IPCS INCHEM Home


    PESTICIDE RESIDUES IN FOOD - 1982


    Sponsored jointly by FAO and WHO






    EVALUATIONS 1982





    Data and recommendations of the joint meeting
    of the FAO Panel of Experts on Pesticide Residues
    in Food and the Environment and the
    WHO Expert Group on Pesticide Residues
    Rome, 23 November - 2 December 1982

    Food and Agriculture Organization of the United Nations
    Rome 1983


    CYPERMETHRIN

    CHEMICAL STRUCTURE 1

    Explanation

         Cypermethrin was reviewed by the JMPR in 1979 and 19811/ and
    MRLs were recommended on a wide range of crops and on meat and milk
    products. Further data requested by the 1981 Meeting included residue
    data on soybeans from trials carried out in the U.S. and on residues
    in poultry and poultry products derived from feeding treated produce.
    Data on these requested items, as well as those on a number of other
    crops for which no MRL has yet been proposed, have been evaluated.

    RESIDUES IN FOOD AND THEIR EVALUATION

    USE PATTERN

    Preharvest

         Recommendations for use of cypermethrin on the crops not
    previously evaluated by the JMPR, or for which additional data were
    requested, are summarized in Table 1.

         Where several applications become necessary due to pest pressure,
    it is unlikely that the frequency of treatment would be more often
    than twice a month.

    RESIDUES RESULTING FROM SUPERVISED TRIALS

    Soybeans

         A series of trials were carried out in the U.S. using aerial
    applications of 9-45 l/ha, or ground applications of 90-360 l/ha, and
    a standard rate of 110 g a.i./ha.

              

    1/  See Annex 2 for FAO and WHO documentation.

        Table 1.  Recommended Uses of Cypermethrin
                                                                                        

                                                  Application         Minimum Preharvest
    Crops                       Pest              Rate (g/ha)              interval
                                                                                        

    Soybean (USA)       Pseudoplusia includens    50 - 100                3-4 weeks
                        Trichoplusia ni
                        Anticarsia gemmatalis
                        Nezara viridula
                        Plattypena scabra
                        Epilachna verivestis
                        Heliothis armigera
                        Laphyma exigua

    Leeks               Acrolepia assectella      30 - 60                 7 days
                        Phytobia cepae
                        Thrips tabaci

    Onions (bulb)       Acrolepia ascectella      38 - 70                 3 days

    Carrots             Agrotis segetum           25 - 70                 7 days

    Turnips             Auxoa nigricans

    Swedes (Rutabagas)

    Parsnips

    Phaseolus spp.      Sitona spp.               25 - 60                 7 days
                        Aphis fabae

    Viola spp.

    Spinach             Trialeurodes spp.         25 - 60                 7 days

    Black currant       Nematus olfaciens         40
                        Pteronidea ribesii        25 g/ha low volume

    Gooseberries        Lygocoris pabulinus       or 0.005% high          7-14 days
                        Aphis spp.                volume

    Sunflowers          Desmoris constructus
                        Agrotis spp.
                        Euxoa spp.
                        Spodoptera spp.           75                      7 days
    Linseed             Homoeosoma electellum
                        Thripidae
                        Agrotis ipsilon
                                                                                        

    Table 1.  Recommended Uses of Cypermethrin
                                                                                        

                                                  Application         Minimum Preharvest
    Crops                       Pest              Rate (g/ha)              interval
                                                                                        

    Groundnuts          Aphis craccivora          75                      7 days
                        Spodoptera spp.
                        Thripidae

    Barley              Macrosiphum avenae        25 - 50                 4 weeks

    Mushrooms           Megaselia spp.            6 mg/m2                1-2 days
                        Sciara spp.
                                                                                        
    
         The trials encompassed a representative range of the southern and
    mid-western soybean-growing states. With one exception, the treated
    crops were harvested 21-31 days after the second spray application.
    The residues data and trials details are summarized in Table 2 (Ussary
    1982).

         There was no obvious difference in the cypermethrin levels in the
    beans at harvest following either ground or aerial application. In all
    cases, the residue levels were less than the MRL of 0.05 mg/kg
    recommended by the 1979 Meeting for soybean.

    Leek

         Typically, good agricultural practice requires the application of
    30-60 g/ha and a minimum treatment to harvest interval of 7 days.

         A trial was conducted in The Netherlands in 1981. A 10%
    formulation was applied to four replicate plots at 30 g a.i./ha.
    Samples of whole plants were taken from each plot for analysis at
    intervals up to 14 days after spraying and the residues determined.
    Cypermethrin levels of 0.17-0.21 mg/kg on the day of spraying declined
    to 0.05-0.06 mg/kg after 7 days and to 0.02-0.04 mg/kg after 14 days.
    Additional trials were carried out in Germany in which 3 applications
    were made at 60 g/ha. The data are summarized in Table 3 (Swaine
     et al 1982a; Shell Chimie S.A. 1979, 1980). Following recommended
    treatments, residues of cypermethrin in leeks at 7 days after
    treatment are likely to occur at a level exceeding 0.5 mg/kg.

        Table 2.  Cypermethrin Residues in Soybeans, U.S., 19811/
                                                                                                             

                                                                             Interval      Cypermethrin
                                  Rate of       Volume                     between Last       Levels
                   Method of    application    of Spray     Number of    Application and    Determined
    Location      application   (g a.i./ha)     (l/ha)    Applications    harvest (days)      (mg/kg)
                                                                                                             

    Georgia         Aerial          110            45           2               24          ND

    Missouri        Aerial          110            27           2               21          0.01

    Alabama         Aerial          110             9           2               21          Trace (<0.01)

    Alabama         Aerial          110             9           2               21          ND

    Louisiana       Aerial          110             9           2               21          0.01

    Missouri        Aerial          110            45           2               31          0.01

    Arkansas        Aerial          110             9           1               30          0.02

    Illinois        Ground          110           180           2               21          0.01

    Missouri        Ground          110            90           2               29          0.04

    Florida         Ground          110           330           2               21          Trace (<0.01)

    Maryland        Ground          110           360           2               25          0.01

    North Carolina  Ground          110           250           2                1          0.01
                                                                                                             

    Table 2.  (con't)
                                                                                                             

                                                                             Interval      Cypermethrin
                                  Rate of       Volume                     between Last       Levels
                   Method of    application    of Spray     Number of    Application and    Determined
    Location      application   (g a.i./ha)     (l/ha)    Applications    harvest (days)      (mg/kg)
                                                                                                             

    South Dakota    Ground          110            90           2               21          0.03

    Minnesota       Ground          110           245           2               21          0.02
                                                                                                             

    1/   Following either ground or aerial applications of 36% EC formulations. All figures are corrected
         for % recovery. ND means not detected, less than 0.01 mg/kg.
    
