IPCS INCHEM Home


    PESTICIDE RESIDUES IN FOOD - 1984


    Sponsored jointly by FAO and WHO






    EVALUATIONS 1984




    The monographs



    Data and recommendations of the joint meeting
    of the FAO Panel of Experts on Pesticide Residues
    in Food and the Environment and the
    WHO Expert Group on Pesticide Residues
    Rome, 24 September - 3 October 1984

    Food and Agriculture Organization of the United Nations
    Rome 1985

    PROPAMOCARB

    Identity

    Chemical:              (IUPAC and C.A.): Propyl 3 -
                             (dimethylaminopropyl)
                             carbamate hydrochloride

    Synonyms:              PrevicurRN, Prevex, Filex, Banol, Dynone N,
                             Schering Code No. SN 66752 and ZK 66752

    Structural formula:    CH3                    O
                               \                  "
                                N - (CH2)3 - NH - C - O - C3H7 HCL
                               /
                             CH3

    Molecular formula:     C9H21 Cl N2 O2

    Other information on identity and properties

    Molecular weight:        224.7

    State:                   A colourless crystalline solid (technical
                             propamocarb hydrochloride) with faint
                             aromatic odour and strong hygroscopic
                             properties

    Melting point:           45 - 55°C

    Vapour pressure:         6 × 10-6 Torr at 25°C

    Dissociation
    constant (pKa):          9.1

    Octanol/water
    partition coefficient:   2.5 × 10-3

    Solubility (at 25°C):    >700 g/l in water; >500 g/l in methanol;
                             >430 g/l in methylene chloride; >300 g/l in
                             isopropanol; 23 g/l in ethyl acetate;
                             <0.1 g/l in toluene and hexane

    Stability:               Propamocarb is very stable to hydrolysis.
                             Even at pH 14 the half-life is five days. At
                             pH 9, the half-life is calculated to be
                             1.3 × 103 years, increasing at pH 5 to
                             1.3 × 107 years. The product is stable at
                             55°C for over two years, and to light, even
                             on the addition of acetone.

    Specification of         The technical material has a purity in excess
    technical material:      of 95 percent with the main impurities being
                             N, N - dimethyl - 1 - 3 - diaminopropane
                             dihydrochloride (max. 5 percent), N, N, -
                             bis - (3 - dimethylaminopropyl) urea
                             dihydrochloride (max. 2%) and solvents
                             (max. 1%).

    Note:   Unless otherwise indicated, the studies reviewed in this
              monograph were conducted with Previcur N, an aqueous
              formulation of technical propamocarb hydrochloride
              containing approximately 65 - 70% of the active ingredient
              (a.i.). For the purpose of identification a 70% aqueous
              formulation of propamocarb hydrochloride as used in the text
              of the monograph is synonymous with Previcur N. Unless
              otherwise specified, the dosages used in the studies are
              expressed in terms of the formulation.

    Effects on Enzyme and Other Biochemical Parameters

    In vitro

         Plasma specimens from dogs and rats were separately incubated
    in vitro with technical propamocarb hydrochloride or a 70% aqueous
    formulation of propamocarb hydrochloride at concentrations, expressed
    as the technical material, ranging from 0.925 to 74 mg/ml plasma.
    Significant dose-related inhibition (22 - 60%) of both rat and dog
    plasma cholinesterase was noted following incubation with either
    technical or formulated propamocarb hydrochloride at plasma
    concentrations of 37 mg propamocarb hydrochloride/ml and above. This
    concentration corresponded to approximately 2.2 g/kg b.w. in vivo
    provided that the total amount of active ingredient would be available
    in the plasma and that the plasma volume is about 6% of the body
    weight (Kopp, et al.,1981b).

    In Vivo

    Rat

         Groups of 10 male and 10 female rats were intubated with
    propamocarb hydrochloride as a 70% aqueous formulation at 0 or 3000 mg
    a.i/kg b.w./day for 11 days. Compound-related mortality occurred in
    three males and seven females of the treated group on days 7 and 8,
    and in one treated female on day 9 of treatment. Assay of whole blood
    cholinesterase on day 7 at 30 minutes, 1 hour, 2 hours and 3 hours
    after dosing, and of brain cholinesterase on day 11 at 30 minutes
    post-treatment indicated no significant compound-related inhibition of
    either tissue. (Hunter, et al., 1978).

    Dog

         Groups of one male and two female beagles were given, by gavage,
    a single dose of a 70% aqueous formulation of propamocarb
    hydrochloride at 0 or 674 mg a.i./kg b.w. One male and one female of
    the treated groups died 42 minutes and 35 minutes after treatment,
    respectively. Mean activity of erythrocyte cholinesterase in the
    treated group was inhibited (>20%) 22-36 minutes after dosing, as
    compared to pre-treatment value or to concurrent control level.
    Complete recovery of the enzyme activity seemed to be evident at 34-56
    minutes post treatment. Plasma cholinesterase was not inhibited at
    either of the two post-dosing sampling periods. Details of the study,
    such as the assay method for tissue cholinesterase and the exact time
    of sampling of blood from individual treated animals, were not
    available. (Kopp, et al., 1981b).

    EVALUATION FOR ACCEPTABLE DAILY INTAKE

    BIOCHEMICAL ASPECTS

    Absorption, Distribution, Excretion and Metabolism

    Rat

         After a single oral dose of 0.5 mg/kg b.w. of 14C-propamocarb
    hydrochloride*, female rats excreted approximately 90% of the
    administered radioactivity within 24 hours of dosing via the urine
    (87%), faeces (2.5%) and expired air (<0.3%). Similar rapid
    elimination of 14C-propamocarb hydrochloride by female rats was also
    observed following oral administration of 0.5 mg 14C-propamocarb
    hydrochloride/kg b.w./day for 21 days. During the 21-day dosing
    period, an average of 83% and 3.2% of the daily administered dose was
    recovered respectively in the urine and the faeces. At sacrifice,
    24 hours after acute or subacute oral dosing, total 14C residues
    detected in the 19 tissues analyzed including, among others liver,
    kidney, lung, spleen, heart, adipose tissue, skin and skeletal muscle
    (but excluding the alimentary tract) accounted for 1.7% of the single
    dose and approximately 0.3% of the total dose given over a 21 day
    dosing period (equivalent to approximately 7% of the last daily dose).
    Female rats with "Acute biliary - and urethra fistula" treated with a
    single intraduodenal dose of 0.5 mg/kg b.w. of 14C-propamocarb
    hydrochloride eliminated 81% of the administered radio-activity in the
    urine as early as six hours after dosing. By 24 hours post-
    administration, a total of 92% of the 14C was recovered in the urine
    as compared to only 1.8% in the bile (Kopp et al. 1979).



