IPCS INCHEM Home

    THIRAM

    First draft prepared by J.-J. Larsen
    National Food Agency, Ministry of Health
    Soborg, Denmark

    EXPLANATION

         Thiram, a dimethyl dithiocarbamate fungicide, was evaluated by
    the Joint Meeting several times between 1963 and 1987 (Annex 1,
    references 2, 4, 8, 14, 22, 28, 34, 44 and 50). A temporary ADI of
    0-0.005 mg/kg bw, allocated in 1974, was extended in 1977 and 1980.
    The temporary ADI was withdrawn in 1985 because of the inadequancy
    of the total data base. The studies available to the 1987 Joint
    Meeting were not adequate for estimating an ADI. A complete data
    base on thiram has been generated since the previous evaluation, and
    was evaluated at the present Meeting.

    EVALUATION FOR ACCEPTABLE DAILY INTAKE

    BIOLOGICAL DATA

    Biochemical aspects

    Absorption, distribution, and excretion

         A single oral dose of 14C-thiram was administered to male and
    female Charles River CD random bred, VAF Plus (SPF) rats to
    determine its absorption, excretion and final distribution.
    Unlabelled thiram (purity 98.5%) and 14C-thiram (radiochemical
    purity 100%) dissolved in PEG-400 solution was administered by
    gavage at 125 mg/kg bw (dosage volume 4.95 ml/kg, concentration
    25.24 mg/ml, specific activity 1.748 x 107 dpm/ml (± 0.006 x 107
    SD)), to 5 rats/sex and at 1.9 mg/kg bw (dosage volume 4.75 ml/kg,
    concentration 0.4 mg/ml, specific activity 1.721 x 107 dpm/ml (±
    0.003 x 107 SD)), to 5 rats/sex (weight range 180-250 g). PEG-400
    solution was administered to one rat/sex as controls. Urine and
    faeces were collected for 7 days. The rats were then necropsied and
    tissues were collected. Homogenates (20%) were prepared from the
    tissues and faecal material and were oxidized. Radioactivity was
    determined by liquid scintillation counting.

         Only 32% of the administered dose was recovered, mainly from
    the urine (25%). About 3% was recovered from the various organs.
    Blood, bone and liver contained significant quantities of the test
    material or its metabolites. Only 3% of the administered dose was
    recovered in the faeces. Dose level or sex did not affect total
    recovery. Approximately 70% of the administered thiram, not
    recovered, may have been metabolized to CO2 or other volatiles in
    the expired air or by bacterial action in the faeces or urine during
    the intervals between collections (Gay, 1987).

         Following 14 days pretreatment to 5 Taconic farm Sprague-Dawley
    rats/sex (males 6-9 weeks old, 227-250 g; females 9-10 weeks old,
    197-220 g) at a dose level of 2 mg thiram/kg bw/day, a single dose
    of 14C-thiram/kg bw (radiochemical purity > 98%, specific
    activity 15.5 mCi/mmol) was administered. Doses were administered as
    a suspension in PEG-400 (5 ml/kg bw). The stability of labelled and
    unlabelled thiram was satisfactory. The percentages of 14C-thiram-
    derived radioactivity were determined in urine, faeces and expired
    air at intervals up to 96 hr, and the concentrations and percentages
    were determined in tissues at 96 h following dosing.

         14C-Thiram was well absorbed by both sexes (>83% of the
    dose) following oral administration. Radioactivity was excreted in
    the urine (35-40% of the dose within 96 h), faeces (2-5%), and
    expired air (41-48%). Excretion was more extensive and rapid in
    urine and expired air within the first 12 h post-dosing, while the
    majority of the faecal radioactivity was excreted after 24 h. The

    majority of the dose (at least 83.7 and 89.6% for male and female
    rats, respectively) was eliminated from the body within four days
    post-dosing. Sex did not affect the extent or rate of excretion of
    orally administered 14C-thiram. Trace levels of radioactivity were
    detected in all tissues analyzed at 96 h after dosing. In general,
    the highest concentrations were in liver, blood cells and kidneys,
    and the lowest were in brain, plasma, and skeletal muscle. About 2-
    3% of the dose remained in tissues after four days. The total
    recovery of radioactivity averaged about 85 and 93% for males and
    females, respectively (Nomeir & Markham, 1990).

         The bioavailability of radioactivity from a single feeding with
    a diet containing 30 ppm equal to 1.5 mg 14C-thiram/kg bw (mixture
    of labelled (purity 92.4%) and non-labelled substance (purity
    97.5%)) was evaluated in five male Charles River Crl:CDRBR albino
    rats (body-weight 246-270 g). The specific activity of 14C-thiram
    was 15 mCi/mmol. The stability of the test materials was
    satisfactory. Test rats, conditioned to consume an entire day's feed
    during the last hour of their dark cycle, were fed once with 14C-
    thiram-containing diet and then placed in metabolism cages.
    Radioactivity in the urine, faeces and expired air (carbon dioxide
    and carbon disulphide) over the next 72 h and the residues in the
    carcass and gastrointestinal tract at 72 hours were determined. The
    expired gases contained 41% of the administered radioactivity, urine
    contained 38% and carcass contained 6%. The faeces and
    gastrointestinal tract accounted for 20% of the dose. The total
    recovery of radioactivity averaged 105%.

         It was demonstrated that 85% of the radioactivity equivalents
    was absorbed into the systemic circulation of the rat. Assumptions
    were made that there was no elimination of absorbed radioactivity
    into the gastrointestinal tract and that all of the radioactivity in
    the expired gases, urine, and carcass represented absorbed thiram
    (Hiles, 1989).

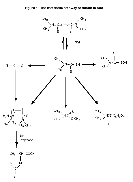
    Biotransformation

         The metabolic pathway of thiram in rats is shown in Figure 1.

         Male Sprague-Dawley rats (160-200 g from Southern Animal Farms)
    were injected i.p. with 15, 30 or 60 mg thiram (purity 99%)/kg bw
    (solvent corn oil). Following injection rats were placed
    individually in a 4-litre all-glass metabolic cage. The expired air
    was drawn, over a period of 5 h, through traps containing 1N NaOH (1
    trap), then through ethanol-diethylamine-triethanolamine-cupric
    acetate reagent (2 traps). The amount of carbon disulphide dissolved
    in the reagent in the traps was determined colorimetrically using a
    spectrophotometer. In a similar experiment, 60 mg thiram/kg bw was
    given to rats previously treated intraperitoneally with 40 mg SKF
    525-A/kg bw (1 dose 30 min earlier) or with 5 daily doses of 50 mg
    phenobarbital/kg bw. In subsequent experiments, rats were treated

    i.p. with 60 mg thiram/kg bw and sacrificed at 5 and 24 hour
    intervals. Activities of hepatic microsomal and serum enzymes were
    measured. The extent of thiram-induced liver injury was assessed by
    ASAT and SDH activity.

         A dose-dependent excretion of carbon disulphide (completed
    within 5 h was demonstrated in the expired air (2.6, 26, and 120
    nmol at doses of 15, 30, and 60 mg/kg bw, respectively). Expiration
    of carbon disulphide, was increased by phenobarbital pre-treatment
    and decreased by SKF 525-A pre-treatment. Activities of hepatic
    microsomal and serum enzymes indicated that thiram caused a
    significant loss of cytochrome P-450 and benzphetamine N-demethylase
    activity and significant elevation of SDH and ASAT activity. It was
    concluded that carbon disulphide is an in vivo metabolite of thiram
    and may be responsible for the observed hepatotoxicity (Dalvi &
    Deoras, 1986).

         The volatile 14C-residues in the expired air were determined
    in Charles River Sprague-Dawley rats (age 7 weeks). Following 10
    days acclimatization, three rats received an oral dose of 2.1-2.5 mg
    14C-thiram/kg bw (purity 98%, specific activity 20.7 mCi/mmol).
    Each rat was then placed in a sealed glass metabolism cage for 96
    hours. The exit gases from the metabolism cage were passed through a
    scrubbing tower containing Harvey Carbon-14 Cocktail (efficient at
    trapping CO2, CS2, and COS), then through a solution of
    diethylamine/ethanol and finally through a solution of Viles CS2
    reagent. Air flow through the metabolism cage was 3.5-4.0 l/min.
    Urine was also collected and radioassayed.

         An average of 61% of the radioactive dose was recovered as
    volatiles. More than 99.5% of the volatiles was recovered in the
    Harvey Carbon-14 Cocktail. Labelled residues in urine accounted for
    25-43% of the radioactive dose. The total radioactivity recovered in
    the volatiles and the urine for the three rats averaged 94% of the
    dose. Results indicate that thiram is largely metabolised into
    volatiles such as CO2, CS2, and COS. The study does not allow a
    characterization or quantification of the three metabolites (Norris,
    1989).

