IPCS INCHEM Home

    HEXACONAZOLE

    EXPLANATION

    First draft prepared by
    Dr E.M. den Tonkelaar and Dr J.E.M. v. Koten-Vermeulen
    National Institute of Public Health and Environmental Protection, 
    Bilthoven, Netherlands

         Hexaconazole is a broad spectrum triazole fungicide that is used
    against powdery mildew, scab and rust of apples and powdery mildew and
    blackrot of grapes. Hexaconazole is considered for the first time by
    the present meeting. 

    EVALUATION FOR ACCEPTABLE DAILY INTAKE 

    BIOLOGICAL DATA

    Biochemical aspects

    Absorption, distribution and excretion

         Alpk/AP rats were given single oral doses of 1 or 200 mg
    14C-phenyl hexaconazole (purity 99.3%)/kg b.w.  Radioactivity was
    determined in urine and faeces daily and whole body autoradiograms
    were made at termination.  About 90% of the administered radioactive
    dose was excreted in the urine and faeces within 72 hours after
    dosing;  exhaled radioactivity after 48 hours was negligible.  After
    7 days radioactivity recovered in the urine was 43% and 66.4% and in
    the faeces 53% and 29% of the administered dose for males and females,
    respectively.  A total of 96% of the radioactivity was recovered after
    7 days with less than 1% of the administered dose present in the
    tissues and carcass.  Although there were no marked differences in the
    relative proportions of dose excreted via urine and faeces over seven
    days, the rate of excretion was more rapid at the 1 mg/kg bw level. 
    Autoradiography showed highest tissue residues after 24 hours in the
    liver, intestinal tract and adrenal cortex. After 72 hours the
    radioactivity in the liver and adrenal cortex had declined.  Male
    tissues generally showed higher residues than female tissues (Jones
    et al., 1984). 

         In a similar experiment rats were given  single oral doses of 200
    mg 14C-phenyl ring-labelled hexaconazole (purity 92.3%)/kg b.w. Over
    a period of 72 hours or 7 days male rats excreted 37% and 42% in the
    urine and 40% and 52% in the faeces, respectively.  The female rats
    excreted most of the dose within 72 hours (63% via the urine and 30%
    via the faeces).  After 24 hours highest tissue residues were found in
    the liver, kidneys, and pancreas.  After seven days 95.6% and 98.5% of
    the radioactivity had been recovered for males and females,
    respectively, and tissue levels were 0.7% of the administered dose
    (Trivedi et al., 1986). 

         Tissue distribution was measured in groups of rats over a period
    up to 96 hours following single oral doses of 1 or 200 mg 
    14C-hexaconazole (phenyl ring labelled; purity 99.3%)/kg bw).  At the
    1 mg/kg bw dose peak tissue concentrations of radioactivity did not
    markedly differ between the sexes.  The highest concentration was
    found 6 to 10 hours after dosing in the adrenal glands of male and
    female rats, respectively, although the liver contained the highest
    proportion of the dose (7.1% and 5.4%, respectively).  The elimination
    of radioactivity for all tissues was fairly rapid with elimination
    half-lives of 10 to 14 hours in males and 7 to 16 hours in females.  
    Peak tissue concentrations of radioactivity were higher in male rats
    than in females at the 200 mg/kg bw dose.  Highest levels were found

    in the liver in both males (3.6%) and females (2.4%) after 6 and 3
    hours,  respectively.  Elimination half lives ranged from 10-19 hours
    in males and from 10-27 hours in females.  Ninety-six hours after
    dosing (both at 1 and 200 mg/kg bw) all tissue residues were either
    very low or were below the limit of detection (Jones, 1989a, 1989b). 

         Four male and four female rats were given 14 consecutive daily
    oral doses of 1 mg/kg bw unlabelled hexaconazole followed by a single
    oral dose of 1 mg 14C-hexaconazole (phenyl-labelled).  Males excreted
    41% via urine and 55% via faeces over a period of 7 days, whereas
    females eliminated 63% via the urine and 35% via the faeces. 
    Excretion was fairly rapid with 88.7 and 93.1% of the dose excreted
    within three days by males and females, respectively. Highest tissue
    concentrations were found in the liver of male rats (0.12% of the
    dose).  In female rats, only 0.02% of the dose was found in the liver
    and all other tissue residues were lower.  No differences were found
    in metabolic profiles in urine and methanol extracts of faeces
    collected from rats given either repeated doses or a single oral dose
    of hexaconazole (Jones, 1988a). 

         Fourteen consecutive daily oral doses of 1 mg/kg 14C-
    hexaconazole (phenyl labelled) were administered to 2 male and 2
    female rats.  Tissue distribution was measured at 24 (1/sex) and 48
    hours (1/sex) by autoradiography.  In both sexes at 24 hours after
    dosing, highest concentrations were observed in the adrenal gland and
    a much lower radioactivity was measured in the liver, kidneys and
    lungs.  Forty-eight hours after dosing radioactivity was markedly
    reduced or was negligible (Jones, 1988b). 

    Biotransformation 

         The metabolism of hexaconazole in male and female rats was
    established following the administration of  1, 100 or 200 mg/kg bw 
    14C-hexaconazole (phenyl- and/or triazole-labelled).  Biliary
    elimination was characterized at a dose of 200 mg/kg bw
    14C-phenyl-labelled hexaconazole and the fate of the triazole
    component of the molecule was established using 100 or 200 mg/kg bw
    14C- triazole-labelled hexaconazole.  Urinary, faecal and biliary
    metabolites were identified and quantified. 

