IPCS INCHEM Home


    MANCOZEB

    First draft prepared by
    A. Kocialski
    Office of Pesticide Programs,
    US Environmental Protection Agency, Washington, DC, USA

    EXPLANATION

         Mancozeb was evaluated by the Joint Meeting in 1967, 1970,
    1974, 1977 and 1980 (Annex I, references 8, 14, 22, 28, 34).  An ADI
    of 0-0.05 mg/kg bw was established at the 1980 Meeting for mancozeb
    or the sum of maneb, mancozeb and zineb, of which not more than
    0.002 mg/kg bw may be present as ethylenethiourea (ETU).

    EVALUATION FOR ACCEPTABLE DAILY INTAKE

    Biological data

    Biochemical aspects

    Absorption, distribution, excretion, and biotransformation

    Mice

         Male and female Charles River CD-1 mice were administered 14C-
    ethylene-U-labelled mancozeb (98-99% pure) at single oral doses of
    2.5 or 150 mg/kg bw and at repeated doses (14 daily doses) of
    unlabelled mancozeb at 2.5 mg/kg bw followed by administration of a
    single oral dose of labelled mancozeb at 2.5 mg/kg bw.  Mancozeb was
    rapidly absorbed, peaking in whole blood at 1.0 hour in males and
    2.0 hours in females, extensively metabolized in both sexes, and
    rapidly excreted (> 90%) in both sexes within 24 hours.  Over a 7-
    day period almost all (> 97%) of the compound administered was
    excreted.  The radioactivity recovered in urine, faeces, carbon
    dioxide and carbon disulfide in exhaled air ranged between 26-44%,
    48-64%, 0.4-4.2% and 0-4.0% of the administered dose, respectively. 
    A mean of less than 1.4% of the dose remained in the carcass and
    tissues after 7 days. ETU represented < 1-3% of the administered
    dose. The elimination of absorbed radioactivity by way of the bile
    was less than 0.2% of the dose following a single oral
    administration of mancozeb to both sexes at 2.5 mg/kg bw. 
    Examination of the tissue distribution of radioactivity at 2.5 mg/kg
    bw (single or repeated dose) at 1.0, 8.0 or 24 hours and at 7 days
    at 150 mg/kg bw indicated predominant distributions in thyroid, bone
    marrow, ovaries, spleen, lungs, kidney, liver, adrenal, thymus and
    whole blood.  Values for whole blood were almost twice as great as
    that found for plasma.

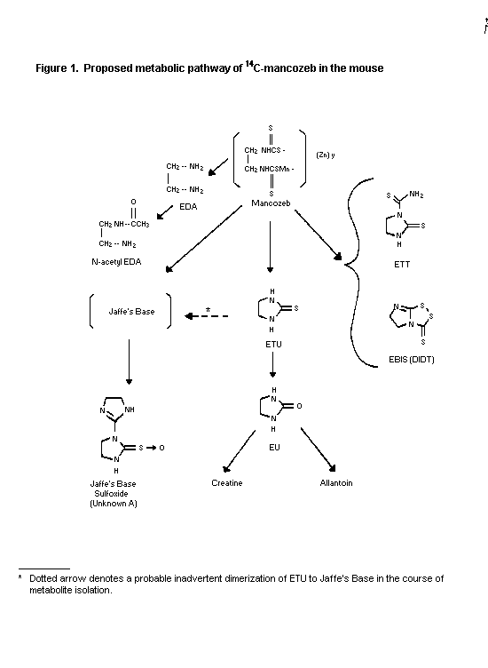
         Urine and faeces were collected at 0-8 and 8-24 hours post-
    dosing for characterization of metabolites.  Metabolites found in
    the urine of both sexes were, in decreasing order, ETU,
    ethylenethiuram monosulfide, EBIS, ethylenethiourea-N-thiocarbamide
    (ETT), N-acetyl-ethylenediamine (N-acetyl-EDA), ethylenediamine
    (EDA), ethyleneurea (EU), creatine and allantoin.  Six unknown
    metabolites were also identified in urine, one of which was
    tentatively proposed as the sulfoxide of Jaffe's base.  Metabolites
    identified in the faeces were ETU, ethylenethiuram monosulfide,
    EBIS, ETT, EDA, EU, and N-acetyl-EDA.  Additional unknown
    metabolites were also found in the faeces with one being
    characterized as Jaffe's base sulfoxide.  The proposed metabolic
    pathway of 14C-mancozeb in mice is given in Figure 1 (Cameron  et
     al., 1990, Piccirillo  et al., 1992).

    Rats

         Groups of female Sprague-Dawley rats (3 or 6/group) were
    exposed to mancozeb (83% pure) for 6 hours and sacrificed at 2
    minutes, 6 or 24 hours post-initial-administration. A 20 centimeter
    square area on the back of each rat was sheared with clippers. A
    single non-radiolabelled dose of 10 mg mancozeb was applied and held
    in place with an elastic bandage.  Following the exposure period the
    bandage was removed and the area swabbed.  All material (including
    fringe hair) which contacted the compound was combined and analyzed
    for EBDC and ETU. At termination the skin of the contact area was
    removed and analyzed for both EBDC and ETU. Dermal absorbtion was
    calculated from the amount of applied material remaining at the site
    of application at 6 and 24 hours as well as the amount excreted at
    24 hours.  Absorbtion from the application site was 0.83% and 0.89%
    at 6 and 24 hours post-dosing.  Excretion at 24 hours was calculated
    to be 1.0% (Haines, 1980).

         Groups of 4 adult male Charles River rats (Crl:CD(R) BR) were
    treated dermally with 0.05 ml of an aqueous suspension containing
    0.1 or 1.0 mg mancozeb (80.6% pure) and applied on a 2 X 2 cm area
    of the shaved back.  The area was covered with a contoured glass
    ring equipped with a porous top.  At 0, 10 or 24 hours post-dosing
    animals were anaesthetized and the application rings, covers and
    site washings, together with urine and faeces were collected for
    each time period.  Animals were then sacrificed and the skin removed
    at the site of application.  All samples including the carcass, were
    extracted and analyzed for mancozeb and ETU.  The analysis of
    mancozeb in biological matrices could not be adequately performed
    due to considerable background interference encountered during the
    analysis of the samples, even in control and zero hours samples.  It
    was hypothesized that the sulfur moieties in the biological samples
    produced carbon disulfide which interfered in the analysis.  The
    amount of dermal absorbtion was therefore determined by the
    subtraction of the amount of mancozeb recovered in the wash-off at
    10 and 24 hours from the amount of mancozeb recovered in the wash-
    off at zero hour (i.e. surface recovery method).  Following low-dose
    administration, 2 and 4% of the dose was dermally absorbed at 10 and
    24 hours, respectively, and less than 1% of the high dose was
    dermally absorbed at 24 hours (Tomlinson & Longacre, 1988).

         Male and female Sprague-Dawley rats were administered single
    oral doses of 14C-radiolabelled mancozeb (88-92% pure) at 1.5 or
    100 mg/kg bw. Rats (3/sex/group) were sacrificed at 1, 6, 24 or 48
    hours post-dosing and their plasma, whole blood, liver and thyroids
    were extirpated for radioassay and metabolite analysis. Blood
    samples were also taken at 0.5 and 3 hours from rats sacrificed at 1
    and 6 hours, respectively. Urine and faeces were collected from rats
    (5/sex/group) at 6, 24, 48, 72 and 96 hours post-dosing. The
    remaining animals (9/sex/dose) were sacrificed at 96 hours and their

    plasma, whole blood, thyroids, liver, adipose tissue, kidneys, lung,
    heart, bone marrow, gonads, muscle, spleen, and brain were collected
    for radioassay and metabolite analysis.  An additional 5 male and 5
    female rats were placed on diets of rodent chow containing
    unlabelled technical mancozeb (84% pure) at 15 ppm with 0.4 ppm ETU
    as contaminant. After 14 days animals were given a single oral dose
    (pulse dose) of 14C-mancozeb at 1.5 mg/kg bw. Animals were then
    housed in individual metabolism cages and urine and faeces collected
    as noted above, and sacrificed at 96 hours post-dosing and tissues
    collected as stated above. Lastly, two groups of 3 male and 3
    females with cannulated bile ducts were administered single oral
    doses of 14C-mancozeb at 1.5 or 100 mg/kg bw.  Bile was collected
    during 0-6 and 6-24 hours post-administration for radioassay and
    metabolite analysis.

         Most (74-94%) of the administered dose was recovered in the
    excreta within 24 hours with 87-120% of the dose eliminated at 96
    hours.  The excreted radioactivity was approximately evenly
    distributed between the urine and faeces for all three dose groups
    (urine range 49-55%; faeces range 36-65%). Approximately 6-8% and 2-
    4% of the dose was excreted in the bile of rats within 24 hours of
    post-dosing at 1.5 and 100 mg/kg bw, respectively. The 14C plasma
    concentrations for males and females given either 1.5 or 100 mg/kg
    bw were similar for each dose group. The absorption half-lives (t´
    absorption) was 0.7-1.0 hour for the low-dose group and 1.7 hours
    for the high-dose group.  Peak concentrations for the low- and high-
    dose group were reached within 3 and 6 hours, respectively.  The
    elimination of 14C from plasma was biphasic for both sexes.  The
    t´ for males was 4.0 and 5.7 hours receiving the low and high
    dose, respectively; for females the t´ was 4.5 and 6.0 hours for
    the low and high dose, respectively.  The slow elimination half-
    lives for both sexes were about 25 and 36 hours in animals receiving
    low and high doses, respectively.  14C levels in whole blood were
    similar to corresponding plasma concentrations for each dose group;
    however, the slow phase of elimination for the low-dose group was
    longer in blood compared to plasma.  14C concentrations in liver
    were very similar between males and females at each time point after
    dosing.  Peak levels were reached within 6 hours of dosing and were
    2-6 fold higher than the corresponding peak 14C whole blood
    concentrations after low and high-dose administration.  The
    elimination kinetics was biphasic with the half-lives for the rapid
    and slow elimination phases being about 7.5 and 35 hours,
    respectively.

    FIGURE 01

         Peak concentrations of 14C in thyroid were reached within 6
    and 24 hours in animals receiving the low and high doses,
    respectively.  Peak levels in thyroid were about 45 and 10 fold
    higher than the corresponding peak levels in whole blood after low
    and high-dose administration, respectively.  14C residue levels for
    aforementioned tissues were comparable for males and females
    receiving single dose administration except for adipose tissue and
    gonads of females which were higher than those of males.  Thyroid
    tissue contained the highest residue levels for each group. 
    However, thyroid contained less than 0.10% of the dose 96 hours
    post-dose.  Tissue concentrations of 14C residues in rats receiving
    the "pulse dose" were comparable to those in animals receiving only
    the single dose of 14C-mancozeb at 1.5 mg/kg bw.  The average 14C
    residue levels per group remaining in the tissue at 96 hours post-
    dosing ranged between 1.5-3.5% of the dose.  ETU concentrations in
    plasma and liver of rats 6 hours after dosing with 14C-mancozeb at
    1.5 mg/kg bw were 6 and 12 times less than corresponding plasma and
    liver 14C levels, respectively.  ETU was not detected in the pooled
    thyroids of these low-dose animals.  Peak plasma levels of ETU were
    reached 6 hours post-dosing in animals given 100 mg/kg bw mancozeb
    and were 6-12 times less than corresponding plasma 14C levels for
    both sexes.  ETU was rapidly eliminated from the plasma of both male
    and female rats (t´ 4.0-4.7 hours) and decreased below detectable
    levels within 48-hours post-dosing.  The estimated bioavailability
    of ETU in rats was about 6.8 percent on a w/w basis and 20% on a
    mole/mole basis.  ETU concentrations in the liver of the high-dose
    rats was 100 times less than liver 14C concentrations 6 hours post-
    dosing.  ETU was not detectable in liver 48 hours post-dosing.  ETU
    concentrations in thyroids were 80-100 and 30-225 times less than
    corresponding thyroid 14C concentrations in males and females,
    respectively, given 100 mg/kg bw mancozeb at 6 and 24 hours.  ETU
    was not detectable in plasma, liver, or thyroid of rats at 96 hours
    after administration of a "pulse dose" (1.5 mg/kg bw of 14C-
    mancozeb) preceded by a two-week dietary intake of unlabelled
    technical mancozeb.

         Concentrations of EBDC in the liver of rats 1, 6 and 24 hours
    after dosing with 14C-mancozeb at 100 mg/kg bw were 0.25, 0.61, and
    0.29 ppm for males, respectively, and 0.32, 0.35 and 0.25 ppm for
    females, respectively.  EBDC residues were not detectable 48 or 96
    hours post-dosing. EBDC was not detected in the livers of rats
    receiving the low dose (1.5 mg/kg bw) or multiple doses of mancozeb
    96 hours post-dosing.  Metabolite analysis revealed that mancozeb
    was extensively metabolized and/or degraded.  ETU was a major
    metabolite found in urine, bile and faeces.  EBDC was detected in
    liver, faeces, and bile but not in thyroid.  EBIS, ethyleneurea
    (EU), N-acetyl-ethylenediamine (N-AcEDA) and ethylenediamine (EDA)
    were also identified in urine, faeces and bile.  Other metabolites
    tentatively identified were glycine, N-acetylglycine, and N-

    formylethylenediamine. Five other metabolites were also present but
    were not identified (DiDonato & Longacre, 1986; Longacre, 1986;
    Nelson, 1986, 1987; Kocialski, 1989).

    Monkeys

         Groups of male rhesus monkeys ( Macaca mulatta; 6/group) were
    given single oral doses of either 14C-ETU; 14C-ETU plus manganous
    sulfate and zinc sulfate or 14C-mancozeb (purity not stated) for
    the determination of uptake into blood and the determination of the
    major route of elimination of 14C.  A sufficient dose was given to
    produce 100 µCi of 14C activity per monkey.  Whole blood, thyroid,
    heart, lung, liver and kidney and faecal material were converted to
    14C-carbon dioxide by combustion in a tissue oxidizer and analyzed
    for 14C activity.  Urine samples were analyzed directly.  Urine and
    faeces were collected separately.

