IPCS INCHEM Home

    PROCYMIDONE

    EXPLANATION 

         Procymidone {N-(3,5-dichlorophenyl)-1,2-dimethylcyclopropane-
    1,2-dicarbox-imide} was submitted to the 1981 JMPR meeting for
    evaluation (Annex 1, FAO/WHO 1982a). The data base for the
    toxicological evaluation of the compound consisted of several IBT
    studies which were essential to the estimation of an ADI for man.
    The 1981 meeting required independent validation of the IBT studies
    before an ADI could be established. Instead of validation of those
    studies a complete new set of toxicology data was submitted to the
    1989 JMPR for evaluation, which are summarized in this monograph.

    EVALUATION FOR ACCEPTABLE DAILY INTAKE

    BIOLOGICAL DATA

    Biochemical aspects

    Absorption, distribution and excretion

    Mouse

         Male ICR mice were given a single oral dose of 100 mg
    [phenyl-14C]procymidone (purity more than 99%)/kg in corn oil. 
    Elimination of the radioactivity was very rapid, mainly in the urine
    [after 1 day 92% (urine: 74%, feces 18%), and after 7 days 104%
    (urine: 82%, feces 22%)].  14C-levels in blood, brain, kidney,
    liver and testis reached maxima within 2-8 hours (16.6, 27.4, 57.8,
    67.1 and 17.3 mg/kg respectively) and decreased with half-lives of
    9-10 hours (Shiba  et al. 1988).

    Rat

         Wistar rats given a single oral dose (25 mg/kg bw) of
    14C-procymidone (labelled at carbonyl carbon) or 3H-procymidone
    (labelled at phenyl proton) excreted over 90% of the administered
    radioactive dose (in the urine about 85% and in the feces about 8%)
    within 2 days after dosing.  Elimination was complete over a 7-day
    period, less than 0.2% was evolved as CO2.  No significant
    difference in excretion rate was observed between sexes, pregnant
    and non-pregnant females, or position of radiolabelling. Also
    consecutive administration of 25 mg 14C-procymidone/kg bw for 7
    days did not alter the excretion pattern significantly.  A plateau
    was reached after 3 days and during the administration period 80% of
    the daily dose was excreted in the urine and 10% in the feces.  At
    the end of the treatment period, a total of about 92% of the
    administered 14C dose was found in the excreta and elimination was
    almost complete 7 days after treatment withdrawal (Mikami  et al.
    1979).

         Whole body autoradiography in male rats given a single oral
    dose of 25 mg 14C-procymidone/kg bw indicated that the
    radioactivity 1 hr after treatment was high in the stomach, followed
    by intestines, liver and kidneys. Hardly any radioactivity could be
    detected 24 hr after treatment.  14C-levels in tissues and blood
    after a single oral dose of 25 mg carbonyl 14C-procymidone/kg bw to
    female rats (both pregnant and non-pregnant) peaked 6 hours after
    treatment (highest concentration being noted in fat, pancreas,
    spleen and adrenal gland) and then declined rapidly in all tissues
    except fat.  Nevertheless, 0.32 mg equivalent procymidone/kg fat was
    present seven days after treatment.  After repeated administration
    of 25 mg 14C-procymidone/kg bw to non-pregnant female rats for 7
    consecutive days the 14C level in fat reached a plateau (about

    0.60 mg/kg) within 3 days and decreased rapidly after the end of the
    treatment period (7 days).  After a single oral administration of
    25 mg 14C-procymidone/kg bw to pregnant rats, radioactivity was
    found in fetal blood at similar levels as in maternal blood.  It
    disappeared promptly with the decrease of 14C in maternal blood
    (Mikami  et al. 1979).

         Male Sprague-Dawley rats received a single oral dose of 100 mg
    {phenyl-14C}procymidone (purity 99.5%)/kg.  14C-excretion was
    rapid and predominantly in the urine {after 1 day 59% (urine 54%,
    feces 6%) and after 7 days 96% (urine 84%, feces 13%)}.  Maxima in
    14C-levels in blood, brain, kidney, liver and testes (15.4, 25.8,
    49.1, 66.5 and 11.0 mg/kg, respectively) were reached within 8-12
    hours and decreased with half-lives of 9-12 hours (Shiba  et al.
    1988).

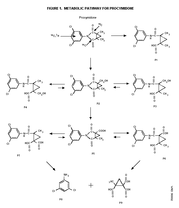
    Biotransformation

         Metabolic profiles in urine and feces after single or repeated
    oral administration of 25 mg 14C-procymidone/kg bw to male and
    female rats or after a single administration of 100 mg
    14C-procymidone/kg bw to mice and rats indicated extensive
    metabolism via hydroxylation at the methyl group followed by
    oxidation to carboxylic acid and hydrolysis of the imide or amide
    linkage (see Figure 1).  The major excreted metabolites (counting
    for 68.0-75.9% of the dose) were N-(3,5-dichlorophenyl)-1-carboxy-2-
    methyl cyclopropane-1,2-dicarboximide (P5), and the products (P6 and
    P7) yielded from P5 by hydrolysis at the imide.  Small amounts of
    3,5-dichloroaniline (P8) and 2-methylcyclopropane-1,1,2-
    tricarboxylic acid (P9) as well as small amounts of unchanged
    procymidone (only in the feces) were detected.  There is no major
    species difference in metabolism between rats and mice and
    consecutive administration to rats did not alter the metabolic
    profile (Mikami  et al. 1979; Shiba  et al. 1988).

