IPCS INCHEM Home

    ETOFENPROX

    First draft prepared by
    P.J.C.M. Janssen, P.H. Arentzen, E.M. den Tonkelaar
    National Institute of Public Health and Environmental Protection,
    Bilthoven, Netherlands

    EXPLANATION

         Etofenprox is an insecticide with an action similar to the
    pyrethroids.  It is active against a wide range of insect pests and
    is effective against strains of rice green leafhopper and
    planthoppers resistant to organophosphorus and carbamate
    insecticides.  It is also used to control public health pests, and
    on livestock (Agrochemicals Handbook, 1991).  Etofenprox was
    considered for the first time by the present Meeting.

    EVALUATION FOR ACCEPTABLE DAILY INTAKE

    BIOLOGICAL DATA

    Biochemical aspects

    Absorption, distribution and excretion

    Rats

         Groups of 5 Charles River CD rats/sex received a single oral
    dose by intubation of 30 or 180 mg/kg bw of 14C-etofenprox (a 1:1
    mixture of [1-14C-propyl] etofenprox and [alpha-14C-
    benzyl]etofenprox dissolved in PEG 400).  Separate groups were used
    to determine excretion of radioactivity in urine and faeces,
    excretion in bile (bile-cannulated rats) and concentrations in
    blood.  Tissue radioactivity concentrations were measured in all
    groups. Excretion in faeces over the 5 days post-dosing period were
    about 87% and 90%, and in urine 9% and 7% at the low and high dose,
    respectively.  No radioactivity was found in expired air.  Mean
    plasma radioactivity concentrations reached peak levels (5.1
    mg/litre at the low dose and 16.9 mg/litre at the high dose) after 3
    to 5 hours.  Elimination from plasma was biphasic with half-lives of
    7-8 hours for the rapid phase (for both dose levels) and 18 hours
    and 35 hours for the slow phase, for the low and high dose,
    respectively.  Total retention in the tissues at 5 days from
    treatment was 3-4% for both doses with highest concentrations being
    present in fat (mean of 14 mg/kg at the low dose and 92 mg/kg at the
    high dose).  Concentrations in other tissues were markedly lower
    (0.04-1.7 mg/kg).  In rats with cannulated bile ducts, mean
    excretion in bile amounted to 15-30% (low dose) and 10% (high dose). 
    Based on the study results and the biotransformation pattern
    identified in excreta, total estimated gastrointestinal absorption
    was between 65-93% (low dose) and 48-77% (high dose) (Hawkins  et
     al., 1985a).

         A group of 25 Charles River CD rats/sex was dosed orally with
    14C-etofenprox (the same mixture as above) at a dose level of 30
    mg/kg bw/day for 7 days.  At 4 hours, 1, 2, 5 and 10 days after the
    last dose, 5 rats/sex were killed and tissue concentrations were
    determined.  At 4 hours from the last dose, highest mean tissue
    concentrations were present in fat (98 mg/kg), adrenals (42 mg/kg),
    ovaries (24 mg/kg), liver (26 mg/kg), thyroid (16 mg/kg) and kidneys
    (8.8 mg/kg).  Tissue concentrations declined progressively with
    time, but fat concentrations declined relatively slowly in a linear
    fashion with approximate half-lives of 5 days for males and 8.5 days
    for females (Hawkins  et al., 1985a).

         A further part of the study of Hawkins  et al. (1985a) was
    focused on transplacental transfer and transfer into milk.  This
    involved oral dosing with 14C-etofenprox (mixture as above) at 30
    mg/kg bw/day to pregnant Charles River CD rats from day 10 through
    day 16 of gestation and to pregnant/nursing rats (same strain) from
    day 18 of pregnancy until about day 9 after parturition.  Groups of
    2 pregnant rats were killed before parturition at 4 hours, 1, 2, 3
    or 5 days after the final dose.  Pups were allowed to suckle the
    nursing rats for 1 hour, at which time the pups were killed and
    their stomach content was analyzed for radioactivity.  Total
    radioactivity and elimination patterns in tissues of pregnant rats
    were similar to those seen in non-pregnant rats.  At 4 hours after
    the final dose, radioactivity concentrations were low in placentae
    (4.7 mg/kg) and fetuses (1.6 mg/kg) compared to other tissues such
    as adrenals (62 mg/kg) and liver (27 mg/kg). Highest maternal tissue
    concentrations were present in mammary glands (87 mg/kg); this level
    declined with a half-life of about 3.5 days.  Secretion of the test
    compound into milk was observed.  Pup stomach contents contained
    radioactivity concentrations of 41-88 mg/kg (compared to maternal
    plasma concentrations of 1.9-3.6 mg/litre).  After cessation of
    exposure this secretion dropped markedly (Hawkins  et al., 1985a).

    Dogs

         Groups of 2 beagle dogs/sex received a single oral dose by
    intubation of 30 mg/kg bw of 14C-etofenprox (a 1:1 mixture of [1-
    14C-propyl]etofenprox and [alpha-14C-benzyl]etofenprox dissolved in
    PEG 400).  Radioactivity in blood, urine and faeces was monitored up
    to day 5 after treatment.  Concentrations in tissues and bile were
    determined in two additional groups (2 dogs/sex) given the same dose
    and sacrificed after 2 or 4 hours.  Total excretion in faeces and
    urine was about 90% and 6% of the dose, respectively.  In blood
    plasma, peak concentrations of 4.4-7.2 mg/litre were reached at
    0.25-3 hours after dosing.  Blood levels showed absorption to be
    more rapid in females.  After reaching the peak, radioactivity
    concentrations declined with half-lives in the range of
    8.6-17 hours.  In tissues, highest concentrations were found in
    liver (3.1-9.6 mg/kg), followed by kidneys (1.0-3.3 mg/kg) and fat
    (0.4-4.1 mg/kg); lowest levels were found in muscle (0.3-0.6 mg/kg). 
    Concentrations in bile were very high (815-1036 mg/kg), indicating
    that this is an important excretion route of absorbed radioactivity. 
    Based on the study results the pattern of metabolites identified in
    excreta, the total estimated gastrointestinal absorption was 14-51%
    (Hawkins  et al., 1985b).

    Biotransformation

    Rats

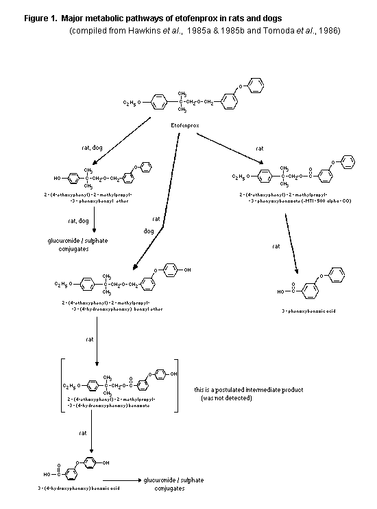
         Hawkins  et al. (1985a) identified metabolites in their oral
    study in Charles River CD rats.  Metabolite identification was
    carried out in faeces and urine in the single dose groups, in bile
    in the bile-cannulated rats (given a single dose of 30 mg/kg bw), in
    liver and fat in the repeated-dose group (at 4 hours after the last
    dose) and in pup stomach contents in the group dosed during
    lactation.  Faecal radioactivity was present as unchanged etofenprox
    (7-30% of the dose), 2-(4-hydroxyphenyl)-2-methylpropyl-3-
    phenoxybenzyl ether (19-25%) and 2-(4-ethoxyphenyl)-2-methylpropyl-
    3-(4-hydroxyphenoxy)benzyl ether (7.7-13%).  The percentage that was
    present as unchanged compound was slightly higher in the high-dose
    group compared to the low-dose group and in females compared to
    males.  The same metabolites were present (as glucuronide or sulfate
    conjugates) in liver, bile and, in small amounts (< 2% of the
    dose), in urine.  No unchanged compound was present in bile.  In fat
    and milk, radioactivity was almost entirely present as unchanged
    etofenprox.

