IPCS INCHEM Home

    DICOFOL

    First draft prepared by A. Clevenger
    Office of Pesticide Programs
    US Environmental Protection Agency
    Washington, DC, USA

    EXPLANATION

         Dicofol is an acaracide which is structurally similar to DDT.
    Dicofol was previously evaluated by the Joint Meeting in 1968 (Annex
    1, reference 10). An ADI of 0-0.025 mg/kg bw was allocated, based on
    a NOAEL of 50 ppm in the diet, equivalent to 2.5 mg/kg bw/day in the
    rat.

         Since the last review a number of studies have been submitted
    including studies using a purer form of dicofol corresponding to
    current product purity. The purer form is generally > 95% dicofol
    (80-85% p,p'-dicofol and 15-20% o,p'-dicofol) which contains less
    than 0.1% DDT-related (DDTr) impurities (i.e. DDT, alpha-chloro-DDT,
    DDE, and DDD). Relevant portions of the previous monograph have been
    incorporated into this toxicological monograph.

    EVALUATION FOR ACCEPTABLE DAILY INTAKE

    BIOLOGICAL DATA

    Biochemical aspects

    Absorption, distribution, and excretion

    Mice

         The disposition of dicofol was studied using groups of 3 male
    NIH mice given a single oral dose of 25 mg/kg bw of 3H-p,p'-
    dicofol (3H-ring labeled; isomer composition unknown). Blood,
    urine, faeces, and tissues (fat, liver, kidney, lung, brain, spleen,
    heart) were collected over 4 days. Approximately 60% of the
    administered dose was eliminated within 4 days primarily in the
    faeces. Faecal excretion accounted for 40% of the administered dose
    whereas urinary excretion accounted for 20%. Peak tissue
    concentrations were reached within 24-48 h. The highest
    concentrations of radiolabel were found in adipose tissue followed
    by liver, kidney, lung, heart, blood plasma, brain, whole blood, and
    spleen. Concentrations dropped rapidly over 4 days except in adipose
    tissue (Kaneshima  et al., 1980).

    Rats

         Upon ingestion of dicofol by mammals, storage of the compound
    occurs in the adipose tissue. Rats were fed dicofol at a level of 32
    ppm in their diet for 12 weeks. After eight weeks the level of the
    compound in the fat had reached equilibrium at concentrations of 25
    ppm for the males and 70 ppm for the females. After 12 weeks,
    dicofol was withdrawn from the diet and the level of stored material
    declined. The rate of decline was greater for the male animals than
    for the females. By 14 weeks after withdrawal the level of dicofol
    in the fat was zero for the males but still remained at about 6 ppm
    for the females. Feeding with higher or lower dose levels also
    showed that dicofol was stored in the fat of the female rat to a
    greater degree than in the male (Smith  et al., 1959).

         The pharmacokinetics of p,p'-dicofol and o,p'-dicofol were
    studied in female Crl:CD BR rats (groups of 4) given a single oral
    dose of 50 mg/kg bw of 14C-o,p'-dicofol or 14C-p,p'-dicofol
    (uniformly ring labelled). Blood, urine, faeces, and tissues (fat,
    liver, adrenal gland, thyroid) were collected over 10 days. The two
    isomers showed similar distribution and excretion patterns, but
    p,p'-dicofol was much more persistent in the body than o,p'-dicofol.
    Both isomers were excreted primarily in the faeces, but o,p-dicofol
    was excreted more rapidly. Over 90% of the o,p'-dicofol administered
    dose was excreted within 2 days (and essentially all eliminated by
    10 days) compared to 40% of the p,p'-dicofol administered dose (80%
    excreted in 10 days).

         Peak tissue concentrations were reached within 6 h in most
    tissues and after 1-2 days in fat. Both isomers showed a high
    affinity for adipose tissue. At the time of peak concentrations,
    approximately 51% of p,p'-dicofol radiolabel and 26% of o,p'-dicofol
    radiolabel were in body fat (assuming fat is 7% of body-weight).
    Tissue concentrations of both isomers were similar initially, but
    concentrations of o,p'-dicofol radiolabel declined more rapidly than
    p,p'-dicofol radiolabel. After 10 days, concentrations of p,p'-
    dicofol radiolabel were: fat, 144 ppm; adrenal gland, 30 ppm;
    thyroid, 16 ppm; liver, 6 ppm; whole blood, 1 ppm. In comparison,
    o,p'-dicofol radiolabel concentrations were: fat, 3 ppm; adrenal
    gland and thyroid, 1 ppm; blood, 0.6 ppm; liver, 0.5 ppm.
    Elimination half-lives were estimated to be 1.5-4 day for o,p-
    dicofol and 4-7 day for p,p'-dicofol (DiDonato  et al., 1987).

         In a study of similar design, the disposition of p,p'-dicofol
    was studied in male and female Sprague-Dawley rats (groups of 4/sex)
    given a single oral dose of 50 mg 14C-p,p'-dicofol/kg bw
    (uniformly labelled ring). Blood, urine, faeces, and tissues (liver,
    kidneys, fat) were collected over 7 days. Males and females excreted
    78% and 51%, respectively, of the administered dose in 7 days.
    Faecal excretion accounted for 32-61% of the administered dose with
    the remainder (16-19%) excreted in urine. Adipose tissue contained
    the highest concentration of radiolabel followed by liver, kidneys,
    and blood. Tissue concentrations were much higher in females than
    males. Adipose tissue concent-rations were 5-7 times higher and
    liver concentrations 3-4 times higher in females than males. After 7
    days, fat concentrations were 148 ppm in females versus 30 ppm in
    males, and liver concentrations were 8 ppm in females versus 2 ppm
    in males (Tillman & Mazza, 1986).

         The disposition of dicofol and DDT were compared following a
    single oral dose. Male and female Sprague-Dawley rats (groups of 1-
    4/sex) were given a single dose of 50 mg 14C-p,p'-dicofol or
    14C-p,p'-DDT/kg bw (uniformly ring labelled). Blood, urine,
    faeces, and tissues were collected over 8 days. DDT and dicofol
    radiolabel showed qualitatively similar distribution and elimination
    patterns, but DDT was more persistent in the body than dicofol. Both
    distributed preferentially to adipose tissue and were eliminated
    mainly in the faeces. Essentially all of the dicofol dose was
    excreted within 8 days compared to 80% of the DDT dose. The highest
    concentrations of both compounds were found in adipose tissue and
    adrenal glands. After 8 days, DDT-radiolabel in fat was 275 ppm
    whereas dicofol-radiolabel was negligible. Dicofol-derived
    radiolabel was eliminated from the tissues more rapidly than DDT-
    derived radiolabel. Females generally had higher tissue levels than
    males. Elimination half-lives were estimated to be 30 h for dicofol
    in males and females and 55-95 h for DDT (Steigerwalt  et al.,
    1984a).

         The overall excretion rate of dicofol in this study was
    considerably more rapid than the overall excretion reported in two
    other single dose studies in rats (DiDonato  et al., 1986; Tillman
    & Mazza, 1986).

         The disposition of dicofol and DDT were compared following
    multiple oral doses using female Sprague-Dawley rats (groups of 1-2)
    given daily doses of 0.5 mg 14C-p,p'-dicofol or 14C-p,p'-DDT/kg
    bw (uniformly ring labelled) for 16 consecutive days. Blood, urine,
    faeces, and tissues were collected during treatment and over 16 days
    after exposure. As in the single dose comparison study, DDT and
    dicofol radiolabel showed qualitatively similar distribution and
    elimination patterns, but DDT was more persistent. Dicofol
    radiolabel was excreted approximately twice as fast as DDT
    radiolabel. Approximately 75% of the dicofol dose was excreted
    within 16 days compared to 40% of the DDT dose. Both were eliminated
    mainly in the faeces. Concentrations in tissues, such as fat, liver,
    and adrenal glands were comparable during treatment, but dicofol
    radiolabel was eliminated from these tissues more rapidly. Fat
    concentrations of DDT radiolabel increased and peaked post-exposure
    whereas dicofol radiolabel began declining when exposure ceased.
    After 16 days, DDT-radiolabel in fat was twice that of dicofol-
    radiolabel (38 vs. 13 ppm). Elimination half-lives were estimated to
    be 6-14 days for dicofol and 7-24 days for DDT (Steigerwalt  et
     al., 1984b).

         Groups of 10 male Wistar rats were given daily oral doses of 63
    mg/kg bw (1/20 LD50 of dicofol (84.8% purity)) for 40 days. Blood,
    urine, faeces, and tissues were collected over the treatment period
    and analyzed by TLC and GC. Twenty-eight percent of the administered
    dose was eliminated as dicofol and 99% of dicofol was excreted in
    the faeces. At day 40, adipose tissue contained the highest
    concentration of dicofol (69 ppm) with lesser amounts in muscle (17
    ppm), lung (16 ppm), testes (13 ppm), liver (9 ppm), kidney (9 ppm),
    brain (8 ppm), and heart (7 ppm) (Brown  et al., 1969; Brown &
    Casida, 1987).

         Groups of 5 male Wistar rats were given a single i.p. dose of
    376 mg/kg bw (1/5 LD50 of dicofol (84.8% purity)). Blood, tissues,
    urine, and faeces were collected over 4 days. Peak tissue
    concentrations were reached within 32-40 h except for adipose tissue
    which had not reached its peak concentration. After 4 days, adipose
    tissue contained the highest concentration (77 ppm) of dicofol
    followed by testes (8 ppm), liver (7 ppm), muscle (7 ppm), kidney (4
    ppm), lung (4 ppm), heart (3 ppm), blood (1.5 ppm), and brain (0.9
    ppm) (Brown  et al., 1969; Brown & Casida, 1987).

