IPCS INCHEM Home

    AZINPHOS-METHYL

    First draft prepared by Mr. M. Watson,
    Ministry of Agriculture, Fisheries and Food,
    Harpenden, Hertfordshire, United Kingdom

    EXPLANATION

         Azinphos-methyl was evaluated for acceptable daily intake by
    previous Joint Meetings in 1965, 1968 and 1973 (Annex I, 3, 12, 22). 
    An ADI of 0 - 0.0025 mg/kg bw was established at the last evaluation. 
    Since that time additional information has become available and the
    results of studies submitted to the present meeting are summarized in
    this monograph addendum.

    EVALUATION FOR ACCEPTABLE DAILY INTAKE

    BIOLOGICAL DATA

    Biochemical aspects

    Absorption, distribution and excretion

         The pharmacokinetic behaviour of carbonyl-14C-labelled
    azinphos-methyl was investigated in rats.  The material was almost
    completely absorbed from the digestive tract, and irrespective of dose
    and route of administration, 60 to 70% was eliminated in the urine and
    25 to 35% in the faeces within 48 hours.  Less than 0.1% of the
    administered activity was eliminated with the respiratory air within
    24 hours of dosing, and in rats with biliary fistulas around 30% of
    the intravenously administered activity was eliminated in the bile
    within 24 hours of dosing.  Two days after dosing the total activity
    content in the animal (excluding digestive tract) was less than 5% of
    the administered dose; by 4 days this had declined to 2% and by 16
    days to 1%.  Six hours after dosing, the highest concentrations of
    radioactivity were found in the organs of elimination (liver and
    kidney) with relatively high concentrations found in blood.  The
    activity concentrations decayed rapidly in all organs up to 2 days
    post dosing, but thereafter the activity was more slowly eliminated. 
    At 16 days after dosing the highest concentration was found in the
    erythrocytes.   In vitro studies, in which whole blood was incubated
    with labelled parent compound, did not show any accumulation of
    radioactivity in the blood constituents (Patzschke  et al., 1976).

         Dimethylthiophosphate (DMTP), one of the primary metabolites of
    azinphos-methyl, was detected in the urine of rats following dermal
    application of azinphos-methyl.  A strong correlation was found
    between the amount of pesticide applied and urinary DMTP levels
    (Franklin  et al., 1982).

         Urinary DMTP levels were measured in workers applying
    azinphos-methyl using orchard air-blast equipment and these data were
    used to estimate exposure to azinphos-methyl.  These estimates were
    compared to exposure estimates derived by chemical analysis of patches
    attached to the protective clothing.  It was concluded in by the
    author that urinary metabolite data provide a more reliable and
    accurate estimate of exposure than patch data (Franklin  et al.,
    1986).

         A sample of radiolabelled 14C azinphos methyl was applied to the
    forearm of an unspecified number of human subjects and the urinary
    excretion of radiolabel was quantified.  Data obtained after
    intravenous dosing was used to correct the skin penetration data for
    incomplete urinary recovery.  Using these data it was estimated that
    dermal penetration approximated 16% of the applied dose (Feldmann &
    Maibach, 1974).

         The dermal penetration of azinphos-methyl through ventral forearm
    skin in man was around 16% of the applied dose over a 24 hour exposure
    period.  This absorption increased by a factor of around 3.5 if the
    application site was occluded and increased by a factor of around 3.8
    when damaged skin was compared to intact skin (Webster & Maibach,
    1985).

         The pharmacokinetic behaviour of benzazimide was investigated in
    rats using the ring-labelled 14C-compound.  After oral administration
    the 14C- activity was almost completely absorbed from the
    gastrointestinal tract.  Elimination of the activity took place
    quickly, 24 hours after administration only 1.3% of the amount
    administered was present in the animal not including the
    gastrointestinal tract.  More than 99% of the amount administered was
    eliminated within 48 hours (54 to 66% in the urine and 33 to 45% via
    the faeces) (Weber  et al., 1980).

    Biotransformation

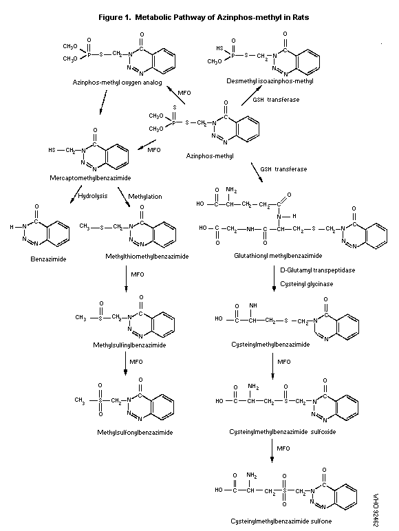
         The metabolism of azinphos-methyl was investigated by
    administration of ring-UL-14C azinphos-methyl to male and female
    Sprague-Dawley rats.  The metabolic pathway of azinphos-methyl in rats
    is proposed as detailed in Figure 1.  Upon absorption, azinphos-methyl
    is rapidly metabolized by mixed function oxidases and GSH-transferases
    in the liver and other tissues, which results in the formation of
    azinphos-methyl oxygen analog, mercaptomethylbenzazimide, glutathionyl
    methylbenzazimide and desmethyl isoazinphos-methyl.  Further
    hydrolysis, methylation and oxidation of mercaptomethyl-benzazimide
    forms benzazimide, methylthiomethylbenzazimide and its corresponding
    oxidised metabolites.  Hydrolysis of glutathionyl methyl-benzazimide
    may result in the formation of cysteinylmethyl-benzazimide. 
    Subsequent oxidation of cysteinyl-methylbenzazimide forms its
    corresponding sulfoxide and sulfone (Kao, 1988).

         The rate of disappearance of azinphos-methyl effected by a
    hepatic oxidative desulfurating system and a demethylating system was
    investigated in liver homogenates from four different species (rat,
    guinea pig, chicken and monkey).  Azinphos-methyl was metabolized by
    both systems and homogenates from all species were uniformly active
    (Rao & McKinley, 1969).

    Effects on enzymes and other biochemical parameters

         The acute oral toxicity of azinphos-methyl, dissolved in
    propylene glycol, was investigated in groups of female mice and the
    effect of the oxime antidote, toxogonin (80 mg/kg bw
    intraperitoneally, 15 minutes prior to oral dosing), was determined. 
    Antidote treatment reduced the toxicity of azinphos-methyl by
    increasing the LD50 by a factor of 2 (Sterri  et al., 1979).