              
    *  14C-propamocarb hydrochloride labelled at the 1-propyl position
       was used in all of the available rat metabolism studies.

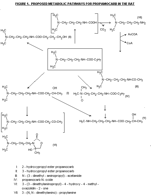
         In female rats treated with a single oral dose of 10 or 100 mg
    14C-propamocarb hydrochloride/kg b.w. ten to 19 urinary metabolites
    were detected. The major metabolites identified were 2-hydroxypropyl
    ester propamocarb (15-32% of the radioactivity recovered in the urine)
    and N - (3 -dimethylaminopropyl) -acetamide (12 - 21%). Small amounts
    (approx 4%) of 3-hydroxypropyl ester propamocarb were also
    identifiable but only in rats given 100 mg/kg b.w. The unchanged
    parent compound accounted for 3-16% of the C14 detected in the urine.
    The data suggested that the relative amounts of major and minor
    metabolites found and the presence or absence of certain minor
    metabolites are related to dosage (Brühl & Celorio, 1982). A further
    study by the same authors in female rats orally treated with 50 mg
    14C-propamocarb hydrochloride/kg b.w./day for ten days indicated the
    presence of at least 30 urinary metabolites. 2-Hydroxypropyl ester
    propamocarb (26% of the 14C recovered in the urine),3-3-
    dimethylaminopropyl)-4-hydroxy-e-methyl-oxazolidin - 2 - one (14%) and
    propamocarb N-oxide (13%) were the major urinary metabolites
    identified. Other compounds found in amounts not exceeding 5% each
    included the parent compound, 3-hydroxypropyl ester propamocarb,
    mono-demethyl 2-hydroxypropyl ester propamocarb and 3-(N,
    N-dimethylamino) -propylamine. All of the identified components
    together accounted for 66% of the radioactivity present in the urine.
    N - (3-dimethylaminopropyl)-acetamide, identified previously as a
    urinary metabolite in the rat (Brühl and Celorio 1982), was not found
    in the present study. (Brühl & Celorio 1984). Fig.1 presents the
    proposed metabolic pathways for propamocarb in the rat (Brühl &
    Celorio 1982; Brühl & Celorio 1984).

    TOXICOLOGICAL STUDIES

    Special Studies on Reproduction

    Rat

         Groups of 25 male and 25 female (Wistar derived, SPF) were fed a
    70% aqueous formulation of propamocarb hydrochloride in the diet at 0,
    40, 200 or 1000 ppm a.i. for 100 days prior to mating to initiate a
    three generation (two litters/generation) reproduction study.
    Weanlings from the second litters were selected to become parents of
    the next generation. After the second mating trial in each generation,
    the dams in each dosage group were divided into four subgroups of ten
    and fifteen (F0 and F1 generations or of approximately equal size
    (F2 generation). One subgroup was allowed to litter and rear their
    young until 21 days post partum. The other subgroup was sacrificed on
    day 19 of gestation for examination of uterine contents. Foetuses were 
    evaluated for external, skeletal and visceral abnormalities.

         In the parental generations, no compound-related mortalities or
    overt signs of toxicity were observed. Frequently, a slight decrease
    (<10%), not dose-related, in food consumption occurred in the treated
    groups during the premating period of each generation. Parental body
    weight, pregnancy rate, median pre-coital time, mating performance and
    duration of gestation period were comparable to control values.

    FIGURE 1

         Over the three generations, there were no treatment-related
    effects on litter size on days 1, 4, 12 and 21; pup weight on days 1
    and 4; sex ratio of pups and histopathological findings of F3b
    weanlings. Incidence of dams with total litter loss was increased at
    200 ppm only in F1b litters. Pup weight at 1000 ppm was decreased on
    day 21 in F1a litters and on day 12 in F1b litters. An increase in
    spleen weight was note in F3b weanlings at 1000 ppm. Examination of
    pre-weaning pups from each generation for rate of physical development
    (hair growth, incisor eruption, opening of the auditory canal and the
    eye) and of selected F1b and F2b animals for pupillary reflex and
    startle response at about 28 days of age indicated no abnormal
    findings attributable to the compound.

         Teratological investigation of F1b, F2b, and F3b litters
    revealed no significant differences between control and treated groups
    with respect to number of implantations or corpora lutea, litter size,
    late resorptions of foetal weight. F2b litters at 1000 ppm exhibited
    an increase in early resorptions and pre-implantation loss. Increased
    renal pelvic cavitation, unilaterally or bilaterally, was found in
    2/67 foetuses from 2/12 dams at 1000 ppm of the F3b litters, as
    compared to an incidence of zero in 37 concurrent control foetuses
    from a total of 9 dams examined for visceral abnormalities. The study
    demonstrated a dietary level of 200 ppm to be without adverse effect
    on the reproductive parameters examined. There was no clear evidence
    for teratogenic potential at any dose tested. (Huntingdon Research
    Centre, 1983).

