IPCS INCHEM Home

    PROPOXUR

    EXPLANATION

         Propoxur was previously evaluated by the WHO Expert Group in
    1973. This evaluation resulted in the allocation of an ADI of 0-0.02
    mg/kg bw (WHO/FAO, 1974).  Since the 1973 evaluation new data on
    virtually all toxicological aspects have become available.  In the
    present monograph addendum these data are summarized and the safety
    of propoxur is re-evaluated.

    EVALUATION FOR ACCEPTABLE DAILY INTAKE

    BIOLOGICAL DATA

    Biochemical aspects

    Absorption, distribution and excretion

         Female ICR mice, fasted for 12 hours, were given a single dose
    of 1 mg/kg bw 14C-propoxur (ring-labelled) directly into the
    stomach.  The amount of 14C absorbed from the intestines (expressed
    as % of the applied amount) was 25, 48, 54, 66 and 74% after 1, 5,
    15, 30 and 60 minutes respectively.  At 5 minutes after dose
    administration 14C was present in blood, liver and carcass.  Only
    trace amounts of 14C activity were found in captured CO2.  In
    urine, 16, 28 and 50% of the applied amount was found after 15, 30
    and 60 minutes respectively (Ahdaya  et al. 1981).

         The distribution of radioactivity was followed in a whole body
    autoradiographic study in rats for the 72 hours after administering
    a single dose of about 5 mg/kg bw 14C-propoxur (ring labelled). 
    During the first 8 hours, the highest concentrations were found in
    kidneys, gastrointestinal tract contents, urinary bladder contents,
    lymph fluid and in the nasal and pharyngal mucosa.  Somewhat lower
    levels were present in blood, lung, salivary gland, parotis and
    connective tissues (skin, cartilages, bones, ligaments, testes,
    epididymis, seminal vesicle membranes).  Next highest in
    concentration were the spleen, adrenal gland and infraorbital gland.
    Low concentrations were found in  muscle tissues, fat, brain, spinal
    marrow and thymus.  At 24 hours after application, the radioactivity
    concentrations had declined markedly in most tissues. Excretion
    proceeded slower towards the end of the test period. The
    autoradiographs indicated rapid excretion, mostly in urine and, to a
    lesser degree, in feces (Weber, 1988).

         Male and female Long-Evans rats were given a single oral dose
    of 14C-propoxur (position of label not reported).  In the period up
    to 48 hours after application, 62-91% of the dose was excreted in
    urine and 3-33% in feces (Abd-Elraof  et al. 1981).

         A group of 42 male rats received a daily dose of 30 mg/kg bw
    propoxur for 2 weeks followed by 50 mg/kg bw/day for 4 weeks. 
    Concentrations of propoxur and the metabolite 2-isopropoxyphenol
    (M2) were measured in kidneys, liver, blood and brain on days 1, 7,
    14, 28 and 42.  Propoxur concentrations were highest in kidneys
    (1.6-7.0 mg/kg) followed by liver (0.7-1.4 mg/kg), blood (0.27-0.49
    mg/l) and brain (0.22-0.29 mg/kg).  The concentration distribution
    for the metabolite was comparable. Apart from the increases noted
    after elevation of the dose level, the only consistent trend in the

    propoxur concentrations in tissues was a time-correlated increase in
    the concentrations in the kidneys  (Krechniak & Foss, 1983a).

         The distribution and excretion of the metabolite 2-
    isopropoxyphenol were investigated after administration of a single
    intravenous dose of 50 mg/kg bw to male Wistar rats.  The
    elimination kinetics had a two-phase character.  During  the first
    phase, lasting about 20-60 minutes, over 85% of the substance was
    eliminated from the organs and tissues.  Highest concentrations
    occurred in blood and kidneys.  Over a 5-day period, 53% of the
    administered dose was excreted via urine, 95% of this amount being
    recovered during the first 24 hours (Krechniak & Foss 1983b).

         Dermal absorption of propoxur was measured in groups of male
    Sprague Dawley rats receiving a single dose of 0.65, 6.9, 70 or 690
    wµg 14C-propoxur/cm2to a shaven, intact skin area of 15 cm2.  The
    vehicle was a mixture of ethanol and deionized water. Skin
    penetration was calculated from 14C determinations in urine, feces,
    blood, carcass and application skin site, carried out at 0.5, 1, 2,
    4, 8 and 24 hours after dose application.  After 8 hours of exposure
    the absorption percentages were 46, 54, 22 and 17% at the dose
    levels of 0.65, 6.9, 70 and 690 µg/cm2 respectively (Eigenberg,
    1988).

         A lactating cow was given a single oral dose of 0.21 mg/kg bw
    14C-propoxur (label in ring) in the form of a gelatin capsule.  14C
    concentrations in blood, urine, feces and milk were measured up to 3
    days after application.  Total 14C levels in blood reached a peak
    activity at 1 hour after application.  In urine a total of 96% of
    the dose was excreted, excretion being completed after 32 hours.  In
    feces, only 0.74% was found and in milk, less than 0.1%.  At 7 days
    after the first dose, the cow received an identical dose and was
    sacrificed 2.5 hours later for determination of 14C in tissues. 
    Concentrations in kidneys, liver, fat, heart, muscle and brain were
    0.355, 0.051, 0.017, 0.016, 0.009 and <0.003 ppm (expressed as
    propoxur equivalents), respectively.  2-Isopropoxyphenol was
    identied as major metabolite in liver, kidneys and urine (Bell &
    Gronberg, 1975).

    Biotransformation

    Qualitative metabolite pattern

         Studies were carried out in mice, rats, hamsters, monkeys and
    humans; the results are summarized below.

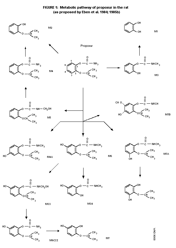
         Ten male Wistar rats were maintained on a diet containing 8000
    ppm propoxur for 13 weeks.  In urine, collected over a 24-hour
    period, a large number of metabolites was identified.  The results
    show the biotransformation pathway in rats to comprise

    depropoxylation, hydrolysis of the ester bond, N-methyl
    hydroxylation and demethylation, and ring hydroxylation at ring
    positions 3, 4 and 5.  The proposed metabolism scheme of propoxur in
    rats is presented in figure 1 (Eben  et al. 1984; 1985b).

         The same investigators have performed similar studies in NMRI
    mice and Golden hamsters.  The main metabolite pattern found in
    these species was comparable to the one in rats: depropoxylation,
    hydrolysis of the ester bond, N-demethylation and ring hydroxylation
    at ring positions 3, 4 and 5 were also found in mice and hamsters. 
    The metabolites MS3, MS4 and M6CII however, identified in rats,
    could not be confirmed in mice and hamsters ( Eben et al. 1986a;
    1987).

         A similar study in Rhesus monkeys (dose level 40 mg/kg bw/day
    for 13 weeks)  revealed that the biotransformation in primates, like
    that in rodents involves depropoxylation, hydrolysis of the ester
    bond and N-demethylation.  Ring hydroxylation, however, in monkeys
    occurs only at the 4- and 5-position of the ring, unlike in rodents
    where it occurs at the 3-position also.  The following metabolites,
    identified in rats, were not found in monkeys:  M4A, MS3, M6CII,
    MS4, M7A and M8 (Eben  et al. 1986b).

         Human data are limited. In urine obtained from a person, who in
    a suicidal attempt had ingested large amounts of an EC-formulation
    of propoxur, a large number of propoxur metabolites was identified. 
    The metabolites were present as the free compounds or conjugated
    with glucuronide or sulfate.  The results indicate that, like in
    other species, the biotransformation pathways comprise
    depropoxylation, hydrolysis of the ester bond and ring
    hydroxylation. Like monkeys, and contrary to rodents, in humans the
    ring hydroxylation occurs at the 4- and 5- positions only (the 3
    position is not hydroxylated) (Eben  et al. 1985a).

    Quantitative metabolite pattern

         Male and female Long-Evans rats received a single dose of 14C-
    propoxur.  Urine and feces were collected up to 48 hours after
    dosing; TLC was done to identify metabolites.  Of the radioactivity
    present in urine, 34% was unchanged propoxur, 8% was present as M2,
    5% as M3 and 52% was not identified.  In feces, 37% was unchanged
    compound, 40% was present as M2, 9% as M3 and 14% was not identified
    (Abd-Elraof  et al. 1981).

         The following study was done to determine the extent to which
    the renal metabolite pattern depends upon diet and dose level.  The
    diets used were semisynthetic casein basic feed and Altromin
    standard feed.  Groups of 5 female Wistar rats received 50, 250 or
    5000 ppm propoxur in the two diets for 4 weeks followed by a single
    oral dose of 1 mg/kg bw 14C-propoxur (ring labelled).  More than

    FIGURE 01

    90% of the administered 14C was recovered in urine in all groups. 
    The urinary conjugated metabolite pattern was comparable for the
    different dose levels and the different diets.  At higher (5000 ppm)
    dose  levels, there was a trend for a higher percentage of M5 and M6
    and a lower for M2 and M7.  The 14C distribution over the
    conjugated metabolites is summarized in Table 1.

    TABLE 1.  DISTRIBUTION OF 14C OVER URINARY METABOLITES IN RATS

                                                            

              METABOLITE               % OF 14C PRESENT IN
                                       URINE (RANGE FOR ALL
                                       DOSE LEVELS AND DIETS)

                                                            

                  M1                          7.0-15.5
                  M2                         17.2-25.2
                  M3                         22.2-30.2
                  M5                          0.6- 2.5
                  M6                          4.5- 7.9
                  MS3                         0.3- 1.2
                  M7                         14.0-16.3
                  M7A                         5.9- 8.3
                  M8                          1.7- 4.1

                                                            

        (Karl, 1986; Karl & Schneider, 1987)

         Metabolism of propoxur in the liver was studied further in  in
     vivo studies, using post-mitochondrial fractions of livers of
    rats, mice, hamsters and monkeys.  A similar study was done in human
    liver preparations.  The results show M5 to be the major metabolite
    in rat liver, M3 and M6 being formed to a lesser degree.  The
    percentage of M5 in relation to overall metabolism decreases from
    mouse to hamster and monkeys.  In the liver preparation from Rhesus 
    monkeys, M3 and M6 were formed more than in M5.  In additional tests
    it was observed that in liver cell fractions of rats and mice
    further metabolization of M5 does not take place in hamsters it
    occurs only to a limited degree.  In contrast, the liver cell
    fractions of Rhesus monkeys and humans are able to further
    metabolize M5 to 4 other metabolites (not identified) (Schmidt,
    1987).