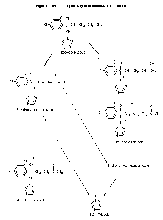
         In both male and female rats hexaconazole was extensively
    metabolized via two pathways involving oxidation of the n-butyl chain
    and some cleavage of the triazole substituent.  The major pathway
    involved the conversion of hexaconazole to 5-hydroxy-hexaconazole and
    5-keto-hexaconazole;  the minor pathway was a two-stage oxidation of
    the methyl group to form hexaconazole acid via 6-hydroxyhexaconazole. 
    The biliary route of elimination was important in both sexes (80% in
    males and 40% in females).  In both sexes half of the radioactivity
    eliminated in the bile was reabsorbed and half was excreted via the
    faeces as the biliary conjugates or their aglycones.  The sex

    difference in the proportions excreted in urine and faeces was due to
    quantitative differences in biliary elimination of hexaconazole
    metabolites.  Metabolites in the urine were derived from initial
    metabolism or following reabsorption of biliary metabolites.  Biliary
    metabolites in males were predominantly glucuronide conjugates such as
    5-hydroxy hexaconazole (24% of the dose), hydroxy-keto hexaconazole
    (22%), 5-keto hexaconazole (8%) and hexaconazole (4%) and to a lesser
    extent some unidentified metabolites including 14C-phenyl labelled
    products after triazole cleavage.  In female rats the same metabolites
    were detected in the same relative proportions.  Male urinary
    metabolites included triazole (18% of a 100 mg/kg bw dose, in females
    13%), hexaconazole acid (7-9%), hydroxy-keto hexaconazole (6-7%), an
    unidentified conjugate of 5-hydroxyconazole (5%, in females 27-34%)
    and hexaconazole. Less than 5% of unchanged hexaconazole was detected
    in the urine.  Only trace amounts of triazole or related metabolites
    were detected in faeces. The proposed metabolic pathway is described
    in Figure 1 (Jones, 1989c).

    Toxicological studies

    Acute toxicity

         The acute toxicity of hexaconazole to rats and mice is presented
    in Table 1.  The most common signs of toxicity (less marked after
    dermal administration) were piloerection, upward curvature of the
    spine, side pinched-in, hypothermia, decreased activity, urinary
    incontinence, dehydration, comatosis, reduced righting reflex and
    decreased respiration rate. 

        Table 1. Acute toxicity of hexaconazole 

                                                                             
    Species    Sex      Route     LD50           LD50      Reference
                                  (mg/kg b.w.)   (mg/1)
                                                                             

    Mouse      M&F      oral      >557                     Southwood, 1984a
               M        oral       612                     Leah, 1989
               F        oral       918                     Leah, 1989

    Rat        M        oral      2189                     Southwood, 1984a
               F        oral      6071                     Southwood, 1984a
               M        oral      4013                     Davison, 1988
               M&F      dermal    >2000                    Southwood, 1984a
               M&F      inhal                    >5.9*     Hext, 1987
                                                                             

    *4-hr aerosol exposure 
    
    FIGURE 1

    Short-term studies

    Mice 

         Groups of C57BL/10JfCD-1/Alpk mice were fed diets containing 0,
    25, 100, 500 or 1500 ppm hexaconazole (purity not given) in the diet
    for 29 days.  At 500 and 1500 ppm pronounced effects were observed on
    body weight, food consumption, food efficiency and liver weight.  A
    slight to moderate microcytosis with a compensatory increase in red
    cell numbers to maintain haemoglobin levels was observed in males at
    1500 ppm and in females at 500 and 1500 ppm.  Red cell counts were
    also increased in males at 500 and 100 ppm.  At histopathology a
    dose-related liver hypertrophy and increased hepatocyte lipid
    accumulation with associated cytoplasmic vacuolation were observed. A
    lack of corpora lutea in the ovaries and a reduction in the size of
    the uterus were observed in females receiving doses of 100 ppm
    hexaconazole and above.  At 1500 ppm and possibly at 500 ppm there was
    some evidence of an effect on the male reproductive system with
    increased abnormal precursor cells in testicular tubules and
    epididymis and reduced seminal vesicular secretion. Cortical
    enlargement of the adrenal glands was observed at 500 and 1500 ppm. 
    The NOAEL in this study was 25 ppm hexaconazole (equivalent to 3.5
    mg/kg bw/day) (Forbes, 1988). 

    Rats 

         Groups of Wistar (Alpk/AP) rats (20/sex/group) were fed diets
    containing 0, 50, 500 or 5000 ppm hexaconazole (purity 92.3%) for 90
    days. Observations included clinical examinations, mortality, food
    consumption and food efficiency, body weight, haematology, clinical
    chemistry, hepatic aminopyrine-N-demethylase activity (APDM) and
    urinalysis, ophthalmoscopy, macroscopy, organ weight and
    histopathology. 

         An increased incidence of staining of the pelt around the nose
    was observed in rats at 5000 ppm.  Body weight gain was significantly
    reduced in both male and female rats at 5000 ppm (accompanied by
    reduced food consumption), in males at 500 ppm (first 3 weeks of the
    study) and in females at 500 and 50 ppm (at several timepoints over
    the treatment period).  Final body weight was significantly reduced in
    high dose rats.  In males at 5000 ppm Hb (also at 500 ppm), Ht and RBC
    counts were significantly decreased and WBC count was significantly
    increased. Prothrombin-time was significantly reduced in males at 5000
    and 500 ppm.  Inconsistent changes in blood biochemistry (ALAT, ASAT,
    albumin, protein, glucose and triglycerides and cholesterol) were
    observed at 5000 and in some parameters also at 500 ppm.  Relative
    liver weight was significantly increased in both sexes at 5000 and 500
    ppm.  Relative weight of spleen, adrenal and testes were significantly
    decreased in males and kidney weight was increased in females at 5000
    ppm.  Hepatic APDM activity was significantly increased at all dose

    levels in both male and females. At the highest dose enlarged and
    discoloured pale livers were observed in 16/20 males and 6/20 females.
    At histopathology hepatocellular swelling and fatty change were seen
    in males (also at 500 ppm) and females at 5000 ppm.  Cortical
    parenchymal vacuolation in the adrenal glands was observed in both
    sexes at 5000 ppm and in males also at 500 and 50 ppm.  Haemorrhages
    in the thymus were observed in both sexes at 5000 ppm.  The LOAEL in
    this study was 50 ppm (equivalent to 2.5 mg/kg bw/day)  (Kinsey
    et al., 1984). 