         The identification of thiram metabolites in urine was
    determined in 2 Charles River Crl:CDR(SD)BR rats/sex. The rats
    (approximately 5 weeks old) were fed diets containing 50 ppm
    unlabelled thiram for nine weeks followed by a single oral dose of
    14C-thiram (purity 99%, specific activity 15.5 mCi/mmol). Samples
    of urine were collected over the first 24 h after treatment
    termination and analyzed by HPLC.

    FIGURE 1

         Approximately 60% of the administered radioactivity was
    recovered as expired CS2 and 30% was found in the urine. Thiram
    was rapidly degraded to more polar products. Virtually no unchanged
    thiram was detected in the urine. Five urinary metabolites were
    detected by HPLC and were identified by mass spectrometry. The
    identified metabolites were an alanine derivative of CS2 (10%); a
    glucuronide conjugate of dimethyldithiocarbamate (DDC) (20%); a
    thiosulfenic acid (34%); the methyl ester of DDC (6%); and an
    alanine conjugate (30%). The presence of these polar conjugates
    demonstrates that the metabolic pathway involved a reduction of the
    disulphide bond and subsequent reactions of the thiol moiety to form
    oxidative and conjugative polar products (McManus, 1991).

    Toxicological studies

    Acute toxicity studies

    Table 1.  Acute toxicity of thiram
                                                                    
    Species  Sex  Route       LD50        LC50     References
                              (mg/kg bw)  (mg/m3)
                                                                    

    Mouse    M    oral        4000                 Matthiask, 1973

    Mouse    F    oral        2300-3800            Lee  et al., 1975;
                                                   1978

    Rat      M    oral        3700-4000            Thouin, 1985a;
                                                   Lee  et al., 1975;
                                                   1978

    Rat      F    oral        1800-1900            Thouin, 1985a;
                                                   Lee  et al., 1975;
                                                   1978

    Rat      M&F  inhalation              > 100    Debets, 1985

    Rabbit   M&F  dermal      > 2000               Thouin, 1985b
                                                                    

    Short-term toxicity studies

    Mice

         Ten Charles River albino mice (Crl:CD-1R(ICR)BR)/sex/group
    (males 24.3-24.8 g, females 19.0-19.3 g) received in the diet 0,
    300, 600, or 1200 ppm thiram (purity 97.5%) for 4 weeks equal to 0,
    54, 108 or 201 mg/kg bw/day in males and 62, 118 or 241 mg/kg bw/day
    in females. Stability and homogeneity of the test substance was

    satisfactory. The animals were observed daily for mortality, signs
    of toxicity and food consumption. Body-weights were recorded weekly.
    Haematology and clinical chemistry tests were performed at sacrifice
    on days 29 or 30. Gross and histopathological examinations of the
    animals were carried out.

         Body-weights were significantly and dose-dependently reduced in
    males at all dose levels. Food consumption was significantly lower
    for both sexes at all dose levels when compared with controls.
    Statistically significant differences in clinical chemistry and
    haematological parameters included reduced erythrocyte counts,
    haemoglobin, and haematocrit for males at all dose levels; increased
    platelet counts for females at 600 and 1200 ppm; reduced serum
    glucose for females at 1200 ppm. Statistically significant and dose-
    dependent increased organ-to-body-weight ratios of the brain,
    kidneys and liver in males probably resulted from statistically
    significant and dose-dependent reduced terminal body-weights. A
    NOAEL could not be determined because of the 28-48% reduction in
    food intake at 300 ppm (Kehoe, 1989b).

    Rats

         In a 13-week study, 10 Charles River rats
    (Crl:CDR(SD)BR)/sex/group (males 138 ±6 g and females 125 ±4 g)
    received dietary concentrations of 0, 50, 500, or 1000 ppm thiram
    (purity 99.4%) equivalent to 0, 2.5, 25 or 50 mg/kg bw/day. Mean
    stability assay results for diets stored frozen for 14 and 35 days
    ranged from 81-99%. Diets analyzed after being in the animals room
    for 7 days were 17, 80, and 88%, respectively, of the nominal
    levels. Mean values for homogeneity assay results were 80, 97, and
    98%, respectively, of the nominal levels of 50, 500, and 1000 ppm.
    The mean±SD of determined concentration of thiram was 40 ± 1, 483 ±
    8, and 976 ± 15 ppm. The animals were observed daily for mortality
    and signs of toxicity. Body-weights and food consumptions were
    recorded weekly and haematology and clinical chemistry were
    determined at study termination. Ophthalmic observations were done
    before and at termination of study. Gross and histopathological
    examinations from the control and 1000 ppm group and of macroscopic
    lesions, lungs, liver, and kidneys from all 50 ppm and all 500 ppm
    animals was carried out at study termination.

         Body weights, cumulative body-weight gains, and food
    consumption were significantly reduced throughout the study for both
    sexes at 500 and 1000 ppm. Changes in clinical chemistry and
    haematological parameters occurred at dose levels of 500 and 1000
    ppm. The changes considered to be treatment-related were reduced
    erythrocyte counts, haemoglobin and haematocrit in females;
    increased MCV and MCH in both sexes; increased white blood cell,
    corrected white blood cell, absolute neutrophil, absolute lymphocyte
    and absolute monocyte counts in females; reduced total protein and

    glucose in both sexes; reduced albumin and increased urea nitrogen
    and chloride in females.

         At 500 and 1000 ppm animals a tendency to reduced terminal
    body-weights with correspondingly reduced absolute organ weights and
    increased organ to body-weight ratios were observed.
    Macroscopically, the non-glandular stomach in some animals showed
    areas of erosion and the mesenteric lymph nodes were diffusely red
    or mottled. Microscopically, the mucosa of the nonglandular stomach
    had focal areas of erosion/ulceration, mucosal hyperplasia, or both,
    accompanied by some submucosal inflammation and edema. These changes
    appeared to be treatment-related. The mesenteric lymph nodes were
    frequently congested but otherwise normal. The NOAEL in this study
    was 50 ppm, equivalent to 2.5 mg/kg bw/day (Kehoe, 1988b).

    Dogs

         Two acclimated beagle dogs (5 months of age and weighing 5.6 to
    8.5 kg/sex/group) were fed dietary concentrations of 0, 125, 500, or
    2000 ppm thiram (purity 99.4%), equivalent to 0, 3, 13 or 50 mg/kg
    bw/day for 4 weeks. All animals were observed daily for toxic signs
    and mortality. Body-weight and food consumption was recorded weekly.
    Clinical chemistry, gross and histopathological examinations were
    performed on all animals. Homogeneity assays indicated from 94-96%
    (mean values) of the nominal values. There were no data on
    stability, but thiram was stored under similar conditions to that in
    other studies where stability was satisfactory.

         One 2000 ppm one female died during week 2 and one male became
    moribund and was sacrificed during week 4. Therefore, the high-dose
    of 2000 ppm was reduced to 1500 ppm during weeks 3 and 4. The
    observations in the female were primarily colon changes associated
    with the acute death and subsequent post-mortem change. The male had
    only a few incidental macroscopic and microscopic findings and,
    therefore, its death was not considered compound-related. At week 4,
    body-weights for both sexes at 500 ppm were approximately 15% lower
    and at 2000/1500 ppm, 33 and 39% lower than controls respectively.
    Food consumption during week 4 for 125, 500, and 2000/1500 ppm males
    were 12%, 29%, and 92% lower than controls respectively, and for
    females 13%, 49%, and 78% lower. Treatment-related changes in
    clinical chemistry and haematological parameters comprised reduced
    erythrocyte counts, haemoglobin and haematocrit in males given 500
    or 2000/1500 ppm. One male given 2000/1500 ppm had increased ALAT,
    ASAT and ALP. Slightly reduced absolute lymphocyte counts and
    slightly higher platelet counts, total bilirubin and urea nitrogen
    occurred in some male and female dogs given 500 or 2000 ppm. The
    surviving 2000/1500 ppm dogs sacrificed at week 4 had notably
    reduced terminal body-weights and correspondingly reduced absolute
    organ weights. The liver of the males had hepatocellular
    degeneration with sinusoidal cell proliferation and pigmentation.
    There were no major macroscopic or microscopic findings in the

    remaining dogs. The NOAEL for the study was determined to be 125
    ppm, equivalent to 3 mg/kg bw/day, based on the lower body-weights
    and changes in clinical chemistry parameters (Kehoe 1988a).