         In an additional study, the presence or absence in rats (SD
    strain) of 2-(4-ethoxyphenyl)-2-methylpropyl-3-phenoxybenzoate (MTI-
    500 alpha-CO, a major metabolite in plants and soil and a
    photodegradation product) was determined after administration of a
    single dose of 30 mg/kg bw [alpha-14C-benzyl]etofenprox.  The
    metabolite MTI-500 alpha-CO could be detected in faeces and urine in
    trace amounts only (< 0.002% of the dose).  The metabolite 3-
    phenoxybenzoic acid, the hydrolysis product of MTI-500 alpha-CO, was
    found in faeces in larger amounts (4% of the dose).  In addition 3-
    (4-hydroxyphenoxy)benzoic acid was present (as conjugate) in faeces
    (0.47%) and urine (0.006%) (Tomoda  et al., 1986).

         From these studies in rats the proposed metabolism scheme may
    be derived by combining the results of Hawkins  et al. (1985a) with
    the scheme as proposed by Tomoda  et al. (1986).  The resulting
    metabolism scheme is presented in Figure 1.  The metabolite MTI-500
    alpha-CO is probably only formed in rats as an intermediate which is
    rapidly metabolized further into 3-phenoxybenzoic acid.

    Dogs

         Hawkins  et al. (1985b) identified metabolites in their oral
    study in beagle dogs.  In blood plasma radioactivity was present as
    unchanged etofenprox, 2-(4-hydroxyphenyl)-2-methylpropyl-3-
    phenoxybenzyl ether and as 2-(4-ethoxyphenyl)-2-methylpropyl-3-(4-
    hydroxyphenoxy)benzyl ether.  Faecal radioactivity was present as
    unchanged etofenprox (48 or 59% of the dose) and as the two above

    metabolites (together 2.9 or 3.5% of the dose).  These metabolites
    were also present (as glucuronide or sulphate conjugates) in liver,
    bile and, in small amounts (together 1.6% of the dose), in urine. 
    Unchanged compound was also found in the liver.  No unchanged
    compound was present in bile.  Radioactivity in fat was almost
    entirely in the form of unchanged etofenprox.  The major pathways of
    etofenprox biotransformation in dogs derived from these studies is
    given in Figure 1.

    Toxicological studies

    Acute toxicity studies

         Results of acute toxicity studies for etofenprox are given in
    Table 1.  WHO has classified etofenprox as unlikely to present acute
    hazard in normal use (WHO, 1992).

         Additional acute studies were carried out with Trebon 20 EC, an
    emulsifiable concentrate containing 20% etofenprox (+ 6.5%
    emulsifier + 73.5% organic solvent).  In both mice and rats the oral
    LD50 value was > 5 g/kg bw (Kashima, 1985a,b).  The dermal LD50 in
    rats was > 2 g/kg bw (Kashima, 1985c).

         The results of a series of acute studies to determine the
    general pharmacological/toxicological action of etofenprox at high
    dose levels are given in Table 2 (Kamiya  et al. (1985).

    Short-term toxicity studies

    Mice

         Groups of 20 CD-1 mice/sex were fed diets containing 0, 50,
    500, 3000 or 15 000 ppm etofenprox (purity 96%) for 13 weeks.  These
    dose levels were equal to 6.1, 60, 375 or 1975 mg/kg bw/day in males
    and 6.9, 71, 390 or 2192 mg/kg bw/day in females.  Observations
    included clinical signs, mortality, food consumption, body weight,
    haematology, clinical chemistry and urinalysis.  The weights of 10
    organs/animal were recorded.  Gross pathology and histopathology
    (about 27 tissues/animal) were carried out.  At 15 000 ppm the main
    effects were: clinical signs (including hunched posture, lethargy,
    body tremors, emaciated appearance, respiratory distress), increased
    mortality, growth retardation, decreased RBC, Hb, PCV and MCHC,
    increased liver weight with hepatocyte enlargement, increased kidney
    weight with tubular basophilia and dilatation and microscopic
    changes in the lymphoreticular system (increased cellularity of
    splenic white pulp, reactive changes in lymph nodes, reduced thymic
    cellularity).  At 3000 ppm a slight decrease in PCV, Hb and RBC
    occurred in males.  The effects at 3000 ppm were considered 

    FIGURE 1


        Table 1.  Acute toxicity of etofenprox
                                                                                                
    Species   Sex       Route          LD50         LC50        Purity    Reference
                                     (g/kg bw)     (g/m3)
                                                                                                

    Mouse     M&F       oral          > 107.2                   96%a      Hashimoto et al., 1982a
              M&F       dermalb       > 2.14                    96%a      Hashimoto et al., 1982a
              M         i.p.          > 53.6                    96%a      Hashimoto et al., 1982a
              F         i.p.          13.4                      96%a      Hashimoto et al., 1982a
              M&F       s.c.          > 53.6                    96%a      Hashimoto et al., 1982a

    Rat       M&F       oral          > 42.88                   96%a      Hashimoto et al., 1982b
              M&F       dermalb       > 2.14                    96%a      Hashimoto et al., 1982b
              M&F       i.p.          > 42.88                   96%a      Hashimoto et al., 1982b
              M&F       s.c.          > 32.16                   96%a      Hashimoto et al., 1982b
              M&F       inhalc                     > 5.9        96%d      Jackson et al., 1983

    Dog       M&F       oral          > 5.0                     96.3%e    Harling et al., 1985a

                                                                                                

    a    compound given as undiluted molten solution (40 °C)
    b    exposure for 24 hours
    c    exposure for 4 hours
    d    compound given as aerosol in acetone
    e    compound given in gelatine capsules

    Table 2.  Study results - pharmacological/toxicological action (Kamiya  et al., 1985)
                                                                                                                                    
    Parameter                               Species (sex)       Route     Result
                                                                                                                                    

    Central nervous system

    - spontaneous motor activity            DDY mouse (M)       oral      dose-related decrease at 25 & 50 g/kg bw (no other
                                                                          levels tested)
    - thiopental-induced sleeping time      DDY mouse (M)       oral      dose-related increase at 25 & 50 g/kg bw; no effect
                                                                          at 12.5 g/kg bw
    - muscle relaxation actiona             DDY mouse (M)       oral      affected at 50 g/kg bw; no effect at 5 g/kg bw
    - body (rectum) temperature             DDY mouse (M)       oral      no effect at 25 and 50 g/kg bw
    - induced tonic and clonic              DDY mouse (M)       oral      no effect at 5 & 50 g/kg bw
      convulsionsb
    - general behaviour                     Wistar rat (M)      oral      no effect at 1 & 10 g/kg bw
    - EEG of frontal lobe                   Wistar rat (M)      oral      dose-related effect at 1 & 10 g/kg bw (no other
                                                                          levels tested)
    - EEG of hippocampus                    Wistar rat (M)      oral      effect at 10 g/kg bw; no effect at 1 g/kg bw
      & parietal lobe
    - conscious reaction induced            Wistar rat (M)      oral      no effect at 1 & 10 g/kg bw
      by sound stimulation
    - spinal reflex potential               mongrel cat (M/F)   i.d.c     no effect at 0.125-1 g/kg bw (cumulative administration)