    Effect on cholinesterase activity

         Male and female Wistar rats were given a single oral dose of 0,
    1, 5 or 25 mg/kg bw via stomach tube.  Cholinesterase activity was 

    measured in plasma, erythrocytes and brain at intervals varying from
    0.5 hours to 14 days after dose application.  At the highest dose
    level, cholinesterase activity in plasma and erythrocytes was
    depressed after 30 and 60 minutes; after 3 hours the depressions
    were no longer apparent. Brain cholinesterase activity was depressed
    after 3-5 hours in the same group; 3 days after dosing this was no
    longer apparent.  At 1 and 5 mg/kg bw no effect was seen (Heimann,
    1982c).

         In male rats given a single oral dose of 2.1, 7.0, 20.9, 50 or
    70 mg/kg bw propoxur, cholinesterase activity in whole blood was
    decreased at all dose levels (at 2.1 mg/kg bw the decrease was
    slight) after 10 minutes; at 24 hours after dose  application the
    depressions were no longer present.  The same investigators tested
    for cholinesterase depression in whole blood and brain in male rats
    dosed orally with 30 mg/kg bw/day for 14 days followed by 50 mg/kg
    bw via the same route for 28 days.  A decreased activity in both
    blood and brain was noted during the first 14 days; the depression
    gradually disappeared during the following 28 days of treatment. 
    This indicates adaptation (Krechniak & Foss, 1982).

         In an inhalation study, male and female rats were exposed to
    0.4, 1.2, 9.0, 30.0, 78.0 or 172.0 mg/m3 propoxur for 6 hours.
    Directly after cessation of exposure, plasma and erythrocyte
    cholinesterase activities were measured and compared to pre-test
    values. At 30, 78 and 172 mg/m3, depressions were observed.  In
    addition, at 172 mg/m3 cholinergic symptoms were seen at 30 minutes
    after commencement of exposure (Kimmerle & Eben, 1978a).

    Effect on liver enzyme activity

    Mice

         Male mice received propoxur (purity 98.8%) in the drinking
    water at concentrations increasing with each successive week from 50
    to 2000 ppm over a total period of 6 weeks.  In animals thus treated
    for six weeks, the LD50 for propoxur was significantly higher than
    in untreated controls, a finding indicating that tolerance to
    propoxur acute toxicity had developed.  Hexobarbital sleeping time
    was significantly reduced, indicating induction of hepatic
    microsomal enzymes.  Determinations of carboxy esterase activities
    in liver, plasma and brain, however, did not show any significant
    increase in the propoxur-treated animals (Costa  et al. 1981).

    Rats

         Propoxur was administered orally for 5 days to male and female
    rats at dose levels of 0, 15 or 30 mg/kg bw/day.  The rats treated
    with propoxur did not exhibit induction of the mixed function
    oxidases in comparison to control rats. (A positive control group

    was treated with sodium phenobarbitone 50 mg/kg bw/day for 5 days
    and induction of mixed function oxidases was observed) (Mihail,
    1982).

         Concomitant to a short-term study in female rats, liver tissue
    enzyme activities were measured after 3, 7, 14 and 28 days of
    feeding on a diet containing 0 or 5000 ppm propoxur.  From day 3,
    cytochrome P-450 dependent mono-oxygenases (i.e. 7-ethoxycoumarin
    deethylase, ethoxyresorufin deethylase, aldrin epoxidase) were
    induced (increased with a factor of 2-3).  The activity of the
    microsomal epoxide hydroxylase was increased by the same magnitude. 
    In contrast, the cytosolic glutathione-S-transferase exhibited only
    a slight change compared to the control group.  Altromin diet was
    used in this study.  An identical study in which a casein semi-
    synthetic diet was used also showed induction of mono-oxygenase
    activity by propoxur.  The absolute activity levels reached in the
    latter study, however, were about 50% lower compared to the values
    observed in the concurrent control and treatment groups of the
    Altromin diet study (Machemer & Schmidt, 1988).

    Toxicological studies

    Acute toxicity

         The acute toxicity of propoxur to rats and mice is presented in
    Table 2.

         The observed intoxication symptoms were indicative of
    inhibition of cholinesterase: convulsions, muscular tremors,
    muscular spasms, dyspnoea, salivation (Flucke, 1980; Heimann,
    1982b).

    Short-term toxicity

    Oral studies

    Rats

         The toxicity of propoxur technical (purity 98.6%) and propoxur
    recrystallized (purity 99.2%) was compared in a 5 day-study.  Groups
    of Wistar rats (5/sex/group) received oral doses of 0, 15 or 30
    mg/kg bw/day of propoxur of both purities via stomach tube for 5
    days.  Appearance, behaviour and body weight were recorded daily. 
    After 5 days, all animals were sacrificed and submitted to gross
    pathology.  The weights of liver and kidneys were determined. 
    Clinical chemistry was performed on all animals.  N-demethylase, O-
    demethylase, cytochrome P-450 and triglycerides were measured in
    liver homogenates (cholinesterase activity not determined).  The
    only adverse effects noted were convulsions and apathy, occurring in
    all treatment groups in a dose-related manner.  No difference in
    toxicity between the two purities were found (Heimann, 1983).

        TABLE 2.  ACUTE TOXICITY OF PROPOXUR IN ANIMALS
                                                                                   
                                      LD50          LC50
    SPECIES    SEX     ROUTE       (mg/kg bw)      (mg/m3)       REFERENCES
                                                                                   

    Mouse      M       oral            37             -          Haley et al. 1974
               F       idem            39             -          Haley et al. 1974

    Rat        M*      oral            39             -          Thyssen et al. 1977
               M*      oral            45             -          Flucke, 1984
               M       oral           196             -          Flucke, 1980
               F       oral           126             -          Flucke, 1980
               M*      oral            94             -          Flucke, 1980
               F*      oral            68             -          Flucke, 1980
               M       oral           167             -          Heimann, 1982b
               F       oral            96             -          Heimann, 1982b
               M*      oral            69             -          Heimann, 1982b
               F*      oral            47             -          Heimann, 1982b
               M       i.p.            16             -          Heimann, 1982b
               F       i.p.            13             -          Heimann, 1982b
               M&F     dermal       >5000             -          Flucke, 1980
               M&F     inhal.          -           >498          Pauluhn, 1988

                                                                                   
    *   Fasted animals
    
    Dogs

         Beagle dogs (6/sex/group) were given diets containing 0, 200 or
    600 ppm propoxur (purity 99.4%) for 52 weeks.  An additional group
    received 1800 ppm from week 1 through week 40, 3600 ppm from week 41
    through 44 and 5400 ppm from week 45 through 52 (the increases were
    established in order to produce overt toxic signs).  Appearance,
    behaviour and body weight were recorded.  On a number of occasions
    throughout the study reflex tests, ophthalmoscopy, hematology,
    clinical chemistry, urinalysis and cholinesterase activity (in
    plasma and erythrocytes) were determined.  At sacrifice, organs were
    weighed and complete gross pathology and histopathology were carried
    out.  In livers N-demethylase and cytochrome P-450 were measured. 
    Cholinergic symptoms were observed at the highest dose level after
    elevation of the dose level to 5400 ppm and 1/6 animals died.  In
    addition, the following parameters were increased in this group: 
    thrombocyte, leucocyte and reticulocyte counts, incidence of Heinz
    bodies, ALAT and SAP, liver weight and thyroid weight; thymus weight
    was decreased (also noted: medium thymus atrophy).  At the highest
    dose level and at 600 ppm also, growth was retarded and plasma
    cholesterol and liver N-demethylase were increased.  The NOAEL in
    this study is 200 ppm (Hoffmann & Gröning, 1984).

    Inhalation studies

         Groups of Wistar rats (10/sex/group) were exposed to aerosols
    containing propoxur (purity 98.9%) in concentrations of 0, 5.7, 18.7
    or 31.7 mg/m3 6 hours per day, 5 days per week over a period of 12
    weeks.  There was no effect on behaviour, growth, hematology,
    clincial chemistry, urinalysis, organ weights or histopathology. 
    The only effect observed was a depression of cholinesterase activity
    in plasma, erythrocytes and brain, occuring at 31.7 mg/m3 only
    (Kimmerle & Iyatomi, 1976).

         Groups of Wistar rats (5/sex/group) were exposed to aerosols
    containing propoxur (purity 99.6%) in concentrations of 0, 15.3,
    45.3 or 139.6 mg/m3 during 6 hours per day, 5 days per week over a
    period of 4 or 8 weeks.  The observations included clinical signs,
    body weight, cholinesterase activity in plasma, erythrocytes and
    brain at sacrifice after 4 and 8 weeks, urinalysis, gross pathology
    (all organs) and histopathology (4 tissues/animal) and organ weights
    (4 organs/animal).  Cholinergic symptoms were observed at 139.6
    mg/m3.  Cholinesterase activies in brain were depressed in week 4
    at 45.3 and 139.6 mg/m3 and in week 8 at 15.3 mg/m3 also.  There
    were no signs of specific organ damage or an alteration in the
    urinary bladder epithelium (Pauluhn & Rühl, 1985).

    Long term carcinogenicity studies

    Mice

         Groups of 50 male and 50 female CF1/W74 mice were fed diets
    containing 0, 700, 2000 or 6000 ppm propoxur (purity 99.6%) for 24
    months.  Satellite groups of 10 male and 10 female mice were fed at
    the same dose levels and were used for interim sacrifice after 6
    months.  Observations included clinical signs, body weight, food
    consumption, hematology and clinical chemistry.  The weights of 6
    organs/animal were recorded.  Gross pathology and limited
    histopathogy (about 20 tissues/animal) were carried out.  Slight
    growth retardation was oberved in the 700, 2000 and 6000 ppm males;
    ALAT was increased in 6000 ppm-females after 6 months only.  The
    relative weights of testes and spleen were increased or decreased,
    respectively, at all dose levels to a dose-related degree.  The
    tumour incidence was not increased (Bomhard & Löser, 1981; Reid
    Patterson, 1980).