         14C-Labelled doses of ETU and ETU plus manganese and zinc
    sulfates reached peak levels of 5% of the dose in total blood volume
    at 8 hours. 14C-Mancozeb activity in the blood was less than 0.5%
    at 8 hours and plateaued from 24-72 hours at slightly less than 1%
    of the dose.  This was in contrast to a relatively rapid decline in
    14C activity in ETU-treated monkeys which at 72 hours showed 1% of
    the administered dose in whole blood. ETU and ETU plus Mn:Zn-treated
    monkeys showed similar rates of 14C excretion with nearly 50% of
    the dose being cleared in 24 hours.  The urinary clearance of 14C
    activity by mancozeb-treated monkeys was slower (3.6% of the dose in
    24 hours) as compared to ETU-treated groups. At 120 hours (last time
    reading), the urinary route of elimination accounted for little more
    than 10% of the activity in the mancozeb dose.  Faecal elimination
    showed less than 1% of 14C activity up to 24 hours in ETU-treated
    groups.  However, mancozeb-derived faecal activity ranged from 12.5-
    64.0% of the dose at 144 hours, and from 0.005-12.7% at 24 hours. 
    14C activity was not detected in faecal samples from ETU-treated
    monkeys after 24 hours.  At 144 hours, blood samples were taken from
    2 animals of the mancozeb-treated group, the animals sacrificed and
    the following organs examined for 14C activity: thyroid, heart,
    lung, liver and kidney.  The remaining 4 animals were sacrificed 48
    hours later (192 hours post-dosing).  Comparative examination
    between the groups (2 vs 4 monkeys) indicated that 14C activity
    declined steadily between 144 and 192 hours in blood, whereas 14C
    activity in the thyroids increased over the same 48-hour time period
    (Emmerling, 1978).

    Toxicological studies

    Acute toxicity studies

         Acute toxicity studies are summarized in Table 1.  WHO has
    classified mancozeb as unlikely to present acute hazard in normal
    use (WHO, 1992).

    Short-term toxicity studies

    Mice

         Charles River COBS-CD-1 mice (10/sex/group) received 0, 1, 10,
    100, 1000 or 10 000 ppm of mancozeb (83% purity) adjusted to 100%
    active ingredient for 4 weeks.  No animals died on study and
    clinical signs were absent. Females fed 10 000 ppm mancozeb showed
    decreased body weights.  Food consumption appeared to be comparable
    for all groups on study. SGPT activity was comparable to controls
    for all groups.  Gross necropsy findings were not remarkable.

         Thyroid weights (absolute and relative) were statistically
    increased in both females at 10 000 ppm.  Males appeared unaffected.
    Liver weights were statistically significantly increased in males
    and females given 10 000 ppm mancozeb.  At 1000 ppm, absolute and
    relative liver weights were significantly increased in females. 
    Females treated with 1000 ppm and 10 000 ppm showed thyroid
    hyperplasia, congestion and decreased colloid density whereas males
    showed similar effects at 10 000 ppm.  No significant micropathology
    was evident in the livers of animals given mancozeb (DiDonato  et
     al., 1985).

         Mancozeb (83.1% pure) was administered to groups of Charles
    River CD-1 mice (15 sex/dose) for 3 months at dietary concentrations
    of 0, 10, 100, 1000, or 10 000 ppm of active ingredient.  No
    compound-related mortalities or clinical signs were observed.
    Decreased body weights and food consumption were observed in both
    sexes receiving 10 000 ppm.  There were no treatment-related effects
    with regard to haematology or clinical chemistry.  Necropsy findings
    were not remarkable.  Aniline hydroxylase activity was decreased at
    10 000 ppm in both sexes. Aminopyrine N-demethylase activity was
    decreased in males at 1000 and 10 000 ppm.  No effects were seen in
    either sex at lower doses. Absolute and relative thyroid weights
    were increased in both sexes receiving 10 000 ppm. Relative
    increases in liver weights were seen in both sexes receiving 10 000
    ppm. Absolute liver weight was increased in males administered 10
    000 ppm mancozeb.  Relative kidney weights were also increased in
    both sexes at 10 000 ppm.  Histopathologic evaluation of thyroid
    revealed an increased incidence of follicular cell hyperplasia and
    hypertrophy in both sexes at 1000 and 10 000 ppm.  There was 



        Table 1.  Acute toxicity of mancozeb
                                                                                                                     
    Species        Strain              Sex             Route            LD50          LC50         Reference
                                                                     (mg/kg bw)      (mg/l)
                                                                                                                     

    Mouse1         B6C3F1              M               oral            > 5000          ---         Watts, 1984

    Rat3           F344                M               oral            > 5000          ---         Watts, 1984

    Rat1           F344                M               oral            > 5000          ---         Watts, 1984

    Rat3           CRCD                M               oral            > 5000          ---         DeCrescente, 1980

    Rat2           Wistar              M/F             i.p.              380           ---         DeGroot, 1974

    Rat 5,6        COBS-CR             M/F          inhalation           ---          5.14         Hagan, 1982
                   (SD) BR                        4 hour exposure

    Rat 6,7        CR-SD               M/F          inhalation           ---         > 1.11        Hagan, 1980
                                                  4 hour exposure

    Rabbit4        NZW                 M              dermal           > 5000          ---         DeCrescente, 1980

                                                                                                                     

    1    Corn oil vehicle.
    2    Carboxy-methyl-cellulose vehicle.
    3    Aqueous dispersion.
    4    Saline vehicle.
    5    3/10 M and 3/10 F died during the whole body exposure/observation period (14 days).  Multiple signs but no 
         tremors; body-weight loss and decreased weight gain.  MMD 3.3 microns.  Nominal concentration was 
         41.8 mg/litre (aerosol).
    6    Whole body exposure.
    7    MMD about 2.2 microns. Nominal concentration 4.46 mg/litre (dust).
    


    increased vacuolation, interstitial congestion and decreased colloid
    density in the thyroids in both sexes at 10 000 ppm.  No liver
    effects were observed in mancozeb-treated mice with the possible
    exception of hepatocytic nuclear pleomorphism in females at 10 000
    ppm.  Increased deposits of (brownish) pigment were seen in the zona
    reticularis of the adrenal cortex of female mice at 10 000 ppm. The
    NOAEL was 100 ppm, equal to 18 mg/kg bw/day for males and 22 mg/kg
    bw/day for females (O'Hara & DiDonato, 1985).

    Rats

         Four groups of 12 male and 12 female Crl:CD (SD)BR rats were
    exposed to dust aerosols of mancozeb (84% pure) for 6 hours per day
    for 10 days.  The four groups were subdivided into whole-body
    exposed rats and nose-only exposed rats of 5/sex/dose group.  Daily
    concentrations yielded total mean aerosol concentrations of 0, 23,
    138 or 519 mg/m3.  The mean respirable aerosol concentrations were
    0, 11, 55 or 258 mg/m3 with mass median diameters of 3.5-4.9
    microns.

         Nose-only Exposure:  There were no compound-related deaths. 
    No adverse clinical signs were observed in males or females exposed
    to 11 or 55 mg/m3.  Significant decreases in mean body weight and
    mean body-weight gain were observed in the high-dose males but not
    females. T3 and T4 levels were significantly reduced and the lung
    to body-weight ratio increased in high-dose males but not in
    females.  Microscopic examination (limited to the respiratory tract)
    of nasal turbinates revealed an increased incidence and degree of
    multifocal mixed inflammatory cell infiltration (i.e. mononuclear
    cells and neutrophils) and multifocal or focal necrosis of the
    turbinate mucosa in four males and two females in the high dose.

         Whole-body Exposure:  There were no compound-related deaths. 
    No clinical signs were observed in animals receiving 11 mg/m3. 
    Significant reductions in male and female body weight and body-
    weight gain were observed at 55 and 258 mg/m3.  Male and female T4
    levels and male T3 levels were significantly decreased at 55 and
    258 mg/m3 of mancozeb after two weeks.  TSH levels were not
    significantly increased in both sexes at the high dose.  Male and
    female lung weights and lung to body-weight ratios were
    significantly increased in both sexes at the high dose.  Exposure-
    related multifocal interstitial inflammation, microgranulomas,
    multifocal mixed inflammatory cell infiltration, focal or multifocal
    necrosis in the respiratory tract and reactive lymphoid hyperplasia
    of the peribronchial lymph nodes were observed at the high dose
    tested (Hagan & Baldwin, 1986).

         Adult male and female Crl:CD(SD)BR rats were divided into two
    nose-only exposure groups and one nose-only exposure-recovery group. 
    Animals received aerosol dust (84% pure mancozeb), 6 hours/day, 5

    days week for 4 weeks at analytically determined mean concentrations
    of 0, 22, 86 or 308 mg/m3 (equivalent to respirable concentrations
    of 0, 8, 40 and 127 mg/m3) or for 13 weeks at 0, 18, 79 or 326
    mg/m3 (equivalent to respirable concentrations of 0, 8, 36 or 144
    mg/m3).

         Results - 4 Weeks Exposure:  There was no compound-related
    mortality.  Mean body weights and body-weight gains were decreased
    for males in the high-dose group.  No haematological effects were
    observed in males.  Data for females were inconclusive due to
    insufficient amount of blood needed for the haematological
    evaluations.  There were no compound-related effects in either sex
    for clinical chemistry, thyroid function, organ weights, or tissues
    examined microscopically. Ophthalmological examinations revealed no
    remarkable findings.

         Results - 13 Weeks Exposure:  There were no compound-related
    deaths and no treatment-related signs of toxicity.  Males exposed at
    the high dose exhibited reduced mean body weights and body-weight
    gains.  Some haematological and clinical chemistry changes were
    noted but were within the normal range of values and were therefore
    not considered related to mancozeb exposure.  T4 levels were
    reduced 30% in high-dose females and considered treatment-related. 
    A dose-response was evident.  Males showed a 9% decrease at the high
    dose tested which was not statistically significant.  Absolute
    kidney and heart weights were reduced in males at the high dose
    tested. However, organ to body weight and organ to brain weight
    ratios were not statistically significantly different from controls. 
    Ophthalmological examination of the eyes revealed no compound-
    related effects. No exposure-related histopathology was observed in
    either sex at the low dose tested.  Males (5/10; 8/11) and females
    (10/11; 9/11) exposed to 79 or 326 mg/m3 exhibited a yellow-brown
    granular pigment in the lumen of the cortical tubules of the kidney. 
    However, no attendant histopathological changes were reported.  Mild
    hyperplasia of the follicular epithelium in the thyroid glands of 3
    females exposed at the high dose was observed.  No exposure-related
    thyroid lesions were observed at lower dose levels or in males. 
    Several histopathological lesions were observed in the respiratory
    tract but were comparable to control incidences and not considered
    treatment-related.  Residue analysis of blood indicated
    concentrations below the limit of detection for ETU and mancozeb for
    males and females exposed to the low dose, with increasing
    concentrations at higher exposures. Residue levels for ETU in the
    thyroid were below the limit of detection at the low dose in both
    sexes, with increasing concentrations at the higher doses.  ETU and
    mancozeb levels in urine were present at all doses in both sexes.
    Those animals allowed to recover for 13 weeks after cessation of
    exposure were comparable to a concurrent control group of non-
    exposed animals for all parameters examined (Hagen  et al., 1986).

         Groups of Sprague-Dawley rats (Crl:CD(SD)BR); 10/sex/dose) were
    administered 0, 10, 100, or 1000 mg of mancozeb (83% pure, not
    adjusted for purity)/kg bw.  The control group received distilled
    water only. Test material was applied to the clipped dorsal area of
    intact skin of each animal.  An unsterile dressing sponge was placed
    over the test site and held in place for 6 hours/day then removed.
    All animals were treated similarly for 20 exposures over a 4-week
    period. All animals were fitted with a cardboard collar to minimize
    preening at the application site.  The collar was only removed
    during the 6 hours exposure period.

         Clinical observations showed no evidence of compound-related
    effects and there was no compound-related mortality.  Body weight,
    body-weight gain and food consumption in treated groups were
    comparable to controls. Erythema was transient and slight, occurring
    in not more than 2 animals/sex/dose for not longer than 2-4 days. 
    No other signs of dermal irritation were observed.  Evaluation of
    haematological and clinical chemistry parameters revealed no
    statistically significant compound-related effects. Macroscopic
    observations of treated skin revealed dark (yellow) area or
    appearance in a dose-related increasing frequency at 100 and 1000
    mg/kg bw in both sexes.  Absolute and relative organ weights in
    treated groups were not significantly different from control group.
    Microscopic findings were limited to skin of treated and untreated
    animals and characterized by increased keratin production
    (hyperkeratosis) and thickening of the epidermis (acanthosis). 
    Severity varied from minimal to slight in all groups.  These
    findings were treatment-related but not compound-related.  There
    were no microscopic findings that were attributable to mancozeb. 
    Gross enlargement of the parotid salivary gland was within normal
    histomorphological limits and found in all treatment groups
    (Trutter, 1988b).

         Groups of Crl:CD(SD) rats (14 rats/sex/group) received 0, 30,
    60, 125, 250 or 1000 ppm of mancozeb (84% pure adjusted to 100%
    active ingredient) for 13 weeks.  Dose levels in the diet were
    gradually increased with time in order to maintain approximately the
    same level of compound intake throughout the feeding period.

         There was no compound-related mortality or clinical signs.  No
    compound-related changes in body weights or food consumption were
    recorded in animals fed up to and including 250 ppm mancozeb. At
    1000 ppm, males showed a statistically significant decrease in body
    weight from weeks 3 through 13, whereas females showed a 3-14%
    decrease with statistically significant decreases only between 7 and
    10 weeks.  At 1000 ppm, food consumption was decreased in males for
    weeks 3-13, but not in females.  Males receiving 1000 ppm of
    mancozeb showed statistically significant increases in BUN (84%),
    creatinine (28%) and cholesterol (52%).  Females receiving 1000 ppm
    showed increased SAP (32%) and triglyceride (90%). However, group

    increases were not considered compound-related as one male and one
    female in the high-dose group were reported as having exceptionally
    high values.

         Clinical findings at lower mancozeb levels were not considered
    treatment-related.  Serum T4 levels were decreased in males and
    females at 1000 ppm and TSH values increased.  At 250 ppm, TSH
    values were increased in males (36%) and females (50%). However,
    only T4 values in females were statistically significantly
    decreased at 250 ppm.  MFO activity was decreased at 1000 ppm.  No
    mancozeb metabolite residues were detected in blood. Urine samples
    of rats fed 125 to 1000 ppm of mancozeb contained 0.1 to 1.1 ppm of
    parent compound. ETU metabolite of mancozeb increased in urine in a
    dose-response manner from 0.3 to 10 ppm in animals given 30 to 1000
    ppm mancozeb.

         No mancozeb residues above the detection limit of 25 ppm were
    detected in thyroids obtained from the 1000 ppm mancozeb fed rats. 
    ETU metabolite of mancozeb showed residues in thyroid which were
    dose-related to mancozeb administration.  Values ranged from less
    than the detection limit of 4.0 ppm in 30 ppm mancozeb-fed animals
    to 25 ppm in 1000 ppm animals.  At 1000 ppm, absolute thyroid weight
    was increased in males while relative weight was increased in males
    and females.  Relative liver weight was increased in males and
    females receiving 1000 ppm.  Relative spleen weight was increased
    only in females receiving mancozeb at the highest dose.  Compound-
    related histopathology was generally confined to the liver, kidneys,
    thyroid, adrenal and pituitary glands.  Thyroid follicular cell
    hyperplasia was seen in 90% of males and females receiving 1000 ppm;
    a small, well defined basophilic focus of hyperplastic follicular
    epithelial cells was seen in one male and there was also an
    increased incidence and severity of hypertrophied vacuolated cells
    in the pituitary of males.  The kidneys of males and females
    administered 125 to 1000 ppm had minimal to moderate amount of
    yellow-brown pigment in the lumen of the cortical tubules.  Pigment
    deposits were attributed to ethylene bis(isothiocyanate) sulfide
    (EBIS) a yellow coloured metabolite of mancozeb.  Pigmentation
    deposits were not accompanied by histopathological effects. There
    was also an increased incidence of hypertrophy of cells of the zona
    glomerulosa of the adrenal cortex in males given ETU and 1000 ppm
    mancozeb. Hypertrophy of the centrilobular hepatocytes was seen in
    males fed 1000 ppm mancozeb. The NOAEL was 125 ppm, equal to 7.4
    mg/kg bw/day, based on increased serum TSH and decreased T4 values
    at the next higher dose (Goldman  et al., 1986).

