IPCS INCHEM Home


    PESTICIDE RESIDUES IN FOOD - 1983


    Sponsored jointly by FAO and WHO






    EVALUATIONS 1983





    Data and recommendations of the joint meeting
    of the FAO Panel of Experts on Pesticide Residues
    in Food and the Environment and the
    WHO Expert Group on Pesticide Residues
    Geneva, 5 - 14 December 1983

    Food and Agriculture Organization of the United Nations
    Rome 1985


    BUTOCARBOXIM

    IDENTITY

    Chemical Name

    3 methylthio-O-[(methylamino)carbonyl] oxime-2-butanone (C.A.)

    3-(methylthio)butanone O-methyl-carbamoyloxime (IUPAC)

    Synonyms

    Drawin 755(R), Afilene(R), Afort(R), CO 755, Wac 755

    Structural Formula

                    O   H
                    "   '
                O - C - N - CH3
               /
          H   N
          '   "
    CH3 - C - C - CH3
           '
           S
             \
               CH3

    Other information on identity and properties

    Empirical Formula        C7H14N2O2S.

    Molecular Weight        190.3

    Appearance            Almost colourless, viscous liquid, partly
                          crystallized.

    Purity                95-97 percent for technical product.

    Solubility            Readily soluble in most organic solvents;
                          sparingly soluble in petrol and carbon
                          tetrachloride. Soluble up to 3.1 percent
                          in water.

    Vapour pressure       8 × 10-5 Torr

    Density               1.12 g/ml at 20°C

    Melting point         34-37° (syn isomer)

    Stability             Decomposes above 80°C. Stable in neutral
                          solutions.

    Isomers               85 percent syn isomer (formula I) and
                          15 percent anti isomer

    Formulations          Available formulations are emulsifiable
                          concentrates, 25 percent and 50 percent
                          active ingredient.

    RESIDUES

    RESIDUES IN FOOD AND THEIR EVALUATION

    USE PATTERN

           Butocarboxim is a systemic insecticide, which is sprayed onto
    plant foliage for the control of sucking insects such as aphids, the
    citrus whitefly, leaf miners, etc. It also has a good secondary effect
    on mites.

           At present butocarboxim is commercially applied in the Federal
    Republic of Germany, Luxembourg, Italy, Portugal, Spain, Israel, the
    Netherlands and Taiwan province of China. Marketing is expected to
    follow soon in the Soviet Union, Central America, France, Peru,
    Morocco, Mexico, Turkey and Brazil. Approximately 350-400 tons
    (1 ton = 0.09072 metric tonnes) of technical product are applied each
    year in the first eight countries named, being allotted to the
    following crops: citrus, 60-65 percent; cotton, 15-20 percent; stone
    and pome fruit, 5-7 percent; vegetables, 2-4 percent; ornamentals,
    2-4 percent.

           After marketing is begun in the other countries, a total volume
    of 500-600 tons of technical product is expected to be reached.

    Preharvest Uses

           The recommended application of butocarboxim under good
    agricultural practice (GAP) is given in Table 1.

    Other Uses

           Butocarboxim is also applied to ornamentals in professional and
    home gardens at 1 to 2 applications per season at the following rates:
    foliar ca. 0.05-0.75 g/l; soil drench ca. 0.75-1 g/l; hydroponic ca.
    0.5-0.75 g/l.

        Table 1   Foliar Dosage Rates on Various Crops
                                                                                   

                                  Rate of use              Applications/  Preharvest
    Crop                          (kg a.i./ha/treatment)   season         interval
                                                           (No.)          (days)
                                                                                   

    Citrus         citron
                   lemon
                   orange         2.5 - 3.5                1-2            21
                   mandarin
                   grapefruit

    Cotton                        1 - 1.25                 2-4

    Pome fruit     apple          1 - 1.5                  1-2            14
                   pear

    Stone fruit    peach
                   plum           1 - 1.5                  1-2            21
                   cherry

    Vegetables     bean                                                   7
                   tomato                                                 3
                   lettuce                                                21
                   cabbage        0.3 - 0.75               1-2            21
                   sweet pepper
                   eggplant
                   bamboo shoot
                                                                                   
    
    RESIDUES RESULTING FROM SUPERVISED TRIALS

           Field and glasshouse trials have been conducted on relevant
    crops, primarily in the Federal Republic of Germany, but also where
    appropriate in the Netherlands, Spain, Italy, France and the United
    States. Results are summarized in Table 2 (Wacker Chemie GmbH 1983).

           Field trials on apples in Germany at treatment levels of 0,3 to
    2 kg/ha gave residues (sum of butocarboxim and its metabolites)
    ranging from 0.02 to 2.15 mg/kg at 14 days post-treatment. The value
    of 2.15 appears anomalous compared to the bulk of the data in which a
    high value of about 1.13 mg/kg is more prevalent. There were no data
    available for pears or quinces.