         In a 13-week study on 5 month old beagle dogs, four beagle
    dogs/sex/group were fed dietary concentrations of 0, 75, 250, or 500
    ppm thiram (purity 97.5%), equal to 0, 2.2, 6.9 or 12 mg/kg bw/day
    in males and 0, 2.3, 7.3 or 13 mg/kg bw/day in females. The mean (±
    SD) body-weight at study initiation was 7.4±0.6, 7.3±1.1, 7.4±0.5,
    and 7.3±0.6 kg for males receiving 0, 75, 250, and 500 ppm. and were
    6.8 ± 0.9, 7.1 ± 1.4, 6.3 ± 0.5, and 6.7±0.5 kg for females. All
    animals were observed daily for clinical signs, moribundity and
    mortality. Body-weight and food consumption was recorded weekly.
    Ophthalmic examinations were performed prior to and at the end of
    the study. Clinical chemistry measurements, haematological
    examinations and gross and histopathology examinations were done on
    all animals. Homogeneity of diets was within ± 8% of nominal values.
    Mean stability assays of diets frozen for 7 days, stored in the
    animal room for 1 day and then frozen for 4 weeks, were within ± 5%
    of nominal levels.

         Body weights for the 500 ppm dogs were significantly reduced.
    Food consumption was significantly reduced in 500 ppm males and in
    250 and 500 ppm females. Treatment-related effects for clinical
    chemistry and haematological parameters were reduced erythrocyte
    counts, higher MCV and MCH in 75, 250, and 500 ppm dogs; reduced
    haemoglobin and haematocrit in 500 ppm females; higher platelet
    counts in 250 and 500 ppm males; lower total protein and albumin in
    75, 250, and 500 ppm males and females; and higher cholesterol in
    250 and 500 ppm males and females. The NOAEL for this study was 75
    ppm equal to 2.2 and 2.3 mg/kg bw/day in males and females
    respectively, based on haematological changes noted in both sexes
    (Kehoe, 1989a).

         Six 4 to 5 month old beagle dogs/sex/group (initial weight 4.0
    to 6.8 kg) were fed dietary concentrations of 0, 30, 90, or 250 ppm
    thiram (purity 97.5%), equal to 0, 0.84, 2.6, and 7.4 mg/kg bw/day
    in males and 0, 0.90, 2.5, and 7.2 mg/kg bw/day in females for 52
    weeks. All animals were observed daily for clinical signs and
    mortality. Body weights and food consumption were recorded weekly
    for weeks 1 through 16, and monthly thereafter. Ophthalmic
    examinations were performed prior to and at the end of the study.
    Haematology, clinical chemistry, gross and histopathology were
    performed on all animals. Mean values for homogeneity assays were
    83, 92, and 92% of the nominal levels of 30, 90, and 250 ppm,
    respectively. Mean stability assay results for diets kept below 0 °C
    for 7 days and stored in the animal room for one day were 84%, 92%
    and 96% of the nominal levels of 30, 90, and 250 ppm, respectively.

         No ophthalmic lesions were observed in any animals. Erythrocyte
    counts were reduced in males given 250 ppm, total protein was lower

    and cholesterol was higher in males given 90 or 250 ppm and in
    females given 250 ppm. Albumin was reduced in both sexes given 250
    ppm. Absolute liver weights in males given 90 or 250 ppm were
    significantly increased. Liver-to-body-weight ratios in males given
    30, 90, or 250 ppm and in females given 250 ppm were also
    significantly increased, as were liver-to-brain weight ratios in
    males given 250 ppm. The significant increase in liver-to-body-
    weight ratios in males given 30 ppm was due to a slight increase in
    absolute liver weight and a slight decrease in body weight.
    Furthermore, the observation that the body weights of males given 90
    ppm were increased in relation to those of the controls and those of
    males given 30 ppm demonstrates, that the slight decrease in body
    weights seen in the 30 ppm group was spurious. Thus, the increase in
    liver-to-body-weight ratio seen in males given 30 ppm was not
    considered a test material-related effect. The changes in liver
    weights, in conjunction with the altered total protein, albumin, and
    cholesterol levels suggest a test material-related effect on liver
    function and size. These changes were probably adaptive responses to
    the presence of this compound. Based on increased absolute liver
    weights and altered clinical chemistry parameters in males given 90
    or 250 ppm, and altered clinical chemistry parameters in females at
    250 ppm, the NOAEL for male dogs was 30 ppm, equal to 0.84 mg/kg
    bw/day, and the NOAEL for female dogs was 90 ppm equal to 2.5 mg/kg
    bw/day (Kehoe 1991a).

         Four groups of 4 beagle dogs/sex/dose were treated orally via
    gelatin capsule with thiram (purity 98.7%) at doses of 0 (blank
    capsule), 0.4, 4, or 40 mg/kg bw/day for 104 weeks. Body weights and
    food intake were measured weekly. Water consumption, haematology,
    ophthalmoscopy, clinical chemistry and gross and histopathology of
    all organs were performed.

         Both sexes at 40 mg/kg bw/day showed severe toxic signs
    including nausea, vomiting, salivation, and clonic convulsion and
    severe anaemia within the first 11 weeks of treatment and were all
    subjected to unscheduled necropsy before the 29th week of treatment.
    The dogs also showed ophthalmological changes such as fundal
    haemorrhage, miosis, and desquamation of the retina which were
    consistent with retinal lesions observed histopathologically. In the
    4 mg/kg bw/day group, nausea, vomiting and salivation were common
    findings in both sexes and one female showed clonic convulsion from
    week 37. Parameters including haematocrit, haemoglobin, and
    erythrocyte count were depressed from week 4 in both sexes treated
    with 4 or 40 mg/kg bw/day, indicating anaemia. Changes in
    biochemical parameters indicating liver failure were observed from
    week 4 in the 40 mg/kg bw/day males and later in both sexes dosed
    with 4 or 40 mg/kg bw/day. Kidney damage was detected in the
    histopathological examination in two female dogs in each of the 4
    and 40 mg/kg bw/day groups. Histological lesions in the central or
    peripheral nervous system relating to the observed neurological
    disturbances were not found. It was concluded that no sex difference

    in response to treatment was demonstrated. Based on the neurological
    disturbances, anaemia and the effects on the liver, the NOAEL was
    0.4 mg/kg bw/day (Maita  et al., 1991).

    Long-term toxicity/carcinogenicity studies

    Mice

         Four groups of 50 acclimated (24 days) Charles River Crl:CD-
    1R(ICR)BR mice/sex/dose level (approximately 7 weeks of age) were
    fed thiram (97.5% purity) at dietary concentrations of 0, 15, 150,
    or 300 ppm (males), equal to 3, 24 or 50 mg/kg bw/day and 0, 15,
    300, or 600 ppm (females), equal to 3, 57 or 112 mg/kg bw/day for 97
    weeks, when the most sensitive group showed 50% mortality.
    Homogeneity assays indicated from 75-84%, 95-100%, 94-103%, and 101-
    103% of the nominal levels at 15, 150, 300, and 600 ppm,
    respectively. Mean stability assay results for diets frozen for 6
    days and stored in the animal room for one day were 55, 90, 90, and
    97% of the nominal levels at 15, 150, 300, and 600 ppm,
    respectively, demonstrating stability of varying acceptability.
    Survival, clinical signs, body weights, food consumption, feed
    efficiency, haematological parameters, necropsy, absolute and
    relative organ weight and histopathological examination were
    studied.

         No substance-related oncogenic effects or adverse effects on
    survival were observed in any test group. No changes attributable to
    treatment were seen in any of the parameters evaluated in the 15 ppm
    groups. There was no clinical indication of neurotoxicity at any
    dose level. Mean body weight, weight gain, and total food
    consumption were statistically significantly decreased in a dose-
    dependent manner in the mid- and high-level groups beginning at
    weeks 4-5. At study termination, mean weights were 7%, 15%, 14%, and
    19% below control and mean total food consumption was 6%, 10%, 12%,
    and 17% below control for the 150 ppm males, 300 ppm males, 300 ppm
    females, and 600 ppm females, respectively. Increased frequency of
    sores or reddened areas on the skin, generally on the ears,
    consistent with bacterial dermatitis was noted for the 300 ppm males
    and 600 ppm females. Mild but significant decreases in mean
    erythrocyte count, haemoglobin, and haematocrit values were seen for
    the 600 ppm females at week 97. Histopathology showed no evidence of
    thiram-induced neoplasia. Non-neoplastic findings in the mid- and
    high-level male and female mice consisted of retinal atrophy,
    intracytoplasmic protein-like droplets in the urinary bladder
    superficial transitional epithelium, and necrosis and suppurative
    inflammation in the skin of the 150 and 300 ppm males and 300 and
    600 ppm females; hyperkeratosis in the nonglandular stomach of the
    300 ppm males and 300 and 600 ppm females; and increased pigment in
    the spleen and decreased pigment in the inner adrenal cortex of the
    300 and 600 ppm females.