    FIGURE 1


        TABLE 1.  RESULTS OF MUTAGENICITY ASSAYS ON PROCYMIDONE

                                                                                                                                              

                                                                 CONCENTRATION            PURITY
    TEST SYSTEM                     TEST OBJECT                  OF PROCYMIDONE             %         RESULTS      REFERENCE

                                                                                                                                              

     in vitro

    Ames test (both with            S. typhimurium               10, 100, 1000            96.3        Negative     Suzuki & Miyamoto, 1976
    and without metabolic           TA98, TA100,                 ug/plate in                          (1)
    activation                      TA1535, TA1538               DMSO

    Ames test (both with            S. typhimurium               10, 50, 100, 500         96.6        Negative     Moriya et al. 1977
    and without metabolic           TA98, TA100, TA1535          ug/plate in                          (1)
    activation                      TA1537, TA1538               DMSO
                                    E. coli WP2 hcr

    V79/HGPRT mutation              Chinese hamster lung         7x10-4, 1.5x10-3         approx95         Negative     Principe et al. 1980
    assay (both with and            cells (V79)                  3x10-3, 6x10-3M                      (1)
    without metabolic
    activation)

    SCE assay (both with            Mouse embryo cells           10-6, 10-5,              96.9        Negative     Suzuki et al. 1080
    and without metabolic                                        10-4M in DMSO                        (1)
    activation)

    Rec-assay                       B. subtilis M45              10, 100, 1000            96.3        Negative     Suzuki & Miyamoto, 1976
                                    rec H17                      ug/disk in DMSO                      (1)

    Rec-assay                       B. subtilis M45              20, 100, 200, 500        96.6        Negative     Moriya et al. 1977
                                    rec H17                      1000, 2000 ug/disk                   (1)
                                                                 in DMSO
                                                                                                                                              

    TABLE 1 (contd.)

                                                                                                                                              

                                                                 CONCENTRATION            PURITY
    TEST SYSTEM                     TEST OBJECT                  OF PROCYMIDONE             %         RESULTS      REFERENCE

                                                                                                                                              

     in vitro (contd)

    Unscheduled DNA                 Human epithelial             6x10-6, 1x10-5           approx95         Negative     Principe et al. 1980
    synthesis test (both            cells                        6x10-4, 6x10-3M                      (1)
    with and without                                             in acetone
    metabolic activation)

     in vivo

    Chromosomal aberration          Male mice (ICR strain)       400, 800, 1600           96.9        Negative     Hara et al. 1980
    test                                                         mg/kg (i.p.) in                      (1)
                                                                 corn oil

    Host-mediated assay             S. typhimurium               1000, 2000 mg/kg         96.3        Negative     Suzuki & Miyamoto, 1976
                                    G46 Male mice                in DMSO                              (1)
                                    (ICR strain)

    Host-mediated assay             S. typhimurium               200, 500 mg/kg x 2,      96.3        Negative     Moriya et al. 1977
                                    G46 Male mice                in 5% Arabic gum                     (1)
                                    (ICR strain)
                                                                                                                                              

    (1)  Positive control compounds gave positive responses.
    

    Toxicological studies

    Acute toxicity

         The LD50 and LC50 values for the 50% dispersible powder
    formulation for procymidone and some metabolites in various species
    are given in Tables 2, 3 and 4, respectively.

    TABLE 2.  ACUTE TOXICITY OF 50% WETTABLE POWDER OF PROCYMIDONE

                                                                       

    SPECIES    SEX      ROUTE              LD50      REFERENCE
                                        (mg/kg bw)

                                                                       

    Mice       M&F      oral              >10000     Kohda et al. 1976b

               M&F      dermal            >10000     Kohda et al. 1976b
                        (24-h exp.)

               M        i.p.                1750     Segawa, 1979
               F        i.p.                1650

    Rat        M&F      oral              >10000     Kohda et al. 1976b

               M&F      dermal            >10000     Kohda et al. 1976b
                        (24-hr exp.)

               M&F      inhal.              >109     Kohda et al. 1976c
                        (4-hr exp.)
                                                                       

        TABLE 3.  ACUTE TOXICITY OF PROCYMIDONE

                                                                             

    SPECIES   SEX    ROUTE         LD50      LC50      PURITY   REFERENCE
                                (mg/kg bw)  (mg/m3)      %

                                                                             

    Mouse     M      oral         7800                  96.3    Kohda et al.
              F                   9100                  96.3    1976a

              M&F    oral        >5000                  96.5    Segawa, 1977

              M&F    dermal      >2500  a)              96.3    Kohda et al.
                                                                1976a

              M&F    dermal      >5000                  96.5    Segawa, 1977

              M      i.p.         1560                  96.3    Kohda et al.
              F                   1900                  96.3    1976a

              M      i.p.         2030                  96.5    Segawa, 1977
              F                   2050                  96.5

    Mouse     M&F    s.c.       >10000                  96.3    Kohda et al.
                                                                1976a

              M&F    s.c.       >10000                  96.5    Segawa, 1977

    Rat       M      oral         6800                  96.3    Kohda et al.
              M                   7700                  96.3    1976a
              M&F    oral        >5000                  96.3    Segawa, 1977

              M&F    dermal      >2500  a)              96.3    Kohda et al.
                                                                1976a

              M&F    dermal      >5000                  96.5    Segawa, 1977

    Rat       M      i.p.          850                  96.3    Kohda et al.
              F                    730                  96.3    1976a

              M      i.p.         1440                  96.5    Segawa, 1977
              F                   1450                  96.5

    TABLE 3 (contd).

                                                                             

    SPECIES   SEX    ROUTE         LD50      LC50      PURITY   REFERENCE
                                (mg/kg bw)  (mg/m3)      %

                                                                             

    Rat       M&F    s.c.       >10000                  96.3    Kohda et al.
                                                                1976a

              M&F    s.c.       >10000                  96.5    Segawa, 1977

              M&F    inhal.                 >1500  b)   99.5    Kohda et al.
                                                                1986
                                                                             

         In all cases of suspensions of procymidone in corn oil were administered:

    a)   duration of exposure not indicated
    b)   4-hr exposure to dust.

    TABLE 4.  ACUTE TOXICITY OF METABOLITES OF PROCYMIDONE IN MICE

                                                                        

      TEST      SEX     ROUTE     LD50      REFERENCE
    COMPOUND                    (mg/kg bw)

                                                                        

    3,5-DCAa    M       oral       900      Kohda et al. 1980
                F       oral       820

                M       s.c.      1300      Kohda et al. 1980
                F       s.c.      1250

    DMPAb       M       oral      4200      Kohda et al. 1980
                F       oral      4650

    DMPAb       M       s.c.      2100      Kohda et al. 1980
                F       s.c.      2650

    SF-8748a    M       oral      1410      Kohda et al. 1980
                F       oral      1480
                                                                        

    a)   3,5-DCA (P8) and SF-8748 (P1) were suspended or dissolved in
         corn oil

    b)   DMPA (1,2-dimethylcyclopropane-dicarboxylic acid, plant and soil
         metabolite) was suspended in 10% Tween 8O.
    