    Rats

         In a chronic toxicity study summarized in the WHO/FAO monograph
    from 1974, with dietary dose levels of 0, 250, 750, 2000 and 6000
    ppm (purity 99.8%),the effects were: growth retardation and reduced
    food consumption at 200 and 6000 ppm and increased relative liver
    weight at 6000 ppm (NOAEL in this study:  250 ppm) (WHO/FAO, 1974). 

    The histological sections produced in this study were reexamined. 
    Histopathological appraisal of urinary bladder sections confirmed
    the absence of alterations in this organ at all dose levels
    (Luckhaus, 1984).

         Groups of 20 male and 20 female Wistar rats were fed diets
    containing 0, 50, 200 or 800 ppm propoxur (purity 97.25%) for 18
    months. The observations included clinical signs, food intake, body
    weight, hematology and clinical chemistry.  At termination all
    animals were sacrificed.  Organ weights were determined and
    histopathology was carried out.  Growth was slightly decreased in
    the 800 ppm females. At the end of the study cholinesterase
    activities in whole blood and brain were inhibited at 800 ppm.  The
    NOAEL in this study is 200 ppm (Jurek, 1978).

         Groups of 50 male and 50 female Wistar rats were fed diets
    containing 0, 200, 1000 or 5000 ppm propoxur (purity 99.4%) for 2
    years.  Additional groups of 10 rats/sex/group were treated at the
    same dose levels and were used for interim sacrifice after 1 year. 
    The observations included clinical signs, body weight, gross
    pathology and histopathology.  Growth was retarded at 1000 and 5000
    ppm.  At 5000 ppm slight neuromuscular changes (i.e.  slightly
    increased incidences of peripheral neuropathy and muscular atrophy
    of the rear extremities) were noted. Also at 5000 ppm, ASAT was
    decreased (males and females) and urea was increased (females only). 
    At the same dose level the relative weights of a number of organs
    (heart, lung, liver, kidney, adrenal) were increased.  At interim
    autopsy the incidence of hyperplasia of the urinary bladder was
    increased at 1000 and 5000 ppm (incidences 0/20, 0/20, 6/20 and
    19/20 in the 0, 200, 1000 and 5000 ppm groups, respectively). The
    findings in the urinary bladder at terminal sacrifice are presented
    in Table 3.

    TABLE 3. INCIDENCE OF URINARY BLADDER ALTERATIONS
             IN MALE AND FEMALE RATS
                                                                      

    OCCURRENCE         CONTROL       200 ppm       1000 ppm    5000 ppm

                                                                      

    Hyperplasia         1/98          1/96         15/99         92/97
    Papilloma           0/98          0/96          1/99         53/97
    Carcinoma           0/98          0/96          0/99         13/97

                                                                      

         The NOAEL in this study is 200 ppm (determined to be equal to
    9.6 mg/kg bw/day) (Suberg & Löser, 1984, Glaister, 1984).

         For further determination of the dose-response/exposure-time
    relationship  with regard to the effect on the urinary bladder,
    groups of 70 female Wistar rats were fed diets containing 0, 50,
    250, 1000, 3000, 5000 or 8000 ppm propoxur (purity 99.6-99.9%) for
    periods up to 104 weeks.  After 4, 7, 12, 26, 53 and 78 weeks, 5 or
    10 rats/group were sacrificed for interim autopsy.  The animals were
    observed for clinical signs, food intake, water intake and body
    weight.  Organ weights were determined.  Gross pathology and
    histopathology (kidney, urinary bladder, ureter, liver) were carried
    out.  Growth was retarded at 3000 ppm and higher dose levels.  The
    relative weights of liver and kidneys were increased at 3000, 5000
    and 8000 ppm.  Hyperplasia of the bladder epithelium was observed at
    1000 ppm (from week 53), at 3000 ppm (from week 12), 5000 ppm (from
    week 4) and at 8000 ppm (from week 2).  At the latter two dose
    levels the effect had developed to severe hyperplasia with recent
    vascularization and papillary and nodular hyperplasia after 53
    weeks.  After 104 weeks, dose-related increases were observed on
    hyperplasia, papilloma and carincoma of the urinary bladder in
    female rats.

         The NOAEL in this study is 250 ppm (Hahnemann & Rühl-Fehlert,
    1988f)

         In a number of additional studies the effect of propoxur on the
    urinary bladder was yet further examined.  Issues to be elucidated
    were strain and species specificity, influence of the diet used and
    effect of vitamin C supplementation.

    Strain specificity

         Possible strain specificity of the effect of propoxur on the
    urinary bladder, observed in Wistar rats, was examined through an
    oral study in Sprague Dawley rats.  Groups of 50 female Sprague
    Dawley rats were fed diets containing 0, 3000 or 8000 ppm propoxur
    (purity 99.6%-99.9%) for periods up to 52 weeks.  Growth was
    retarded and the relative weights of liver, lung and kidneys were
    increased at both dose levels.  Simple hyperplasia of the urinary
    bladder was observed at 3000 and 8000 ppm from week 4 on.  At 8000
    ppm hyperplasia with neovascularization, papillary hyperplasia and
    incipient nodular hyperplasia were found in the urinary bladder from
    week 27.  Thus, this strain of rats is as sensitive as is the Wistar
    rat with regard to the formation of urinary bladder hyperplasia by
    propoxur (Hahnemann & Rühl-Fehlert, 1988b).

    Species specificity

         In the two oral short-term toxicity studies in dogs (summarized
    in the relevant paragraphs of the present monograph and the 1974
    WHO/FAO monograph respectively) and in the long-term study in mice
    (summarized in the paragraph on long-term studies of the present
    monograph) no effect on the urinary bladder epithelium was observed.
    Further evidence of species specificity was obtained in the
    following studies.

    Mice

         Groups of 50 female NMRI mice were fed diets containing 0, 3000
    or 8000 ppm propoxur (purity 99.6%-99.9%) for 53 weeks.  Growth was
    slightly decreased at 8000 ppm.  Increased liver weight and fatty
    degeneration occurred at 3000 and 8000 ppm.  Relative lung weight
    was increased at 8000 ppm only.  No adverse effect on urinary
    bladder epithelium was noted (Hahnemann & Rühl-Fehlert, 1988c).

    Hamsters

         Groups of 50 female Syrian golden hamsters were fed diets
    containing 0, 3000 or 8000 ppm propoxur (purity 99.6-99.9%) for 53
    weeks.  At both dose levels the incidence of mortality was slightly
    increased, impairment of the general state of the animals (not
    specified) was noted and growth was retarded.  The relative weights
    of kidneys and adrenals were increased at 8000 ppm only.  No adverse
    effect on urinary bladder epithelium was observed (Hahnemann & Rühl-
    Fehlert, 1988a).

    Rhesus monkeys

         A group of 6 Rhesus monkeys (3 per sex) received oral doses of
    40 mg/kg bw/day propoxur (purity 99.6%) via oral intubation for 13
    weeks.  This daily dose was previously determined to be the maximum
    tolerable dose.  No control group was used.  Cholinergic symptoms
    were observed following compound administration.  No adverse effect
    on the urinary bladder epithelium was noted (Hoffmann & Rühl, 1985).

    Effect of vitamin C supplementation

         Groups of 50 female Wistar rats were fed diets containing 1%
    vitamin C and propoxur (purity 99.6-99.9%) at concentrations of 0,
    1000, 3000 or 8000 ppm for a period of 49 weeks.  Additional groups
    received the same propoxur dose levels in unsupplemented diet. 
    Growth was retarded in all propoxur-treated groups.  The relative
    weights of liver (8000 ppm only) and kidneys and lungs (all dose
    levels) were increased.  The propoxur-induced hyperplastic changes
    of the urinary bladder epithelium were observed in all treatment
    groups, being present to an equal degree after feeding of the

    supplemented and the unsupplemented diets. Thus, vitamin C did not
    influence the effect of propoxur on the rat urinary bladder
    epithelium (Hahnemann & Rühl-Fehlert, 1988e).

    Effect of diet

         In the rat studies in which propoxur was found to produce the
    urinary bladder alterations, the diet used was Altromin B21 standard
    diet.  To examine if the diet used was a relevant factor for the
    occurrence of the urinary bladder changes, two additional studies
    were carried out using a semisynthetic diet (Casein diet no. 1/0).

         Groups of 50 female Wistar rats were fed Casein semi-synthetic
    diet no.  1/0 containing 0 or 8000 ppm propoxur (purity 99.9%) for
    4,8 or 14 weeks.  Growth retardation and reduced water intake were
    observed in the treated animals.  In addition, relative liver and
    kidney weights were increased.  No urinary bladder changes were
    found at histopathology (Hahnemann & Rühl-Fehlert, 1988d).

         Groups of 50 female Wistar rats were fed Casein diet no. 1/0
    containing 0, 3000 or 8000 ppm propoxur (purity 99.6%) for periods
    up to 100 weeks.  Growth was retarded at 3000 and 8000 ppm. 
    Relative weights of lung, kidney and liver were increased at 8000
    ppm.  Histopathology revealed no treatment-related changes in the
    urinary bladders of treated animals (Hahnemann & Rühl-Fehlert,
    1988g).

         In a study using 14C-propoxur, possible differences in
    absorption of propoxur from the Altromin diet and the semisynthetic
    case in diet were ruled out.  Thus, the absence of urinary bladder
    effects when the casein diet is used is not caused by lower
    absorption of propoxur from this diet (Weber, 1986). Another
    relevant result was observed in a study in rats in which the renal
    metabolite pattern was determined after a single oral dose of 14C-
    propoxur (label in ring) after preceding administration of 0, 250 or
    5000 ppm propoxur either in Altromin standard diet or in the
    semisynthetic casein diet for 4 weeks.  No differences in the
    metabolite pattern were found (Karl, 1986; Karl & Schneider, 1987).

    Special studies on combination toxicity

         The acute oral application of equitoxic doses of propoxur and 
    azinphosmethyl to male Wistar rats revealed an additive toxic effect
    of the combination of the two pesticides (Thyssen, 1977).

         The LD50-value in male Wistar rats for an equitoxic mixture of
    propoxur (purity 99.3%) and cyfluthrin (93.7%) proved to be less
    than the value expected on the basis of simple addition of effects
    (Flucke, 1984).