         No oncogenic effect was observed in doses up to 300 ppm, equal
    to 50 mg/kg bw/day in males and 600 ppm, equal to 112 mg/kg bw/day
    in females. Based on the body-weight reduction, the NOAEL for long-
    term toxicity was 15 ppm, equal to 3 mg/kg bw/day (Trutter, 1992).

    Rats

         Four groups of 64 Jcl:Wistar rats were fed dietary
    concentrations of 0, 3, 30, or 300 ppm thiram (purity 98.7%), equal
    to 0, 0.1, 1.2 or 12 mg/kg bw/day for males and 0, 0.1, 1.4 or 14
    mg/kg bw/day for females, for 104 weeks. Body weights, food intake,
    and water intake were measured weekly up to week 52 and monthly
    thereafter. Haematology, clinical chemistry, ophthalmoscopy and
    gross and histopathology were performed on all rats. Test diets were
    prepared twice weekly during the study. Data on homogeneity were not
    available, but diets were stable up to 1 week.

         Mortality of females in the 30 and 300 ppm groups was slightly
    increased compared to controls during the last 8 weeks of treatment,
    apparently correlated to an incidental higher occurrence of
    pituitary tumours during this period. Overall incidence of pituitary
    tumours in females was comparable to that in the control group.
    Decreased body-weight gain and reduced food intake were observed in
    both sexes at 300 ppm. Anaemia and regressive changes in the sciatic
    nerve accompanied by atrophy of the calf muscle ( M. triceps surae)
    were seen in the 300 ppm females. During the last 8 weeks of the
    treatment period, the incidence of pituitary adenomas was increased
    in females of the 30 and 300 ppm groups compared to that in
    controls. Because of the small number of animals, statistical
    analysis was not carried out. Statistical analysis of pituitary
    tumour incidence in all animals at the end of the experiment showed
    no significant differences. No evidence of carcinogenic potential
    was observed. Based on mortality, anaemia, nerve degeneration and
    muscle atrophy a NOAEL of 30 ppm, equal to 1.2 and 1.4 mg/kg bw/day
    was determined in males and females, respectively (Miata  et al.,
    1991).

         Four groups of sixty 36-day old Charles River Crl:CDR(SD)BR
    rats/sex/group (initial weights 125-161 g for males and 115-193 g
    for females) were fed dietary concentrations of 0, 30, 150, or 300
    ppm thiram (purity 97.5%), equal to 0, 1.5, 7.3 or 15 mg/kg bw/day
    in males and 0, 1.8, 8.9 or 19 mg/kg bw/day in females, for 104
    weeks. Mean values for stability assays of diets kept below 0 °C for
    6 days, animal room for one day, then below 0°C for 30 days were
    15.5 ppm (52%), 123 ppm (82%), and 260 ppm (87%) for nominal
    contents of 30, 150, and 300 ppm, respectively. The values for
    homogeneity assay results ranged from 21.8-24.2 (73-81%), 128-138
    (85-92%), and 255-276 ppm (85-92%) for nominal contents of 30, 150,
    and 300 ppm, respectively. Cumulative means for the routine diet
    analysis for dose confirmation were 16.3 (54%), 119(79%), and 262
    ppm (87%) and the assay results ranged from 4.41-27.5 ppm, 81.8-151

    ppm, and 179-320 ppm of the nominal dose levels of 30, 150, and 300
    ppm, respectively, through 104 weeks. Data from a parallel study
    with 14C-thiram stored under similar conditions (Hiles, 1989)
    showed, that animals on a diet containing 30 ppm could be expected
    to receive a systemic exposure to thiram and/or thiram-derived
    materials approximately equal to the amount added to the diet, even
    though the expected level could not be verified analytically.
    Therefore, these data were considered to demonstrate that the
    anticipated levels of thiram were achieved in the test diets. The
    animals were observed daily for clinical signs and mortality. Body-
    weight and food consumption were recorded weekly and haematology,
    clinical chemistry, and urine analysis parameters were evaluated
    during the study and at study termination. Ophthalmic observations
    were done before and at termination of the study and gross and
    histopathology examinations were carried out at study termination.

         Clinical signs possibly test material-related for males
    included swollen nose, soft faeces and opaque eyes. Soft faeces were
    possibly test material-related at 150 and 300 ppm for the females.
    Body-weight and cumulative body-weight gains in both sexes were
    statistically significantly lower than those of the controls at 150
    and 300 ppm. Food consumption was statistically significantly lower
    than that in the controls for both sexes given 30, 150, or 300 ppm.
    Reduced erythrocyte counts, haemoglobin, haematocrit and higher mean
    corpuscular volume and mean corpuscular haemoglobin were observed in
    females given 150 or 300 ppm. Statistically significant positive
    trend analyses for hepatocellular adenomas (both sexes) and thyroid
    C-cell adenomas (terminal sacrifice males and terminal plus
    unscheduled sacrificed females) were reported but individual group
    comparisons with controls were statistically insignificant. There
    was no increase in the incidence of thyroid C-cell carcinomas.
    Extramedullary haematopoiesis in the liver appeared to be increased
    in males at 150 or 300 ppm and in females at 300 ppm. The biological
    significance of this finding is unclear. Steatosis/fatty
    infiltration of the pancreas (not uncommon in old SD rats) appeared
    to be increased for males and females given 150 or 300 ppm. Also in
    the pancreas, multifocal acinar atrophy was more common for males
    given 150 or 300 ppm. The incidence of bile duct hyperplasia showed
    a statistically significant positive trend in females, but was
    statistically significantly increased only at 300 ppm. There were no
    histopathological findings recorded that suggested test material-
    related neurotoxicity.

         Based on statistically significant decreases in body weights
    and cumulative body-weight gains for males and females given 150 or
    300 ppm, effects on haematological parameters in females given 150
    or 300 ppm, and histopathological changes in males and females given
    150 or 300 ppm, the NOAEL was 30 ppm, equal to 1.5 and 1.8 mg/kg
    bw/day in males and females, respectively. Thiram was not found to
    be carcinogenic at doses up to 15 and 19 mg/kg bw/day in males and
    females, respectively (Kehoe, 1991b).

         Three groups of 50 five-week old Charles River SPF F344 rats,
    initial mean body-weight of about 200 g for males and about 150 g
    for females, were fed dietary concentrations of 0, 500 or 1000 ppm,
    equal to 0, 18 or 39 mg/kg bw/day in males and 0, 20 or 42 mg/kg
    bw/day in females for 104 weeks. Body weights and food consumption
    were measured at regular intervals and haematology and clinical
    chemistry were evaluated during the study and at study termination.
    Gross and histopathology were performed. Homogeneity data and
    stability data were not given.

         Reduced body-weight gain and food consumption were seen at 500
    and 1000 ppm in both sexes but especially in females of the high-
    dose group. In males reduced liver function was observed.
    Mononuclear cell leukaemia was found with an incidence of 20%, 8%,
    and 4% in males and 29%, 12%, and 4% in females for 0, 500, and 1000
    ppm animals, respectively. No tumour induction related to the
    treatment was observed. It was concluded that thiram had no
    carcinogenic effect at doses up to 39 and 42 mg/kg bw/day in males
    and females, respectively (Hasegawa  et al., 1988).

