IPCS INCHEM Home


    PESTICIDE RESIDUES IN FOOD - 1983


    Sponsored jointly by FAO and WHO






    EVALUATIONS 1983





    Data and recommendations of the joint meeting
    of the FAO Panel of Experts on Pesticide Residues
    in Food and the Environment and the
    WHO Expert Group on Pesticide Residues
    Geneva, 5 - 14 December 1983

    Food and Agriculture Organization of the United Nations
    Rome 1985

    PHOXIM

    RESIDUES

    IDENTITY

    Chemical Name

    (diethoxy-thiophosphoryloxyimino)-phenylacetonitrile

    Synonyms

    VolatonR
    BaythionR
    SebacilR
    SamacuranR
    SRA 7502
    BAYER 77488

    Molecular Formula

    C12H15N2O3PS

    Structural Formula

    CHEMICAL STRUCTURE

    Other Information on Identity and Properties

    Molecular weight         298.3

    Appearance               light yellow oil liquid (pure active
                             ingredient)

    Melting point            5-6°C (pure active ingredient)

    Specific gravity         1.176 at 20° C(pure active ingredient)
                                      4°

    Vapour pressure          approximately 10-4 mm Hg at 20° C

    Solubility               in water 0.7
    (g a.i./100 g            in cyclohexanone > 60
    solvent at 20°C)         in isopropyl alcohol > 60
                             in methylene chloride > 60
                             in toluene > 60

         Minimum degree of purity 82.0 percent (pre-solution for reasons
    of stability in 9-11 percent butanol).

    RESIDUES IN FOOD AND THEIR EVALUATION

    USE PATTERN

         Phoxim is an insecticide of the group of phosphoric ester
    compounds. It is a stomach and contact poison and has a depth effect
    but no systemic effect. The initial effect is rapid, with a short to
    moderate duration, depending on the application. The active ingredient
    has a broad spectrum of activity and it is most effective against
    biting insects. Phoxim is used as foliage and soil-applied insecticide
    and as seed dressing, and is also used for application on livestock
    against mites and other ectoparasites.

         Phoxim used as insecticide on crops is registered and marketed in
    several countries, including European and Central American ones,
    Australia, South Africa, Egypt, Turkey and Taiwan (province of China).

         Phoxim is registered in six European countries, four South
    American countries and two African countries for veterinary use. An
    earlier recommendation for the use of phoxim in stored cereals has
    been withdrawn by the manufacturer, because of its long persistence in
    storage.

    Preharvest Uses

         Phoxim is formulated as emulsifiable concentrate, granules, dust
    or bait. As a foliage-applied insecticide it is mainly used on cotton,
    maize and sugarbeet for the control of lepidopterous larvae.

         Soil application of phoxim is based on a row or over-all
    treatment before, with or directly after sowing or planting.
    Therefore, the safety interval includes the entire period of
    vegetative growth before harvest. It is mainly used on potatoes. Good
    effects against locusts have been reported.

         Phoxim is used as a seed dressing at a rate of 40 g a.i./kg seed.

    Use in Animals

         The 50 percent E.C. formulation is used in 0.025-0.050 percent
    a.i. concentrations for spraying or dipping of animals against mites
    and other ectoparasites.

    RESIDUES RESULTING FROM SUPERVISED TRIALS

         Residues of phoxim were determined following foliar application
    of emulsifiable concentrates to cotton and vegetables and of dust
    powder on coffee. With the exception of tomatoes, in which residues
    ranging from 0.10 to 0.15 mg/kg were found, the residue levels in the
    other crops at the end of the safety interval were either nil or about
    the limit of determination.

    Table 1   Some Uses of Phoxim Formulations

                                                                          

    Crop                   Recommended dosage                Formulation
                                                                          

    Application to foliage

    Cotton                 1.5-2.0 kg/ha 3-10 treatments     E.C.
                           2.3 kg/ha Max. 2 treatments       ULV

    Vegetables             0.75-1.5 kg/ha. 2-3 treatments    E.C.

    Maize                  1-2.5 kg/ha. 1-3 treatments       E.C.
                           0.25-0.65 kg/ha. 1-2 treatments   GR

    Application to soil

    Vegetables             3.75-5.0 kg/ha                    E.C.
                           25-50 mg/plant                    E.C.-GR
                           2.0-5.0 kg/ha                     GR
                           0.8-1.2 kg/ha                     bait

    Potatoes               1-2.5 kg/ha row treatment         GR
                           1-7.5 kg/ha over-all treatment    GR

    Maize                  0.65-1.25 kg/ha row treatment     GR
                           2.0-7.5 kg/ha over-all treatment  GR

    Cereals                5 kg/ha over-all treatment        GR
                                                                          

         Following application of granular phoxim to soil, residue 
    levels determined in vegetables, potatoes and maize were below 
    or about the limit of detection in most crops with the exception 
    of cauliflower (0.1 mg/kg).

         Following application of phoxim as a bait formulation to 
    beans, cabbage, lettuce and spinach, no residues appeared in the 
    crops in most of the trials; measurable residues were present in 
    only a few samples.

         The results of supervised residue trials are reported in 
    Table 2.

    In animal treatments

         Phoxim is used against ectoparasites on sheep, cattle and 
    pigs at recommended concentrations of 250-500 mg a.i./l. 
    Experiments have been performed on sheep, pigs and cattle by 
    spraying or dipping with phoxim in concentrations ranging from
    500 to 3 000 mg a.i./l. Fat, muscle, liver and kidney were 
    analysed 14 to 45 days after application. In all samples of liver,
    kidney and muscle of sheep, cattle and pigs, residues were below 
    0.01 mg/kg. The highest residue, 2.8 mg/kg, was found in fat
    from sheep after a 3 000 mg/l plunge dip treatment for 1 min. 
    30 days before slaughtering. The residues in fat from sheep,
    cattle and pig ranged from non-detectable to 0.66 mg/kg. The 
    results are reported in Table 3.

    FATE OF RESIDUES

         Degradation pathways and metabolite patterns of phoxim in 
    soil and mammals have been subject to many investigations. The
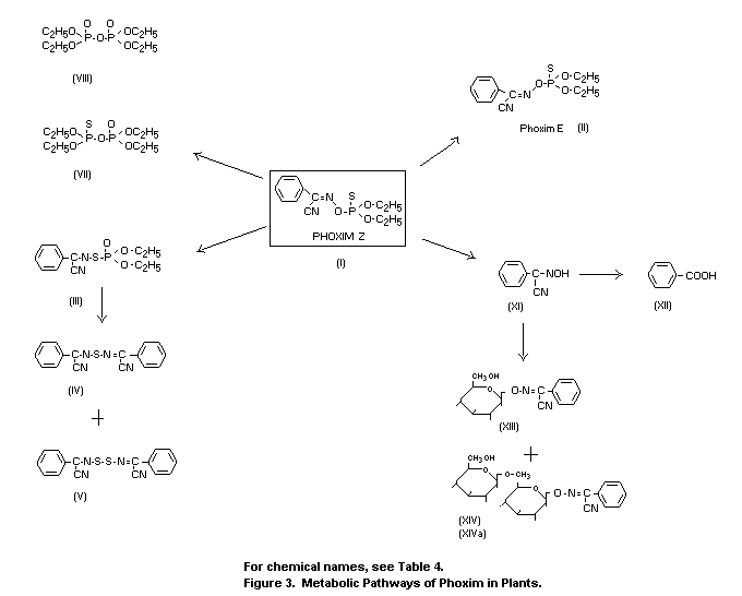
    findings of these are summarized in Figure 1 and Table 4. 
    Compounds identified in metabolism studies are referred to by 
    Roman numerals shown in Figure 1 and Table 4.