    Humans

         The dicofol metabolite dichlorobenzilic acid (DCBA) was
    measured in the urine of 4 workers involved in the mixing/loading or

    application of dicofol (3.0 pounds/acre in 500 gallons of water) to
    citrus crops for 10 consecutive days. Urine samples were obtained
    over 4 days beginning 6 days after exposure. Because of previous use
    of chlorobenzilate, pre-exposure DCBA excretion rates were not zero.
    Mean daily DCBA excretion was 19-42 œg/day over the exposure period.
    The variation correlated with the difference in estimated dermal
    dose (2.7-13 mg/day). The percent dermal dose excreted as DCBA was
    estimated to be 0.25%. The half-life for DCBA excretion in the urine
    was estimated to be 7 days (Nigg  et al., 1991).

    Biotransformation

    Mice

         Groups of 2-3 male Swiss-Webster mice were administered a
    single intra-peritoneal dose of 30 mg/kg bw of radiolabelled
    dicofol, alpha-chloro-DDT, dichlorobenzidine (DCB), or DDT (phenyl
    C14, high chemical purity). One hour later, mice were sacrificed
    and tissues were collected and analyzed for metabolites. The
    proposed metabolic scheme in mice is consistent with the scheme
    shown for rats in Figure 1. In mice, dicofol was converted to DCD
    (same as FW-152), dichlorobenzophenone (DCBP), and
    dichlorobenzhydrol (DCBH) based on analyses of brain, fat, and
    liver. These three metabolites represented 33%, 30%, and 7%,
    respectively, of the radiolabel in the liver. Administered DCD was
    also metabolized to DCBP and DCBH. The reduction of DCBP to DCBH was
    suggested to be the rate-limiting step in dicofol metabolism. The
    metabolic pattern observed in the mouse  in vivo was similar to
    results obtained with rat liver microsomes under anaerobic
    conditions and in the presence of NADPH. DDE (1,1-dichloro-2'2-
    bis(p-chlorophenyl ethylene) was not detected as a metabolite of
    dicofol or DCD.

         Under the same experimental conditions, alpha-chloro-DDT, an
    impurity of technical dicofol, was metabolically dechlorinated to
    DDE in mouse liver (50% of radiolabel in liver) and rat liver
    microsomes. The conversion of alpha-chloro-DDT to DDE also occurred
     in vitro in the presence of reduced haematin. The alpha-chloro-DDT
    impurity in technical dicofol may be a source of DDE detected in
    tissues. The authors proposed that  in vivo metabolic
    dechlorination of dicofol and alpha-chloro-DDT involves a reduced
    porphyrin in liver microsomes (Brown & Casida, 1987).

    Rats

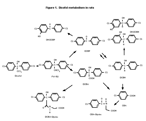
         The metabolism of dicofol was studied in Sprague-Dawley rats
    (groups of 4/sex) given a single oral dose of 50 mg/kg bw of 14C-
    p,p'-dicofol (uniformly labelled ring). The proposed metabolic
    scheme for dicofol in rats is shown in Figure 1. In the faeces, most
    of the extracted radiolabel was present as FW-152 and DCBH in males
    (50-70% combined) and FW-152 and OH-DCBP in females (50-60%

    FIGURE 1

    combined). Faeces contained lesser amounts of dicofol and OH-
    DCBH/DCBA-glycine. In urine, the radiolabel was mostly DCBH-glycine
    and OH-DCBP/DCBH (25-40% combined) in both sexes. Urine contained
    smaller amounts of CBA-glycine, DCBA, OH-DCBH/CBA. About 20% of
    faeces radio-label and 30-40% of urine radiolabel were unidentified.

         In adipose tissue, most of the extracted radiolabel was present
    as the parent compound (80-90%), with smaller amounts of DCBP and
    FW-152 identified in both sexes. In the liver, most of the extracted
    radiolabel was FW-152 (70-80%) in both sexes with lesser amounts of
    DCBP, dicofol, and DCBH.

         Small amounts of material in faeces co-chromatographed with
    DDE. Additional analyses by HPLC determined that 0.27% of the
    extracted radiolabel in faeces was actually DDE. Additional analyses
    of fat and liver detected small amounts of DDE in one fat sample
    (0.2% of extract, 0.34 ppm tissue concentration) and two liver
    samples (0.25%-0.34% of extract, 0.018-0.29 ppm tissue
    concentration). The 14C dosing solution was reported to contain
    0.01% DDE (Tillman & Mazza, 1986).

         DDE, DDT, and alpha-chloro-DDT impurities may account for the
    small amounts of DDE in tissues. The latter impurity has been shown
    to be converted to DDE in rat liver microsomes and mouse liver  in
     vivo (Brown & Casida, 1987).

         Following a single i.p. dose of 376 mg/kg bw of technical
    dicofol (84.8% pure) in male Wistar rats, the parent compound and a
    metabolite, DCBP, were quantified in blood. 4,4-Dichlorobenzhydrol
    (DCBH) was detected but not quantified. DCBP was also detected in
    tissues following exposure for 40 days to 63 mg/kg bw/day. Small
    amounts of DDE were detected (Brown  et al., 1969, 1971).

    Effects on enzymes and other biochemical parameters

    Mice

         The hepatic mixed-function oxidase (MFO)-inducing effect of
    dicofol was studied. Groups of 4 male and 4 female CD-1 mice were
    administered 3 daily oral doses of 1.4, 4.4, 14.9, 42.8, or 151
    mg/kg bw of technical dicofol (87.6% purity). MFO activity in liver
    microsomal cell fractions was determined by O-demethylation of p-
    nitroanisole. Relative liver weight was increased at the high-dose
    in both sexes and at 42.8 mg/kg bw in males. MFO activity was
    increased 22%-43% in females at 14.9 mg/kg bw and above. MFO
    activity was unaffected in males (Steigerwalt  et al., 1984c).

         The MFO-inducing effects of technical dicofol, dicofol isomers,
    and technical dicofol impurities were compared in B6C3F1 male
    mice. Groups of 4 mice were administered the test material in the
    diet daily for two weeks. Technical dicofol (87.5% purity) was
    administered at 0, 8, 25, 80, 250, or 800 ppm. The two highest doses
    bracketed the doses producing liver tumours in male B6C3F1
    mice. p,p'-Dicofol was administered at 0, 6, 20, 63, 195, or 625
    ppm. Liver MFO activity was measured by the following enzyme assays:
    p-nitroanisole O-demethylation, aminopyrine N-demethylation, and
    aniline hydroxylation. Technical dicofol depressed body-weight at 80
    ppm and above and increased liver weight at 250 ppm and above. p,p'-
    Dicofol depressed body-weight and increased liver weight at 625 ppm.
    Technical dicofol increased MFO activity at 250 and 800 ppm. p,p'-
    Dicofol increased MFO activity at 63 ppm and above. A comparison of
    dose-response curves indicated p,p'-dicofol was equal to or slightly
    less potent than technical dicofol at comparable concentrations of
    active ingredient. Administration of 37 ppm of o,p'-dicofol, ED-8
    isomers, DDE isomers, and up to 195 ppm of DCBP isomers produced no
    toxicity and had no effect on MFO activity indicating these
    constituents of technical dicofol do not play a disproportionate
    role in induction of MFO activity. The authors concluded that p,p'-
    dicofol was responsible for a large majority but not all the
    induction of liver MFO activity produced by technical dicofol
    (Steigerwalt  et al., 1984d).

    Rats

         MFO induction activity was studied using groups of 6 male
    Sprague-Dawley rats given 4 daily intraperitoneal doses of pure
    dicofol (98.8% pure; 81.4% p,p'-, 18.6% o,p'-), technical dicofol
    (85% pure; 69.2% p,p', 15.8% o,p'; 15% impurities including DDTr),
    pure DDT (99% pure; 81.4% p,p'-,18.6% o,p'-), phenobarbital, or œ-
    naphthoflavone. Dose concentrations ranged from 1.5 to 59 mM (2.2 to
    103 mg/kg bw). Liver MFO activity was measured by the following
    enzyme assays: cytochrome C reductase, aminopyrine N-demethylase,
    ethoxycoumarin O-deethylase, microsomal epoxide hydrolase, cytosolic
    epoxide hydrolase, and glutathione-S-transferase. Technical and pure
    dicofol and DDT induced MFO activity in a pattern consistent with
    phenobarbital-type induction. At a concentration of 59 mM (87.4
    mg/kg bw), pure dicofol increased microsomal protein 1.7-fold and
    cytochrome P-450 activities 2- to 3-fold. Equimolar doses of
    technical dicofol and pure dicofol produced comparable responses,
    and dicofol was equal in potency to DDT of equivalent isomer
    composition (Narloch  et al., 1987).

         MFO induction activity was assessed using groups of 6 male
    Wistar rats administered dicofol (described as "pure") daily in the
    diet for two weeks at 0, 2, 5, 10, 20, 50, or 200 ppm. MFO activity
    in liver microsomal cell fractions was determined by aniline
    hydroxylase, aminopyrine demethylase, and hexobarbital oxidase
    activities. Dicofol at concentrations of 10 ppm and above increased
    MFO activity. Aminopyrine demethylase activity showed the greatest
    induction with activity increased 2- to 5.7-fold. p,p'-DDT increased
    the activity of this enzyme 2.4- to 7.6-fold over the same dose
    range. Dicofol ranked after heptachlor, DDT, chlorfenson, and
    dieldrin in capacity for inducing MFO enzymes (Den Tonkelaar & Van
    Esch, 1974).