    Effect on smooth muscle

    - intestinal charcoal propulsion        DDY mouse (M)       oral      dose-related increase at 25 & 50 g/kg bw; no effect
                                                                          at 12.5 g/kg bw
    - normal movement and contractile       rat, in vitro       -         0.01-1.0 mmol/l (cumulative administration)
    - responsed of vas deferens                                           produced no effect
    - autonomous movement of gravid         rat. in vitro       -         0.001-1.0 mmol/l (cumulative administration)
      or non-gravid uteruse                                               produced no effect
    - uterus contractabilityf               rat, in vitro       -         no effect at 0.1 mmol/l
    - spontaneous movement                  rabbit, in vitro    -         0.01-1.0 mmol/l (cumulative administration)
      & contraction of ileum                                              produced no effect
    - spontaneous movement of ileum         guinea-pig,         -         0.001-1.0 mmol/l (cumulative administration)
                                            in vitro                      produced no effect

                                                                                                                                    

    Table 2 (contd)
                                                                                                                                    
    Parameter                               Species (sex)       Route     Result
                                                                                                                                    

    neuro-muscular junction

    - contraction of musculus               Wistar rat (M)      i.v.      no effect at 12.5-100 mg/kg bw
      gastrocnemiusg

    autonomic ganglia

    - contractions of nictitating           mongrel cat (M/F)   i.v.      no effect at 10-100 mg/kg bw
      membraneh

    respiratory and circulatory system

    - respiration rate, blood pressure      mongrel dog (M/F)   i.v.      decreased respiration rate (followed by increased rate)
      and ECG                                                             in combination with increased blood pressure & heart rate
                                                                          at > 30 mg/kg bw; at 100 mg/kg bw severer effects; no
                                                                          effect at 10 mg/kg bw
    - cardiovascular response as            mongrel dog (M/F)   i.v.      no effect at 100 mg/kg bw
      induced by NE, ISP, AC, HIi
      & bilateral carotid occlusion
    - contractility of isolated atrium      guinea-pig, in vitro          -0.01-1.0 mmol/l (cumulative administration) produced no
                                                                          effect
    - positive & negative inotropic         guinea-pig, in vitro          -0.01-1.0 mmol/l (cumulative administration)
      reaction of isolated atrium                                         produced no effect on induced neg.
      as induced by ISP & HI (+) or                                       inotropy; effect on pos. inotropy
      AC (-)                                                              at 1.0 mmol/l only (no effect at 0.01-0.1 mmol/l)

    urinary volume & components

    - measured: volume, Cl-, Na+ & K+       Wistar rat (M)      oral      dose-related decrease in volume, Cl- & Na+ at 10 & 20 g/kg
                                                                          bw (no other dose levels tested), no effect on K+

                                                                                                                                    

    Table 2 (contd)
                                                                                                                                    
    Parameter                               Species (sex)       Route     Result
                                                                                                                                    

    serum components

    - standard blood biochemistry           Wistar rat (M)      oral      increased glucose (after 1 h only) and GOT and GPT
      after 1, 2, 6 & 24 hours                                            (all sampling times) at 10 & 20 g/kg bw (no other
                                                                          levels tested)

    blood coagulation

    - prothrombin time, partial             Wistar rat (M)      oral      no effect at 10 & 20 g/kg bw
      thromboplastin time & fibrinogen 
      after 1, 2, 6 & 24 hours

                                                                                                                                    

    a measured as incidence of slipping down a smooth slope
    b induced by pentetrazol, strychnine or electro-shock
    c i.d. = intraduodenal
    d contractile response induced by di-norepinephrine
    e from rats in estrus and diestrus cycle or in pregnant stage
    f induced by oxytocin
    g induced by electrical stimulation of sciatic nerve and muscle
    h as induced by pre- and post-ganglionic nerve stimulation
    i NE, norepinephrine; ISP, isoproterenol; AC, acetylcholine; HI, histamine
    

    compound-related since the same effects were also seen (more severe
    in degree) at 15 000 ppm (the observed decreases were 8.5-11% at 15
    000 ppm and 6% in males at 3000 ppm).  The NOAEL in this study was
    500 ppm (equal to 60 mg/kg bw/day) (Green  et al., 1985a).

    Rats

         Groups of 20 Sprague-Dawley rats/sex were fed diets containing
    0, 50, 300, 1800 or 10 800 ppm etofenprox (purity 96%) for 13 weeks. 
    These dose levels were equal to 3.3, 20, 120 or 734 mg/kg bw/day in
    males and 3.8, 23, 142 or 820 mg/kg bw/day in females.  Clinical
    signs, mortality, food consumption and body weight were recorded. 
    Haematology, clinical chemistry (including T3 and T4) and
    urinalysis were done in all groups at weeks 6 and 12.  Additional
    haematology consisted of the determination of PT and PTT in the 0
    and 10 800 ppm groups at weeks 0 and 13. The weights of 10
    organs/animal were recorded. Gross pathology and histopathology
    (about 27 tissues/animal) were carried out.  At 10 800 ppm the
    following effects were observed: slight growth retardation,
    decreased food utilization, increased thrombin time, PT and PTT,
    decreased T4, increased cholesterol, increased ASAT, ALAT and LDH
    (at week 6 only), increased liver weight with slight hepatocyte
    enlargement and increased thyroid weight with increased incidence of
    microfollicles in thyroids.  These effects, except for the increase
    in thrombin time (PTT and PT not determined), were also present to a
    slight degree at 1800 ppm.  The NOAEL in this study was 300 ppm
    (equal to 20 mg/kg bw/day) (Green  et al., 1985b).

    Dogs

         Groups of 6 beagle dogs/sex were given diets containing 0 or 10
    000 ppm etofenprox (purity 96.3%) for 52 weeks.  Two additional
    groups of 4 dogs/sex received dietary dose levels of 100 or 1000 ppm
    for 52 weeks.  These dose levels were equal to 3.5, 33, or 352 mg/kg
    bw/day in males and 3.2, 32 or 339 mg/kg bw/day in females.  After
    52 weeks, 4 dogs/sex/group were killed.  The remaining dogs in the 0
    and 10 000 ppm groups were killed after a recovery period of 8
    weeks.  Observations included clinical signs, mortality, food
    consumption, body weight, haematology (including PT and PTT),
    clinical chemistry and urinalysis.  The weights of 10 organs/animal
    were recorded.  Gross pathology and histopathology (about 33
    tissues/animal) were carried out.  Effects observed at 10 000 ppm
    were decreased PCV, Hb and RBC, increased SAP, decreased total
    protein and albumin, increased kidney weight and increased liver
    weight with minimal swelling of hepatocytes.  After 8 weeks of
    recovery none of these effects were found to persist.  The NOAEL in
    this study was 1000 ppm (equal to 32 mg/kg bw/day) (Harling  et al.,
    1985b).

    Long-term toxicity/carcinogenicity studies

    Mice

         Groups of 52 CD-1 mice/sex were fed diets containing 0, 30,
    100, 700 or 4900 ppm etofenprox (purity 96.3%) for 2 years.  These
    dose levels were equal to 3.1, 10, 75 or 550 mg/kg bw/day in males
    and 3.6, 12, 81 or 615 mg/kg bw/day in females.  Satellite groups of
    24 mice/sex/group received the same dose levels and were used for
    interim sacrifices after 26 weeks (10 animals/sex per group) and 52
    weeks (remaining satellite animals).  Observations included clinical
    signs, mortality, food consumption, body weight, haematology,
    clinical chemistry and urinalysis.  Ophthalmoscopy was done in the 0
    and 4900 ppm groups.  The weights of 10 organs/animal were recorded. 
    Gross pathology and histopathology (about 30 tissues/animal) were
    carried out.  At 4900 ppm the following effects were seen: increased
    mortality in males (survival at test end 10/52 versus 24/52 in
    controls; renal lesions were considered contributory to death),
    growth retardation, decreased Hb, RBC, MCHC and PCV in combination
    with increased MCV (first year only), increased platelet counts
    (second year), decreased urine specific gravity, and increased
    weights of liver and spleen. Decreased MCHC and increased MCV were
    seen at 700 ppm also. Histopathology showed an increased incidence
    of renal changes in treated animals, mainly in males.  The renal
    changes were mostly tubular lesions appearing as groups of
    basophilic or dilated tubules, sometimes associated with focal loss
    of tubules.  These lesions were scored on a grade 1 to 5 scale.  The
    incidences are presented in Table 3.