    Reproduction studies

         In a two-generation reproduction study, thiram (purity 97.6%)
    was administered to Charles River Crl:CD VAF/Plus rats in dietary
    concentrations of 0, 30, 60 or 180 ppm equal to 0, 1.5, 2.9 or 8.9
    mg/kg bw/day in the F0 males and 0, 2.3, 4.6 or 14 mg/kg bw/day in
    F0 females, and 0, 1.8, 3.8 or 11 mg/kg bw/day in the F1 males
    and 0, 2.4, 5.1 or 16 mg/kg bw/day in the F1 females. Homogeneity
    of thiram was satisfactory in the mixed diets. The test compound was
    stable kept frozen for 7 days and reasonably stable (losses of 18%,
    16%, and 9% in the 30, 60, and 180 ppm diet, respectively) kept at
    room temperature for 12 hours. The mean ± SD percent of target ppm
    found in all analyzed and administered 30, 60, and 180 ppm diets was
    93 ± 6.3, 94 ± 6.6, and 98 ± 5.2%, respectively.The F0 and F1
    parental generation consisted of 26 males and 26 females per group.
    F0 animals were treated beginning at 63 days of age for 81 days
    prior to the initial mating (F1a). A second litter (F1b) was
    produced after a rest period of 16 days following weaning of the
    F1a litter. Since conception rates were poor across all groups,
    including the controls, in the F1b litter, an F1c litter was
    also produced. The F1 parents were selected from the F1c
    litters. These animals were treated beginning at 22 days of age for
    a minimum of 84 days prior to their initial (F2a) mating. The F1
    parents were mated twice to produce theF2a and F2b litters. All
    parental animals, and pups were observed daily for mortality and
    overt toxicity. Detailed clinical observations were recorded at
    least once a week. Reproductive and litter parameters assessed
    included male and female fertility indices, events at parturition,
    gestation length, litter size, numbers of viable and stillborn pups,
    and offspring survival and growth during lactation. All parental
    animals, and all F1c weanlings not selected to remain on study and

    all F2b weanlings were subjected to a gross necropsy. The F1a,
    F1b, and the F2a offspring were euthanized and discarded
    following weaning.

         Mean maternal body weights and mean food consumption of the
    F0 females were reduced at 60 and 180 ppm during the F1a
    gestation period. Reductions in mean maternal body-weight and/or
    food consumption were also observed at 180 ppm during the F1b and
    F1c gestation periods and the F1a, F1b, and F1c lactation
    periods. Similar reductions were observed for the F1 females at
    180 ppm during the F2a and F2b gestation and lactation periods.
    Reductions in mean weekly food consumption of the F0 males and
    females were observed at 60 and 180 ppm. Mean offspring body weights
    were consistently reduced to a significant degree in all litters
    across both generations at the 180 ppm level. Apart from a
    consistent statistically significant reduction in body weights in
    the top dosed offspring during the F1b and F1c gestation periods
    and the F1a, F1b, and F1c lactation periods, no substance-
    related changes were found in the reproductive parameters or in the
    parameters for post-natal development.

         Based on the findings of parenteral systemic toxicity, the
    NOAEL was 30 ppm, equal to 1.5 and 2.3 mg/kg bw/day in males and
    females, respectively. With respect to filial systemic toxicity, the
    NOAEL was 60 ppm, equal to 3.8 and 5.1 mg/kg bw/day in males and
    females, respectively. With respect to reproduction and post-natal
    development, the NOAEL was greater than 180 ppm equal to 8.9 and 14
    mg/kg bw/day in males and females, respectively (York, 1991).

    Special studies on genotoxicity

         Data are shown in Table 2.

    Special studies on teratogenicity

         In a preliminary oral teratology study, groups of 6 Charles
    River CD strain (Sprague-Dawley origin) rats (196-229 g) were
    administered dose levels of 0, 5, 10, 20, 40, or 80 mg/kg bw/day
    (volume-dosage 10 ml/kg bw) by gavage from day 6 through day 15 of
    gestation. Control rats received the vehicle, 0.5% (W/V) CMC and
    0.5% (W/V) Tween 80 in distilled water. Homogeneity and stability of
    thiram in the suspensions were satisfactory (mean concentrations ±
    SD of the 0.5, 1.0, 2.0, 4.0, 8.0, and 16 mg/ml thiram suspensions
    were 0.5 ± 0.004, 0.97 ± 0.003, 1.96 ± 0.05, 3.94 ± 0.12, and 8.06 ±
    0.25, and 16.6 ± 0.2 mg/ml, respectively). All females were killed
    on day 20 of gestation for examination of uterine contents.


    
    Table 2.  Results of genotoxicity assays on thiram
                                                                                                            
                                         Concentration
    Test system         Test object      of thiram                 Purity    Results    Reference
                                                                                                             

    In vitro

    Ames test           S. typhimurium                             98.7%                Poth (1990)
    (±S9)               TA 1535}                                             +(±S9)
                        TA 100}          1-100 µg/plate (-S9)                +(±S9)
                        TA 1537}         1-1000 µg/plate (+S9)               -(±S9)
                        TA 1538}                                             -(±S9)

                        TA 98            {10-1000 µg/plate (-S9)             -(±S9)
                                         {1-1000 µg/plate (+S9)

    Gene mutation       V79 Chinese      1-10 µg/ml (-S9)          100%      -(±S9)     Debets & Enninga
    (±S9)               hamster          10-56 µg/ml (+S9)                              (1986)
                        cells (HPRT-
                        locus)

    Chromosome          Chinese          0.003-0.023 µg/ml (-S9)   99.8%     -(±S9)     Putman (1987a)
    aberrations         hamster          0.2-1.5 µg/ml (+S9)
    (±S9)               ovary cells
                                                                             -

    DNA repair          Primary rat      0.03-10 µg/ml             100%      -          Weterings (1985)
    (test)              hepatocytes

    SCE induction       human            5-25 µg/ml                98.6%     +          Perocco  et al. (1989)
    (with and without   lymphocytes
    S-9 mix)

    Table 2 (cont'd)
                                                                                                            
                                         Concentration
    Test system         Test object      of thiram                 Purity    Results    Reference
                                                                                                             

    In vivo

    Mouse spot test     mouse (NMRI)     75, 750 mg/kg             98.7%     -          Völkner (1991)
                                         bw per os

    Micronucleus test   mouse (CD-1)     38-377 mg/kg              99.8%     -          Putman (1987b)
                                         bw (i.p.)

    Germ cell           mouse (NMRI)     75-750 mg/kg              99.7%     -          Völkner (1990)
    cytogenetic assay                    bw per os

    Germ cell           mouse (Swiss     total doses               n.g.      (+)        Prasad  et al. (1987)
    cytogenic assay     albino)          80-320 mg/kg
                                         (gavage)
                                                                                                            

    n.g.: not given


    
         A dose-related loss of body weight was seen at 20, 40, and 80
    mg/kg bw/day. Treatment at 40 and 80 mg/kg bw/day produced a dose-
    related increase in the total number of early and late resorptions
    and a consequent increase in post-implantation loss and reduction in
    viable litter size. It was concluded that the highest dose to be
    used in a main teratology study in the rat should not exceed 40
    mg/kg bw/day (Tesh  et al. 1986).

         Four groups of 25 female Charles River CD SD rats (193-236 g,
    9-11 weeks old) were administered dose levels of 0 (vehicle), 7.5,
    15 or 30 mg (99.0-99.8% purity) thiram/kg bw/day by gavage on day 6
    through 15 of gestation. Pre-pairing acclimatization was for 5 days.
    Test solutions (dosage volume, 10 ml/kg bw) were prepared in a 0.5%
    w/v CMC and 0.5% w/v Tween 80 vehicle. All females were killed on
    day 20 of gestation for examination of their uterine contents.
    Analyses showed that the concentrations of test substance in the
    test mixtures were 0.62-0.75 mg/ml, 1.47-1.49 mg/ml, and 2.88-2.91
    mg/ml of intended concentrations of 0.75, 1.5, and 3.0 mg/ml,
    respectively. The test substance was stable at room temperature
    throughout the study. The concentration of tetramethylthiuram
    monosulphide was less than 0.01%.

         With the exception of a dosage-related incidence in the number
    of females showing areas of hair loss on head, neck, back, and/or
    limbs, the general condition of females was comparable in all
    groups. At 15 and 30 mg/kg bw/day a transient, dose-related, loss of
    body-weight was observed. At 7.5 mg/kg bw/day the rate of weight
    gain was slightly, but significantly, reduced during the treatment
    period, but subsequent weight gain was similar to that of the
    controls. There were no adverse effects upon implantation or upon
    fetal survival, but fetal and placental weights were significantly
    reduced at 30 mg/kg bw/day. Placental weights were also slightly,
    but significantly, reduced in the 7.5 and 15 mg/kg bw/day animals,
    and foetal weight was slightly reduced at 15 mg/kg bw/day, but these
    values were within historical control ranges. At 30 mg/kg bw/day
    there was evidence of fetal immaturity e.g., reduced skeletal
    ossification and increased incidence of space between the body wall
    and organs, and there was a slightly increased incidence of
    subcutaneous oedema. At 15 and 30 mg/kg bw/day the incidence of 13th
    ribs of reduced size was slightly increased, but was not related to
    dosage. Three foetuses with diaphragmatic hernia were observed, two
    at 7.5 and one at 30 mg/kg bw/day. The NOAEL for fetal toxicity was
    7.5 mg/kg bw/day. Reduced maternal body weight and placental weight
    precluded the establishment of a NOAEL for maternal toxicity. The
    toxic effects (immaturity and increased incidence of 13th ribs of
    reduced size) at higher doses were considered a result of maternal
    toxicity (Tesh  et al., 1988a).