         Dicofol inhibited gap junctional intercellular communication in
    two systems: Chinese hamster V79 metabolic cooperation assay and
    scrape-loading/dye transfer assay in WB-F344 rat liver epithelial
    cells. Dicofol (1000 ppm in the diet for 11 weeks) enhanced the
    development of gamma-glutamyltranspeptidase-positive hepatic foci in
    nitrosamine-initiated male Sprague-Dawley rats (Flodstrom  et al.,
    1990).

    Dogs

         The effect of dicofol on plasma 17-hydroxy-corticosteroids in
    the dog was determined in two dogs which were fed 300 ppm or 900 ppm
    dicofol over two separate periods of one to two months' duration.
    The ability of the adrenal cortex to elaborate
    17-hydroxy-corticosteroids in response to ACTH stimulation was
    slightly reduced at the 300 ppm level and markedly reduced at the
    900 ppm level. The results also showed that following this treatment
    with dicofol, the ability of the adrenal gland to return to the
    pre-treatment level of response to ACTH proceeded slowly and,
    possibly, incompletely (Smith  et al., 1959).

    Toxicological studies

    Acute toxicity studies

         The acute toxicity of technical dicofol is summarized in Table
    1. Common signs of toxicity include decreased spontaneous motor
    activity, ataxia, passiveness, somnolence, prostration, and
    occasionally tremors. In cats, dicofol given i.v. had no convulsive
    activity but produced cardiovascular effects consisting of prolonged
    arrhythmia and hypertension at sublethal doses and ventricular
    fibrillation at a lethal dose.

        Table 1. Acute toxicity of dicofol
                                                                                                   
                                                   LD50           LC50
    Species  Strain            Sex  Route          (mg/kg bw)     (mg/l)  Reference
                                                                                                   

    Mouse    CRJ:CD-1          M    oral           669                    Onishi (1989)
             (ICR)             F                   6751

    Rat      Charles River CD  M    oral           595                    Krzywicki & Bonin
                               F                   5871                   (1985a)

             ?                 M    oral           809                    Smith  et al. (1959);
                               F                   6842                   AnnexI: 11

             Wistar            M    oral           14952,4                Brown  et al. 1969

             Charles River CD  M
                               F    dermal (24-hr  >5000                  Krzywicki & Bonin,
                                    exp)           >50001                 (1985b)

             Wistar            M&F  i.p.           11153-11502,4          deGroot (1974);
                               M                                          Brown  et al. (1969)

             Crl:CDBR          M    inhalation                    >5      Fisher & Hagan,
                               F    (4 hr exp)                    >51     (1987)

    Rabbit   ?                 M    oral           18102                  Smith  et al. 1959;
                                                                          AnnexI: 11

             New Zeeland,      F    dermal (24-hr  >25001                 Krzywicki & Bonin
             white                  exp)                                  (1985b)

    Cat      ?                 M    i.v.           <203                   Joy (1976)

    Dog      ?                 M&F  oral           >40002                 Smith  et al. (1959);
                                                                          Annex I: 11
                                                                                                   

    1 Purity of technical dicofol was 94-96%, <0.1% DDTr.
    2 Purity of technical dicofol was 80-85%.
    3 Purity of technical dicofol was unspecified.
    4 The observation period was 7 days only.
    
    Short-term toxicity studies

    Mice

         Groups of 10 CD-1 (ICR) mice/sex received technical dicofol
    (95.6% pure; < 0.1% DDTr) in the diet daily for 13 weeks at 0, 10,
    125, 250, 500, or 1000 ppm, (equal to 1.6, 18, 38, 84, and 180 mg/kg
    bw/day for males and 2.1, 29, 56, 110, and 190 mg/kg bw/day for
    females). At 125 ppm, final body-weight was reduced in females,
    hepatic mixed function oxidase (MFO) activity was increased in both
    sexes, and absolute and relative liver weight was increased in
    females. Liver cell hypertrophy in both sexes, SGPT in females, and
    kidney weight in females were increased at 250 ppm. Findings at 500
    and 1000 ppm only included increased plasma proteins and lipids,
    degenerative changes in the kidney of females, adrenal cortex
    hypertrophy, and hepatocellular necrosis and vacuolation. The NOAEL
    was 10 ppm, equal to 2.1 mg/kg bw/day based on reduced weight, liver
    enlargement, and increased hepatic MFO activity at 125 ppm (Goldman
    & Harris, 1986).

         In a dose-range finding study for a carcinogenicity study,
    groups of 10 male B6C3F1 mice received technical dicofol (>
    95% pure) in the diet daily for 13 weeks at 0, 250, 500, or 750 ppm
    (equivalent to 36, 71, or 107 mg/kg bw/day). At 500 and 750 ppm,
    final body-weight, overall food consumption, and heart weight were
    reduced. Liver histopathology was evident at all dose levels.
    Hepatic changes were characterized by centrilobular hypertrophy,
    eosinophilic and vitreous liver cells, and polynuclear cells. In the
    high-dose group, entire liver lobules were vitreous in some cases. A
    NOAEL was not identified in this study. Histological changes in the
    liver were observed at all dose levels (Sato  et al., 1987).

    Rats

         Dicofol was fed to groups, each containing 10 male and 10
    female rats, for 90 days at dietary concentrations of 0, 20, 100,
    500, 1250 or 2500 ppm. Survival was adversely affected at 1250 ppm
    and above. Growth was inhibited at 100 ppm and higher in the females
    but only at 1250 ppm in the males. Increased liver to body weight
    ratios occurred in the survivors in both sexes. Liver lesions were
    the most consistent histopathological finding, but were only of
    scattered incidence at dose levels below 1250 ppm (Smith  et al.,
    1959).

         Groups of 10 Crl-CD(SD) rats/sex received technical dicofol
    (95.6% pure, < 0.1% DDTr) in the diet daily for 13 weeks at 0, 1,
    10, 100, 500, or 1500 ppm. ( equal to 0.07, 0.64, 6.5, 32, or 96
    mg/kg bw/day for males and 0.08, 0.78, 7.8, 36, or 110 mg/kg bw/day
    for females). The highest dose of 1500 ppm produced mortality,
    ataxia, and lethargy. At 500 ppm and above in both sexes, body-
    weight and overall food consumption were reduced, liver weight was

    increased, blood corticosterone levels were decreased, and the
    incidence of adrenal cortex vacuolation was increased. At 100 ppm,
    hepatic MFO activity and the incidence of liver hypertrophy were
    increased. The incidence and severity of thyroid follicular cell
    hypertrophy (minimal to marked) was increased in males at 10 ppm and
    above and in females at 500 and 1500 ppm. The pathologist considered
    the thyroid finding of uncertain significance because it is a
    relatively non-specific change that has been associated with
    environmental factors such as low temperature and stress. The NOAEL
    was 1 ppm, equal to 0.07 mg/kg bw/day based on the increase in
    thyroid follicular epithelial hypertrophy in males (Goldman  et
     al., 1986).

         Groups of 10 Wistar rats/sex received technical dicofol (74%
    pure) in the diet daily for 13 weeks at 0, 50, 200, 1000, or 3000
    ppm (equivalent to 2.5, 10, 50, or 150 mg/kg bw/day). All animals
    receiving the high-dose died within five weeks. All dose levels
    adversely affected body-weight (final weight reduced 10-40%). Food
    consumption was not measured. Absolute liver weight was increased in
    high-dose males and in females receiving 200 ppm and higher.
    Histopathological changes in the liver, described as SER whorls and
    V101-cells, were observed in males and females at 200 and 1000 ppm.
    V101-cells were described as enlarged hepatocytes with enlarged
    nuclei, some hyperchromatic or with unbalanced chromatic
    distribution. A basophilic granulation was usually seen in the
    periphery of the enlarged cell with the remainder of the cytoplasm
    containing fine granules and having eosinophilic character. An
    additional observation in high-dose females was increased thyroid
    weight. No microscopic changes in the thyroid were found. A NOAEL
    was not identified in this study (Verschuuren  et al., 1973).

         Groups of 6 Crl:CD BR rats/sex received dermal applications (6
    h/day, 5 days/week) of the formulation Kelthane MF-B (44.8% dicofol)
    at doses of 1, 2.5, 4, or 40 mg active ingredient/kg bw/day for 4
    weeks. Control groups received either dermal application of
    distilled water or the formulation vehicle (vehicle dose of 53 mg/kg
    bw). The vehicle and all dose levels caused skin irritation
    attributable to the formulation vehicle. During the third week of
    treatment, males receiving 40 mg/kg bw/day experienced a reduction
    in absolute body-weight (10%) and body-weight gain (20%). Effects on
    the liver were observed at the high-dose in both sexes. SGPT was
    slightly elevated in high-dose males. Liver weight relative to body-
    weight was increased for high-dose males and females. Minimal
    hypertrophy of centrilobular hepatocytes was observed in 5/6 males
    and 6/6 females receiving 40 mg/kg bw/day compared to none in
    controls. The enlarged hepatocytes were characterized by
    eosinophilic cytoplasm. High-dose males also showed increased
    severity of multifocal inflammation of the liver. Single-cell
    necrosis was observed in some foci. A systemic NOAEL of 4 mg/kg
    bw/day was determined based on reduced body-weight and liver effects
    at 40 mg/kg bw/day (Lampe & Baldwin, 1990).