    Special studies on embryotoxicity and teratogenicity

    Rats

         Groups of 24 pregnant female Wistar rats received 0, 3, 9 or 27
    mg/kg bw/day propoxur (purity 99.4%) p.o. by gavage from day 6
    through 15 of gestation.  Appearance, behaviour, body weight and
    food consumption were recorded daily.  At day 21 of gestation all
    animals were sacrificed and the fetuses were delivered by Cesarean
    section.  The number of implantations, resorptions (early and late)
    and corpora lutea were determined. The fetuses were counted and
    weighed; gross pathology and histopathology (skeletal and visceral)
    were carried out.  At 27 mg/kg bw, 3 animals died before the end of
    the test.  At 9 and 27 mg/kg bw, symptoms (increased grooming,
    chewing motions, teeth grinding) were noted in the hours following
    dose application during the entire treatment; at 27 mg/kg bw, in
    addition, tremors and ventral recumbency were observed.  At the same
    dose levels, food consumption and growth of dams were decreased in a
    dose related fashion. No other effects were seen.  The NOAEL for
    maternal toxicity in this study is 3 mg/kg bw/day (Becker  et al.
    1989a).

    Rabbits

         Groups of 15 Himalayan rabbits received 0, 1, 3 or 10 mg/kg
    bw/day propoxur (purity 99.6%) p.o. from day 6 through 18 of
    gestation.  There were no indications of maternally toxic,
    embryotoxic or teratogenic effects.  However, the study was limited
    with respect to soft tissues examination (Schlüter, 1981).

         Groups of 16 pregnant Chinchilla rabbits received 0, 3, 10 or
    30 mg/kg bw/day propoxur (purity 99.4%) p.o. by gavage from day 6
    through 18 of gestation.  Appearance, behaviour, body weight and
    food consumption were recorded daily.  At day 28 of gestation all
    animals were sacrificed and the fetuses were delivered by Cesarean
    section. The number of implantations, resorptions (early and late)
    and corpora lutea were determined. The fetuses were counted and
    weighed; gross pathology and histopathology (skeletal and visceral)
    were carried out.  At 30 mg/kg bw restless behaviour and dyspnoea
    were observed after dose application on the first 3 treatment days;
    in the same group 3 animals died before test end.  In addition, body
    weight loss (day 6-9 of gestation) occurred in this group.  Also, at
    30 mg/kg bw post-implantation loss was increased (number of pups per
    dam decreased consequently).  The NOAEL for maternal toxicity and
    embryotoxicity in this study is 10 mg/kg bw/day (Becker  et al.
    1989b)

    Special studies on mutagenicity

         A large number of mutagenicity tests has been carried out with
    propoxur.  The results are summarized in Table 2 ( in vitro assays)

    and Table 3 ( in vivo assays).  In addition,  in vitro tests in
    prokaryotes have been performed with a number of metabolites of
    propoxur. The results of these studies are summarized in Table 6.

    Special studies on skin and eye irritation and sensitization

         Undiluted propoxur (purity 99.2%) was tested for irritation to
    shaven intact and shaven abraded skin areas of 6 New Zealand
    rabbits. Exposure was for 24 or 72 hours. No irritation was observed
    (Thyssen, 1978).

         A dose of 0.5 g propoxur (purity 99.6%) moistened with purified
    water, was applied under occlusive conditions to the shaven intact
    back skin of 6 male New Zealand White rabbits for 4 hours.  No skin
    irritation was observed up to 72 hours after application (Yamane,
    1986a).

         In groups of 3 or 5 New Zealand rabbits an eye irritation study
    was carried out with undiluted propoxur (purity 99.2%).  Eyes were
    rinsed after 5 minutes or 24 hours of exposure.  The animals were
    observed for 7 days. The only sign of irritation was slight erythema
    of the conjunctivae of 2/3 animals that were exposed for 24 hours. 
    At 24 hours after rinsing this was no longer present (Thyssen,
    1978).

         Application of 0.1 g propoxur (purity 99.6%) into the eyes of 9
    male New Zealand White rabbits caused severe miosis, which
    disappeared within 24 hours after application.  No irritation
    effects were seen up to 96 hours post application (Yamane, 1986b).

         Propoxur (purity 98.8%) did not exhibit a sensitizing effect in
    the maximization test (Magnusson & Kligman) in guinea pigs (Heimann,
    1982a).

    Observations in humans

    Dermal absorption

         0.1 ml 14C-propoxur in acetone was  applied to the ventral
    forearm of 6 humans (sex not reported) (skin area 2.8-20 cm2;
    applied amount 5 wµg propoxur/cm2).  The skin sites were not
    protected and subjects were asked not to wash the area for 24 hours. 
    Urine, collected for 5 days after beginning of  exposure, was
    monitored for 14C.  The data were corrected for incomplete urinary
    recovery using the 14C found in urine after administration of an
    intravenous dose.  A skin absorption of 19.6% of the dose was found
    (Feldmann & Maibach, 1974).


        TABLE 4.  RESULTS OF IN VITRO MUTAGENICITY ASSAYS ON PROPOXUR
                                                                                                                                    
    TEST SYSTEM             TEST OBJECT              CONCENTRATION              PURITY      RESULTS      REFERENCE
                                                                                                                                    

    Ames test *             S. typhimurium           50 nmol/plate              ca. 95%     Negative     Blevins et al. 1977b
                            TA98, TA100, TA1535
                            TA1537, TA1538

    Ames test *             S. typhimurium           0.1-1000 µg/pl             98.0%       Negative     Inukai & Iyatomi, 1978
                            TA98, TA100, TA1535      solvent DMSO                              (1)
                            TA1537, TA1538

    Ames test *             S. typhimurium           10-1500 µg/pl              >96%        Negative     De Lorenzo et al. 1978
                            TA98, TA100, TA1535                                                (1)
                            TA1537, TA1538

    Ames test               S. typhimurium           0.25-100 µg/ml             97%         Negative     Jaszczuk et al. 1979
                            TA98, TA100, TA1535
                            TA1537, TA1538

    Ames test *             S. typhimurium           20-12500 µg/pl             98.6%       Negative     Herbold, 1982
                            TA98, TA100, TA1535                                                (1)
                            TA1537, TA1538

    Reversion assay *       Saccharomyces            75-10000 µg/ml             99.8%       Negative     Herbold, 1985e
                            cerevisiae D7            solvent DMSO                              (1)

    Reverse mutation test   E. coli WP2 hcr.         20 µl/disk                 ?           Negative     Shirasu et al. 1976
                            B/r try WP2

    Reverse mutation        E. coli WP2 hcr.         10-5000 µg/pl              98.05       Negative     Shirasu et al. 1979
      test *                S. typh.                                                           (1)
                            TA98, TA100, TA1535
                            TA1537, TA1538

                                                                                                                                    

    TABLE 4 (CONTD)
                                                                                                                                    
    TEST SYSTEM             TEST OBJECT              CONCENTRATION              PURITY      RESULTS      REFERENCE
                                                                                                                                    

    Reverse mutation        E. coli WP2 hcr.         500-25000 µg/pl            98.0%       Negative     Ohta & Moriya, 1983
      test *                S. typh.                                                           (1)
                            TA98, TA100, TA1535
                            TA1537, TA1538

    HGPRT-test *            Chinese hamster          25-125 µg/ml               99.6%       Negative     Lehn, 1988
                            ovary (CHO) cells        (without S9 mix)                          (1)
                                                     600-1500 µg/ml                                      (with S9 mix)

    Mitotic gene            Saccharomyces            2 ml of suspension         99.8%       Negative     Siebert & Lemperle, 1974;
    conversion test         cerevisiae D4            (containing 1000 ppm                                Siebert & Eisenbrand, 1974
                                                     a.i.) at 5 x 10 cells;
                                                     solvent DMSO

    Pol Al-test *           E. coli pol A+           62.5-10000 µg/pl           98.5%       Negative     Herbold, 1983a
                            E. coli pol A-           solvent DMSO                              (1)

    Rec-assay               Bacillus subtilis        3-300 µg/disk              98.0%       Negative     Inukai & Iyatomi, 1978
                            NIG17, NIG45             solvent DMSO                              (1)

    Rec-assay               Bacillus subtilis        20 µg/disk                 ?           Negative     Shirasu et al. 1976
                            H17 Rec+, M45 Rec-       solvent DMSO

    Rec-assay               Bacillus subtilis        20-2000 µg/disk            98.0%       Negative     Shirasu ET AL. 1976
                            H17 Rec+, M45 Rec-                                                 (1)

    Rec-assay               Bacillus subtilis        50-10000 µg/disk           98.0%       Negative     Ohta & Moriya, 1983
                            H17 Rec+, M45 Rec-                                                 (1)

                                                                                                                                    

    TABLE 4 (CONTD)
                                                                                                                                    
    TEST SYSTEM             TEST OBJECT              CONCENTRATION              PURITY      RESULTS      REFERENCE
                                                                                                                                    

    Sister chromatid        Human lymphocytes        without S9 mix:            99.6%       Negative     Herbold, 1985d
    exchange assay *                                 125-500 µg/ml                             (1)
                                                     with S9 mix:
                                                     250-1000 µg/ml
                                                     solvent DMSO

    Single-strand           Human fibroblasts        10-5 M                     approx      Negative     Blevins et al. 1977a
    break assay                                                                 95%

    Chromosome aberr.       Chinese hamster          without S9 mix.            97.8%       Negative     Putman & Morris, 1988
    assay                   ovary (CHO) cells        157-625 µg/ml                             (1)
                                                     with S9 mix:
                                                     615 and 1250 µg/ml
                                                     solvent DMSO

                                                                                                                                    

    *   Test was carried out both with and without metabolic activation.
    (1) Positive control yielded positive results.

    TABLE 5.  RESULTS OF IN VIVO MUTAGENICITY ASSAYS ON PROPOXUR
                                                                                                                                    
    TEST SYSTEM             TEST OBJECT              CONCENTRATION              PURITY      RESULTS      REFERENCE
                                                                                                                                    

    DNA metabolism          Male rat spleen cells    10 mg/kg bw; p.o.          ?           Negative     Klein, 1984
    studies                                                                                    (1)

    Sister chromatid        Chinese hamster bone     75 or 150 mg/kg bw         99.6%       Negative     Herbold, 1985c
    exchange assay          marrow cells             p.o.                                      (1)

    Cytogenic study         Chinese hamster          2 x 75 mg/kg bw            99.6%       Negative     Herbold, 1986
                            spermatogonia            2 x 150 mg/kg bw                          (1)

    Cytogenic study         Chinese hamster bone     75-300 mg/kg bw;           99.6%       Negative     Herbold, 1988
                            marrow cells             p.o.                                      (1)

    Micronucleus test       Male and female ICR-     25 mg/kg bw + 25           ?           Negative     Seiler, 1977
                            mice bone marrow cells   mg/kg bw NaNO2; p.o.