    Dogs 

         Groups of beagle dogs (4/sex/group) received 0, 5, 25 or 125 mg
    hexaconazole (purity 92.3%)/kg bw daily by capsule for 90 days.  After
    7 days the high dose group was terminated because of severe toxic
    effects (body weight loss, vomiting, abnormalities in gait and
    behaviour and one death).  An additional group was then started
    (4/sex) at 75 mg/kg bw/day.  After 10 days this dose, showing similar
    signs of toxicity, was reduced to 50 mg/kg bw/day.  After the initial
    effects at 75 mg/kg bw/day no dose-related effects were observed on
    mortality, clinical signs, ophthalmoscopy, body weight and food
    consumption at 50 mg/kg bw/day.  Platelet count was significantly
    increased in both sexes at 50 mg/kg bw/day.  Urea, albumin,
    triglycerides and cholesterol in plasma were significantly reduced and
    ALAT and SAP were increased in males and in females at 50 and 25 mg/kg
    bw  Relative kidney weight and relative liver weight were
    significantly increased in both sexes at 50 mg/kg bw/day  and there
    was a tendency to increased liver weight at 25 mg/kg bw. 

         Weights of ovaries and testes were slightly decreased at the
    highest dose.  At macroscopy enlargement and pallor of the liver was
    observed at both the mid- and the high-dose level.  These findings
    were accompanied by microscopic evidence of an increase in hepatocyte
    lipid accumulation.  The NOAEL in this study was 5 mg/kg bw/day
    (Stonard, 1989). 

         Groups of beagle dogs (4/sex/group) received 0, 2, 10 or 50 mg
    hexaconazole (purity 90.0%)/kg bw daily by capsule for one year. Two
    dogs died during the study, 1 male dog at 50 mg/kg bw/day on day 5
    (the dog was replaced by another male dog) and another dog (female)
    given 2 mg/kg bw/day in week 36.  Neither death was considered to be
    treatment-related.  There were no effects on clinical condition,
    ophthalmoscopy, food consumption and urinalysis.  At the highest dose
    body weight gain was significantly reduced during the first 5 weeks of
    the study.  At 50 mg/kg bw/day platelet count was significantly
    increased in both sexes throughout the study and in females at 10
    mg/kg bw at weeks 13 and 26.  At the high dose level reductions in
    plasma total protein and albumin, urea, cholesterol and triglycerides
    were observed in both sexes.  SAP and ALAT were increased in both male
    and female dogs at 50 mg/kg bw/day (significantly) and at 10 mg/kg

    bw/day.  Relative liver weight at 50 and 10 mg/kg bw/day and relative
    kidney weight at 50 mg/kg bw/day were significantly increased.  At
    macroscopy pallor, enlargement and accentuation of the lobular pattern
    of the liver was observed in high dose dogs. Fatty changes of the
    liver were observed in both male and female dogs at 50 mg/kg bw and to
    a lesser extent in males at 10 mg/kg bw/day.  The NOAEL in this study
    was 2 mg/kg bw/day (Stonard, 1988). 

    Long-term/carcinogenicity studies 

    Mice 

         Groups of male and female C57/BL/10JfCD-1/Alpk mice
    (50/sex/group) were fed diets containing 0, 0', 5, 40 or 200 ppm
    hexaconazole (purity 90%) for 2 years.  Two concurrent control groups
    of 50 male and 50 female mice were kept.  Observations included
    clinical signs, body weight, food consumption, haematology,
    macroscopy, liver and testes weight, and histopathology. 

         A slightly increased incidence of the loss of coat color (black
    to grey) was observed in male mice at 200 ppm during the second year
    of the study.  At the highest dose,  body weight gain and food
    efficiency were significantly reduced in males and food consumption
    was significantly reduced in females.  At termination Hb, Ht and RBC
    values were significantly increased in both sexes and MCV, platelet
    count and WBC count in females only at the highest dose.  Relative
    liver weight was significantly increased in high dose males and
    females accompanied by an increased incidence of minimal to moderate
    centrilobular fatty changes in the liver. Tumour incidences were not
    increased.  The NOAEL in this study was 40 ppm (equal to 4.7 mg/kg
    bw/day for male mice and 5.9 mg/kg bw/day for females) (Pigott, 1988).

    Rats 

         Groups of male and female ALpk:APfSD rats (64/sex/group) were fed
    diets containing 0, 10, 100 or 1000 ppm hexaconazole (purity 89.8%). 
    Twelve rats/sex from each group were used for interim sacrifice after
    52 weeks and the remaining 52 rats/sex/group were continued to
    terminal sacrifice after 105 weeks.  Observations included clinical
    signs, body weight, food consumption, ophthalmoscopy, haematology,
    clinical chemistry, APDM-activity in liver, macroscopy, organ weights
    (gonads, adrenals, kidneys, liver and brain), and histopathology.  In
    order to provide information on adrenocortical function, blood samples
    of 12 male and 12 female rats of each group were taken at week 52/53
    and week 78/79 and analyzed for corticosterone.  Urinary sodium and
    potassium levels (as an indirect method of assessing aldosterone
    levels) were determined in 13/rats/sex/group at week 52. 

         No treatment-related effects were seen on mortality, haematology,
    corticosterone, urinary sodium and potassium levels or ophthalmoscopy.