        Table 2  Residues of Butocarboxim and its Metabolites at Harvest
                                                                                                                                      

                   Year and       Applications (No.)                    After application (days)                                 Report
    Crop           country        and rate (a.i.)                         and Residues (mg/kg)                                   No.
                                                                                                                                      

                                                      0         1         6-8       13-15     20-22     26-30
                                                                                                               
    Apple          1973           1 × /               0.29     0.12      0.29       0.05      0.03       0.031                    244
                   Germany,       2 kg/ha             0.26     0.14      0.51       0.62      0.16       0.172
                   Fed. Rep.
                                                      0.77     0.47      0.94       0.73      0.05       0.08                     245
                                                      0.52     0.52      0.52       0.40      0.52       0.67
                                                      0.27     0.14      0.10       0.06      0.05       0.13                     246
                                                      0.14     0.10      0.34       0.33      0.18       0.30
                                                      0.45     0.12      0.35       0.48      o.23       0.06                     247
                                                      0.31     0.84      o.91       0.65      0.16       0.13
                                                      -        0.23      0.05       0.08      0.03      <0.03                     253
                                                      -        0.35      0.04       0.39      0.37       0.39
                                  2 × /               0.32     0.13      0.11       0.05      0.08       0.16                     248
                                  2 kg/ha             0.26     0.55      0.63       0.76      0.45       0.31

                                                      -        0.23      0.23       0.21      0.23       0.12                     249
                                                      -        0.43      0.48       0.32      0.28       0.33
                   1974           2 × /
                   Germany,       0.3 kg/ha           1.47     -        <0.1       <0.1      <0.1       <0.1                      269
                   Fed. Rep.                          10.14    -         1.1        2.15      0.1        N.D.

                                  4 × /               0.19     -        <0.05      <0.05     <0.05      <0.05                     264
                                  1 kg/ha             1.45     -         0.42      (0.50)    (0.45)     (0.45)3
                                                      0.20     -        <0.05      <0.05     <0.053                               268
                                                      0.71     -         0.37       0.31      0.16

                                                      0.47     -        <0.05      <0.053                                         262
                                                      1.2      -         0.55       0.02
                                                                                                                                      

    Table 2  (con't)
                                                                                                                                      

                   Year and       Applications (No.)                   After application (days)                                   Report
    Crop           country        and rate (a.i.)                        and Residues (mg/kg)                                     No.
                                                                                                                                      

                                                      0         1         6-8       13-15     20-22     26-30

    Cherry         1976           2 × /               0.88     -        <0.07      <0.07     <0.07                                287
                   Germany,       50 g/100 l          3.00     -         2.46       1.92      1.15
                   Fed. Rep.                          0.72     -        <0.07      <0.07     <0.07                                288
                                                      5.64     -         4.90       4.77      3.23

                   1978           2 × /
                   Germany,       0.5 kg/ha           <0.03    -        <0.03      <0.03     <0.03      <0.03                     296
                   Fed. Rep.                          <0.04    -         0.04       0.04      0.05      <0.04
                                  2 × /               0.03     -         -          -        <0.03      <0.03                     297
                                  0.75 kg/ha          1.9      -         -          -         1.7        2.4

    Peach          1974           1 × /,              -        0.42      0.24       0.21      0.19       0.191                    282
                   Italy          75 g/100 l

    Peach          1978           3 × /               <0.03)   -        <0.03      <0.03)     -         <0.031                    292
                   Germany,       1.5 kg/ha           2.8      -         2.6        1.9       -          1.92
                   Fed. Rep.      3 × /
                                  1.5 kg/ha           4.5      -        <0.03      <0.03      -         <0.03                     293
                                                      6.1      -         2.2        5.0       -          2.4
                                  2 × /               9.5      -         0.4        0.1       -         <0.03
                                  1.5 kg/ha           5.0      -         5.0        5.4       -          2.8
                                                                                                                                      

    Table 2  (con't)
                                                                                                                                      

                   Year and       Applications (No.)                    After application (days)                                  Report
    Crop           country        and rate (a.i.)                         and Residues (mg/kg)                                    No.
                                                                                                                                      

                                                       0                             11        20         28       36
                                                                                                                          
    Plum           1974           5 × /               0.18     -         -         <0.01     <0.01      <0.01    <0.01            272
                   Germany,       1 kg/ha             3.38     -         -          2.47      2.65       2.34     1.82
                   Fed. Rep.                          0.09     -         -          0.05     <0.01      <0.01    <0.01            273
                                                      1.18     -         -          1.40      1.90       2.44     2.18

                                                       0                  8          16        24         29
                                                                                                                           
    Damson                        7 × /               0.34     -        <0.01      <0.01     <0.01      <0.01                     274
                                  1 kg//ha            5.21     -         2.47       2.18      1.93       1.36