    FIGURE 1


        Table 1.  Results of acute toxicity tests with azinphos-methyl and
              related materials

                                                                                                                          

    Test material          Route           Species    Vehicle                 LD50 (mg/kg bw)         Reference
                                                                                                                          

    Azinphos methyl        Oral            Rat        DMSO                    m 5.6                   Crawford (1974)
                                                                              f 6.4

    Benzazimide            Oral            Rat        DMSO                    m 412
                                                                              f 269

    Methyl benzazimide     Oral            Rat        DMSO                    m 330
                                                                              f 330

    Azinphos methyl        Oral            Rat        Cremophor EL            m 25.4                  Flucke (1979)

    Azinphos methyl        Oral            Rat        Cremophor EL            m 9.1 (fasted)          Heimann (1981)
                                                                              m 17.25 (non-fasted)

    Azinphos methyl        Oral            Rat        Cremophor EL            m 6.7 (fasted)          Heimann (1982)
                                                                              m 12.8 (non-fasted)

                           Dermal          Rat        Cremophor EL            m 225
                                                                              f 155

    Azinphos methyl        Oral            Rat        Cremophor EL            m 7.1                   Heimann (1987)

    Azinphos methyl        Oral            Rat        CMC (fasted)            m 19                    Lamb  et al. (1974)
                                                                              f 16
                                                                              m 19
                                                      (non-fasted)            f 10
                                                                                                                          

    Table 1 (contd).

                                                                                                                          

    Test material          Route           Species    Vehicle                 LD50 (mg/kg bw)         Reference
                                                                                                                          

    Benzazimide            Oral            Rat        CMC (fasted)            m 576                   Lamb (1974)
                                                                              f 368
                                                                              m 576
                                                      (non-fasted)            f 487

    Methyl benzazimide     Oral            Rat        CMC (fasted)            m 412
                                                                              f 390
                                                                              m 524
                                                      (non-fasted)            f 460

    Azinphos methyl        Oral            Rat        Cremophor EL            m 4.6                   Mihail (1978)
                                                                              f 4.4

                           Dermal          Rat        Cremophor EL            m 2500-5000*

                           Oral            Dog        Cremophor EL            m >10

    Azinphos methyl        Oral            Rat        Methylene chloride/     m 26                    Pasquet  et al. (1976)
                                                      Tween/80 Gum Arabic     f 24

                           Dermal          Rat        Acetone/Ethanol/        f 90
                                                      Peanut Oil

    Benzazimide            Dermal          Rabbit     Tap water               m >2000                 Sheets (1988)
                                                                              f >2000

    Azinphos methyl        4 hr inhal      Rat        PEG/ETOH                m 155                   Shiotsuka (1987a)
                                                                              f 132 (mg/m3)

    Benzazimide            4 hr inhal      Rat        None                    m >1760*                Shiotsuka (1987b)
                                                                              (mg/m3)
                                                                                                                          

    Table 1 (contd).

                                                                                                                          

    Test material          Route           Species    Vehicle                 LD50 (mg/kg bw)         Reference
                                                                                                                          

    Azinphos methyl        1 hr inhal      Rat        PEG/ETOH                m 396                   Shiotsuka (1988)
                                                                              f 310 (mg/m3)

    Azinphos methyl        Oral            Rat        Cremophor EL            m 15.6                  Thyssen (1976a)

    Azinphos methyl        Oral            Rat        Cremophor EL            m 16.75                 Thyssen (1976b)

    Methamidophos          Oral            Rat        Cremophor EL            m 31.9

    Azinphos methyl +
    Methamidophos          Oral            Rat        Cremophor EL            m 19.5

    Azinphos methyl        Oral            Rat        Cremophor EL            m 9.7                   Thyssen (1977a)

    Propoxur               Oral            Rat        Cremophor EL            m 39

    Azinphos methyl +
    Propoxur               Oral            Rat        Cremophor EL            m 29.3

    Azinphos methyl        Oral            Rat        Cremophor EL            m 9.7                   Thyssen (1977b)

    Azinphos ethyl         Oral            Rat        Cremophor EL            m 11.8

    Azinphos methyl +
    Azinphos ethyl         Oral            Rat        Cremophor EL            m 11.1
                                                                                                                          
    *  sex not specified.
    m  male
    f  female
    
    Toxicological studies

    Acute Toxicity Studies

         Results of acute toxicity tests with azinphos-methyl and related
    materials are listed in Table 1.

    Short-term studies

    Rats

         A 12-week inhalation study has been described in the published
    literature.  Groups of 10 male and 10 female Wistar rats were exposed
    in inhalation chambers to mean aerosol concentrations in the air of 0
    (control), 0.195, 1.24 and 4.72 mg/m3 azinphos methyl, for 6 hours
    daily, 5 days per week, for 12 weeks.  At the high dose level body
    weight gain was depressed in males and erythrocyte cholinesterase
    activity was inhibited in males and females.  There was no other
    evidence of any reaction to treatment.  The NOAEL was 1.24 mg/m3
    based on reduced weight gain in males at the high dose level
    (Kimmerle, 1976).

    Rabbits

         In a dermal toxicity study in rabbits, azinphos-methyl was
    applied for 6 hours per day, to the shaved dorsal and lateral skin, at
    dose levels of 0 (control), 2, or 20 mg/kg bw, for 5 days per week for
    3 weeks.  Each group consisted of 6 males and 6 females, with the skin
    left intact in 3 animals of each sex and abraded in the others. 
    Investigation of cholinesterase activity revealed a marginal
    (approximately 30%) depression of erythrocyte activity, compared to
    controls, in males and females treated with 20 mg/kg.  Cholinesterase
    activity in plasma and brain, and erythrocyte activity at 2 mg/kg,
    remained undisturbed by treatment.  There was no difference between
    the groups with intact and abraded skin, and all other investigations
    (clinical signs, measurement of food intake and weight gain, further
    clinical chemistry, haematology and urinalysis and pathological
    investigations including limited histopathology) revealed no
    treatment-related changes.  The NOAEL was 20 mg/kg bw, since only
    erythrocyte cholinesterase activity was affected at this dose, the
    highest dose used, with no effect on cholinesterase activity in brain
    (Flucke & Schilde, 1980).