    Short-term studies

    Mice

         Groups of male and female mice (ICR strain, 15/sex/group) were
    fed diets containing 0, 50, 150 or 500 ppm procymidone (purity
    96.9%) for three months. Mice were observed twice daily for changes
    in appearance or behaviour, and body weight was recorded weekly. 
    Food and water consumption were measured once a week for 3
    consecutive days.  Hematological and biochemical studies as well as
    opthalmological examinations were conducted after 3 months of
    treatment.  At the end of the treatment period surviving rats were
    sacrificed and examined for gross pathology, organs were weighed and
    histopathological examinations were carried out.  There were no
    compound related deaths, body weight changes, effects on food and
    water consumption or clinical chemistry nor changes in
    ophthalmological findings.  Significantly decreased hematocrit and
    erythrocyte values were observed in females at 500 ppm.  Relative
    kidney weight was significantly decreased in females at 150 and
    500 ppm and relative adrenal weight was decreased (significantly but
    not dose-relatedly) in all male dose groups.  An increased relative
    liver weight was observed in high dose males and females which was
    not statistically significant.  Hypertrophy of hepatocytes of the
    liver was observed in males at 150 and 500 ppm and in females at
    500 ppm.  High dose females also showed an increased incidence of
    dilated fundal-glands of the stomach.  The NOAEL in this study is
    50 ppm, equivalent to 7 mg/kg bw/day (Arai, 1980a).

         Groups of ICR mice (20/group/sex) were fed diets containing 0,
    50, 150 or 500 ppm procymidone (purity: 96.9%) in corn oil for 6
    months.  Observations included clinical examinations, mortality,
    body weight, water and food consumption, ophthalmological,
    hematological and biochemical examinations, macroscopy, organ weight
    and histopathology.  No dose-related deaths occurred.  Body weight,
    food and water consumption and ophthalmoscopy were not affected. 
    Leucocyte count was significantly decreased in males at 150 and
    500 ppm and MCV values were significantly increased in females at
    the same dose groups.  Creatinine values were significantly
    increased in males at 500 ppm.  A tendency to an increased relative
    liver weight was noted in females at 500 ppm.  At histopathology an
    increased incidence of atrophy of the testes was observed (2/19
    (10.5%), 5/20 (25%), 6/20 (30%) and 10/20 (50%) in the control,
    50 ppm, 150 ppm and 500 ppm group, respectively).  This was
    significant in the 500 ppm group only.  The NOAEL in this study was
    150 ppm, equivalent to 20 mg/kg bw/day (Arai, 1980b).

         Groups of 20 male mice (Alpk/AP white) were fed diets
    containing 0, 10, 30, 100 or 300 ppm procymidone (purity 99.8%) for
    6 months.  Observations included clinical signs, body weight, food
    consumption, organ weight, macroscopy and histopathology of the
    testes and the epididymes.  The only findings observed were a not

    dose-related increase in food consumption (means of 4 observations/
    group) at 30, 100 and 300 ppm and a not dose related increase in
    relative testes weight in all dose groups (significantly at 10 and
    100 ppm), not associated with any histopathological change (Kinsey
     et al. 1985).

    Rat

         Groups of rats (Sprague-Dawley, 12/sex/group) were fed diets
    containing 0, 150, 500 or 1500 ppm procymidone (purity, 98.7%) for 6
    months.  Additional groups (15/sex/group) were fed diets containing
    0 or 1500 ppm for 9 months, or 0 or 1500 ppm for 6 months and then
    placed on a control diet for another 3 months. No compound-related
    effects were observed on mortality, clinical signs, food and water
    consumption and urinalysis.  Body weight was decreased in females
    (significantly at 1500 ppm) at all dose levels after 6 months and
    male body weight was decreased at the highest dose after the same
    period.  After 9 months of feeding both male and female bodyweights
    were significantly decreased at 1500 ppm.  Significantly decreased
    PCV and Hb values were observed in both sexes at 1500 ppm only after
    6 months; ALAT levels were increased at 500 and 1500 ppm in both
    sexes after 6 months.  Relative liver weight was significantly
    increased in females at 500 ppm (after 6 months) and in both sexes
    at 1500 ppm after 6 and 9 months.  Relative spleen weight was
    significantly increased in females at 500 and 1500 ppm only after 6
    months.  There were also changes in several other organ weights,
    possibly as a result of the change in body weight.  An increased
    incidence of swelling of the liver cell was observed in males at
    1500 ppm after 6 (4/15) as well as after 9 months (2/15).  The only
    findings which were still evident after the 3 month recovery period
    were a slightly decreased bodyweight in both sexes and an increased
    relative liver weight in females at 1500 ppm.  The NOAEL in this
    study is 150 ppm, equivalent to 7.5 mg/kg bw/day (Kato  et al.
    1976).

    Dog

         Beagle dogs (6/sex/group) received by capsule at dose levels
    0,20, 100 or 500 mg/kg bw/day procymidone (purity >95%) for 6
    months.  Mortality, body weight, food and water consumption,
    ophthalmoscopy, haematology, urinalysis, organ weight, macroscopy
    and histopathology were not affected by treatment.  Dogs at
    500 mg/kg bw/day had a higher incidence of emesis and diarrhea
    (females only).  Alkaline phosphatase activity was increased in
    males and females at 500 mg/kg bw/day (during the second half of the
    treatment period).  At the same dose level BUN, glucose and calcium
    (occasionally also at 100 mg/kg bw/day) levels were significantly
    increased in males.  Relative heart weight was significantly
    decreased in high dose females.  There was a tendency to an
    increased liver weight in males and females and a decreased testes

    weight in males at 500 mg/kg bw/day.  The NOAEL in this study was
    100 mg/kg bw/day (Nakashima  et al. 1984).