         Male H-Wistar rats (12/group) were given Dithane M-45 (80%
    mancozeb) mixed in feed at doses of 0, 10,50, 75, 113, 169, 253 or
    379 mg/kg bw/day for 12 weeks.  One-third of the rats in the highest
    dose group died within 6 weeks and showed signs of prostration,
    weakness and posterior extremital paralysis.  Signs were transient

    in survivors and absent at 12 weeks.  Body weight, body-weight gain,
    total food intake and food efficiency were all depressed at 169
    mg/kg bw/day and above.  Effects were compound-related and
    statistically significant.  Blood sugar levels (after glucose
    loading) and haematological parameters were comparable to control
    values.  Organ to body-weight ratios were increased for liver and
    thyroid at 75 mg/kg bw/day and above and for kidneys, adrenals and
    testes at 253 mg/kg bw/day and above.  Histopathology of liver and
    kidneys were comparable to controls.  Thyroids, however, showed a
    dose-dependent hyperplasia at 113 mg/kg bw/day and above.  A 20%
    decrease in the iodine content of the thyroids in rats given 10
    mg/kg bw/day was not statistically significant.  However at 50 mg/kg
    bw/day a statistically significant decrease of 80% was recorded. 
    PBI was significantly decreased and serum cholinesterase
    significantly increased at 169 mg/kg bw/day and above.  ALP, acid
    phosphatase and ASAT were statistically decreased in groups given
    379, 253 or 169 mg/kg bw/day or above, respectively.  Total protein
    content of sera was statistically increased but still within
    physiological limits.  Liver triglycerides were statistically
    increased at 113 mg/kg bw/day and above but serum triglyceride
    levels were comparable to controls.  Total serum cholesterol was
    increased at 75 mg/kg bw/day and above but total liver cholesterol
    was comparable to control values.  Liver total lipid was similar to
    controls.  Aminopyrine demethylase and aniline hydroxylase activity
    were both decreased at 253 mg/kg bw/day and above.  The cytochrome
    P-450 level remained unchanged (Szepvolgyi  et al., 1989).

    Dogs

         Beagle dogs (6/sex/dose) received 0, 10, 100, 1000 or 5000 ppm
    of 83.35% percent pure mancozeb in the diet adjusted to 100% of
    active ingredient for 3 months.

         Two males and one female were sacrificed  in extremis in the
    5000 ppm dose group as a result of compound-related anorexia and
    malnutrition.  Dose-related clinical signs of dehydration, thinness,
    and pale mucous membranes were also noted in animals at this dose
    level.  Occasional instances of dehydration were seen in animals at
    1000 ppm.  Signs were considered secondary to anorexia and
    malnutrition.  Ophthalmoscopic examination did not reveal any
    compound-related effects.  Food consumption was decreased
    approximately 10-20% at 1000 ppm and about 40% at 5000 ppm in both
    sexes.  Mean body weight and mean body-weight change were both
    decreased at the high dose and at 1000 ppm.  Decreases in
    erythrocyte count, haemoglobin, and haematocrit were accompanied by
    increases in mean corpuscular volume and mean corpuscular
    haemoglobin.  Values were statistically significant in both males
    and females at 5000 ppm and females at 1000 ppm.  T3 and T4 values
    were decreased along with ALAT values at 5000 ppm in both sexes.  

    Total cholesterol was elevated in both sexes at 5000 ppm and in
    females at 1000 ppm.  Females at 5000 ppm also showed elevated total
    bilirubin count at 5000 ppm.

         At necropsy, enlarged and/or dark thyroid/parathyroids and
    decreased thymus size were seen in the 1000 and 5000 ppm males and
    females.  A pale appearance of visceral organs was observed in the
    three animals sacrificed early.  Compound-related histomorphological
    tissues alterations included thyroid follicular cell hyperplasia at
    5000 ppm in both sexes, thymic cortical lymphoid depletion in the
    1000 and 5000 ppm animals of both sexes, and hypoplastic changes in
    the reproductive systems of males and females in the high-dose group
    (i.e. aspermato-, hypospermato-, and hypogenesis of the testes and
    hypogenesis of the ovaries), pallor of the  zona fasciculata of the
    adrenal gland in high-dose males and females and some sinusoidal
    liver cell pigmentation in high-dose males and females.  Urinalysis
    indicated the presence of both parent compound and metabolite.  ETU
    was detected in the blood at a dose of 1000 ppm.  No mancozeb was
    detected in the thyroid, however ETU was detected in the thyroid of
    both sexes at 100 ppm (in males 1.83 ppm and in females 0.72 ppm).
    The NOAEL was 100 ppm, equal to 3.0 mg/kg bw/day, based on decreased
    food consumption and body-weight gains and decreased erythrocyte
    count, haematocrit, and haemoglobin at 1000 ppm (Cox, 1986).

         Beagle dogs (4/sex/group) were given dietary concentrations of
    0, 50, 200, 800 or 1600 ppm of mancozeb (84.5% pure) and adjusted to
    100% active ingredient for 52 weeks.

         Two high-dose males were sacrificed  in extremis during weeks
    10 and 11.  One animal manifested haematuria and a hard distended
    bladder prior to sacrifice.  Necropsy revealed urethral calculi
    lodged behind the  os penis.  Hydronephrosis with tubular dilation,
    necrosis and congestion was noted in the kidneys.  The lower urinary
    tract manifested severe urethritis, prostatitis, cystitis and
    ureteritis. Acute peritonitis was associated with these lesions. 
    The second male like the first showed a sharp drop in food
    consumption and a decreased body-weight gain.  A haematological
    examination revealed the animal to be anaemic (decreased
    haemoglobin, erythrocytes, packed cell volume and increased
    reticulocytes).  Haematological parameters, necropsy and
    histopathological findings were consistent with a chronic
    regenerative anaemia.  Diffuse centrilobular necrosis with
    extramedullary haemopoiesis was seen on histopathological
    examination of the liver, while in the spleen and bone marrow
    moderate to slight erythroid haemopoiesis with pigment was evident
    and a notable reticulocytosis.  All other animals survived, and
    there were no apparent compound-related clinical signs or palpable
    masses, nor any apparent neurological effects of treatment.  Core
    body temperatures were comparable between groups.  With the
    exception of the two animals that were terminated early there were

    no consistent trends in food conversion efficiency or food
    consumption.  Body-weight gain for males fed 200 and 800 ppm
    mancozeb showed statistically significant decreases, beginning at 24
    and at 15 weeks, respectively.  The two high-dose male survivors and
    females showed body-weight gains comparable to controls. 
    Haemoglobin was significantly decreased at 800 and 1600 ppm in
    females at 13 and 52 weeks along with packed cell volume at 13
    weeks.  Males manifested a statistically significant increase in
    mean corpuscular volume at 1600 ppm at weeks 13, 26 and 52, as well
    as at 800 pm at week 13. Serum cholesterol was significantly
    increased in females at 1600 ppm at weeks 10, and 26.  Serum
    cholesterol values were dose-related in both sexes with cholesterol
    values increasing at 200 ppm (7%-16% at weeks 10, 26 and 52) for
    females and at 800 ppm for males.

         T4 values were consistently lower than controls or pretest
    values but were not statistically significant. T3 values were
    comparable to controls.  Urinalysis revealed no compound-related
    effects.  Absolute thyroid weight, and thyroid to body and brain
    weight ratios were significantly increased in surviving males and
    females at 1600 ppm.  Absolute liver weight and liver to body-weight
    ratio were increased in males but statistically significant only for
    liver to brain weight ratio at 1600 ppm.  Liver weight and liver
    weight ratios were also increased in females but were not
    statistically significant.  The only apparent compound-related
    effect observed was thyroid follicular distention observed in the 4
    high-dose females and the two surviving high-dose males. The NOAEL
    was 200 ppm, equal to 7.0 mg/kg of bw/day, based on decreases in
    body-weight gain, increased cholesterol and decreased haemoglobin
    and packed cell volume at 800 ppm (Shaw, 1990).

         Beagle dogs (4/sex/group) were administered by gelatin capsule
    0, 2.3, 23, or 113 mg/kg bw/day of mancozeb technical (88.6% pure). 
    The control group received gelatin capsule only.  Compound was
    administered once a day, seven days a week, for 52 weeks.

         All animals receiving 113 mg/kg bw/day were sacrificed at 26
    weeks with the exception of one male sacrificed at 13 weeks.  At the
    time of single sacrifice, food consumption was decreased 70% and
    body weight depressed.  Severe anaemia was evident. ALAT, ASAT,
    urea, total bilirubin, total cholesterol were substantially
    increased. T3 and T4 values were comparable to pre-test values. 
    Inorganic phosphorous was decreased 35%. Most organs were pale at
    necropsy and histopathology was not conducted. Necropsy was not
    conducted on animals terminated at 26 weeks. Faeces discoloration
    (yellow/green) occurred in all groups but was most prevalent at the
    high dose.  Food consumption and body-weight gain were comparable
    between control and low-dose groups (2.3 mg/kg bw/day) for both
    sexes and for males at the mid- and high-doses. Females receiving
    113 mg/kg bw/day manifested a 66% decrease in food consumption at 24

    weeks and a 13% decrease at 52 weeks.  Body-weight gain in females
    at 52 weeks was 45% less than controls for animals receiving 23
    mg/kg bw/day.  At 24 weeks, haematology values for males were
    comparable to controls at all doses.  Females showed a frank anaemia
    at 113 mg/kg bw/day and a dose-related decrease in RBCs.  Blood
    chemistry values for males showed dose-related trends for increased
    ALP, total cholesterol, total plasma protein, phosphorous, and a
    decreased trend for T4 with statistical significance attained at
    113 mg/kg.  Females showed decreasing trends for T3, T4, ASAT,
    ALAT with an increasing trend in total cholesterol.  ASAT and ALAT
    values were statistically significant at 113 mg/kg bw/day.  At 52
    weeks, haematology, blood chemistry, urinalysis, organ weights and
    histopathology were generally comparable to controls for both sexes
    for animals receiving 2.3 and 23 mg/kg bw/day with the exception of
    decreased T4 values in males.  No dogs died at 2.3 and 23 mg/kg
    bw/day.  The NOAEL was 2.3 mg/kg bw/day, equal to 2.0 mg/kg bw/day
    of active ingredient, based on decreased food consumption and
    decreased body weight in females, and decreased T4 levels in males,
    at 23 mg/kg bw/day (Broadmeadow, 1991a).

         A second study in dogs of 52 weeks was conducted at a single
    dose of 40 mg/kg bw/day as a result of the excessive toxicity and
    termination of the high-dose experimental group (113 mg/kg bw/day)
    in the preceding study.  Protocols and methods were identical to the
    first experiment. Clinical signs were limited in females.  Two
    females appeared thin looking during the course of the experiment
    and one was reported as being hypothermic and of pale appearance. 
    No dogs died.  Food consumption, body weight and body-weight gain
    for males were comparable to controls for all time periods.  Females
    showed an immediate decrease in food consumption (20-26%) and a
    statistically significant decrease in body weight and body-weight
    gain throughout the experimental period.  RBC count at 24 and 52
    weeks for males and females was decreased (7-10%) but not
    statistically significant.  However, at 52 weeks MCV was
    significantly increased in both sexes while MCHC was decreased
    significantly in females.  Other haematological parameters were
    comparable to controls as were bone marrow findings. At 24 weeks ALP
    and total cholesterol were substantially increased in males and
    females whereas ALAT and ASAT were significantly decreased in
    females. Inorganic phosphorous was significantly increased in
    females.  At 50 weeks, T3 and T4 values were statistically
    decreased in both sexes while ALP levels were significantly
    increased in females. ALAT values in females were significantly
    decreased.  Phosphorous levels were statistically raised in females. 
    Urinalysis showed a decrease in specific gravity for females
    accompanied by increased urine volume.  Absolute thyroid organ
    weight was increased in both sexes and statistically significant in
    males.  Organ to body-weight ratios were comparable in males but
    raised in females; however the values in females were suspect
    because of severe loss of body weight.  Necropsy revealed an

    enlarged or swollen spleen in treated animals.  Histopathology of
    treated animals was generally not remarkable and comparable to
    controls.  However, an increased incidence of iron pigment
    deposition in Kuffur cells of female livers and an increased
    incidence of periacinar lipofuscinosis in males was reported in both
    sexes (Broadmeadow, 1991b).

    Long-term toxicity/carcinogenicity studies

    Mice

         Groups of Charles River CD-1 mice (60/sex/dose) were divided
    into two experimental groups and given dietary concentrations of
    mancozeb technical (88.6% pure) at 0 or 25 ppm, or 0, 100 or 1000
    ppm for 78 weeks.  Mancozeb was stable in the diet for at least 7
    days and the diet was formulated weekly.  Ten animals per sex per
    dose were sacrificed at 52 weeks and all surviving animals
    sacrificed at termination and necropsied.  There was no compound-
    related mortality or clinical signs.  Body-weight gain in males was
    decreased 6% at 52 weeks and 8% at 79 weeks at 1000 ppm.  Values
    were not, however, statistically significant.  Body weight in
    females at 100 ppm was decreased from weeks 1-24 and at 1000 ppm
    from weeks 1-78. However, body-weight decreases in females at 100
    ppm was not compound-related since there was no dose-response from
    100 ppm to 1000 ppm.  Body-weight gain in females was decreased 10%
    at 52 weeks and 14% at 78 weeks at 1000 ppm.  Body-weight gain
    values at 52 and 78 weeks were not statistically decreased.  Food
    consumption and differential blood counts were comparable between
    treated and control groups.  There were no remarkable intergroup
    differences for organ weights.  The incidence of liver nodules in
    males at 0, 100, and 1000 ppm were 4/50, 3/50 and 10/50,
    respectively.  The incidence of liver masses at 0, 100 and 1000 ppm
    in males were 5/50, 5/50 and 9/50, respectively.  Liver nodules and
    liver masses were not significantly different from control values.