         In soil the diethyl phosphoric acid fragments (IX, X) and 
    the aromatic compounds (XI and XII), formed by hydrolysis of
    phoxim (I), were detected. The phenyl ring of (I) is further 
    oxidized to CO2 (XV) in soil.

         Metabolism of phoxim (I) in plants is governed largely by 
    its photochemical degradation and further reactions of the
    degradation products. Basically, three groups of metabolites are 
    detectable:

    -    compounds formed due to exposure of (I) to irradiation of the
         leaf surface (II, III, IV, V, VI, VIII); these include the 
         isomeric compounds (II, III) of (I) and the metabolites
         resulting from them (IV, V),

    -    hydrolysis products (XI, XII),


        Table 2   Residues of Phoxim From Supervised Trials

                                                                                                                  

                        Application/
    Crop                Formulation              Interval after      Residues
                                                 last treatment      (mg/kg)                   Country
                                                 (days)              () = No. of samples
                                                                                                                  

    Cotton              (11-13 x 1.67-2.0        7                   n.d. (2)                  United States
    (seed)              kg/ha E.C. (ULV)

    Carrots             3.75 kg/ha GR            112-158             n.d.-0.02 (0.2)           Fed. Rep. Germany1

    Beans               4x1.5-3.0 kg/ha E.C.     14                  n.d. (2)                  Egypt

    Beans               0.8 kg/ha bait           30                  n.d.-<0.05(2)             Italy
    (pod)               3.0 kg/ha                30                  n.d. (2)                  Italy

    Red cabbage         50 mg/plant GR           69                  n.d. (1)                  Fed. Rep. Germany1
                        1.2 kg/ha bait           20-100              n.d. (2)                  Fed. Rep, Germany1

    White cabbage       1.2 kg/ha bait           11-95               n.d.-0.03 (4)             Fed. Rep. Germany1
                        1.0 kg/ha E.C.           14                  n.d. (2)                  Fed. Rep. Germany1

    Cabbage             100 mg/plant             49-63               n.d.-<0.03 (3)            Finland

    Savoy cabbage       0.6-1.0 kg/ha E.C.       14                  n.d. (2)                  Fed. Rep. Germany1

    Cauliflower         2 kg/ha GR               64                  0.1 (1)                   Fed. Rep. Germany1
                        25-50 mg/plant GR        42-59               n.d. (5)                  Fed. Rep. Germany1
                        100 mg/plant             42-63               n.d.-<0.05 (4)            Finland

    Eggplant            4x0.6-1.2 kg/ha          14                  n.d. (2)                  Egypt

    Lettuce             0.8-2.0 kg/ha bait       30-110              n.d.-0.1(6)               Fed. Rep. Germany1
                        1.0 kg/ha E.C.           14                  n.d. (1)                  Fed. Rep. Germany1

    Spinach             1.2 kg/ha bait           19-36               n.d.-0.20(8)              Fed. Rep. Germany1
                                                                                                                  

    Table 2 (continued)

                                                                                                                  

                        Application/
    Crop                Formulation              Interval after      Residues
                                                 last treatment      (mg/kg)                   Country
                                                 (days)              () = No. of samples
                                                                                                                  

    Maize               0.65-1.25 kg/ha GR       109-165             n.d. (3)                  France
                        7.5 kg/ha GR             148-169             n.d. (3)                  Fed. Rep. Germany1

    Potatoes            1.5-2.8 kg/ha            78-154              n.d.-0.02(24)             United Kingdom1
                        GR                                                                     France
                                                                                               Sweden
                        4.2-7.5 kg/ha GR         78-156              n.d.-<0.01(22)            Fed. Rep. Germany1
                                                                                               United Kingdom1
                                                                                               Sweden

    Onions              3.75 kg/ha GR            154                 n.d.(1)                   Netherlands
                        5.0 kg/ha E.C.           130                 n.d.(1)                   Netherlands

    Peppers             5x0.77-1.54 kg/ha E.C.   14                  n.d.-<0.05(2)             Egypt

    Tomatoes            4x1.5-3.0 kg/ha E.C.     14                  C.10-0.15(2)              Egypt

    Barley              4.2-5.0 kg/ha GR         95-134              n.d.(4)                   Fed. Rep. Germany1
    (grains)                                                                                   United Kingdom

    Oats                5.0 kg/ha GR             97                  n.d.(1)                   Fed. Rep. Germany1
    (grains)

    Wheat               5.0 kg/ha GR             119                 n.d.(1)                   Fed. Rep. Germany1
    (grains)

    Coffee              0.94 kg/ha DP            8                   n.d.(1)                   Ivory Coast
    green
                                                                                                                  

    1    Phoxim is neither registered nor marketed.

    Table 3   Residues of Phoxim from Animal Treatments

                                                                                                            

                                       Interval
    Animal   Application  Conc.        between          Residues (mg/kg) No. of samples ()       Country
                          (mg/kg)      last treatment   Muscle    Fat         Liver   Kidney
                                       and
                                       slaughter
                                       (days)
                                                                                                            

    Sheep    Dip          1 000        30               n.d.1     n.d.-0.7    n.d.    n.d.(3)   Australia
                                       45               n.d.      n.d.        n.d.    n.d.(3)
                          2 000        30               n.d.      1.2-1.8     n.d.    n.d.(3)
                                       45               n.d.      0.5-0.6     n.d.    n.d.(3)
                          3 000        30               n.d.      1.6-2.8     n.d.    n.d.(3)
                                       45               n.d.      0.1-1.0     n.d.    n.d.(3)

             2x spray     500          21               <0.01     0.03-0.17   <0.01   <0.01(3)  South Africa
                          500          14               <0.01     0.17-0.66   <0.01   <0.01(3)
                          1 000        21               <0.01     0.20-0.52   <0.01   <0.01(3)

    Cattle   2x spray     1 000        28               <0.01     0.02        <0.01   <0.01(2)
                          1 000        14               <0.01     0.32-0.37   <0.01   <0.01(2)

    Pig      2x spray     1 000        28               <0.01     <0.01-0.13  <0.01   <0.01(2)
                                                                                                            

    1    n. d. = not detected.

    Table 4  Chemical Names and Occurrence of Compounds Identified in Metabolism Studies on Phoxim

                                                                                                                                      

    No.   Chemical names                                                                                  Occurrence
                                                        According to                          Soil      Plant     Animal    Light
                                                        Chemical Abstract Service
                                                                                                                                      

    I     (Diethoxy-thiophosphoryloxyimino)-phenyl=     Z-3,5-Dioxa-6-aza-4-phosphaoct-       X         X         X         X
          acetonitrile                                  6-ene-8-nitrile, 4-ethoxy-7-
          = Phoxim Z                                    phenyl-4-sulfide

    II    ditto                                         E-3,5-Dioxa-6-aza-4-phosphaoct-       X         X                   X
          = Phoxim E                                    6-ene-8-nitrile, 4-ethoxy-7-
                                                        phenyl-4-sulfide

    III   Diethoxy-phosphoylthioimino-phenylaceto=      3-Oxa-5-thia-6-aza-4-phospha-         X         X                   X
          nitrile                                       oct-6-ene-8-nitrile, 4-ethoxy-
          = Photoisomeres                               7-phenyl-4-oxide

    IV    N,N'-[Thio-bis(alpha-                         alpha,alpha'(Thiodinitrilo)-bis-                X
          iminophenylacetonitrile)]                     benzeneacetonitrile