    Long-term/carcinogenicity studies

    Mice

         Groups of B6C3F1 mice (50/sex/group) were fed diets containing
    0, 30, 100, 300 or 1000 ppm procymidone (purity 99.8%) for 104
    weeks.  Satellite groups consisting of 40 mice/sex/group were
    sacrificed at 6-month intervals (week 26, 52 and 78) for clinical
    and pathology determinations.  An additional 10 mice/sex were
    assigned to the main control group for clinical pathology
    determinations prior to the start of dosing.  Observations included
    mortality, clinical signs, body weight, food and water consumption,
    ophthalmoscopy, hematology, clinical chemistry, urinalysis,
    macroscopy, organ weights and histopathology.  Survival rates at
    termination varied from 64% to 88%.  No treatment-related effects
    were observed on mortality, body weight, food and water consumption,
    ophthalmoscopy, hematology and urinalysis.  A tendency to an
    increased ALAT level was observed in both sexes at 1000 ppm. 
    Relative liver weight was significantly increased in males and
    females at 1000 ppm and sometimes at 300 ppm.  No effect was
    observed on testes weight.  An increased incidence of masses, pale
    areas and raised areas in the livers was observed at 1000 ppm in
    both males and females.  An increased incidence of focal or
    multifocal hepatocellular hyperplasia and fatty change (also in
    300 ppm males) as well as changes in centrilobular cytomegaly were
    noted in both sexes at 1000 ppm.  Incidences for liver neoplastic
    lesions are given in Table 5.

         It can be concluded that a slight increase is found in female
    hepatocellular adenoma and male hepatoblastoma.  The NOAEL in this
    study is 100 ppm (equivalent to 14.3 mg/kg bw) (Filler  et al.
    1988).


        TABLE 5.  NON-NEOPLASTIC AND NEOPLASTIC INCIDENCES

                                                                                                           

    LESIONS                                                    DOSE LEVEL
                                      0              30            100           300          1000
                                                                                                           
                                  M      F       M      F       M       F      M      F       M       F

    Neo-neoplastic

    Liver

    Centrilobular cytomegaly      0/49   0/49    0/48   0/50    0/49    2/49   11/49  25/50   17/46   36/50

    Testes

    Interstitial hyperplasia      2/50           0/49           1/50           7/49           12/49

    Ovaries

    Stromal hyperplasia                  0/49           0/50            0/49          2/49            8/50

    Neoplastic

    Liver

    Hepatocellular adenoma        7/50   1/50    11/50  1/40    12/50   0/48   9/49   3/50    10/49   7/50

    Hepatocellular carcinoma      5/50   1/50    6/50   1/49    9/50    2/48   5/49   4/50    10/49   2/50

    Hepatoblastoma                1/50   0/50    0/50   0/49    0/50    0/48   2/49   0/50    5/49    0/50

    Testes

    Interstitial cell tumours     1/50           1/50           0/50           10/49          16749
                                                                                                           
    

    Rat

         Groups of Osborne-Mendel rats (50/sex/group) were fed diets
    containing 0, 100, 300, 1000 or 2000 ppm procymidone (purity 99.8%)
    for 104 weeks.  Satellite groups of rats (50/sex/group) were used in
    interim (week 26, 65 and 78) evaluations of clinical pathology,
    necropsy and organ weights.  No compound-related effects were noted
    on clinical signs, food and water consumption, mortality,
    opthalmoscopy, hematology, biochemistry and urinalysis.  At the end
    of the study survival rates for males ranged from 22% to 34% while
    for females it was 50% to 70%.  Body weight gain was significantly
    decreased at 1000 and 2000 ppm.  At 300 ppm a decrease was found,
    which was significant during a part of the study, and more
    pronounced in males.  Testosterone analysis showed increased levels
    at 2000 ppm.  At termination (and in most interim kills), relative
    liver weight and relative testes weight were increased at 2000 ppm
    in males and females.  In females relative ovary weight, relative
    kidney weight and relative brain weight were significantly increased
    at 2000 ppm at the end of the study.  An increased incidence of
    hepatic centrilobular cytomegaly, testicular interstitial cell
    hyperplasia and ovarian stromal hyperplasia as well as an increased
    incidence of interstitial cell tumours were observed in the two
    highest dose groups.

         The NOAEL in this study is 100 ppm (4.6 mg/kg bw and 6.0 mg/kg
    bw for males and females, respectively) (Keller  et al. 1986).

    Special study on affinity for androgen receptor

         The binding ability to androgen receptors in prostate cytosols
    from castreated mice and rats was examined in a competitive assay in
    which the cytosols were incubated with [3H]dihydrotestosterone
    (DHT) alone or together with increasing concentrations of
    procymidone and some metabolites.  The androgen receptors of rat and
    mouse prostate have high specificity and high affinity for DHT while
    procymidone possesses a low but distinct affinity.  The relative
    binding affinity (RBA) was 0.065% in rats and 0.070% in mice
    compared to 14.2% and 0.058% in rats for cyproterone acetate and
    flutamide (a non-steriodal anti-androgen for medical use),
    respectively and 0% for some procymidone - soil or light -
    degradation products (Murakami  et al. 1988b).

    Special study on effect upon testicular function

    Mouse

         Groups of 30 male ICR mice were fed diets containing 0, 1000,
    5000 or  10000 ppm procymidone (purity 99.3%) for 13 weeks. 
    Observations included body weight, food consumption and organ weight
    (seminal vesicles, epididymes, testes and prostate), serum
    testosterone and LH (luteinizing hormone) levels, testosterone

    levels in testes, LH levels in pituitary,  in vitro production of
    testosterone in testis stimulated by gonadotropin and testicular
    binding of 125I-labelled human chorionic gonadotropin (hCG).
    Testosterone and LH levels in serum and/or organs, and the
    responsiveness of interstitial cells to hCG  in vitro were enhanced
    after 2 weeks. These changes (which indicate hypergonadotropism)
    returned to control levels during the 3 month treatment period. The
    binding affinity of hCG for LH/hCG receptor in mouse testes
    decreased significantly (measured by an elevated dissociation
    constant (Kd) at 5000 and 10000 ppm) during procymidone treatment. 
    The number of hCG binding sites in the testes was unchanged
    (Murakami  et al. 1988a).

    Rat

         In a study with the same protocol, groups of 12 male Sprague-
    Dawley rats were fed diets containing 0, 700, 2000 or 6000 ppm
    procymidone (purity 99.3% and 99.5%) Relative testes weight was
    significantly increased at 6000 ppm during the 3 month treatment
    period.  Hormone levels (testosterone and LH) in serum and/or
    organs, and the responsiveness of interstitial cells to hCG
     in vitro were enhanced after 2 weeks. These effects were more
    pronounced than in mice and were maintained over 3 months. The
    binding affinity and the number of hCG binding sites in the testis
    were unchanged (Murakami  et al. 1988a).