    Micronucleus test       Male and female NMRI-    2 x 5 mg/kg bw;            99.2%       Negative     Herbold, 1980b
                            mice bone marrow cells   2 x 10 mg/kg bw; p.o.                     (1)

    Dominant lethal         Male mice                5 x 25 mg/kg bw            ?           Positive     Tyrkiel, 1977
    test                                             5 x 50 mg/kg                           (#) (1)

    Dominant lethal         Male mice                10 mg/kg bw; p.o.          99.2%       Negative     Herbold, 1980a


                                                                                                                                    

    (#) Herbold (1978), in a critical review, points out the equivocality of the results, thus showing the questionable 
        validity of the author's conclusion.

    (1) Postive control yielded positive results.

    TABLE 6.  RESULTS OF MUTAGENICITY ASSAYS ON PROPOXUR METABOLITES
                                                                                                                                    
    TEST SYSTEM             TEST OBJECT              CONCENTRATION              RESULTS     REFERENCE
                                                                                                                                    

    M1
    Ames test *             S. typhimurium           20 and 12500 µg/plate      Negative    Herbold, 1983c
                            TA98, TA100, 
                            TA1535, TA1537

    Poly A1- test *1        E. coli pol A+           625-6075 µg/plate          Negative    Herbold, 1984b
                            E. coli pol A1-

    M2
    Ames test *             S. typhimurium           20-12500 µg/plate          Negative    Herbold, 1983b
                            TA98, TA100
                            TA1535, TA1537

    Mitotic recombination   Saccharomyces            185.9-30000 µg/plate       Negative    Herbold, 1984e
    assay *                 cerevisiae D7 

    M3
    Ames test *             S. typhimurium           312.5-5000 µg/plate        Negative    Herbold, 1984c
                            TA98. TA100, TA1535
                            TA1537. TA1538

    DNA metabolism studies  Male rat spleen          10 mg/kg bw                Negative    Klein, 1984
                            cells                                                  (1)

    M4
    Ames test *             S. typhimurium           312.5-5000 µg/plate        Negative    Herbold, 1984a
                            TA98, TA100, TA1535
                            TA1537, TA1538

    DNA metabolism studies  Male rat spleen cells    10 mg/kg bw                Negative    Klein, 1984

                                                                                                                                    

    TABLE 6 (CONTD)
                                                                                                                                    
    TEST SYSTEM             TEST OBJECT              CONCENTRATION              RESULTS     REFERENCE
                                                                                                                                    

    M5
    Ames test *             S. typhimurium           8-8748 µg/plate            Negative    Herbold, 1984d
                            TA98, TA100, TA1535
                            TA1537, TA1538

    DNA metabolism studies  Male rat spleen cells    10 mg/kg bw                Negative    Klein, 1984
                                                                                   (1)

    M7
    Not evaluable in Ames test due to breakdown in test medium

    M8
    Ames test *             S. typhimurium           evaluated range:           Negative    Herbold, 1984f
                            TA98, TA100              8-1800 µg/plate
                            TA1535, TA1537

    Propoxur urine (rat, 8000 ppm in feed)

    Ames test               S. typhimurium           767 µl/plate               Negative    Herbold, 1985b
                            TA98, TA100
                            TA1535, TA1537

    Propoxur urine extract (rat, 8000 in feed)

    Ames test               S. typhimurium           evaluated range               (2)      Herbold, 1985a
                            TA98, TA100              14.5-29 µl/plate
                            TA1535, TA1537

                                                                                                                                    

    *     Test was carried out both with and without metabolic activation.
    (1)   Suppression of semi-conservative DNA synthesis was seen.
    (2)   Test outline and result inadequately reported.
    

         Baygon spray (containing 2.0% propoxur and 0.5% dichlorvos) was
    sprayed on the upper arm of 4 humans (3 males, 1 female) 6 times (1
    second per spraying) at intervals of 10 minutes.  The amount of
    propoxur applied was 41 mg per person.  Dermal absorption was
    assessed via measurement of cholinesterase activity in plasma and
    erythrocytes and of blood propoxur concentrations up to 6 hours
    after treatment began.  Urine samples, collected for 24 or 48 hours,
    were monitored for the concentration of propoxur metabolite
    isopropoxyphenol.  No skin penetration of propoxur were found.  The
    identical procedure was used in a study in which 500 mg Baygon Dust
    (1% w/w propoxur) was applied for 2 hours under an occlusive pad to
    the abraded skin of the upper arm of 4 male subjects (skin sites
    were abraded through application of an adhesive plaster and removal
    of it, 30 minutes later).  There were no signs indicating skin
    penetration by propoxur (Eben & Kimmerle, 1974b).

    Cholinesterase inhibition

         Four human subjects (3 male and 1 female) were exposed by
    inhalation to an aerosol containing 3 mg/m3 propoxur (purity 100%)
    for 4 hours.  The concentration of propoxur in the blood and
    cholinesterase activity in plasma were determined up to 120 minutes
    after treatment.  Urine was monitored for the propoxur metabolite 2-
    isopropoxyphenol up to 72 hours after exposure.  In blood propoxur
    was not found and cholinesterase activity was not depressed.  2-
    Isopropoxyphenol was present in urine; the observed concentration
    had decreased to trace level after 24 hours (and the compound was
    absent thereafter), indicating excretion within this interval
    (Kimmerle & Eben 1978b).

    COMMENTS

         After oral administration to rats the compound is rapidly
    excreted, almost exclusively via the urine; only small quantities
    are found in the feces.  In urine the compound is excreted unchanged
    or as one of a large number of metabolites which are present as free
    compounds or as glucuronide or sulfate conjugates.  The
    biotransformation pathways in all species studied comprise
    depropoxylation, hydrolysis of the ester bond and N-demethylation. 
    Ring hydroxylation also occurs: in rodents at ring positions 3, 4
    and 5, and in primates at the 4- and 5- positions only.  The
    biotransformation pathway in humans is the same as in the Rhesus
    monkey.

         Propoxur induces drug metabolizing enzymes in the liver of
    rats.  This effect was greater with Altromin diet than with a semi-
    synthetic diet.

         The compound showed high acute oral toxicity in the species
    examined.

         Short-term administration of propoxur to rats (gavage, 5 days)
    and dogs (dietary, 52 weeks) revealed cholinergic signs, growth
    retardation and inhibition of cholinesterase activity in blood and
    brain as the main toxicological effects.  In the dog an increase of
    microsomal enzyme activity was also observed. The NOAEL in the dog
    study was 200 ppm (equivalent to 300 mg/kg bw/day).

         In a long-term feeding study in mice there was significant
    inhibition of growth at the 6000 ppm level.  The NOAEL was 2000 ppm
    (equivalent to 300 mg/kg bw/day).

         In long-term feeding studies in Wistar rats, growth
    retardation, ChE inhibition and urinary bladder alterations were the
    main effects observed.  Hyperplastic and neoplastic changes, which
    were dependent on the diet, were found in the bladder of rats.  The
    hyperplasia could be reduced by the administration of ammonium
    chloride in the predisposing diet, presumably via its effect on
    urinary pH.  These changes were not seen in mice, hamsters, dogs or
    Rhesus monkeys.

         The NOAEL in rats for the formation of hyperplasia of the
    urinary bladder epithelium was 200 ppm (equal to 10 mg/kg bw/day). 
    This is also the NOAEL for AChE inhibition.

         Increased post-implantation losses were observed in a
    teratogenicity study in rabbits at 30 mg/kg bw/day.  The NOAEL was
    10 mg/kg bw/day.  No embryotoxicity was observed at the highest dose
    tested in rats (27 mg/kg bw/day).  No teratogenic effects were
    observed in either species.

         After reviewing all available  in vitro and  in vivo short-
    term tests, the Meeting concluded that there was no evidence of
    genotoxicity.

         Based on a re-evaluation of the human data available from the
    1973 JMPR, a single oral dose of 0.2 mg/kg bw could be considered as
    a NOAEL for humans since the depression of erythrocyte
    cholinesterase did not exceed 20% and the recovery was very rapid. 
    These data have been reviewed by a WHO Expert Committee (WHO, 1973).

    TOXICOLOGICAL EVALUATION

    Level causing no toxicological effect

         Mouse     2000 ppm in the diet, equivalent to 300 mg/kg bw/day
                   (ChE activity not measured)
         Rat:      200 ppm in the diet, equal to 10 mg/kg bw/day
         Dog:      200 ppm in the diet, equivalent to 5 mg/kg bw/day
         Human     0.1 mg/kg bw

    Estimate of acceptable daily intake for man

         0-0.02 mg /kg bw

    Studies which will provide information valuable in the continued
    evaluation of the compound

         Further observations in humans.

    REFERENCES

    Abd-Elraof, T.K., Dauterman, W.C. & Mailman, R.B. (1981)  In vivo
    metabolism and excretion of propoxur and malathion in the rat:
    Effect of lead treatment.  Toxicol. Appl. Pharmacol., 59: 324-330.

    Ahdaya, S.M., Monroe, R.J. & Guthrie, F.E. (1981) Absorption and
    distribution of intubated insecticides in fasted mice.  Pesticide
     Biochem. and Physiol. 16: 38-46.

    Becker, H., Mladenovic, P. & Terrier, Ch. ( 1989a) Embryotoxicity
    study (including teratogenicity) with BOQ 5812315 (c.n. propoxur) in
    the rat. Unpublished Report No. R 4686 (project 207270) dated March
    1, 1989 from RCC-Research & Consulting Company AG, Itingen,
    Switzerland. Submitted to WHO by Bayer AG, Leverkusen, Federal
    Republic of Germany.

    Becker, H., Mladenovic, P. & Terrier, Ch. (1989b) Embryotoxicity
    study (including teratogenicity) with BOQ 5812315 (c.n. propoxur) in
    the rabbit. Unpublished Report No. R 4684 (Project 207292) dated
    March 1, 1989 from RCC-Research & Consulting Company AG, Itingen,
    Switzerland. Submitted to WHO by Bayer AG, Leverkusen, Federal
    Republic of Germany.