    V     N,N'-[Dithio-bis(alpha-                       alpha,alpha'-(Dithiodinitrilo)-                 X                   X
          iminophenylacetonitrile)]                     bis benzeneacetonitrile

    VI    Bis-alpha-dithioiminophenylacetonitrile                                                                           X

    VII   O,O,O,O-Tetraethyldiphosphate                 Diphosphoric acid tetraethyl-                   X                   X
                                                        ester

    VIII  O,O,O,O-Tetraethylmonothiodiphosphate         Thiodiphosphoric acid tetra=                    X                   X
                                                        ethylester

    IX    O,O-Diethyl thiophosphoric acid               Phosphorothioic acid O,O,di=          X         X
                                                        ethylester
                                                                                                                                      

    Table 4 (continued)

                                                                                                                                      

    No.   Chemical names                                                                                  Occurrence
                                                        According to                          Soil      Plant     Animal    Light
                                                        Chemical Abstract Service
                                                                                                                                      

    X     Diethyl phosphoric acid                       Phosphoric acid diethylester          X                   X

    XI    alpha-Hydroxy-imino-phenylacetonitrile        Benzeneacetonitrile,                  X         X         X         X
                                                        -(hydroxy-imino)-

    XII   Benzoic acid                                  Benzoic acid                          X         X                   X

    XIII  alpha-Hydroxy-imino-phenylacetonitrile
          glucoside                                                                                     X

    XIV   alpha-Hydroxy-imino-phenylacetonitrile                                                        X
          gentio=bioside

    XIVa  alpha-Hydroxy-imino-phenylacetonitrile                                                        X
          glycoside

    XV    Carbon dioxide                                Carbon dioxide                        X

    XVI   Hippuric acid                                                                                           X

    XVII  "phoxim carbonic acid"                                                                                  X

    XVIII Desethylphoxim                                                                                          X
          (Desethyl-PO-phoxim)

    XIX   alpha-Hydroxy-imino-phenylacetonitrile                                                                  X
          glucuronide

    XX    alpha-Hydroxy-imino-phenylacetonitrile                                                                  X
          sulfate
                                                                                                                                      

        FIGURE 1

    -    carbohydrate conjugates (XIII, XIV, XIVa) of the hydrolysis
         product (XI); as carbohydrate components, glucose and 
         gentiobiose, as well as another disaccharide with an unknown 
         carbohydrate structure, were detected.

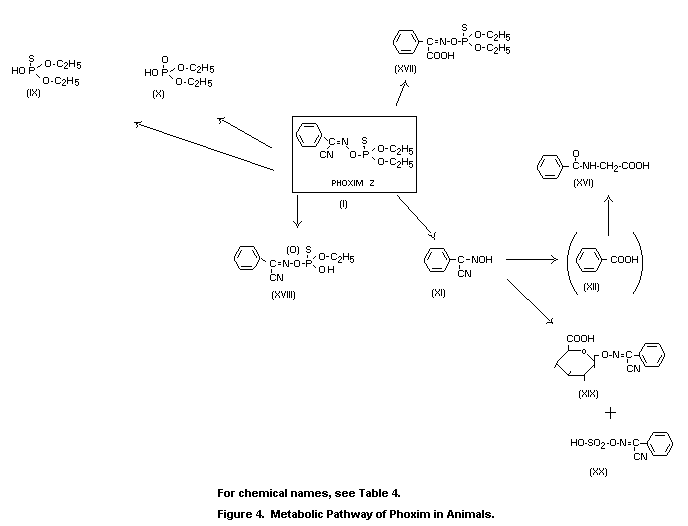
         The metabolic fate in mammals was governed by rapid and 
    almost complete absorption after oral dosing. Owing to rapid 
    elimination, essentially renal, no accumulation in organs or 
    tissues was observed. The metabolites (IX, X, XI, XVII, XVIII) 
    were formed by hydrolysis. The hydrolysis product (XI) was 
    conjugated to (XIX) and (XX) and further hydrolysed to benzoic 
    acid (XII), which was excreted as hippuric acid (XVI).

    In Soil

         The behaviour of phoxim in soil was investigated by studies 
    on leaching of unlabelled and ring-14C-phoxim in greenhouse, 
    field and laboratory experiments (soil columns and soil thin-layer
    plates); degradation under different conditions in the laboratory 
    and in the field; and metabolism of unlabelled and 
    ring-14C-phoxim in the field, in the greenhouse and in a 
    closed system.

    Leaching

         Phoxim (I) undergoes only slight leaching in soil, according 
    to both metabolism studies and specially conducted leaching 
    studies. In a greenhouse experiment, a 10 percent granular 
    formulation was applied to maize at sowing, using 
    ring-14C-phoxim; no increase in 14C radioactivity was 
    observed in the 5 to 20-cm layer (Dräger 1978b). In a 
    corresponding field experiment, 14C radioactivity of the 
    parent compound found only in the upper 10 cm of soil (Steffens 
    1978). From the results of these studies, it can therefore be 
    concluded that the metabolites also do not leach.

         Gas-chromatographic analyses of different soil layers, 
    performed after field application of a 5 percent granular 
    formulation at a rate of 100 kg/ha, yielded similar results for 
    phoxim (II) and the metabolites (III, IX and X) (Dräger 1977).

         Laboratory experiments on leaching of phoxim (I) and its 
    photoisomer (III) revealed that there were no residues in the 
    leachate after 60 h of simulated rainfall of 210 to 230 mm 
    (Dräger 1977). Analysis of the different layers of the soil column 
    showed that (I) and (III) remained in the upper 0 to 5 cm. During 
    this period, (III) underwent degradation to a residue of about 1 
    percent. The oxon of phoxim (I) (not included in the scheme of 
    formulae because its formation was not shown by the reported 
    metabolic studies) was not detectable in the soil layers or in the
    leachate, as it underwent complete hydrolysis.

         In further laboratory leaching experiments conducted with the
    parent compound and different formulations (500 E.C. 5 percent 
    granular, 4 percent bait) by the method specified in BBA Leaflet 
    No. 37 (Biologische Bundesanstalt für Land- und Forstwirtschaft 
    1980), using standard soils, no residues were found in the 
    leachate (Bayer 1972, 1974, 1977).

         In a study undertaken to characterize leaching behaviour, 
    spots of phoxim (I) and 23 other pesticides were applied on 
    thin-layer plates coated with different types of soils of varying 
    textures, ranging from non-adsorptive sand to fine textured clay. 
    The plates were developed with distilled water and the leaching 
    behaviour was determined by comparing Rf values. According to 
    leaching behaviour, the compounds were grouped into five 
    categories, ranging from immobile to highly mobile. Phoxim (I) 
    was categorized as having low mobility (Thornton et al. 1976).

    Degradation

         The half-life of phoxim (I) in soil was determined in 
    laboratory and field experiments. After application of a 5 percent
    granular formulation to bare field soils at a rate of 100 kg/ha, 
    half-lives of about two weeks were determined (Bayer 1970). In 
    laboratory experiments, addition of 3 mg/kg of phoxim to soil 
    resulted in half-lives of 1 to 11 days (Nitokuno 1977). The 
    results of the reported studies are presented in Table 5.

    Metabolism

         The studies to investigate metabolism of phoxim (I) in soil 
    were conducted with unlabelled and ring-14C-labelled 
    compounds. After incorporation of a 5 percent granular formulation
    in fallow soils with no plant cover, degradation was studied by 
    gas chromatography (Dräger 1977). With initial parent compound 
    concentrations of 4.0 mg/kg in the 0 to 15 cm layer, less than 
    0.1 mg/kg was found after two months; by day 150, the parent 
    compound concentration was less than 0.05 mg/kg. The photoisomer 
    (III) was detectable only on day 0.