         At 30 ppm the increase in the incidence of renal lesions was
    considered marginal.  No increase in tumour incidence was found. 
    The NOAEL in this study was 30 ppm (equal to 3.1 mg/kg bw/day)
    (Green  et al., 1986a).

    Rats

         Groups of 70 Sprague-Dawley rats/sex were fed diets containing
    0, 30, 100, 700 or 4900 ppm etofenprox (purity 96.3%) for 2 years. 
    These dose levels were equal to 1.1, 3.7, 26 or 187 mg/kg bw/day in
    males and 1.4, 4.8, 34 or 249 mg/kg bw/day in females.  Interim
    sacrifices were made after 26 or 52 weeks (10 animals/sex/group on
    both occasions).  Observations included clinical signs, mortality,
    food consumption, body weight, haematology, clinical chemistry
    (including T3 and T4) and urinalysis. The weights of 10
    organs/animal were recorded. Gross pathology and histopathology
    (about 30 tissues/animal) were carried out.  At 4900 ppm, the
    following effects were seen: decreased food intake or utilization,
    decreased growth, slightly increased thrombin time, increased
    urinary protein, increased liver weight with hepatocyte enlargement
    (sometimes with vacuolization), slightly increased kidney weight and

    increased thyroid weight with increased incidence of cystic
    follicles in thyroid.  At 700 ppm, decreased food intake, increased
    thyroid weight, slightly increased kidney weight and presence of
    eosinophilic hepatocytes (sometimes with vacuolization) were noted. 
    At 100 ppm no toxic effects were observed.  Increased incidence of
    thyroid follicular tumours was found (Table 4).  No changes in
    concentrations of T3 and T4 were found.

         Statistical analysis of these incidences showed that for
    thyroid follicular cell carcinomas the trend test was negative and
    the intergroup comparison showed no significant effect.  Intergroup
    comparison showed a statistically significant increase in adenomas
    at 4900 ppm in females only.  For adenomas and carcinomas, the trend
    test was positive in males and females.  The NOAEL in this study was
    100 ppm (equal to 3.7 mg/kg bw/day) (Green  et al., 1986b).

    Reproduction studies

    Rats

         In a two-generation study, groups of 24 or 28 Sprague-Dawley
    rats/sex were used as parent animals, receiving dietary
    concentrations of 0, 100, 700 or 4900 ppm etofenprox (purity 96.3%). 
    Two litters per generation were produced.  Parent animals were
    killed at day 21 after birth of the Fb litters.  Pups were also
    sacrificed at day 21 after birth except for selected F1a pups
    (maintained on test diets up to day 21 after birth of F1b litters),
    selected F1b pups (used as F1 parents) and selected F2b pups
    (maintained on test diets up to week 13 after birth).  Gross
    pathology was done and the weights of selected organs were measured. 
    Histopathology was done in F1 parents (kidneys, thyroids, liver),
    F0 parents (kidneys) and F2b adult animals (thyroid). At 4900 ppm,
    the main effects were: decreased growth and increased water
    consumption (parent animals), increased kidney weights with presence
    of cysts, deposits, congestion, haemorrhages or inflammation in
    collecting ducts or medulla (parents and young), increased liver
    weights with hepatocyte enlargement (parents and young), decreased
    pup weights, clinical signs (tremors, abnormal gait) in pups and
    increased thyroid weight with slight increase in height of
    follicular epithelium (F1 parents).  At 700 ppm the effects were:
    increased kidney weights in F2b adult females and increased liver
    weights in the young of both generations.  No effect on reproduction
    parameters were observed.  The NOAEL in this study was 100 ppm
    (equivalent to 5 mg/kg bw/day) (Cozens  et al., 1985a).

    Table 3.  Number of mice showing renal lesions 
              (Green  et al., 1986a)
                                                                             
    Dilated/basophilic    Control   30 ppm    100 ppm    700 ppm  4900 ppm
    cortical tubules
                                                                             

    Malesa

         grade 1             7         8         6          9         5
         grade 2             0         3         4          6         4
         grade 3             0         0         1          1        11
         grade 4             0         0         1          1         6
         grade 5             0         0         0          0         4

    Femalesa

         grade 1             3         0         5          6         7
         grade 2             1         1         1          1         6
         grade 3             0         0         0          2         6
         grade 4             0         0         1          0         1
         grade 5             0         0         0          0         0

                                                                             

    a    number of animals examined: 52 in all groups

    Table 4.  Number of rats with thyroid follicular tumours 
              (Green  et al., 1986b)
                                                                             
    Tumour type         Control   30 ppm    100 ppm    700 ppm  4900 ppm
                                                                             

    Malesa

      adenomas             6         6         4          5        11
      carcinomas           0         0         1          3         2
      adenomas and/or      6         6         5          8        13
        carcinomas

    Femalesa

      adenomas             0         3         2          0         9
      carcinomas           0         0         0          2         1
      adenomas and/or      0         3         2          2         9
        carcinomas

                                                                             

    a    number of animals examined: 50 in all groups

    Special studies on embryo/fetotoxicity

    Rats

         In a segment I study, groups of 24 Sprague-Dawley rats/sex were
    given oral doses (by gavage) of 0, 12.5, 250 or 5000 mg/kg bw/day
    etofenprox (purity 96.3%) and were mated during a 14-day mating
    period.  The male animals were treated for 9 weeks prior to mating
    up to termination (autopsy) at week 15.  Female animals were dosed
    for 2 weeks prior to mating up to day 7 of gestation.  At day 20 of
    gestation females were sacrificed, standard litter data were
    recorded and fetuses were monitored for abnormalities (externally
    and standard soft tissue and skeletal examinations).  No effects on
    mating performance, litter parameters, incidences of soft tissue or
    skeletal abnormalities were found.  In parent animals at 5000 mg/kg
    bw/day salivation with brown staining around the mouth,
    staining/wetness around the anogenital region, crystalline
    appearance of the faeces, unkempt hair coat (males only) and skin
    lesions (males only) were present.  Salivation with brown staining
    around the mouth was also observed occasionally at 250 mg/kg bw/day
    and, in a few animals, at 12.5 mg/kg bw/day.  Increased salivation
    is frequently observed in gavage studies and is probably due to the
    method of application rather than representing a compound-related
    toxic effect.  The NOAEL for reproductive performance and
    fetotoxicity was 5000 mg/kg bw/day.  The NOAEL for parental toxicity
    was 250 mg/kg bw/day (Cozens  et al., 1985c).