    Bell, R.L. & Gronberg, R.R. (1975) The metabolic fate of BAYGON in
    the lactating dairy cow. Unpublished Report No. 44771 dated July 18,
    1975 from from Chemagro Agricultural Division - Mobay Chemical
    Corporation. Submitted to WHO by Bayer A.G., Leverkusen, Federal
    Republic of Germany.

    Blevins, R.D., Lijnski, W. & Regan, J.D. (1977a) Nitrosated
    methylcarbamate insecticides: effect on the DNA of human cells.
     Mut. Res. 44: 1-7.

    Blevins, R.D., Lee, M. & Regan, J.D. (1977b) Mutagenicity screening
    of five methyl carbamate insecticides and their nitroso derivatives
    using mutants of  Salmonella typhimurium LT2,  Mutat. Res. 56: 1-
    6.

    Bomhard, E. & Löser, E. (1981) Bö 58 12 315 Chronic toxicological
    study on mice (Feeding study over two years). Unpublished Report No.
    9954 dated May 12, 1981 from Bayer A.G. Institute of Toxicology,
    Wuppertal-Elberfeld. Submitted to WHO by Bayer A.G., Leverkusen,
    Federal Republic of Germany.

    Costa, L.G., Hand, H., Schwab, Bw & Murphy, S.D. (1981) Tolerance to
    the carbamate insecticide propoxur.  Toxicology, 21: 267-278.

    De Lorenzo, F., Staiano, N., Silengo, L. & Cortese, R. (1978)
    Mutagenicity of diallate, sulfallate, triallate and relationship
    between structure and mutagenic effects of carbamates used widely in
    agriculture.  Cancer Res., 38: 13-15.

    Eben, A., Karl, W. & Machemer, L. (1984) Studies on the
    biotransformation of propoxur in the rat. Unpublished Report No.
    12866 (KWN 15) dated August 17, 1984 from Bayer AG Institut für
    Toxikologie, Wuppertal-Elberfeld. Submitted to WHO by Bayer AG,
    Leverkusen, Federal Republic of Germany.

    Eben, A., Karl, W. & Machemer, L. (1985a) Studies on
    biotransformation of propoxur in humans. Unpublished Report No.
    13947 (KWN 26) dated October 24, 1985 from Bayer AG Institut für
    Toxikologie, Wuppertal-Elberfeld. Submitted to WHO by Bayer AG,
    Leverkusen, Federal Republic of Germany.

    Eben, A., Karl, W. & Machemer, L. (1985b) Supplementary studies on
    biotransformation of propoxur in the rat. Unpublished Report no.
    14148 dated December 13, 1985 from Bayer AG Institut für
    Toxikologie, Wuppertal-Elberfeld. Submitted to WHO by Bayer AG.
    Leverkusen, Federal Republic of Germany.

    Eben, A., Karl, W. Machemer, L. (1986a) The biotransformation of
    propoxur in golden hamsters. Unpublished Report No. 14690 (KWN 37)
    dated June 9, 1986 from Bayer AG Institute of Toxicology, Wuppertal-
    Elberfeld. Submitted to WHO by Bayer AG, Leverkusen, Federal
    Republic of Germany.

    Eben, A., Karl. W. & Machemer, L. (1986b) Propoxur [The active
    ingredient of RBaygon] Biotransformation study on monkeys.
    Unpublished Report No. 15056 (KWN 40) dated September 11, 1986 from
    Bayer AG Fachbereich Toxikologie, Wuppertal-Elberfeld. Submitted to
    WHO by Bayer AG, Leverkusen, Federal Republic of Germany.

    Eben, A., Karl, W. & Machemer, L. (1987) Investigation on the
    biotransformation of propoxur in mice. Unpublished Report No. 15697
    (KWN 46) dated April 3, 1987 from Bayer AG Fachbereich Toxikologie
    Landwirtschaft ZF-Zentrale Analytik Structure Research, Wuppertal.
    Submitted to WHO by Bayer AG, Leverkusen, Federal Republic of
    Germany.

    Eben, A. & Kimmerle, G. (1974b) 1% Baygon Dust. Resorption study on
    skin of test volunteers. Unpublished Report No. 4461 dated February
    5, 1974 from Bayer AG-Institut für Toxikologie, Wuppertal-Elberfeld.
    Submitted to WHO by Bayer AG, Leverkusen, Federal Republic of
    Germany. Test volunteers. Unpublished Report No. 4462 dated February
    8, 1974 from Bayer AG Institut für Toxikologie, Wuppertal-Elberfeld.
    Submitted to WHO by Bayer AG, Leverkusen, Federal Republic of
    Germany.

    Eigenberg, D.A. (1988) Dermal absorption of propoxur technical in
    rat using 14C-propoxur. Unpublished report No. 1097 (study number
    88-721-AT) dated December 28, 1988 from Mobay Corporation, Health,
    Environment and Safety, Corporate Toxicology Department, Stilwell,
    Kansas, USA. Submitted to WHO by Bayer AG, Leverkusen, Federal
    Republic of Germany.

    Feldmann, R.J. & Maibach, H.I. (1974) Percutaneous penetration of
    some pesticides and herbicides in man.  Toxicol. Appl. Pharmacol.
    28: 126-132.

    Flucke, W. (1980) Boe 5812315 (propoxur). Acute toxicity studies.
    Unpublished Report No. 9295 dated July 8, 1980 from Bayer AG
    Institut für Toxikologie, Wuppertal-Elberfeld. Submitted to WHO by
    Bayer AG, Leverkusen, Federal Republic of Germany.

    Flucke, W. (1984) FCR (cyfluthrin) BOQ (propoxur) Study for
    combination toxicity. Unpublished Report No. 12544 dated March 14,
    1984 from Bayer AG Institute of Toxikology, Wuppertal-Elberfeld.
    Submitted to WHO by Bayer AG, Leverkusen, Federal Republic of
    Germany.

    Glaister, J.R. (1984) BOQ 5812315: 2 year carcinogenicity/chronic
    toxicity study in the rat. Histopathology Report. Hazleton
    Laboratories Harrogate, June 1984. Data submitted to WHO by Bayer AG
    Leverkusen, Federal Republic of Germany.

    Hahnemann, S. & Rühl-Fehlert, C. (1988a) BOQ 5812315 (common name:
    propoxur). Chronic feeding test on Syrian gold hamsters (species
    sensitivity). Unpublished Report No. 16801 dated June 15, 1988 from
    Bayer AG Toxicology Division, Wuppertal (study no. T 0018434).
    Submitted to WHO by Bayer AG, Leverkusen, Federal Republic of
    Germany.

    Hahnemann, S. & Rühl-Fehlert, C. (1988b) BOQ 5812315 (common name:
    propoxur). Chronic feeding test on Sprague-Dawley rats (strain
    sensitivity). Unpublished report from Bayer AG Toxicology Division,
    Wuppertal (study no. T 1018435). Submitted to WHO by Bayer AG,
    Leverkusen, Federal Republic of Germany.

    Hahnemann, S. & Rühl-Fehlert, C. (1988c) BOQ 5812315 (common name:
    propoxur). Chronic feeding test on NMRI mice (species sensitivity).
    Unpublished report no. 16803 dated June 15, 1988 from Bayer AG
    Toxicology Division, Wuppertal (study no. T 9018433). Submitted to
    WHO by Bayer AG, Leverkusen, Federal Republic of Germany.

    Hahnemann, S. & Rühl-Fehlert, C. (1988d) BOQ 5812315 (common name:
    propoxur). Sub-chronic feeding test on female Wistar rats (effect of
    feed quality). Unpublished Report No. 16897 dated July 13, 1988 from
    Bayer AG Toxicology Division, Wuppertal (study no. T 5019041).
    Submitted to WHO by Bayer AG, Leverkusen, Federal Republic of
    Germany.

    Hahnemann, S. & Rühl-Fehlert, C. (1988e) BOQ 5812315 (common name:
    propoxur). Chronic feeding test on female Wistar rats with added 1%
    L-(+)ascorbic acid. Unpublished Report No. 16979 dated August 2,
    1988 from Bayer AG Toxicology Division, Wuppertal (study no. T
    8018432). Submitted to WHO by Bayer AG, Leverkusen, Federal Republic
    of Germany.

    Hahnemann, S. & Rühl-Fehlert, C. (1988f) BOQ 5812315 (common name:
    propoxur). Chronic feeding test on female Wistar rats over 2 years
    (dose-effect-time relationship). Unpublished Report No. 16980 dated
    August 2, 1988 from Bayer AG Toxicology Division, Wuppertal (study
    no. T 6018430). Submitted to WHO by Bayer AG, Leverkusen, Federal
    Republic of Germany.

    Hahnemann, S. & Rühl-Fehlert, C. (1988g) BOQ 5812315 (common name:
    propoxur). Chronic feeding study on female rats (Effect of feed and
    drinking water type). Unpublished Report No. 17146 dated September
    13, 1988 from Bayer AG Fachbereich Toxikologie, Wuppertal. Submitted
    to WHO by Bayer AG, Leverkusen, Federal Republic of Germany.

    Haley, T.J., Farmer, J.H., Dooley, K.L., Harmon, J.R. & Peoples, A.
    (1974) Determination of the LD01 and extrapolation of the LD001 for
    five methylcarbamate pesticides.  J. Européen de Toxicologie, 7(3):
    152-158.

    Heimann, K.G. (1982a) Propoxur (the active ingredient of RBaygon
    and UndenR). Study of sensitization effect on guinea pigs.
    Unpublished Report No. 11218 dated October 15, 1982 from Bayer AG
    Institut für Toxikologie, Wuppertal-Elberfeld. Submitted to WHO by
    Bayer AG, Leverkusen, Federal Republic of Germany.

    Heimann, K.G. (1982b) Carbamate UN, technical. Study for acute
    toxicity on rat. Unpublished Report No. 11329 dated December 15,
    1982 from Bayer AG Institute of Toxicology, Wuppertal-Elberfeld.
    Submitted to WHO by Bayer AG, Leverkusen, Federal Republic of
    Germany.