    Special Studies on Teratogenicity (Also see under "Special Studies
    on Reproduction")

    Rat

         Groups of 25 mated female rats (Wistar - Han-Schering, SPF) were
    intubated with a 70% aqueous formulation of propamocarb hydrochloride
    in water at 0, 0.1, 0.3, 1.0 or 3.0 ml/kg b.w./days from days 6
    through day 19 of pregnancy. The dams were sacrificed on day 20 
    post-coitum and foetuses were removed for gross external, visceral and
    skeletal examination. Five dams at 3 ml/kg b.w. and one dam at
    1.0 ml/kg b.w. died, but with the exception of 1/5 dams of the top
    dosage group showing severe pulmonary oedema, no abnormal findings
    were reportedly seen at autopsy. In the top dosage group, a majority
    of the dams exhibited toxic signs. Additionally, maternal weight gain
    between days 16 and 20 post-coitum was depressed and uterine weight
    was decreased. Also at the same dosage level, adverse effects were
    observed on the mean number of early resorptions or live foetuses,
    mean total litter size, incidence of pregnant dams with resorptions of
    entire litters, post-implantation loss and foetal weight. There were
    no significant differences between control and treated groups in mean
    number of corpora lutea or implantations, pre-implantation loss and
    sex ratio. Foetuses at both 1 and 3 ml/kg b.w. showed an increase
    (dose-related) in the incidence of retarded ossification. An elevated
    frequency of foetuses with 14 ribs was seen at 0.3 ml/kg b.w. and
    above, but a dose-response pattern was not evident.

         Based on the data, the compound appeared to retard foetal
    development at and above 1 ml/kg b.w. (approximately equivalent to
    700 mg a.i./kg b.w.). A dosage level of 3 ml/kg b.w. (approximately
    equivalent to 2100 mg a.i./kg b.w.) was toxic to both mothers and
    foetuses. There was however no clear evidence of teratogenic activity
    at any level under the conditions of the experiment (Poggel, et al.,
    1981).

    Rabbit

         Groups of 15 to 20 mated female rabbits (New Zealand White) were
    intubated with a 70% aqueous formulation of propamocarb hydrochloride
    in water at 0, 0.2, 0.4 or 0.8 ml/kg b.w./day from days 6 through 18
    of gestation. The does were sacrificed on day 28 of pregnancy and
    uterine contents were examined. Live young were evaluated for external
    malformation and incubated for 24 hours prior to sacrifice for
    examination for skeletal and visceral abnormalities. Mortality
    occurred in control and treated groups, but only two deaths at
    0.8 ml/kg b.w. appeared to be treatment related. The total number of
    does showing evidence of pregnancy (including those showing abortions
    or total resorption) and surviving at termination was 12, 12, 11, 10
    respectively at 0, 0.2, 0.4, 0.8 ml/kg b.w. Does at and above
    0.4 ml/kg b.w. showed weight loss on gestation day 16 and growth
    depression on day 28. Pregnancy rate, mean litter size, mean number of
    early resorptions, incidence of pregnant does with early resorptions,
    incidence of pregnant does with entire litters resorbed, post-
    implantation loss and foetal survival rate after six- and 24-hour
    incubation were all adversely affected in the top dosage group Foetal
    weight was depressed at both 0.4 and 0.8 ml/kg b.w. Cleft palate, not
    observed in any of the 71 foetuses from ten concurrent control litters
    or in any of a combined total of 133 foetuses from 18 litters of the
    two lower dosage groups, was observed in 1/21 foetuses from five
    litters examined at 0.8 ml/kg b.w. Historical control data included in
    the report on the incidence of cleft palate in foetuses of New Zealand
    White rabbits were of limited value as a basis of comparison due to
    the absence of the data in question using litter as the sampling unit
    and lack of information on the time frame over which the data were
    obtained. There were no significant differences between control and
    treated groups in the other monitored parameters including the number
    of implantations or corpora lutea, pre-implantation loss and visceral
    or skeletal malformations of pups. The study appeared to indicate the
    teratogenic no-effect level to be at least 0.4 ml/kg b.w. (equivalent
    approximately to 280 mg/ai/kg b.w.). Maternal and foetal toxicity were
    evident at this level but not at 0.2 ml/kg b.w. (Huntingdon Research
    Centre, 1981).

         Groups of 18 to 21 mated female rabbits (New Zealand White) were
    treated orally with propamocarb hydrochloride as a 70% aqueous
    formulation in water at 0, 0.02, 0.06, 0.2, 0.4 or 0.8 ml/kg b.w./day
    from day 6 to day 18 of gestation. All does were sacrificed on day
    28 post coitum and uterine contents were examined. Foetuses were
    evaluated for external, skeletal and visceral abnormalities. Mortality
    was not affected by treatment. The number of pregnant does with live

    foetuses surviving on day 28 was 11, 14, 10, 11, 7, 13 respectively at
    0, 0.02, 0.06, 0.2, 0.4, 0.8 ml/kg b.w. Pregnant does at 0.8 ml/kg
    b.w. showed weight loss on day 18 and a decrease in weight gain on day
    28. The mean number of dead foetuses per pregnant doe and the
    incidence of pregnant does with dead foetuses were increased at
    0.4 ml/kg b.w. only. The mean number of early resorptions was elevated
    and the mean foetal weight was reduced at the top dosage level. Post-
    implantation loss was increased at both 0.4 and 0.8 ml/kg b.w. Other
    measured parameters, including number of corpora lutea or
    implantations, litter size, pre-implantation loss and gross, skeletal
    and visceral findings of foetuses, were not significantly different
    from controls. Cleft palate, observed in a single foetus of the top
    dosage group (0.8 ml/kg b.w.) in a previous rabbit study (Anon.,
    1981), was not seen in any of the foetuses in the present study. The
    teratogenic no-effect level was demonstrated at 0.8 ml/kg b.w.
    (equivalent approximately to 560 mg a.i/kg b.w.) (Schering AG, 1981).

    Special Studies on Mutagenicity

         Mutagenicity studies for propamocarb hydrochloride as a 70%
    aqueous formulation are summarized in Table 1.