    A dose-related decrease in body weight gain was seen in females at 100
    ppm and in both sexes at 1000 ppm.  Food consumption was lower for
    high dose males and females.  At 1000 ppm plasma triglyceride levels
    were reduced in males and in females.  Cholesterol levels were
    significantly increased in high dose female rats and urea levels
    decreased during the first year.  Increases in ALAT and ASAT
    activities were observed in male rats at 1000 ppm.  Urinary protein
    excretion was significantly increased in high dose males up to week 25
    which was reflected in lower pH values.  There was a marked increase
    in hepatic amino-pyrine-N-demethylase activity in both males and
    females receiving 1000 ppm; a smaller but still significant increase
    was observed in males at 100 ppm. Relative liver weight was
    significantly increased at the highest dose (at interim sacrifice
    females at 100 ppm also showed an increased relative liver weight).
    Relative adrenal and kidney weights were increased in females at 100
    and 1000 ppm after 52 weeks only.

         Livers of high dose rats showed an accentuation of lobular
    pattern, with or without swollen or enlarged lobes and pale spots at
    the interim sacrifice as well as at termination.  Microscopy revealed
    a dose-related increased incidence of fatty changes, primarily
    centrilobular in pattern in the liver of males at 1000 and 100 ppm and
    in females at 1000 ppm.  High dose rats also showed an increase in the
    incidence of hepatocyte hypertrophy, with a slight dose-related
    increase in microcystic degeneration of the liver in males at 1000 ppm
    and a slight increase at 100 ppm.  

         An increased incidence of cortical vacuolation was observed in
    the adrenal glands of mid and high dose males.  A slight increase was
    seen in cortical cysts in females at 1000 ppm.  In the testes of rats
    at 1000 and 100 ppm, a treatment-related increased incidence was seen
    in benign Leydig cell tumours.  The incidence was 2/52, 2/52, 4/52,
    8/52 at 0, 10, 100 and 1000 ppm, respectively.  Historical control
    values for this finding are 0-14.4%.  The NOAEL in this study was 10
    ppm (equal to 0.47 mg/kg bw/day in males and 0.61 mg/kg bw/day in
    females) (Hext, 1988a; 1988b). 

    Reproduction study 

    Rats

         Groups of 15 male and 15 female ALpk:APfSD rats received
    hexaconazole (purity 90.0%) in the diet at 0, 20, 100 or 1000 ppm.
    After 12 weeks of treatment animals were mated to start a 2-generation
    (2 litters/generation) study.  F1 parents selected from F1a offspring
    were mated after 11 weeks.  At 1000 ppm body weight gain and food
    consumption were decreased in F0 and F1 parents.  A trend for a
    decreased body weight gain was observed in F0 males at 100 ppm.  At
    the highest dose birth weight and weight gain to day 36 of F1a litter
    offspring were significantly reduced.  In both F2a and F2b litters

    total litter weight was markedly reduced and F2b pup weight was also
    reduced.  Absolute as well as relative liver weights were increased at
    1000 ppm for F0 and F1 parents and F1a, F2a and F2b pups. 

         Histopathology revealed evidence of fatty changes in the liver
    with or without hepatocyte hypertrophy in male and female parents and
    pups at 1000 ppm.  At 100 ppm there was evidence of a similar but less
    marked effect on the histopathology of the liver in both parents and
    offspring.  Cortical cell vacuolation of the adrenal gland was
    observed in both male and female parents and offspring at 1000 ppm and
    to a much lesser extent this was also found at 100 ppm.  No adverse
    effects were observed on reproduction parameters such as fertility
    indices, length of gestation, pre-coital interval, litter size and
    number of live and dead fetuses.  The NOAEL in this study was 20 ppm
    (equivalent to 1 mg/kg bw/day) (Middleton, 1988). 

    Special studies on embryo/fetotoxicity 

    Rats 

         Groups of 24 pregnant Wistar Alpk/AP rats were orally dosed by
    gavage at 0, 2.5, 25 or 250 mg/kg bw/day hexaconazole (purity 92.3%)
    in corn oil from day 7 to day 16 of gestation.  Clinical signs,
    mortality, body weight and food consumption were recorded.  At day 22
    of gestation animals were sacrificed and the fetuses were delivered by
    cesarean section.  The number and positions of implantations and
    corpora lutea were determined.  The fetuses were counted, sexed and
    weighed and examined for external, visceral and skeletal
    malformations.  At 250 mg/kg bw/day,  maternal body weight gain and
    food consumption were significantly decreased.  Post-implantation loss
    was significantly increased.  The mean number of live fetuses was
    slightly reduced and pup weight was significantly lower at the highest
    dose.  The number of fetuses with minor defects only was significantly
    increased at 25 and 250 mg/kg bw/day.  The incidence of fetuses with
    extra 14th thoracic ribs was significantly increased at 25 and 250
    mg/kg bw/day.  At 250 mg/kg bw/day the proportion of fetuses with
    unossified calcanea and partially ossified 5th sternebrae was
    significantly increased and the mean manus and pes scores were
    also significantly increased in this group.  In this study fetotoxic
    effects were observed at 250 and to a lesser extant at 25 mg/kg
    bw/day, but there were no indications for structural malformations
    being associated with compound administration.  The NOAEL for
    fetotoxicity in this study was 2.5 mg/kg bw/day (Killick et al.,
    1984a). 

    Rabbits 

         Groups of 18 pregnant New Zealand white rabbits were orally dosed
    by gavage with 0, 2.5, 12.5 or 50 mg hexaconazole (purity 92.3%)/kg bw
    in corn oil from days 7-19 of gestation.  At day 30 of gestation

    animals were sacrificed and the fetuses were delivered by Cesarean
    section.  No dose-related maternal toxicity was observed.  The number,
    growth, and survival of the fetuses were not affected by treatment. 
    After examination of the fetuses for external, visceral and skeletal
    malformations, a slight increase (not significant) in partially
    ossified 5th sternebrae was seen at 50 mg/kg bw only.  The NOAEL in
    this study was 12.5 mg/kg bw/day (Killick et al., 1984b). 