    Heimann, K.G. (1982c). Carbamate UN, Technical product: acute study
    of the effect on the activity of the cholinesterases in blood
    plasma, erythrocytes and brains of rats compared with carbamate UN
    recrystallised product. Unpublished Report No. 11330 dated December
    15, 1982 from Bayer AG Institute of Toxicology, Wuppertal-Elberfeld.
    Submitted to WHO by Bayer AG, Leverkusen, Federal Republic of
    Germany.

    Heimann, K.G. (1983) Carbamate UN, technical (c.n. propoxur, Unden
    active ingredient; Baygon active ingredient) Subacute study on rats
    compared with carbamate UN, recrystallised. Unpublished Report No.
    11621 dated March 8, 1983 from Bayer AG Institute of Toxicology
    Wuppertal-Elberfeld. Submitted to WHO by Bayer AG, Leverkusen,
    Federal Republic of Germany.

    Herbold, B. (1980a) BOE 5812315, dominant lethal study on male mouse
    to test for mutagenic effects. Unpublished Report No. 8808 dated
    January 7, 1980 from Bayer AG, Institute of Toxicology, Wuppertal-
    Elberfeld. Submitted to WHO by Bayer AG, Leverkusen, Federal
    Republic of Germany.

    Herbold, B. (1980b) BOE 5812315, microncucleus test on mouse to
    evaluate BOE 5812315 for mutagenic potential. Unpublished Report No.
    9274 dated June 27, 1980 from Bayer AG, Institute of Toxicology,
    Wuppertal-Elberfeld. Submitted to WHO by Bayer AG, Leverkusen,
    Federal Republic of Germany.

    Herbold, B. (1982) Carbamate UN technical,  Salmonella/microsome
    test to evaluate for point mutation. Unpublished report no. 11301
    dated December 6, 1982 from Bayer AG, Institute of Toxicology,
    Wuppertal-Elberfeld. Submitted to WHO by Bayer AG, Leverkusen,
    Federal Republic of Germany.

    Herbold, B. (1983a) Carbamate UN technical - Pol A1- test on  E.
     coli for potential DNA damage. Unpublished Report No. 11403 dated
    January 6, 1983 from Bayer AG, Institute of Toxicology, Wuppertal-
    Elberfeld. Submitted to WHO by Bayer AG, Leverkusen, Federal
    Republic of Germany.

    Herbold, B. (1983b) Isopropoxyphenol,  Salmonella/microsome test to
    evaluate for point mutation. Unpublished Report No. 12321 dated
    December 20, 1983 from Bayer AG, Institute of Toxicology, Wuppertal-
    Elberfeld. Submitted to WHO by Bayer AG, Leverkusen, Federal
    Republic of Germany.

    Herbold, B. (1983c) Brenzcatechin,  Salmonella/microsome test to
    evaluate for potential point mutation. Unpublished Report No. 12322
    dated December 20, 1983 from Bayer AG, Institute of Toxicology,
    Wuppertal-Elberfeld. Data submitted to WHO by Bayer AG, Leverkusen,
    Federal Republic of Germany.

    Herbold, B. (1984a) THS 1240,  Salmonella/microsome test to
    evaluate for potential point mutation. Unpublished Report No. 12483
    dated February 24, 1984 from Bayer AG, Institute of Toxicology,
    Wuppertal-Elberfeld. Submitted to WHO by Bayer AG, Leverkusen,
    Federal Republic of Germany.

    Herbold, B. (1984b) Brenzcatechin, POL-test of  E. coli to evaluate
    for potential DNA damage. Unpublished Report No. 12497 dated
    February 29, 1984 from Bayer AG, Wuppertal-Elberfeld. Submitted to
    WHO by Bayer AG, Leverkusen, Federal Republic of Germany.

    Herbold, B. (1984c) THS 2490,  Salmonella/microsome test to
    evaluate for point mutation. Unpublished Report No. 12529 dated
    March 6, 1984 from Bayer AG, Institute of Toxicology, Wuppertal-
    Elberfeld. Submitted to WHO by Bayer AG, Leverkusen, Federal
    Republic of Germany.

    Herbold, B. (1984d) THS 1241b,  Salmonella/microsome test to
    evaluate for potential point mutation. Unpublished Report No. 12795
    dated July 9, 1984 from Bayer AG, Institute of Toxicology,
    Wuppertal-Elberfeld. Submitted to WHO by Bayer AG, Leverkusen,
    Federal Republic of Germany.

    Herbold, B. (1984e). Isopropoxyphenol, test on  S.cerevisiae D7 for
    the induction of mitotic recombination. Unpublished Report No. 12876
    dated August 20, 1984 from Bayer AG, Institute of Toxicology,
    Wuppertal-Elberfeld. Submitted to WHO by Bayer AG, Leverkusen,
    Federal Republic of Germany.

    Herbold, B. (1984f) THS 2647,  Salmonella/microsome test to
    evaluate for potential point mutation. Unpublished Report No. 12996
    dated October 24, 1984 from Bayer AG, Institute of Toxicology,
    Wuppertal-Elberfeld. Submitted to WHO by Bayer AG, Leverkusen,
    Federal Republic of Germany.

    Herbold, B. (1985a) Propoxur urine extract compared with control
    urine extract,  Salmonella microsome test to evaluate for potential
    point mutation. Unpublished Report No. 13350 dated March 14, 1985
    from Bayer AG, Institute of Toxicology, Wuppertal-Elberfeld.
    Submitted to WHO by Bayer AG, Leverkusen, Federal Republic of
    Germany.

    Herbold, B. (1985b) Propoxur urine,  Salmonella/microsome test to
    evaluate for potential point mutation. Unpublished Report No. 13395
    dated March 27, 1985 from Bayer AG, Institute of Toxicology,
    Wuppertal-Elberfeld. Submitted to WHO by Bayer AG, Leverkusen,
    Federal Republic of Germany.

    Herbold, B. (1985c) Propoxur (BOQ 5812315), sister chromatid
    exchange in the bone marrow of the Chinese Hamster  in vivo to
    evaluate for harmful effect on DNA. Unpublished Report No. 13501
    dated May 22, 1985 from Bayer AG, Institute of Toxicology,
    Wuppertal-Elberfeld. Submitted to WHO by Bayer AG, Leverkusen,
    Federal Republic of Germany.

    Herbold, B. (1985d) BOQ 5812315, sister chromatid exchange in human
    lymphocyte cultures  in vitro to test for DNA-modifying effects.
    Unpublished Report No. 13871 dated October 9, 1985 from Bayer AG,
    Institute of Toxicology, Wuppertal-Elberfeld. Submitted to WHO by
    Bayer AG, Leverkusen, Federal Republic of Germany.

    Herbold, B. (1985e) BOQ 5812315, test on  S.cerevisiae D7 to
    evaluate for point mutagenic effect. Unpublished Report No. 13966
    dated October 30, 1985 from Bayer AG, Institute of Toxicology,
    Wuppertal-Elberfeld. Submitted to WHO by Bayer AG, Leverkusen,
    Federal Republic of Germany.

    Herbold, B. (1986) BOQ 5812315 (c.n. propoxur), cytogenetic study of
    chromosome damage using spermatogonia of Chinese Hamsters  in vivo.
    Unpublished Report No. 14984 dated August 20, 1986 from Bayer AG,
    Institute of Toxicology, Wuppertal-Elberfeld. Submitted to WHO by
    Bayer AG, Leverkusen, Federal Republic of Germany.

    Herbold, B. (1988) BOQ 5812315 (c.n. propoxur), cytogenetic study on
    bone marrow of Chinese Hamster  in vivo to detect chromosomal
    damage. Unpublished Report No. 17111 dated September 6, 1988 from
    Bayer AG Institute of Toxicology, Wuppertal-Elberfeld. Submitted to
    WHO by Bayer AG, Leverkusen, Federal Republic of Germany.

    Hoffmann, K. & Gröning, P. (1984) BOQ 5812315 (BOE 5812315, c.n.
    propoxur) Chronic toxicity to dogs on oral administration (12-months
    feeding study). Unpublished Report No. 12605 dated April 11, 1984
    from Bayer AG Institute of Toxicology, Wuppertal-Elberfeld.
    Submitted to WHO by Bayer AG, Leverkusen, Federal Republic of
    Germany.

    Hoffmann, K. & Ruehl, Chr. (1985) Propoxur (BOQ 5812315). Subchronic
    study of toxicity to Rhesus monkeys after oral administration by
    stomach tube for 13 weeks to check for possible findings in the
    urinary bladder. Unpublished Report No. 13779 dated August 27, 1985
    from Bayer AG Institute of Toxicology, Wuppertal-Elberfeld.
    Submitted to WHO by Bayer AG, Leverkusen, Federal Republic of
    Germany.

    Inukai, H. & Iyatomi, A. (1978) Propoxur. Mutagenicity test on
    bacterial systems. Unpublished Report No. 103 dated February 24,
    1978 from Nitokuno Agricultural Chemicals Institute, Toyoda, Japan.
    Submitted to WHO by Bayer AG, Leverkusen, Federal Republic of
    Germany.

    Jaszcuk, E., Syrowatka, T. & Cybulski, J. (1979) Mutagenic activity
    of propoxur, carbaryl and their nitroso derivatives: induction of
    reversion in  Salmonella typhimurium. Roczniki Panstwowzgo Zakladu
     Higieny Warszawa, 30(1): 81-88. (English summary only).

    Jurek, A. (1978) Chronische Langzeittoxizität des
    Propoxurkarbaminats,  Roczniki Panstwowzgo Zakladu Higieny Warszawa,
    29(3): 327-338.

    Karl, W. (1986) Biotransformation of propoxur: quantitative
    determination of the metabolic pattern in rats given a single dose
    of 14C-propoxur after a subchronic prefeeding period in two diet
    groups and three dose groups. Unpublished Report No. KWN 42 dated
    October 15, 1986 from Bayer AG Institute of Toxicology, Wuppertal-
    Elberfeld. Submitted to WHO by Bayer Leverkusen, Federal Republic of
    Germany.

    Karl, W. & Schneider, J. (1987) Isolation and spectroscopic
    structure elucidation of the renal metabolite conjugates of
    propoxur. Unpublished Report No. KWN 44 dated August 26, 1987 from
    Bayer AG Institute of Toxicology, Wuppertal-Elberfeld. Submitted to
    WHO by Bayer AG, Federal Republic of Germany.