         In a segment II study, groups of 35 pregnant Sprague-Dawley
    rats were given oral doses (by gavage) of 0, 12.5, 250 or 5000 mg/kg
    bw/day etofenprox (purity 96.3%) from days 6 through 17 of
    pregnancy.  No test compound was administered at later stages of the
    study.  On day 20 of gestation, 21-24 dams/group were sacrificed for
    a standard teratogenicity evaluation (i.e. number of corpora lutea,
    number and distribution of live and dead fetuses, fetal weights,
    external abnormalities, soft tissue examination, skeletal
    examination).  The remaining dams were allowed to deliver F1 pups. 
    Litter data were recorded at birth.  In the 4-21 days period after
    birth, a number of neuromotor parameters (including several reflexes
    and eye opening) were determined.  On day 21, one pup/sex/litter was
    selected for use as F1 parents; pups not selected for later mating
    were killed and examined internally and externally for
    abnormalities.  Mating was done when these animals were 12 weeks
    old.  Behavioural tests were performed prior to mating.  At day 21
    after birth of F2 pups all animals were killed and examined
    internally and externally for abnormalities.  At 5000 mg/kg bw/day
    maternal growth was retarded.  Salivation, red/brown staining around
    the mouth, wet and yellow staining of the fur in the anogenital
    region were seen in the 5000 mg/kg bw/day dams during the treatment
    period.  At 250 and 12.5 mg/kg bw/day salivation and red/brown
    staining around the mouth occurred in lesser incidences; these

    effects are not considered as compound-related adverse effects.  No
    effects on mating performance, litter parameters, incidences of soft
    tissue or skeletal abnormalities were found in any group.  The NOAEL
    for fetotoxicity was 5000 mg/kg bw/day and the NOAEL for maternal
    toxicity was 250 mg/kg bw/day (Cozens  et al., 1985b).

         In a segment III study, groups of 25 pregnant Sprague-Dawley
    rats were given oral doses (by gavage) of 0, 12.5, 250 or 5000 mg/kg
    bw/day etofenprox (purity 96.3%) from day 17 of pregnancy through
    day 21 after birth of the F1 pups.  No test compound was
    administered at later stages of the study.  Litter data were
    recorded at birth of the F1 pups.  On day 4, pups were culled to
    8/litter (pups not selected were discarded).  In the 4-21 days
    period after birth a number of neuromotor parameters (including
    several reflexes and eye opening) were determined.  On day 21, one
    pup/sex/litter was selected for later mating (parent animals and
    pups not selected were killed and examined internally and
    externally). Mating was done when these animals were about 12 weeks
    old.  Behavioural tests were performed prior to mating (i.e. general
    aspects of behaviour, hole board test for mobility and
    inquisitivity, inclined-plane test for motor coordination and a one-
    trial avoidance test).  At day 21 after birth of F2 pups all
    animals were killed and examined internally and externally for
    abnormalities.  In dams at 5000 mg/kg bw/day, decreased growth
    during the treatment phase and clinical signs (salivation,
    occasional brown staining around the mouth, staining around the
    urogenital region) were observed.  Only salivation and brown
    staining were observed at 250 mg/kg bw/day; these effects are not
    considered as compound-related adverse effects.  At 12.5 mg/kg
    bw/day no effects in dams were found. At 5000 mg/kg bw/day only, in
    F1 pups increased mortality (preceding symptoms: body tremors and
    haemorrhages around the nose) and decreased growth were found in the
    period up to day 21 after birth. Also at 5000 mg/kg bw/day, only in
    F1 weanlings and F1 adults, enlarged kidneys and histopathological
    kidney changes were observed.  The NOAEL for neonatal effects and
    maternal toxicity was 250 mg/kg bw/day (Cozens  et al., 1985d).

    Rabbits

         Groups of 16 or 17 mated New Zeeland white rabbits were given
    oral doses (by gavage) of 0, 10, 50 or 250 mg/kg bw/day etofenprox
    (purity 96.3%) from day 6 through 18 of gestation.  On day 29 all
    dams were sacrificed and examined according to standard procedures
    (litter data, soft tissue examination, skeletal examination). 
    Slight body-weight loss was seen in dams at 250 mg/kg bw/day and
    growth retardation at 50 mg/kg bw/day.  At 250 mg/kg bw/day, the
    incidences of late abortions and early embryonic deaths were
    increased.  At 50 mg/kg bw/day no effect on fetuses was found.  The
    NOAEL for embryo/fetotoxicity was 50 mg/kg bw/day.  The NOAEL for
    maternal toxicity was 10 mg/kg bw/day (Bottomley  et al., 1985).

    Special studies on genotoxicity

         Etofenprox has been examined for genotoxicity in bacteria,
    mammalian cells  in vitro and in mice  in vivo (micronucleus
    test).  In addition a test for UDS in human HeLa cells  in vitro 
    has been carried out.  The results are presented in Table 5. The
    results were negative in all test systems.

    Special studies on the metabolite 2-(4-ethoxyphenyl)-
    2-methylpropyl-3-phenoxybenzoate (MTI-500 alpha-CO)

         The oral LD50 of MTI-500 alpha-CO in male and female Charles
    River CD rats was >5000 mg/kg bw (Cummins & Gardner, 1985).

         Groups of 10 Sprague-Dawley rats/sex were fed diets containing
    0, 50, 700 or 10 000 ppm MTI-500 alpha-CO (purity 97.6%) for 13
    weeks.  These dose levels were equal to 3.8, 54 or 800 mg/kg bw/day
    in males and 4.7, 64 or 930 mg/kg bw/day in females.  Clinical
    signs, mortality, food consumption and body weights were recorded. 
    Haematology, clinical chemistry, T3, T4 and urinalysis were done
    in all groups at week 13.  At termination the weights of 10
    organs/animal were recorded.  Gross pathology was done in all
    animals.  Histopathology was done in about 27 tissues/animal in the
    0 and 10 000 ppm groups and in lungs, liver and kidneys of the
    intermediate groups.  At 10 000 ppm the following effects were
    observed: growth retardation, increased total WBC (females only),
    increased SAP and SGOT, decreases in T4, serum cholesterol and
    serum globulin, increased relative weights of liver (females only),
    kidneys and thymus (females only), histopathological changes in
    kidneys (hypertrophy of the tubular epithelium of the pars recta) in
    4/10 females.  At the lower dose levels no effects were observed. 
    The NOAEL in this study was 700 ppm (equal to 54 mg/kg bw/day)
    (Powell  et al., 1988).

         The mutagenic potential of MTI-500 alpha-CO (purity 99.6%) was
    examined in the Ames test using  Salmonella typhimurium tester
    strains TA 98, 100, 97a, 1535, 1537 and 102 without and with
    metabolic activation.  In addition,  Escherichia coli strain WP2
    uvra was also used as test organism (without and with activation). 
    The concentration range was 50-5000 µg/plate.  The results were
    negative in all test organisms (Bootman & May, 1985).


        Table 5.  Results of genotoxicity assays with etofenprox
                                                                                                                               
    Test system                 Test object                 Concentration             Purity    Results        References
                                                            of etofenprox             (%)
                                                                                                                               

     In vitro

    Ames test, without          S. typhimurium              200-3200 µg/plate;        96.3      negative       Foster, 1985
    and with activation         TA100, TA98, TA1535,        DMSO as solvent
                                TA1537, TA1538

    HGPRT (gene                 Chinese hamster             9.75-156 µg/ml;           96.3      negative       Seeberg, 1985a
    mutations), without         V79 cells                   DMSO as solvent
    and with activation

    Chromosome aberrations      human lymphocytes           12.5-50 µg/ml;            96.3      negativea      Bootman et al.,
    test, without and with                                  DMSO as solvent                                    1985a
    activation 

    Unscheduled DNA             human cells HeLa S3         9.75-156 µg/ml            96.3      negative       Seeberg, 1985b
    synthesis, without                                      (without act.) or
    and with activation                                     2.44-39 µg/ml (with
                                                            act.); solvent DMSO

     In vivo

    Bone marrow                 CD-1 mouse                  80, 400 and 2000          96.3      negative       Bootman et al.,
    micronucleus test                                       mg/kg bw, p.o. (single                             1985b
                                                            dose); sacrifice at 24,
                                                            48 and 72 h

                                                                                                                               

    a    Both the test without activation and the test with activation showed a treatment-related reduction in mitotic index.
    