    Dogs

         Groups of six beagle dogs/sex received technical dicofol (93.3%
    pure; < 0.1% DDTr) in the diet daily for 13 weeks at 0, 10, 100,
    300, or 1000 ppm equal to 0.29, 3.3, 9.9, or 26 mg/kg bw/day for
    males and 0.31, 3.4, 9.8, and 27 mg/kg bw/day for females. Clinical
    laboratory tests on blood, urinalysis, and physiological
    measurements (i.e. electrocardiogram, heart rate, and body
    temperature) were conducted prior to treatment, after 4 weeks, and
    prior to study termination. The high-dose produced mortality in 5/6
    males and 5/6 females. Both sexes receiving 300 and 1000 ppm
    exhibited signs of toxicity such as laboured breathing, excessive
    salivation, inactivity, incoordination, dehydration, and red-tinged
    diarrhoea. Body-weight and food consumption were unaffected at 300
    ppm and below. Clinical chemistry findings were consistent with
    liver injury at 300 and 1000 ppm and there were effects on adrenal
    gland function at 100 ppm and above. In both sexes receiving 1000
    ppm, serum enzymes (SAP, SGPT) were increased and serum proteins
    (albumin, total protein) were decreased. In 300 ppm females,
    alkaline phosphatase was increased four-fold and albumin was
    slightly decreased. Baseline cortisol blood levels were normal, but
    cortisol response to ACTH challenge (20 units of ACTH; cortisol
    measured 30 and 90 minutes after challenge) was markedly decreased
    (50-75%) in both sexes at 100 ppm and above. Electrocardiograms
    suggested treatment-related prolongation of the QT and PR intervals
    in dogs receiving 300 or 1000 ppm. Liver weight was increased in
    males at 300 ppm and in females at 1000 ppm. Microscopic changes
    were notable only at the high-dose. Findings consisted of single
    cell necrosis and mononuclear cell infiltrates in the liver of both
    sexes, gastrointestinal haemorrhagic enteritis and congestion in
    both sexes, and myocardial necrosis in one male. An additional
    observation was oligospermatogenesis observed in three middle-dose
    (300 ppm) males and five high-dose (1000 ppm) males. The NOAEL was
    10 ppm, equal to 0.29 mg/kg bw/day, based on reduced cortisol
    response to ACTH challenge at 100 ppm (Shellenberger, 1986).

         Groups of six beagle dogs/sex received technical dicofol (93.3%
    pure; < 0.1% DDTr) in the diet daily for 52 weeks at 0, 5, 30, or
    180 ppm (equal to 0.12, 0.82, or 5.7 mg/kg bw/day for males and
    0.13, 0.85, or 5.4 mg/kg bw/day for females). Adverse findings
    occurred only at the high dose and were confined to the liver and
    adrenal glands. Slightly elevated serum alkaline phosphatase and
    reduced albumin were suggestive of mild liver injury in both sexes
    at the high dose. Baseline cortisol blood levels were normal, but
    cortisol response to ACTH challenge (20 units of ACTH; cortisol
    measured 30 and 90 minutes after challenge) was markedly decreased
    (about 50%) in high-dose males and females. Liver weight relative to
    body-weight and brain weight was increased in males. Minimal to mild
    hepatocellular hypertrophy was observed in 5/6 males and 5/6 females
    receiving the high-dose compared to none in control or lower-dose
    groups. No treatment-related microscopic changes in the adrenal

    gland were found. The NOAEL was 30 ppm, equal to 0.82 mg/kg bw/day
    based on histological and clinical chemistry indices of an effect on
    the liver and reduced cortisol response to ACTH challenge at 180 ppm
    (Tegeris & Shellenberger, 1988).

         Groups each containing three dogs were given dicofol at 100,
    300 or 900 ppm for one year. Survival was affected only at 900 ppm.
    Body-weight gain was normal and haematological and histological
    observations revealed no pathological effects (Smith  et al.,
    1959).

    Rabbits

         The formulation Kelthane MF (40.7% dicofol) was tested in
    rabbits by the dermal route. Groups of 6 male and 6 female New
    Zeeland white rabbits received dermal applications (6 h/day, 5
    days/week) of the formulation at doses of 4.1, 10.2, or 61.1 mg
    active ingredient/kg bw for 4 weeks. Control groups (6/sex) received
    dermal applications of distilled water or the formulation vehicle
    (concentration equal to the vehicle concentration of the high dose).
    The vehicle and all dose levels of the test material caused dermal
    irritation attributable to the formulation vehicle. Reduced body-
    weight at the high- (males and females) and middle-doses (males) was
    the only other sign of toxicity. Overall body-weight gain was
    reduced 60-65% in high-dose males and females and reduced 56% in
    middle-dose males compared to water controls. These groups also
    showed consistently lower weight gain than vehicle controls. A NOAEL
    of 4.1 mg/kg bw based on reduced weight gain at 10.2 mg/kg bw and
    above (Bonin  et al., 1986).

    Long-term toxicity/carcinogenicity studies

    Mice

         Groups of 50 B6C3F1 mice/sex were administered technical
    dicofol (90% pure, < 1% DDTr) in the diet daily for 78 weeks and
    the basal diet for an additional 14 weeks. Purity of the test
    material was initially reported as 40-60% but later analyses of the
    test material (and a lot sample) indicated 87-93% purity (A.M.
    Rothman, 1981. Personal communication). Male mice received time-
    weighted average diet concentrations of 260 or 530 ppm and female
    mice received time-weighted average concentrations of 120 or 240
    ppm, equivalent to 40 or 80 mg/kg bw/day for males and 18 or 36
    mg/kg bw/day for females. Groups of 20 male and 20 female control
    mice received untreated diets for 91 weeks. At the end of the study,
    survival rates were 35, 76, and 76% for males and 95, 84, and 96%
    for females administered the control, low-dose, and high-dose,
    respectively. Body-weights of treated males were comparable to that
    of controls but weights of low- and high-dose females were lower
    than controls from week 40 to the end of the study. Food consumption
    data were not reported. No clinical signs or non-neoplastic lesions

    were related to dicofol treatment. A dose-related increase in the
    incidence of liver adenomas was observed in male mice. Based on a
    re-read of the slides using updated diagnostic criteria, the
    incidence of liver tumours for the control, low-dose, and high-dose
    groups were 0, 27, and 49% for hepatocellular adenomas,
    respectively; 11, 25, and 19% for hepatocellular carcinomas,
    respectively; and 11, 52, and 68% for hepatocellular adenomas and
    carcinomas combined, respectively (R.R. Maronpot, Personal
    communication). The re-read resulted in reclassification of a large
    number (about 50% at low-dose and 75% at high-dose) of carcinomas as
    adenomas. The majority of tumours reported in the 1978 by NCI were
    carcinomas (NCI, 1978).

    Rats

         Groups containing equal numbers of male and female rats were
    fed 0, 2, 5, 10, 15 or 20 ppm dicofol in their diets for 55 weeks.
    Growth, survival and liver to body weight ratios were not affected
    at any dose level (Smith  et al., 1959).

         Dicofol was fed to 60 groups, each containing 10 male and 10
    female rats, at dietary levels of 0, 20, 100, 250, 500 or 1000 ppm
    dicofol for two years. Growth depression occurred in male rats at
    500 and 1000 ppm, and in female rats progressively with increasing
    dietary concentrations at 250, 500 and 1000 ppm. Growth depression
    after three months, recorded in female rats at 20 ppm (but not at
    100 ppm), was not observed at a later time. Absolute organ weights
    showed no significant differences from the controls, with the
    exception of an increase in the case of the livers and kidneys of
    the female rats fed 1000 ppm. Organ to body weight ratios were
    significantly increased for the liver at 250 ppm and for the liver,
    kidney and heart at 500 ppm in females, but only for the liver at
    500 ppm in males. Histopathological findings were confined to
    hydropic changes in the liver which were regarded as reversible
    (Larson, 1957).

         Groups of 60 Crl-CD BR rats/sex received technical dicofol
    (93.3% pure, < 0.1% DDTr) in the diet daily for 24 months at 0, 5,
    50, or 250 ppm (equal to 0.22, 2.2 or 11 mg/kg bw/day for males and
    0.27, 2.7 or 14 mg/kg bw/day for females). Additional groups
    (10/sex/dose) were treated for 3, 12, and 18 months. Survival was
    unaffected, and no clinical signs were related to treatment. Body-
    weight was reduced 15-25% at 250 ppm in both sexes. Overall food
    consumption was reduced 12% in females receiving 250 ppm. Hepatic
    MFO activity, measured by aminopyrine N-demethylation after 3 and 12
    months, was increased at 50 and 250 ppm. Blood levels of
    corticosterone and thyroid hormones (T3, T4, TSH) were normal.
    Relative liver weight was increased 19% at 50 and 250 ppm in males
    and 35% at 250 ppm in females. Gross changes in the liver (i.e.
    prominent lobular architecture, focal discoloration) were seen at 50
    and 250 ppm. At the terminal sacrifice, the incidence and severity

    of histopathological changes in the liver and adrenal gland were
    increased at 50 and 250 ppm. Liver cell changes included minimal to
    marked centrilobular hypertrophy, centrilobular and mid-zonal
    vacuolation, and cellular alteration of the eosinophilic type. The
    incidences of centrilobular hypertrophy were 0/58, 0/57, 35/60, and
    52/58 in males and 0/59, 0/61, 42/60, and 56/59 in females at the 0,
    5, 50, and 250 ppm dose levels, respectively. Eosinophilic cellular
    alteration appeared to be increased in low-dose females at the 24-
    month sacrifice; however, this was unaccompanied by hypertrophic
    cells observed at the higher doses. Focal hepatocellular hyperplasia
    was increased in high-dose females. Diffuse vacuolation of adrenal
    cortical cells in the  zona fasciculata and  zona reticularis was
    increased primarily at the 250 ppm dose level at the terminal
    sacrifice and at 50 and 250 ppm at the 18-month sacrifice. At the
    terminal sacrifice an increase in chronic cystitis of the urinary
    bladder was noted in high-dose females. In the liver and adrenal
    gland, microscopic changes were observed at all sacrifice times. No
    treatment-related changes in the thyroid were observed at any time
    point. No neoplastic lesions were associated with dicofol treatment.
    The NOAEL was 5 ppm, equal to 0.22 mg/kg bw/day, based on
    histopathological changes in the liver and adrenal gland at 50 and
    250 ppm (Hazelton & Harris, 1989).