                                                       0                             14        21
                                                                                                    
                   1975           2 × /               0.76     -         -          0.13     <0.05                                289
                   Germany,       1 kg/ha             2.99     -         -          2.60      2.24
                   Fed. Rep.                          1.10     -         -          0.12     <0.05                                290
                                                      1.76     -         -          2.40      2.67

                                                                                                         28
                                                                                                               
    Olive oil      1975           2 × /               -        -         -          -         -         <0.5
                   Italy          15 l/tree           -        -         -          -         -         <0.5
                                  of 0.2%
                                                                                                                                      

    Table 2  (con't)
                                                                                                                                      

                   Year and       Applications (No.)                   After application (days)                                   Report
    Crop           country        and rate (a.i.)                        and Residues (mg/kg)                                     No.
                                                                                                                                      

                                                       0        1        6-8       13-15      20-22      26-30
                                                                                                                  
    Broad bean     1973           1 × /               0.41     0.05      0.02       N.D.      N.D.                                250
                   Germany,       0.5 kg/ha           0.31     0.37      0.10       0.07      0.07
                   Fed. Rep.                          0.33     0.07      0.02       N.D.      N.D.       N.D.                     251
                                                      0.71     0.68      0.91       0.31      0.28       0.11

                   1976           3 × /               0.11     -         0.07       0.06      -          0.04                     295
                   Germany,       0.3 kg/ha           4.50     -         1.86       1.50      -          0.60
                   Fed. Rep.

    Bush bean      1974           4 × /               0.67     -         -          0.38      -          0.11                     265
                   Germany        0.5 kg/ha           2.71     -         -          1.93      -          0.62
                   Fed. Rep.

                   1974           4 × /               0.15     -         -          0.17      -          0.13                     266
                   Germany,       0.5 kg/ha           0.49     -         -          1.15      -          0.21
                   Fed. Rep.                          0.35     -         -          0.35      -          0.10                     267
                                                      0.94     -         -          1.66      -          0.753

    Cabbage                       4 × /               0.12     -        <0.05      <0.05     <0.05      <0.05                     278
                                  0.3 kg/ha          11.2      -         1.75       1.25      0.84       1.34
                                  5 × /               0.19     -        <0.05      <0.05     <0.05      <0.05                     279
                                  0.3 kg/ha           1.44     -         2.02       0.80      0.40      <0.05

                                                                                                                   37
                                                                                                                       
                                                      0.24     -        <0.05      <0.05     <0.05      <0.05    <0.05            280
                                                     26.8      -         1.57       1.32      0.88       1.00     0.27
                                                                                                                                      

    Table 2  (con't)
                                                                                                                                      

                   Year and       Applications (No.)                      After application (days)                                Report
    Crop           country        and rate (a.i.)                           and Residues (mg/kg)                                  No.
                                                                                                                                      

                                                                1         3          5         10         24       44      49
                                                                                                                             
    Lettuce,       1973           1 × /                        3.55      0.95       0.75      0.5        0.5      0.5      0.1    252
    head           Germany,       0.3 kg/ha                    8.30     11.3        8.8       3.6        0.6      1.05     0.5
                   Fed. Rep.

                                                       0        1        6-8       13-15     20-22      26-30
                                                                                                                 
                   1974           2 × /               1.47     -        <0.1       <0.1      <0.1       <0.1
                   Germany,       0.3 kg/ha          10.70     -         1.10       2.15      0.1        N.D.
                   Fed. Rep.

                                                       0        1       6-8         16     20-22      26-30       47
                                                                                                                          
                   1974           1 × /               2.70     -         2.00      <0.1       -          -       <0.1             270
                   Germany,       0.3 kg/ha           3.40     -         2.50       1.65      -          -       <0.1
                   Fed. Rep.
                                  2 × /               2.50     -         -         <0.1       -         <0.1                      271
                                  0.3 kg/ha           3.10     -         -          1.20      -          0.04

                                                                          9          15        19         21
                                                                                                                  
    Lettuce        1977           1 × /               -        -         0.50      <0.10     <0.10      <0.10                     291
    glasshouse     Netherlands    75 g/100 l          -        -         5.00       3.30      2.20       1.90

                                                                          10         15        18         21
                                                                                                                  
                                                     13.5      -         <0.10      <0.10     <0.10      <0.10
                                                      7.00     -         7.10       7.10      5.70       2.90
                                                                                                                                      

    Table 2  (con't)
                                                                                                                                      

                   Year and       Applications (No.)                   After application (days)                                   Report
    Crop           country        and rate (a.i.)                        and Residues (mg/kg)                                     No.
                                                                                                                                      