         The levels of diethyl phosphoric acids (IX) and (X) declined 
    to 0.09 mg/kg (IX) and 0.05 mg/kg (X) by day 26. Details are given
    in Table 6.

         After application of a 10 percent formulation, using 
    ring-14C-phoxim (I), to maize at sowing, the compounds (XI) 
    and (XII) were detected (Dräger 1978a). Residues of both compounds
    were less than 0.1 mg/kg at 59 to 128 days after application. 
    During this period, phoxim (I) decreased in the 0 to 5-cm layer 
    from 0.33 mg/kg on day 59 to 0.10 mg/kg on day 128 (Table 7).


        Table 5   Half-lives of Phoxim in Different Soils

                                                                                                 

    Soil                                                        Application        Half-life
                                                                                                 

    Laboratory studies

    sandy loam soil 0.8 % org. matter; 13.6% clay; pH 6.5       3 mg/kg a.i.       ca. 1 day
    clay loam soil 12.7 % org. matter; 1.5% clay; pH 5.6        3 mg/kg a.i.       ca. 11 days
    sandy loam soil 5.85% org. matter; 14.0% clay; pH 5.7       3 mg/kg a.i.       ca. 9 days

    Greenhouse study

    loamy sand 0.89% C; 31.4% fines; pH 6.0                     10% granular;      ca. 8 weeks
                                                                0.5 g/m row

    Field studies

    light humus 3.2% C; 9.8% clay; 10.3% silt; pH 5.2           5% granular;       ca. 2 weeks
                                                                100 kg/ha

    loamy sand 3.8% C; 15.0% clay; 14.4% silt; pH 6.1           5% granular;       ca. 2.5 weeks
                                                                100 kg/ha

    loam soil                                                   3% microgranular;
                                                                2 × 90 kg/ha       ca. 10 days

    clay loam soil 12.7% org. matter; 1.5% clay                 3% microgranular
                                                                2 × 90 kg/ha       ca. 2 weeks
                                                                                                 
    Table 6   Metabolism of Phoxim in Soil, Field Study1

                                                                                                                                      

                          Day 0                        Day 14                      Day 26                         Day 60
    Analysed
    component2         Soil layer (cm)             Soil layer (cm)               Soil layer (cm)               Soil layer (cm)
                   0-5   5-10  10-15   0-15    0-5    5-10   10-25   0-15    0-5    5-10   10-15   0-15    0-5    5-10   10-15  0-15
                                                                                                                                      

    (I)            9.4   2.3   0.39    4.0     4.9    1.34   0.35    2.2     1.42   0.42   0.06    0.6     0.08   0.04   0.04   0.05

    (III)          1.4   1.1   n.d.    0.8     0.24   n.d.   n.d.    0.08    n.d.   n.d.   n.d.    n.d.    n.d.   n.d.   n.d.   n.d.

    (IX)           2.46  0.30  n.d.    0.92    1.09   0.06   n.d.    0.38    0.09   0.02   n.d.    0.04    n.d.   n.d.   n.d.   n.d.

    (X)            0.69  0.26  n.d.    0.32    0.10   0.06   n.d.    0.05    0.05   n.d.   n.d.    0.02    n.d.   n.d.   n.d.   n.d.
                                                                                                                                      

    1    Soil type: light humus; pH 5.2; 20.1% fines; 9.8% clay; 10.3% silt; 3.2% C. Application rate - 5 kg a.i./ha. Residue levels 
         reported in mg/kg in relation to dry material.

    2    For Roman numerals see Table 4.

    n.d. = not detected.
    
        Table 7  Metabolism of Ring-14C-Phoxim (I) in Soil1

                                                                               

    Analysed            Day 59               Day 91               Day 128
    component2      Soil layer (cm)      Soil layer (cm)      Soil layer (cm)
                    0-5       5-20       0-5       5-20       0-5        5-20
                                                                               

    (I)             0.33      0.10       0.22      0.09       0.10       0.04

    (XI)            0.06      0.01       0.05      0.01       0.04       0.01

    (XII)           0.02      0.001      0.006     0.001      0.004      n.d.
                                                                               

    1    pH 6.0; 31.4% fines; 0.89%C. Greenhouse study. Residue levels in mg/kg.

    2    For Roman numerals see Table 4.
    
         Results of studies conducted in a closed system, using 
    ring-14C-phoxim (I) incorporated as a granular formulation into the
    soil, showed that the aromatic remainder of the molecule was
    mineralized substantially to CO2 (XV) (Steffens 1978). Within 56 days
    after application, 25 to 28 percent of the applied 14C activity was
    released into the atmosphere as 14CO2.

         The metabolic pathway of phoxim in soil is illustrated in Figure
    2.

    In Plants

         The behaviour of phoxim in plants was investigated by studies of
    absorption, translocation and accumulation of ring-14C-phoxim in
    maize plants, in greenhouse and field studies, and of the metabolism
    of 32P and ring-14C-phoxim after foliar application to cotton plants
    and after injection of ring-14C-(XI) into tomato plants.

    Absorption, translocation and accumulation

         The behaviour of phoxim (I) after application as a soil
    insecticide was investigated in a greenhouse study in which a 10
    percent granular formulation was incorporated in the soil at the time
    of sowing maize. The distribution of plant-absorbed 14C activity was
    monitored in green maize and at the milk-ripe and harvest-ripe stages
    (Dräger 1978a). The results are given in Table 8.

         After application of the 10 percent granular formulation of
    phoxim to maize in a field experiment (Steffens 1978), less 14C
    activity was absorbed by the plant than in the aforementioned
    greenhouse study; for example, the harvest-ripe kernels contained 0.02
    percent, compared with 0.08 percent in the greenhouse experiment, of
    the 14C dose applied to the soil (Table 9).

    Metabolism

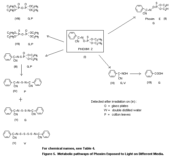
         The effect of light on the metabolism of phoxim (I) was evident
    in greenhouse studies conducted with 32P-labelled phoxim on cotton
    plants (Dräger 1971). After application of the spray solution to
    cotton leaves, the isomeric compound (III) was detected, which was
    formed solely on irradiation of the treated test plants. The
    simultaneously formed diphosphates (VII) and (VIII) were present only
    at very low levels.

         Metabolism studies with ring-14C parent compound applied to
    foliage of cotton plants are based on model experiments that provided
    further information on photolytically formed metabolites and on the
    incorporation of metabolites in plant constituents. After exposure for
    96 h to irradiation on glass plates, 1 percent (XII), 2 percent (XI),
    11 percent (II), 5 percent (III) and 5 percent of the phosphorus-free
    metabolite (V) were detected (Dräger, 1978b).