         Groups of 50 Osborne-Mendel rats/sex were administered
    technical dicofol (90% pure, < 1% DDTr) in the diet daily for 78
    weeks then a basal diet during a 34-week observation period. Purity
    of the test material was initially reported as 40-60% but later
    analyses of the test material (and a lot sample) indicated 87-93%
    purity (A.M. Rothman, Personal communication, 1981). Male rats
    received time-weighted average diet concentrations of 470 or 940 ppm
    and female rats received constant diet concentrations of 380 or 760
    ppm equivalent to 24 or 47 mg/kg bw/day for males and 19 or 38 mg/kg
    bw/day for females. Groups of 20 male and 20 female control rats
    received untreated diets for 110 weeks. Survival rates at 100 weeks
    were 55, 64, and 72% for males and 80, 92, and 88% for females
    administered the control, low-dose, and high-dose, respectively.
    Body-weights of low- and high-dose males and females were lower than
    control weights throughout the treatment period. Food consumption
    data were not reported. No treatment-related clinical signs were
    observed. No neoplastic or nonneoplastic lesions were associated
    with dicofol treatment (NCI, 1978).

    Reproduction studies

    Mice

         Groups of varying numbers of mice were maintained throughout
    five generations on dietary levels of 0, 7, 25, 100, 225 or 500 ppm
    dicofol. At 500 ppm the litter sizes, average weight of the pups and
    the fertility, viability and lactation indices were lower than for

    the control group. However, all these parameters were normal at 225
    ppm and below (Brown, 1967a).

    Rats

         Four groups each of 27 male and 27 female rats were fed dietary
    levels of 0, 100, 500 or 1000 ppm dicofol in a two-generation
    reproduction study. There were no Flb pups surviving at 21 days
    when the original parents were fed 500 or 1000 ppm dicofol. Litter
    size from the 1000 ppm group was similar to the control, but overall
    mortality in the pups was greater. Considerable reduction in
    fertility of the animals fed 500 and 1000 ppm dicofol was evident.
    No congenital defects were observed in any of the F2a or F2b
    animals (Brown, 1965).

         Groups of rats were maintained on diets containing 25 or 75 ppm
    dicofol through a three-generation study. The average number of pups
    born per litter to parents receiving 75 ppm was slightly lower than
    for the controls. There were no compound-related effects relative to
    body weight, fertility, gestation, viability or lactation indices at
    either level, nor were there any congenital abnormalities evident in
    either the viable or the still-born pups (Brown, 1967b).

         Dicofol technical (93.3% pure) was administered to Crl:CD BR
    rats over two generations (one-two litter study) at 5, 25, 125, or
    250 ppm in the diet equal to 0.5, 2.1, 10 or 21 mg/kg bw/day for
    males and 0.5, 2.2, 11 or 18 mg/kg bw/day for females. The first
    parental (P1) animals were treated for 10 weeks prior to mating,
    during mating, during pregnancy, and through weaning of the F1
    offspring. Selected F1 offspring (P2) were treated during
    growth, mating, the production of two F2 litters (F2a, F2b),
    and until the second F2 litter was weaned. During the pre-mating
    period and gestation, P1 females receiving 125 or 250 ppm showed
    reduced body-weight gain and food consumption. Treatment-related
    histological changes were observed in the liver, ovaries, and
    adrenal glands of P1 and P2 rats. The most prominent liver
    change was minimal to moderately severe hypertrophy of centrilobular
    hepatocytes accompanied by centrilobular to mid-zonal vacuolation in
    P1 and P2 males and females. The response was more severe in
    males than females. The incidence in P2 males was 0/25, 1/25,
    14/25, 24/25, and 25/25 in 0, 5, 25, 125, and 250 ppm groups,
    respectively. Focal eosinophilic cellular alteration was increased
    in P2 male (6/25) and female (8/25) rats at 250 ppm and P2
    females at 125 ppm (6/25) compared to controls (1/25 in males; 0/25
    in females). At 250 ppm, there was an increase in bile duct
    hyperplasia in P1 and P2 females. Vacuolation of the ovary was
    increased at 250 ppm in P1 females and at 25 ppm and above in P2
    females. The incidences in P2 females were 1/25, 1/25, 6/25, 5/25,
    and 18/25 in 0, 5, 25, 125, and 250 ppm groups, respectively. The
    change was characterized by an increase in the size and/or number of
    vacuoles in the cytoplasm of ovarian stromal cells. The

    morphological change was described as compatible with enhanced
    steroidogenic activity. The incidence of hypertrophy and/or
    vacuolation of the adrenal cortex was increased in P1 and P2
    females receiving 125 ppm (P1, 7/25; P2, 8/25) and 250 ppm
    (P1, 23/25; P2, 25/25) compared to controls (P1 and P2,
    0/25). The change was characterized by diffuse enlargement and
    increased amounts of finely vacuolated cytoplasm or prominent large
    vacuoles in the cells of the inner cortex.

         Reproductive performance of P1 and P2 rats was unaffected.
    Offspring toxicity was observed in F1 and F2 pups at 125 and 250
    ppm. Viability was reduced in F1 pups at 250 ppm and F2 pups at
    125 and 250 ppm. Reduced survival was primarily due to deaths during
    days 0-4 of lactation. At 250 ppm, growth of F1 and F2 pups was
    reduced during lactation. The NOAEL based on reproductive parameters
    was 25 ppm, equal to 2.1 mg/kg bw/day. The NOAEL for parental
    toxicity was 5 ppm equal to 0.5 mg/kg bw/day, based on
    histopathological changes in the liver and ovaries at 25 ppm and
    above. The ovarian effect was considered compatible with enhanced
    steroidogenic activity (Solomon & Kulwich, 1991).

    Special studies on embryo/fetotoxicity

    Rats

         The teratogenicity of dicofol was studied in Crl:COBS CD (SD)BR
    rats. Dicofol (95.6% pure) was administered on days 6-15 of
    gestation by oral gavage to groups of 25 mated females rats at doses
    of 0, 0.25, 2.5, or 25 mg/kg bw/day. Controls received corn oil.
    Rats were sacrificed on day 20. During the treatment period, a
    majority (21/25) of the high-dose group frequently exhibited
    excessive salivation as did one-fifth (5/25) of the middle-dose
    group (on one to three occasions). This clinical sign was not
    observed in the dose range-finding study in which 8 rats/sex/dose
    were given doses of 1, 5, 20, 60 or 180 mg/kg bw/day, except in one
    animal (180 mg/kg bw/day group) on one day. Body-weight gain and
    food consumption were reduced at the high-dose (25 mg/kg bw/day)
    during the treatment period; a rebound increase was observed post-
    treatment. Liver weight relative to body-weight was increased (7%)
    at the high-dose. A histological change in the liver, consisting of
    centrilobular hepatocyte hypertrophy (minimal to slight), was
    observed in 17/25 of the high-dose group versus none in the control
    or lower dose groups. Dicofol had no-observable-effect on the
    offspring.

         The NOAEL for maternal toxicity was 0.25 mg/kg bw/day based on
    clinical signs of toxicity (salivation) at 2.5 mg/kg bw/day and
    above. The NOAEL for embryo-fetal toxicity and teratogenicity was 25
    mg/kg bw/day based on no-observable-effect on the offspring at the
    highest dose tested (Hoberman & Christian, 1986b).

    Rabbits

         The teratogenicity of dicofol was studied in New Zeeland white
    rabbits. Dicofol (95.6% pure) was administered on days 7-19 of
    gestation by oral gavage to groups of 20 artificially inseminated
    females at doses of 0, 0.4, 4, or 40 mg/kg bw/day. The control
    received the aqueous methylcellulose vehicle. Rabbits were
    sacrificed on day 29. Maternal toxicity was produced by the 4 and 40
    mg/kg bw/day doses. The high-dose group experienced clinical signs
    (abnormal faeces), weight loss, and reduced food consumption during
    the treatment period. Although body-weight showed a rebound increase
    after treatment, overall body-weight gain was depressed (42%).
    Relative liver weight expressed to body-weight was increased (20%)
    at the high dose. The incidence of eosinophilic, hyaline material in
    centrilobular hepatocytes was increased at the 4 mg/kg bw/day (2/19)
    and 40 mg/kg bw/day (8/20) dose levels compared to controls (0/20).
    Diffuse vacuolation of hepatocytes was observed in 6/20 of the high-
    dose group compared to 0/20 of controls. An increased incidence of
    abortion was observed at the high dose (high dose, 4/19; control,
    1/18). Dicofol treatment had no other effect on the developing
    offspring.