    Rabbits

         In a preliminary oral teratology study female New Zeeland white
    rabbits (18-24 months old 3.4-4.5 kg) were artificially inseminated.
    The day of insemination was designated day 0 of gestation. The
    animals were allowed a minimum of three weeks acclimatization before
    dosing. Thiram (purity 99.1%) was administered by gavage to 4
    females per group from days 6-19, inclusive, of gestation at dosages
    of 0 (vehicle), 1, 3, 5, 7.5, 10, 20, 40, or 80 mg/kg bw/day
    (volume-dosage 5 ml/kg bw). Control animals received the vehicle
    (the vehicle was 0.5% w/v aqueous CMC mucilage containing 0.5% w/v
    Tween 80). Stability and concentration (89-106% of nominal) of the
    test compound at room temperature was ensured by formulation of
    fresh test solutions each day. On day 29 of gestation, the animals
    were killed and their uterine contents examined.

         Females receiving 10, 20, 40, or 80 mg/kg bw/day exhibited
    marked body-weight loss during the treatment period. Eight females
    (one on 20 mg/kg bw/day, three on 40 mg/kg bw/day and all four on 80
    mg/kg bw/day) died or were killed in extremis. A further two deaths
    (one control and one on 40 mg/kg bw/day) occurred but were not
    attributed to treatment. Females receiving doses between 1 and 7.5
    mg/kg bw/day showed slight reductions in their rate of body-weight
    gains with some indication of a dosage relationship. Treatment at 20
    mg/kg bw/day was associated with total litter resorption in 2
    females and a marked increase in post-implantation loss in the one
    female that carried a live litter to term. All 10 mg/kg bw/day
    females carried their litters to term, but there was a slight
    increase in post-implantation loss compared with the controls. At
    7.5 mg/kg bw/day one female showed total litter loss, but in the
    surviving two females post-implantation loss was similar to that of
    the controls. It was concluded that dose-levels of thiram for use in
    a main teratology study in the rabbit should not exceed 5 mg/kg
    bw/day to prevent effect on survival  in utero (Tesh  et al.,
    1987).

         New Zeeland white rabbits 16-24 weeks of age and 3.7-4.8 kg
    body-weight, were artificially inseminated. The day of insemination
    was designated day 0 of gestation. The animals were allowed a
    minimum of three weeks acclimatization before dosing. Thiram (purity
    99.5%) was administered by gavage from day 6-19 of gestation
    inclusive, at doses of 0, 1.0, 2.5 or 5.0 mg/kg bw/day (volume-
    dosage 5.0 ml/kg bw). The vehicle was 0.5% (W/V) aqueous CMC
    mucilage containing 0.5% (W/V) Tween 80. Stability and concentration
    of the test compound at room temperature were satisfactory. The
    concentration of tetramethylthiuram monosulphide was less than
    0.03%. The number of control animals was 18+14 (initial controls +
    additional controls from a parallel study due to unusually poor
    pattern of body-weight gain, in part, to the performance of two
    females). The number of test animals per group were 15, 18, and 20
    for the 1.0, 2.5, and 5.0 mg/kg bw/day dose group, respectively. All

    females were killed on Day 29 of gestation for examination. After
    removal of the reproductive tract the following was recorded: number
    of corpora lutea per ovary; number of implantation sites, number of
    resorption sites; number and distribution of live and dead foetuses
    in each uterine horn; weights and abnormalities of individual
    fetuses and placentae, thorough examination including skeletal
    examination of all fetuses.

         The general condition of control and treated females was
    essentially similar throughout the investigation. Eight females died
    or were killed in extremis during the study (one in each of groups 1
    and 2, two in group 3, and four in group 4). Necropsy findings
    revealed evidence of respiratory or gastrointestinal tract disorder,
    or accidental tracheal intubation. No evidence was apparent of any
    involvement of thiram. The body-weight gain of females receiving 5.0
    mg/kg bw/day was slightly but statistically significantly reduced.
    Females receiving 1.0 or 2.5 mg/kg bw/day remained unaffected by
    treatment with thiram. One control female and one 5.0 mg/kg bw/day
    female aborted during the study. In addition, one female in each of
    the groups receiving 2.5 or 5.0 mg/kg bw/day exhibited total litter
    resorption. Litter parameters were unaffected by treatment with
    thiram. Survival, growth and morphological development  in utero
    were essentially unaffected by treatment. The NOAEL for maternal
    toxicity was 2.5 mg/kg bw/day and the NOAEL for embryofetal toxicity
    was 5.0 mg/kg bw/day. There was no evidence of teratogenic potential
    (Tesh  et al., 1988b).

         Five-month old New Zeeland white SPF female rabbits were
    acclimatized and artificially inseminated. Groups of 20 inseminated
    rabbits were dosed once daily by oral gavage with 0, 1.0, 5.0, or 10
    mg/kg bw/day (dose volume 3.0 ml/kg bw) thiram solved in 0.5% Tween
    80 and 0.5% low-viscosity CMC on gestation days 7 through 19.
    Homogeneity mean values ranged from 107-108% of target and the
    relative standard deviations were < 4.5%. Stability at room
    temperature for 10 days indicated 95-99% of the initial prepared
    concentrations. Caesarean sections were performed on all surviving
    females on gestation day 29, followed by teratologic examination of
    the fetuses. Individual fetuses were weighed, sexed, tagged and
    examined for external malformations and variations. Each fetus was
    dissected internally, sexed and examined for visceral malformations
    and variations. The head was examined using multiple coronal slices.
    Skeletal examination was carried out after Alizarin Red S staining.

         A single death observed in the 10 mg/kg bw/day group was
    attributed to gavage injury from dosing and two deaths in the
    control group were attributed to pneumonia. No treatment-related
    adverse findings were observed with regard to clinical signs or
    necropsy findings of animals surviving the scheduled euthanasia.
    Statistically significant increases in body-weight gain and food
    consumption were observed in the treated groups when compared with
    the control values. These increases were not considered to be

    adverse effects of the test article. No treatment-related maternal
    effects were observed at cesarean section examination, and no
    adverse effects on fetal development were observed at the
    teratological examination. The NOAELs for maternal toxicity,
    embryofetal toxicity and teratogenicity were higher than 10 mg/kg
    bw/day (York, 1992).

    Special studies for neurotoxicity

         Data from special neurotoxicity testing of thiram were not
    available. Some endpoints related to neurotoxicity have been
    investigated in the standard toxicity testing procedures reported
    above.

    Observations in humans

         Workers, surgeons and other personnel using rubber gloves might
    get contact dermatitis due to the presence of thiram in the rubber
    (Lisi  et al., 1987). Oral exposure to thiram might lead to dermal
    sensitization to the substance (Goitre  et al., 1981).

    COMMENTS

         Following oral administration to rats, thiram was well absorbed
    (>83%) and eliminated via the expired air (41-48%), urine (25-40%),
    and faeces (2-5%). About 3% was recovered in various organs. The
    majority of the dose (84-90%) was eliminated within four days after
    dosing.

         The metabolism of thiram was studied in rats. During the first
    five hours after administration, a dose-dependent formation of
    carbon disulphide was demonstrated in the expired air.  Metabolites
    detected in urine included polar oxidation products and conjugates.

         The acute oral toxicity of thiram is low in mice and rats. The
    World Health Organization has classified thiram as slightly
    hazardous (WHO, 1992).

         A 13-week dietary study in rats at levels of 0, 50, 500 or 1000
    ppm resulted in changes in haematological and serum biochemical
    parameters and gastric irritation at 500 and 1000 ppm. The NOAEL was
    50 ppm, equivalent to 2.5 mg/kg bw/day.

         Beagle dogs received thiram as a dietary admixture at levels of
    0, 75, 250 or 500 ppm for 13 weeks or at levels of 0, 30, 90 or 250
    ppm for 52 weeks. The NOAELs were 75 ppm (equal to 2.2 and 2.3 mg/kg
    bw/day in males and females, respectively, for the 13-week study)
    and 30 ppm (equal to 0.84 mg/kg bw/day) in males and 90 ppm (equal
    to 2.5 mg/kg bw/day) in females in the 52-week study on the basis of
    changes in body weight, increased absolute and relative liver
    weights, and changes in haematological and serum biochemical
    parameters. In another study, dogs received thiram in gelatin
    capsules at doses of 0, 0.4, 4 or 40 mg/kg bw/day 7 days/week for
    104 weeks. Nausea, vomiting and salivation, ophthalmological
    effects, convulsions, changes in haematological parameters, and
    renal changes were observed at 4 and 40 mg/kg bw/day. On the basis
    of the described effects, the NOAEL was 0.4 mg/kg bw/day. Since
    thiram was administered in capsules in this experiment and
    significantly less information was available on the study conditions
    compared to those in the former two experiments with dietary
    administrations of thiram this NOAEL was not used as the basis for
    the estimation of an ADI.