    FIGURE 2

    Table 8   14C Activity in Maize (Greenhouse Experiment)

                                                                          

                                 % of applied 14C activity

    Plant part        Green maize    Milk-ripe stage   Harvest-ripe stage
                      (day 59)       (Day 91)          (Day 128)
                                                                          

    Root              0.97           3.3               1.6

    Stem + leaves     0.27           0.47              0.68

    Cob                              0.0097

    Spike                                              0.025

    Kernels                                            0.082
                                                                          


    Table 9           14C Activity in Maize (Field Study)

                                                                          

                                 % of applied 14C activity

    Plant part        Flowering      Milk-ripe stage   Harvest-ripe stage
                      (Day 101)      (Day 129)         (Day 157)
                                                                          

    Stem + leaves     0.1            0.1               0.2

    Flowers +         0.01           -                 -
    infructescence

    Spike             -              0.01              0.01

    Kernels           -              0.01              0.02
                                                                          

         Compound (XI), the "acyl" component of phoxim, which was formed
    in both irradiation studies and soil studies, was investigated for its
    reaction with plant constituents (Dräger 1980a). Following injection
    of ring-14C-(XI) into tomato plants, three glycosides were isolated
    and identified. At 37 days after application, 13 percent of the
    applied 14C activity was present as glucoside (XIII), 4 percent as
    gentiobioside (XIV) and 16 percent as a glycoside with an unknown
    disaccharide remainder; 39 percent was accounted for by non-reacted
    (XI). Of the applied 14C activity, 23 percent was not extractable.

         Incorporation into cellulose did not take place; owing to the
    stability of the compound to hydrolysis, it is assumed to have been
    incorporated into the lignin constituents of the plant.

         Metabolism studies with ring-14C-phoxim (I) on cotton leaves in
    a greenhouse (Dräger 1980b) resulted in a metabolite pattern similar
    to that obtained in the two aforementioned model experiments. In
    addition to the compounds found in those two model experiments, a
    further phosphorus-free metabolite (IV) was detected. The bulk (85 to
    95 percent) of the metabolite mixture was present on the leaf surface
    and could be washed off with chloroform. Carbohydrate conjugates of
    (XI) were mainly present in the interior of the leaf.

         This experiment also provided confirmation of the rapid
    degradation of phoxim (I). Residues of the parent compound decreased
    with a half-life of about three days. Seven days after application,
    phoxim accounted for only 11 percent of the total activity. The
    nonextractable portion of 14C activity had increased up to 21 percent
    by day 7. It can be assumed that this portion was also incorporated in
    plant constituents (lignin).

         The metabolic pathways of phoxim in plants are illustrated in
    Figure 3.

    In Animals

         The behaviour of phoxim in animals was investigated in mice and
    rats. Absorption, distribution, excretion and metabolism of 
    ring-UL-14C-phoxim and 32P-phoxim, respectively, were studied. The
    biokinetic behaviour of ring-UL-14C-phoxim was investigated in rats
    after oral administration at dose levels of 1 mg/kg and 10 mg/kg
    (Daniel et el. 1978a). Some studies were conducted with 32P-phoxim
    on mice dosed orally with 10.5; 114 and 955 mg/kg (Vinopal & Fukuto
    1971).

    Absorption

         The compound was readily absorbed from the gastrointestinal tract
    of male rats, with average maximal plasma levels equivalent to 0.35
    and 2.44 µg phoxim/ml being achieved within 30 min. after dosing at 1
    and 10 mg/kg, respectively. No radioactivity was detected at 24 h in
    the plasma of rats dosed with 1 mg/kg, whereas a value of 0.04 µg
    phoxim equivalents/ml was recorded for rats dosed with 10 mg/kg.

    FIGURE 3

    Distribution

         The distribution of radioactivity in the organs and tissues of
    male rats intubated with 14C-phoxim at 10 mg/kg has been
    investigated. Apart from the large intestine and its contents, the
    distribution of radioactivity was essentially similar to that for
    plasma (Daniel et al. 1978a). A study has also been made of
    radioactivity in the gastrointestinal tract of male rats up to 7.5 h
    after dosing with phoxim at 1 mg/kg. In these studies, no accumulation
    of radioactivity in any organ or tissue was found.

         The studies of Vinopal & Fukuto (1971) on white mice were
    negative for the period 0 to 48 h after oral application of 114 mg/kg
    32P-phoxim (Table 10).

         The amounts of organosoluble material (which might include the
    strong anticholinesterase PO phoxim) were essentially insignificant.
    The reason for the apparent uptake of radioactivity in the urinary
    bladder of the mouse is not clear.

    Excretion

         A study was made on excretion of radioactivity in the urine and
    faeces of male and female rats given a single oral dose of 14C-phoxim
    at 10 mg/kg (Daniel et al 1978a). Male rats excreted an average of
    92.2 percent of the radioactivity in the urine and 4.9 percent in the
    faeces in ten days, while females excreted 86.1 percent of the dose in
    the urine and 6.9 percent in the faeces in the same period.

         Male rats intubated with 14C-phoxim at a dose of 1 mg/kg
    excreted 82 percent of the radioactivity in the urine and 7.9 percent
    in the faeces in ten days. The results indicate that most of the
    radioactivity was eliminated in 24 h and excretion was virtually
    complete within two days. No evidence was obtained for the presence of
    14CO2 in expired air.

         An average of 4.1 percent S.D. 2.3) of the radioactivity was
    excreted within 0-24 h in the bile of male rats intubated with 
    14C-phoxim at 10 mg/kg (Daniel et al. 1978a).

         Following oral application of 10.5, 114 and 955 mg/kg 32P-phoxim
    to mice, the ultimate recovery of administered radioactivity in the
    urine and faeces was in the range of 73 to 84 percent (Vinopal &
    Fukuto 1971). However, the radioactivity appeared in the urine and
    faeces at a much lower rate than expected. For example, 24 h after
    oral treatment of mice at 10.5 and 114 mg/kg with radioactive phoxim,
    only 43 percent and 22 percent, respectively, of the administered
    radioactivity was excreted in the urine. At 955 mg/kg, only 17 percent
    of the administered radioactivity was excreted in the urine after 
    30 h.

    Metabolism

         Studies by Daniel et al. (1978b) with ring-UL-14C-phoxim on
    rats produced the metabolic pathway shown in Figure 4. Phoxim was
    largely absorbed and was detected in plasma as a dealkylated compound
    in the P=S and P=O form. The radioactive metabolites in the urine of
    rats at 0 to 24 h after oral application of 10 mg/kg consisted of
    about 90 percent sulphate and glucuronide conjugates that were
    hydrolysed enzymatically to alpha-hydroxy-imono-phenylacetonitrile
    (XI), as demonstrated by thin-layer chromatography and mass
    spectrometry. Hippuric acid was detected as a metabolite by inverse
    isotope dilution analysis; it represented about 5 percent of the
    radioactivity eliminated through the kidneys.

         Radioactive urine from white mice after oral treatment with 
    32P-phoxim was analysed by ion-exchange and thin-layer chromatography
    (Vinopal & Fukuto 1971). Five metabolites were recovered after
    treatment with 32P-phoxim at 114 mg/kg and 955 mg/kg. The identity of
    the metabolites was established by thin-layer chromatography with
    specific staining reagents and/or IR-spectroscopy. The metabolites
    were identified as diethylphosphoric acid (X), phoxim (I), phoxim
    carboxylic acid (XVIII), O,O-diethyl phosphorothioic acid (IX) and
    either desethyl phoxim or desethyl PO phoxim (XVIII). The amounts of
    radioactivity relative to total radioactivity renally eliminated are
    summarized in Table 11.

    Photodegradation

         The U.V. spectrum of phoxim (in methanol) shows a relatively
    long-wave peak at 282 nm (… = 11.180); its long wavelength absorption
    edge overlaps with the sunlight emission in the troposphere (lambda 
    > 290 nm). In the environment, direct interaction of the molecule
    with sunlight is, therefore, possible (Wilmes 1981).

         Experiments using double-distilled water (5 ng/kg, 0.5 percent
    acetonitrile) yielded very short half-lives. The half-life was less
    than 10 min with TQ 150 high-pressure mercury lamps (Duran filter,
    laubda > 290 nm) and about 2 h with sunlight-simulating fluorescent
    tubes (TRU LITE) (Wilmes 1981).