    Special studies on teratogenicity

    Rat

         Groups of 25 pregnant albino rats {Charles River (SD) BR} were
    given oral daily doses of 0, 30, 100 or 300 mg procymidone (purity
    99.6%)/kg bw in corn oil from day 6 through 15 of gestation. Dams
    were observed for mortality, clinical signs, body weight and food
    consumption. At day 20 of gestation, pups were delivered by cesarean
    section. The number of corpora lutea, implantations, resorptions,
    live and dead fetuses were recorded. Fetuses were weighed, sexed and
    examined for external, visceral and skeletal malformations. There
    were no effects observed on the dams and offspring except for a
    slightly (not significantly) increased frequency of resorptions at
    100 and 300 mg/kg bw.  The NOAEL in this study is 300 mg/kg bw
    (Pence  et al. 1980).

    Rabbit

         Groups of 18 pregnant NZW rabbits were orally administered 0,
    30, 150, 750, or 1000 mg procymidone (purity 99.6%)/kg bw in corn
    oil from day 7-19 of gestation.  All animals were observed for
    clinical signs, mortality, bodyweight and food consumption.  All
    animals were sacrificed on gestation day 30, and the number of
    corpora lutea, implantations, live and death fetuses were recorded.

    Fetuses were weighed, sexed, inspected for external abnormalities
    and examined for both internal and skeletal malformations. No
    adverse effects of treatment were observed except for a slightly
    increased number of fetuses with non-ossification of the 5th and 6th
    sternebra at 1000 mg/kg bw.  The NOAEL in this study was 750 mg/kg
    bw (Wickramatne  et al. 1988a).

    Special studies on mutagenicity

         Procymidone was negative in various mutagenicity assays. See
    Table 1 for a summary of the studies considered.

    Reproduction study

    Rat

         Groups of 30 male and 30 female rats (ALpk:APfSD) received 0,
    50, 250 or 750 ppm procymidone (purity 99.5%) in the diet for 12
    weeks before initial mating.  Similar treatment was continued
    throughout two litters and into a second generation which also
    produced two litters maintained for 11 weeks. Observations were made
    on general condition and behaviour, food consumption and body
    weight.  Reproduction parameters such as fertility indices, duration
    of gestation, precoital interval, viability indices, litter size,
    number and percent of live and dead foetuses, litter and pup weight
    were studied.  Autopsy and histopathological examinations of
    selected organs were performed on all F0, F1 and F2 adults and
    offspring.  Liver and reproductive organs were weighed.

         All high dose parental rats showed reductions in bodyweight
    gain (significantly in F0 rats and F1 and F2 females), in food
    consumption and in food efficiency.  A slight effect on body weight
    was observed at 250 ppm in F1 and F2 rats.  In F1 parental males
    (but not in F0) a significant loss of fertility was observed at
    750 ppm.  Infertile rats showed an abnormal appearance of external
    genitalia (hypospadias).  Litter weights (except the F2B litters)
    were  significantly decreased at 750 ppm. Parental relative liver
    weight was significantly increased in F0, F1 and F2 generations
    at 750 ppm and at 250 ppm also in F0 and F1 males and in F2
    females.  Relative testes weight was significantly increased in F0,
    F1 and F2 males at 250 ppm as well as at 750 ppm.  Penile
    abnormalities were observed in F1 and F2 adults at 750 ppm
    procymidone together with a decrease in prostate size.  The
    macroscopic diagnosis of hypospadias was confirmed histologically. 
    In the pituitary hypertrophy and hyperplasia of basophilic cells
    were observed in F1 and F2 males at 750 ppm.  No effects were
    observed on spermatogenesis.  High dose F1 males also showed an
    increased incidence of bile duct proliferation in the liver.

         Difficulties in sexing pups at birth were caused by a reduction
    in ano- genital distance in male offspring at day 1 post partum at
    750 ppm procymidone (in all litters).  In F1B and F2B pups
    relative liver weight was significantly increased at 250 (F2B only)
    and 750 ppm and relative testes weight was significantly increased
    at 250 and 750 ppm and slightly at 50 ppm. A significant decrease
    was noted in relative weight of prostate and epididymes both at 250
    (F1B only) and 750 ppm procymidone.  Abnormalities of the penis
    were also observed in F2A and F2B pups (see Table 2).  No penile
    abnormalities were detected in F1 and F2 litters killed at day 36
    post partum.  Glycogen depletion was observed in all livers from
    F1B female pups at 750 ppm and in 4/5 male F1B pups.  The NOAEL is
    50 ppm in the diet, equivalent to 2.5 mg/kg bw (Wickramaratne
     et al. 1988b).

    Special study on serum hormone levels

         Groups of 30 male rats were administered diets containing 0,
    700, 2000 or 6000 ppm procymidone (purity 99.1%) for 3 months.  Ten
    rats/group were sacrificed after 14 days, 1 month and 3 months. 
    Observations included body weight as well as weights of testes,
    epididymes, prostate and seminal vesicles, serum levels of
    testosterone, LH (luteinizing hormone) and 17b- estradiol and
    histopathology of testes, epididymes and plexus pampiniformis.  At
    6000 ppm body weight was significantly decreased (after 1 month also
    at 2000 ppm) and testes weight was slightly increased.  Testosterone
    levels were significantly and dose-relatedly increased at all dose
    levels and LH-levels were significantly increased at the highest
    dose.  The effects with procymidone were different from those with a
    positive control (CdCl2), which caused decreased weight of testes,
    epididymes, prostate and seminal vesicles and a marked depression of
    testosterone levels.  It is known that this CdC12 damages male
    gonadal systems directly.  In a second study groups of male rats
    received 0, 100, 300, 700 or 2000 ppm procymidone for 6 months.  Ten
    rats/group were sacrificed after 1, 3 and 6 months.  Testosterone
    levels were significantly increased at 700 and 2000 ppm.  The
    no-hormonal-effect level is 300 ppm.

         In a third study groups of male rats received 0 or 6000 ppm
    procymidone for 1 month and were kept for a recovery period of 6
    months to examine the reversibility of the hormonal changes.  10
    Rats/group were sacrificed after 2 weeks, 1, 3 and 6 months. Levels
    of testosterone and LH were normal after 1 month (Murakami  et al.
    1986).