    Special studies on genotoxicity

         A number of genotoxicity tests have been carried out with
    hexaconazole.  The results are summarized in Table 2 (in vitro) and
    Table 3 (in vivo). 

    Special studies on pharmacological effects 

    In vivo studies 

         In a rat behavioural study, a pull-up test for evaluating muscle
    relaxation and a Halothane sleeping time test, central nervous system
    (CNS) depression was observed at high doses (>500 mg/kg bw)
    hexaconazole (purity 89.8%).  The NOAEL for CNS depression in these
    studies was 250 mg/kg bw/day.  

         Hexaconazole had no effect on the cardiovascular system as
    determined by blood pressure measurements, heart rate or respiration
    rate and gastrointestinal motility (Allen, 1988). 

    In vitro studies 

         At high concentrations a non-competitive antagonism of both
    acetylcholine and histamine in guinea-pig ileum was observed. 

         Complete haemolysis of rabbit erythrocytes was induced by 0.03%
    and 0.1% hexaconazole.  No effects were observed on (alpha)1,
    (alpha)2 or œ-adrenoceptors, nicotinic acetylcholine receptors or on
    smooth muscle (Allen, 1988). 

    Special studies on skin and eye irritation and sensitization 

         A dose of 500 mg hexaconazole (purity not given) moistened with
    0.5 ml of deionised water, was applied under occlusive conditions to
    the shaven intact back skin of 6 male New Zealand white albino rabbits
    for 4 hours.  No skin irritation up to 72 hours after application
    occurred (Southwood, 1984b). 


        Table 2. Results of in vitro genotoxicity assays on hexaconazole 
                                                                                                                
    Test system         Test object           Concentration          Purity    Results     Reference
                                                                                                                

    Ames test1          S. typhimurium        1.6-5000 µg/ plate,    92.3%     negative    Callander, 1984
                        TA98, TA100,          2 tests
                        TA1535, TA1537,
                        TA1538

    Ames test1          E. coli WP2 uvrA      1.6-5000 µg/pla        89.8%     negative    Callander, 1988
                        pKM101                2 tests2

    Cytogenetics assay  human lymphocytes     15-250 µg/ml,          92.3%     negative    Sheldon, et al., 1984a
                                              >200 toxic3
                                              20-250 µg/ml4

    Lymphoma forward    mouse L5178Y cells    7.8-125 µg/ml          92.3%     negative    Cross, 1986
    mutation assay                            >70 µg:toxic5

    Unscheduled DNA     rat hepatocytes       10-4, 10-5,            90.0%     negative    Trueman, 1988
    synthesis test                            10-6 or 10-7 M6
                                                                                                                

    1    Both with and without rat liver S9 fraction. 
    2    2-Aminoanthracene and N-methyl-N1-nitro-N-nitrosoguanidine were used as positive controls. 
    3    Without metabolic activation, mitomycin C was used as positive control. 
    4    With metabolic activation, cyclophosphamide was used as a positive control. 
    5    Dimethylsulfoxide was used as negative control and benzo (alpha)pyrene and
         ethylmethanesulfonate were used as positive controls with and without metabolic activation, respectively.
    6    6-p-dimethylaminophenylazobenzthiazole was used as a positive control. 

    Table 3. Results of in vivo genotoxicity assays on hexaconazole

                                                                                                                
    Test system            Test object        Concentration          Purity    Results     Reference
                                                                                                                

    Micronucleus test      C57/BL/6J mice     75 and 120 mg/kg       92.3%     negative    Sheldon, et al.,
                           (m+F) bone         i.p.*                                        1984b
                           marrow cells

    Dominant lethal test   CD-1 male mice     10, 30 or 100          92.3%     negative    Wickramaratne, 
                                              mg/kg bw for 5                               et al., 1984
                                              cons. days*
                                                                                                                

    *    Cyclophosphamide was used as a positive control. 
    

         Nine New Zealand white albino rabbits were given doses of 100 mg
    of undiluted hexaconazole (purity not stated) into the conjunctival
    sac of the left eye.  The eyes of 3/9 rabbits were washed.  All
    animals showed conjunctival redness, chemosis and discharge at 1 hour
    after application reversible within 3 days except for slight discharge
    that was still seen in 1/6 rabbits (unwashed) after 7 days (Southwood,
    1984b). 

         Hexaconazole was tested for skin sensitization in 20 Dunkin
    Hartley guinea pigs in a Magnusson Kligman test.  The intradermal and
    topical induction concentrations were a 0.5% solution of hexaconazole
    (purity not given) in 4.5% dimethylformamide/corn oil and a 75%
    suspension in dimethylformamide, respectively.  After a challenge with
    a 10% solution, 1/20 animals showed scattered mild redness; following
    challenge with a 25% solution 12/20 animals showed scattered mild
    redness.  Following a re-challenge with a 25% solution 6/20 guinea
    pigs gave a positive response (Southwood, 1984c). 

    Special study on steroid metabolism 

         Isolated Leydig cells, prepared from the testes of adult
    Alpk:APfSD rats, were incubated with varying concentrations of either
    hexaconazole (0.1-30µm) or ketoconazole (0.l-10µm) for a period up to
    24 hours.  After the incubation period testosterone, progesterone and
    17-OH progesterone were analyzed using specific radio immunoassays. 
    The experiments were repeated in the presence of a maximally
    stimulating dose of HCG (human chorionic gonadotropin).  A dose-
    related decrease in testosterone production, accompanied by an
    increase in the production of progesterone and 17-OH progesterone was
    observed after treatment with hexaconazole and hezaconazole in the
    presence of hCG.  Incubation with ketoconazole showed the same
    effects, but ketaconazole is about 70-100 times more active than
    hexaconazole (Foster, 1990).