         Food consumption was marginally increased in males at 500 ppm
    between weeks 79 and 104. Body weight, general appearance and
    behaviour were unaffected. No gross pathological changes attributable
    to ingestion of the compound were evident. Histopathological
    examination of a wide range of tissues from all animals of control and
    top dosage groups, plus any tissue showing macroscopic abnormality
    suggestive of neoplasia revealed no treatment-related findings. There
    was no significant difference between control and treated groups in
    incidence of any particular type of tumour. The most frequently
    observed tumours were liver tumours in males, lung tumours in both
    sexes and lymphoreticular tumours in females. Over 65% of the
    concurrent controls (both sexes) had spontaneous tumours. Under the
    condition of the experiment, the test material was not carcinogenic
    (Hunter, et al., 1983a).

    Special Studies on Eye and Skin Irritation

         In primary eye irritation studies with New Zealand White rabbits,
    a 70% aqueous formulation of propamocarb hydrochloride was found to be
    slightly irritating to the eye (Schöbel 1977; Ullmann & Suter 1983a).

         Propamocarb hydrochloride, as a 70% aqueous formulation, was
    shown to be practically non-irritating to the skin when applied to the
    intact skin of New Zealand White rabbits (Ullmann & Suter 1983b).

         In New Zealand White rabbits with skin sites exposed to a 70%
    aqueous formulation of propamocarb hydrochloride (0.25 ml/site) five
    hours/day for 28 consecutive days, signs of local irritation including
    reddening, scabbing and thickening of the pithelium were noted at both
    intact and abraded sites. Additionally, the abraded sites showed

    reactions such as swelling and induration. Upon microscopic
    examination, acanthosis, hyperkeratosis and necrosis were noted in the
    abraded skin (Schöbel & Schuppler 1976).

    Special Study on Skin Sensitization

         A 70% aqueous formulation of propamocarb hydrochloride was not a
    skin sensitizer in guinea pigs (Schöbel & Schuppler 1977).

    Special Studies on Pharmacology

         In mice treated with single intraveneous doses of propamocarb
    hydrochloride as a 70% aqueous formulation, 30 mg/kg b.w. caused
    restlessness and increased motor activity. After 100 mg/kg b.w.,
    additional symptoms such as irregular breathing and exophthalmos
    appeared. Death occurred at 175 mg/kg b.w. and above consequent to the
    development of clonic convulsions. No clinical signs of toxicity or
    abnormalities in normal reflexes and autonomic function were seen at
    10 mg/kg b.w. or below. (Hara, et al., 1984).

    Special Studies on Carcinogenicity (See also under "Long Term
    Studies")

    Mouse

         Groups of 60 male and 60 female CD-1 mice, about 35 days old,
    were fed dietary levels of propamocarb hydrochloride as a 70% aqueous
    formulation at 0, 20, 100 or 500 ppm a.i. for two years. Mortality was
    not affected by treatment. At termination, about 17 - 28% males and
    42 - 52% females of control and treated groups survived. (Over 53%
    males and at least 75% females per control and treated group lived at
    least 78 weeks).

         Single intravenous doses ranging from 3 to 100 mg/kg b.w. of the
    70% aqueous formulation in mice did not produce analgesia or effects
    on any of the following parameters: convulsions induced by
    electroshock, barbital-induced anesthesia, pinnal and corneal reflexes
    and muscular relaxation or coordination. No changes in rectal
    temperature were detected in rabbits given 10 or 100 mg/kg b.w. of the
    test formulation intravenously. Transitory alterations in spontaneous
    EEG patterns were observed in rabbits treated intravenously at 100
    mg/kg b.w. but not at 10 mg/kg b.w. and below. (Hara, et al., 1984).

         Neuromuscular transmission in isolated rat diaphragm was slightly
    enhanced initially but then slightly inhibited by the formulated
    product at a concentration of 10-3 g/ml. Neuromuscular contraction in
    rat gastrocnemius was unaffected in situ after an intravenous dose
    of 100 mg/kg b.w. The test formulation, at concentrations of 10-5/ml
    and above, inhibited acetylcholine- or histamine-induced contraction
    of isolated guinea pig ileum and also acetylcholine-induced
    contraction of isolated rabbit trachea; and enhanced nor-epinephrine-
    induced contraction of isolated rat vas deferens. This concentration

    (10-5 g/ml) did not modify the spontaneous contraction of atria
    isolated from guinea-pig. The serotonin-induced contraction of
    isolated rat fundus was depressed only at concentrations of 10-4 g/ml
    and above. The oxytocin-induced contraction of isolated uterus in
    oestrous rat was unaffected even at concentrations up to 10-3 g/ml.
    (Hara, et al., 1984).

         In anesthetized rabbits, intravenous doses of the formulation at
    10 mg/kg b.w. and above produced bradycardia and antihypertensive
    activity which were not affected by pretreatment with an intravenous
    dose of 5 mg/kg b.w. of atropine. Tachycardia induced by 0.1 mg/kg
    b.w. of isoproterenol given intraveneously was not antagonized by
    intravenous administration of 30 mg/kg b.w. of the propamocarb
    formulation. Blood coagulation in rats was not significantly affected
    by an intravenous dose of 100 mg/kg b.w. of the aqueous formulation.
    In vitro clotting time of blood from the rabbit was prolonged by the
    formulation at a concentration of 10-2 g/ml but not below (Hara,
    et al., 1984).

    Acute Toxicity

         Acute toxicity of propamocarb hydrochloride to rats, mice,
    rabbits and dogs is summarized in Table 2. High doses produced
    hypokinesis, convulsion, staggering gait, ataxia and piloerection
    within 24 hours post-dosing.

    Short Term Studies

    Oral/Dietary

    Rat

         Groups of ten male and ten female rats were fed the free base of
    propamocarb hydrochloride in their diet at 0, 20, 50 or 1000 ppm for
    90 days. An additional group of the same size was given 500 ppm for
    6 weeks and 1000 ppm for the remaining 7 weeks. There was no mortality
    or abnormal behaviour. None of the parameters monitored, that is
    weekly body weight, food consumption, haematology, urinalysis,
    terminal blood chemistry, activity of plasma, erythrocyte, and brain
    cholinesterase, were adversely affected. Gross pathological changes
    and organ weights were not significantly different from those in the
    controls. Histopathological examination of a number of selected
    tissues from animals of control and top-dosage groups failed to reveal
    any treatment-related findings. The no-effect level was demonstrated
    at 500 ppm (de Rijke Köter & Leegwater, 1976).