    Special studies on skin and eye irritation

         Moistened technical procymidone (50 mg, purity 98% up) was
    applied to the shaven skin of 5 male albino rabbits (Japanese
    strain) for 4 hours.  Slight congestion, lasting one hour, was
    observed at the treated site of 2 animals. No other signs of

    irritation were observed during a 7-day observation period (Kadota &
    Miyamoto, 1976).

         A moistened formulation of procymidone (500 mg, 50% water
    dispersible powder) was applied to the intact and abraded skin of 6
    male albino rabbits (Japanese strain) under occlusive conditions for
    24 hours. Severe erythema (score 4) and slight edema (score 1) was
    observed after 24 hours lasting for 72 hours. A 1:100 aqueous
    suspension of the formulation did not induce any local reaction
    (Matsubara  et al. 1979).

         Technical procymidone (50 mg, purity 98% up) instilled into one
    eye of 5 female and 3 male albino rabbits (Japanese strain) caused
    no irritant reactions during a 72-hour observation period with or
    without washing, respectively (Kadota & Miyamoto, 1976).

         A formulation of procymidone (100 mg, 50% water dispersible
    powder) was instilled into one eye of 9 male albino rabbits
    (Japanese strain).  The eyes of three rabbits were washed 30 seconds
    after treatment. The formulation was irritating to the unwashed eyes
    and not irritating to the washed eyes. A 1:100 aqueous suspension of
    the formulation did not cause any irritant reaction (Matsubara
     et al. 1979).

    Special studies on skin sensitization

         A 1% or 5% solution of procymidone (purity 98%) in corn oil had
    no sensitizing potential in male guinea pigs receiving 10
    applications every other day followed by a challenge 2 weeks later
    (Okuno  et al. 1975).

         A water dispersible powder of procymidone (containing 53% w/w
    procymidone, purity 97.8%) was not sensitizing in a Buehler test
    (Hara  et al. 1979).

    Observations in humans

         Clinical examination records (taken two times a year, including
    bodyweight, visual and hearing perception, chest X-ray, blood
    pressure, urinary examination and diagnosis by questioning) of 20
    male workers (being protected but without face guard or mask) who
    have been engaged in the manufacturing of procymidone technical
    grade and in the packing in drums for 3-4 years, were re-examined,
    and the details and history of the operations were reviewed.  After
    re-examination of 5 clinical records of these 20 workers, no
    abnormalities were observed in any examination item (Harada, 1983).

    COMMENTS

         After oral administration to mice and rats, procymidone was
    rapidly excreted, primarily via the urine. The compound was oxidized
    at the methyl group and hydrolyzed at the imide and amide linkages. 
    Neither procymidone nor its metabolites accumulated in the tissues
    of mice or rats and repeated administration did not alter the
    excretion pattern.  After a single oral administration to pregnant
    rats, the compound and/or its metabolites transferred to the fetus.

         Procymidone has a low acute toxicity in the species examined.

         In subchronic toxicity studies in mice, rats and dogs, the main
    effects were increased liver weight and hepatocellular hyperplasia. 
    In the dog, the NOAEL was 100 mg/kg bw/day.

         In a long-term feeding study in mice, a slightly increased
    incidence in liver tumours was reported.  The NOAEL was 100 ppm
    (equivalent to 15 mg/kg/day). In a long-term feeding study in rats,
    decreased weight gain and pathology of the male reproductive system
    were observed at 1000 and 2000 ppm.  The weight of the testes was
    increased at 2000 ppm and at the two highest dose levels of 1000 and
    2000 ppm, increased incidences of testicular interstitial cell
    hyperplasia and interstitial cell tumours were observed.  In this
    study, the NOAEL was 300 ppm, equal to 14 mg/kg bw/day.

         In a 2-generation, 2 litters per generation reproduction study
    in rats, infertility and abnormalities of the male sexual organs
    (hypospadias) were observed in adults and in pups at the highest
    dose level of 750 ppm.  At day 1 post-partum the male offspring
    showed a reduction in ano-genital distance.  The NOAEL was 250 ppm,
    equivalent to 12.5 mg/kg bw/day.

         In teratogenicity studies with rats and rabbits no embryotoxic
    or teratogenic effects were found.  The NOAELs were 30 mg/kg bw/day
    and 750 mg/kg bw/day, respectively.

         After reviewing all available  in vitro and  in vivo
    short-term tests, the Meeting concluded that there was no evidence
    of genotoxicity.

         In order to explain the effects on the testes, a number of
    special studies were conducted.  Procymidone had a low, but distinct
    binding affinity for androgen receptors in rats and mice.  High
    doses had a clear effect on testicular function and hormone levels,
    indicating trophic stimulation (resulting in hormonal imbalance) in
    rats and mice.  The effect in the mouse returned to normal during
    the 3-months treatment period, while it remained in rats, where
    interstitial hyperplasia and tumours were observed.  In a special
    study on the effects of procymidone on hormones in rats,
    testosterone levels were increased at all dose levels (700, 2000 and

    6000 ppm), while luteinizing hormone levels were increased only at
    6000 ppm.  In a study with lower dose levels, 300 ppm was the
    no-hormonal-effect level.  Rats were dosed for 1 month with
    60000 ppm procymidone and hormonal recovery was studied.  One month
    after cessation of dosing, levels of testosterone and luteinizing
    hormone had returned to normal.

         It was concluded that both the effects on reproduction and the
    induction of testicular tumours in the long-term rat study can be
    explained by the effects of procymidone on the endocrine system.

    TOXICOLOGICAL EVALUATION

    Level causing no toxicological effect

         Mouse:    100 ppm in the diet, equal to 15 mg/kg bw/day
         Rat:      250 ppm in the diet, equivalent to 12.5 mg/kg bw/day
         Dog:      100 mg/kg bw/day

    Estimate of acceptable daily intake for humans

         0-0.2 mg/kg bw

    Studies which will provide information valuable in the continued
    evaluation of the compound

         Observations in humans.