    Special study on sensitization

         Etofenprox (purity not reported) was tested for sensitizing
    potential in a group of 20 male English Hartley guinea-pigs using
    the maximization test according to Magnusson & Kligman.  Treatment
    in the induction phase was done with a 20% solution in corn oil. 
    The second induction application was preceded by a treatment with
    10% sodium lauryl sulphate in petrolatum ointment to produce an
    irritative response in the induction phase.  Etofenprox did not
    produce sensitization (Kobayashi, 1985).

    Special studies on skin and eye irritation

         Skin irritation of etofenprox was studied using a group of 6
    Japanese white rabbits.  A quantity of 0.5 ml of undiluted
    etofenprox (purity 96.3%) was applied as a molten solution (melting
    point of compound: 35-38 °C) to the shaven intact skin under
    occlusion for 4 hours.  Skin observations were made up to day 14
    after treatment. Very slight erythema was seen in 1/6 animals up to
    day 7.  The classification (Draize) based on this result is  not
     irritating (Kashima, 1985d, 1991a).

         Eye irritation of etofenprox was studied using a group of 6
    Japanese white rabbits.  A quantity of 0.1 ml of undiluted
    etofenprox (purity 96.3%) was applied as a molten solution (melting
    point of compound: 35-38 °C) through instillation into the
    conjunctival sac of the right eye.  No washing was done. 
    Observations were made up to 72 hours after treatment.  Mild
    conjunctival redness was observed in 6/6 animals; after 72 hours
    this effect was no longer present.  Mild conjunctival edema was seen
    in 1/6 animals, which disappeared after 24 hours.  The
    classification (Draize) based on this result is  not irritating
    (Kashima, 1985e; 1991b).

    Observation in humans

         Health assessments were carried out once or twice each year on
    a group of 21 operators engaged in the production of technical
    etofenprox for periods ranging from 1.5 to 5.5 years.  The
    examinations included determination of blood pressure, X-ray
    examination, haematology, blood biochemistry, limited urinalysis,
    electrocardiography and interview for subjective complaints.  No
    compound-related effects were observed.  The report did not include
    data on the exposure concentrations (Yamazaki, 1992).

    COMMENTS

         After oral administration to rats, total excretion in faeces
    was 85-90% and 7-9% in urine.  Excretion in bile was found to be 10%
    to 30%.  Unchanged etofenprox was not found in the bile.  Total
    retention in the body after 5 days was 3-4%.  In the
    gastrointestinal tract from 48 to 93% was absorbed.  Absorption
    tended to be dose-dependent.  Tissue concentrations were highest in
    fat; this residue was present as unchanged parent compound. 
    Etofenprox was secreted (as the unchanged compound) in milk.  The
    major biotransformation routes involve O-de-ethylation of the
    ethylphenyl moiety and hydroxylation of the phenoxybenzyl moiety
    followed by conjugation with glucuronide or sulfate.  Oxidation of
    the alpha-CH2 group followed by hydrolysis represents an additional
    route.  The available results for dogs indicate a lower
    gastrointestinal absorption rate than in rats.  The major
    biotransformation routes were the same as in rats.

         Etofenprox has a low acute oral toxicity in mice, rats and
    dogs.  WHO has classified etofenprox as unlikely to present acute
    hazard in normal use.

         In a 13-week study in mice, using dietary concentrations of 0,
    50, 500, 3000 or 15 000 ppm, the NOAEL was 500 ppm, equal to 60
    mg/kg bw/day.  The main effects seen were mortality, growth
    retardation, increased weights of liver (with enlarged hepatocytes)
    and kidneys (with tubular basophilia and dilatation) and decreases
    in red blood cell parameters.

         In a 13-week study in rats using dietary concentrations of 0,
    50, 300, 1800 or 10 800 ppm, the NOAEL was 300 ppm, equal to 20
    mg/kg bw/day, based on effects on growth and the liver.  In
    addition, increased thyroid weight with increased incidence of
    microfollicles in this organ was observed.

         In a 52-week study in dogs using dietary concentrations of 0,
    100, 1000 or 10 000 ppm, the NOAEL was 1000 ppm (equal to 32 mg/kg
    bw/day) based on decreased red blood cell parameters, increased
    serum alkaline phosphatase and increased liver weight (with swelling
    of hepatocytes).

         In a two-year toxicity/carcinogenicity study in mice using
    dietary concentrations of 0, 30, 100, 700 or 4900 ppm, the NOAEL was
    30 ppm (equal to 3.1 mg/kg bw/day) based on an increased incidence
    of tubular lesions in the kidneys at > 100 ppm.  There was no
    evidence of carcinogenicity.

         A two-year toxicity/carcinogenicity study in rats also used
    dietary concentrations of 0, 30, 100, 700 or 4900 ppm.  The NOAEL
    was 100 ppm (equal to 3.7 mg/kg bw/day), based on increased weights

    of thyroid and kidneys and microscopic liver changes at >700 ppm. 
    The incidence of cystic follicles in the thyroid was increased at
    4900 ppm only.  There was an increased incidence of thyroid
    follicular adenomas among the 4900 ppm animals which was
    statistically significantly increased in females only.  The absence
    of genotoxicity of etofenprox (see below) in combination with the
    observed activation of the thyroid gland, which might be related to
    the effects on the liver (the latter probably leading to increased
    breakdown of thyroid hormones), is a strong indication for a non-
    genotoxic mechanism of induction of the thyroid tumours.

         In a two-generation study in rats using dietary concentrations
    of 0, 100, 700 or 4900 ppm, the NOAEL was 100 ppm (equivalent to 5
    mg/kg bw/day).  No effects on reproduction were observed in this
    study.  Main effects seen in parents as well as young were decreased
    growth and effects on the weights and histopathology of liver and
    kidneys.  The effects on the offspring were consistent with exposure
    to unchanged etofenprox via milk.

         Embryo/fetotoxicity and teratogenicity were studied in rats (3
    studies, segment I, II & III, respectively) and rabbits (1 study). 
    In the three studies in the rat, etofenprox was administered by
    gavage at dose levels of 0, 12.5, 250 or 5000 mg/kg bw/day.  In each
    of the studies, dose-related maternal toxicity (clinical signs,
    growth retardation) was observed at 5000 mg/kg bw/day.  In the two
    studies in rats with dosing before or during pregnancy, no effects
    on offspring/fetuses were seen.  In the study in rats with dosing
    during lactation (segment III), toxic effects developed in the
    offspring, most likely as a result of exposure to etofenprox via
    milk.  In none of the studies in rats were irreversible structural
    malformations found.  The NOAEL for maternal or parental toxicity in
    each of these studies was 250 mg/kg bw/day.  For fetotoxicity, the
    NOAEL was 5000 mg/kg bw/day in the segment I and II studies.  The
    NOAEL for neonatal effects in the segment III study was 250 mg/kg
    bw/day.  In the rabbit study, the NOAEL for maternal toxicity was 10
    mg/kg bw/day, based on decreased growth at 50 and 250 mg/kg bw/day. 
    Incidences of late abortions and early-embryonal mortality were
    increased at 250 mg/kg bw/day only.  The NOAEL for embryo/
    fetotoxicity was 50 mg/kg bw/day.  No irreversible structural
    malformations were noted in this study.

         Based on the results of the available  in vitro and  in vivo
    genotoxicity data there was no evidence that etofenprox is
    genotoxic.

         The most sensitive species in the animal studies presently
    available appear to be rodents, with NOAELs of 3.1 and 3.7 mg/kg
    bw/day for mice and rats, respectively, in the long-term studies. 
    The ADI was based on the long-term study in mice, using a 100-fold
    safety factor.