         Groups of 30 male and 30 female rats were fed diets containing
    propamocarb hydrochloride, in the form of a 70% aqueous formulation,
    at 0, 200, 1000 or 5000 ppm a.i. for 13 weeks. No mortality or
    clinical signs were observed. Ophthalmoscopic findings, clinical
    chemistry and haematology were not influenced by treatment. Activity
    of plasma and erythrocyte cholinesterase at weeks 7 and 13 or of
    terminal brain cholinesterase, determined in 24-hour fasted animals,

    was not inhibited. In females at 5000 ppm, growth was slightly
    decreased (< 10%) frequently during the study, and water consumption
    at week 1 was reduced. Feed efficiency was decreased intermittently
    over the course of the study in males at 5000 ppm and in females at
    both 1000 and 5000 ppm. Proteinuria occurred in both sexes of all
    groups including the control at weeks 7 and 13 with the males showing
    greater degree of severity. At terminal sacrifice a decrease of
    absolute weight of liver and spleen and an increase in organ/body
    weight ratio of kidney in both sexes were evident in the high dose
    only. There were no significant gross pathological changes between
    control and treated groups. Histopathological evaluation of a number of
    selected tissues including the bone marrow plus all grossly abnormal
    tissues from each animal indicated an increase in incidence of
    granulomatous inflammation of the liver and of hyperplasia of the
    lymph node in females at 5000 ppm. The study showed the no-effect
    level to be at least 200 ppm. (Kojima & Enomoto 1982).

    Dog

         Groups of pure-bred beagle dogs (four males and four females/
    group) were fed the free base of propamocarb hydrochloride in the diet
    at 0, 50, 100, 500 or 1000 ppm for 90 days with the top dosage level
    being raised to 2000 ppm at week 7. No compound-related effects were
    observed on survival, general appearance and behaviour, growth or food
    consumption, haematology, blood chemistry and urinalysis as well as
    liver and kidney function tests. Assay of plasma, erythrocyte and
    brain cholinesterase revealed no significant inhibition.

         At terminal sacrifice, organ weights and gross pathological
    changes were not altered by the compound. Microscopic evaluation
    indicated no compound-related findings. The no-effect level was at
    least 1000 ppm (Reuzel & Til (1977).

    Dermal

    Rabbit

         Groups of New Zealand White rabbits (three animals sex/group,
    with skin abraded) were exposed dermally to propamocarb hydrochloride
    as a 70% aqueous formulation at 0, 0.2, 0.7 or 2.0 ml/kg b.w. under
    occlusive patch for a period of six-hours/day, five days/week for a
    total of 15 applications in 21 days. Treated sites were washed at the
    end of each exposure period. There were no compound-induced systemic
    effects as judged by mortality, clinical signs, haematology, blood
    chemistry, organ weight, gross pathology and histopathology.

         Mild to moderate erythema and oedema were seen in animals of all
    treated groups and increased with dosage (Field 1980).


        Table 1. Special Studies on mutagenicity of Propamocarb Hydrochloride

                                                                                                                                            

    Test                Test object                   Concentrations of             Purity    Results                 Reference
    System                                            propamocarb HCL used
                                                                                                                                            

    In Vitro

    Ames' test          S.typhimurium                 3.5-                          70%       negative                Hastwell, et al.,
    (with and           strains TA 1535,              5,000 ug/plate                aq        with or without         1977;
    without             TA100,TA1537                                                solv.     metabolic               Kojima &
    metabolic           TA1538,TA98                                                           activation              Nakajima 1981a
    activation)         E.Coli WP2uvrA

    Rec-assay           Bacillus+subtilis             500-                          70%       negative                Kojima &
                        H17 (rec±) and                10,000 ug/disk                aq        without                 Nakajima 1981b
                        M45 (rec)                                                   solv.     metabolic
                                                                                              activation

                        Saccharomyces cerevisae

    Mitotic             strain D4        )            1,000-                        70%       negative                Jagannath & Brusick,
                        gene mutation    )            10,000 ug/plate               aq.       with or without         Hoorn, 1980
                                         )                                          solv.     metabolic
    Reverse             strains S138 and )                                                    activation
    mutation            S211C            )
                                         )
    Mitotic             strain D5        )
    recombination                        )

    In Vivo

    Micronucleus        Mouse                         1,250 to 5,000                70%       negative                Richold & Richardson,
    test                                              mg/kg b.w.                    aq.                               Hossack,1980
                                                      orally                        solv.
                                                                                                                                            

    Table 1. (continued)

                                                                                                                                            

    Test                Test object                   Concentrations of             Purity    Results                 Reference
    System                                            propamocarb HCL used
                                                                                                                                            

    Dominant            Mouse                         424 to 1,237                  70%       negative                Jorgenson & Jones,
    lethal assay                                      mg/kg b.w./day                aq.                               Rushbrook,1979
                                                      for 8 weeks in                solv.
                                                      drinking water;
                                                      prior to mating
                                                      weekly for 2
                                                      consecutive weeks
                                                                                                                                            
    

        Table 2.  Acute Toxicity of Propamocarb Hydrochloride to Animals

                                                                                              

                                                LD50
    Species      Sex         Route              (mg a.i/kg b.w.)     Reference
                                                                                              

    Mouse        M + F       oral               1600 to >2858        Schöbel & Etreby,
                                                                     1976a & 1976b;
                                                                     Rushbrook, et al.,
                                                                     1982a,Kojima, et al.,
                                                                     1982a

                 M           s.c.               1710                 Kojima, et al.,
                 F                              1870                 1982b

                 M           i.p.               457                  Kojima, et al.,
                 F                              435                  1982c