    Bulb Onions

         Residues data have been obtained from trials in Canada in which
    applications up to the excessively high rate of 2 g/ha were used. In
    all cases, in spite of the high rates sometimes employed, cypermethrin
    was not found in the bulbs (limit of determination 0.01 mg/kg). These
    trials and the resulting data are also included in Table 3 (Swaine
     et al 1980d, 1981a)

    Root and Tuber Vegetables

         Residue experiments have been carried out on carrots in the U.K.,
    Canada and Germany. Dose rates up to 7 g/ha were applied and as many
    as 8 treatments were used. In all cases, residues were below
    0.05 mg/kg, even at zero treatment to harvest interval.

         Trials have also been carried out with parsnips and swedes in the
    U.K. where application rates of 25 and 50 g/ha were used 48 and 5 days
    prior to harvest. Residue levels in the roots were 0.01 mg/kg or less.
    These trials are summarized in Table 4 (Swaine  et al 1980a; Shell
    Chimie S.A. 1980, 1981; Shell Research Ltd. 1981).

    Spinach

         Trials were conducted on spinach in Germany and the U.K., in
    which cypermethrin was applied at 5 g/ha and also at the somewhat high
    rate of 100 g/ha. A description of the trials and the results are
    given in Table 5 (Swaine  et al 1981c; Shell Chimie S.A. 1981). When
    used according to good agricultural practice, cypermethrin is unlikely
    to give rise to residue levels on spinach above 2 mg/kg.

    Beans

         Although the 1979 JMPR evaluated data for beans  (Phaseolus), 
    these were only for dried beans without pods. Data are now available
    for green  Phaseolus beans in pod and  Vicia beans without pod from
    the trials summarized in Table 6 (Swaine  et al 1981b; Shell Chimie
    S.A. 1980, 1981; Shell Research Ltd. 1980).

         Residue levels of cypermethrin in whole  Phaseolus beans
    (including pods) were all below 0.5 mg/kg following use of the product
    as recommended.

         Residues in  Vicia beans, following removal from the pods as for
    normal consumption, were below the limit of determination of
    0.01 mg/kg one week or more after treatment.

        Table 3.  Cypermethrin Residues in Leeks and Onions
                                                                                                                                        

                                                      Dose      Spray     Applications     Preharvest
                                                      Rate      Rate                        Interval        Residues
    Crop        Country      Variety   Formulation   (g/ha)    (l/ha)     No.   Interval     (days)         (mg/kg)
                                                                                                                                        

    Leeks     Netherlands   Triomfator   10% EC         30     1 000       1                    0       0.18,0.17,0.17,0.21
                                                                                                3       0.07,0.09,0.08,0.09
                                                                                                7       0.05,0.06,0.05,0.06
                                                                                               14       0.04,0.04,0.03,0.02

    Leeks     Germany       Siegfried    10% EC         60                 3   2 weeks          0       0.44
                                                                                                7       0.24
                                                                                               14       0.12
                                                                                               21       0.01
                                                                                               28       <0.01
                                                        60                 3   2 weeks          0       0.60
                                                                                                7       0.39
                                                                                               14       0.03
                                                                                               21       0.02
                                                                                               28       <0.01
                                                        60                 3   2 weeks          0       0.55
                                                                                                7       0.25
                                                                                               14       0.07
                                                                                               21       0.02
                                                                                               28       <0.01

    Onion     Canada        Garnet       40% EC         70       450       4   2 weeks          7       <0.01,<0.01,<0.01,<0.01

    Onion     Canada        Exporter     40% EC         50       450       7   10-12 days       3       0.05,0.08,0.07,0.06
                                                                                                7       <0.01,<0.01,<0.01,<0.01
                                                                                                                                        

    Table 3.  (cont'd)
                                                                                                                                        

                                                      Dose      Spray     Applications     Preharvest
                                                      Rate      Rate                        Interval        Residues
    Crop        Country      Variety   Formulation   (g/ha)    (l/ha)     No.   Interval     (days)         (mg/kg)
                                                                                                                                        

    Onion     Canada                     25% EC         35       250       1                   64            <0.01
                                                        70       250       1                   64            <0.01
                                                        70       340       1                   10            <0.01
                                                        70       340       1                   19            <0.01
                                                       140       340       1                   10            <0.01
                                                       140       340       1                   19            <0.01
                                                       280       340       1                   10            <0.01
                                                       280       340       1                   19            <0.01

    Onion     Canada                     25% EC        200       250       1                   60            <0.01
                                                                                                                                        

    Table 4.  Cypermethrin Residues in Root and Tuber Vegetables
                                                                                                                                      

                                                     Dose     Spray     Applications      Preharvest           Residues
                                                     Rate     Rate                         Interval
    Crop      Country    Variety     Formulation    (g/ha)   (l/ha)     No.   Interval      (days)             (mg/kg)
                                                                                                                                      

    Carrot    UK        Breeders       10% EC         25       600       1                    48        0.01
                        Berjo                         50                 1                    48        0.01

    Carrot    Canada    Spartan        40% EC         50       450       7    9-13 days        3        <0.01,<0.01,<0.01,<0.01
                        Fancy                                                                           <0.01,<0.01,<0.01,<0.01

    Carrot    Canada    Spartan        40% EC         70       400       8    12-18 days       7        0.02
                        Fancy                                                                 14        0.03