         In a 97-week oncogenicity study in mice using dietary thiram
    concentrations of 0, 15, 150 or 300/600 ppm, the effects included
    dose-dependent decreases of food consumption and body weight gain
    and changes in haematological parameters. Non-neoplastic findings
    included retinal atrophy, changes in the urinary bladder and in the
    skin, hyperkeratosis in the non-glandular stomach, and increased
    pigmentation in the spleen. Thiram was not carcinogenic in mice. The
    NOAEL for long-term toxicity in male and female mice was 15 ppm,
    equal to 3 mg/kg bw/day.

         In a two-year toxicity study in rats at dietary concentrations
    of 0, 3, 30 or 300 ppm, the NOAEL was 30 ppm, equal to 1.2 and 1.4
    mg/kg bw/day in males and females, respectively. It was based on
    lower red blood cell count, haemoglobin and haematocrit levels and
    degenerative changes of the sciatic nerve accompanied by atrophy of
    the gastrocnemius muscle at 300 ppm.

         In a second two-year long-term toxicity/carcinogenicity study
    in rats at dietary concentrations of 0, 30, 150 or 300 ppm, dose-
    dependent lower erythrocyte counts, haemoglobin and haematocrit
    levels were observed. Based on these haematological changes, the
    NOAEL was 30 ppm, equal to 1.5 and 1.8 mg/kg bw/day in males and
    females, respectively.

         In a 2-year carcinogenicity study in rats at dietary
    concentrations of 0, 500, or 1000 ppm (equal to 39 and 42 mg/kg
    bw/day in males and females, respectively) there was no evidence of
    carcinogenicity.  The Meeting concluded that thiram was not
    carcinogenic in rats.

         In a two-generation reproduction study in rats at dietary
    concentrations of 0, 30, 60 or 180 ppm, no adverse effects on
    reproduction were observed. The NOAEL for reproductive effects was
    > 180 ppm (equal to > 8.9 and > 14 mg/kg bw/day in males and
    females, respectively). The NOAEL for systemic toxicity was 30 ppm
    (equal to 1.5 and 2.3 mg/kg bw/day in males and females,
    respectively). This NOAEL was based upon reduction in body-weight
    and/or food consumption in both parental and offspring animals.

         An oral teratogenicity study was performed in rats at gavage
    dose levels of 0, 7.5, 15 or 30 mg/kg bw/day. A NOAEL for maternal
    toxicity was not determined due to a dose-dependent decrease in body
    weight gain and placental weight at all dose levels. Teratogenicity
    was not observed.

         In an oral teratogenicity study in rabbits at gavage doses of
    0, 1.0, 2.5 or 5.0 mg/kg bw/day, a NOAEL of 2.5 mg/kg bw/day for
    maternal toxicity was based on a dose-dependent reduction of body-
    weight gain. Teratogenicity was not observed.

         An oral teratogenicity study was carried out in rabbits at
    gavage dose levels of 0, 1.0, 5.0 or 10 mg/kg bw/day. The NOAEL for
    maternal toxicity was higher than 10 mg/kg bw/day. Teratogenicity
    was not observed.

         Thiram was mutagenic in the Ames test but not in mammalian
    cells  in vitro. Since thiram was not mutagenic  in vivo, the
    Meeting concluded that it did not present a genotoxic hazard for
    humans.

         The central and peripheral nervous systems have been recognized
    as a possible target for thiram toxicity. The neurotoxicity may be
    related to the thiram metabolite carbon disulphide.

         An ADI was allocated, based on the 1-year study in dogs and the
    2-year studies in rats, using a 100-fold safety factor.

    TOXICOLOGICAL EVALUATION

    Level causing no toxicological effect

         Mouse:    15 ppm, equal to 3 mg/kg bw/day (97-week study)

         Rat:      30 ppm, equal to 1.2 mg/kg bw/day (two-year study)

                   30 ppm, equal to 1.5 mg/kg bw/day (two-generation
                        reproduction study)

         Rabbit:   2.5 mg/kg bw/day (teratology study, maternal
                        toxicity)

         Dog:      30 ppm in the diet, equal to 0.84 mg/kg bw/day (one-
                        year study)

    Estimate of acceptable daily intake for humans

         0-0.01 mg/kg bw.

    Studies which will provide information valuable in the continued
    evaluation of the compound

         1.   Clarification of the potential for neurotoxicity of
              thiram.

         2.   Observations in humans.

    REFERENCES

    Beauchamp, R.O., Bus, J.S., Popp, J.A., Boreiko, C.J. & Golberg, L.
    (1983) A critical review of the literature on the carbon disulphide
    toxicology.  CRD Crit. Rev. Toxicol., 11: 169-272.

    Dalvi R.R. (1987) Dose-dependent liver toxicity of thiram
    administered intraperitoneally to rats.  J. Environ. Biol., 8: 25-
    31. 
    Dalvi, R.R. & Deoras, D.P. (1986) Metabolism of a dithiocarbamate
    fungicide thiram to carbon disulphide in the rat and its hepatotoxic
    implications.  Acta Pharmacol. Toxicol., 58: 38-42.

    Debets, F.M.H. (1985) Evaluation of the acute inhalation toxicity of
    TMTD technical in the rat. Unpublished report no.: 0113/232 from
    NOTOX v.o.f. s-Hertogenbosch, the Netherlands. Submitted to WHO by
    UCB.

    Debets, F.M.H. & Enninga, I.C. (1986) Evaluation of the mutagenic
    activity of TMTD technical in an  in vitro mammalian cell gene
    mutation test with V79 Chinese hamster cells. Unpublished report No.
    NOTOX 0174/EV 1 from NOTOX C.V. DD 's-Hertogenbosch, Netherlands.
    Submitted to WHO by UCB Chemicals, Brussels, Belgium.

    Gay, M.H. (1987) Rat metabolism of 14C thiramTM, single dose
    study. Unpublished report No. 87003B from Biotek, Inc.,
    Massachusetts, USA. Submitted to WHO by UCB Chemicals, Brussels,
    Belgium.

    Goitre, M., Bedollo, P.G., & Cane, D. (1981) Allergic dermatitis and
    oral challenge to tetramethylthiuram disulphide.  Contact Derm., 7:
    272-273.

    Hasegawa, R., Takahashi, M., Furukawa, F., Toyoda, K., Sato, H.,
    Junejang, J. & Hayashi, Y. (1988) Carcinogenicity study of
    tetramethylthiuram disulphide (thiram) in F334 rats.  Toxicology,
    51: 155-165.

    Hiles, R.A. (1989) Bioavailability study in male rats with a 14C-
    thiram-treated diet. Unpublished report No. HLA 6111-131 from
    Hazleton Laboratories, Inc., Wisconsin, USA. Submitted to WHO by UCB
    Chemicals, Brussels, Belgium.

    Kehoe, D.F. (1988a) Four-Week range-finding study with thiram in
    dogs. Unpublished report No. HLA 6111-109 from Hazleton
    Laboratories, Inc., Wisconsin, USA. Submitted to WHO by UCB
    Chemicals, Brussels, Belgium.

    Kehoe, D.F. (1988b) Thirteen-Week toxicity study with thiram in
    rats. Unpublished report No. HLA 6111-110 from Hazleton

    Laboratories, Inc., Wisconsin, USA. Submitted to WHO by UCB
    Chemicals, Brussels, Belgium.

    Kehoe, D.F. (1989a) 13-Week toxicity study with thiram in dogs.
    Unpublished report No. HLA 6111-121 from Hazleton Laboratories,
    Inc., Wisconsin, USA. Submitted to WHO by UCB Chemicals, Brussels,
    Belgium.

    Kehoe, D.F. (1989b) 4-Week dietary range-finding study with thiram
    in mice. Unpublished report No. HLA 6111-127 from Hazleton
    Laboratories, Inc., Wisconsin, USA. Submitted to WHO by UCB
    Chemicals, Brussels, Belgium.