    Kimmerle, G. & Eben, A. (1978a) Propoxur - Acute inhalation study on
    rats with determination of acetylcholinesterase activity in blood
    and elimination of 2-isopropoxyphenol in urine. Unpublished Report
    No. 7555 dated May 1978 from Bayer AG Institute für Toxikologie,
    Wuppertal-Elberfeld. Submitted to WHO by Bayer AG Leverkusen,
    Federal Republic of Germany.

    Kimmerle, G. & Eben, A. (1978b) Propoxur - Single exposure of
    persons to propoxur with determination of acetylcholinesterase
    activity in plasma and erythrocytes, propoxur concentration in blood
    and elimination of 2-isopropoxyphenol in urine. Unpublished Report
    No. 7554 dated May, 1978 from Bayer AG, Institut für Toxikologie,
    Wuppertal-Elberfeld. Submitted to WHO by Bayer AG Leverkusen,
    Federal Republic of Germany.

    Kimmerle, G. & Iyatomi, A. (1976) Toxicity of propoxur to rats by
    subacute inhalation.  Jap. J. Ind. Health, 18: 375-382.

    Klein, W. (1984) Effect of an active ingredient and three
    metabolites on the DNA metabolism. Unpublished Report R3346 dated
    March 1984 from Osterreichisches Forschungszentrum Seiberdorf
    Biochemistry Department/Toxicology Department. (Research commisioned
    by Bayer AG). Submitted to WHO by Bayer AG Leverkusen, Federal
    Republic of Germany.

    Krechniak, J. & Foss, W. (1982) Cholinesterase activity in rats
    treated with propoxur.  Bull. Environm. Contam. Toxicol., 29: 599-
    604.

    Krechniak, J. & Foss, W. (1983a) Behaviour of propoxur after
    repeated administration.  Bromat. Chem. Toksykol., 16 (3-4): 205-
    208. (English translation).

    Krechniak, J. & Foss, W. (1983b) Distribution and excretion of
    isopropoxyphenol in rats.  Bromat. Chem. Toksykol., 6 (3-4): 209-
    211 (English translation).

    Lehn, H. (1988) BOQ 5812315 (c.n. propoxur), mutagenicity study for
    the detection of induced forward mutations in the CHO-HGPRT assay
     in vitro. Unpublished Report No. 17090 dated August 31, 1988 from
    Bayer AG, Fachbereich Toxikologie, Wuppertal. Data submitted to WHO
    by Bayer AG, Leverkusen, Federal Republic of Germany.

    Luckhaus, G. (1984) Propoxur, two-year oral toxicity study in rats,
    addendum to HRC Report No. 2809/69/235, histological follow-up
    investigation of the urinary bladder. Unpublished Report No. 13012
    dated November 2, 1984 from Bayer AG, Institute of Toxicology,
    Wuppertal. Data submitted to WHO by Bayer AG, Leverkusen, Federal
    Republic of Germany.

    Machemer, L. & Schmidt, U. (1988) Propoxur. Status of the studies
    and assessment regarding oncogenic potential to the urinary bladder.
    Unpublished report dated September 30, 1988 from Bayer AG
    Fachbereich Toxikologie, Institut für Toxikologie Landwirtschaft,
    Wuppertal-Elberfeld. Data submitted to WHO by Bayer AG, Leverkusen,
    Federal Republic of Germany.

    Mihail, F. (1982) BOQ 5812315. Test for induction of the microsomal
    liver enzymes. Unpublished Report No. 10976 dated June 29, 1982 from
    Bayer AG, Institute of Toxicology, Wuppertal-Elberfeld. Data
    submitted to WHO by Bayer AG, Leverkusen, Federal Republic of
    Germany.

    Ohta, T. & Moriya, M. (1983) Propoxur, microbial mutagenicity study.
    Unpublished Report from Institute of Environmental Toxicology
    (Japan) dated February 28, 1983. Data submitted to WHO by Bayer AG,
    Leverkusen, Federal Republic of Germany.

    Pauluhn, J. (1988) BOQ 5812315 (common name: propoxur) study of the
    inhalation toxicity in accordance with OECD Guideline No. 403.
    Unpublished Report No. 16966 dated July, 1988 from Bayer AG
    Fachbereich Toxikolgie, Wuppertal. Submitted to WHO by Bayer AG,
    Leverkusen, Federal Republic of Germany.

    Pauluhn, J. & Rühl, C. (1985) BOQ 5812315, study for subacute
    inhalation toxicity to the rat. Unpublished Report No. 13297 dated
    February, 20, 1985 from Bayer AG, Institute of Toxicology Wuppertal-
    Elberfeld. Data submitted to WHO by Bayer AG, Leverkusen, Federal
    Republic of Germany.

    Putman, D.L. & Morris, M.J. (1988) Chromosome aberrations in Chinese
    Hamster Ovary (CHO) cells, Baygon technical. Unpublished Report No.
    1094 dated December 22, 1988 from Microbiological Associates Inc.
    Maryland, USA. Submitted to WHO by Bayer AG, Leverkusen, Federal
    Republic of Germany.

    Reid Patterson, D. (1980) Histopathology report on Boe 5812315 mouse
    study. Unpublished Report No. 2317-262/13 dated May, 1980 from
    Hazleton Laboratories Europe, Harrogate, England to Bayer AG
    Institut für Toxikologie, Wuppertal. Submitted to WHO by Bayer AG,
    Leverkusen, Federal Republic of Germany.

    Schlüter, G. (1981) BOQ 5812315. Evaluation for embryotoxic and
    teratogenic effects after oral administration to the rabbit.
    Unpublished Report No. 10183 dated September 9, 1981 from Bayer AG,
    Institute of Toxikologie, Wuppertal-Elberfeld. Data submitted to WHO
    by Bayer AG, Leverkusen, Federal Republic of Germany.

    Schmidt, U. (1987) Investigations of interspecies differences in
    primary metabolism with liver-cell fractions from rat, mouse,
    hamster, monkey and man. Unpublished Report No. 16237 dated November
    19, 1987 from Bayer AG, Fachbereich Toxikologie, Wuppertal.
    Submitted to WHO by etc.

    Seiler, J.P. (1977) Nitrosation  in vitro and  in vivo by sodium
    nitrite, and mutagenicity of nitrogenous pesticides.  Mutat. Res.
    48: 225-236.

    Shirasu, Y., Moriya, M., Kato, K., Furuhashi, A. & Kada, T. (1976)
    Mutagenicity screening of pesticides in the microbial system.
     Mutat. Res. 40: 19-30.

    Shirasu, Y., Moriya, M. & Sugiyama, F. (1979) Propoxur, mutagenicity
    test on bacterial systems. Unpublished Report from Institute of
    Environmental Toxikologie (Japan) dated August 28, 1979. Data
    submitted to WHO by Bayer AG, Leverkusen, Federal Republic of
    Germany.

    Siebert, D. & Eisenbrand, G. (1974) Induction of mitotic gene
    conversion in  Saccharomyces cerevisiae. Mutat. Res. 22: 121-126.

    Siebert, D. & Lemperle, E. (1974) Genetic effects of herbicides:
    induction of mitotic gene conversion in  Saccharomyces cerevisiae.
     Mutat. Res. 22: 111-120.

    Suberg, H. & Löser, E. (1984) BOQ 5812315, chronic toxicological
    study with rats (feeding study over 106 weeks). Unpublished Report
    No. 12870 dated August 20, 1984 from Bayer AG, Institute of
    Toxicology, Wuppertal. Data submitted to WHO by Bayer AG,
    Leverkusen, Federal Republic of Germany.

    Thyssen, J. (1977) Study for combination toxicity of azinphos-methyl
    and propoxur. Unpublished Report No. 7174 dated December 14, 1977
    from Bayer AG, Institute of Toxicology, Wuppertal-Elberfeld. Data
    submitted to WHO by Bayer AG, Leverkusen, Federal Republic of
    Germany.

    Thyssen, J. (1978) Propoxur-Untersuchungen an der Haut und am Auge
    von Kaninchen. Unpublished report dated September 19, 1978 from
    Bayer AG, Institut für Toxikologie, Wuppertal-Elberfeld. Submitted
    to WHO by Bayer AG, Leverkusen, Federal Republic of Germany.

    Tyrkiel, E. (1977) Mutagenne addzialywannie, o-izopropoksyfenoyl-N-
    methylo-karaminianu (propoksura) na komorki pleiowe myszy.  Rocz.
     Panstw. Zakl. Hig. 28 (6): 601-613.

    Weber, H. (1986) Comparison of the absorption of a tracer dose of
    (Phenyl-U-14C) propoxur from a basic casein diet and a standard
    Altromin 1324 diet by nonradioactively pretreated Wistar rats.
    Unpublished Report No. 2504 dated February 4, 1986 from Bayer AG,
    Institute of Metabolism Research , Wuppertal. Data submitted to WHO
    by Bayer AG, Leverkusen, Federal Republic of Germany.

    Weber, H. (1988) [Phenyl-UL-14C] Propoxur: whole-study
    autoradiographic distribution of the radioactivity in the rat.
    Unpublished Report No.2988 dated April 21, 1988 from Bayer AG,
    Institute for Metabolism Research, Leverkusen. Data submitted to WHO
    by Bayer AG, Leverkusen, Federal Republic of Germany.

    WHO/FAO (1974) 1973 Evaluations of some pesticide residues in food,
    WHO Pesticides Residues Series, No. 3. World Health Organization,
    Geneva.

    Yamane, S. (1986a) Primary skin irritation study of propoxur in
    rabbits. Unpublished Report No. D-0714 (DT-9) dated June 9, 1986
    from Hita Research Laboratories, Japan. Data submitted to WHO by
    Bayer AG, Leverkusen, Federal Republic of Germany.

    Yamane, S. (1986b) Primary eye irritation study of propoxur in
    rabbits. Unpublished Report No. D-0736 (DT-10) dated September 12,
    1986 from Hita Research Laboratories, Japan. Data submitted to WHO
    by Bayer AG, Leverkusen, Federal Republic of Germany.


    See Also:
       Toxicological Abbreviations
       Propoxur (ICSC)
       Propoxur (WHO Pesticide Residues Series 3)
       Propoxur (Pesticide residues in food: 1981 evaluations)
       Propoxur (Pesticide residues in food: 1983 evaluations)