                                                                          10         15        18         21
                                                                                                                  
                                                     31.0      -         1.10       1.10      1.30      <0.10
                                                      6.40     -         8.10       9.10      7.30       9.00
                                  Control            -----------         <0.10  -------------------------------

                                                                1                    14        21                  93
                                                                                                                       
    Sugarbeet      1973           1 × /               -        3.16      -          0.33      0.20       -        0.08            254
    leaves         Germany,       0.3 kg/ha           -       10.89      -          3.67      2.08       -        0.30
                   Fed. Rep.
    roots                                                                          <0.03     <0.03       -       <0.03            255
                                                                                   <0.03     <0.03       -       <0.03

                                                       0        1        6-8       13-15     20-22      26-30
                                                                         10
                                                                                                                   
    Radish         1973           1 × /               -        -         0.35       0.55                                          263
                   Germany,       3 kg/ha             -        -         0.98       1.13
                   Fed. Rep.

                                                                                     16        23
                                                                                                   
    Tomatoes       1774           5 × /               0.40     -         -          0.16      0.09                                275
                   Germany,       0.5 kg/ha          (0.65)    -        (0.35)      0.43
                   Fed. Rep.
                                                      0.17     -         0.11       0.05     <0.05                                276
                                                      0.37     -         0.38       0.35      0.27
                                  3 × /               0.14     -         0.14       0.09      0.09      <0.05                     277
                                  0.5 kg/ha           0.70     -         0.52       0.53      -          0.28
                                                                                                                                      

    Table 2  (con't)
                                                                                                                                      

                   Year and       Applications (No.)                    After application (days)                                  Report
    Crop           country        and rate (a.i.)                         and Residues (mg/kg)                                    No.
                                                                                                                                      

                                                                3         4
                                                                              
    glasshouse     1977           1 × /               -        0.10      0.10                                                     291
                   Netherlands    75 g/100 l          -        0.45      0.34

                                  1 × /
                                  35 g/100 l                   0.10
                                                               0.14

                                                                           9         16        23
                                                                                                    
    Orange         1974           1 × /               0.91     -         0.39       0.36      0.32                                283
                   Italy          75 g/100 l

                                                       0        1         9
                                                                              
    peel           1975           1 × /               -        1.04      0.08                                                     286
                   Spain          75 mg/100 l         -        1.36      0.45

    pulp                                              -        -         0.07
                                                      -        -         0.11

                                                       0        1         4          8        16         35       42        47
                                                                                                                                
    fruit          1978           3 × /               0.30     0.32      0.32       0.13      0.06      <0.02    <0.02     -      298
                   Spain          75 g/100 l          1.01     0.88      2.02       2.13      1.17       1.05     0.91     -

    peel                                              1.00     0.80      0.87       0.40      0.21      <0.03    <0.03     -
                                                      3.50     2.42      3.16       2.50      2.80       1.87     1.87     -
                                                                                                                                      

    Table 2  (con't)
                                                                                                                                      

                   Year and       Applications (No.)                   After application (days)                                   Report
    Crop           country        and rate (a.i.)                        and Residues (mg/kg)                                     No.
                                                                                                                                      

                                                       0        1         4          8        16         35       42        47
                                                                                                                                 
    pulp                                              0.07     0.16      0.09      <0.02     <0.02      <0.02    <0.02     -
                                                      0.17     0.38      1.56       1.12      0.63       0.65     0.43     -

    fruit                                             0.49     0.23      0.13       0.08      0.03      <0.02    <0.02     -      299
                                                      0.43     0.31      0.38       0.45      0.47       0.54     0.40     -

    peel                                              2.15     1.00      0.55       0.36      0.11      <0.03    <0.03     -
                                                      1.61     1.15      1.24       1.40      1.32       1.20     1.10     -

    pulp                                             <0.02    <0.02     <0.02      <0.02     <0.02      <0.02    <0.02     -
                                                      0.10     0.08      0.14       0.18      0.21       0.32     0.20     -

    fruit                                             0.75     0.24      0.35       0.19      -          0.02     0.05     0.07   300
                                                      0.60     0.25      0.33       0.61      -          0.49     0.41     0.58

    peel                                              3.04     0.76      1.00       0.54      -          0.05     0.11     0.22
                                                      2.46     0.90      1.00       1.57      -          1.07     0.99     1.24

    pulp                                              0.03    <2.02     <0.02      <2.02      -         <0.02    <0.02     <0.02
                                                      0.24     0.12      0.15       0.14      -          0.30     0.21     0.36

                                                                          29
                                                                             
    fruit          1978           1 × /                                  0.08                                                     301
    (unwashed)     USA            75 g/100 l                             0.28

    peel                                                                 0.14
                                                                         1.25
                                                                                                                                      

    Table 2  (con't)
                                                                                                                                      