    REFERENCES

    Arai, M., Hasegawa, R. & Ito, N. (1980a)  Three-month subacute
    toxicity study of S-7131 (Sumilex, Sumisclex) in mice. Unpublished
    Report from Department of pathology, Nagoya City University Medical
    School, Nagoya, Japan. Submitted to WHO by Sumitomo Chemical Co.,
    Ltd., Osaka, Japan.

    Arai, M., Hasegawa, R. & Ito, N. (1980b)  Six-month subacute
    toxicity study of S-7131 (Sumilex, Sumisclex) in mice. Unpublished
    Report No. BT-00-0057 from Department of Pathology, Nagoya City
    University Medical School, Nagoya, Japan.  Submitted to WHO by
    Sumitomo Chemical Co., Ltd., Osaka, Japan.

    Carlborg, F.W. (1987)  Tumors observed in project 22254M.
    Unpublished Report BT-81-0129 Submitted to WHO by Sumitomo Chemical
    Co., Ltd., Osaka, Japan.

    Filler, R., Maloney, D., Alsaker, R., Clinton, J., Parker, G.,
    Thakur, A., Hohing, L. & Vanatta, P. (1988)  Oral chronic toxicity
    and oncogenicity study in mice/Sumilex. Unpublished Report No.
    BT-81-0127 from Hazleton Laboratories America Inc. Submitted to WHO
    by Sumitomo Chemical Co., Ltd., Osaka, Japan.

    Hara, S., Suzuki, T. & Miyamoto, J. (1979)  Skin sensitization test
    of S7131 50% water dispersible powder in male quinea pigs.
    Unpublished Report No. BT-00-0040 September 12, 1980 from Sumitomo
    Research Department, Pesticides Division.  Submitted to WHO by
    Sumitomo Chemical Co., Ltd., Osaka, Japan.

    Hara, M., Suzuki, H., Ohkawa, H. & Miyamoto, J. (1980)  Cytogenetic
    test of procymidone in mouse bone marrow. Unpublished Report No.
    BT-00-0043 from Sumitomo, Laboratory of Biochemistry and Toxicology,
    Research Department. Submitted to WHO by Sumitomo Chemical Co.,
    Ltd., Osaka, Japan.

    Harada, T. (1983)  A review of medical examinations of factory
    workers possibly exposed to procymidone technical materials.
    Unpublished Report dated 23-3-1983 from Sumitomo Chemical Co., Ltd.
    Submitted to WHO by Sumitomo Chemical Co., Ltd., Osaka, Japan.

    Kadota, T. & Miyamoto, J. (1976)  Eye and skin irritation study with
    S-7131 technical material in albino rabbits. Unpublished report No.
    BT-60-0004 from Sumitomo Chemical Co., Ltd. Submitted to WHO by
    Sumitomo Chemical Co., Ltd., Osaka, Japan.

    Kato, T., Fujita, T. & Fukada, T. (1976)  Toxicity of S-7131
    Technical material to rats in prolonged dietary administration over
    9 months. Unpublished Report BT-60-003 from Sumitomo Chemical Co.,
    Ltd. Submitted to WHO by Sumitomo Chemical Co., Ltd., Osaka, Japan.

    Keller, J.G., Fitzgerald, J., Sibinovic, F., Loeb, W.F., Cardy,
    R.H., Clinton, J. & Wolfe, G.W. (1986)  Oral chronic toxicity and
    oncogenicity study in rats, TB0100 Sumislex, Final Report
    No. BT-61-0112. LBI project No. 22048-03/13 dated June, 1986, from
    Litton Bionetics, Inc. Rockville, Maryland. Submitted to WHO by
    Sumitomo Chemical Co., Ltd., Osaka, Japan.

    Kinsey, J.G., Fitzgerald, J. Sibinovic, F., Loeb, W.F., Cardy, R.H.,
    Clinton, J. & Wolfe, G.W. (1985)  Oral chronic toxicity and
    oncogenicity study in rats, TB0100 Sumisclex. Unpublished Report
    No. CTL/P/1146 dated 15-08-1985 from Imperial Chemical Industries
    PLC, Central Toxicology Laboratory, Alderley Park, Macclesfield,
    Cheshire, UK. Submitted to WHO by Sumitomo Chemical Co., Ltd.,
    Osaka, Japan.

    Kohda, H., Kadota, T. & Miyamoto, J. (1976a)  Acute toxicity studies
    with S- 7131 technical material in mice and rats. Unpublished Report
    no. BT-60-0002 from Sumitomo Chemical Co., Ltd.  Submitted to WHO by
    Sumitomo Chemical Co., Ltd., Osaka, Japan.

    Kohda, H., Kadota, T. & Miyamoto, J. (1976b)  Acute oral and dermal
    toxicities of Sumilex 50% wettable powder in mice and rats.
    Unpublished Report No. BT-60-0006 from Sumitomo Chemical Co., Ltd. 
    Submitted to WHO by Sumitomo Chemical Co., Ltd., Osaka, Japan.

    Kohda, H., Kodata, T. & Miyamoto, J. (1976c)  Acute inhalation
    toxicity study with S-7131 (Sumilex) 50% wettable powder in rats.
    Unpublished Report No. BT-60-0007 from Sumitomo Chemical Co., Ltd.
    Submitted to WHO by Sumitomo Chemical Co., Ltd., Osaka, Japan.

    Kohda, H., Nakamura, M., Kadota, T. & Miyamoto, J. (1980)  Acute
    oral and subcutaneous toxicity studies of three metabolites of
    procymidone. Unpublished Report No. BT-00-0037 from Sumitomo
    Chemical Co., Ltd. Submitted to WHO by Sumitomo Chemical Co., Ltd.,
    Osaka, Japan.

    Kohda, H., Kawaguchi., Watanabe, T., Suzuki, T., Kato, T. &
    Miyamoto, J. (1986) Acute inhalation toxicity of Sumilex in rats.
    Unpublished Report No. BT-60-0116 dated 25-6-1986 from Sumitomo
    Chemical Co., Ltd. Submitted to WHO by Sumitomo Chemical Co., Ltd.,
    Osaka, Japan.

    Matsubara, T., Hara, S., Suzuki, T., Kadota, T. & Miyamoto, J. 
    Primary eye and skin irritation tests of S-7131 50% water
    dispersible powder in rabbits. Unpublished Report No. BT-90-0032
    from Sumitomo Chemical Co., Ltd.  Submitted to WHO by Sumitomo
    Chemical Co., Ltd., Osaka, Japan.