    Dogs

         In a 52 week toxicity study in beagle dogs, azinphos-methyl
    (purity 91.9%) was administered, via the diet, to four groups, each of
    4 males and 4 females, at dietary levels of 0 (control), 5, 25 or 125
    ppm.  Clinical signs of reaction to treatment were confined to a
    higher incidence of diarrhoea in dogs receiving 125 ppm.  Two males
    receiving 125 ppm failed to gain weight during the course of the
    study, but food intake remained unaffected by treatment.  Haematology
    and urinalysis revealed no indication of any reaction to treatment. 
    Clinical biochemistry tests revealed a depression of cholinesterase
    activity in plasma and erythrocytes at 25 and 125 ppm and in brain at
    termination at 125 ppm.  There was also a very slight increase,
    compared to controls, in liver cytochrome P450 and N-demethylase
    activity at the high dose and a reduction in albumin levels. 
    Pathological investigations (macroscopic examination, organ weight
    analysis and histopathology) revealed no evidence of any reaction to
    treatment with azinphos-methyl.  The NOAEL was 25 ppm (equal to
    0.74 mg/kg bw/day) based on reduced weight gain and inhibition of
    acetylcholinesterase activity in brain (Allen,  et al., 1990).

    Long-term/carcinogenicity studies

    Mice

         A bioassay of azinphos-methyl (purity 90% from manufacturing
    specification) for possible carcinogenicity was conducted by the NCI. 
    The experiment involved administering the test material, in the feed,
    to Osborne-Mendel rats and B6C3F1 mice.  Groups of 50 rats of each sex
    were treated for 80 weeks, then observed for 34 or 35 weeks.  Males
    received time weighted average doses of 78 or 156 ppm, females
    received 62.5 or 125 ppm.  Matched controls consisted of 10 untreated
    rats of each sex; pooled controls consisted of matched controls
    combined with 95 male and 95 female untreated rats from similar
    bioassays of 10 other chemicals.  The mouse study was of similar
    design; groups of 50 mice were treated for 80 weeks, then observed for
    12 or 13 weeks, males received 31.3 or 62.5 ppm and females 62.5 or
    125 ppm, matched controls consisted of 10 males and 10 females, pooled
    controls 130 males and 120 females.  Typical signs of organophosphate
    intoxication (hyperactivity, tremors and dyspnoea) were observed in a
    few animals of both species.  Weight gain in treated males and high
    dose females of both species was lower than in control animals.  In
    rats there was some evidence of decreased survival at the high dose
    compared to controls but this was not seen in mice. In both sexes, at
    all doses, survival to termination was adequate for assessment of
    effects on late appearing tumours.  The report concluded that in rats
    the incidence of tumours of the pancreatic islets, and of follicular
    cells in the thyroid in males suggested, but did not clearly
    implicate, azinphos-methyl as a carcinogen in these animals.  There
    was no similar evidence in female rats and in mice of each sex there

    was no increased incidence of tumours that could be related to the
    administration of azinphos-methyl (National Cancer Institute, 1978).

         In a carcinogenicity study of azinphos-methyl (purity 88.6%) in
    mice, groups of 50 male and 50 female CD-1 mice received dietary
    levels of 0 (control), 5, 20, or 40/80 ppm for two years.  (The study
    was initially started with 80 ppm as the high dietary level, but this
    was reduced to 40 ppm after one week, due to severe reaction to
    treatment, including mortality, at 80 ppm).  Following the reduction
    in the high dietary level, there were no clinical signs of reaction to
    treatment and mortality remained unaffected by treatment.  Weight gain
    and food intake remained unaffected by treatment at dietary levels up
    to and including 40 ppm.  Haematological investigations revealed no
    indication of any reaction to treatment.  Measurement of
    acetylcholinesterase activity revealed that at 5 ppm, activities in
    plasma, erythrocyte and brain remained comparable with control values. 
    At 20 and 40 ppm there was a dose-related inhibition of cholinesterase
    activity in plasma and erythrocytes.  A similar effect was noted in
    brain, except that males were only affected at 40 ppm, while females
    exhibited a depression of brain cholinesterase activity at 20 and 40
    ppm.  Pathological investigations revealed no evidence of any reaction
    to treatment, in particular there was no evidence of any carcinogenic
    effect of azinphos-methyl.  The NOAEL was 5 ppm (equal to
    0.88 mg/kg bw/day) based on inhibition of cholinesterase in plasma,
    erythrocytes and brain at 20 ppm (Hayes, 1985).

    Rats

         In a combined long-term toxicity and carcinogenicity study in
    rats, groups of 60 male and 60 female Wistar rats received
    azinphos-methyl (purity 87.2%) in the diet at levels of 0 (Control),
    5, 15 or 45 ppm.  From each group, 10 rats per sex were killed after
    12 months, while all survivors were killed after 24 months continuous
    treatment.  There were no clinical signs of reaction to treatment and
    survival was unaffected by azinphos-methyl. Weight gain of high dose
    males was slightly less than controls but growth in other groups was
    not affected by treatment.  Clinical biochemistry (apart from
    acetylcholinesterase investigations), haematology and urinalysis tests
    revealed no indication of any reaction to treatment.  Determinations
    of acetylcholinesterase activities in erythrocytes, plasma and brain
    revealed a marked inhibition, compared to controls, in males and
    females from the high dose group (erythrocytes, plasma and brain) and
    a less marked effect at 15 ppm (males: erythrocytes, females:
    erythrocytes and plasma).  Acetylcholinesterase activity in brain from
    rats treated at 15 ppm and in erythrocytes, plasma and brain from rats
    treated at 5 ppm, remained unaffected by treatment with
    azinphos-methyl.  Pathological examinations (including gross
    examination, organ weight analysis and histological examination of
    tissues) revealed no evidence of any reaction to treatment; in
    particular there was no evidence of any carcinogenic effect of
    azinphos-methyl.  The NOAEL was 15 ppm (equal to 0.86 mg/kg bw/day)

    based on effects on body weight gain and brain acetylcholinesterase
    (Schmidt, 1987).