                   Year and       Applications (No.)                  After application (days)                                    Report
    Crop           country        and rate (a.i.)                        and Residues (mg/kg)                                     No.
                                                                                                                                      

                                                                          29
                                                                               
    pulp                                                                <0.01
                                                                         0.02

    juice                                                               <0.01
                                                                        <0.01

    oil                                                                  0.05
                                                                         0.06

    press liquor                                                         0.06
                                                                         0.38

    molasses                                                             0.04
                                                                         2.55

    finisher                                                             0.01
    pulp                                                                 0.05

    peel                                                                 0.04
    frits                                                                0.28

    chopped                                                             <0.02
    peel                                                                 0.15

    dried                                                                0.03
     peel                                                                0.71

    fruit                         1 × /                                  0.02
    (unwashed)                    150 g/100 l                            0.79
                                                                                                                                      

    Table 2  (con't)
                                                                                                                                      

                   Year and       Applications (No.)                   After application (days)                                   Report
    Crop           country        and rate (a.i.)                        and Residues (mg/kg)                                     No.
                                                                                                                                      

                                                                          29
                                                                              
    peel                                                                 0.07
                                                                         3.80

    pulp                                                                 0.02
                                                                         0.15

    juice                                                               <0.01
                                                                        <0.01

    oil                                                                  0.07
                                                                         0.08

    press                                                                0.01
    liquor                                                               0.71

    molasses                                                             0.07
                                                                         6.79

    finisher                                                             0.01
    pulp                                                                 0.10

    peel                                                                 0.04
    frits                                                                1.04

    chopped                                                              0.04
    peel                                                                 0.85

    dried                                                                0.03
    peel                                                                 0.67
                                                                                                                                      

    Table 2  (con't)
                                                                                                                                      

                   Year and       Applications (No.)                    After application (days)                                  Report
    Crop           country        and rate (a.i.)                          and Residues (mg/kg)                                   No.
                                                                                                                                      

                                                                          29
                                                                              
    Grapefruit     1978           1 × /
                   USA            75 g/100 l

    fruits                                                               0.01                                                     302
    (unwashed)                                                           0.18

    peel                                                                 0.03
                                                                         0.37

    pulp                                                                <0.01
                                                                        <0.11

    juice                                                               <0.01
                                                                        <0.01

    Grapefruit

    oil                                                                  0.09
                                                                         0.18

    press                                                                0.01
    liquor                                                               0.08

    molasses                                                             0.04
                                                                         0.17

    finisher                                                             0.05
    pulp                                                                 0.03
                                                                                                                                      

    Table 2  (con't)
                                                                                                                                      

                   Year and       Applications (No.)                   After application (days)                                   Report
    Crop           country        and rate (a.i.)                         and Residues (mg/kg)                                    No.
                                                                                                                                      

                                                                          29
                                                                             
    peel                                                                 0.04
    frits                                                                0.29

    chopped                                                              0.02
    peel                                                                 0.11

    dried                                                                0.05
    peel                                                                 0.68

    fruit                         1 × /                                  0.01
    (unwashed)                    150 g/100 l                            0.50

    peel                                                                 0.02
                                                                         1.80

    pulp                                                                <0.01
                                                                         0.03

    juice                                                               <0.01
                                                                        <0.01

    oil                                                                  0.14
                                                                         0.16

    press                                                                0.01
    liquor                                                               0.14

    molasses                                                             0.08
                                                                         0.36
                                                                                                                                      

    Table 2  (con't)
                                                                                                                                      

                   Year and       Applications (No.)                 After application (days)                                     Report
    Crop           country        and rate (a.i.)                      and Residues (mg/kg)                                       No.
                                                                                                                                      

                                                                          29
                                                                              
    finisher                                                            <0.01
    pulp                                                                 0.03

    peel                                                                 0.08
    frits                                                                1.01

    chopped                                                              0.02
    peel                                                                 0.54

    dried                                                                0.04
    peel                                                                 0.91

                                                       0        1         4          8        12          22
                                                                                                                
    Clementine     1981           1 × /,              1.47     0.66      0.04       0.06     <0.02      <0.02                     303
    fruit          France         75 g/100 l          0.28     0.33      0.28       0.34      0.24       0.20

    peel                                              5.27     2.36      0.06       0.20      0.05      <0.03
                                                      1.03     1.18      1.01       1.21      0.85       0.70

    pulp                                              0.08    <0.02      0.03      <0.02     <0.02      <0.02
                                                     <0.02    <0.02      0.03       0.04      0.04       0.04

                                                       45       52        59        65
                                                                                       
    Hops, dry      1973           1 × /               0        0         0          0                                             257
                   Germany,       (1 g/stem,          8.48    11.41     10.52       0
                   Fed. Rep.      poured on)
                                                                                                                                      

    Table 2  (con't)
                                                                                                                                      