         The inhibition of testosterone production by ketoconazole was
    also reported in several in vivo as well as in vitro studies in
    humans, mice and rats (English et al., 1986; Pont et al., 1982;
    Santen et al., 1983; Lambert et al., 1986)

    Observations in humans

         No information was available.

    COMMENTS 

         Following oral administration to rats, hexaconazole was rapidly
    and almost completely excreted via the urine and the faeces.  The
    total radioactivity excreted was equal for both males and females, but
    females excreted a higher proportion of the dose in urine than in
    faeces.  The highest tissue residues were found in the liver,
    intestinal contents and the adrenal cortex.  Biliary excretion was
    extensive, accounting for about 80% and 40% of the total radioactivity
    in males and females respectively.  About 50% of the radioactivity
    excreted in the bile was reabsorbed by enterohepatic circulation.

         Hexaconazole was metabolized via oxidation of the n-butyl chain
    by two pathways.  The more important pathway was conversion of
    hexaconazole to 5-hydroxy-hexaconazole and 5-keto-hexaconazole; a
    minor pathway involved two-stage oxidation of the terminal methyl
    group to "hexaconazole acid" via 6-hydroxy-hexaconazole.  Free
    triazole was also formed by cleavage of hexaconazole or its
    metabolites. 

         The compound showed slight to moderate acute oral toxicity in
    rats and mice.  WHO has classified hexaconazole as slightly hazardous
    based on acute toxicity and has concluded that it is "unlikely to
    present acute hazard in normal use" (WHO, 1990).

         From acute as well as from short-term studies it appeared that
    male rats were more sensitive than female rats.  Short-term studies
    with mice, rats and dogs indicated that the liver is the primary
    target organ.  Lipid accumulation in hepatic parenchymal cells was
    observed, with associated disturbances in lipid metabolism and blood
    chemistry.  Elevated levels of aminopyrine-N-demethylase (rat)
    suggest an adaptive response in the liver.  In a one-year study in
    dogs (capsule administration) the NOAEL was 2 mg/kg bw/day.  However,
    a 90-day dog study (capsule administration) indicated a NOAEL of 5
    mg/kg bw/day.  Since the next highest dose in the one-year dog study
    was 10 mg/kg bw/day, the Meeting concluded that the appropriate NOAEL
    for dogs was probably 5 mg/kg bw/day.

         In the rat, cortical parenchymal vacuolation in the adrenal
    glands was observed.  In a short-term feeding study in mice, effects
    on the male and female reproductive organs and on the adrenals were
    observed.  From in vitro studies it can be concluded that
    hexaconazole inhibits testosterone production.

         In a long-term feeding study in mice (highest dose level 200 ppm)
    observed effects were reduced body weight gain, increased erythrocyte,
    haemoglobin and haematocrit values and, in the liver, increased weight
    and centrilobular fatty changes.  The tumour incidence was not
    enhanced.  The NOAEL in this study was 40 ppm, equal to 4.7 mg/kg
    bw/day for males and 5.9 mg/kg bw/day for females.

         In a long-term feeding study in rats, the same effects as in the
    short-term study were observed.  In the testes, the incidence of
    benign Leydig cell tumours was slightly increased.  The NOAEL in this
    study was 10 ppm, equal to 0.47 mg/kg bw/day in males and 0.6l mg/kg
    bw/day in females.

         After reviewing the available in vitro and in vivo short-term
    genotoxicity tests, it was concluded that there was no evidence of
    genotoxicity.

         Embryotoxicity/fetotoxicity was observed in a teratogenicity
    study in rats.  No effects were observed at 2.5 mg/kg bw/day.  Delayed
    ossification was observed in a rabbit teratogenicity study at the
    highest dose of 50 mg/kg bw/day; the NOAEL was 12.5 mg/kg bw/day.

         In a two-generation reproduction study in rats, reproductive
    performance was not affected.  Parental body weight gain, food
    consumption and pup weight were decreased.  Histopathological
    examination revealed fatty changes in the liver, either with or
    without hepatocytic hypertrophy, and cortical vacuolation of the
    adrenal gland in both parents and pups.  The NOAEL in this study was
    2.5 mg/kg bw/day.

         An ADI was allocated based upon the NOAEL from the rat long-term
    study (0.5 mg/kg bw/day), using a safety factor of 100.

    TOXICOLOGICAL EVALUATION 

    Level causing no toxicological effect 

         Mouse:    40 ppm in the diet, equal to 5.0 mg/kg bw/day
         Rat:      10 ppm in the diet, equal to 0.5 mg/kg bw/day
         Dog:      5 mg/kg bw/day

    Estimate of acceptable daily intake 

         0-0.005 mg/kg bw

    Studies which will provide information valuable in 
    the continued evaluation of the compound 

         Observations in humans. 

    REFERENCES 

    Allen, S.A. (1988) Hexaconazole: pharmacological evaluation.
    Unpublished report no.: CTL/P/1970 from ICI Central Toxicology
    Laboratory, Alderley Park, Macclesfield, Cheshire UK. Submitted to WHO
    by ICI Agrochemicals, Surrey, UK.  

    Callander, R.D. (1984) PP523: An evaluation in the salmonella
    mutagenicity assay. Unpublished report no.: CTL/P/977 from ICI Central
    Toxicology Laboratory, Alderley Park, Macclesfield, Cheshire UK.
    Submitted to WHO by ICI Agrochemicals, Surrey, UK. 

    Callander, R.D. (1988) Hexaconazole - an evaluation of mutagenic
    potential using E.coli. Unpublished report no.: CTL/P/2143 from ICI
    Central Toxicology Laboratory, Alderley Park, Macclesfield, Cheshire
    UK. Submitted to WHO by ICI Agrochemicals, Surrey, UK. 