    Carrot    Germany   Nantaise       10% EC         60       500       3    2 weeks          0        <0.01
                                                                                               7        <0.01
                                                                                              14        <0.01
                                                                                              21        <0.01

                        Gonsenheimer   10% EC         60       500       3    2 weeks          0        0.02
                                                                                               7        <0.01
                                                                                              14        <0.01
                                                                                              21        <0.01

                        Hilds Fanal    10% EC         60       500       3    2 weeks          0        0.04
                                                                                               7        <0.01
                                                                                              14        <0.01
                                                                                              21        <0.01
                                                                                                                                      

    Table 4.  (con't)
                                                                                                                                      

                                                     Dose     Spray     Applications      Preharvest           Residues
                                                     Rate     Rate                         Interval
    Crop      Country    Variety     Formulation    (g/ha)   (l/ha)     No.   Interval      (days)             (mg/kg)
                                                                                                                                      

    Parsnip   UK        Alba           10% EC         25       600       1                    48               <0.01
                                                      50       600       1                    48               <0.01

    Swede     UK                       10% EC         25       600       2                     5               <0.01
                                                      50       600       2                     5               0.01
                                                                                                                                      

    Table 5.  Cypermethrin Residues in Spinach
                                                                                                             

                                           Dose      Spray    Applications        Preharvest
                                           Rate      Rate             Interval     Interval       Residues
    Country     Variety     Formulation   (g/ha)    (l/ha)    No.      (weeks)      (days)         (mg/kg)
                                                                                                             

    UK         Bloomsdale     10% EC       100       500      1                        0            5.7
                                                                                       3            1.8
                                                                                       7            1.2
                                                                                      14            0.19

    Germany    Monnopa        10% EC        60       500      3           2            0            0.79
                                                                                       7            0.13
                                                                                      14            0.05
                                                                                      21           <0.01

               Monnopa        10% EC        60       500      3           2            0            2.00
                                                                                       7            0.49
                                                                                      14            0.10
                                                                                      21            0.01

               Matares        10% EC        60       500      3           2            0            3.30
                                                                                       7            0.75
                                                                                      14            0.06
                                                                                      21            0.02
                                                                                                             

    Table 6.  Cypermethrin Residues in Beans
                                                                                                                                  

                                                           Dose        Spray     Applications      Preharvest
                                                           Rate        Rate                         Interval      Residues
    Crop       Country        Variety      Formulation    (g/ha)      (l/ha)     No.  Interval       (days)        (mg/kg)
                                                                                                                                  

    Dwarf      U.K.           Carousel        10% EC        25           260     1                      0          0.16, 0.01
    Beans                                                   50           260     1                      0          0.59

    Kidney     France         Mangetout       5% EC         50         1 000     1                     14          0.05
    Beans

    Green      S. Africa      Gallatin        20% EC        0.003%      700-     6    10-12 days        7          0.13
    Beans                                                              1 700                           14          0.07

    Green      Fed. Rep. of
    Beans      Germany        Perle v.        10% EC        60                   3    2 weeks           0          0.75
                              Marbach                                                                   3          0.53
                                                                                                        5          0.25
                                                                                                        7          0.20
                                                                                                       10          0.15
                              Weis Reising    10% EC        60           500     3    2 weeks           0          0.40
                                                                                                        3          0.30
                                                                                                        5          0.25
                                                                                                        7          0.20
                                                                                                       10          0.10
                                                                                                                                  

    Table 6.  (con't)
                                                                                                                                  

                                                           Dose        Spray     Applications      Preharvest
                                                           Rate        Rate                         Interval      Residues
    Crop       Country        Variety      Formulation    (g/ha)      (l/ha)     No.  Interval       (days)        (mg/kg)
                                                                                                                                  

    Green      Fed. Rep. of
    beans      Germany        Marga           10% EC        60           500     3    2 weeks           0          0.76
                                                                                                        3          0.51
                                                                                                        5          0.41
                                                                                                        7          0.28
                                                                                                       10          0.15
                              Pearle v.       10% EC        60           500     3    2 weeks           0          0.21
                              Marbach                                                                   3          0.15
                              (glasshouse)                                                              5          0.12
                                                                                                        7          0.14
                                                                                                       10          0.11
                              Hild Neckar     10% EC        60           500     3    2 weeks           0          0.57
                              Konigin                                                                   3          0.50
                                                                                                        5          0.30
                                                                                                        7          0.24
                                                                                                       10          0.15

                              Marga           10% EC        60           500     3    2 weeks           0          0.61
                                                                                                        3          0.58
                                                                                                        5          0.49
                                                                                                        7          0.33
                                                                                                       10          0.24

    Broad      U.K.           Triple White                  21           600     1                     18         <0.01
    Beans                                                   21           600     2    8 days           10         <0.01

    Field      U.K.           Maris Bead                    25           500     1                      0          0.09
    Beans
                                                                                                                                  

    Table 6.  (con't)
                                                                                                                                  

                                                           Dose        Spray     Applications      Preharvest
                                                           Rate        Rate                         Interval      Residues
    Crop       Country        Variety      Formulation    (g/ha)      (l/ha)     No.  Interval       (days)        (mg/kg)
                                                                                                                                  

    Broad      France                         5% EC         50         1 000     1                      8         <0.01
    Beans                                                                                              15         <0.01
                                                                                                       31         <0.01

                              D'Aquadulce     5% EC         50         1 000     1                      7         <0.01
                                                                                                       13         <0.01
                                                                                                       28         <0.01
                                                                                                                                  
        Currants and Gooseberries

         Residue trials were carried out in the U.K. on black currants and
    gooseberries and in the Federal Republic of Germany on red currants.
    These are summarized in Table 7 (Swaine  et al 1980b; Shell Chimie
    S.A. 1978, 1980; Shell Research Ltd. 1980). Cypermethrin residues in
    the whole fruit did not exceed 0.5 mg/kg even on the day of treatment.