         There were no intergroup differences in the incidence of liver
    nodules or liver masses in females.  There were no macroscopic or
    microscopic findings that could be attributed to compound
    administration. The incidence of male mice bearing liver tumours at
    doses of 0, 100 and 1000 ppm was 10/50, 7/50 and 17/50,
    respectively. There were no statistically significant differences or
    trends. The number of male animals showing benign tumours was 8/50,
    5/50 and 17/50, respectively, and the number showing hepatocellular
    carcinomas was 2/50, 2/50 and 0/50.  Males receiving doses of 0 or
    25 ppm manifested malignant liver tumours in 3/50 and 4/50 animals,
    respectively, with the total number of benign and malignant tumours
    being 7/50 and 7/50 for both experimental groups. The NOAEL was 100
    ppm, equal to 17 mg/kg bw/day, based on decreased body-weight gain
    at 1000 ppm.  There was no evidence of carcinogenicity (Everett  et
     al., 1992).

         Groups of Charles River CD-1 mice (94/sex/group) received 0,
    30, 100, or 1000 ppm of mancozeb (83% pure adjusted to 100% active
    ingredient) for 78 weeks.  Twenty-four animals/sex/group were
    selected for an interim sacrifice at 12 months.  Haematology was
    conducted on 15 mice/sex/dose at 12 and 18 months. Thyroid function
    assays were conducted on a minimum of eight animals/sex/dose after
    12 and 18 months, with evaluations conducted on T4, T3 and TSH. 
    Necropsies were performed on all unscheduled deaths, on 24
    animals/sex/group at interim (12-month sacrifice) and on all
    surviving animals at terminal sacrifice.

         There were no treatment-related increases in mortality or
    clinical signs.  Food consumption was similar among all groups. Body
    weight for males and females of the 1000 ppm group were
    statistically and consistently lower than controls through out the
    78 weeks.  Body-weight gains at 52 and 78 weeks for males and
    females were decreased 18% and 13% and 15% and 9%, respectively. 
    Body weights and body-weight gains in other dose groups were similar
    to controls values.

         RBC counts were statistically significantly decreased in males
    at 12 months at 1000 ppm.  All other values for males were
    comparable to controls.  Females at 12 months and 1000 ppm showed
    decreased RBC count, increased MCHC, and increased MCV. T3 and T4
    changes were statistically significant only at the high dose tested
    (1000 ppm) in both sexes.  T3 and T4 levels were decreased in
    females at 18 months (32% and 61% respectively).  T4 levels in
    females were also decreased at 12 months (76%).  Males had a 56%
    decrease at 12 months in T4 values and a 45% increase in T3 values
    at 18 months. TSH levels were not statistically significantly
    increased in either sex at any dose or time period.

         Necropsy and gross examination of animals at the 12-month
    interim and 18-month terminal necropsies revealed no consistent
    gross lesions that could be attributed to an effect of the test
    chemical.  Diffuse discoloration of the lymph nodes was observed in
    high-dose males (6/66) but the finding was not confirmed under
    histopathological examination. There were no consistent differences
    in mean organ weights, mean organ to body weight or organ to brain
    weight ratios between control and compound-treated males or females
    that could be attributed to the test article.  Non-neoplastic
    findings were comparable to controls.  Hepatocellular adenomas and
    carcinomas as well as pulmonary alveolar/bronchiolar adenomas and
    carcinomas observed in both sexes were not statistically
    significant.  The NOAEL was 100 ppm, equal to 13 mg/kg bw/day in
    males and 18 mg/kg bw/day in females, based on decreased body weight
    and body-weight gain and decreased T3 and T4 values at 1000 ppm. 
    There was no evidence of carcinogenicity (Schellenberger, 1991).

    Rats

         Groups of Charles River Crl:CDBR rats (72/sex/dose) received 0,
    20, 60, 125 or 750 ppm of mancozeb technical (83.8% pure) in the
    diet for 2 years. 

         Mean body-weight gains in the high-dose males were
    significantly lower than the control group in the first year
    followed by lower but not statistically significant differences
    during the second year (8.0%).  Females receiving the high dose
    showed a statistically significant decrease in body-weight gain at
    90 days (16%) and one year (11%).  Body-weight gains were comparable
    to controls from 1-2 years.  Food consumption was comparable for all
    groups.  Food efficiency was slightly but not statistically
    decreased in high-dose males (5.5-7.5%) for various time intervals
    and females at 90 days (10%).  Erythrocytes, haemoglobin and
    haematocrit were significantly decreased in male animals receiving
    125 ppm at 18 months but not at other time periods.  Haematological
    findings were unremarkable in females.  ALAT in males and
    cholesterol levels in females were significantly increased at 750
    ppm at 24 months.  Males revealed decreased T3 values at 125 and
    750 ppm at three months with decreased T4 values at 750 ppm at 6
    and 18 months.  TSH values were increased at 750 ppm at 12 and 18
    months and at 125 ppm at 24 months. Females showed decreased T3
    levels at 60, 125 and 750 ppm at 3 months.  T4 values were
    decreased at 750 ppm at 3, 18 and 24 months. TSH values were
    increased at 750 ppm at 6 and 18 months.  Urinalysis values were not
    remarkable.  Survival was comparable for all groups. After 24
    months, absolute and relative (to body weight) thyroid/parathyroid
    weights of the high-dose males and females were significantly
    increased.  The incidence of enlarged thyroids was also higher in
    males and females at 750 ppm and the incidence of observed masses
    was also higher in males. Follicular cell hypertrophy/hyperplasia of
    the thyroid gland was significantly increased for males and females
    receiving 750 ppm at the end of the first year.

         A granular yellow-brown pigment was also present in rats fed
    125 and 750 ppm at one and two years.  Renal pigment remained in the
    same magnitude as seen at 12 months.  No attendant pathology was
    evident.  Bilateral retinopathy was also significant in both sexes
    at the high dose at 2 years. At 2 years, in the high-dose group of
    males and females, significant increases were recorded for thyroid
    follicular cell hypertrophy/hyperplasia as well as nodular
    hyperplasia.  Thyroid follicular cell adenomas (20/61) and
    carcinomas (14/61) were significant only in high-dose males. 
    Females showed increased incidences of thyroid follicular cell
    adenomas (6/61) and carcinomas (4/61) but the increases were not
    statistically significant when compared to control groups. The NOAEL
    was 125 ppm, equal to 4.8 mg/kg bw/day, based on decreased body-
    weight gain, decreased T3, T4 values, increased TSH values,

    increased absolute and relative thyroid weight, thyroid follicular
    cell hypertrophy, hyperplasia, and nodular hyperplasia, in both
    sexes at 750 ppm. Carcinogenic effects were noted in both sexes in
    the form of thyroid follicular cell adenomas and/or carcinomas but
    only at the highest dose level (Stadler, 1990).

         Sprague-Dawley (CD) rats (50 [main study] and 20 [satellite
    study] animals/sex/dose) were given 0, 25, 100, or 400 ppm of
    technical mancozeb in the diet (88.5% purity, adjusted to 100%
    active ingredient) for 104 weeks.  There were no compound-related
    signs or mortality. Body-weight gain was significantly decreased in
    males and females at the high dose tested for weeks 1-26 and 1-13,
    respectively.  Body weights were significantly decreased for males
    from weeks 2-75 and for females from weeks 4-25. Food consumption
    was comparable between all groups and food conversion ratios similar
    for treated and control groups.  There were no treatment-related
    effects on haematological parameters.  Reported changes were neither
    dose nor time-dependent.  T4 levels were significantly decreased in
    males and females at 400 ppm at 26 and 52 weeks and in females alone
    at 78 weeks at 100 and 400 ppm.  However, the decrease at 100 ppm
    was not consistent over time.  T3 levels in males were decreased at
    52 weeks but increased 43% at 104 weeks in the high-dose group. TSH
    was increased by 86% at 78 weeks in females of the high-dose group.

         The remaining statistical differences, particularly for
    protein, calcium and other electrolytes, appeared to be unrelated to
    treatment. Urinalysis findings were not considered to be compound-
    related. Ophthalmoscopic changes were comparable between groups.
    There were no compound-related organ weight changes. There was no
    evidence of tumorigenicity. The incidence of thyroid follicular cell
    adenomas in males was 6/50, 2/50, 2/50 and 6/50, for thyroid
    follicular cell adenocarcinomas the frequency was 2/50, 0/50, 1/50,
    and 3/50 for control and respective dose groups.  Parafollicular
    carcinomas in males was 1/50, 6/50,6/50 and 6/50.  Anterior
    pituitary adenomas in males occurred at a frequency of 18/50, 22/50,
    28/50, and 27/50 whereas anterior pituitary adenocarcinomas were
    observed at an incidence of 3/50, 2/50, 2/50 and 1/50 in controls
    and respective dose groups.  A statistical significance was not
    achieved between groups, and values were comparable with the upper
    incidence of the control range. Thyroid follicular cell adenomas and
    adenocarcinomas were observed in females at frequencies of 0/50,
    0/50, 2/50 and 2/50; and 0/50, 0/50, 0/50 and 1/50, respectively,
    for controls and treated groups.  Parafollicular malignant tumours
    occurred at the same frequency (3/50) in all groups.  Pituitary
    adenomas in females (anterior pituitary) ranged from 28/50 to 35/50. 
    Pituitary adenocarcinomas ranged from 4/50 to 7/50.  Non-neoplastic
    findings in males were not significant for pituitary, testes,
    kidneys, or other tissues with the exception of thyroid. There was a
    minimal increase in the height of the follicular epithelium of the
    thyroid (3/50, 1/50, 1/50, 8/50) and an increase in the number of 

    prominent microfollicles (0/50, 1/50, 0/50, 5/50) at the high dose.
    Non-neoplastic findings for females were not significant for kidney,
    pituitary or stomach.  There was however a minimal increase in the
    height of the follicular epithelium of the thyroid (1/50, 0/50,
    1/50, 5/50) at 400 ppm.  The NOAEL was 113 ppm, equal to 4.0 mg/kg
    bw/day in males and 5.1 mg/kg bw/day in females, based on decreased
    body-weight gain and body weight, an increase in the height of the
    thyroid follicular epithelium, an increase in prominent
    microfollicles, and a decrease in thyroxine levels at 450 ppm (Hooks
     et al., 1992).

    Reproduction studies

    Rats

         Sprague-Dawley Crl:CD(SD)BR rats (25/sex/dose) received 0, 25,
    150, or 1100 ppm of 88.4% mancozeb technical in the diet.  Compound
    intake was not corrected to 100% of active ingredient in the diet. 
    Animals (F0 generation) were seven weeks old at the start of
    treatment, acclimated to laboratory conditions and healthy.  After a
    premating period of 14 weeks, animals of the same dose levels were
    mated for not longer than three weeks.  Females were allowed to
    litter and rear their offspring.  Exposure to compound and diet was
    continuous and  ad libitum.  Selected F1a pups were maintained for
    14 weeks after weaning of all F1a offspring then mated for three
    weeks, allowed to litter and rear their offspring (F2a generation). 
    There were no compound-related deaths and clinical signs were not
    evident for either generation. Body weight and body-weight gain were
    significantly depressed in males and females of the high-dose group
    for both parental (F0, F1) generations during the 14-week pre-
    treatment period.  Males of the F1 generation also showed
    significant decreases in body weight and body-weight gain at the
    mid-dose.  Body weight and body-weight gain for dams during
    gestation of F0, and F1 parents, were significantly decreased at
    1100 ppm and depressed at the mid-dose.  Food consumption was
    significantly decreased for both sexes during the premating period
    of both generations at the high dose. Food consumption for F1
    females was also significantly decreased at the high dose during the
    periods of gestation and lactation.

         Absolute organ weight at necropsy revealed statistically
    significant increases for both parental sexes at the high dose. 
    Macroscopic examination of all tissues examined revealed no
    remarkable findings.  Histopathology, however, revealed thyroid
    hyperplasia and hypertrophy in nearly all animals examined of F0
    and F1 parents at the high dose.  Thyroid follicular cell adenomas
    were also found in five males of the F0 generation and in eleven
    males of the F1 generation at the high dose.  Indices for F1a pups
    were comparable to controls.  A slight delay in the opening of the
    eye was however considered to be treatment-related at the high dose.

    Necropsy findings were comparable between treated and control groups
    for F1a and F2a litters. Viability, pups and litter weights were,
    however, significantly decreased at the high dose on days 14-21. 
    The NOAEL in this study was 25 ppm, equal to 1.7 mg/kg bw/day, based
    on decreased body weight at 150 ppm (Muller, 1992).

         Charles River CRL:CDBR rats (25/sex/dose) received 0, 30, 120,
    or 1200 ppm of mancozeb (84% pure) in the diet.  Animals were placed
    together for a period of 10 days to produce the F1a and F1b
    generation. The presence of a vaginal plug was considered day zero
    of gestation.  On day 4, litters were culled to 5 animals/sex/dose. 
    Litters were weaned on day 21.  One male and one female were then
    selected from the F1a litter to serve as the parents for the F2
    generation (F2a and F2b litters).

         There were no treatment-related clinical signs or deaths in
    either the F1 or F2 generation.  Parental body weights for F1 and
    F2 male and female rats were similar between control, 30 and 120
    ppm groups throughout the 10-week treatment period prior to mating
    or for F1 and F2 females during the gestation and lactation
    periods.  At 1200 ppm, mean body weight for male and female rats of
    the F1 and F2 generation were significantly below control
    throughout the pre-mating period, as well as for parental females
    during gestation and lactation.  Mean feed consumption of F1 and
    F2 male and female rats were comparable between control, 30 and 120
    ppm groups. At 1200 ppm, mean food consumption was decreased in F1
    but not F2 male and female rats prior to mating. During gestation
    and lactation F1 and F2 females had food consumption values
    comparable to controls. Reproductive indices as measured by
    fertility, gestation, viability and lactation were comparable to
    controls for F1 and F2 adult and offspring at all dose levels. 
    Fetal body weight for F1a,b and F2a,b offspring were also comparable
    to controls.  There were no treatment-related effects on the
    absolute and relative organ weights at 30 ppm for the F1 and F2
    parents or for F1 parents at 120 ppm.  F2 males showed a
    statistically significant dose-related increase in relative liver
    weight at 120 ppm without histopathological changes. At 1200 ppm
    both F1 and F2 parents manifested significant increases in
    relative liver weight and absolute and relative thyroid weights. 
    Relative kidney weight was increased in F1 and F2 females, but not
    in males. There were no gross pathological changes considered to be
    treatment-related among either F1 or F2 animals nor any which
    could be substantiated by corresponding histopathology.