    Cross, M.F. (1986) PP523: Assessment of mutagenic potential using
    L5178Y Mouse Lymphoma Cells. Unpublished report no.: CTL/P/1298 from
    ICI Central Toxicology Laboratory, Alderley Park, Macclesfield,
    Cheshire UK. Submitted to WHO by ICI Agrochemicals, Surrey, UK. 

    Davison, V.M. (1988) Hexaconazole: Acute oral toxicity to the rat.
    Unpublished report no.: CTL/P/2231 from ICI Central Toxicology
    Laboratory, Alderley Park, Macclesfield, Cheshire UK. Submitted to WHO
    by ICI Agrochemicals, Surrey, UK. 

    English, H.F., Santner, S.J., Levine, H.B. and Santen, R.J. (1986)
    Inhibition of testosterone production with ketoconazole alone and in
    combination with a gonadotropin releasing hormone analogue in the rat. 
    Cancer Res. 46, 38-42.  

    Forbes, D. (1988) Hexaconazole: 29-day feeding study in mice.
    Unpublished report no. CTL/P/2204 from ICI Central Toxicology
    Laboratory. Submitted to WHO by ICI Agrochemicals, Surrey, UK.

    Foster, P.M.D. (1990) Effects of hexaconazole (ICIA523) on the
    steroidogenic function of isolated rat Leydig cells, Unpublished
    report no.: CTL/R/1035 from ICI Central Toxicology Laboratory,
    Alderley Park, Macclesfield, Cheshire UK. Submitted to WHO by ICI
    Agrochemicals, Surrey, UK.

    Hext, P.M. (1987) PP523: 4-hour acute inhalation toxicity study in the
    rat. Unpublished report no.: CTL/P/1731 from ICI PLC, Alderley Park,
    Macclesfield, Cheshire, UK. Submitted to WHO by ICI Agrochemicals,
    Surrey, UK.

    Hext, P.M. (1988a) Hexaconazole: two year feeding study in rats.
    Unpublished report no.: CTL/P/1920 from ICI Central Toxicology
    Laboratory, Macclesfield, Cheshire UK. Submitted to WHO by ICI
    Agrochemicals, Surrey, UK.  

    Hext, P.M. (1988b) Second supplement to hexaconazole: two year feeding
    study in rats measurement of plasma corticosterone levels. Unpublished
    report no.: CTL/P/1920 from ICI Central Toxicology Laboratory,
    Macclesfield, Cheshire, UK. Submitted to WHO by ICI Agrochemicals,
    Surrey, UK. 

    Jones, B.K., Galvin, G. Rhodes, S.J. and Soames, A.R. (1984) PP523:
    Excretion and tissue retention of a single dose (1 mg/kg) in the rat.
    Unpublished report no.: CTL/P/1148 from ICI Central Toxicology
    Laboratory, Alderley park, Macclesfield, Cheshire, UK. Submitted to
    WHO by ICI Agrochemicals, Surrey, UK. 

    Jones, B.K. (1988a) Hexaconazole: repeat dose study (1mg/kg) in the
    rat. Unpublished report no.: CTL/P/2089 from ICI Central Toxicology
    Laboratory, Alderley Park, Macclesfield, Cheshire, UK. Submitted to
    WHO by ICI Agrochemicals, Surrey, UK. 

    Jones, B.K. (1988b) Hexaconazole: whole body autoradiography study in
    the rat following 14 daily oral doses of 1 mg 14C-labelled
    hexaconazole/kg. Unpublished report no.: CTL/P/2052 from ICI Central
    Toxicology Laboratory, Alderley Park, Macclesfield, Cheshire, UK.
    Submitted to WHO by ICI Agrochemicals, Surrey, UK. 

    Jones, B.K. (1989a) Hexaconazole: tissue distribution and elimination
    following a single oral dose (1 mg/kg) in the rat. Unpublished report
    no.: CTL/P/2389 from ICI Central Toxicology Laboratory, Alderley Park,
    Macclesfield, Cheshire, UK. Submitted to WHO by ICI Agrochemicals,
    Surrey, UK. 

    Jones, B.K. (1989b) Hexaconazole: tissue distribution and elimination
    following a single oral dose (200 mg/kg) in the rat. Unpublished
    report no.: CTL/P/2390 from ICI Central Toxicology Laboratory,
    Alderley Park, Macclesfield, Cheshire, UK. Submitted to WHO by ICI
    Agrochemicals, Surrey, UK. 

    Jones, B.K. (1989c) Hexaconazole: biotranformation in the rat with
    first amendment. Unpublished report no.: CTL/P/1848 from ICI Central
    Toxicology Laboratory, Alderley Park, Macclesfield, Cheshire, UK.
    Submitted to WHO by ICI Agrochemicals, Surrey, UK. 

    Killick, M.E., Wickramaratne, G.A., Banham, P.B. and Thomas, M.R.
    (1984a) PP523: Teratogenicity study in the rat. Unpublished report
    no.: CTL/P/1127 from ICI Central Toxicology Laboratory, Alderley park,
    Macclesfield, Cheshire, UK. Submitted to WHO by ICI Agrochemicals,
    Surrey, UK. 

     
    Killick, M.E., Wickramaratne, G.A., Banham, P.B. and Thomas, M.R.
    (1984b) PP523: Teratogenicity study in the rat. Unpublished report
    no.: CTL/P/1131 from ICI Central Toxicology Laboratory, Alderley park,
    Macclesfield, Cheshire, UK. Submitted to WHO by ICI Agrochemicals,
    Surrey, UK. 