    Oilseeds (Sunflowers and Linseed)

         Details of experiments carried out on sunflower and linseed are
    summarized in Table 8 (Sobolewski 1981; Shell Chimie 1981, 1982;
    Robertson 1980; Shell Research Ltd. 1980). Trials with sunflowers have
    been carried out in Australia, Argentina, Canada and South Africa
    using a wide range of application rates. Residue levels observed in
    seeds were all at or below 0.1 mg/kg, while those in whole heads were
    below 0.2 mg/kg from normally recommended treatments.

         Two trials on linseed were carried out in Canada using
    28 g a.i./ha on up to 3 occasions with a minimum PHI of 4 weeks.
    Residue levels reported were all 0.05 mg/kg or less.

    Peanuts

         Trials have been carried out in Canada, India and South Africa
    using dose rates up to 100 g a.i./ha applied 7 days or more before
    harvest. In no instance was residues found at a limit of determination
    of 0.01 mg/kg (Table 9) (Shell Chimie S.A. 1980, 1981, 1982).

    Barley

         Residue experiments were carried out in Europe and Canada using
    dose rates up to 62 g a.i./ha on 1 to 3 occasions. Residue levels in
    whole (unhusked) barley grain from crops treated according to good
    agricultural practice were all below 0.5 mg/kg where treatments were
    made 3-4 weeks prior to harvest (Table 10) (Swaine  et al 1980c,
    1982d; Shell Research Ltd. 1981).

    Mushrooms (Agaricus bisporus)

         Cypermethrin is used as a spray, fog or smoke treatment in
    mushroom houses. Because of the need to re-treat frequently and the
    continuous cropping of mushrooms that takes place over an extended
    period, an interval of 1-2 days between an application and cropping is
    frequently necessary.

         In a trial in The Netherlands in 1981, a 10% EC formulation was
    applied twice at rates of 60, 120 and at the exceptionally high rate
    of 240 g a.i./ha. Replicate samples of mushrooms were taken for
    analysis 1, 2 and 3 days after the second spray. The cypermethrin
    levels found are summarized in Table 10 (Swaine  et al 1982b).

        Table 7.  Cypermethrin Residues in Currants and Gooseberries
                                                                                                     

                                                        Dose      Spray      Preharvest
                                                        Rate      Rate        Interval     Residues
    Crop         Country       Variety   Formulation   (g/ha)    (l/ha)        (days)       (mg/kg)
                                                                                                     

    Black
    currant      U.K.          Baldwin     10% EC        25       1 100           0          0.18
                                                         25       1 100           1          0.13
                                                         25       1 100           3          0.15
                                                         25       1 100           7          0.12
                                                         25       1 100          14          0.07
                                                         50       1 100           7          0.23

                               Baldwin                   25       1 100           7          0.11
                                                         50       1 100           7          0.10

                               Westwick                  25       1 100           7          0.15
                               Choice                    50       1 100           7          0.29

    Black
    currant      U.K.          Baldwin     10% EC        37.5     1 100           2          0.04
                                                                                  7          0.06

    Black
    currant      U.K.          Baldwin     10% EC        37.5     1 500           2          0.13
                                                                                  7          0.21

    Red
    currant1/    Fed. Rep. of
                 Germany       Red Lake    10% EC        0.01%    1 500           0          0.40
                                                                                  7          0.35
                                                                                 14          0.29
                                                                                 21          0.20
                                                                                                     

    Table 7.  (con't)
                                                                                                     

                                                        Dose      Spray      Preharvest
                                                        Rate      Rate        Interval     Residues
    Crop         Country       Variety   Formulation   (g/ha)    (l/ha)        (days)       (mg/kg)
                                                                                                     

    Gooseberry   U.K.          Careless    5% EC         0.005%                  24          0.03

    Gooseberry   U.K.          Leveller    10% EC        25       1 100           7          0.13
                                                         25       1 100           7          0.05
                                                         25         560           9          0.09
                                                         50       1 100           7          0.21
                                                         50       1 100           7          0.12
                                                                                                     

    1/   Two applications at an interval of 2 weeks. All others single applications.

    Table 8.  Cypermethrin Residues in Oilseeds
                                                                                                                                           

                                                                   Spray   Applications
                                                       Dose Rate   Rate                      Preharvest    Residues
    Crop          Country     Variety   Formulation     (g/ha)    (l/ha)   No.  Interval      Interval      (mg/g)
                                                                                                                                           

    Sunflower     Australia   Cargill     25% EC       75           315    2    16 days        0 days       0.06
    Seeds                     Sun Ace                                84                        7 days       0.10
                                                                                               14 days      0.04
                                                                                               21 days      0.03

                                                       100          315    2    16 days        0 days       0.07
                                                                                               7 days       0.05
                                                                                               14 days      0.05
                                                                                               21 days      0.04

                                                       200          315    2    16 days        0 days       0.14
                                                                     84                        7 days       0.15
                                                                                               14 days      0.11
                                                                                               21 days      0.08

    Sunflower     Australia   Hysum 31    20% EC       75            50    1                   1 day        0.32
    Heads                                                                                      7 days       0.18
                                                                                               13 days      0.04
                                                                                               20 days      0.03

                                                       75            50    1                   1 day        0.41
                                                                                               7 days       0.12
                                                                                               13 days      0.03
                                                                                               20 days      0.02

    Sunflower     Argentina   Empire      25% EC       50            11    1                   17 days      0.04
    Seeds
                                                                                                                                           

    Table 8.  (con't)
                                                                                                                                           

                                                                   Spray   Applications
                                                       Dose Rate   Rate                      Preharvest    Residues
    Crop          Country     Variety   Formulation     (g/ha)    (l/ha)   No.  Interval      Interval      (mg/g)
                                                                                                                                           

    Sunflower     Canada      CSP8944     40% EC       14           118    1                   10 weeks     <0.01,<0.01,<0.01,<0.01
    Seeds                                              20           118    1                   10 weeks     <0.01,<0.01,<0.01,<0.01

    Sunflower     Canada      CMH103      40% EC       14             -    1                   16 weeks     <0.01,<0.01,<0.01,<0.01
    Seeds                                              20             -    1                   16 weeks     <0.01,<0.01,<0.01,<0.01
                                                                                               16 weeks     <0.01,<0.01,<0.01,<0.01
                                                       28             -    1