    TOXICOLOGICAL EVALUATION

    Level causing no toxicological effects

         Mouse:    30 ppm, equal to 3.1 mg/kg bw/day (two-year study)

         Rat:      100 ppm, equal to 3.7 mg/kg bw/day (two-year study)

         Rabbit:   10 mg/kg bw/day (maternal toxicity in a
                   teratogenicity study)

         Dog:      1000 ppm, equal to 32 mg/kg bw/day (52-week study).

    Estimate of acceptable daily intake for humans

                   0-0.03 mg/kg bw.

    Studies which will provide information valuable in the continued
    evaluation of the compound

         Clarification of the dose-response for thyroid effects in the
    rat, including evaluation of T3, T4, TSH and other relevant
    parameters.

         Observations in humans with adequate information on exposure
    levels.

    REFERENCES

    Agrochemicals Handbook (1991) The Agrochemicals Handbook - Third
    Edition. Royal Society of Chemistry -Information Services,
    Cambridge, England.

    Bootman, J., Hodson-Walker, G. & Dance, C.A. (1985a).  In vitro
    assessment of the clastogenic activity of MTI-500, ethofenprox, in
    cultured human peripheral lymphocytes. Life Science Research
    Limited, England; report no. 85/MT0017/430, dated 17 July 1985.
    Submitted to WHO by Mitsui Toatsu Chemicals, Inc., Tokyo, Japan.

    Bootman, J., Hodson-Walker, G. & Dance, C.A. (1985b). MTI-500,
    etofenprox: assessment of clastogenic action on bone marrow
    erythrocytes in the micronucleus test. Life Science Research
    Limited, England; report no. 85/MT0016/406, dated 3 July 1985.
    Submitted to WHO by Mitsui Toatsu Chemicals, Inc., Tokyo, Japan.

    Bootman, J. & May, K. (1985). MTI-500alpha-CO: assessment of its
    mutagenic potential using amino-acid auxotrophs of  Salmonella
     typhimurium and  Escherichia coli. Life Science Research Limited,
    England; report no. 85/MT0020/433, dated 19 July 1985. Submitted to
    WHO by Mitsui Toatsu Chemicals, Inc., Tokyo, Japan.

    Bottomley, A.M., Barton, S.J., Masters, R.E., Offer, J.M., Parker,
    C.A., Anderson, A. & Dawe, I.S. (1985). Effect of etofenprox (MTI-
    500) on pregnancy of the rabbit. Huntingdon Research Centre Ltd.,
    England; report no. MTC 85(84)/85444, dated 20 December 1985.
    Submitted to WHO by Mitsui Toatsu Chemicals, Inc., Tokyo, Japan.

    Cozens, D.D., Barton, S.J., Offer, J.M., Parker, C.A. & Anderson, A.
    (1985a). Effect of etofenprox (MTI-500) on multiple generations of
    the rat. Huntingdon Research Centre Ltd., England; report no. MTC
    67/85706, dated 29 October 1985. Submitted to WHO by Mitsui Toatsu
    Chemicals, Inc., Tokyo, Japan.

    Cozens, D.D., Hughes, E.W. & Anderson, A.  (1985b).  Effect of
    etofenprox (MTI-500) on pregnancy of the rat with rearing to
    maturation of the F1 generation. Huntingdon Research Centre Ltd.,
    England; report no. MTC 64/85422, dated 28 October 1985. Submitted
    to WHO by Mitsui Toatsu Chemicals, Inc., Tokyo, Japan.

    Cozens, D.D., Hughes, E.W., Clark, R. & Anderson, A. (1985c). Effect
    of etofenprox (MTI-500) on fertility and pregnancy of the rat.
    Huntingdon Research Centre Ltd., England; report no. MTC 66/84668,
    dated 29 October 1985. Submitted to WHO by Mitsui Toatsu Chemicals,
    Inc., Tokyo, Japan.

    Cozens, D.D., Hughes, E.W., Offer, J. & Anderson, A. (1985d). Effect
    of etofenprox (MTI-500) on the peri and post natal period of the rat
    with rearing to maturation of the F1 offspring. Huntingdon Research
    Centre Ltd., England; report no. MTC 65/85423, dated 29 October
    1985. Submitted to WHO by Mitsui Toatsu Chemicals, Inc., Tokyo,
    Japan.

    Cummins, H.A. & Gardner, J.R. (1985) MTI-500 alpha-CO: Acute oral
    toxicity in the rat. Life Science Research Ltd., England - study no.
    85/MT0018/474; report dated 2 August 1985. Submitted to WHO by
    Mitsui Toatsu Chemicals, Inc., Tokyo, Japan.

    Foster, R. (1985). Reverse mutation in Salmonella typhimurium. Test
    substance MTI-500. Life Science Research Roma Toxicology Centre,
    Italy; report no. 162001-M-06185, dated 22/8/1985. Submitted to WHO
    by Mitsui Toatsu Chemicals, Inc., Tokyo, Japan.

    Green, O.P., Heywood, R., Street, A.E., Gopinath, & Almond, R.H.
    (1985a). Assessment of the toxicity of MTI-500 to mice by dietary
    administration for 13 weeks. Huntingdon Research Centre Ltd.,
    England; report no. MTC 55/821112, dated 8 July 1983, re-issued 31
    October 1985. Submitted to WHO by Mitsui Toatsu Chemicals, Inc.,
    Tokyo, Japan.

    Green, O.P., Street, A.E., Heywood, R., Gopinath, C. & Almond, R.H.
    (1985b). Assessment of the toxicity of MTI-500 in rats during
    dietary administration for 13 weeks. Huntingdon Research Centre
    Ltd., England; report no. MTC 56/821067, dated 7 July 1983, re-
    issued 18 December 1985. Submitted to WHO by Mitsui Toatsu
    Chemicals, Inc., Tokyo, Japan.

    Green, O.P., Heaps, C.J., Heywood, R., Street, A.E., Gopinath, C.,
    Imm, S. & Gibson, W.A. (1986a). Ethofenprox (MTI-500) potential
    tumorigenic and toxic effects in prolonged dietary administration to
    mice. Huntingdon Research Centre Ltd., England; report no. MTC
    58/85582, dated 6 January 1986, re-issued 24 February 1986.
    Submitted to WHO by Mitsui Toatsu Chemicals, Inc., Tokyo, Japan.

    Green, O.P., Heaps, C.J., Heywood, R., Street, A.E., Gopinath, C.,
    Sing, H. & Gibson, W.A. (1986b). Ethofenprox (MTI-500) potential
    tumorigenic and toxic effects in prolonged dietary administration to
    rats. Huntingdon Research Centre Ltd., England; report no. MTC
    59/85581, dated 24 January 1986. Submitted to WHO by Mitsui Toatsu
    Chemicals, Inc., Tokyo, Japan.

    Harling, R.J., Burford, P. & Heywood, R. (1985a) Ethofenprox (MTI-
    500) Acute limit test of toxicity to dogs following a single oral
    administration. Huntingdon Research Centre Ltd., England; report no.
    MTC 101/851185, dated 24 October 1985. Submitted to WHO by Mitsui
    Toatsu Chemicals, Inc., Tokyo, Japan.

    Harling, R.J., Burford, P., Street, A.E., Heywood, R., Majeed, S.R.
    & Gopinath, C. (1985b). Ethofenprox (MTI-500) toxicity to dogs by
    repeated dietary administration for 52 weeks followed by a recovery
    period of 8 weeks. Huntingdon Research Centre Ltd., England; report
    no. MTC 71/85234, dated 25 October 1985, re-issued 8 November 1985.
    Submitted to WHO by Mitsui Toatsu Chemicals, Inc., Tokyo, Japan.