    Reproduction studies

         In a two generation (two litters per generation) reproduction
    study in rats azinphos-methyl (purity 87.2%) was administered to
    groups of 12 male and 24 female Wistar rats at dietary levels of 0
    (control), 5, 15 or 45 ppm.  At 15 and 45 ppm there was a decrease in
    fertility of F0 rats and the total number of delivered pups.  At 45
    ppm there was an increased mortality of dams in the F0 generation and
    reduced pup viability during lactation.  As a consequence of these
    effects only 5 females were available for mating in the F1b
    generation.  During mating of the F1b generation, fertility was again
    adversely affected at 15 ppm but not to as great an extent as it was
    during the F0 generation.  At all stages of the study, there was no
    evidence of treatment induced malformations and food intake remained
    unaffected.  Clinical signs of reaction to treatment, including
    cholinergic signs, were seen at the high dose and weight gain was
    adversely affected at 15 and 45 ppm.  The NOAEL was 5 ppm, equal to
    0.48 mg/kg bw/day, based on the adverse effects on fertility and body
    weight gain seen at 15 and 45 ppm (Eiben & Janda, 1987).

         A further study was conducted in order to investigate the effects
    on reproductive performance noted in the study described above.  The
    objectives of this further, one generation study were to investigate
    whether the slight effect on fertility at 15 ppm could be confirmed,
    and, if reproducible, to determine whether the effect was attributable
    to treatment of the male or the female and to determine if
    reproductive effects were associated with treatment-induced inhibition
    of cholinesterase activity.  Azinphos-methyl (purity 92.0%) was
    administered to groups of 18 male and 46 female Wistar rats, at
    dietary levels of 0 (control), 5, 15, or 45 ppm.  Treated males and
    females were paired, and dams allowed to rear litters to weaning. 
    Additional treated males were paired with untreated females.  At 15
    ppm, when males and females were treated, the viability index was
    reduced, largely confirming the results of the previous study. 
    However, after treatment of male parental animals only, reproductive
    parameters remained unaffected, even at 45 ppm.  Investigations of
    cholinesterase activity in parental animals revealed a depression in
    activity in plasma and erythrocytes at all dose levels, and a
    depression in activity in brain at 45 ppm in males and at 15 and 45
    ppm in females.  At 45 ppm, brain cholinesterase activity in pups was
    also depressed.  The NOAEL was 5 ppm, equal to 0.43 mg/kg bw/day,
    based on the adverse effects on fertility and depression of brain
    cholinesterase activity seen at 15 ppm (Holzum, 1990).

    Special studies on delayed neurotoxicity

         In a published report of experiments designed to investigate the
    potential relationship between delayed neurotoxicity and copper
    concentration in the serum of hens, it was reported that
    azinphos-methyl failed to produce neurotoxic symptoms after either
    single or repeated doses (Kimmerle & Loser, 1974).

         In an acute delayed neurotoxicity test, azinphos-methyl (purity
    85%)was administered twice, at the unprotected LD50 dose level of 330
    mg/kg to a group of 30 white leghorn hens, with an interval of 21 days
    between doses.  Groups of untreated control, vehicle control and
    positive control (TOCP 600 mg/kg bw) animals, each composed of 10
    animals, were also included.  Atropine was used for symptomatic
    treatment after dosing.  A total of 11 hens treated with
    azinphos-methyl survived until termination. These animals appeared
    normal during the last 12 or 13 days of the study, but exhibited
    varying degrees of impaired locomotor activity soon after dosing. 
    Histopathological examinations indicated that azinphos-methyl did not
    increase the incidence or severity of lesions in the nerve tissue
    compared to untreated and vehicle controls.  Investigations of
    neuropathy target esterase activity were not included in the study
    (Glaza, 1988).

    Special studies on embryo/fetoxicity

    Mice and rats

         The effects of azinphos-methyl on development in rats and mice
    were investigated in a series of experiments.  On the basis of
    preliminary toxicity studies doses of 0, 1.25, 2.5 and 5.0 mg/kg
    bw/day were selected for developmental studies in both species, which
    consisted of two phases.  During the first phase, pregnant rats and
    mice were treated for 10 days, starting on gestational day 6.  During
    the second phase, pregnant rats were treated from day 6 of gestation
    to day 21 post partum.  In the first phase, maternal toxicity was seen
    only in rats receiving the high dose.  When dams and fetuses were
    examined (day 18 of gestation for mice, day 20 for rats) there was no
    dose-related increase in anomalies or malformation in rats or mice. 
    In the second phase, dams in the high-dose group were more sensitive
    to azinphos-methyl in the latter stages of gestation and signs of
    anticholinesterase intoxication, including mortality, were observed. 
    As a result, only one litter (out of 13) survived to weaning in this
    group.  It was concluded that azinphos-methyl had little primary
    effect on development in rats and mice (Short, et al, 1978;  Short,
     et al., 1980).

    Rats

         In a teratology study in rats, groups of 33 inseminated dams
    received azinphos-methyl (purity 87.7%) from day 6 to day 15 of
    gestation (day of insemination = day 0), at dose levels of
    0 (control), 0.5, 1.0 or 2.0 mg/kg bw/day.  From each group, 5 dams
    were killed on day 16 of gestation and the remaining dams on day 20. 
    On day 16 of gestation, cholinesterase activities in plasma,
    erythrocytes and brain were depressed, compared to controls, in dams
    at the high dose only (fetal tissues were not examined).  By day 20 of
    gestation there was indication of recovery in cholinesterase activity
    in all previously affected tissues and fetal brain cholinesterase
    activity was comparable with control values.  Azinphos-methyl did not
    affect any maternal reproductive parameters and there was no
    indication of treatment-related embryotoxicity, fetotoxicity or
    teratogenicity at any dose level.  The NOAEL for maternal toxicity was
    1.0 mg/kg bw/day, based on the inhibition of brain cholinesterase
    activity seen on day 16 of gestation (Kowalski  et al., 1987).

    Rabbits

         In a teratology study in rabbits, groups of 11 or 12 pregnant
    animals received daily oral doses of azinphos-methyl (purity 92.4%)
    from day 6 to day 18 of gestation (day of insemination = day 0) at
    levels of 0 (Control), 0.3, 1.0 or 3.0 mg/kg bw/day.  Caesarean
    section was carried out on day 29 of gestation.  Azinphos-methyl
    induced no evidence of maternal toxicity at any dose level and there
    were no detectable effects on embryonic nor fetal development
    (Machemer, 1975).