    Kehoe, D.F. (1991a) 52-Week dietary chronic toxicity study with
    thiram in dogs. Unpublished report No. HLA 6111-112 from Hazleton
    Laboratories, Inc., Wisconsin, USA. Submitted to WHO by UCB
    Chemicals, Brussels, Belgium.

    Kehoe, D.F. (1991b) 104-Week combined chronic toxicity and
    carcinogenicity study with thiram in rats. Unpublished report No.
    HLA 6111-113 from Hazleton Laboratories, Inc., Wisconsin, USA.
    Submitted to WHO by UCB Chemicals, Brussels, Belgium.

    Lee, C.C.  et al. (1975) Toxicological evaluation of ferric
    dimethyldithiocarbamate (ferbam) and dithiocarbamate (thiram) with
    acute toxicity of manganese and zinc ethylenebisdithiocarbamates
    (maneb and zinc). Final report, MRI project no.: 36123-B. Submitted
    to WHO by UCB.

    Lee, C-C. & Peters, P.J. (1976) Neurotoxicity and behavioral effects
    of thiram in rats.  Environmental Health Perspectives, 17: 35-43.

    Lee, C.C.  et al. (1978) Oral toxicity of ferric
    dimethyldithiocarbamate (ferbam) and tetramedthylthiuram disulfide
    (thiram) in rodents. J. toxicol. environ. health, 4, 93-106.
    Submitted to WHO by UCB.

    Lisi, P., Caraffini, S. & Assalve, D. (1987) Irritation and
    sensitization potential of pesticides.  Contact Derm., 17: 212-218.

    Maita, K., Tsuda, S. & Shirasu, Y. (1991) Chronic toxicity studies
    with thiram in wistar rats and beagle dogs. Fundamental and  Applied
     Toxicol., 16: 667-686.

    McManus, J.P. (1991) Metabolism of [14C] thiram in the rat:
    Urinary metabolite identification. Unpublished report from Uniroyal
    Chemical Company, Inc., Middlebury, USA. Submitted to WHO by UCB
    Chemicals, Brussels, Belgium.

    Matthiasck, L. (1973) Uber den Einfluss von L-cystein auf die
    Teratogenese durch Thiram (TMTD) bei NMRI-Mausen. Arch. Toxikol. 30,
    251-262. Submitted to WHO by UCB.

    Musacchio, J.M., Goldstein, M., Anagnoste, B. Poch, G., & Kopin L.J
    (1966) Inhibition of dopamine beta-hydroxylase by disulfiram  in
     vivo. J. Pharmacol. Exp. Ther., 152: 56-61.

    Nomeir, A.A. & Markham, P. (1990) Disposition and metabolism of
    thiram in rats after pretreatment with thiram for 14 days.
    Unpublished report No. ADL 65492 from Arthur D. Little, Inc.
    Massachusetts, USA. Submitted to WHO by UCB Chemicals, Brussels,
    Belgium.

    Norris, K.J. (1989) Determination of volatile 14C-residues from
    rats orally administered 14C-thiram. Unpublished report No. 1113A
    from Analytical Development Corp., Colorado Springs, USA. Submitted
    to WHO by UCB Chemicals, Brussels, Belgium.

    Perocco, P., Santucci, M.A., Campani, A.G. & Forti, G.C. (1989)
    Toxic and DNA-damaging activities of the fungicides mancozeb and
    thiram (TMTD) on human lymphocytes  in vitro. Teratogenesis,
     carcinogenesis, and mutagenesis., 9: 75-81.

    Poth, A. (1990)  Salmonella typhimurium reverse mutation assay with
    thiram. Unpublished report No. CCR 175116 from CCR Cytotest Cell
    Research GmbH & Co. KG, Rossdorf, Germany. Submitted to WHO by UCB
    Chemicals, Brussels, Belgium.

    Prasad, H., Pushpavathi, K., Rita, P. & Reddy, P.P. (1987) The
    effect of thiram on the germ cells of male mice.  Fd. Chem. Toxic.
    25: 709-711.

    Putman, D.L. (1987a) Chromosome aberrations in Chinese hamster ovary
    (CHO) cells. Unpublished report No. T5558.337 from Microbiological
    associates, Inc., Maryland, USA. Submitted to WHO by UCB Chemicals,
    Brussels, Belgium.

    Putman, D.L. (1987b): Micronucleus cytogenetic assay in mice.
    Unpublished report No. T5558.122 from Microbiological associates,
    Inc., Maryland, USA. Submitted to WHO by UCB Chemicals, Brussels,
    Belgium.

    Tesh, J.M., McAnulty, P.A., Willoughby, C.R. & Higgins, C. (1986)
    Thiram: Effects of oral administration upon pregnancy in the rat,
    preliminary teratology study. Unpublished report No. 86/TRK001/704
    from Life Science Research, Suffolk, England. Submitted to WHO by
    UCB Chemicals, Brussels, Belgium.

    Tesh, J.M., Ross, F.W. & Crisp, V.C. (1987) Thiram: Preliminary
    teratology study in the rabbit. Unpublished report No. 87/TRK003/122

    from Life Science Research, Suffolk, England. Submitted to WHO by
    UCB Chemicals, Brussels, Belgium.

    Tesh, J.M., McAnulty, P.A., Willoughby, C.R., Higgins, C., Wilby,
    O.K. & Tesh, S.A. (1988a) Teratology study in the rat. Unpublished
    report No. 87/TRK002/179 from Life Science Research, Suffolk,
    England. Submitted to WHO by UCB Chemicals, Brussels, Belgium.

    Tesh, J.M., Ross, F.W., Crisp, V.C., Wilby, O.K. & Tesh, S.A.
    (1988b) Thiram: Teratology study in the rabbit. Unpublished report
    No. 87/TRK004/541 from Life Science Research, Suffolk, England.
    Submitted to WHO by UCB Chemicals, Brussels, Belgium.

    Thouin, M.H. (1985a) Evaluation of the acute oral toxicity of TMTD
    technical in the rat. Unpublished report no.: 0174/238 fron NOTOX
    v.o.f., s-Hertogenbosch, the Netherlands. Submitted to WHO by UCB.

    Thouin, M.H. (1985b) Evaluation of the acute oral toxicity of TMTD
    technical in the rabbit. Unpublished report no.: 0113/211 fron NOTOX
    v.o.f., s-Hertogenbosch, the Netherlands. Submitted to WHO by UCB.

    Trutter, J.A. (1992) Oncogenicity study in mice with thiram.
    Unpublished report No. 798-223 from Hazleton Laboratories, Inc.,
    9200 Leesburg Turnpike, Vienna, Virginia 22182, USA. Submitted to
    WHO by UCB Chemicals, Brussels, Belgium.

    Weterings, P.J.J.M. (1985) Evaluation of the DNA repair inducing
    ability of TMTD technical in a primary culture of rat hepatocytes.
    Unpublished report No. NOTOX 0174/ER156 from NOTOX C.V. DD 's-
    Hertogenbosch, Netherlands. Submitted to WHO by UCB Chemicals,
    Brussels, Belgium.

    Völkner, W. (1990) Mouse germ-cell cytogenetic assay with thiram.
    Unpublished report No. CCR 175127 from CCR Cytotest Cell Research
    GmbH & Co. KG, Rossdorf, Germany. Submitted to WHO by UCB Chemicals,
    Brussels, Belgium.

    Völkner, W. (1991) Mutation assay in somatic cells of the mouse
    (mouse spot test) with thiram. Unpublished report No. CCR 200902
    from CCR Cytotest Cell Research GmbH & Co. KG, Rossdorf, Germany.
    Submitted to WHO by UCB Chemicals, Brussels, Belgium.

    WHO (1992) The WHO recommended classification of pesticides by
    hazard and guidelines to classification 1992-1993 (WHO/PCS/92.14).
    Available from the International Programme on Chemical Safety, World
    Health Organization, Geneva, Switzerland.

    York, R.G. (1991) Two-generation reproduction study in rats.
    Unpublished report No. 399-104 from International Research and
    Development Corporation, Michigan, USA. Submitted to WHO by UCB
    Chemicals, Brussels, Belgium.

    York, R.G. (1992) Development toxicity study in New Zealand
    white rabbits. Unpublished report No. 399-121 from International
    Research and Development Corporation, Michigan, USA. Submitted to
    WHO by UCB Chemicals, Brussels, Belgium.


    See Also:
       Toxicological Abbreviations
       Thiram (ICSC)
       Thiram (FAO Meeting Report PL/1965/10/1)
       Thiram (FAO/PL:1967/M/11/1)
       Thiram (Pesticide residues in food: 1984 evaluations)
       Thiram (IARC Summary & Evaluation, Volume 53, 1991)