    Hashimoto, K., Ohtaki, T., Yamaguchi, K., Nishijima, Y., Imai, K. &
    Azegami, J. (1982a). Report on acute toxicity study of MTI-500
    (ethofenprox) in mice. Hatano Research Institute, Japan; report no.
    A-82-35~42, dated 9 November 1982. Submitted to WHO by Mitsui Toatsu
    Chemicals, Inc., Tokyo, Japan.

    Hashimoto, K., Ohtaki, T., Yamada, S., Watanabe, C., Imai, K. &
    Azegami, J. (1982b). Report on acute toxicity study of MTI-500
    (ethofenprox) in rats. Hatano Research Institute, Japan; report no.
    A-82-27~34, dated 9 November 1982. Submitted to WHO by Mitsui Toatsu
    Chemicals, Inc., Tokyo, Japan.

    Hawkins, D.R., Kirkpatrick, D., Ewen, B., Midgley, I., Biggs, S.R. &
    Whitby, B.R. (1985a). The biokinetics and metabolism of 14C-
    ethofenprox in the rat. Huntingdon Research Centre Ltd., England;
    report no. HRC/MTC 68/84610, dated 1 August 1985. Submitted to WHO
    by Mitsui Toatsu Chemicals, Inc., Tokyo, Japan.

    Hawkins, D.R., Kirkpatrick, D., Ewen, B., Midgley, I. & Biggs, S.R.
    (1985b). The metabolism of 14C-ethofenprox in dogs. Huntingdon
    Research Centre Ltd., England; report no. HRC/MTC 69/84583, dated 11
    October 1985. Submitted to WHO by Mitsui Toatsu Chemicals, Inc.,
    Tokyo, Japan.

    Jackson, G.C., Hardy, C.J., Clark, G.C., Gregson, R.L., Lewis, D.J.
    & Gopinath, C. (1983). MTI-500 acute inhalation toxicity in rats 4
    hour exposure. Huntingdon Research Centre Ltd., England; report no.
    MTC 60/821079, dated 19 April 1983 Submitted to WHO by Mitsui Toatsu
    Chemicals, Inc., Tokyo, Japan.

    Kamiya, J., Yoshiwara, K., Saito, S., Takahashi, Y. Oseki, K.,
    Shimizu, H., Kawazura, H., Shiga, Y., Yoshida, M., Hayakawa, M. &
    Tanaka Y. (1985). General pharmacology of MTI-500. Institute of
    Biological Sciences - Mitsui Pharmaceuticals Inc., [A translation of
    an original Japanese report published in Japanese, in: Pharmacology
    and Therapeutics, vol.13 no.11, pp. 229-244, November 1985].
    Translated by T. Hirakawa. 

    Kashima, M. (1985a). Acute oral toxicity of MTI-500 emulsion in
    mice. Nippon Experimental Medical Research Institute, Ltd., Japan;
    report no. NEMRI-H-85-50, dated 2 September 1985. Submitted to WHO
    by Mitsui Toatsu Chemicals, Inc., Tokyo, Japan.

    Kashima, M. (1985b). Acute oral toxicity of MTI-500 emulsion in
    rats. Nippon Experimental Medical Research Institute, Ltd., Japan;
    report no. NEMRI-H-85-48, dated 2 September 1985. Submitted to WHO
    by Mitsui Toatsu Chemicals, Inc., Tokyo, Japan.

    Kashima, M. (1985c). Acute dermal toxicity of MTI-500 emulsion in
    rats. Nippon Experimental Medical Research Institute, Ltd., Japan;
    report no. NEMRI-H-85-49, dated 2 September 1985. Submitted to WHO
    by Mitsui Toatsu Chemicals, Inc., Tokyo, Japan.

    Kashima, M. (1985d). MTI-500 primary skin stimulation test in
    rabbits. Nippon Experimental Medical Research Institute, Ltd, Japan;
    report no. NEMRI-H-85-5, dated 23 August 1985. Submitted to WHO by
    Mitsui Toatsu Chemicals, Inc., Tokyo, Japan.

    Kashima, M. (1985e). MTI-500 primary ophthalmic stimulation test in
    rabbits. Nippon Experimental Medical Research Institute, Ltd, Japan;
    report no. NEMRI-H-85-55, dated 24 October 1985. Submitted to WHO by
    Mitsui Toatsu Chemicals, Inc., Tokyo, Japan.

    Kashima (1991a) Final report modification (I) - study name: MTI-500
    primary skin stimulation test in rabbits. Nippon Experimental
    Medical Research Institute, Ltd, Japan; project no. NEMRI-H-85-5.
    Modification d.d. 28 October 1991. Submitted to WHO by Mitsui Toatsu
    Chemicals, Inc., Tokyo, Japan.

    Kashima (1991b) Final report modification (I) - study name: MTI-500
    primary ophthalmic stimulation test in rabbits. Nippon Experimental
    Medical Research Institute, Ltd, Japan; project no. NEMRI-H-85-55.
    Modification d.d. 28 October 1991. Submitted to WHO by Mitsui Toatsu
    Chemicals, Inc., Tokyo, Japan.

    Kobayashi, K. (1985). MTI-500 skin sensitization test in guinea-
    pigs. Nippon Experimental Medical Research Institute, Ltd, Japan;
    report dated 31 October 1985. Submitted to WHO by Mitsui Toatsu
    Chemicals, Inc., Tokyo, Japan.

    Powell, A.J., Coleman, M., Crook, D., Gopinath, C., Gobson, W.A.,
    Read, R.M. & Anderson, A. (1988) MTI-500 alpha-CO: Toxicity to rats
    by dietary administration for 13 weeks (Final report). Huntingdon
    Research Centre Ltd., England; report no. MTC 141/871448, dated 15
    March 1988. Submitted to WHO by Mitsui Toatsu Chemicals, Inc.,
    Tokyo, Japan.

    Seeberg, A.H. (1985a). Gene mutation in Chinese Hamster V79 cells.
    Test substance MTI-500. Life Science Research Roma Toxicology
    Centre, Italy; report no. 162002-M-06985, dated 22/8/1985. Submitted
    to WHO by Mitsui Toatsu Chemicals, Inc., Tokyo, Japan.

    Seeberg, A.H. (1985b). Unscheduled DNA synthesis in human cells,
    cell line: Hela S3. Test substance MTI-500. Life Science Research
    Roma Toxicology Centre, Italy; report no. 162003-M-05785, dated
    30/7/1985. Submitted to WHO by Mitsui Toatsu Chemicals, Inc., Tokyo,
    Japan.

    Tomoda, K., Arai, M. & Ohnuma, K. (1986). Metabolism study of
    ethofenprox (MTI-500). 6. Metabolism in rat. Chiba Branch
    Laboratory, Agrochemicals Laboratory - Mitsui Toatsu Chemicals,
    Inc., Japan; report dated July 1986. Submitted to WHO by Mitsui
    Toatsu Chemicals, Inc., Tokyo, Japan.

    WHO (1992). The WHO recommended classification of pesticides by
    hazard and guidelines to classification 1992-1993 (WHO/PCS/92.14).
    Available from the International Programme on Chemical Safety, World
    Health Organization, Geneva, Switzerland.

    Yamazaki, Y. (1992). Health report from the Industrial Hygiene
    Section, Ohmuta Factory - Mitsui Toatsu Chemicals, Inc., dated 17
    April 1992. Submitted to WHO by Mitsui Toatsu Chemicals, Inc.,
    Tokyo, Japan.


    See Also:
       Toxicological Abbreviations