                   Year and       Applications (No.)                  After application (days)                                    Report
    Crop           country        and rate (a.i.)                       and Residues (mg/kg)                                      No.
                                                                                                                                      

                                                      15       18        21         25
                                                                                         
                                  2 × /               0        2.49      4.53       0
                                  4 kg/ha            15.0     16.8       4.10       7.90

                                                       8       12        15         19        23         28
                                                                                                             
    Hops, dry      1973           3 × 1               4.30     1.94      0          0         0          0                        259
                   Germany,       3.4 kg/ha          32.7     19.3      19.7       20.8      14.7       10.8
                   Fed. Rep.
                                                      58       64        70         76
                                                                                       
                                  1 × /               0        0         0          0                                             260
                                  (1.5 g/stem,        5.53     2.33      0          0
                                  poured on)

                                                      45       52        59         65
                                                                                        
                                                      0        0         0          0
                                                     12.54    10.41      5.72       5.40
                                                                                                                                      

    Source: Wacker Chemie, GmbH 1983.

    1   Butacarboxim.
    2   Metabolites - sulphoxide + sulphone.
    3   Data unreadable; value obtained from disappearance curve.
    ()  = Value uncertain.
    

           Field trials in the Federal Republic of Germany and Italy on
    cherries, peaches and plums (including damson) at treatment levels of
    0.5 to 1.5 kg/ha gave residues (sum) ranging from 0.19 to 3.23 mg/kg
    at 21 days post-treatment.

           Field trials on broad beans and bush beans in the Federal
    Republic of Germany at treatment levels of 0.3 to 0.5 kg/ha gave
    residues (sum) ranging from 0.12 to 2.31 mg/kg at seven days post-
    treatment.

           A single field trial on olives in Italy at treatment rate of
    15 1/tree of 0.2 percent dilution gave a residue of <0.05 mg/kg in
    the oil at 28 days post-treatment.

           Field trials on cabbage in the Federal Republic of Germany at a
    treatment level of 0.3 kg/ha gave residues (sum) ranging from 0.45 to
    0.93 mg/kg at 21 days post-treatment.

           Field trials on head lettuce in the Federal Republic of Germany
    at a treatment level of 0.3 kg/ha gave residues (sum) ranging from 0.1
    to 1.65 mg/kg at 21 days post-treatment. Tests on glasshouse lettuce
    in the Netherlands at 75 g a.i./100 1 water gave residues (sum)
    ranging from 1.90 to 9.00 mg/kg at 21 days post-treatment. These
    results are difficult to reconcile with the field data and the actual
    treatment rates are uncertain.

           A field trial on sugarbeets in the Federal Republic of Germany
    with a single application of 0.3 kg/ha gave residues (sum) of
    2.28 mg/kg in the leaves and <0.03 mg/kg in the roots at 21 days
    post-treatment.

           A field trial on radishes in the Federal Republic of Germany with
    a single application of 3 kg/ha gave residues (sum) of 1.69 mg/kg at
    14 days post-treatment.

           Field trials on tomatoes in the Federal Republic of Germany
    at a treatment rate of 0.5 kg/ha gave residues (sum) ranging from
    0.35 to 0.66 mg/kg at 6 to 8 days post-treatment. A trial on
    glasshouse tomatoes in the Netherlands, using applications of 35 g or
    75 g a.i./100 1 water, gave residues at 3 days post-treatment of 0.14
    and 0.45 mg/kg, respectively.

           Field trials on oranges in Italy, Spain and the United States at
    treatment rates of 4.5 to 9 kg/ha gave residues (sum) ranging from
    about 0.5 to 1.12 in whole fruit, 1.2 to 3.87 in peel (fresh), 0.02 to
    0.65 in pulp, <0.01 in juice, and 2.59 to 6.86 mg/kg in molasses at
    29 to 35 days post-treatment. Similar tests on grapefruit in the

    United States gave residues (sum) ranging from 0.51 to 0.19 in whole
    fruit, 0.4 to 1.82 in peel (fresh), 0.03 to 0.11 in pulp, <0.01 in
    juice and 0.21 to 0.44 mg/kg in molasses at 29 days post-treatment.
    The fruit was not fully ripe at the time of processing and analysis.

           A field trial on clementines in France with a single application
    of 75 g a.i./100 1 water gave residues (sum) of 0.20 in whole fruit,
    0.70 in peel and 0.04 mg/kg in pulp at 22 days post-treatment.

           Trials on dry hops in the Federal Republic of Germany at
    treatments of either 3.4 or 4 kg/ha or 1 to 1.5 g/stem poured on gave
    the highly variable results shown in Table 2.