    Sunflower     S. Africa   Sensako     20% EC       20 (by air)         1                   1 day        <0.01
    seeds                                                                                      5 days       <0.01
                                                                                               8 days       <0.01
                                                                                               12 days      <0.01
                                                                                               26 days      <0.01

                              Sensako     20% EC       30 (by air)         1                   5 days       <0.01
                                                                                               9 days       <0.01
                                                                                               12 days      <0.01
                                                                                               16 days      <0.01
                                                                                               30 days      <0.01
                                                                                                                                           

    Table 8.  (con't)
                                                                                                                                           

                                                                   Spray   Applications
                                                       Dose Rate   Rate                      Preharvest    Residues
    Crop          Country     Variety   Formulation     (g/ha)    (l/ha)   No.  Interval      Interval      (mg/g)
                                                                                                                                           

    Linseed     Canada        Dufferin    40% EC       28           118    1                   7 weeks      <0.01,<0.01,<0.01,<0.01
    (Seeds)                                                                                    8 weeks      <0.01,<0.01,<0.01,<0.01
                                                                                               12 weeks     <0.01,<0.01,<0.01,0.01
                              Dufferin    40% EC       28           118    3    4 & 1 wk.      7 weeks      0.01,<0.01,0.01,0.02
                              Redwood     40% EC       28           118    1                   4 weeks      0.04,0.05,0.05,0.02
                                                                                               6 weeks      0.02,0.02,0.03,0.03
                                                                                               10 weeks     <0.01,<0.01,<0.01,<0.01
                              Redwood     40% EC       28           118    3    4 & 1,1/2      4 weeks      0.03,0.04,0.04,0.04
                                                                                wks.
                                                                                                                                           

    Table 9.  Residues of Cypermethrin in Peanuts
                                                                                                             

                                     Dose    Spray    Applications  Preharvest          Residues
                                     Rate    Rate                
    Country   Variety  Formulation  (g/ha)  (l/ha)    No. Interval   Interval           (mg/kg)
                                                                                                             

    Canada    Valencia   40% EC       50     225      2    6 weeks     6 weeks   <0.01,<0.01,<0.01,<0.01

    India     TMV-9      10% EC       50     500      1                13 days   <0.01
                                                                       20 days   <0.01
                                                                       27 days   <0.01

                                     100     500      1                13 days   <0.01
                                                                       20 days   <0.01
                                                                       27 days   <0.01

              TMV-7      10% EC       50     500      1                14 days   <0.01
                                                                       21 days   <0.01
                                                                       28 days   <0.01

                                     100     500      1                14 days   <0.01
                                                                       21 days   <0.01
                                                                       28 days   <0.01

              TMV-7      10% EC       50     500      1                2 weeks   <0.01
                                                                       3 weeks   <0.01
                                                                       4 weeks   <0.01

                                     100     500      1                2 weeks   <0.01
                                                                       3 weeks   <0.01
                                                                       4 weeks   <0.01
                                                                                                             

    Table 9 (con't)
                                                                                                             

                                     Dose    Spray    Applications  Preharvest          Residues
                                     Rate    Rate                
    Country   Variety  Formulation  (g/ha)  (l/ha)    No. Interval   Interval           (mg/kg)
                                                                                                             

    S. Africa            20% EC       10              1                7 days            <0.01
                                                                       12 days           <0.01
                                                                       25 days           <0.01

                                      15              1                7 days            <0.01
                                                                       12 days           <0.01
                                                                       25 days           <0.01
                                                                                                             

    Table 10  Cypermethrin Residues in Barley Grain
                                                                                                                                      

    Country      Variety   Formulation    Dose      Spray        Applications                                 Residues
                                          Rate      Rate                               Pre-harvest             (mg/kg)
                                          (g/ha)    (l/ha)    No.       Interval       Interval (days)
                                                                        (days)
                                                                                                                                      

    U.K.         Sonya     10% EC         25        250       2                              42              0.10
                 (Winter)                 50        250       2                              42              0.24

    Sweden                 6.25%          62.5                1                              49             <0.01

    Canada       Klages    4% EC          28        118       1                              26              0.22,0.30,0.27,0.22
                                                                                             42              0.13,0.15,0.12
                                                                                             66             <0.01,<0.01,<0.01,<0.01

                                          28        118       3         24 & 16              26              0.47,0.37,0.27,0.51

    Canada       Bonanza   40% EC         28        118       1                              25              0.08,0.16,0.16,0.18
                                                                                             32              0.11,0.16,0.16,0.08
                                                                                             48              0.03,0.02,0.04,0.03

                                          28        118       3         16 & 7               25              0.25,0.25,0.22,0.16

    Fed. Rep. of
    Germany      Aura      10% EC         50        500       1                              48              0.02

                 Aura      10% EC         50        500       1                              53              0.03
                                                                                                                                      

    Table 11.  Cypermethrin Residues in Mushrooms
                                                                                                                           

                                                           Dose      Spray          Application    Preharvest     Residues
    Crop         Country        Variety     Formulation    Rate      Rate           No.            Interval       (mg/kg)
                                                           (g/ha)    (l/ha)                        (days)
                                                                                                                           

    Mushrooms    Netherlands    Somycel 53  10% EC         60        10 000             2              1          0.02,0.03
                                                                                                       2          0.01,0.01
                                                                                                       3          0.01,<0.01

                                                           120       10 000             2              1          0.04,0.04
                                                                                                       2          0,02,0.02
                                                                                                       3          0.01,<0.01

                                                           240       10 000             2              1          0.08,0.07
                                                                                                       2          0.04,0.03
                                                                                                       3          0.02,0.02
                                                                                                                           
        At the two lower rates, cypermethrin levels were consistently below
    0.05 mg/kg in mushrooms sampled during the period 1-3 days after the
    second application.

    FATE OF RESIDUES

         Data were reviewed by the 1979 Meeting on the fate of residues
    during peeling, extraction, wine making, cooking and oilseed
    processing. Additional data are now available on juice production,
    cooking and oilseed processing and confirm the conclusions of the 1979
    Meeting.