         Treatment-related microscopic changes were observed in the
    thyroid, kidney and pituitary of F1 and F2 animals. Changes
    involving the follicular cells of the thyroid observed in the F1
    generation were also observed in the F2 generation with generally
    higher incidences or greater severity. All males of the F1 and F2
    generation showed some degree of diffuse follicular cell hyperplasia

    at 1200 ppm. Follicular cell adenomas and nodular/cystic follicular
    cell hyperplasia were also observed at 1200 ppm. All or nearly all
    females showed some degree of diffuse follicular cell hyperplasia at
    1200 ppm in F1 and F2 generations.  Nodular/cystic follicular cell
    hyperplasia was also evident at 1200 ppm in the F2 generation. 
    Follicular cell adenomas were not observed in females.  Brown
    globular pigment was observed within the lumen of proximal tubules
    in the kidneys at statistically significant incidences in both sexes
    of both generations at 120 and 1200 ppm.  However, no associated
    pathology was observed.  Hypertrophy and/or vacuolation of the
    anterior pituitary was treatment-related only in males and only at
    1200 ppm of the F1 and F2 generation based upon an increased
    severity of response and not an increased incidence.  Other
    microscopic changes were not considered to be treatment-related. The
    NOAEL was 120 ppm, equal to 7.0 mg/kg bw/day, based on increased
    relative weights of the liver, kidney and thyroid, increased
    absolute thyroid weight, decreased body weight and feed consumption
    of females during gestation and lactation, and decreased pre-mating
    body weight and feed consumption, at 1200 ppm (Solomon  et al.,
    1988).

    Special study on neuropathology

    Rats

         Groups of Charles River Crl:CD(R) BR rats (10
    animals/sex/dose) received 0, 20, 125, 750 or 5000 ppm of mancozeb
    (79.3% pure and adjusted for purity) mixed in the diet for 90 days. 
    Two female satellite groups of 16 females each were also included
    and received 5000 ppm for a two-week period only prior to sacrifice. 
    One male and 4 females died in the 5000 ppm group.  These deaths
    occurred between the second and fourth week of administration and
    resulted in a cessation of test compound in females of the high dose
    only and administration of control feed for the remainder of the
    study.  Onset of clinical signs in the second and third week of
    administration consisted of generalized weakness, abnormal gait or
    mobility, limited or no use of the rear legs.  Loss of muscle mass
    was also reported in males.  However by day 60 some males in the
    high-dose group appeared clinically normal and females showed
    improvement after one week on control diets.  Females of the
    satellite group fed mancozeb for two weeks manifested limited rear
    limb mobility.  No clinical signs were observed below 5000 ppm.

         Body weight in males was decreased 45% by day 90 in the high-
    dose group.  Other dose levels in males were comparable to controls. 
    Females receiving 5000 ppm showed initial weight loss which was
    reversed after cessation of test compound and their placement on
    control feed.  Satellite females administered 5000 ppm of mancozeb
    for two weeks showed minimal weight changes at 14 days.  However, at
    750 ppm and 90 days biologically significant decreases in body

    weight (9%) and body-weight gain (17%) were noted.  Body weights
    were unaffected at lower doses.  Food consumption in high-dose males
    was decreased 40% compared to controls, but was similar to controls
    at other dose levels.  Females receiving 5000 ppm for two weeks had
    decreased food consumption values ranging between 29% and 64%.  In
    other groups, female food consumption was similar to controls.  Food
    efficiency was decreased in all high-dose animals and at 750 ppm in
    females (13%).

         Neuropathology revealed effects in both sexes at 750 ppm and
    5000 ppm.  Pathology in males at 750 ppm and 5000 ppm was reported
    as myelin phagocytosis, Schwann cell proliferation, myelin bubbles,
    demyelination of nerve fibres associated with the posterior thigh
    muscle and myelin ovoids in teased nerve fibres.  Additional
    observations at 5000 ppm consisted of intra-sheaths ellipsoids,
    demyelination, thickening of the myelin sheath, neurofibrillary
    degeneration and atrophy of the posterior thigh muscles. High-dose
    females fed a recovery diet showed a thickening of the myelin
    sheath, myelin bubbles, and ballooning of the myelin sheath.
    Muscular atrophy was reported in one surviving female.  There was
    also an increased incidence of demyelination but a decrease in the
    presence of myelin ovoids and debris when compared to males at this
    dose level. Females fed 5000 ppm for two weeks and then sacrificed
    showed myelin bubbles, sheath thickening, myelin phagocytosis and
    Schwann cell proliferation.  Muscle atrophy was present in 9/10
    animals examined and demyelinated lengths with the presence of
    myelin debris and ovoids were found upon examination of teased sural
    nerve fibres.  At 750 ppm in females, teased nerve fibres showed
    some demyelination myelin ovoids and debris.  No neuropathology was
    conducted at 20 ppm dose level because of the absence of findings at
    125 ppm. The NOAEL was 125 ppm, equal to 8.2 mg/kg bw/day in males
    and 10.5 mg/kg bw/day in females, based on decreased body weight,
    body-weight gain and food consumption in females and
    neurohistopathological changes in both sexes at 750 ppm (Stadler,
    1991).

    Special studies on embryotoxicity/teratogenicity

    Rats

         Groups of mated female Crl:CD rats (27/group) were whole-body
    exposed to 80% pure mancozeb dust by the inhalation route.
    Administered doses were 0, 1, 17, or 55 mg/m3 for 6 hours/day on
    days 6-15 of gestation. Particle size ranged from 1.4-6.4 microns. 
    Animals were observed for clinical signs during and after exposure
    then sacrificed one day prior to natural delivery.  Fetuses were
    examined externally, viscerally and skeletally.  No animals died. 
    Hind limb weakness and a slower righting reflex were observed in
    6/27 high-dose dams.  However, the signs disappeared during the
    post-exposure observation period. High-dose animals also gained

    significantly less weight than controls (40% less). There were no
    differences between treated and control group as to malformations
    observed.  There was however an increased incidence in the number of
    animals manifesting a wavy rib which was statistically significant
    at the high dose. This variation was dose-related across treated
    groups.  There was no increase in soft tissue alterations. 
    Observations were typical of those commonly seen in this strain of
    rat.  Fetal body weights were comparable between groups (Lu &
    Kennedy, 1986).

         Mancozeb (83.0% active ingredient adjusted to 100% for dosing)
    was administered by gavage in corn oil to groups of 26 primigravid
    BLU(SD)BR rats on days 6-15 of gestation (day 0, day of
    insemination) at doses of 0, 2, 8, 32, 128 or 512 mg/kg bw/day.  ETU
    was administered as a positive control at 50 mg/kg bw/day.  All rats
    were sacrificed on day 20 of gestation and caesarean sections
    performed.

         Food consumption and body weights were decreased at 128 mg/kg
    bw/day and above in mancozeb treated dams. Body weights for all
    other mancozeb-treated groups were comparable to the control group
    as was the ETU-treated group.  Litter data indicated significant
    decreases in the average number of live fetuses, mean fetal weight
    and mean gravid uteri and increased resorptions only at 512 mg/kg
    bw/day for mancozeb-treated animals.  Fetal weight was decreased in
    ETU-treated animals, and one dam died on study.  Adverse compound-
    related effects were clearly manifested for mancozeb at 512 mg/kg
    bw/day and ETU at 50 mg/kg bw/day for gross abnormalities (agnathia,
    cleft palate, meningoencephalocele), soft tissue effects (dilated
    ventricles, compressed spinal cord), and skeletal tissue (incomplete
    ossification of the skull, clavicle, scapula).  The effects observed
    at 128 mg/kg bw/day were not biologically or statistically
    significant. The NOAEL for maternal toxicity was 32 mg/kg bw/day
    based on decreased body weight and decreased food consumption at 128
    mg/kg bw/day. The NOAEL for teratogenic effects was 128 mg/kg bw/day
    based, in part, on the presence of agnathia, cleft palate,
    meningoencephalocele, dilated ventricles and incomplete ossification
    of the skull at 512 mg/kg bw/day (Gallo  et al., 1980).

         Female Sprague-Dawley rats (25/dose/group) received 0, 10, 60,
    or 360 mg/kg bw/day of mancozeb (88.6% pure) in methyl cellulose or
    methyl cellulose alone (control group).  Animals were dosed daily by
    the oral route (gavage) from day 6 to day 15 (inclusive) of
    gestation.  Dams were observed on predetermined regular schedules
    for clinical signs, mortality body weight, and food consumption.  On
    day 20 of gestation females were sacrificed with carbon dioxide and
    uterine contents examined.

         There were no readily apparent or statistically significant
    differences between control values and values obtained in treated

    groups for the parameters examined at either 10 or 60 mg/kg bw/day. 
    One dam was sacrificed in a moribund state at 360 mg/kg bw/day. Four
    females exhibited a "reeling gait" followed by slight paralysis in
    three of the dams. Body weights were decreased during the treatment
    period (days 6-15) and days 16 through 20. Statistical significance
    was attained on days 16 and 20. Food consumption was significantly
    decreased from days 6-15 inclusive. A slight dose-related reduction
    in the degree of ossification of the intraparietal bone was
    statistically significant. The Incidence for this effect was 75, 80,
    87 and 90% for control to high dose. The historical mean was 25% and
    the range 4.90-91.0%. A marginal increase in the size of the
    anterior fontanelle (12%) was also observed. The historical mean for
    this effect was 2.6% with a range of 0-24%. Incomplete ossification
    of the thoracic vertebrae centra was also statistically significant
    at the high dose tested. The NOAEL for maternal toxicity and
    embryo/fetotoxicity was 60 mg/kg bw/day. Maternal toxicity at 360
    mg/kg bw/day was seen as "reeling gait", hind limb paralysis, and
    decreased body-weight gain and food consumption. Embryo/fetotoxicity
    at the highest dose was seen as reduction in the degree of
    ossification of the intraparietal bone, a marginal increase in the
    size of the anterior fontanelle and incomplete ossification of the
    thoracic vertebrae centra (Tesh  et al., 1988).

    Rabbits

          Groups of New Zeeland white rabbits (18 females/dose) were
    treated by oral intubation with doses of 0, 5, 30 or 55 mg/kg bw/day
    of Pencozeb Technical (88.4% pure) in methyl cellulose or methyl
    cellulose, on days 6 through 18 of gestation.  Animals were
    sacrificed on day 28 post-coitum.  There were no compound-related
    effects at these dose levels either in-life or during examination
    post-sacrifice. A second experiment was therefore conducted at a
    single high dose of 100 mg/kg bw/day with a concurrent control group
    following the general procedures and examinations of the prior
    experiment. No treatment-related clinical effects or treatment-
    related necropsy findings were detected.  Two dams in the control
    group and five in the 100 mg/kg bw/day dose group aborted.  A clear
    and substantial body-weight loss was observed in does at 100 mg/kg
    bw/day for days 6-9 post-coitum (i.e. days 1-3 of compound
    administration).  Body-weight gain during days 9-15 was also
    substantially depressed compared to controls.  Food consumption was
    also markedly decreased between days 6-19.  A slight post-
    implantation loss (5%) was also observed and may have been compound-
    related. No compound-related fetal effects were observed.  The NOAEL
    for maternal effects was 55 mg/kg bw/day and greater than 100 mg/kg
    bw/day for embryo/fetotoxic effects.  An increase in abortion, body-
    weight loss, suppressed body-weight gain and decreased food
    consumption were observed at 100 mg/kg bw/day (Muller, 1991).

         New Zeeland white female rabbits (20 animals/dose/group)
    received either 0, 10, 30, or 80 mg/kg of bw/day of mancozeb (83.0%
    pure) in methyl cellulose or methyl cellulose alone (control group)
    by oral gavage on days 7-19 of gestation.  No treatment-related
    deaths occurred in control or in the 10 and 30 mg/kg bw/day dose
    groups.  One animal died in the 30 mg/kg bw/day group but death was
    attributed to mis-dosing.  Two does were sacrificed in a moribund
    condition at the high dose and the deaths considered treatment-
    related (one of these two does was pregnant and did not abort).
    Clinical signs were comparable between controls and animals
    receiving 10 and 30 mg/kg bw/day. Animals receiving 80 mg/kg bw/day
    manifested significant increases in clinical signs. Alopecia,
    anorexia, ataxia, scant faeces, and abortions were all observed at
    the high dose tested. Body-weight gain and food consumption were not
    significantly different between controls and groups receiving 10 or
    30 mg/kg bw/day. At 80 mg/kg bw/day body-weight and food consumption
    were significantly decreased in does that aborted and those
    sacrificed moribund.  Does producing at least one viable fetus had
    body-weight gains and food consumption values similar to controls.

         No treatment-related changes were evident in the incidence of
    gross postmortem findings between does in the control and treated
    group.  Reproductive parameters between controls and does receiving
    10 or 30 mg/kg bw/day were comparable as measured by the number of
    abortions, litters produced, and the mean number per litter of
    corpora lutea, implantations, resorptions, dead and live fetuses or
    sex ratio.  At 80 mg/kg bw/day a significant increase in does
    aborting (5/15) was reported with a corresponding decrease in the
    number of litters produced.  All other parameters were comparable to
    control group.  Mean fetal body weight was similar between the
    control and treated groups. There were no significant increases in
    the types or incidence of malformations or developmental variations
    between control or treated groups.  The NOAEL for maternal toxicity
    was 30 mg/kg bw/day. The NOAEL for embryo/fetotoxicity was greater
    than 80 mg/kg bw/day.  Maternal toxicity at 80 mg/kg bw/day was
    based on an increase in aborted fetuses, decreased number of litters
    produced, decreased body-weight gain and food consumption, an
    increase in clinical signs and death (Solomon & Lutz, 1987).

    Special study on mancozeb stability in DMSO

         14C-mancozeb (Dithane M-45; 80% wettable powder; 88% radio
    purity) was suspended in DMSO (99% pure) at a nominal concentration
    of 100 ppm and sampled and analyzed for mancozeb at the following
    times: 0, 15, 30, 60, 90, 120, 150, 180 and 210 minutes.  Maximum
    concentration of mancozeb occurred at approximately 15 minutes. 
    Immediately after adding DMSO to mancozeb (zero time) there was
    evidence of significant decomposition with continued rapid
    degradation to three compounds, two of which were impurities in the
    starting material.  The majority of the mancozeb was degraded within

    60 minutes and after 4 hours an average of 9% of the mancozeb
    remained.  The half-life of mancozeb in DMSO was calculated to be 37
    minutes (Schweitzer, 1990).

    Special studies on genotoxicity

    The results of genotoxicity assays are given in Table 2.

         Mancozeb has been tested in a series of  in vitro and  in vivo
    genotoxicity assays.  Chromosomal aberrations were induced  in
     vitro, whereas conflicting data were obtained with  in vivo
    assays.  There was no evidence for the induction of gene mutations
    or cell transformations.  The Meeting concluded that the data base
    for mancozeb is equivocal for genotoxicity.  A number of available
    studies were not considered either because DMSO was used as a
    solvent in which mancozeb is very unstable or because of important
    omissions from the reports.

    Special studies on irritation and sensitization

    Guinea-pigs

         Mancozeb has been demonstrated to be a strong sensitizer in the
    Hartley strain female guinea-pig by the Guinea-Pig Maximization
    Test.  With induction concentrations of 5% (intradermal) and 25%
    (topical) and challenge concentrations of 2% and 0.5% (topical) all
    of the mancozeb-treated females (10/group) responded at both 24 and
    48 hours.  In the same studies, cross sensitization responses were
    also seen with zineb, maneb and mancozeb.  A dose-response
    relationship between the incidence of skin sensitization and
    induction and challenge concentration was also seen with maneb.  The
    purity was not stated for any of the test materials (Matsushita  et
     al., 1976, 1977).