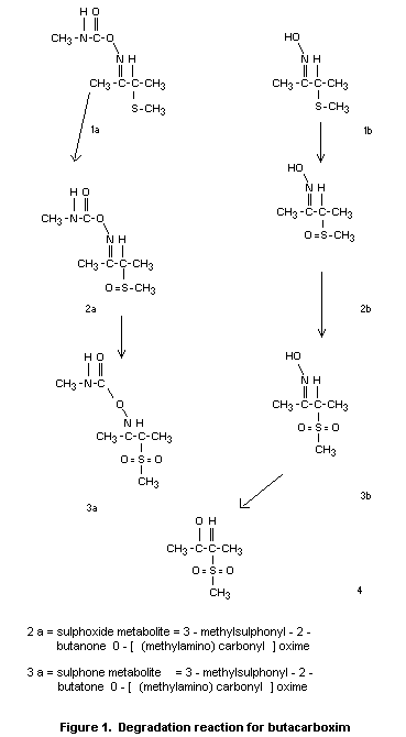
    FATE OF RESIDUES

    General

           Chemical and physical properties of butacarboxim are similar to
    those of other oximcarbamates, e.g. thiofanox and aldicarb. On and in
    foliage in the field, butocarboxim oxidizes rapidly to the sulphone
    via the sulphoxide. Simultaneously, the carbamate group is hydrolysed
    to the corresponding oximes according to the general scheme shown in
    Figure 1.

    In plants

           An experiment was conducted using French beans harvested 16 days
    after treatment and containing residues of 0.35 mg/kg butocarboxim and
    1.66 mg/kg water-soluble metabolites by analysis (Wacker Chemie, GmbH
    1983b). Extracts were separated by thin-layer chromatography and
    detected by spraying with an acetylcholinesterase reagent. The
    presence of unchanged butocarboxim, its sulphoxide and sulphone
    metabolites, and 2-demethylation derivatives were shown.

    In soil

           Soil samples taken in connection with the field trials on
    sugarbeets (Wacker Chemie, GmbH 1973) had no detectable residues (sum)
    above the limit of detection of 0.03 mg/kg. No detailed metabolic
    studies of soil degradation are available; however, a report on the
    migration properties of butocarboxim and butoxycarboxim (Wacker Chemie
    GmbH 1978) indicated a half-like of 6 to 8 days for butocarboxim and
    41 to 44 days for butoxycarboxim.

    METHODS OF RESIDUE ANALYSIS

           The bulk of the field trial data was obtained using the method of
    Holden, et al. (1969) with suitable modifications as required. The
    method is based on the separation of water soluble and toluene soluble
    components after extraction. The oximcarbamate group in both portions

    FIGURE 1

    is saponified and the liberated methylamine converted to N-methyl-2,
    4-dinitroaniline with 2,4-dinitrofluorobenzene. The N-methyl-2,
    4-dinitroaniline is determined by gas chromatography utilizing an
    electron capture detector. Average recoveries are about 72 percent for
    parent compound and 59 percent for the sulphone and sulphoxide. The
    limit of determination is usually about 0.04 mg/kg for most fruits and
    vegetables.

           An improved method of analysis was developed in 1976-77 based on
    procedures described in "Pflanzenschutznachrichten Bayer 28/1976",
    p. 388. After extraction with methanol, separation and clean up, the
    toluene soluble portion (butocarboxim) is taken up in acetone and
    determined directly by gas chromatography using a nitrogen-selective
    thermionic detector. The metabolites in the aqueous phase are
    transferred to chloroform, dried, taken up in methanol and subjected
    to ester interchange with the aid of sodium hydroxide. The resulting
    methyl-N-methyl carbamate is then determined by nitrogen-selective gas
    chromatography. Recoveries averaged 81 percent for butocarboxim and 64
    percent for the metabolites (sum). The sensitivity appears to be about
    the same as for the older method. Because of its ease of use and
    economy, the newer method is to be preferred for regulatory purposes.

    NATIONAL MAXIMUM RESIDUE LIMITS REPORTED TO THE MEETING

           National tolerances established in the Federal Republic of
    Germany, representing the sum of butocarboxim, its sulphoxide and
    sulphone, expressed as butocarboxim, are as follows:

                                                                

    Crop              MRL (mg/kg)      Preharvest interval (days)
                                                                

    Stone fruit            4                     21
    Pome fruit             3                     14
    Beans, fresh           3                      7
    Citrus fruit           2                     21
    Citrus pulp            1
    Tomato                 2                      3
    Lettuce                2                     21
    Cabbage                1                     21
                                                                

    APPRAISAL

           Butocarboxim is a systemic insecticide of the oximcarbamate
    family, which is used primarily in foliar treatment for the control of
    sucking insects, and secondarily for mite control on fruits,
    vegetables and cotton, it is marketed as either a 25 percent or 50

    percent a.i. emulsifiable concentrate, which is diluted to 0.1 - 0.15
    percent with water for spray application. Recommended use rates range
    from 0.3 to 3.5 kg/ha on most commodities, with post-treatment
    intervals varying from 3 to 21 days. There are no post-harvest, animal
    or soil treatment uses, but ornamental uses include soil drenching and
    hydroponic incorporation.