    In Processing

         Black currants containing weathered residues of cypermethrin were
    processed through a laboratory simulation of the commercial process
    whereby black currant juice is extracted. On average, less than 0.5%
    of the original residue was transferred into the juice (Swaine
     et al 1981d).

         Cypermethrin levels in cabbage remained unchanged when samples
    were boiled for 15 minutes. No cypermethrin was detected in the
    water (limit of determination: 0.05 mg/kg) (Table 12) (Swaine
     et al 1982c).

    Table 12.  Distribution of Cypermethrin Residues in Cabbage
               before and after Boiling
                                                                        

             Residue    Fortification   Total      Residue Found (mg/kg)1
    Sample   (mg/kg)    level           Residue                         
                        (mg/kg)         (mg/kg)    Cabbage       Water
                                                                        

    1        0.02       1.0             1.02       1.03          0.05
    2        0.02       1.0             1.02       1.03          0.05
    3        0.02       1.0             1.02       1.03          0.05
                                                                        

    1  Limit of determination: 0.01 mg/kg (cabbage); 0.05 mg/kg (water)

         Two further cottonseed oil processing studies were conducted in
    the U.S. In 1979, samples of cottonseed were collected from a field
    trial 74 days after the last of eleven aerial applications of
    cypermethrin at approximately 70 g a.i./ha. In 1980, samples were
    collected 28 days after the last of seventeen aerial applications at
    approximately 130 g a.i./ha. The seed was processed using commercial
    type equipment. The whole cottonseed and each of the fractions
    produced were analysed for residues of cypermethrin. The results are
    shown in Table 13 (Ussary 1980, 1981).

    Table 13  Cypermethrin Residues in Cottonseed Process Fractions,
              U.S., 1979 and 1980
                                                                        

    Process Fractions             Cypermethrin Residues (mg/kg)1
                                                                        

                                    I        II       III
                                                                        

    Whole Cottonseed              0.017     0.031     0.035
    Hulls                         0.019     0.038     0.021
    Solvent Extracted Meal        0.008     0.006     Trace(<0.01)
    Crude Oil                     0.15      0.20      0.16
    Refined Oil                   0.18      0.28      0.11
    Refined, Bleached,
      Deodorized Oil              0.16      0.13      0.061
    Deodorized Distillates        0.025     0.033     Trace (<0.01)
    Soapstock                    <0.01     <0.01      ND

    1  All values corrected for analytical recovery.
       ND = not detected, less than 0.01 mg/kg.
                                                                        

         A sunflower seed oil processing study was conducted in Australia.
    Samples of air-dried seeds were extracted with hexane. The oil was
    refined and deodorized prior to analysis. Analysis of seed, oil and
    cake for cypermethrin yielded results as shown in Table 14 (Sobolewski
    1981). Residues in refined, deodorized oils are approximately twice
    the levels found in the whole seed.

    In Poultry and Poultry Products

         Data on the nature and level of residues in meat and milk,
    following oral administration of cypermethrin to cows, were reviewed
    at the 1981 Meeting. Corresponding data are now available for eggs and
    poultry meat.

    Radiolabelled studies

         In a radiolabelled study, 14C-phenoxy-labelled 55:45
     cis-trans cypermethrin was administered orally to laying hens daily
    for 14 days, at a rate equivalent to 10 ppm in the diet. Levels of
    radioactivity in the eggs reached a plateau on the eighth day of
    0.05 mg cypermethrin equivalents/kg, predominantly in the yolk. Of the
    total residue in the yolk, approximately 30% was identified as
    cypermethrin (of unchanged  cis:trans isomer ratio) and a further 4%
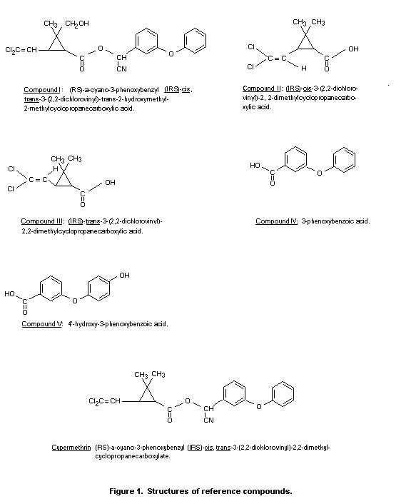
    was tentatively identified as  trans-hydroxy-cypermethrin (I)
    (Figure 1). The remainder of the radioactivity could not be separated
    from the natural egg yolk lipids.

        Table 14  Cypermethrin Residues in Sunflower Seed Processing Fractions, Australia, 1979-80

                                                                                                    

                                 Applications                        Cypermethrin Residues (mg/kg)
    Dose Rate    Spray Rate                           Preharvest                                      
    (g/ha)       (l/ha)                   Interval    Interval       Whole Seeds   Oil      Cake
                               No.        (days)      (days)
                                                                                                    

    75            315          2          16          14                0.04                <0.01
                   84                                 21                0.03       0.04     <0.01

    100           315          2          16          14                0.05       0.08     <0.01
                   84                                 21                0.04       0.09     <0.01

    200           315          2          16          14                0.11       0.28     <0.01
                   84                                 21                0.08       0.17     <0.01
                                                                                                    
    

         To examine residues in body tissues, the hens were sacrificed 4.5
    hours after receiving the final dose, when levels of radioactivity in
    tissues were as shown in Table 15. Of the tissues analysed, the liver
    contained the highest levels of radioactivity (equivalent to a mean of
    0.37 mg cypermethrin/kg). Of this, 0.06 mg/kg could be accounted for
    as cypermethrin and 0.01 mg/kg as 3-phenoxybenzoic acid. Several polar
    hepatic metabolites were present at levels equal to or less than that
    of cypermethrin itself and could not be converted in measurable
    quantities to either 3-phenoxybenzoic acid (IV) (3-PBA) or 4'-hydroxy-
    3-phenoxybenzoic acid (V) (Figure 1). In body fat, total residues were
    between 0.06 and 0.10 mg/kg. 56-59% of the radioactivity in peritoneal
    and subcutaneous fat was due to unchanged cypermethrin. Residues in
    breast and leg muscle, of 0.01-0.02 mg cypermethrin equivalents/kg,
    were too small to facilitate characterization (Shell 1982).