         In a further teratology study in rabbits, groups of 20
    inseminated does received daily oral doses of azinphos-methyl (purity
    87.7%) from day 6 to day 18 of gestation (day of insemination = day 0)
    at levels of 0 (Control), 1, 2.5 or 6 mg/kg bw/day.  Ataxia in 4 high
    dose does and tremors in 2 of these same animals represented clinical
    signs of reaction to treatment.

         Plasma and erythrocyte cholinesterase activity, on day 19 of
    gestation, was depressed compared to controls at the mid and high
    dose.  By day 28 of gestation there was clear evidence of recovery in
    plasma and erythrocyte cholinesterase activity, although activity in
    brain was depressed, compared to controls, at the high dose. 
    Azinphos-methyl did not affect any maternal reproductive parameters
    and there was no evidence of any treatment-related effect on
    embryotoxicity, fetotoxicity or teratogenicity at any dose level.  The
    no observable adverse effect level for maternal toxicity was
    2.5 mg/kg bw/day, based on the inhibition of brain cholinesterase
    activity seen on day 28 of gestation (Clemens  et al., 1988).

    Special studies on genotoxicity

         In  Salmonella/microsome point mutation tests, azinphos-methyl
    (purity >88.8%) showed no evidence of mutagenic activity which could
    be classified as positive results in the tests.  In one test there was
    reproducible evidence of a slight dose-dependent increase in revertant
    frequency in one test strain, but the increase was less than 2-fold
    (Herbold, 1978; Herbold, 1988; Lawlor, 1987).

         Azinphos-methyl (purity 91.1%) exhibited no mutagenic activity in
    a reverse mutation test with  Saccharomyces cerevisiae (Hoorn, 1983).

         In Chinese hamster ovary cells  in vitro, azinphos-methyl
    induced chromosomal anomalies in a dose related fashion.  Most
    commonly observed were chromatid breaks and exchanges.  In a test with
    human lymphocytes  in vitro, (purity 91.9%) there were no chromosomal
    aberrations induced in the absence of S-9 mix but clear,
    treatment-related variations were noted when azinphos-methyl was
    tested in the presence of S-9 mix at cytotoxic concentrations.  In an
    investigation of ability to induce sister chromatid exchanges in
    Chinese hamster V79 cells  in vitro, azinphos-methyl was shown not to
    increase the frequency of sister chromatid exchange, but did induce
    some cell cycle delay (Alam, 1974; Herbold, 1986; Chen 1982  et al.,
    1982a,b).

         The potential of azinphos-methyl (purity 91.1%) to cause DNA
    damage was assessed in Rosenkranz and Leifer's pol test employing two
     E. coli strains which vary in regard to their repair systems for DNA
    damage.  The results showed that azinphos-methyl gave no indication of
    any effect on DNA damage.  In a primary rat hepatocyte unscheduled DNA
    synthesis assay azinphos-methyl (purity 91.1%) did not induce
    significant changes in the nuclear labelling of primary rat
    hepatocytes and it was concluded that azinphos-methyl did not induce
    DNA damage in this assay (Herbold, 1984; Myhr, 1983).

         Mutagenic effects of azinphos-methyl (purity 92.3%)  in vivo
    were investigated in a micronucleus test and a dominant lethal test;
    both in mice.  In the micronucleus test two doses of azinphos-methyl
    (2 x 2.5 or 2 x 5.0 mg/kg bw) were given 24 hours apart and a femoral
    marrow smear was prepared 6 hours after the second dose; there was no
    indication of any mutagenic effect.  In the dominant lethal study male
    mice received a single oral dose of 4 mg/kg bw azinphos-methyl and
    were then mated with untreated females over 12 consecutive periods of
    4 days.  Fertility remained unaffected and there were no
    treatment-related differences in implantation parameters (Herbold,
    1979a,b).

         An effort was made to evaluate the genotoxicity of a variety of
    pesticides, with the specific objectives of comparing different
     in vivo and  in vitro assays, examining the spectrum of genetic
    activity displayed by the selected pesticides and examining the test
    results in relation to other biological and chemical features of the
    pesticides.  In this research programme azinphos-methyl has been
    tested in a range of 14 mutagenicity tests, examining point or gene
    mutations, DNA damage and chromosomal effects.  Positive results for
    azinphos-methyl were seen in only two tests: a forward mutation assay
    in mouse lymphoma L5178Y cells (only in the presence of S-9 mix) and
    a mitotic recombination assay in  Saccharomyces cerevisiae strain D3. 
    Azinphos-methyl was negative in tests for point/gene mutation and DNA
    damage in prokaryotes and showed no positive results in tests looking
    at chromosomal effects (Waters  et al., 1982).

    Special studies on skin and eye irritation and sensitization

         In a skin irritation study employing 6 rabbits, 24 hour exposure
    to azinphos-methyl at intact and abraded skin sites did not cause any
    signs of irritation.  In an eye irritation study, exposure of the
    conjunctiva of the eye to azinphos-methyl for 5 minutes (5 rabbits) or
    24 hours (3 rabbits) caused no significant reaction (Thyssen & Lorke,
    1981).

         In a dermal irritation study utilizing 6 New Zealand white
    rabbits, 0.5 g of benzazimide was moistened with water and kept in
    contact with the shaved skin for 4 hours.  At 30 and 60 minutes and
    24, 48 and 72 hours after patch removal there was no evidence of
    erythema or oedema at the treatment sites.  Benzazimide is therefore
    not a skin irritant in rabbits (Eigenberg, 1987).

         The skin sensitizing potential of azinphos-methyl was
    investigated in guinea pigs, using the Magnusson and Kligman
    maximization test.  The study revealed that azinphos-methyl had a
    sensitizing effect in 95% of the test animals (Flucke, 1986).

         The skin sensitizing potential of azinphos-methyl was
    investigated in guinea pigs, using the Buehler patch test.  By means
    of a dermal application of a concentration of 25% sensitization was
    induced in approximately 50% of the test animals (Porter  et al.,
    1987).

         In another Buehler patch test dermal application of a
    concentration of 12.5% induced sensitization in approximately 50% of
    the test animals when challenged using a 6% concentration, but using
    a challenge concentration of 0.6% failed to elicit any relevant skin
    reactions (Heimann, 1987b).