         The NOAEL for maternal toxicity was 0.4 mg/kg bw/day based on
    histopathological changes in the liver at 4 mg/kg bw/day and above.
    The NOAEL for teratogenicity was 40 mg/kg bw/day based on no
    observable effect on the offspring at the highest dose tested
    (Hoberman & Christian, 1986a). The incidence of abortion was
    increased at the high-dose (4/19) compared to concurrent controls
    (1/18) and historical controls (up to 1/14 to 2/15 with an outlier
    of 1/4). The high incidence may be related to maternal toxicity, but
    a direct developmental effect cannot be excluded. The NOAEL for
    embryo-fetal toxicity was therefore 4 mg/kg bw/day based on the
    increased incidence of abortion at 40 mg/kg bw/day.

    Special studies on eye and skin irritation and hypersensitivity

         Technical dicofol is reported to be irritating to the skin but
    non-irritating to the eye (Baldwin & Hurt, 1985).

         Technical dicofol produced delayed contact hypersensitivity in
    guinea-pigs (Bonin & Hazelton, 1987).

    Special studies on genotoxicity

         Results of representative genotoxicity studies are shown in
    Table 2. Dicofol has been overwhelmingly negative in assays for
    point mutation, chromosomal aberration, unscheduled DNA synthesis,
    and sister chromatid exchange. Occasional positive findings have not
    been substantiated by other studies.

    Observations in humans

         In 1979, 78 incidents of Kelthane(R) exposure were reported
    by the US Environmental Protection Agency Pesticide Incident
    Monitoring System. Fourteen cases involved dicofol alone and 8 of
    these reported symptoms. One case involved dicofol ingestion (amount
    unspecified) leading to nausea, dizziness, and vomiting. Three cases
    involved inhalation exposure resulting in dizziness, weakness, and
    vomiting in two cases and sinus congestion in the third. Two cases
    involved dermal exposure (amount unspecified) resulting in skin
    irritation in one case and rash (allergic reaction) in the other
    (USEPA, 1979).

         In a case report, a 12-year-old male was accidentally exposed
    to dicofol when he fell from a bicycle into a puddle of spilled
    undiluted dicofol formulation (470 g/l; 50-gal. drum). The skin was
    abraded and clothing contaminated. The patient had initial symptoms
    of nausea, dizziness, disorientation, confusion, lethargy, and
    headache. The patient demonstrated horizontal nystagmus and impaired
    balance. These symptoms resolved within three weeks. Three weeks
    after the incident, serum dicofol levels were 1.1 œg/l and adipose
    tissue levels were 0.153 œg/kg (analytical methods unspecified). No
    dicofol was detected in serum 16 weeks after the exposure. Following
    persistent emotional difficulties, the patient underwent a
    neuropsychological evaluation eight months after the exposure, which
    showed impairment of certain cognitive functions including auditory
    attention, immediate memory, and ability to selectively inhibit
    inappropriate responses. A pre-exposure neuropsychological analysis
    was unavailable for comparison (Lessenger & Riley, 1991).

    
    Table 2. Results of genotoxicity assays on dicofol
                                                                                                                                                
    Test system                  Test object                       Concentration of dicofol         Purity  Results       Reference
                                                                                                                                                

    Ames test (1)                S. typhimurium                    5-5000 µg/plate dissolved in     95.6%   Negative (2)  Higginbotham & Byers
                                 TA98, TA100, TA1535, TA1537       DMSO                                                   (1985)

                                 S. typhimurium                    1-1000 µg/plate dissolved in     89.9%   Negative      Shirasu  et al. (1980)
                                 TA98, TA100, TA1535, TA1537,      DMSO
                                 TA1538

    E. coli mutation assay (1)   E. coli, WP2 hcr                  1-5000 µg/plate dissolved in     89.9%   Negative      Shirasu  et al. (1980)
                                                                   DMSO

    B. subtilis rec-assay        B. subtilis, H17, M45             20-2000 µg/disk dissolved in     89.9%   Negative      Shirasu  et al. (1980)
                                                                   DMSO

    CHO/HGPRT mutation assay     Chinese hamster ovary cells       3-20 µg/ml dissolved in DMSO     95.6%   Negative      Foxall (1986)
    (1)                          (CHO-K1-BH4)

    Sex-linked recessive lethal  D. melangaster                    10 000 ppm, feeding and          34.8%   Negative      Woodruff  et al. (1985)
    mutation                                                       injection

    Unscheduled DNA synthesis    Male rat (F-344) primary culture  0.025-0.5 µg/ml in DMSO          95.6%   Negative (3)  Foxall & Byers (1986)
                                 hepatocytes

    In vitro sister chromatid    Chinese hamster ovary cells       5-500 µg/ml                      ?       Negative      Galloway  et al. (1987)
    exchange (1)                 (CHO-W-Bl)

    In vitro cytogenetics (1)    Chinese hamster ovary cells       7.5-20 µg/ml dissolved in DMSO   95.6%   Negative      Ivett & Myhr (1986)
                                 (CHO-WBL)
                                                                   50-500 µg/ml                     ?       Negative      Galloway  et al. (1987)
                                 Chinese hamster ovary cells
                                 (CHO-W-Bl)

    In vivo cytogenetics         Male CRL:COBS-CD(SD) rat,         47.8-478 mg/kg bw orally X 1     89.6%   Negative (4)  Sames & Doolittle
                                 bone marrow                                                                              (1986)
                                                                                                                                                

    Table 2 (continued)

    (1)  Both with and without metabolic activation
    (2)  No positive control in nonactivated assay
    (3)  Unable to verify cytotoxicity
    (4)  No evidence presented (e.g., miototic index) to demonstrate test material reached the target tissue. A maximum tolerated dose may not
         have been used.

    
    COMMENTS

         Dicofol was extensively absorbed from the gastrointestinal
    tract. At near steady-state conditions, the highest tissue
    concentrations were found in adipose tissue followed by the adrenal
    glands, thyroid, and liver. The p,p'-dicofol isomer, the main
    component of technical dicofol, was more persistent in the body than
    the o,p'-isomer. Female rats tended to retain dicofol to a greater
    extent than males. Dicofol and DDT showed a similar pattern of
    distribution and elimination. Dicofol is more polar and therefore
    less persistent in the body.

         In rats, dicofol was excreted as polar metabolites, primarily
    in the faeces, but with lesser amounts in the urine. Metabolism
    involved dechlorination and oxidation of the ethanol moiety and
    hydroxylation of the aromatic rings. In adipose tissue, the parent
    compound was predominant. The metabolic profile was similar in mice.

         Dicofol had moderate acute oral toxicity. It produces signs of
    toxicity consistent with CNS depression. WHO has classified dicofol
    as slightly hazardous (WHO, 1992).

         In a 13-week study in mice using dietary concentrations of 0,
    10, 125, 250, 500, or 1000 ppm in the diet, the NOAEL was 10 ppm,
    equal to 2.1 mg/kg bw/day, based on reduced body-weight, liver
    enlargement, and increased hepatic mixed function oxidase (MFO)
    activity. In another 13-week study in mice using dietary
    concentrations of 0, 250, 500, or 750 ppm, liver histopathology,
    including centrilobular hypertrophy and eosinophilia of heptocytes,
    was observed at all dose levels.

         In a 13-week study in rats at dietary concentrations of 0, 1,
    10, 100, 500, or 1500 ppm, the NOAEL was 1 ppm, equal to 0.07 mg/kg
    bw/day. Although the incidence and severity of thyroid follicular
    epithelial hypertrophy was increased in males at 10 ppm and above,
    this thyroid effect was not found in a second 13-week study using
    dietary concentrations of 0, 50, 200, 1000, or 3000 ppm.

         In a 13-week study in dogs using dietary concentrations of 0,
    10, 100, 300, or 1000 ppm in the diet, the NOAEL was 10 ppm, equal
    to 0.29 mg/kg bw/day. At 100 ppm, equal to 3.3 mg/kg bw/day,
    cortisol response to ACTH was reduced. A 1-year dog study used
    dietary levels of 0, 5, 30, or 180 ppm was performed to better
    define the NOAEL. The NOAEL was 30 ppm, equal to 0.82 mg/kg bw/day,
    based on liver changes and reduced cortisol response to ACTH at 180
    ppm, equal to 5.7 mg/kg bw/day.

         In a 78-week carcinogenicity study in mice using time-weighted
    average concentrations of 260 or 530 ppm for males and 120 or 240
    ppm for females, dicofol produced an increased incidence of liver
    adenomas and adenomas/carcinomas combined in male mice at 260 and

    530 ppm, equivalent to 40 and 80 mg/kg bw/day. Dicofol was not
    carcinogenic in female mice.

         In a two-year study in rats using dietary concentrations of 0,
    5, 50, or 250 ppm in the diet, the NOAEL was 5 ppm, equal to 0.22
    mg/kg bw/day, based on histopathological changes in the liver and
    vacuolation of adrenal cortical cells at 50 ppm, equal to 2.2 mg/kg
    bw/day. No treatment-related changes in the thyroid or in the
    incidence of neoplasia were observed. There was no evidence of
    carcinogenicity in a 78-week carcinogenicity study in rats using
    time-weighted average concentrations of 470 or 940 ppm (24 or 47
    mg/kg bw/day) for males and 380 or 760 ppm (19 or 38 mg/kg bw/day)
    for females. Dicofol was not carcinogenic in rats.