         The results of studies on cotton leaves and glass plates with
    differently labelled phoxim (Dräger 1971, 1978a) are indicative of the
    significance of photodegradation in this compound. Among others, a
    photoisomerization product (III) was isolated and identified, which
    was also detected in chlorphoxim (Dräger 1972) and methylphoxim
    (Dräger 1975) derivatives. After exposure of phoxim to irradiation on
    glass plates, the metabolites III, V, VII, VIII, XI and XII were
    isolated and identified. Partial isomerization of the Z-isomer (I),
    prevalent in the technical grade compound, to the E-isomer (II) was
    also observed.

    Table 10  Summary of Autopsy Data on a White Mouse
              after Oral Treatment with 32P-phoxim1

                                                                
                         % Recovered internal radioactivity
                                                                
    Organ                Organo-      Water-        Total
                         soluble      soluble
                                                                

    Brain                0.07         0.14          0.21
    Thymus gland         0.01         0.05          0.06
    Hind leg muscle      n.d.         0.54          0.54
    Heart                0.01         0.23          0.24
    Kidney               0.03         0.13          0.16
    Liver                0.05         1.60          1.65
    Gut                  0.17         8.60          8.77
    Urinary bladder      2.10         86.30         88.40

    Total                2.44         97.59         100.0
                                                                

    1    Postmortem examination 48 h after dosing with
         114 mg/kg 32P-phoxim.


    Table 11  Metabolites in Urine from White Mice after Treatment 
    with Phoxim

                                                                

    Metabolite1             % of radioactivity in urine
                                                                
                         114 mg/kg dose      955 mg/kg dose
                         (after 24 h)        (after 30 h)
                                                                

    X                        58.9                43.1
    I                         1.1                 2.1
    XVII                      2.8                23.6
    IX                       20.0                17.7
    XVIII                     6.2                 5.0
    RA not in peaks           4.3                 5.4
    unrecovered2              6.7                 3.1
                                                                

    1    For chemical names, see Table 4.
    2    Unrecovered after ion-exchange column chromatography.

    FIGURE 4

    FIGURE 5

         Photoproducts detected in aqueous solution (50 percent
    acetonitrile), after complete degradation of the parent compound, were
    alpha-cyanobenzaldoxime (XI) and bis-alpha-
    dithioiminophenylacetronitrile (VI) (Wilmes 1981).

         Pao (1975) reported studies conducted to investigate degradation
    of phoxim on tea leaves under natural conditions (sunlight) and in the
    laboratory (UV light). In both cases, distinct photodegradation was
    observed. The same results were obtained in studies on glass plates
    and tomato leaves (Makari et al. 1981).

    In Storage and Processing

         The stability of phoxim residues during storage at -20°C was
    monitored on lettuce over a period of 2.5 years. From regression
    curves plotted for the determined residue values in relation to time,
    assuming a first-order reaction, it was evident that no significant
    decrease in the phoxim residues occurred during low-temperature
    storage (Dräger 1982).

         The stability of phoxim residues in grain stored at 26.7°C was
    monitored for 12 months after application of phoxim at 5, 10 and 20
    mg/kg to maize, wheat and sorghum. Only minor losses were recorded
    during this period (LaHue & Dicke 1971).

         Wheat grains fortified with 8 mg/kg phoxim were milled in an
    experimental study. The flour from the first and second milling
    operations, which accounted for 73 percent of the total material
    milled, contained 13 percent of the applied phoxim dose; a phoxim
    content of 1.3 mg/kg was determined by measuring 32P activity. The
    bulk of phoxim was present in the middlings and semolina, accounting
    for 35 percent and 43 percent, respectively, of the applied phoxim
    dose. These milled fractions represented only 11 percent and 7
    percent, respectively, of the total milled material; therefore, their
    content of phoxim amounting to 23 mg/kg and 44 mg/kg, respectively,
    was substantially higher than that in flour (Dräger 1968). Extraction
    of wheat bread made from the milled fractions 1 and 2 showed that the
    major portion of the degradation products that arise from phoxim
    during the baking process, either due to chemical decomposition or as
    a result of enzymatic degradation, were present in the form of highly
    polar, water-soluble compounds. Further quantitative analyses were
    performed by gas-chromatography on whole-meal bread made by baking the
    whole of the milled material; 65 percent of the applied phoxim was
    split into diethyl thiophosphoric acid during the baking process. It
    was also observed that no more unchanged parent compound was present
    (Dräger 1968).

         The effect of boiling on residues of phoxim and phoxim-oxon was
    studied in potatoes. The phoxim residues were reduced by 86 percent
    during boiling; of the remaining residue, one fifth was present in the
    water used for boiling. The oxon of phoxim was reduced by 91 percent
    during boiling; of the compound still present, two thirds was found in
    the water used for boiling (Dräger 1978c).

    METHODS OF RESIDUE ANALYSIS

         Residues of phoxim in plant and soil samples can be determined by
    gas chromatography using a phosphorus-specific flame-photometric
    detector or a thermionic phosphorus detector. These methods
    simultaneously determine the P=O compound of phoxim (Bowman & Leuck
    1971; Dräger 1969 a,b; Thornton 1969). Thin-layer chromatography has
    also been used for determining phoxim residues (Bykhovets 1974; Pao
    1975).

         For the extraction of residues from plant material, acetone,
    acetonitrile, chloroform or benzene was used. For Soxhlet extraction
    of plant material, a mixture of 10 percent methanol in benzene was
    used (Bowman & Leuck 1971). Soil samples were extracted with methanol.
    Isolation of the residues from the extracts were achieved by
    partitioning with N-hexane or chloroform. Separation of co-extracted
    plant constituents was achieved by precipitating with a solution of
    ammonium chloride/phosphoric acid or by partitioning between
    acetonitrile and N-hexane. For column-chromatographic cleanup of the
    extracts, silica gel or activated charcoal/aluminium oxide was used.

         Owing to the termal instability of phoxim, it is necessary, for
    gas-chromatographic determination of the parent compound, to use
    supports coated with, for example, 5 percent OV-101 on Gas Chrom Q or
    2 percent DC-200 + 1 percent (or 2 percent) QF-1 on Gas Chrom Q.
    Injection port and column temperatures were set at 160° - 170° (Dräger
    1969a,b; Bowman & Leuck 1971; Thornton 1969).

         For thin-layer chromatographic detection of residues, silica gel
    plates were used with the following solvents and reagents: 
    N-hexane/acetone 4:1 - bromophenol blue/silver nitrate (Bykhovets
    1974) and benzene/butane 1:1 - Congo Red (Pao 1975). The lower limit
    of determination for gas-chromatographic detection of residues in
    plant and soil samples was usually 0.05 mg/kg; in special cases,
    residues were determined down to a level of 0.004 mg/kg. For 
    thin-layer chromatographic determination in tea, the lower limit of
    determination was found to be 0.5 mg/kg (Pao 1975).

         Residues on phoxim in animal tissues can be determined by 
    gas-liquid chromatography, using a thermionic detector or, preferably,
    a flame photometric detector. Residues are extracted from tissues with
    hexane in a Waring blender and by soaking after addition of anhydrous
    sulphate. The extract is cleaned up by partitioning with acetonitrile
    and residues are transferred to hexane for the GLC-determination. A 
    2 percent OV-101 glass column may be used. The limit of determination
    has been reported as 0.05 mg/kg (Hopkins 1980).