                 M + F       dermal             >3000                Kojima, et al.,
                                                                     1982d

    Rat          M + F       oral               2000 to              Kojima, et al.,
                                                                     1982e

                                                8600                 Schöbel & Siegmund,
                                                                     1976a

                 M           s.c.               5220                 Kojima,et al.,1982f
                 F                              3230

    Rat          M + F       i.p.               437-763              Schöbel & Schuppler,
                                                                     1977; Kojima, et al.,
                                                                     1982g

    Rat          M + F       dermal             >3920                Schöbel & Siegmund,
                             (duration of                            1976g
                             exposure not
                             specified)

    Rat          M + F       dermal             >3000                Kojima, et al., 1982h
                             (24-hour
                             exposure)

    Rat          M + F       inhalation         >3960 mg/m3*         Robkamp &
                             (4-hour                                 Schuppler, 1976
                             "nose only"
                             exposure
                                                                                              

    Table 2.  (continued)

                                                                                              

                                                LD50
    Species      Sex         Route              (mg a.i/kg b.w.)     Reference
                                                                                              

    Rabbit       M + F       dermal             >3920                Schöbel & Siegmund
                             (duration of                            1976c
                             exposure not
                             specified)

    Dog**        M + F       oral               <674                 Kopp, et al.,
                                                                     1981a & 1981b
                                                                                              

    *  4-hour LC50
    ** 674, 1000 and 2000 mg/kg produced 3/6 mortalities with emesis of doses > 1000 mg/kg.
    

    Long-term Studies

    Rat

         Groups of 50 male and 50 female Sprague-Dawley CD rats were fed
    diets containing propamocarb hydrochloride as a 70% aqueous
    formulation at 0, 40, 200 or 1000 ppm a.i. for 104 weeks. Additional
    animals (ten males and ten females per group) were fed the same
    dietary levels for the same duration and used primarily for routine
    laboratory investigations (satellite group). Two additional groups of
    ten males and ten females were fed 0 or 1000 ppm of the test diet with
    one-half of the animals in each group sacrificed after 52 weeks and
    the remainder at the end of a four-week withdrawal period. These
    animals were subjected to macroscopic examination and organ weight
    analysis.

         Mortality was not influenced by treatment. Forty-six to 58% of
    the males and 30-44% of the females of all groups including the
    control survived at the end of two years. Over 50% of the animals
    (both sexes) of control and treated groups lived at least 91 weeks.
    Compound-related clinical signs were not apparent. No consistent dose-
    related changes were seen on body weight, food consumption and water
    intake. Haematological, clinical chemistry and urinalysis values as
    well as ophthalmoscopic findings, monitored at several intervals over
    the course of the study, were not significantly different between
    control and treated groups. Activity of tissue cholinesterase was not
    measured at any time during the study. Gross pathological changes in
    treated animals dying or sacrificed in extremis during the study and
    in those sacrificed at 52 weeks, after the four-week withdrawal
    period, or terminally were comparable to those in the control group.
    Organ weight determinations revealed no significant difference between

    control and treated groups. Histopathological evaluation of non-
    neoplastic findings was unremarkable except for an increased incidence
    of degenerative hepatocytes/necrosis in high-dose males.

         Evaluation of the neoplastic changes demonstrated an increase in
    occurrence in males of subcutaneous fibrosarcoma in the treated
    groups. Incidence of the tumour was 0/58 in controls, 5/56 (8.9%) at
    40 ppm, 2/58 (3.5%) at 200 ppm and 7/55 (12.7%) at 1000 ppm (the
    denominator denoted the number of survivors from both main and
    satellite groups at each dosage level at the end of 51 weeks when the
    first subcutaneous fibrosarcoma was detected in the males). The
    difference from concurrent controls was statistically significant at
    40 ppm and 1000 ppm. Data on background incidence of subcutaneous
    fibrosarcoma in the particular strain of rats employed in the study
    were not available in the report.

         Over 80% of the concurrent controls (both sexes) had tumours,
    with pituitary adenoma (both sexes), mammary tumours (females) and
    subcutaneous fibroma and lipoma (males), the most prevalent tumours.
    There were no other neoplastic differences between treated and control
    groups. The no-effect level for non-neoplastic effects was equal to
    8.3 mg a.i/kg b.w./day, based on food consumption and body weight data
    (Hunter, et al., 1983b).

    Comments

         Propamocarb hydrochloride was evaluated for the first time by the
    JMPR at this session.

         The compound, a carbamate fungicide, is rapidly absorbed,
    degraded and readily excreted primarily in the urine of (female) rats.
    Oxidation of the parent molecule appears to be the major metabolic
    pathway. There is no evidence of significant tissue accumulation of
    propamocarb hydrochloride and/or its metabolites. Metabolism data in
    mammalian species other than the rat are not available.

         Propamocarb hydrochloride has a relatively low order of acute
    oral toxicity in rodents, with LD5 values of over 1500 mg/kg b.w. in
    both mice and rats. Limited acute oral data in dogs appeared to
    indicate that they are more sensitive than rodents to toxicity of the
    compound.

         A three-generation reproduction study, including teratological
    investigation in rats, showed a no-effect level of 200 ppm on
    reproduction and teratogenicity. A teratology study in rats showed
    retardation of foetal development at doses which were maternally
    toxic. Teratology studies in rabbits were negative. Mutagenicity
    studies were also negative. A carcinogenicity study in mice was
    negative. A long-term study in rats showed some evidence of increased
    incidence of sub-cutaneous fibrosarcoma. Therefore, background data on
    incidence of this malignancy in the particular strain of rats are
    required.

         Ninety-day feeding studies in rats and dogs established no-effect
    levels of at least 200 ppm and 1000 ppm respectively. Inhibition of
    brain and erythrocyte cholinesterases was not observed in these
    studies.

         In view of the concerns with respect to the elevated incidence of
    subcutaneous fibrosarcoma in male rats of the long-term study and the
    non-availability of a dog study longer than three months, only a
    temporary ADI was granted.

