

    Naas, D.J., (1989b). Acute dermal toxicity (LD50) study in albino
    rabbits with maneb technical. Unpublished report No. WIL-134004 from
    WIL Research Laboratories, Inc., Ashland Ohio, USA. Submitted to WHO
    by Elf Atochem.

    Naas, D.J., (1989c). Primary dermal irritation study in albino
    rabbits with maneb technical. Unpublished report No. WIL-134005 from
    WIL Research Laboratories, Inc., Ashland Ohio, USA. Submitted to WHO
    by Elf Atochem.

    Naas, D.J., (1989d). Primary eye irritation study in albino rabbits
    with maneb technical. Unpublished report No. WIL-134006 from WIL
    Research Laboratories, Inc., Ashland Ohio, USA. Submitted to WHO by
    Elf Atochem.

    Naas, D.J. (1989e). Skin sensitization study in albino guinea-pigs
    with maneb technical. Unpublished report No. WIL-134007 from WIL
    Research Laboratories, Inc., Ashland Ohio, USA. Submitted to WHO by
    Elf Atochem.

    Nemec, M., (1992). A developmental toxicity study of maneb technical
    in rats. Unpublished report No. WIL-134011 from WIL Research
    Laboratories, Inc., Ashland Ohio, USA. Submitted to WHO by Elf
    Atochem.

    Puhl, J.R. (1985). Metabolism of radiolabeled maneb in rats.
    Unpublished report No. 6181-101 from Hazleton Labs., America, Inc.,
    Madison, Wisconsin, USA. Submitted to WHO by Elf Atochem.

    Rudel, H. (1990). Hydrolysis of maneb at pH 5, 7, and 9. Unpublished
    project No. MRG-O1/7-04 from Fraunhofer-Institut für Umweltchemie
    und Okotoxikologie, D-5948 Schmallenberg, Federal Republic of
    Germany. Submitted to WHO by Elf Atochem.

    Ryle, P.R., Bell, P.F., Parker, C., Farmer, H., Offer, J.M.,
    Anderson, A. & Dawe, I.S., (1991). A study of the effect of maneb
    (technical) on reproductive function of two generations in the rat.
    Unpublished report No. MNB1/9072 from Huntington Research Centre
    Ltd., Cambridgeshire, England. Submitted to WHO by Elf Atochem.

    Seiler, J. (1977). Nitrosation  in vitro and  in vivo by sodium
    nitrite, and mutagenicity of nitrogenous pesticides.  Mutat. Res.
    48: 225-236.

    Terrill, J.B. (1990). Acute inhalation toxicity study with maneb in
    the rat. Unpublished report No. HLA 2567-100 from Hazleton Labs.,
    Rockville, Maryland, USA. Submitted to WHO by Elf Atochem. 

    Terrill, J.B., (1991). A four-week study in the rat to determine the
    lung tissue residue and effect upon the thyroid function with maneb.
    Unpublished report No. HLA 2567-101 from Hazleton Labs., Rockville,
    Maryland, USA. Submitted to WHO by Elf Atochem. 

    Thomas, M. (1985).  Salmonella/microsome mutagenesis assay on
    technical grade maneb. Unpublished final report No. ABC 850047-40
    from American Biogenics Corp., Woburn, Massachusetts, USA. Submitted
    to WHO by Elf Atochem. 

    Thomas, M. (1986a).  In vitro sister chromatid exchange assay in
    cultured Chinese hamster ovary (CHO) cells treated with technical
    grade maneb. Unpublished final report No. ABC 850047-30 from
    American Biogenics Corp., Woburn, Massachusetts, USA. Submitted to
    WHO by Elf Atochem. 

    Thomas, M. (1986b). CHO/HGPRT  in vitro mammalian cell mutation
    assay on technical grade maneb. Unpublished final report No. ABC
    850047-10 from American Biogenics Corp., Woburn, Massachusetts, USA.
    Submitted to WHO by Elf Atochem. 

    Thomas, M. (1988). CHO/HGPRT  in vitro mammalian cell mutation
    assay on technical grade maneb. Supplementary report PW-117 to
    Unpublished final report No. ABC 850047-10 from American Biogenics
    Corp., Woburn, Massachusetts, USA. Submitted to WHO by Elf Atochem. 

    Tompkins, C.E. (1992). An 18-month dietary oncogenicity study in
    mice with maneb technical. Unpublished report No. WIL-134008 from
    WIL Research Laboratories, Inc., Ashland, Ohio, USA. Submitted to
    WHO by Elf Atochem.

    Trutter, J.A. (1988a). Subchronic toxicity study with maneb
    technical in the rat. Unpublished report No. HLA 153-140 from
    Hazleton Laboratories America, Inc., Rockville, Maryland, USA.
    Submitted to WHO by Elf Atochem.

    Trutter, J.A. (1988b). A 21-day dermal toxicity study in rabbits
    with maneb technical. Unpublished report No. HLA 153-139 from
    Hazleton Laboratories America, Inc., Vienna, Virginia, USA.
    Submitted to WHO by Elf Atochem.

    Tu, A., Breen, P. & Sivak, A. (1986). Evaluation of maneb in the
    C3H-10T ´ cell transformation assay for promotion activity.
    Unpublished report No. ADL 88720-44 from Arthur D. Little, Inc.,
    Cambridge, Massachusetts, USA. Submitted to WHO by Elf Atochem. 

    Tu, A., Sivak, A., Hatch, K. & Breen, P. (1985). Evaluation of maneb
    in the C3H-10T ´ cell transformation assay. Unpublished final report
    No. ADL 88720-44 (1-0860) from Arthur D. Little, Inc., Cambridge,
    Massachusetts, USA. Submitted to WHO by Elf Atochem. 

    Ulrich, C.E. (1986). Thirteen-week subchronic inhalation toxicity
    study on maneb in rats (final report). Unpublished report No. 550-
    001 from International Research and Development Corporation,
    Mattawan, Michigan, USA. Submitted to WHO by Elf Atochem. 

    Ulrich, C.E. (1987). Thirteen-week subchronic inhalation toxicity
    study on maneb in rats - addendum to the final report covering the
    recovery phase. Unpublished report No. 550-001 from International
    Research and Development Corporation, Mattawan, Michigan, USA.
    Submitted to WHO by Elf Atochem. 

    WHO (1992). The WH0 recommended classification of pesticides by
    hazard and guidelines to classification 1992-1993 (WHO/PCS/91.14).
    Available from the International Programme on Chemical Safety, World
    Health Organization, Geneva, Switzerland.

    Woodruff, R., Phillips, J. & Irwin, D. (1983). Pesticide induced
    complete and partial chromosome loss in screens with repair-
    defective females of  Drosophila melanogaster. Environ. Mutagen. 5:
    835-846.

    Zeller, H. & Engelhardt, G. (1980). Cytogenic investigations in
    Chinese hamsters after two intraperitoneal administrations of maneb.
    Bone marrow chromosome analysis. Unpublished report dated December
    19, 1980 from Gewerbehygiene und Toxikologie of BASF, Germany.
    Submitted to WHO by Elf Atochem.


    See Also:
       Toxicological Abbreviations
       Maneb (ICSC)
       Maneb (FAO Meeting Report PL/1965/10/1)
       Maneb (FAO/PL:1967/M/11/1)
       Maneb (IARC Summary & Evaluation, Volume 12, 1976)