    Observations in humans

         Employees working in the formulation of azinphos-methyl products
    have been subjected to regular medical examinations and no general
    impairment of health has been observed.  In one isolated case it was
    considered probable that contact with azinphos-methyl was the cause of
    generalized dermatosis in an apparently hypersensitive, very dry skin
    (Faul, 1981; Miksche, 1981).

         Published reports from the pesticide incident monitoring system
    in the United States of America and additional data from the state of
    California in the USA have been reviewed.  Between 1982 and 1988 a
    small number of incidents have been reported annually (involving 5-12
    persons each year) which have been definitely, probably or possibly
    associated with azinphos-methyl either alone or in combination with
    other pesticides.  In addition, two incidents occurred in 1987, one
    involving 26 people, the other involving 32 people.  The first
    involved spray drift in adverse weather conditions.  The second
    involved workers who experienced symptoms including headache, nausea,
    weakness and vomiting upon entry to a field to pick peaches 3 days
    after methomyl was applied to the crop and about 6 weeks after an
    application of azinphos-methyl (US EPA, 1981; Mahler, 1991).

    COMMENTS

         The toxicokinetics of azinphos-methyl has been investigated
    following oral administration in rats.  It does not accumulate in body
    tissues.

         In a 52-week study in dogs, using dietary concentrations of 0, 5,
    25 or 125 ppm the NOAEL was 25 ppm (equal to 0.74 mg/kg bw/day), based
    on reduced body-weight gain and inhibition of acetylcholinesterase
    activity in brain at 125 ppm.

         Long-term/carcinogenicity studies in rats at dietary
    concentrations of 0, 5, 15, or 45 ppm and in mice at 0, 5, 20 or 40
    ppm showed that azinphos-methyl has no carcinogenic potential in
    either species.  These results clarified earlier equivocal findings in
    rats in an NCI bioassay.  The NOAEL in rats was 15 ppm (equal to
    0.86 mg/kg bw/day), based on effects on brain acetylcholinesterase at
    45 ppm.  In mice the NOAEL was 5 ppm (equal to 0.88 mg/kg bw/day),
    based on inhibition of cholinesterase in plasma, erythrocytes and
    brain at 20 ppm.

         In a two-generation reproduction study in rats at dietary
    concentrations of 0, 5, 15 or 45 ppm, fertility and pup viability
    during lactation were adversely affected, equivocally at 15 ppm and
    markedly at 45 ppm.  The NOAEL was 5 ppm, equal to 0.48 mg/kg bw/day. 
    Teratology studies in rats, mice and rabbits did not indicate
    teratogenic effects at doses up to 2, 5 and 6 mg/kg bw/day
    respectively.

         The data from genotoxicity studies with azinphos-methyl were
    conflicting.  However,  in vivo studies were negative, the positive
    data being confined to some  in vitro studies.  After reviewing the
    available information it was concluded that it is unlikely that
    azinphos-methyl is genotoxic to humans.

         Acute delayed neurotoxicity tests in hens with azinphos-methyl
    gave negative results.

         The 1973 JMPR reported that daily doses up to and around 0.3
    mg/kg bw/day for 30 days in human volunteers had no effect on plasma
    or erythrocyte cholinesterase activity.  New data were not available
    from occupational exposure or human volunteer studies with
    azinphos-methyl.  A review of the available literature and reports of
    human poisoning with azinphos-methyl revealed no information relevant
    to the estimation of the ADI.

         Since the critical toxicological end-point was not
    acetylcholinesterase inhibition, the human data were not appropriate
    for estimation of the ADI, which was based on the NOAEL in the rat
    multigeneration study in rats using a 100-fold safety factor.

    TOXICOLOGICAL EVALUATION

    Level causing no toxicological effect

         Mouse:    5 ppm (equal to 0.88 mg/kg bw/day)
         Rat:      5 ppm (equal to 0.86 mg/kg bw/day) in a long-
                   term/carcinogenicity study
                   5 ppm (equal to 0.48 mg/kg bw/day) in a
                   multigeneration study
         Dog:      25 ppm (equal to 0.74 mg/kg bw/day)
         Human:    0.3 mg/kg bw/day

    Estimate of acceptable daily intake for humans

         0-0.005 mg/kg bw

    Studies which will provide information valuable in the
    continued evaluation of the compound

              Further observations in humans

    REFERENCES

    Alam, M.T., Corbeil, M., Chagnon, A., Kasatiya, S.S. (1974). 
    Chromosomal anomalies induced by the organic phosphate pesticide
    guthion in Chinese hamster cells.   Chromosoma (Berl.), 49: 77-86.

    Allen, T.R., Frei, T., Janiak, T., Luetkemeier, H., Vogel, O.,
    Biedermann, K., Wilson, J. (1990).  52-week oral toxicity (feeding)
    study with azinphos-methyl in the dog.  Unpublished report from
    Research and Consulting Company AG, submitted by Bayer AG, Leverkusen,
    Germany.

    Chen, H.H., Sirianni, S.R., Huang, C.C. (1982a).  Sister chromatid
    exchanges and cell cycle delay in Chinese hamster V79 cells treated
    with 9 organophosphorus compounds (8 pesticides and 1 defoliant). 
     Mutation Research, 103: 307-313.

    Chen H.H., Sirianni, S.R., Huang, C.C. (1982b).  Sister chromatid
    exchanges in Chinese hamster cells treated with seventeen
    organophosphorus compounds in the presence of a metabolic activation
    system.   Environmental Mutagenesis, 4: 621-624.

    Clemens, G.R., Bare, J.J., Hartnagel, R.E. (1988). A teratology study
    in the rabbit with azinphos-methyl.  Unpublished report from Miles
    Inc, sponsored by Mobay Corporation, submitted by Bayer AG,
    Leverkusen, Germany.

    Crawford, C.R., Anderson, R.H. (1974).  The acute oral toxicity of
    azinphos-methyl, benzazimide and methyl benzazimide to rats. 
    Unpublished report from Chemagro, submitted by Bayer AG, Leverkusen,
    Germany.

    Eiben, R., Janda, B. (1987).  Azinphos-methyl - two generation study
    on rats.  Unpublished report from Bayer AG, Leverkusen, Germany.

    Eigenberg, D.A. (1987).  Primary dermal irritation of Benzazimide in
    albino rabbits.  Unpublished report from Mobay Corporation, submitted
    by Bayer AG, Leverkusen, Germany.