    Level causing no toxicological effect

    Rat:      200 ppm in the diet, equivalent to 8.3 mg/kg b.w.

    Dog:      1,000 ppm in the diet, equivalent to 25 mg/kg b.w.

    Estimate of temporary acceptable daily intake for humans

    0 - 0.2 mg/kg b.w.

    Further work or information

    Required (by 1986):

    Historical data on the incidence of subcutaneous fibrosarcoma in the
    CD strain of rats used in the long-term study.

    Complete data on the 24-month dog study known to have been completed.

    Metabolism and pharmacokinetic studies in mice and rats using multiple
    dosage levels.

    Desirable:

    Observations in humans.

    Complete data on the 4-5 week feeding study in rats.

    REFERENCES

    Brühl, R. & Celorio, J. Propamocarb hydrochloride: Metabolism in rats.
    1982      Submitted by Schering AG to WHO. (Unpublished).

    Brühl, R. & Celorio, J. Metabolic pathway of propamocarb hydrochloride
    1984      in the rat. Submitted by Schering AG to WHO. (Unpublished).

    de Rijke, D., Köter, H.B.W.M. & Leegwater, D.C. Subchronic (90-day)
    1976      toxicity study with ZK17.296 in albino rats (ZK 17296 =
              SN39744 = Propamocarb). Centraal Instituut Voor
              Voedingsonderzoek, The Netherlands. Submitted by Schering AG
              to WHO. (Unpublished).

    Field, W.E. Twenty-one day dermal toxicity study in rabbits treated
    1980      with Previcur N. (Final report). CDC Research, Inc. U.S.A.
              Submitted by Schering AG to WHO. (UNPUBLISHED).

    Hara, K., Ikoma, Y. Arita, S., Tokiyori, Y., Nakata, Y., Yamano, K.,
    1984      Mizuno, M. & Oshino, N. General pharmacological activities
              of Previcur N. Nikon Schering K.K. Japan. Submitted by
              Schering AG to WHO. (Unpublished).

    Hastwell, R., McGregor, D.B. & Smith, I. Mutagenicity testing of
    1977      SN 66.752. Inveresk Research International, Scotland.
              Submitted by Schering AG to WHO. (Unpublished).

    Hoorn, A.J.W., Jagannath, D.R. & Brusick, D.J. Mutagenic evaluation of
    1980      Previcur N. Batch No. 271001B00000 in the mitotic gene
              conversion, reverse mutation & mitotic recombination assays
              in yeast. Litton Bionetics, Inc. Submitted by Schering AG to
              WHO. (Unpublished).

    Hossack, D.J.N., Richold, M. & Richardson, J.C. Micronucleus test on
    1980      CP604 (SN66752, Previcur N). Huntingdon Research Centre,
              England. Submitted by Schering AG to WHO. (Unpublished).

    Hunter, B., Jones, D.R., Heywood, R., Street, A.E. & Gibson, W.A.
    1978      Previcur N (SN66752). Assessment of whole blood & brain
              cholinesterase activities in rats after 11 days of treatment
              by oral gavage. Huntington Research Centre, England.
              Submitted by Schering AG to WHO. (Unpublished).

    Hunter, B., Watson, M., Read, R.M., Prentice, D.E., Woodhouse, R.N.,
    1983a     Cherry, C.P. & Gibson, W.A. Previcur N (SN 66752): Potential
              tumorigenicity to mice in dietary administration for 104
              weeks (final report). Huntingdon Research Centre, England.
              Submitted by Schering AG to WHO. (Unpublished).

    Hunter, B., Jones, D.R., Heywood, R., Street, A.E., Jolly, D.W.,
    1983b     Offer, J.M. & Gibson, W.A. Previcur N (SN66752): Toxicity &
              potential tumorigenicity in dietary administration to rats
              for 104 weeks. (final amended report). Huntingdon Research
              Centre, England. Submitted by Schering AG to WHO.
              (Unpublished).

    Huntingdon Research Centre. Previcur N teratology study: effect of
    1981      administration during organogensis on foetuses of the
              rabbit. Reprotox, Deutschland. Submitted by Schering AG to
              WHO. (Unpublished).

    Huntingdon Research Centre. Effect of Previcur N on reproductive
    1983      function of multiple generations in the rat. Reprotox,
              Deutschland. Submitted by Schering AG to WHO. (Unpublished).

    Kojima, K. & Nakajima, M. Mutagenicity test in bacteria with Previcur
    1981a     N. Biosafety Research Centre, Foods, Drugs & Pesticides,
              Japan. Submitted by Schering AG to WHO. (Unpublished).

    Kojima, K. & Nakajima, M. "REC" assay to detect mutagenic activity of
    1981b     Previcur N. Biosafety Research Centre, Foods, Drugs &
              Pesticides, Japan. Submitted by Schering AG to WHO.
              (Unpublished).

    Kojima, K. & Enomoto, M. Previcur N: Three-month subchronic oral
    1982      toxicity study in rats. Biosafety Research Centre, Foods,
              Drugs & Pesticides, Japan. Submitted by Schering AG to WHO.
              (Unpublished).

    Kojama, K. Seki, S. & Okamura, T. Previcur N: Acute oral toxicity in
    1982a     mice. Biosafety Research Center, Foods, Drugs & Pesticides,
              Japan. Submitted by Schering AG to WHO. (Unpublished).

    Kojima, K. Seki, S. & Okamura, T. Acute subcutaneous toxicity study in
    1982b     mice. Biosafety Research Center, Foods, Drugs & Pesticides,
              Japan. Submitted by Schering AG to WHO. (Unpublished).

    Kojima, K., Seki, S. & Okamura, T. Previcur N: Acute intraperitoneal
    1982c     toxicity study in mice. Biosafety Research Center, Foods,
              Drugs & Pesticides, Japan. Submitted by Schering AG to WHO.
              (Unpublished).