         Young adult Hartley guinea-pigs were divided into three
    experimental groups and tested for delayed contact hypersensitivity
    using a modified Buehler procedure.  Animals received three 6-hour
    induction doses (1 dose/week, within 3 weeks) of either 0.4 ml of
    50% (w/v) mancozeb (83% pure) in distilled water, 0.1% (w/v) 1-
    chloro-2,4-dinitrobenzene (DNCB) in 80% (v/v) aqueous ethanol
    (positive control), or received no induction doses (control group)
    but were otherwise treated similarly.  All groups were challenged 12
    days after the last induction dose/treatment.  The sham treated
    control group was challenged with test compound and DNCB on each
    half of the back.  Erythema and edema reactions were scored 24 and
    48 hours after challenge using the method of Draize.  All groups
    were rechallenged 7 days after the primary challenge and a separate
    additional control group was challenged as previously described.  No
    erythema or edema was observed in sham treated controls.  Positive
    controls showed positive response at 24 and 48 hours. Only one of



        Table 2.  Results of genotoxicity assays on mancozeb
                                                                                                                                              
    Test system            Test object            Concentration1                    Purity              Results             Reference
                                                                                                                                              

    1. GENE MUTATION ASSAYS

    1.A. Bacterial Gene Mutation Assays

    Salmonella             S. typhimurium         2.5-250 µg/plate                  88% active          Negative            Chism, 1984a
    reversion assay        TA1535, TA1537,        (± rat S9);                       ingredient (a.i.)
                           TA98, TA100            in distilled water

                           S. typhimurium         2.5-250 µg/plate (± rat S9);      88% a.i.            Negative            Chism, 1984b
                           TA1535, TA1537,        in distilled water
                           TA98, TA100

    1.B. In Vitro Mammalian Gene Mutation Assays 

    Mammalian gene         Chinese hamster ovary  0.5-45 µg/ml;                     88% a.i.            Negative            Foxall & Byers, 
    mutation assay         (CHO)/hprt             in distilled water                                                        1984

    1.C. In Vivo Gene Mutation Assays 

    Sex-linked             D. melanogaster        5-15 mg per 100 ml of             Not specified       Negative            Vasudev & 
    recessive lethal       Muller-5 stock         food medium                                                               Krishnamurthy, 1980
    assay

    Autosomal              D. melanogaster        5-15 mg per 100 ml of             Not specified       Negative            Vasudev & 
    recessive lethals      Cy/B1 L2 stock         food medium                                                               Krishnamurthy, 1980

    1.D. Yeast and Other Fungal Assays

    Point mutation         A. nidulans            0.125-12 µg/ml;                   Not specified       Positive            Martinez-Rossi &
    induction              strains biA1           in distilled water;                                                       Azevedo, 1987
                           methG1 and 118         no activation used

                                                                                                                                              

    Table 2 (contd)
                                                                                                                                              
    Test system            Test object            Concentration1                    Purity              Results             Reference
                                                                                                                                              

    2. STRUCTURAL CHROMOSOMAL ALTERATIONS

    2.A. In Vitro Chromosomal Alterations in Mammalian Cells

    In vitro               Cultured human         1.40 µg/ml;                       Not specified       Positive            Georgian et al., 
    chromosomal            lymphocytes            in propylene glycol;                                                      1983
    aberrations                                   no activation used

    2.B. In Vivo Chromosomal Alterations

    Bone marrow            Male non-inbred        10-1000 mg/kg;                    Not specified       Negative2           Kurinnyi et al., 
    cytogenetics           white mouse            in milk suspension                                                        1982
                                                  or aqueous emulsion?

                           Wistar rat             single i.p. 2.5-10 mg/kg;         Not specified       Positive            Georgian et al., 
                                                  in propylene glycol                                                       1983

                           Wistar rat             1.7 mg/kg bw/day for              Not specified       Positive            Georgian et al., 
                                                  280 days; mixed in feed                                                   1983

                           Male Fischer 344 rat   4.4 g a.i./kg/day for 1           88% a.i.            Negative            Sames et al., 1983
                                                  or 5 days; in corn oil

                           Male albino mouse      30-300 mg/kg;                     Not specified       Positive            Gautam & Kapoor,
                           (Lacca strain)         in distilled water?                                                       1991

    Lymphocyte             Female Wistar rat      3-30 mg/kg; in saline             Not specified       Positive            Newton, 1975
    cytogenetics

    Micronucleus assay     Male and female        10 000 mg/kg;                     88.2%               Negative            Allen et al., 1987
                           CD-1 mouse             in aqueous methyl-cellulose

                                                                                                                                              

    Table 2 (contd)
                                                                                                                                              
    Test system            Test object            Concentration1                    Purity              Results             Reference
                                                                                                                                              

    2.C. Plant Tests

    Chromosomal            Allium cepa            500-1000 ppm spray                Not specified       Positive            Mann, 1977
    alterations            peduncles

                           Hordeum vulgare        100-1500 ppm;                     Not specified       Positive            Murty et al., 1983
                           germinating seeds      in phosphate buffer 
                                                  (with trace DMSO?)

                           Allium cepa            4-500 ppm                         Not specified       Positive            Badr, 1988
                           root tips

    3. OTHER GENOTOXIC EFFECTS

    3.A. DNA Damage and/or Repair Assays and Related Tests

    In vitro               Primary rat            0.25-10 µg/ml;                    88% a.i.            Suggestive          Byers, 1985
    unscheduled DNA        hepatocytes from male  in culture medium                                     positive; 
    synthesis (UDS)        Fischer 344 rat                                                              suggests repeat

                           Primary rat            0.1-10 µg/ml;                     82.4%               Negative            O'Neill & Frank,
                           hepatocytes from male  in culture medium                                     (also for S         1988
                           Fischer 344 rat                                                              phase induction)

    3.B. Sister Chromatid Exchange (SCE) Assays

    In vitro               Chinese hamster ovary  5-20 µg/ml;                       Not specified       Positive without    Ivett, 1985
    SCE assays             (CHO) cells            in culture medium                                     activation

                                                                                                                                              

    Table 2 (contd)
                                                                                                                                              
    Test system            Test object            Concentration1                    Purity              Results             Reference
                                                                                                                                              

    3.C. Cell Transformation Assays

    Cell                   C3H/10T 1/2 cells      0.05-0.5 µg/ml; in water          88% a.i.            Negative            McGlynn-Kreft &
    transformation                                                                                                          McCarthy, 1984

                           C3H/10T 1/2 cells      0.1 µg/ml as "promoter";          88% a.i.            Negative            McLeod & Doolittle,
                           with "promotion"       in water                                                                  1985

                                                                                                                                              

    1     In vitro assays performed with and without exogenous activation unless indicated otherwise or the test system  does not normally
         use such supplementation; solvent is provided if specified in the report.
    2    The authors judged this effect to be positive, but significance was restricted to one dose and there was no dose-related response.
    


    twenty animals given mancozeb (1/10 females) showed slight erythema
    at 48 hours.  After rechallenge the original female respondent was
    negative but a second female (1/10 females) showed a slight erythema
    at 24 hours but not at 48 hours (Trutter, 1988a).

    Rabbits

         Nine rabbits of unknown strain and sex were administered 100 mg
    of ground mancozeb technical (> 80% pure) into the conjunctival sac
    of one eye.  The treated eyes of 3 rabbits were washed with water
    approximately 20-30 seconds after dosing. Animals were observed for
    eye irritation at 4, 24, 48, 72 and 96 hours and on days 7, 14 and
    22.  Substantial irritation was evident in unwashed eyes involving
    the cornea, iris and conjunctiva.  Effects were reversible after 14
    days in unwashed eyes and after 72 hours in washed eyes.

         A second study conducted in female New Zeeland white rabbits
    using the same protocol produced responses of lesser consequence and
    little or no involvement of the cornea or iris.  Effects in unwashed
    eyes were reversible after 7 days and after 24 hours in 2 of 3
    rabbits with washed eyes.  However conjunctival irritation persisted
    in one rabbit through 14 days and disappeared at 21 days.  The
    compound was considered a substantial irritant based on the duration
    of irritation (DeCrescente & Chan, 1982).

         Six rabbits of unknown sex and strain were administered 500 mg
    of ground mancozeb technical (> 80% pure), prepared as a paste in
    saline, to intact and abraded skin.  The test material was held
    under an impervious patch in continuous 24-hour contact with closely
    clipped skin.  Erythema and edema were scored at 24 and 72 hours and
    7 days. The only effect observed was erythema on abraded skin. The
    primary irritation score was 0.5. The compound was considered a
    slight irritant (DeCrescente & Parsons, 1980).

    Observations in humans

         A sample population of 121 Korean orange growers was tested for
    hypersensitivity to the fungicide Dithane M-45 (mancozeb). A maximum
    non-irritating concentration of 10% Dithane M-45 mixed with vaseline
    was previously determined on 201 Korean medical students by patch
    test.  Results were read 48 hours post-administration. Application
    of the patch test to orange growers was read 72 hours post-
    administration according to the standards of the North American
    Dermatitis Research group.  Dithane tested positive in 4/121
    subjects (3.3%) (Lee  et al., 1981).

         A 37-year old male working as a florist developed erythematous
    vesicular eruption on the palms of his hands resembling dyshidrotic
    eczema.  Symptoms worsened and spread to other body areas (face,
    neck, legs) during periods of heavy work, and diminished during

    holidays.  Patch tests with the mancozeb products Diagent and Firma
    using Finn Chambers on Scanpor Tape read at 20 minutes, 2, 3, and 4
    days resulted in a strong positive reaction on day two.  A weak
    positive reaction to zineb was also observed.  Total serum IgE was
    approximately five times the normal value.  Other serum
    immunoglobulins, G, A, and M were normal (Crippa  et al., 1990).

         A 61-year old vineyard worker developed a rash on the left
    forearm as well as inflammation of the eyelids after planting vine
    seedlings.  This was the third episode under similar circumstances. 
    Patch tests on two previous occasions were negative.  Patch tested
    with 0.002% solution of both zineb and mancozeb (1% of normal use
    concentration) resulted in positive responses.  Retesting a week
    later with the bark of a vine stick previously treated with mancozeb
    produced a strong positive reaction.  It was also reported that two
    other male farm workers developed papulovesicular sheeted dermatitis
    of the face, hands and chest after planting mancozeb-treated
    potatoes.  Patch tests with 0.1% solution of mancozeb were positive
    in both.  Patch tests conducted on the vineyard worker with
    macerated vine bark were positive with aqueous but negative with
    alcoholic solution (Kleibl & Rakcova, 1980).

         One-hundred-fifty-three men currently or previously exposed to
    dithane for many years at a manufacturing site were compared for
    thyroid function to 153 men not exposed to Dithane, its products or
    ETU who also worked at the same plant.  Workers and controls were
    carefully matched with respect to age, race, length of employment
    and type of employment.  Informed consent was obtained from all
    participants.  It was reported that at least one abnormality was
    found in 25 of the 306 men (8.2%).  The findings included
    abnormalities on thyroid palpitation (4.3%), serologic autoimmune
    thyroiditis (4.3%), subclinical hypothyroidism (1.3%), Graves'
    disease (0.3%) and miscellaneous hormonal abnormalities (1.6%). 
    Urinary excretion of ETU in a subgroup of 42 workers currently
    exposed to Dithane was 0.02 ppm compared to 0.01 ppm in the control
    group (41 men), most of whom had undetectable values.  The authors
    concluded that exposure to Dithane manufacture was not associated
    with an increased prevalence of thyroid abnormalities and that
    thyroid abnormalities were common in iodine-replete adult American
    men affecting 8.2% of the population studied (Charkes  et al.,
    1985).

         A prevalence survey of adverse reproductive outcomes was
    carried out in a population of 8867 persons (2951 men and 5916
    women) who had been working in the floriculture industry in the
    Bogota area of Columbia for at least 6 months.  These workers from
    58 companies were exposed to 127 different types of pesticides.  The
    prevalence rates for abortion, prematurity, still births, and
    malformations were estimated for pregnancies occurring among the
    female workers and the wives of the male workers before and after

    working in floriculture and these rates were related to various
    degrees of exposure.  A moderate increase in the prevalence of
    abortion, prematurity and congenital malformations was detected for
    pregnancies occurring after the start of work in floriculture. 
    However, it could not be determined whether the increase in the
    prevalence of the parameters measured was real.  All rates, except
    those for still births were higher for pregnancies occurring after
    exposure to pesticides among both the female workers and the wives
    of the male workers and thus gave significantly increased odds
    ratios (chi-square) for abortions, premature births and malformed
    babies.  However, the high odds ratio observed for induced abortions
    was considered by the authors surprising and cast doubt on the
    reliability of the association between the observed increased risks
    and the exposure to pesticides. It was also noted that of the 10
    most used pesticides in floriculture, which accounted for 67% of the
    total pesticides used in this industry, mancozeb comprised 7% of the
    total.  However, the article addressed pesticides in general and no
    one chemical was singled out for adverse reactions.  The authors
    recognized that multiple exposure not only posed the problem of
    identifying the toxic chemical responsible in causing any adverse
    effect but also the problem of interaction between chemicals in the
    expression of toxic effects (Restrepo  et al., 1990).

    COMMENTS

         In pharmacokinetic studies conducted in male and female mice,
    orally administered 14C-labelled mancozeb was rapidly absorbed,
    peaking in whole blood between 1 and 2 hours, extensively
    metabolized, and rapidly excreted (90%) within 24 hours.  ETU was
    the major metabolite.

         Rats given single oral doses of 14C-labelled mancozeb absorbed
    about 50% of the dose within 3-6 hours.  Most of the dose was
    excreted in 24 hours with half eliminated in the urine and half in
    the faeces.  Less than 4% was found in the tissues, with the thyroid
    containing the highest residue level.  Most of the 14C dose in
    faeces was unabsorbed, since only 2-8% of the dose was found in
    bile.  ETU was the major metabolite.  The half-life of ETU
    elimination was 4-5 hours.  The estimated bioavailability of ETU in
    rats was about 6.8% on a weight/weight basis and 20% on a mole/mole
    basis.

         The acute oral, dermal and inhalation toxicity of mancozeb
    technical is low.  WHO has classified mancozeb as unlikely to
    present acute hazard in normal use.

         In a 13-week study in rats, mancozeb was administered in
    dietary concentrations of 0, 30, 60, 125, 250 or 1000 ppm.  The
    NOAEL was 125 ppm (equal to 7.4 mg/kg bw/day) based on increased
    serum TSH and decreased T4 values at the next higher dose.

         Dogs administered 0, 10, 100, 1000 or 5000 ppm of mancozeb in
    the diet for three months demonstrated a NOAEL of 100 ppm, equal to
    3.0 mg/kg bw/day.  At the next higher dose, decreased body-weight
    gains and decreased erythrocyte count, haematocrit and haemoglobin
    were observed.