    Mikami, N., Satogami, H. & Miyamoto, J. (1979)  Metabolism of
    procymidone in rats.   J. Pest. Science 4, 165. Submitted as
    published Report No. BM-90-0005 to WHO by Sumitomo Chemical Co.,
    Ltd., Osaka, Japan.

    Moriya, M. & Kato, K. (1977)  Mutagenicity of S-7131 in bacterial
    test  systems. Unpublished Report No. BT-71-0021 dated 25-10-1977
    from Institute of Environmental Toxicology. Submitted to WHO by
    Sumitomo Chemical Co., Ltd., Osaka, Japan.

    Murakami, M., Koyama, Y., Okuno, Y., Hosokawa, S. & Miyamoto, J.
    (1986)  Study on serum hormone levels in rats treated with S-7131.
    Revised Final Report No.  BT-60-0113 dated 27-7-1986 from Takarazuka
    Research Center. Submitted to WHO by Sumitomo Chemical Co., Ltd.,
    Osaka, Japan.

    Murakami, M., Ineyama, M., Yamada, T., Ito, M., Koyama, Y., Kimura,
    J., Hosokawa, S., Yoshitake, A. & Yamada, H. (1988a). Effect on
    testicular function of male rats and mice in subacute administration
    of procymidone. Unpublished Report No. BT-80-0130 dated 23-6-1988
    from Takarazuka Research Center.  Submitted to WHO by Sumitomo
    Chemical Co., Ltd., Osaka, Japan.

    Murakami, M., Ineyama, M., Hosokawa, S., Yoshitake, W., & Yamada, H.
    (1998b). The affinity of procymidone to androgen receptor in rats
    and mice. Unpublished Report No. Bt-80-0131 dated 23-6-1988 from
    Takarazuka Research Center.  Submitted to WHO by Sumitomo Chemical
    Co., Ltd., Osaka, Japan.

    Nakashima, N., Ebino, K., Tuda, S., Harada, T. & Kitazawa, T. (1984) 
    A 6- month subchronic toxicity study of Sumilex in beagles.
    Unpublished Report No.  BT-41-0091 dated January 1984, from the
    Institute of Environmental Toxicology Kodaira, Tokyo 187. Submitted
    to WHO by Sumitomo Chemical Co., Ltd., Osaka, Japan.

    Okuno, Y., Kadota, K. & Miyamoto, J. (1975)  Skin sensitization
    study with S- 7131 in guinea pigs. Unpublished Report No. BT-60-0005
    dated 14-4-1975 from Research Department Pesticides Division.
    Submitted to WHO by Sumitomo Chemical Co., Ltd., Osaka, Japan.

    Pence, O.H., Hoberman, A.M., Andrews, J.P., Durloo, R.S. & Mossburg,
    P.A. (1980) Teratology study in rats S-7131 (technical), final
    report. Unpublished Report No. BT-01-0048 dated 19-12-1980 from
    Hazleton Laboratories America, Inc.  Submitted to WHO by Sumitomo
    Chemical Co., Ltd., Osaka, Japan.

    Principe, P. Monaco, M. & Nunziata, A. (1980)  Report on
    mutagenicity experiment on the substance sumisclex (procymidone).
    Unpublished Report No. BT-01-0050 from Centro Ricerca Farmaceutica
    s.p.a. Submitted to WHO by Sumitomo Chemical Co., Ltd., Osaka,
    Japan.

    Segawa, T. (1977)  Acute oral, subcutaneous, intraperitoneal and
    dermal toxicities of S-7131 in rats and mice. Unpublished Report
    No. BT-71- 0053 dated 7-12-1977 from Hiroshima University School of
    Medicine. Submitted to WHO by Sumitomo Chemical Co., Osaka, Japan.

    Segawa, T. (1979)  Acute intraperitoneal toxicity of S-7131 50%
    water- dispersible powder in mice. Unpublished Report No. BT-91-0030
    dated 24-3-1979.  Hiroshima University School of Medicine. Submitted
    to WHO by Sumitomo Chemical Co., Ltd., Osaka, Japan.

    Shiba, K., Iba, K. Kimura, K. Yoshitake, A. & Yamada, H. (1988) 
    Comparative metabolism of procymidone in rats and mice. Unpublished
    Report No. BM-80-0019 from Takarazuka Research Center. Submitted to
    WHO by Sumitomo Chemical Co., Ltd., Osaka, Japan.

    Suzuki, H. & Miyamoto, J. (1976)  Studies on mutagenicity of S-7131
    with bacterial systems. Unpublished Report No. BT-60-0011 submitted
    to WHO by Sumitomo Chemical Co., Ltd., Osaka, Japan.

    Suzuki, H., Ohkawa, H. & Miyamoto, J. (1980)  Effect of procymidone
    on sister chromatid exchanges (SCE) in cultured mouse embryo cells.
    Unpublished Report No. BT-00-0042 dated September 1980, Laboratory
    of Biochemistry and Toxicology Research Department. Submitted to WHO
    by Sumitomo Chemical Co., Ltd., Osaka, Japan.

    Wickramaratne, G.A. de S., Kinsey, D.L., Banham, P.B., Greenwood,
    M.R. &  Pigott, G.H. (1988a)  Procymidone: teratogenicity study in
    the rabbit. Unpublished Report No. CTL/P/1812 dated 1-6-1988 from
    Imperial Chemical Industries PLC, Alderley Park, Macclesfield,
    Cheshire, England.  Submitted to WHO by Sumitomo Chemical Co., Ltd.,
    Osaka, Japan.

    Wickramaratne, G.A. de S., Milburn, G.M. Banham, P.B., Greenwood,
    M.R., Moreland, S. & Pigott, G.H. (1988b)  Procymidone:
    multigeneration reproduction study in the rat. Unpublished Report
    No. CTL/P/1954 dated 1-7-1988 from Imperial Chemical Industries PLC,
    Alderley Park, Macclesfield, Cheshire, Enmgland.  Submitted to WHO
    by Sumitomo Chemical Co., Ltd., Osaka, Japan.


    See Also:
       Toxicological Abbreviations
       Procymidone (Pesticide residues in food: 1981 evaluations)