         Residues of phoxim and its oxygen analogue in milk have been
    determined by thin-layer chromatography after extraction with ethyl
    acetate and cleanup of the extract by partitioning with acetonitrile
    and hexane. A homogenate of bee-heads is used for determination of the
    cholinesterase inhibition effect. The limit of determination has been
    reported as 0.01 mg/kg (Ernst 1980).

         In an interference study, performed to determine whether any of
    the organophosphorus compounds registered for use on bananas to
    control insect pests would interfere with the method for 
    gas-chromatographic determination of phoxim, no interferences were
    observed from any of the compounds and metabolites examined (Olson
    1974).

    NATIONAL MAXIMUM RESIDUE LIMITS

         National maximum residue limits (MRLs) and associated preharvest
    intervals reported to the Meeting are shown in Table 12.

    APPRAISAL

         Phoxim is a nonsystemic contact and stomach organophosphorus
    insecticide. It is registered and used in a number of countries and is
    especially effective against biting insects. It is applied both to
    foliage and soil and is also used as a seed dressing. Phoxim is
    registered for veterinary use against ectoparasites.

         When applied to vegetable foliage, the dosage rates are 0.75 kg
    to 1.5 kg a.i./ha and on cotton the rate is 1.5 to 2.3 kg a.i./ha.
    Phoxim is applied as a soil treatment to vegetables, using
    emulsifiable concentrates, baits or granules at dosage rates of 0.8 to
    5.0 kg a.i./ha. Phoxim is applied as granules for soil treatment to
    potatoes at a dosage rate of 1.5 to 7.5 kg a.i./ha as a soil treatment
    for grains using 5.0 kg a.i./ha of granular formulation.

         Residues in crops following foliar and soil treatment are
    generally below 0.2 mg/kg and average values are generally below the
    limit of determination (0.004 to 0.05 mg/kg). Residues in grains (oat,
    barley, wheat and maize) with soil treatment before sowing were all
    below the limit of determination. Also, residues with soil treatment
    before or at sowing or planting of beans, cauliflower, cabbage and
    onions were below the limit of determination. Average residues in
    potatoes after soil treatment were below the limit of determination,
    with the highest single value being 0.02 mg/kg. Residue after foliar
    treatment in vegetables were low, with the highest average value being
    0.13 mg/kg (tomatoes) and the highest single value 0.20 mg/kg
    (spinach).

        Table 12  National Maximum Residue Limits and Preharvest Intervals
              Reported to the Meeting

                                                                                                 

    Country                 Crop                          MRL             Preharvest interval
                                                          (mg/kg)         (days)
                                                                                                 

    Australia               Potatoes                      0.05

    Austria                 All food crops                0.05

    Czechoslovakia          Potatoes                                      14

    Fed. Rep. Germany       All food crops                0.05

    Italy                   Fruit                         0.05            42
                            Vegetables                    0.05            42

    Luxembourg              All food crops                0.05

    The Netherlands         Vegetables                    0.05
                            Milk & milk products          0.01

                            Meat & meat products          0.01 -> 0.05
                            Other products                0 -> 0.05

    South Africa            Cereals                       0.2
                            Peanuts                       0.2

    Spain                   General                                       15

    Thailand                Maize                                         15
                            Cotton                                        15
                            Potatoes                                      15
                            Sorghum                                       15
                            Vegetables                                    15

    Soviet Union            Brassicas                                     20
                            Eggplant                                      20
                            Perennial grasses                             20
                            Potatoes                                      20
                            Sugarbeet                                     20
                            Tomatoes                                      20

    Yugoslavia              All crops                     0.05
                                                                                                 
    
         In experimental treatment of sheep, cattle and pigs with phoxim,
    by dipping or spraying, dosages ranged from 500 to 3 000 mg/l. At
    slaughter, 14 to 45 days after treatment, no residues were observed in
    samples of liver, kidney or muscle. However, residues were found in
    fat from all animals, ranging from the limit of determination to 2.8
    mg/kg, depending on treatment and waiting period.

         In laboratory and field experiments phoxim degradation was
    observed in different soil types, with half-lives from one day to
    about two weeks, but in a greenhouse study the half-life was about
    eight weeks. The main metabolites of phoxim in soil were 
    alpha-hydroxy-imino-phenylacetonitrile and benzoic acid, both formed
    by hydrolysis, but diethyl phosphoric acids were also found in soil.

         Laboratory and field leaching experiments in soil showed that
    phoxim did not reach a depth below 5 cm and 10 cm, respectively, in
    the laboratory and field.

         Phoxim or its metabolites were found in roots, stems and leaves
    of maize after soil treatment. The cobs, spikes and kernels contained
    very little phoxim or metabolites. After foliar treatment, the leaves
    contained phoxim and metabolites, but most of these were present on
    the surface of the leaves and could be removed with chloroform.

         The metabolites formed in or on plants consisted of an isoner:
    diethoxy-phosphoryl-thioimino-phenyl-acetonitrile, which was formed
    mainly by irradation of the plant, together with minor amounts of
    tetraethyl diphosphate and tetraethyl mono-thio-diphosphate. The
    "acyl"-compounds (phosphorous-free metabolites) formed by hydrolysis
    reacted with plant constituents to three glycosides. The parent
    compound degraded rapidly; after seven days only 11 percent of the
    total activity was attributable to phoxim.

         Investigations on animal metabolism were made in rats and mice.
    No information was available on metabolism in cattle, pigs and poultry
    for evaluation of residues of phoxim and its metabolites in animal
    products.

         Experiments were carried out on the stability of phoxim during
    storage. Lettuce stored at -20° C for 2.5 years showed no significant
    decrease in phoxim content.

         Flour milled from grain fortified with phoxim contained 13
    percent of the applied phoxim, while middlings and semolina accounted
    for 35 percent and 43 percent, respectively, of the applied dose.
    Bread made from flour containing phoxim did not contain unchanged
    parent compound. Phoxim residues in potatoes were reduced by 91
    percent during boiling.

         Residues of phoxim in plant and soil samples can be determined by
    gas-liquid chromatography with a flame photometric detector or a
    thermonic detector. Thin-layer chromatography has also been used for
    determining phoxim residues. Extraction can be made from plant
    material with acetone, acetonitrile, chloroform or benzene. For
    Soxhlet extraction, 10 percent methanol in benzene has been used. Soil
    is extracted with methanol. Residues of phoxim in animal tissues are
    extracted with hexane and residues in milk with ethylacetate. Cleanup
    of extracts has been achieved by partitioning, precipitation with
    ammonium chloride/phosphoric acid and/or column chromatography.

    RECOMMENDATIONS

         The following levels are recommended as MRLs, which need not be
    exceeded when phoxim is used according to good agriculture practice.
    The limits refer to the parent compound only.


                                                                          
    Commodity               MRL                 Preharvest intervals
                                                on which recommendations
                                                are based
                                                                          

    Cereal grains           0.05**              1)
    Lettuce                 0.1                 14 days
    Beans                   0.05**              14  lays
    Cauliflower             0.05**              42 days
    Potatoes                0.05**              1)
    Tomatoes                0.2                 14 days
    Cotton seed             0.05**              14 days
                                                Interval between treatment
                                                and slaughtering
    Cattle, carcase         0.02
    meat                    (in carcase fat)    28 days

    Sheep, carcase meat     1 (in carcase       28 days
                            fat)
                                                                          

    1)   Soil treatment at sowing or planting.
    **   Level at or about the limit of determination.