         In a 52-week study in dogs, mancozeb was administered in the
    diet at concentrations of 0, 50, 200, 800 or 1600 ppm.  The NOAEL
    was 200 ppm, equal to 7.0 mg/kg bw/day, based on decreases in body-
    weight gain, increased cholesterol and decreased haemoglobin and
    packed cell volume at 800 ppm.

         The NOAEL for dogs given mancozeb technical for 52 weeks, 7
    days a week, by gelatin capsule was 2.3 mg/kg bw/day based on
    decreased body weight, food consumption and decreased thyroxine
    levels at 23 mg/kg bw/day.  

         In a 78-week carcinogenicity study in mice at dietary
    concentrations of 0, 25, 100 or 1000 ppm, there was no evidence of
    carcinogenicity.  The NOAEL was 100 ppm, equal to 17 mg/kg bw/day,
    based on decreased body-weight gain at 1000 ppm.

         In a second 78-week carcinogenicity study in mice at dietary
    concentrations of 0, 30, 100 or 1000 ppm in the diet, there was no
    evidence of carcinogenicity.  The NOAEL was 100 ppm, equal to 13
    mg/kg bw/day, based on decreased body weight and decreased T3 and
    T4 values at 1000 ppm.

         The overall NOAEL in the two 78-week studies in mice was 17
    mg/kg bw/day.

         In a two-year toxicity/carcinogenicity feeding study in rats at
    dietary concentrations of 0, 20, 60, 125 or 750 ppm, the NOAEL was
    125 ppm (equal to 4.8 mg/kg bw/day) based on decreased body-weight
    gain, decreased T3 and T4 values, increased TSH values, increased
    absolute and relative thyroid weight, thyroid follicular cell
    hypertrophy, hyperplasia, and nodular hyperplasia at 750 ppm. 
    Tumorigenic effects were noted in both sexes in the form of thyroid
    follicular cell adenomas and/or carcinomas at the highest dose
    level.

         Mancozeb technical when administered in the diet to rats for
    two years at dose levels of 0, 28, 113 or 454 ppm was not
    tumorigenic.  The NOAEL was 113 ppm (equal to 4.0 mg/kg bw/day)
    based on decreased body-weight gain, decreased thyroxine levels and
    an increase in the height of the thyroid follicular epithelium and
    an increase in prominent microfollicles at 450 ppm.

         The overall NOAEL in the two 2-year studies in rats was 4.8
    mg/kg bw/day.

         In a two-generation reproduction study in rats at dietary
    concentrations of 0, 25, 150 or 1100 ppm, the NOAEL was 25 ppm
    (equal to 1.7 mg/kg bw/day) based on decreased body weight at 150
    ppm.

         In a second two-generation reproduction study in rats at
    dietary concentrations of 0, 30, 120 or 1200 ppm, the NOAEL was 120
    ppm, equal to 7.0 mg/kg bw/day based on microscopic changes in the
    thyroid, kidney and pituitary, increased relative weights of the
    liver, kidney and thyroid, increased absolute thyroid weight,
    decreased gestation and lactation body weight and feed consumption,
    decreased pre-mating body weight and feed consumption at 1200 ppm.

         The overall NOAEL in both reproduction studies was 7.0 mg/kg
    bw/day.

         In a 90-day (neuropathology) study conducted in rats at dietary
    concentrations of 0, 20, 125, 750 or 5000 ppm, the NOAEL was 125
    ppm, equal to 8.2 mg/kg bw/day, based on decreased food consumption
    and neuro-histopathological changes at 750 ppm.

         An oral teratogenicity study in rats at dose levels of 0, 2, 8,
    32, 128 or 512 mg/kg bw/day produced no maternal effects at 32 mg/kg
    bw/day (NOAEL) and no teratogenic effects at 128 mg/kg bw/day
    (NOAEL). Maternal effects in the form of decreased body-weight gain
    and decreased food consumption were seen at 128 mg/kg bw/day. 
    Teratogenic effects were seen at 512 mg/kg bw/day based, in part, on
    the presence of agnathia, cleft palate, meningoencephalocele and
    dilated brain ventricles.

         A second oral teratogenicity study in rats at dose levels of 0,
    10, 60 or 360 mg/kg bw/day showed no maternal or embryo/fetotoxic
    effects at 60 mg/kg bw/day (NOAEL).  Maternal toxicity at 360 mg/kg
    bw/day was seen as "reeling gait", hind limb paralysis, and
    decreased body-weight gain and food consumption.  Embryofetotoxicity
    at the highest dose was seen as reduction in the degree of
    ossification of the intraparietal bone, a marginal increase in the
    size of the anterior fontanelle and incomplete ossification of the
    thoracic vertebrae centra.

         The NOAEL in an oral teratogenicity study in rabbits given 0,
    5, 30, 55, or 100 mg/kg bw/day was 55 mg/kg bw/day for maternal
    effects and greater than 100 mg/kg bw/day for embryo/fetotoxic
    effects.  An increase in abortions, body-weight loss, and decreased
    food consumption were observed at 100 mg/kg bw/day.

         The NOAEL in an oral teratogenicity study in rabbits given 0,
    10, 30 or 80 mg/kg bw/day was 30 mg/kg bw/day for maternal toxicity. 
    The NOAEL for embryo/fetotoxic effects was greater than 80 mg/kg
    bw/day.  Maternal toxicity at 80 mg/kg bw/day was based on an
    increase in aborted fetuses, decreased number of litters produced,
    decreased body-weight gain and food consumption, an increase in
    clinical signs and death.

         Mancozeb has been tested in a series of  in vitro and  in vivo
    genotoxicity assays.  Chromosomal aberrations were induced  in
     vitro, whereas conflicting data were obtained with  in vivo
    assays.  There was no evidence for the induction of gene mutations
    or cell transformations.  The Meeting concluded that the data base
    for mancozeb is equivocal for genotoxicity.  A number of available
    studies were not considered either because DMSO was used as a
    solvent in which mancozeb is very unstable or because of important
    omissions from the reports.

         The data on mancozeb would support an ADI of 0-0.05 mg/kg bw,
    based on the NOAEL of 4.8 mg/kg bw/day for thyroid effects in rats
    using a 100-fold safety factor.  However, the Meeting established a
    group ADI of 0-0.03 mg/kg bw for mancozeb, alone or in combination
    with maneb, metiram, and/or zineb, because of the similarity of the
    chemical structure of the EBDCs, the comparable toxicological

    profiles of the EBDCs based on the toxic effects of ETU, and the
    fact that parent EBDC residues cannot be differentiated using
    presently-available analytical procedures.

    TOXICOLOGICAL EVALUATION

    Level causing no toxicological effects

         Mouse:    100 ppm in the diet, equal to 17 mg/kg bw/day 
                   (78-week studies)

         Rat:      125 ppm in the diet, equal to 4.8 mg/kg bw/day 
                   (two-year studies)
                   120 ppm in the diet, equal to 7.0 mg/kg bw/day
                   (reproduction studies)
                   125 ppm in the diet, equal to 8.2 mg/kg bw/day 
                   (90-day neuropathology study)

         Dog:      200 ppm in the diet, equal to 7.0 mg/kg bw/day 
                   (52-week study)

    Estimate of acceptable daily intake for humans

              0-0.03 mg/kg bw (group ADI with maneb, metiram, and zineb)

    Studies which will provide valuable information in the continued
    evaluation of the compound

         Clarification of the genotoxic potential of mancozeb.

         Observations in humans.

    REFERENCES

    Allen, J.A., Proudlock, R.J. & Pugh, L.C. (1987). Micronucleus test
    on mancozeb technical.  Unpublished report No. PWT 39/86637 from
    Huntingdon Research Centre Ltd., Huntingdon, Cambridgeshire,
    England. Submitted to WHO by Elf Atochem, Philadelphia,
    Pennsylvania, USA (Confidential data of Elf Atochem).

    Badr, A. (1988). Cytogenetic activities of some fungicides.
     Cytologia, 53: 635-640.

    Braverman, L.E., Lipworth, L. & Charles, D. (1978). A health survey
    of workers involved in the manufacture and packaging of dithane
    fungicide with special reference to thyroid function. Unpublished
    report dated August 2, 1978 from the University of Massachusetts
    Medical School, Worcester, Massachusetts, USA. Submitted to WHO by
    Rohm and Haas Company, Spring House, Pennsylvania, USA.

    Broadmeadow, A. (1991a). Mancozeb technical: toxicity study by oral
    administration to beagle dogs for 52 weeks. Unpublished report No.
    89/PTC004/0015 from Life Science Research Ltd., Suffolk, England.
    Submitted to WHO by Elf Atochem, Philadelphia, Pennsylvania, USA
    (Confidential data of Elf Atochem).

    Broadmeadow, A. (1991b). Mancozeb technical: toxicity study by oral
    administration to beagle dogs for 52 weeks. Unpublished report No.
    90/PTC029/0197 from Life Science Research Ltd., Suffolk, England.
    Submitted to WHO by Elf Atochem, Philadelphia, Pennsylvania, USA
    (Confidential data of Elf Atochem).

    Byers, M.J. (1985). Dithane M-45  in vitro unscheduled DNA
    synthesis assay. Unpublished report No. 84R-280 from Rohm and Haas
    Company, Spring House, Pennsylvania, USA. Submitted to WHO by Rohm
    and Haas Company, Spring House, Pennsylvania, USA.

    Cameron, B.D., Clydesdale, K. & Speirs, G.C. (1990). The disposition
    of 14C mancozeb in the mouse. Unpublished report No. 4909 from
    Inveresk Research International, Musselburgh, Scotland.  Submitted
    to WHO by Elf Atochem, Philadelphia, Pennsylvania, USA (Confidential
    data of Elf Atochem).

    Charkes, N.D., Braverman, L.E., Penko, K.F., Gowers, D.S., Gordon,
    C.F., Lipworth, L, Malmud, L.S. (1985). Thyroid function in male
    workers manufacturing dithane, an agricultural fungicide, and in men
    not exposed to dithane.  Frontiers in Thyroidology, 2: 933-936.

    Chism, E. (1984a). Dithane M-45 microbial mutagen assay: S-9
    prepared from aroclor 1254 induced Fischer 344 rats. Unpublished
    report No. 84R-059 from Rohm and Haas Company, Spring House,
    Pennsylvania, USA. Submitted to WHO by Rohm and Haas Company, Spring
    House, Pennsylvania, USA.

    Chism, E. (1984b). Dithane M-45 microbial mutagen assay: S-9
    prepared from aroclor 1254 induced B6C3F1 mice. Unpublished
    report No. 84R-0060 from Rohm and Haas Company, Spring House,
    Pennsylvania, USA. Submitted to WHO by Rohm and Haas Company, Spring
    House, Pennsylvania, USA.

    Cox, R.H. (1986). Three month dietary toxicity study in dogs with
    mancozeb. Unpublished report No. HLA 417-416 from Hazleton Labs.,
    Vienna, Virginia. USA. Submitted to WHO by Rohm and Haas Company,
    Spring House, Pennsylvania, USA as Rohm and Haas Report No. 86RC-7.

    Crippa, M., Misquiih, L., Lunati, A. & Pasollini, G. (1990).
    Dyshidrotic eczema and sensitization to dithiocarbamates in a
    florist.  Contact Dermatitis, 23: 203.

    DeCrescente, M.E. & Chan, P.K. (1982). Dithane M-45: rabbit eye
    irritation report. Unpublished report Nos. 81R-197, 81R-176 and 82R-
    10 from Rohm and Haas Company, Spring House, Pennsylvania, USA.
    Submitted to WHO by Rohm and Haas Company, Spring House,
    Pennsylvania, USA.

    DeCrescente, M.E. & Parsons, R.D. (1980). Dithane M-45: Acute oral
    and dermal LD50 and skin and eye irritation. Unpublished report No.
    79R-180, from Rohm and Haas Company, Spring House, Pennsylvania,
    USA. Submitted to WHO by Rohm and Haas Company, Spring House,
    Pennsylvania, USA.

    DeGroot, A.P. (1974). Determination of acute ip toxicity of Dithane
    M-45 in rats. Unpublished report from Central Institute for
    Nutrition and Food Research TNO the Netherlands (Rohm and Haas
    report No. 74RC-1011). Submitted to WHO by Rohm and Haas Company,
    Spring House, Pennsylvania, USA.

    DiDonato, L.J., Cruzan, G. & O'Hara, G.P. (1985). Dithane M-45/ETU
    four week range finding mouse study. Unpublished report No. 80R-123
    from Rohm and Haas Company, Spring House, Pennsylvania, USA.
    Submitted to WHO by Rohm and Haas Company, Spring House,
    Pennsylvania, USA.

    DiDonato, L.J. & Longacre, S.L. (1986). Mancozeb pharmacokinetic
    study in rats. Unpublished report No. 85R-123 (Supplement/Appendix
    to Nelson, S.S. [1986] report No. 31H-86-02) from Rohm and Haas
    Company, Spring House, Pennsylvania, USA. Submitted to WHO by Rohm
    and Haas Company, Spring House, Pennsylvania, USA.

    Emmerling, D.C. (1978). A study of the uptake and elimination of
    14C activity after the oral ingestion of 14C-labelled
    ethylenethiourea (ETU) and mancozeb in the rhesus monkey.
    Unpublished final (revised) report from Battelle Labs, Columbus,
    Ohio, USA. dated July 31, 1978. Submitted to WHO by Rohm and Haas
    Company, Spring House, Pennsylvania, USA. as Rohm and Haas report
    No. 78RC-1028.

    Everett, D.J., Atkinson, C., Perry, C.J., Strutt, A., Millar, P.,
    Hudson, P. (1992). Mancozeb 78-week dietary carcinogenicity study in
    mice with 52 week interim kill. Unpublished report No. 7561 from
    Inveresk Research International, Tranent, Scotland. Submitted to WHO
    by Elf Atochem, Philadelphia, Pennsylvania, USA. (Confidential data
    of Elf Atochem).

    Foxall, S. & Byers, M.J. (1984). Dithane M-45 CHO/HGPRT gene
    mutation assay. Unpublished report No. 84R-207 from Rohm and Haas
    Company, Spring House, Pennsylvania, USA. Submitted to WHO by Rohm
    and Haas Company, Spring House, Pennsylvania, USA.

    Gallo, M.A., Kam, C. & Stevens, D.R. (1980). Teratologic evaluation
    of dithane M-45 in the albino rat. Unpublished report No. 10065-009
    from Booz, Allen, and Hamilton, Inc., Florham Park, New Jersey, USA.
    Submitted to WHO by Rohm and Haas Company, Spring House,
    Pennsylvania, USA as Rohm and Haas report No. 81RC-75.

    Gautam, D.C. & Kapoor, L. (1991). Genotoxic effects of Dithane M-45
    on the bone marrow cells of mice  in vivo. Experimentia, 47(3):
    280-2.

    Georgian, L., Moraru, J., Draghicescu, T., Dinu, I. & Ghizela, G.
    (1983). Cytogenetic effects of alachlor and mancozeb.  Mutation Res.
    116: 341-348.