           Butocarboxim degrades rapidly in plants to form the sulphoxide
    and, primarily, sulphone metabolites. Residues of the parent compound
    rarely exceed the detectable limits beyond 14 days post-treatment.
    Harvest residues at recommended post-treatment intervals can range
    from 0.02 to 1.1 mg/kg for apples, 0.19 to 3.2 for stone fruits, 0.1
    to 2.3 for beans, 0.1 to 1.7 for field-grown cabbage and lettuce, 2.3
    for sugarbeet leaves, <0.03 for sugarbeet roots, 1.3-1.7 for
    radishes, 0.4 to 0.7 for tomatoes and 0.2 to 1.1 for citrus (whole
    fruit). The residue tends to locate mostly in the peel of citrus and
    exceeds 2 mg/kg in fresh peel and 6.9 mg/kg in molasses. The results
    of supervised trials on cotton (cottonseed and cottonseed oil
    residues) were not available to the Meeting.

           No data were available on metabolism in food animals or their
    products and only limited information was available on plant and soil
    metabolism. It is assumed that the metabolism of butacarboxim would be
    similar to that of related compounds, such as aldicarb.

           Although butocarboxim is currently registered for use in eight
    countries, with eight more expected to follow soon, there was no
    information on residues found in commerce and only national maximum
    residue limits from the country of manufacture (Federal Republic of
    Germany).

           The original method of residue analysis, used in obtaining most
    of the reviewed data, is based on extraction and separation of
    residues into toluene (butocarboxim) and aqueous (metabolite)
    fractions, followed by saponification of each fraction to liberate
    methylamine. The methylamine is then converted to N-methyl-2,
    4-dinitroaniline by treatment with 2,4-dinitrofluorobenzene. The
    N-methyl derivative is then measured by gas chromatography with
    electron capture detection. Limits of 0.02-0.04 mg/kg are usually
    achieved for most fruits and vegetables.

           A newer, simpler, and much preferred method was developed in
    1976. In this procedure, the toluene and aqueous fractions are cleaned
    up and the butocarboxim determined directly by gas chromatography with
    a nitrogen-selective thermionic detector. The sulphoxide and sulphone
    metabolites from the initial aqueous phase are subjected to ester
    interchange in alkaline methanol to give methyl-N-methylcarbamate,
    which is determined by gas chromatography using the nitrogen-selective
    detector. Similar sensitivities are obtained. This method is
    recommended for both research and regulatory use.

    RECOMMENDATIONS

           The Meeting concluded that the guideline levels listed below need
    not be exceeded if good agricultural practice is followed. The levels
    refer to the sum of butocarboxim and its sulphoxide and sulphone,
    expressed as butocarboxim.

                                                                        

    Commodity         Guideline levels (mg/kg)   Pre-harvest intervals
                                                 on which levels are
                                                 based (days)
                                                                        

    beans                      5                        7
    stone fruit                5                       21
    sugarbeet leaves           5                       21
    apples                     2                       14
    citrus fruit               2                       21
    lettuce1                   2                       21
    radish                     2                        7
    cabbage                    1                       21
    tomato                     1                        3
    sugarbeet roots            0.1                     21
                                                                        

    1  Based on data from field-grown lettuce

    FURTHER WORK OR INFORMATION

    When available

           Results of supervised trials in progress on residues in
    cottonseed and cottonseed oil resulting from the foliar treatment of
    cotton, in order to consider appropriate guideline levels.

    Desirable

    1.     Data on residues in meat and milk resulting from the feeding of
           cottonseed, cotton-seed oil or citrus by-products to animals.

    2.     Additional residue data from supervised trials on greenhouse
           grown vegetables, particularly lettuce and tomatoes.

    REFERENCES- RESIDUES

    Holden, E.R., Jones, W.M. & Beroza, M. Determination of residues of
    1969       methyl- and dimethyl-carbamate insecticides by gas
               chromatography of their 2,4-dinitroaniline derivatives.
               J. Agra Food Chem., 17: 56.

    Wacker Chemie, GmbH. Report on soil analysis No. 256 (Unpublished)
    1973

    Wacker Chemie, GmbH. Reports on migration of butocarboxim and
    1978       butoxycarboxim in soils. (Unpublished)

    Wacker Chemie, GmbH. Reports of residue analyses No. 244-255, 257-283,
    1983a      286-303. (Unpublished)

    Wacker Chemie, GmbH. Results of tests for metabolites in treated
    1983b      French beans. (Unpublished)


    See Also:
       Toxicological Abbreviations