        Table 15.  Residues of Radioactive Cypermethrin and/or its Metabolites in Tissues
               of Laying Hens
                                                                                      

                             Cypermethrin residues (mg/kg) in tissues from 4 birds
                                                                                      

    Tissue1                  1         2         3         4         Mean      S.D.

    Fat (peritoneal)         0.11      0.07      0.09      0.06      0.08      (0.02)

    Fat (subcutaneous)       0.10      0.08      0.06      0.08      0.08      (0.02)

    Liver                    0.41      0.34      0.41      0.32      0.37      (0.05)

    Muscle (breast)          0.014     0.009     0.014     0.011     0.012     (0.002)

    Muscle (leg)             0.024     0.016     0.025     0.015     0.022     (0.005)
                                                                                      

    1  Residues measured 4 hours after the last of 14 daily oral doses of
       (14C-phenoxy-labelled) cypermethrin. Tissues of all birds measured in
       triplicate, liver in quadruplicate.
    
         These studies indicate that degradation of cypermethrin in hens
    initially occurs primarily by hydrolysis of the ester link, leading
    also to the formation of 3-(2,2-dichlorovinyl)-2, 2-dimethylcyclo-
    propane carboxylic acid. Hence, in the unlabelled studies described
    below, samples were analysed for this acid as well as for cypermethrin
    and 3-PBA.

    FIGURE 1

    Non-labelled studies

         In a study with 55:45  cis:trans cypermethrin, groups of 25
    laying hens were fed diets containing 0.4, 4 and 40 ppm for 28 days
    and then returned to a control diet for an additional 14 days. Samples
    of eggs laid throughout the study were taken for residue analysis.
    Groups of five hens were sacrificed after 21, 28, 35 and 42 days to
    provide tissues for residue analysis.

         Cypermethrin levels in the whole eggs reached a plateau after
    approximately seven days of 0.05-0.09 mg/kg at the 40 ppm dietary
    level. As predicted from the radiolabelled work, these residues were
    present primarily in the yolk. On cessation of dosing, the levels
    declined rapidly to below the limit of determination of 0.01 mg/kg.
    Only very small levels of cypermethrin, up to 0.03 mg/kg, were
    detected at the lower dietary rates. Residues of cis- and trans-3-
    (2,2-dichlorovinyl)-2,2-dimethylcyclopropanecarboxylic acid (DCVA)
    (II and III) and of 3-PBA (IV) were at or below the limit of
    determination (0.01 mg/kg for whole eggs or 0.02 mg/kg for separated
    yolks and albumin) (Table 16).

         In the flesh, small residues of cypermethrin (up to 0.06 mg/kg)
    occurred following the administration of a diet containing
    cypermethrin at 40 ppm. These declined steadily to 0.02 mg/kg when
    hens were returned to a normal diet. Small residues at the limit of
    determination occurred at the lower dietary levels. Residue levels of
    DCVA and 3-PBA did not exceed the limits of determination (0.02 mg/kg
    and 0.01 mg/kg respectively) during the treatment period. Two weeks
    after administration ceased no residues of DCVA or 3-PBA could be
    found (Table 15).

         Only very small residues of cypermethrin (up to 0.03 mg/kg) were
    found in the liver of hens at the 4 and 40 ppm dietary rates. These
    declined to the limit of determination (0.01 mg/kg) or less when the
    hens were returned to an untreated diet. 3-PBA was just detected
    (0.01 mg/kg) but only at the highest dietary rate, whereas DCVA was
    present at up to 0.24 mg/kg at this rate and at about one tenth of
    this level, 0.03 mg/kg, at the 4 ppm dietary rate. (These figures
    refer to the 28-day feeding period.) This pattern of metabolite
    residues is consistent with the radiolabelled work described above.
    Residues of both metabolites fell rapidly to, or below, the limit of
    determination (0.01 mg/kg) when the hens were returned to control diet
    (Table 17) (Wallace and Roberts 1982).

    APPRAISAL

         Further extensive residues data on a number of crops are now
    available. Those on soybeans arising from a request from the 1981
    Joint Meeting confirmed the MRL of 0.05 mg/kg recommended by the 1979
    Meeting.
        Table 16  Residues of Cypermethrin and its Acid Metabolites in Whole Eggs1
                                                                                                                                           
    Dose           Compound                                        Interval from Start of Feeding (days)
    Rate           Measured       -3        -1        3         7         14        21        25        28        31        39        42
                                                                                                                                           

    40             CPMT           NA        <0.01     0.03Y     0.05      0.18Y     0.04      0.03      0.09Y     0.03      <0.01     <0.01
                                                      <0.01W              <0.01W                        <0.01W

      4.0          "              NA        <0.01     <0.01Y    <0.01     <0.01Y    0.01      <0.01     <0.01     0.01      <0.01     <0.01
                                                      <0.01W              <0.01W

      0.4          "              NA        NA        <0.01Y    <0.01     <0.01Y    0.01      0.02      0.03      0.02      <0.01     <0.01
                                                      <0.01W              <0.01W

    Control        "              NA        NA        <0.01Y    <0.01     <0.01Y    0.01      <0.01     0.01      0.01      <0.01     <0.01
                                                      <0.01W              <0.01W

    40             DCVA           <0.01     NA        <0.02Y    0.01      <0.02Y    0.01      0.01      <0.02Y    0.01      <0.01     <0.01
                                                      <0.02W              <0.02W                        <0.02W

      4.0          "              NA        NA        NA        NA        NA        NA        NA        <0.01     NA        NA        NA

      0.4          "              NA        NA        NA        NA        NA        NA        NA        NA        NA        NA        NA

    Control        "              NA        NA        <0.02Y    NA        NA        NA        NA        NA        NA        NA        NA
                                                      <0.02W

    40             3-PBA          0.01      <0.01     <0.02Y    0.01      <0.02Y    0.01      0.01      <0.02Y    0.01      0.01      0.01
                                                      <0.02W              <0.02W                        <0.02W