         In a two-generation reproduction study in rats using dietary
    concentrations of 5, 25, 125, or 250 ppm in the diet, the NOAEL was
    5 ppm, equal to 0.5 mg/kg bw/day, based on an increased incidence of
    ovarian stromal cell hypertrophy and hepatocellular changes at 25
    ppm. Offspring viability was reduced at 125 and 250 ppm. The NOAEL
    for reproductive parameters was 25 ppm, equal to 2.1 mg/kg bw/day.

         In a teratology study in rats using gavage doses of 0, 0.25,
    2.5, or 25 mg/kg bw/day, the NOAEL for maternal toxicity was 0.25
    mg/kg bw/day based on clinical signs of toxicity at 2.5 mg/kg
    bw/day. The NOAEL for embryofoetal toxicity was 25 mg/kg bw/day. In
    a teratology study in rabbits using gavage doses of 0, 0.4, 4, or 40
    mg/kg bw/day, the NOAEL for maternal toxicity was 0.4 mg/kg bw/day
    based on histopathological changes in the liver at 4 mg/kg bw/day.
    The NOAEL for embryofoetal toxicity was 4 mg/kg bw/day based on an
    increased incidence of abortion at 40 mg/kg bw/day. Teratogenic
    effects were not found in these studies.

         After reviewing the available genotoxicity data, the Meeting
    concluded that dicofol was not genotoxic.

         The Meeting concluded, after consideration of the liver tumours
    in male mice found in the long-term studies together with the
    genotoxicity data, that dicofol did not present a carcinogenic
    hazard for humans.

         The previous ADI was revised. A new ADI was allocated, based
    upon the NOAEL of 0.22 mg/kg bw/day in the long-term study in rats,
    using a safety factor of 100.

    TOXICOLOGICAL EVALUATION

    Level causing no toxicological effect

         Mouse:    10 ppm, equal to 2.1 mg/kg bw/day (13-week study)

         Rat:      5 ppm, equal to 0.22 mg/kg bw/day in males (two-year
                   study) 0.25 mg/kg bw/day (teratogenicity study,
                   maternal toxicity)

         Rabbit:   0.4 mg/kg bw/day (teratogenicity study, maternal
                   toxicity)

         Dog:      30 ppm, equal to 0.82 mg/kg bw/day (one-year study).

    Estimate of acceptable daily intake for humans

         0-0.002 mg/kg bw

    Studies which will provide information valuable in the continued
    evaluation of the compound

         Further observations in humans.

    REFERENCES

    Baldwin, R.C. & Hurt, S.S. (1989) Dicofol technical purified skin
    and eye irritation data summarized according to EEC criteria.
    Unpublished report No. 85R-004A from Rohm and Haas Company, Spring
    House, PA, USA. Submitted to WHO by Rohm and Haas Company, Spring
    House, PA, USA.

    Bonin, R. & Hazelton, G.A. (1987) Dicofol (Kelthane technical
    miticide): Delayed contact hypersensitivity study in guinea pigs.
    Unpublished report No. 87R-027 from Rohm and Haas Company, Spring
    House, PA, USA. Submitted to WHO by Rohm and Haas Company, Spring
    House, PA, USA.

    Bonin, R., Hazelton, G.A., & Kulwich, B.A. (1986) Dicofol (Kelthane
    MF miticide): 4-Week dermal toxicity study in rabbits. Unpublished
    report No. 86R-047 from Rohm and Haas Company, Spring House, PA,
    USA. Submitted to WHO by Rohm and Haas Company, Spring House, PA,
    USA.

    Brown, J.R. (1965) Toxicologic studies on the effects of kelthane in
    the diet of albino rats on reproduction. Department of Physiological
    Hygiene, University of Toronto. Unpublished report submitted to WHO.

    Brown, J.R. (1967a) Toxicologic studies on 2,2-bis-chlorophenyl-
    2,2,2-trichloroethanol, kelthane. Brown Biological Laboratories Ltd.
    Unpublished report submitted to WHO.

    Brown, J.R. (1967b) Three-generation reproduction study on rats
    receiving technical kelthane in their diet. Department of
    Physiological Hygiene, University of Toronto. Unpublished report
    submitted to WHO.

    Brown, J.R. (1971) Effect of dietary Kelthane on mouse and rat
    reproduction. In: Tahori, A.S. (Ed.), Fate of pesticides in
    environment. Proceedings of the Second International IUPAC Congress
    of Pesticide Chemistry. Vol. VI, pp. 531-548. Gordon and Breach
    Science Publishers, London, New York, and Paris.

    Brown, J.R., Hughes, H., & Viriyanondha, S. (1969) Storage,
    distribution, and metabolism of 1,1-bis(4-chlorophenyl)-2,2,2-
    trichloroethanol.  Toxicol. Appl. Pharmacol., 15: 30-37.

    Brown, M.A. & Casida, J.E. (1987) Metabolism of a dicofol impurity
    alpha-chloro-DDT, but not dicofol or dechlorodicofol, to DDE in mice
    and a liver microsomal system.  Xenobiotica, 17: 1169-1174.

    de Groot, A.P. (1974) Determination of the acute intraperitoneal
    toxicity of Kelthane technical in rats. Unpublished report No. 74RC-
    1096 Central Institute for Nutrition and Food Research. Submitted to
    WHO by Rohm and Haas Company, Spring House, PA, USA.

    Den Tonkelaar, E.M. & Van Esch, G.J. (1974) No-effect levels of
    organochlorine pesticides based on induction of microsomal liver
    enzymes in short-term toxicity experiments.  Toxicology, 2: 371-
    380.

    DiDonato, L.J., Steigerwalt, R.B., & Longacre, S.L. (1987) o,p'-
    Dicofol and p,p'-dicofol: Kinetic study in female rats. Unpublished
    report No. 86R-173 from Rohm and Haas Company, Spring House, PA,
    USA. Submitted to WHO by Rohm and Haas Company, Spring House, PA,
    USA.

    Fisher, J.R. & Hagan, J.V. (1987) Dicofol (Kelthane technical
    miticide) acute inhalation toxicity study in rats. Unpublished
    report No. 87R-001 from Rohm and Haas Company, Spring House, PA,
    USA. Submitted to WHO by Rohm and Haas Company, Spring House, PA,
    USA.

    Flodstrom, S., Hemming, H., Warngard, L., & Ahlborg, U.G. (1990)
    Promotion of altered hepatic foci development in rat liver,
    cytochrome P450 enzyme induction and inhibition of cell-cell
    communication by DDT and some structurally related organohalogen
    pesticides.  Carcinogenesis, 11: 1413-1417.

    Foxall, S. (1986) Kelthane technical CHO/HGPRT gene mutation assay.
    Unpublished report No. 86R-002 from Rohm and Haas Company, Spring
    House, PA, USA. Submitted to WHO by Rohm and Haas Company, Spring
    House, PA, USA.

    Foxall, S. & Byers, M.J. (1986) Dicofol (Kelthane technical
    miticide):  In vitro unscheduled DNA synthesis assay. Unpublished
    report No. 85R-202 from Rohm and Haas Company, Spring House, PA,
    USA. Submitted to WHO by Rohm and Haas Company, Spring House, PA,
    USA.

    Galloway, S.M., Armstrong, M.J., Reuben, C., Colman, S., Brown, B.,
    & Cannon, C. (1987) Chromosome aberrations and sister chromatid
    exchanges in Chinese hamster ovary cells: Evaluations of 108
    chemicals.  Environmental and Molecular Mutagenesis, 10: 1-175.

    Goldman, P.R., Bernacki, H.J., & Quinn, D.L. (1986) Kelthane: Three-
    month dietary toxicity study in rats. Unpublished report No. 85R-093
    from Rohm and Haas Company, Spring House, PA, USA. Submitted to WHO
    by Rohm and Haas Company, Spring House, PA, USA.

    Goldman, P.R. & Harris, J.C. (1986) Dicofol (Kelthane technical
    miticide): Three month dietary toxicity study in mice. Unpublished
    report No. 85R-104 from Rohm and Haas Company, Spring House, PA,
    USA. Submitted to WHO by Rohm and Haas Company, Spring House, PA,
    USA.

    Hazelton, G.A. & Harris, J.C. (1989) Dicofol (Kelthane technical
    miticide): 24-Month dietary chronic/oncogenic study in rats.
    Unpublished report No. 89R-190 from Rohm and Haas Company, Spring
    House, PA, USA. Submitted to WHO by Rohm and Haas Company, Spring
    House, PA, USA.

    Higginbotham, C.A. & Byers, M.J. (1985) Dicofol (Kelthane technical
    miticide): Microbial mutagen assay. Unpublished report No. 85R-0042
    from Rohm and Haas Company, Spring House, PA, USA. Submitted to WHO
    by Rohm and Haas Company, Spring House, PA, USA.

    Hoberman, A.M. & Christian, M.S. (1986a) A developmental toxicity
    study of dicofol administered via stomach tube to New Zeeland white
    rabbits. Unpublished report No. 018-009 (Rohm and Haas report No.
    86RC-15) from Argus Research Laboratories, Inc., Horsham,
    Pennsylvania, USA. Submitted to WHO by Rohm and Haas Company, Spring
    House, PA, USA.

    Hoberman, A.M. & Christian, M.S. (1986b) A developmental toxicity
    study of dicofol (Kelthane technical miticide) administered via
    gavage to Crl:COBS CD (SD)BR presumed pregnant rats. Unpublished
    report No. 018-010 (Rohm and Haas report No. 85RC-69) from Argus
    Research Laboratories, Inc., Horsham, Pennsylvania, USA. Submitted
    to WHO by Rohm and Haas Company, Spring House, PA, USA.