    Kinsey, D.L., Hollis, K.J., Chart, I.S., Gore, C.W., Godley, M.J.
    Pigott, G.H., Stonard, M.D. and Chalmers, D.T. (1984) PP523: 90-day
    feeding study in rats. Unpublished report no.: CTL/P/1073 from ICI
    Central Toxicology Laboratory, Alderley Park, Macclesfield, Cheshire,
    UK. Submitted to WHO by ICI Agrochemicals, Surrey, UK. 

    Lambert, A., Mitchell, R., and Robertson, W.R. (1986) The effect of
    ketoconazole on adrenal and testicular steroidogenesis in vitro. 
    Biochem. Pharmacol., 25(22), 3999-4004.  

    Leah, A.M. (1989) Hexaconazole: acute oral toxicity to the mouse,
    including the first amendment to the report. Unpublished report no.
    CTL/P/2234 from ICI Central Toxicology Laboratory, Alderley Park,
    Macclesfield, Cheshire, UK. Submitted to WHO by ICI Agrochemicals,
    Surrey, UK. 

    Middleton, M.C. (1988) Hexaconazole: two generation reproduction study
    in the rat. Unpublished report no.: CTL/P/1598 from ICI Central
    Toxicology Laboratory, Alderley Park, Macclesfield, Cheshire, UK.
    Submitted to WHO by ICI Agrochemicals, Surrey, UK. 

    Pigott, G.H. (1988) Hexaconazole: two year feed study in mice.
    Unpublished report no. CTL/P/1929 from ICI Central Toxicology
    Laboratory, Alderley Park, Macclesfield, Cheshire, UK. Submitted to
    WHO by ICI Agrochemicals, Surrey, UK 

    Pont, A., Williams, P.L., Azhar, S., Reitz, R.E., Bochra, C., Smith,
    E.R. and Stevens, D.A. (1982) Ketoconazole blocks testosterone
    synthesis.  Arch. Intern. Med. 142, 2137-2140.  

    Santen, R.J., Van den Bossche, H., Symoens, J., Brugmans, J. and
    DeCoster, R. (1983) Site of action of low dose ketoconazole on
    androgen biosynthesis in men. J. Clinical Endocrin. Metab. 57(4), 732-
    736.  

    Sheldon, T., Howard, A.C. and Richardson, C.R. (1984a) PP523: A
    cytogenetic study in human lymphocytes in vitro. Unpublished report
    no. CTL/P/1186 from ICI Central Toxicology Laboratory, Alderley Park,
    Macclesfield, Cheshire, UK. Submitted to WHO by ICI Agrochemicals,
    Surrey, UK. 

     
    Sheldon, T., Richardson, C.R., Shaw, J. and Barber, G. (1984b) An
    evaluation of PP523 in the mouse micronucleus test. Unpublished report
    no. CTL/P/1136 from ICI Central Toxicology Laboratory, Alderley Park,
    Macclesfield, Cheshire, UK. Submitted to WHO by ICI Agrochemicals,
    Surrey, UK.  

    Southwood, J. (1984a) PP523: Acute oral and acute dermal toxicity
    studies. Unpublished report no. CTL/P/1113 from ICI Central Toxicology
    Laboratory, Alderley Park, Macclesfield, Cheshire, UK. Submitted to
    WHO by ICI Agrochemicals, Surrey, UK. 

    Southwood, J. (1984b) PP523: Skin and eye irritation studies.
    Unpublished report no. CTL/P/1043 from ICI Central Toxicology
    Laboratory, Alderley Park, Macclesfield, Cheshire, UK. Submitted to
    WHO by ICI Agrochemicals, Surrey, UK. 

    Southwood, J. (1984c) PP523: Skin sensitisation study. Unpublished
    report no. CTL/P/1049 from ICI Central Toxicology Laboratory, Alderley
    Park, Macclesfield, Cheshire, UK. Submitted to WHO by ICI
    Agrochemicals, Surrey, UK. 

    Stonard, M.D. (1989) PP523: 90-day oral dosing study in dogs and first
    amendment. Unpublished report no. CTL/P/1137 from ICI Central
    Toxicology Laboratory, Alderley Park, Macclesfield, Cheshire, UK.
    Submitted to WHO by ICI Agrochemicals, Surrey, UK. 

    Stonard, M.D. (1988) Hexaconazole: 1 year oral dosing study in dogs.
    Unpublished report no. CTL/P/1942 from ICI Central Toxicology
    Laboratory, Alderley Park, Macclesfield, Cheshire, UK. Submitted to
    WHO by ICI Agrochemicals, Surrey, UK. 

    Trivedi, S., Jones, B.K. and Soames, A.R. (1986) PP523: Excretion and
    tissue retention of a single oral dose (200 mg/kg) in the rat.
    Unpublished report no. CTL/P/1431 from ICI Central Toxicology
    Laboratory, Alderley park, Macclesfield, Cheshire, UK. Submitted to
    WHO by ICI Agrochemicals, Surrey, UK. 

    Trueman, R.W. (1988) Hexaconazole: Assessment for the induction of
    unscheduled DNA synthesis in primary rat hepatocyte cultures.
    Unpublished report no. CTL/P/1887 from ICI Central Toxicology
    Laboratory, Alderley Park, Macclesfield, Cheshire, UK. Submitted to
    WHO by ICI Agrochemicals, Surrey, UK. 

    Wickramaratne, G.A., Bramley, J.R., Banham, P.B. and Godley, M.J.
    (1984) PP523: Dominant lethal study in the mouse. Unpublished report
    no. CTL/P/1110 from ICI Central Toxicology Laboratory, Alderley Park,
    Macclesfield, Cheshire, UK. Submitted to WHO by ICI Agrochemicals,
    Surrey, UK. 

    WHO (1990).  The WHO recommended classification of pesticides by
    hazard and guidelines to classification 1990-1991 (WHO/PCS/90.1). 
    Available from the International Programme on Chemical Safety,  World
    Health Organization, Geneva, Switzerland. 


    See Also:
       Toxicological Abbreviations