    Goldman, P., Bernacki, H.J. & Quinn, D.L. (1986). Mancozeb: three
    month dietary toxicity study in rats. Unpublished report No. 85R-167
    from Rohm and Haas Company, Spring House, Pennsylvania, USA
    Submitted to WHO by Rohm and Haas Company, Spring House,
    Pennsylvania, USA.

    Hagan, J.V. & Baldwin, R.C. (1980). Acute inhalation toxicity of
    dithane M-45 (TD-79-224) in rats. Unpublished report No. 79R-210
    from Rohm and Haas Company, Spring House, Pennsylvania, USA
    Submitted to WHO by Rohm and Haas Company, Spring House,
    Pennsylvania, USA.

    Hagan, J.V. & Baldwin, R.C. (1982). Dithane M-45: Acute inhalation
    toxicology study in rats. Unpublished report No. 81R-171 from Rohm
    and Haas Company, Spring House, Pennsylvania, USA. Submitted to WHO
    by Rohm and Haas Company, Spring House, Pennsylvania, USA.

    Hagan, J.V., Fisher, J.R. & Baldwin, R.C. (1986). Mancozeb:
    subchronic inhalation toxicity study in rats. Unpublished report No.
    86R-3 from Rohm and Haas Company, Spring House, Pennsylvania, USA.
    Submitted to WHO by Rohm and Haas Company, Spring House,
    Pennsylvania, USA.

    Hagan, J.V. & Baldwin, R.C. (1986). Mancozeb: two week range finding
    inhalation toxicity study in rats. Unpublished report No. 85R-190
    from Rohm and Haas Company, Spring House, Pennsylvania, USA.
    Submitted to WHO by Rohm and Haas Company, Spring House,
    Pennsylvania, USA.

    Haines, L.D. (1980). Dithane M-45 percutaneous absorbtion in rats.
    Unpublished technical report No. 34F-80-9 from Rohm and Haas
    Company, Spring House, Pennsylvania, USA. Submitted to WHO by Rohm
    and Haas Company, Spring House, Pennsylvania, USA as Rohm and Haas
    report No. 80R-1006.

    Hooks, W.N., Offer, J.M., Hadley, J.C., Gibson, W.A., Gopinath, C. &
    Dawe, I.S. (1992). Mancozeb technical: potential tumorigenic and
    toxic effects in prolonged dietary administration to rats.
    Unpublished report No. PWT 29/89669 from Huntingdon Research Centre
    Ltd., Huntingdon, Cambridgeshire, England. Submitted to WHO by Elf
    Atochem, Philadelphia, Pennsylvania, USA.

    Ivett, J.L. (1985). Mutagenicity evaluation of Dithane M-45 in an
     in vitro sister chromatid exchange assay in the Chinese hamster
    ovary (CHO) cells. Unpublished reported dated March 1985 from Litton
    Bionetics, Inc., Kensington, Maryland, USA. Submitted to WHO by Rohm
    and Haas Company, Spring House, Pennsylvania, USA as Rohm and Haas
    report No. 84RC-60. 

    Kleibl, K. & Rakcova, M. (1980). Cutaneous allergic reactions to
    dithiocarbamates.  Contact Dermatitis, 6(5): 348-349.

    Kocialski, A. (1989). Establishment of an  in vitro metabolic
    conversion factor of 7.5% of all EBDCs when converting EBDCs to
    ethylenethiourea  in vivo and recalculations of the previously
    considered 20%  in vivo conversion exposure factor for EBDCs to
    ETU. Memorandum to the Caswell file, Health Effects Division, Office
    of Pesticide Programs, United States Environmental Protection
    Agency. 

    Kurinnyi, A., Pilinskaya, M., German, J. & L'vova, T. (1982).
    Implementation of a program of cytogenetic study of pesticides:
    preliminary evaluation of cytogenetic activity and potential
    mutagenic hazard of 24 pesticides.  Cytol. Genet. 16: 50-53. 

    Lee, Y.S., Cinn, Y.W., Chang, W.H. & Kim, J.S. (1981). A study on
    hypersensitivity of Korean farmers to various agrochemicals. 
    Determination of concentration for patch tests of fruit-tree
    agrochemicals and hypersensitivity of orange orchard farmers in Che-
    Ju Do, Korea.  The Seoul Journal of Medicine, 22: 137-142.

    Longacre, S. (1986). Summary of ETU and EBDC analysis in plasma,
    liver, and thyroid after mancozeb administration. Unpublished report
    No. 86R-1009 from Rohm and Haas Company, (appendix/supplement to
    Nelson 1986 31H-86-02) Spring House, Pennsylvania, USA. Submitted to
    WHO by Rohm and Haas Company, Spring House, Pennsylvania, USA.

    Lu, M. & Kennedy, G. (1986). Teratogenic evaluation of mancozeb in
    the rat following inhalation exposure.  Toxicol. and Appl. Pharma.
    84: 355-368.

    Mann, S.K. (1977). Cytological and genetical effects of dithane
    fungicides on  Allium cepa. Environmental and Experimental Botany,
    17: 7-12.

    Martinez-Rossi & Azevedo, J. (1987). Detection of point mutation
    mutagens in  Aspergillus nidulans: comparison of methionine
    suppressors and arginine resistance induction of fungicides.
     Mutation Research, 176: 29-35.

    Matsushita, T., Arimatsu, Y. & Nomura, S. (1976). Experimental study
    on contact dermatitis caused by dithiocarbamates maneb, mancozeb,
    zineb and their related compounds.  Int. Arch. Occup. Environ.
     Health, 37: 169-178

    Matsushita, T. Yoshioka, M., Arimatsu, Y. & Nomura, S. (1977).
    Experimental study on cross-contact allergy due to dithiocarbamate
    fungicides.  Indust. Health, 15: 87-94.

    McGlynn-Kreft, A.M. & McCarthy, K.L., (1984). Dithane M-45 mammalian
    cell transformation test. Unpublished report No. 84R-55 from Rohm
    and Haas Company, Spring House, Pennsylvania, USA. Submitted to WHO
    by Rohm and Haas Company, Spring House, Pennsylvania, USA.

    McLeod, P.L. & Doolittle, D.J. (1985). Dithane M-45 mammalian cell
    transformation test for promotion. Unpublished report No. 84R-0297
    from Rohm and Haas Company, Spring House, Pennsylvania, USA.
    Submitted to WHO by Rohm and Haas Company, Spring House,
    Pennsylvania, USA.

    Muller, W. (1991). Oral (gavage) teratogenicity study in the rabbit.
    Unpublished report No. HLD-853-683-002 from Hazleton Labs.,
    Deutschland GmbH, Munster, Germany. Submitted to WHO by Elf Atochem.
    (Confidential data).

    Muller, W. (1992). 2-Generation oral reproduction toxicity study in
    the rat. Unpublished report No. HD-852-683-001 from Hazleton Labs.,
    Deutschland GmbH, Münster, Germany. Submitted to WHO by Elf Atochem.
    (Confidential data).

    Murty, K., Raju, D. & Sharma, C. (1983). Cytogenetic hazards from
    agricultural chemicals. 7. Herbicides, fungicides and insecticides
    screened for effects on chiasmata in  Hordeum vulgare. Biol. Zb1.
    102: 571-576.

    Nelson, S.S. (1986). Metabolism of 14C mancozeb in rats.
    Unpublished report No. 31H-86-02 from Rohm and Haas Company, Spring
    House, Pennsylvania, USA. Submitted to WHO by Rohm and Haas Company,
    Spring House, Pennsylvania, USA.

    Nelson, S.S. (1987). Bioconversion of mancozeb to ETU in the rat.
    Unpublished report No. 31C-87-24 from Rohm and Haas Company, Spring
    House, Pennsylvania, USA. Submitted to WHO by Rohm and Haas Company,
    Spring House, Pennsylvania, USA.

    O'Hara, G.P. & DiDonato, L.J. (1985). Dithane M-45 and
    ethylenethiourea: 3-month dietary toxicity study in mice.
    Unpublished report No. 80R-124 from Rohm and Haas Company, Spring
    House, Pennsylvania, USA. Submitted to WHO by Rohm and Haas Company,
    Spring House, Pennsylvania, USA.

    O'Neill, P. & Frank, J.P. (1988). Mancozeb:  in vitro unscheduled
    DNA synthesis assay in F/344 rat hepatocytes. Unpublished report No.
    88R-079 from Rohm and Haas Company, Spring House, Pennsylvania, USA.
    Submitted to WHO by Rohm and Haas Company, Spring House,
    Pennsylvania, USA.

    Piccirillo, V.J., Wu, D. & Speirs, G. (1992). Metabolism of mancozeb
    in the mouse. Unpublished report No. T91-3413 from Inveresk Research
    International, Ltd., Tranent, Scotland. Submitted to WHO by Elf
    Atochem (Confidential data).

    Restrepo, M., Munoz, N., Day, N.E., Parra, J.E., deRomero, L. &
    Nguyen-Dinh, X. (1990). Prevalence of adverse reproductive outcomes
    in a population occupationally exposed to pesticides in Columbia.
     Scand. J. Work. Environ. Health, 16(4): 232-238.

    Sames, J.L., McLeod, P.L. & Doolittle, D.J. (1984). Dithane M-45  in
     vivo cytogenetic study in Fischer 344 rats. Unpublished report No.
    84R-0246 Rohm and Haas Company, Spring House, Pennsylvania, USA.
    Submitted to WHO by Rohm and Haas Company, Spring House,
    Pennsylvania, USA.

    Schweitzer, M. (1990). A study of the decomposition of mancozeb in
    dimethyl sulfoxide solution. Unpublished report No. SC890012 from
    Battelle Labs., Columbus, Ohio, USA.  Submitted to WHO by Rohm and
    Haas Company, Spring House, Pennsylvania, USA, as Rohm and Haas
    report No. TR 34-90-01.

    Shaw, D. (1990). Mancozeb: 52 week oral (dietary) toxicity study in
    the beagle. Unpublished report No. HUK 5913-616/3 from Hazleton, UK,
    Harrogate, North Yorkshire, England. Submitted to WHO by Rohm and
    Haas Company, Spring House, Pennsylvania, USA, as Rohm and Haas
    report No. 88RC-027.

    Shellenberger, T. (1991) Mancozeb: 18-month dietary oncogenicity
    study in mice. Unpublished report No. 85051 from Tegeris Labs.,
    Inc., Temple Hills, Maryland, USA. Submitted to WHO by Rohm and Haas
    Company, Spring House, Pennsylvania, USA, as Rohm and Haas report
    No. 86RC-029.

    Solomon, H.M. & Lutz, M.F. (1987). Mancozeb: oral (gavage)
    developmental toxicity study in rabbits. Unpublished report No. 86R-
    021 from Rohm and Haas Company, Spring House, Pennsylvania, USA.
    Submitted to WHO by Rohm and Haas Company, Spring House,
    Pennsylvania, USA.

    Solomon, H.M., Lutz, M.F. & Kulwich, B.A. (1988). Mancozeb: 2-
    generation reproduction study in rats. Unpublished report No. 87R-
    020 from Rohm and Haas Company, Spring House, Pennsylvania, USA.
    Submitted to WHO by Rohm and Haas Company, Spring House,
    Pennsylvania, USA.

    Stadler, J. (1990). Combined chronic toxicity/oncogenicity 2-year
    feeding study with mancozeb in rats. Unpublished report No. 259-89
    from E.I. duPont de Nemours and Company, Haskell Laboratory for
    Toxicology and Industrial Medicine, Newark, Delaware. Submitted to
    WHO by Rohm and Haas Company, Spring House, Pennsylvania, USA.

    Stadler, J. (1991) Neuropathology study in rats with mancozeb.
    Unpublished report No. 217-89 from E.I. duPont de Nemours and
    Company, Haskell Laboratory for Toxicology and Industrial Medicine,
    Newark, Delaware. Submitted to WHO by Rohm and Haas Company, Spring
    House, Pennsylvania, USA.

    Szepvolgyi, J., Nagy, K., Sajgone-Vukan, K., Regoly-Merci, A., Soos,
    K., Toth, K., Pinter, A. & Antal, M. (1989). Subacute toxicological
    examination of Dithane M-45.  Fd. Chem. Toxic, 27(8): 531-538.

    Tesh, J.M., McAnulty, P.A., Willoughby, C.R., Enticott, J., Wilby,
    O.K., Tesh, S.A. (1988). Mancozeb: teratology study in the rat.
    Unpublished report No. 87/PTC 007/365 from Life Science Research,
    Suffolk, England. Submitted to WHO by Elf Atochem (Confidential data
    of Elf Atochem).

    Tomlinson, H.L. & Longacre, S.L. (1988). Mancozeb dermal absorbtion
    study in male rats. Unpublished report No. 88R-218 from Rohm and
    Haas, Spring House, Pennsylvania, USA. Submitted to WHO by Rohm and
    Haas, Spring House, Pennsylvania, USA.

    Trutter, J.A. (1988a). Mancozeb: delayed contact hypersensitivity
    study in guinea-pigs. Unpublished report No. HLA 417-431 from
    Hazleton Labs., Vienna, Virginia, USA. Submitted to WHO by Rohm and
    Haas Company, Spring House, Pennsylvania, USA.

    Trutter, J.A. (1988b). Mancozeb: 4 week repeat dermal toxicity study
    in rats. Unpublished report No. HLA 417-432 from Hazleton Labs.,
    Vienna, Virginia, USA. Submitted to WHO by Rohm and Haas Company,
    Spring House, Pennsylvania, USA.

    Vasudev, V., Krishnamurthy, N.B., (1980). Non-mutagenicity of the
    fungicide Dithane M-45 as inducer of recessive lethals after larval
    feeding in  Drosophila melanogaster. Mutation Res. 77: 189-191.

    Watts, M.H. & Chan, P.K. (1984a). Dithane M-45: acute oral toxicity
    study in rats and mice. Unpublished report No. 83R-213a + b from
    Rohm and Haas Company, Spring House, Pennsylvania, USA. Submitted to
    WHO by Rohm and Haas Company, Spring House, Pennsylvania, USA.

    Watts, M.H. & Chan, P.K. (1984b). Dithane M-45: acute oral toxicity
    study in rats. Unpublished report No. 83R-218 from Rohm and Haas
    Company, Spring House, Pennsylvania, USA. Submitted to WHO by Rohm
    and Haas Company, Spring House, Pennsylvania, USA.

    WHO (1992). The WHO recommended classification of pesticides by
    hazard and guidelines to classification 1992-1993 (WHO/PCS/92.14).
    Available from the International Programme on Chemical Safety, World
    Health Organization, Geneva, Switzerland.



    See Also:
       Toxicological Abbreviations
       Mancozeb (ICSC)
       Mancozeb (FAO/PL:1967/M/11/1)
       Mancozeb (AGP:1970/M/12/1)
       Mancozeb (WHO Pesticide Residues Series 4)