    Faul, J. (1981).  BBA request, effects on humans.  Letter of 2 June
    1981 from Bayer AG, Department DO Medical.  Company internal letter,
    submitted by Bayer AG, Leverkusen, Germany.

    Feldmann, R.J., Maibach, H.I. (1974).  Percutaneous penetration of
    some pesticides and herbicides in man.  Toxicology and Applied
     Pharmacology, 28: 126-132.

    Flucke, W. (1979).  Determination of acute toxicity (LD50) of
    azinphos-methyl.  Unpublished report from Bayer AG, Leverkusen,
    Germany.

    Flucke, W. (1986).  Azinphos-methyl - Study for skin sensitizing
    effect in guinea pigs (Magnusson and Kligman maximization test). 
    Unpublished report from Bayer AG, Leverkusen, Germany.

    Flucke, W., Schilde, B. (1980).  Azinphos-methyl: Subacute cutaneous
    toxicity to rabbits.  Unpublished report from Bayer AG, Leverkusen,
    Germany.

    Franklin, C.A., Greenhalgh, R., Maibach, H.I. (1982).  Pesticide
    chemistry, human welfare and the environment.  Volume 4,
    pages 221-226.  Pergamon Press, London, United Kingdom.

    Franklin, C.A., Muir, N.I., Moody, R.P. (1986).  The use of biological
    monitoring in the estimation of exposure during the application of
    pesticides.   Toxicology Letters, 33: 127-136.

    Glaza, S.M. (1988).  Azinphos-methyl:  Acute delayed neurotoxicity
    study in the domestic fowl.  Unpublished report from Hazleton
    Laboratories America Inc, sponsored by Mobay Corporation, submitted by
    Bayer AG, Leverkusen, Germany.

    Hayes, R.H. (1985).  Oncogenicity study of azinphos-methyl in mice. 
    Unpublished report from Mobay Corporation, submitted by Bayer AG,
    Leverkusen, Germany.

    Heimann, K.G. (1981).  Determination of acute toxicity (LD50) of
    azinphos-methyl.  Unpublished report from Bayer AG, Leverkusen,
    Germany.

    Heimann, K.G. (1982).  Azinphos-methyl study of the acute oral and
    dermal toxicity to rats.  Unpublished report from Bayer AG,
    Leverkusen, Germany.

    Heimann, K.G. (1987a).  Determination of acute toxicity (LD50) of
    azinphos methyl.  Unpublished report from Bayer AG, Leverkusen,
    Germany.

    Heimann, K.G. (1987b).  Azinphos-methyl:  Study of skin sensitizing
    effect on guinea pigs (Buehler patch test).  Unpublished report from
    Bayer AG, Leverkusen, Germany.

    Herbold, B.A. (1978).  Azinphos-methyl:  Salmonella/microsome test to
    evaluate for point mutation.  Unpublished report from Bayer AG,
    Leverkusen, Germany.

    Herbold, B.A. (1979a).  Azinphos-methyl: micronucleus test on mice to
    evaluate for possible mutagenic effects.  Unpublished report from
    Bayer AG, Leverkusen, Germany.

    Herbold, B.A. (1979b).  Azinphos-methyl: dominant lethal study on male
    mouse to test for mutagenic effects.  Unpublished report from Bayer
    AG, Leverkusen, Germany.

    Herbold, B.A. (1984).  Azinphos-methyl, Pol test on  E. coli to
    evaluate for potential DNA damage.  Unpublished report from Bayer AG,
    Leverkusen, Germany.

    Herbold, B.A. (1986).  Azinphos-methyl: cytogenic study with human
    lymphocyte cultures  in vitro to evaluate for harmful effect on
    chromosomes.  Unpublished report from Bayer AG, Leverkusen, Germany.

    Herbold, B.A. (1988).  Azinphos-methyl:  Salmonella/microsome test to
    evaluate for point mutation.  Unpublished report from Bayer AG,
    Leverkusen, Germany.

    Holzum, B. (1990).  Azinphos-methyl: investigation of inhibition of
    cholinesterase activity in plasma, erythrocytes and brain, in a
    one-generation study.  Unpublished report from Bayer AG, Leverkusen,
    Germany.

    Hoorn, A.J.W. (1983).  Mutagenicity evaluation of azinphos-methyl in
    the reverse mutation induction assay with  Saccharomyces cerevisiae
    strains S138 and S211.  Unpublished report from Litton Bionetics,
    Holland, submitted by Bayer AG, Leverkusen, Germany.

    Kao, L.R.M. (1988).  Disposition and metabolism of ring-UL-14C
    azinphos-methyl in rats.  Unpublished report from Mobay Corporation,
    submitted by Bayer AG, Leverkusen, Germany.

    Kowalski, R.L., Clemens, G.R., Bare, J.J., Hartnagel, R.E. (1987).  A
    teratology study with azinphos-methyl in the rat.  Unpublished report
    from Miles Inc, sponsored by Mobay Corporation, submitted by Bayer AG,
    Leverkusen, Germany.

    Kimmerle, G. (1976).  Subchronic inhalation toxicity of
    azinphos-methyl in rats.   Arch. Toxicol., 35: 83-89.

    Kimmerle, G.; Loser, E. (1974).  Delayed neurotoxicity of
    organophosphorus compounds and copper concentration in the serum of
    hens.   Environm. Qual. Safety, 3: 173-178.

    Lamb, D.W.,  Anderson, R.H. (1974).  The acute oral toxicity of
    azinphos-methyl, benzazimide and methyl benzazimide to fasted and
    non-fasted rats using CMC as the excipient.  Unpublished report from
    Chemagro, submitted by Bayer AG, Leverkusen, Germany.

    Lawlor, T.E. (1987).  Azinphos-methyl:  Salmonella/microsome plate
    incorporation mutagenicity assay.  Unpublished report from
    Microbiological Associates Inc., submitted by Bayer AG, Leverkusen,
    Germany.

    Lin, S.N., Chen, C.Y., Murphy, S.D., Caprioli, R.M. (1980). 
    Quantitative high-performance liquid chromatography and mass
    spectrometry for the analysis of the  in vitro metabolism of the
    insecticide azinphos-methyl by rat liver homogenates.   J. Agric. Food
     Chem., 28: 85-88

    Machemer, L. (1975).  Azinphos-methyl:  studies for embryonic and
    teratogenic effects on rabbits following oral administration. 
    Unpublished report from Bayer AG, Leverkusen, Germany.