    Ivett, J.L. & Myhr, B.C. (1986) Dicofol (Kelthane technical
    miticide):  In vitro cytogenetic assay in Chinese hamster ovary
    (CHO) cells. Unpublished report No. 20990 (Rohm and Haas report No.
    85RC-0068) from Litton Bionetics, Inc., Kensington, Maryland, USA.
    Submitted to WHO by Rohm and Haas Company, Spring House, PA, USA.

    Joy, R.M. (1976) Convulsive properties of chlorinated hydrocarbon
    insecticides in the cat central nervous system.  Toxicol. Appl.
     Pharmacol., 35: 95-106.

    Kaneshima, H., Okui, T., Hiroshi, O., & Yamaguchi, T. (1980) Studies
    on the biological fate of Kelthane. I. Distribution and excretion of
    3H-Kelthane in mice.  Eisei Kagaku, 26: 193-195.

    Krzywicki, K. & Bonin, R. (1985a) Acute definitive oral LD50 in
    rats in Kelthane technical. Unpublished report No. 85R-034A/B from
    Rohm and Haas Company, Spring House, PA, USA. Submitted to WHO by
    Rohm and Haas Company, Spring House, PA, USA.

    Krzywicki, K. & Bonin, R. (1985b) Acute definitive dermal LD50 in
    rats/rabbits in Kelthane technical. Unpublished report No. 85R-
    033A/B/C/D from Rohm and Haas Company, Spring House, PA, USA.
    Submitted to WHO by Rohm and Haas Company, Spring House, PA, USA.

    Lampe, K.R. & Baldwin, R.C. (1990) Dicofol (Kelthane MF-B miticide)
    four week dermal toxicity study in rats. Unpublished report No. 89R-
    085 from Rohm and Haas Company, Spring House, PA, USA. Submitted to
    WHO by Rohm and Haas Company, Spring House, PA, USA.

    Larson, P.S. (1957) Two-year study on the effect of adding kelthane
    to the diet of rats. Medical College of Virginia. Unpublished report
    submitted to WHO.

    Lessenger, J.E. & Riley, N. (1991) Neurotoxicities and behavioral
    changes in a 12-year-old male exposed to dicofol, an organochlorine
    pesticide.

    Maronpot, R.R. (1985) Personal Communication for the Head of
    Experimental Pathology, National Toxicology Program, Research
    Triangle Park, North Carolina, to J.A. Moore, EPA, Washington DC.
    Submitted to WHO by Rohm and Haas Co., Philadelphia, Pennsylvania,
    USA.

    Narloch, B.A., Lawton, M.P., Moody, D.E., Hammock, B.D., & Shull,
    L.R. (1987) The effects of dicofol on induction of hepatic
    microsomal metabolism in rats.  Pest. Biochem. Physiol., 28: 362-
    370.

    NCI (1978) Bioassay of dicofol for possible carcinogenicity.
    National Cancer Institute carcinogenesis technical report series No.
    90.

    Nigg, H.N., Stamper, J.H., Deshmukh, S.N., & Queen, R.M. (1991)
    4,4'-Dichlorobenzilic acid urinary excretion by dicofol pesticide
    applicators.  Chemosphere, 22: 365-373.

    Onishi, M. (1989) Acute oral toxicity of DICOFOL (Kelthane) TECH.B
    in mice. Unpublished report No. 89RC-1025 from Shin Nippon
    Biomedical Laboratories, Ltd., Kagoshima 891-13, Japan. Submitted to
    WHO by Rohm and Haas Company, Spring House, PA, USA.

    Rothman, A.M. (1981) Personal Communication for the Head of
    Experimental Pathology, National Toxicology Program, Research
    Triangle Park, North Carolina to J.A. Moore, EPA, Washington DC.
    Submitted to WHO by Rohm and Haas Co., Philadelphia, Pennsylvania,
    USA.

    Sames, J.L. & Doolittle, D.J. (1986) Dicofol (Kelthane technical
    miticide): Kelthane  in vivo cytogenetic study in rats. Unpublished
    report No. 85R-215 from Rohm and Haas Company, Spring House, PA,
    USA. Submitted to WHO by Rohm and Haas Company, Spring House, PA,
    USA.

    Sato, H., Toyoda, K., Furukawa, F., Hasegawa, R., Takahashi, M., &
    Hayashi, Y. (1987) Subchronic oral toxicity test of dicofol (1,1-
     bis(p-chlorophenyl)-2,2,2-trichloroethanol) as the basis for the
    design of a long-term carcinogenicity study in B6C3F1 mice.
    Bulletin of National Institute of Hygienic Sciences 105: 42-45.

    Shellenberger, T.E. (1986) Dicofol (Kelthane miticide): Three-month
    dietary toxicity study in dogs. Unpublished report No. 85014 (Rohm
    and Haas report No. 86RC-23) from Tegeris Laboratories Inc., Laurel,
    Maryland, USA. Submitted to WHO by Rohm and Haas Company, Spring
    House, PA, USA.

    Shirasu, Y., Moriya, M., & Ohta, T. (1980) Microbial mutagenicity
    test of Kelthane. Unpublished report (Rohm and Haas No. 80RC-1024)
    from Institute of Environmental Toxicology, Japan. Submitted to WHO
    by Rohm and Haas Company, Spring House, PA, USA.

    Smith, R.B., Jr., Larson, P.S., Finnegan, J.K., Haag, H.B.,
    Hennigar, G.R., & Cobey, F. (1959) Toxicologic studies on 2,2- bis-
    (chlorophenyl)-2,2,2-trichloroethanol.  Toxicol. Appl. Pharmacol.,
    1: 119-134.

    Solomon, H.M. & Kulwich, B.A. (1991) Dicofol: Two-generation study
    in rats. Unpublished report No. 89R-028 from Rohm and Haas Company,
    Spring House, PA, USA. Submitted to WHO by Rohm and Haas Company,
    Spring House, PA, USA.

    Steigerwalt, R.B., Deckert, F.W., & Longacre, S.L. (1984a)
    Comparative disposition of a single po dose of 14C-Kelthane and
    14C-DDT in rats. Unpublished report No. 79R-130 from Rohm and Haas
    Company, Spring House, PA, USA. Submitted to WHO by Rohm and Haas
    Company, Spring House, PA, USA.

    Steigerwalt, R.B., Deckert, F.W., & Longacre, S.L. (1984b)
    Comparative disposition of multiple doses of 14C-Kelthane and
    14C-DDT in female rats. Unpublished report No. 80R-174 from Rohm
    and Haas Company, Spring House, PA, USA. Submitted to WHO by Rohm
    and Haas Company, Spring House, PA, USA.

    Steigerwalt, R.B., Deckert, F.W., & Longacre, S.L. (1984c) Mouse
    liver mixed function oxidase assay for Kelthane technical - three
    day po induction study. Unpublished report No. 80R-018 from Rohm and
    Haas Company, Spring House, PA, USA. Submitted to WHO by Rohm and
    Haas Company, Spring House, PA, USA.

    Steigerwalt, R.B., Udinsky, J.R., Deckert, F.W., & Longacre, S.L.
    (1984d) Liver mixed function oxidase assays for Kelthane technical,
    its active ingredients, and principal technical impurities in male
    B6C3F1 mice after two week dietary exposure. Unpublished

    report No. 79R-167 from Rohm and Haas Company, Spring House, PA,
    USA. Submitted to WHO by Rohm and Haas Company, Spring House, PA,
    USA.

    Tegeris, A.S. & Shellenberger, T.E. (1988) Dicofol (Kelthane
    technical miticide): One year dietary toxicity study in beagle dogs.
    Unpublished report No. 86014 (Rohm and Haas report No. 87RC-027)
    from Tegeris Laboratories Inc., Laurel, Maryland, USA. Submitted to
    WHO by Rohm and Haas Company, Spring House, PA, USA.

    Tillman, A.M. & Mazza, L.S. (1986) Part I: Absorption and excretion
    of 14C-dicofol in male and female rats. Part II: A metabolism
    study of 14C-dicofol in male and female rats. Unpublished report
    No. 31L-86-02 from Rohm and Haas Company, Spring House, PA, USA.
    Submitted to WHO by Rohm and Haas Company, Spring House, PA, USA.

    USEPA (1979) (US Environmental Protection Agency) pesticide incident
    monitoring system. Summary of reported pesticide incidents involving
    Kelthane, Report No. 173. Office of Pesticide Programs.

    Verschuuren, H.G., Kroes, R., & Den Tonkelaar, E.M. (1973) Toxicity
    studies on tetrasul III. Short-term comparative studies in rats with
    tetrasul and structurally related acaricides.  Toxicology, 1: 113-
    123.

    WHO (1992). The WHO recommended classification of pesticides by
    hazard and guidelines to classification 1992-1993 (WHO/PCS/92.14).
    Available from the International Programme on Chemical Safety, World
    Health Organization, Geneva, Switzerland.

    Woodruff, R.C., Mason, J.M., Valencia, R., & Zimmering, S. (1985)
    Chemical mutagenesis testing in  Drosophila. V. Results of 53 coded
    compounds tested for the National Toxicology Program.  Environmental
     Mutagenesis, 7: 677-702.


    See Also:
       Toxicological Abbreviations
       Dicofol (ICSC)
       Dicofol (FAO/PL:1968/M/9/1)
       Dicofol (AGP:1970/M/12/1)
       Dicofol (WHO Pesticide Residues Series 4)
       Dicofol (IARC Summary & Evaluation, Volume 30, 1983)