    Kojima, K., Seki, S. & Okamura, T. Previcur N: Acute percutaneous
    1982d     toxicity study in mice. Biosafety Research Center, Foods,
              Drugs & Pesticides, Japan. Submitted by Schering AG to WHO.
              (Unpublished).

    Kojima, K., Seki, S. & Okamura, T. Acute oral toxicity study in rats.
    1982e     Biosafety Research Center, Foods, Drugs, & Pesticides,
              Japan. Submitted by Schering AG to WHO. (Unpublished).

    Kojima, K., Seki, S. & Okamura, T. Acute subcutaneous toxicity study
    1982f     in rats. Biosafety Research Center, Foods, Drugs &
              Pesticides, Japan. Submitted by Schering AG to WHO.
              (Unpublished).

    Kojima, K., Seki, S. & Okamura, T. Acute intraperitonial toxicity
    1982g     study in rats. Biosafety Research Center, Foods, Drugs and
              pesticides, Japan. Submitted by Schering AG to WHO.
              (Unpublished).

    Kojima, K., Seki, S. and Okamura, T. Acute percutaneous toxicity study
    1982h     in rats. Unpublished report from Biosafety Research Center,
              Foods, Drugs and Pesticides, Japan. Submitted by Schering AG
              to WHO. (Unpublished).

    Kopp, R., Hümpel, M., Kühne, G. Aner, B., Klawa, D. & Rzadkiewicz, M.,
    1979      Pharmacokinetics of Propamocarb hydrochloride on single &
              repeated oral administration of 0.5 mg/kg in rats. Schering
              AG. Submitted by Schering AG to WHO. (Unpublished).

    Kopp, R., Günzel, P., RoBkamp, G., Schöbel, C. & Siegmund, F. Previcur
    1981a     N. Systemic tolerance test (LD50) ZK66752(CP604) in the dog
              following single oral administration. Schering AG. Submitted
              by Schering AG to WHO. (Unpublished)

    Kopp, R., Günzel, P., Bhargava, A.S., Schöbel, C. & Slabke, P.
    1981b     Influence of SN66.752 upon the acetylcholinesterase activity
              in vitro (dog & rat) and in vivo (dog) after single oral
              administration. Schering AG. Submitted by Schering AG to
              WHO. (Unpublished).

    Poggel, H.A., Kopp, R. & Günzel, P. Previcur N. (CP604).
    1981      Embryotoxicity including teratogenicity study in rats after
              daily intragastrical administration from day 6 to day 19 of
              gestation. Schering AG. Submitted by Schering AG to WHO.
              (Unpublished).

    Reuzel, P.G.J. & Til, H.P. Subchronic (90-day) feeding study with
    1977      ZK17.296 (SN39744 Propamocarb) in dogs (final report).
              Centraal Instituut Voor Voedingsonderzoek, The Netherlands.
              Submitted by Schering AG to WHO. (Unpublished).

    RoBkamp, G. & Schuppler, J. ZK66752 Acute Inhalation toxicity to the
    1976      rats (M + F) of aqueous ZK66.752 following single four-hour
              continuous exposure (LC50). Schering AG. Submitted by
              Schering AG to WHO. (Unpublished).

    Rushbrook, C.J., Jorgenson, T.A. & Jones, D.C.L. Dominant lethal study
    1979      of Previcur N. SRI International, USA. Submitted by Schering
              AG to WHO. (Unpublished).

    Schering A.G. Previcur N (CP604): embryotoxicity including
    1981      teratogenicity study in rabbits after daily intragastrical
              administration from day 6 to day 18 of gestation. Submitted
              by Schering AG to WHO. (Unpublished).

    Schöbel, C. SN66752. Eye irritation, rabbits: single application of
    1977      CP604 to the rabbit eye. Schering AG. Submitted by Schering
              AG to WHO. (Unpublished).

    Schöbel, C. & Etreby, M.F. El. ZK66752: Acute oral (i.g.) toxicity
    1976a     mice (male) single administration. Schering AG. Submitted by
              Schering AG to WHO. (Unpublished).

    Schöbel, C. & Etreby, M.F. El. ZK66752. Acute oral (i.g.) toxicity
    1976b     mice (female) single administration. Schering AG. Submitted
              by Schering AG to WHO. (Unpublished).

    Schöbel, C.J. and Schuppler, J. SN6675: Dermal toxicity study of CP604
    1976      on the intact and scarified skin of the rabbit following
              daily application for 28 days. Schering AG. Submitted by
              Schering AG to WHO. (Unpublished).

    Schöbel, C. & Schuppler, J. ZK66752. Acute i.p. toxicity rats (M + F)
    1977      single application. Schering AG. Submitted by Schering AG to
              WHO. (Unpublished).

    Schöbel, C. & Siegmund, F. ZK66752: acute oral (i.g.) toxicity rats
    1976a     (M + F) single administration. Schering AG. Submitted by
              Schering AG to WHO. (Unpublished).

    Schöbel, C. & Siegmund, F. ZK 66752: acute dermal toxicity rats
    1976b     (M + F) single administration. Schering AG. Submitted by
              Schering AG to WHO. (Unpublished).

    Schöbel, C. & Siegmund, F. ZK66752. Acute dermal toxicity rabbits
    1976c     (M + F) single administration. Schering AG. Submitted by
              Schering AG to WHO. (Unpublished).

    Ullmann, L. & Suter, B. Primary eye irritation after single
    1983a     application with Previcur N in the rabbit. Research &
              Consulting Co., AG, Switzerland. Submitted by Schering AG to
              WHO. (Unpublished).

    Ullmann, L. & Suter, B. Primary skin irritation following a single
    1983b     four-hour occlusive application with Previcur N in the
              rabbit. Research & Consulting Co., AG., Switzerland.
              Submitted by Schering AG to WHO. (Unpublished).


    See Also:
       Toxicological Abbreviations
       Propamocarb (Pesticide residues in food: 1984 evaluations)
       Propamocarb (Pesticide residues in food: 1986 evaluations Part II Toxicology)
       Propamocarb (JMPR Evaluations 2005 Part II Toxicological)