    Mahler, L. (1991).  Program Director, Pesticide Illness Surveillance
    Program, Worker Health and Safety Branch, California Department of
    Agriculture.  Data provided to Mobay Corporation, submitted by Bayer
    AG, Leverkusen, Germany.

    Mihail, F. (1978).  Azinphos-methyl acute toxicity studies. 
    Unpublished report from Bayer AG, Leverkusen, Germany.

    Miksche, L. (1981).  Information on effects in man/occupational
    experience.  Letter of 12 June 1981, from Bayer AG medical department. 
    Company internal letter, submitted by Bayer AG, Leverkusen, Germany.

    Myhr, B.C. (1983).  Evaluation of azinphos-methyl in the primary rat
    hepatocyte unscheduled DNA synthesis assay.  Unpublished report from
    Litton Bionetics USA, submitted by Bayer AG, Leverkusen, Germany.

    National Cancer Institute (1978).  Bioassay of azinphos-methyl for
    possible carcinogenicity.  Technical report series no 69.

    Pasquet, J.,  Mazuret, A.,  Fournel, J.,  Koenig, F.H. (1976).  Acute
    oral and percutaneous toxicity of phosalone in the rat, in comparison
    with azinphos-methyl and parathion.   Toxicology and Applied
     Pharmacology, 37: 85-92.

    Patzschke, K., Wegner, L.A., Weber, H. (1976).  Biokinetic
    investigations of carbonyl-14C azinphos methyl in rats.  Unpublished
    report from Bayer AG, Leverkusen, Germany.

    Porter, M.C., Craigo, R.E., Hartnagel, R.E. (1987).  Dermal
    sensitization evaluation of azinphos-methyl technical in the guinea
    pig.  Unpublished report from Miles Laboratories Inc., submitted by
    Bayer AG, Leverkusen, Germany.

    Rao, S.L N., McKinley, W.P. (1969).  Metabolism of organophosphorus
    insecticides by liver homogenates from different species.   Can. J.
     Biochem., 47: 1155-1159

    Schmidt, W.M. (1987).  Azinphos-methyl: study of chronic toxicity and
    carcinogenicity to rats.  Unpublished report from Bayer AG,
    Leverkusen, Germany.

    Sheets, L.P. (1988).  Acute dermal toxicity of technical grade
    benzazimide to rabbits.  Unpublished report from Mobay Corporation,
    submitted by Bayer AG, Leverkusen, Germany.

    Shiotsuka, R.N. (1987a).  Acute four-hour inhalation toxicity study
    with  azinphos-methyl in rats.  Unpublished report from Mobay
    Corporation, submitted by Bayer AG, Leverkusen, Germany.

    Shiotsuka, R.N. (1987b).  Acute inhalation toxicity study with
    benzazimide technical in rats.  Unpublished report from Mobay
    Corporation, submitted by Bayer AG, Leverkusen, Germany.

    Shiotsuka, R.N. (1988).  Acute one hour inhalation toxicity study with
    azinphos-methyl in rats.  Unpublished report from Mobay Corporation,
    submitted by Bayer AG, Leverkusen, Germany.

    Short, R.D., Minor, J.L., Lee, C.C., Chernoff, N., Baron, R.L. (1980). 
    Developmental toxicity of azinphos-methyl in rats and mice.   Arch.
     Toxicol, 43: 177-186.

    Short, R.D., Minor, J.L., Unger, T.M., Lee, C.C. (1978).  Teratology
    of azinphos-methyl.  Unpublished report from Mid West Research
    Institute, USA, contracted by US Environmental Protection Agency,
    submitted by Bayer AG, Leverkusen, Germany.

    Sterri, S.H., Rognerud, B., Fiskum, S.E., Lyngaas, S. (1979).  Effect
    of toxogonin and P2S on the toxicity of carbamates and
    organophosphorus compounds.   Acta Pharmacol. et Toxicol., 45: 9-15

    Thyssen, J. (1976a).  Determination of acute toxicity (LD50) of
    azinphos-methyl.  Unpublished report from Bayer AG, Leverkusen,
    Germany.

    Thyssen, J. (1976b).  Studies to determine the toxic effects of the
    simultaneous application of azinphos-methyl or azinphos-ethyl and
    methamidophos. Unpublished report from Bayer AG, Leverkusen, Germany.

    Thyssen, J. (1977a).  Study for combination toxicity of
    azinphos-methyl and propoxur.  Unpublished report from Bayer AG,
    Leverkusen, Germany.

    Thyssen, J. (1977b).  Study for the combination toxicity of
    azinphos-methyl and azinphos-ethyl.  Unpublished report from Bayer AG,
    Leverkusen, Germany.

    Thyssen, J., Lorke (1981).  Azinphos-methyl - study of the irritant
    effects on the skin and mucous membranes (eye).  Unpublished report
    from Bayer AG, Leverkusen, Germany.

    US EPA (1981).  Summary of reported pesticide incidents involving
    azinphos-methyl  Pesticide incident monitoring system, report No. 469
    submitted by Bayer AG, Leverkusen, Germany.

    Waters, M.D., Sandhu, S.S., Simon, V.F., Mortelmans, K.E.,
    Mitchell, A.A., Jorgenson, T.A., Jones, D.C.L., Valencia, R.,
    Garrett, N.E. (1982).  Study of pesticide genotoxicity.   Genetic
     Toxicology - an agricultural perspective, 21: 275 - 326.

    Weber, H., Patzschke, K., Wegner, L.A. (1980).  Biokinetic
    investigation of ring-UL-14C benzazimide in rats.  Unpublished report
    from Mobay Corporation, submitted by Bayer AG, Leverkusen, Germany.

    Webster, R.C.; Maibach, H.I. (1985).   In vivo percutaneous
    absorption and decontamination of pesticides in humans.   Journal of
     Toxicology and Environmental Health, 16: 25-37.


    See Also:
       Toxicological Abbreviations
       Azinphos-methyl (ICSC)
       Azinphos-Methyl (FAO Meeting Report PL/1965/10/1)
       Azinphos-methyl (FAO/PL:1968/M/9/1)
       Azinphos-methyl (WHO Pesticide Residues Series 2)
       Azinphos-methyl (WHO Pesticide Residues Series 3)
       Azinphos-methyl (WHO Pesticide Residues Series 4)