    FURTHER WORK OR INFORMATION

    Desirable

    1.   Residue data in milk from treatment of cattle and residue data in
         fat from treatment of pigs.

    2.   Studies on metabolism of phoxim from treatment of cattle, pigs
         and sheep.

    3.   Information on good agriculture practice in the use of phoxim on
         vegetables.

    REFERENCES - RESIDUES

         Mobay reports are unpublished reports prepared by the R & D Dept.
    of Mobay Chemical Corporation, Agricultural Chemicals Division, Kansas
    City, Mo. 64120, USA.

         Nitokuno reports are unpublished reports prepared by Nihon
    Tokushu Noyaku Seizo, K.K., No. 8, 2-chome, Nihonbashi Muro-machi,
    Chuo-ku, Tokyo, Japan.

    Bayer. Pflanzenschutzmittel-Rückstände. Reports Nos. 165-166/70.
    1970      (Unpublished)

    Bayer. Pflanzenschutzmittel-Rückstände im Sickerwasser. Reports Nos.
    1972      283-288/72; Reports Nos. 3003-3004/74; Reports Nos. 3020-
    1974      3022/77. (Unpublished)
    1977

    Biologische Bundesanstalt für Land- und Forstwirtschaft. Prüfung des
    1980      Versickerung-sverhaltens von Pflanzenschutzmitteln.
              Merkblatt Nr. 37, 2. Auflage.

    Bowman, M.C. & Leuck, D.B. Determination and persistence of phoxim and
    1971      its oxygen analog in forage corn and grass. J. Agric. Food
              Chem., 19: 1215-1218.

    Bykhovets, A.J. Thin-layer chromatographic method to determine Basudin
    1974      and Valexon in a plant sample. Aktual. Vopr. Zashch. Rast.
              BSSR, Mater, Resp. Konf, Molodykh Uch., 1: 81-82.

    Daniel, J.W., Swanson, S. & McLean, J. Phoxim - Pharmacokinetics and
    1978a     biotransformation in the rat. Life Science Research, U.K.
              Report 78/BAG5/194. (Unpublished)

    Daniel, J.W., McLean, J. & Pringuer, M. Phoxim - Biotransformation in
    1978b     the rat. Life Science Research, U.K. Report 78/BAG5/317.
              (Unpublished)

    Dräger, G. Studies on the metabolism of BAY 77 488. Bayer AG,
    1968      Pflanzenschutz-Anwendungstechnik, Report. (Unpublished)

    Dräger, G. Gaschromatographische Methode zur Bestimmung von RValexon
    1969a     Rückständen in Pflanzen. Pflanzenschutz-Nachr. Bayer,
              22:311-317 (1969a)

    Dräger, G. Rückstandsanalytik von Pflanzenschutzmitteln. DFG-
    1969b     Methodensammlung, 1. Lieferung 1969; methode Nr. 307.

    Dräger, G. Studies on the metabolism of phoxim (BAY 77 488).
    1971      Pflanzenschutz-Nachr. Bayer, 24: 239-251.

    Dräger, G. Reaction products of chlorphoxim (BAY 78 182) formed by
    1972      exposure of the parent compound to irradiation.
              Pflanzenschutz-Nachr. Bayer, 25: 32-42.

    Dräger, G. Metabolisierung von Phoxim-methyl durch Belichtung. Bayer
    1975      AG, Pflanzenschutz-Anwendungstechnik report RA-57.
              (Unpublished)

    Dräger, G. Studies on the fate of phoxim (BAY 77 488) in soil.
    1977      Pflanzenschutz-Nachr. Bayer, 30:28-41.

    Dräger, G. Untersuchung des Metabolismus von 14C-ringmarkiertem
    Phoxim
    1978a     in Mais und Boden nach Anwendung enies Granulates. 1. 14C-
              Bilanz und Metabolismus im Boden. Bayer AG, Pflanzenschutz-
              Anwendungstechnik report RA-278. (Unpublished)

    Dräger, G. Untersuchung des Metabolismus von Phoxim; Belichtung von
    1978b     14C-ringmarkiertem Wirkstoff auf Glassplatten. Bayer AG,
              Pflanzenschutz-Anwendungstechnik report RA-618.
              (Unpublished)

    Dräger, G. Stability of phoxim residues during boiling of potatoes.
    1978c     Bayer AG, Pflanzenschutz-Anwendungstechnik report RA-843.
              (Unpublished)

    Dräger, G. Untersuchung zum Metabolismus von Phoxim; Metabolismus
    1980a     des Abbauproduktes alpha-Hydroxyiminophenolacetonitril in
              Tomatenpflanzen. Bayer AG, Pflanzenschutz-Anwendungstechnik
              report RA-106. (Unpublished)

    Dräger, G. Untersuchung des Metabolismus von Phoxim auf
    1980b     Baumwollblättern. Bayer AG, Pflanzenschutz-Anwendungstechnik
              report RA-208. (Unpublished)

    Dräger, G. Stability of phoxim residues in lettuce during low
    1982      temperature storage. Bayer AG, Pflanzenschutz-
              Anwendungstechnik, report RA-69. (Unpublished)

    Ernst, G. F., Brinkman, M.B.C. & Mattern, E.M. Methode van onderzoek
    1981      voor het bepalen van residuen van foxim en foxon im melk.
              KvW Utrecht, IR/71/80/R79-Okt.

    Hopkins, T., Lemprecht, C. & Lindsay, G. Bay 9053 - 50% w/v E.C. -
    1980      residues - sheep. Bayer Doc. No. 80/9955.

    LaHue, D.W. & Dicke, E.B. Phoxim as an insect protectant for stored
    1971      grains. J. Econ. Entomol., 64: 1530-1533.

    Makari, M.H., Riskallah, M.R., Hegazy, M.E. & Belal, M.H. Photolysis
    1981      of phoxim on glass and on tomato leaves. Bull. Environ.
              Contam. Toxicol. 26: 413-419 (1981).

    Nitokuno. Residual analysis results of VolatonR (phoxim) in upland
    1977      soil. Report No. 1058 (RA). (Unpublished)

    Olson, T.J. An interference study for the residue method for Volaton
    1974      determination on bananas. Mobay Report No. 40 095.
              (Unpublished)

    Pao, K.C.H. Residue studies of phoxim (Baythion) on the tea bushes.
    1975      Acta Entomol. Sin., 18: 133-139.

    Steffens, W. Bilanzversuche mit (benzolring-U-14C) Phoxim nach
    1978      Verwendung als Bodeninsektizid zu Mais in einem
              Freilandlysimeter und einem geschlossenen System im
              Gewächshaus. Kernforschungsnalage Jülich, Institut für
              Radioagronomie, report ARA 14/78. (Unpublished)

    Thornton, J.S. Determination of residues of BAY 77 488 in stored
    1969      grains. Mobay report No. 24 575. (Unpublished)

    Thornton, J.S., Hurley, J.B. & Obrist, J.J. Soil thin-layer mobility
    1976      of 24 pesticides chemicals. Mobay report No. 51 016.
              (Unpublished)

    Wilmes, R. Orientierende Lichtstabilität (Phoxim). Bayer AG,
    1981      Pflanzenschutz-Anwendungstechnik report. (Unpublished)

    Vinopal, J.H.A. & Fukuto, T.R. Selective toxicity of phoxim
    1971      (phenylglyoxylonitrile oxime 0,0-diethyl phosphorothioate).
              Pestic. Biochem. Physiol., 1: 44-60.


    See Also:
       Toxicological Abbreviations
       PHOXIM (JECFA Evaluation)
       Phoxim (Pesticide residues in food: 1982 evaluations)
       Phoxim (Pesticide residues in food: 1984 evaluations)
       Phoxim (Pesticide residues in food: 1984 evaluations)