      4.0          "              NA        NA        NA        NA        NA        NA        NA        0.01      NA        NA        NA

      0.4          "              NA        NA        NA        NA        NA        NA        NA        NA        NA        NA        NA

    Control        "              NA        NA        <0.02Y    NA        NA        NA        NA        NA        NA        NA        NA
                                                      <0.02W
                                                                                                                                           
    1  Values in mg/kg unless stated otherwise; NA = not analysed; Y, egg yolk only; W,egg white only.

    Table 17  Residues of Cypermethrin and its Acid Metabolites in Liver and Flesh
                                                                                                                  

                                                Liver (mg/kg)                        Flesh (mg/kg)
    Dose           Compound                 Interval from start of           Interval from start of feeding
    Rate           Measured                     feeding (days)                          (days)
                                    21        28        35        42        21        28        35         42
                                                                                                                  

    40             CMPT            0.03      0.021    <0.01     <0.01      0.062     0.041     0.03      0.02

     4.0           "               0.01      0.03     <0.01     <0.01      0.012     0.01      0.012    <0.01

     0.4           "               0.01      0.01     <0.01      0.01      0.022     0.012     0.012     0.012

    Control        "              <0.01     <0.01     <0.01      0.01     <0.01     NA         0.012    NA

    40             DCVA            0.21      0.241     0.03      0.01     <0.02      0.011    <0.02     <0.02

     4.0           "               0.02      0.03     <0.01      0.01     <0.02     <0.02     <0.02     NA

     0.4           "              <0.01     NA3       NA        NA        <0.02     NA        <0.02     NA

    Control        "              <0.01     <0.01     NA        <0.01     <0.02     NA        <0.02     <0.02

    40             3-PBA           0.01     <0.011    <0.01     <0.01      0.01     <0.011     0.01     <0.01

     4.0           "              <0.01     <0.01     <0.01     <0.01      0.02     <0.01     <0.01     NA

     0.4           "              <0.01     NA        NA        NA         0.02     NA         0.01     NA

    Control        "              <0.01     <0.01     NA        <0.01      0.02     NA         0.01     <0.01
                                                                                                                  

    1  Geometric mean of individual hen data;

    2  Residues confirmed by GC/MS with single ion monitoring;

    3  NA, not analysed.
             Residues data from several supervised trials on barley, carrots,
    kidney beans (with pod), currants, gooseberries, leeks, onions,
    peanuts, parsnips, swedes, spinach, sunflower seed, linseed and
    mushrooms enabled the Meeting to estimate maximum residue levels for
    these crops. The Meeting proposed that, since MRLs had now been
    recommended for all the major root and tuber vegetables at a level of
    0.05 mg/kg, this figure could be extrapolated to the remaining members
    of this commodity group and a group MRL of 0.05 mg/kg was recommended.
    Similarly a group MRL for oilseeds, based on data on cottonseed,
    rapeseed, sunflower seed and linseed, was recommended at 0.2 mg/kg.

         Both radio-labelled and non-labelled studies on the nature and
    level of residues in eggs and poultry meat were reviewed. Cypermethrin
    levels in whole eggs reached a plateau level, after approximately
    seven days, of 0.05 to 0.09 mg/kg at the 40 ppm dietary level (the
    highest tested), the residues being mainly in the yolk. Levels
    declined rapidly when dosing was stopped. The highest poultry flesh
    levels recorded were 0.06 mg/kg during feeding a dose level of 40 ppm
    in the diet.

         In practice, it is unlikely that residues of parent compound or
    metabolites will reach significant levels in eggs or poultry meat,
    since dietary levels will seldom exceed 1 ppm in the poultry whole
    diet for any appreciable period. The Meeting proposed an MRL of
    0.05 mg/kg for eggs and poultry meat.

         Further data on the effects of various methods of processing on
    cypermethrin residues confirmed the conclusions of the 1979 Meeting.
    Cypermethrin residues, being fat soluble, partition with fatty/oily
    fractions and usually remain unchanged, even on cooking. The Meeting
    estimated that the edible oil produced from vegetable oilseeds, as a
    group, was not likely to contain more than 0.5 mg/kg of cypermethrin.

    RECOMMENDATIONS

         The Meeting concluded that the residue levels listed below are
    suitable for establishing maximum residue limits. Attention is drawn
    to two group MRLs, which replace the individual commodities in the
    respective groups.

                                                 MRL (mg/kg)
                                                                        

         Barley                                  0.5
         Currants (black, red and white)         0.5
         Gooseberries                            0.5
         Kidney beans (in pod)                   0.5
         Leeks                                   0.5
         Mushrooms                               0.05
         Oilseeds                                0.2
         Onions                                  0.1
         Peanuts                                 0.02
         Root and tuber vegetables               0.05 (prev. potatoes
                                                       and sugarbeet)
         Spinach                                 2
         Eggs                                    0.05
         Poultry meat                            0.05
         Edible vegetable oils                   0.5
                                                                        

    REFERENCES

    Robertson, S. Cypermethrin residues in sunflower seed from
    1980     Argentina, ICI Plant Protection Division Residues Data, Nos.
             ADJ1136-7. (Unpublished)

    Shell Residues in eggs and tissues of domestic fowls following
    1982     repeated oral dosing with (14C-phenoxy) cypermethrin. Tox.
             Laboratory Report SBER.82.002. (Unpublished)

    Shell Chimie S.A. Report No. BESR.78.052. (Unpublished)
    1978

    1979     Reports Nos. BEGR.79.101 and 105. (Unpublished)

    1980     Reports Nos. BEGR. 030.041.045.80, 138, 144, 168, 174, 193,
             194.(Unpublished)

    1981     Reports Nos. BEGR.81.028,031,039,149,151,157,161.
             (Unpublished)

    1982     Reports Nos. BEGR.82.062,085.

    Shell Research Ltd. Reports Nos. BLGR.80.068,072,122. (Unpublished)
    1980

    1981     Reports Nos. BLGR.81.027,037,108. (Unpublished)

    Sobolewski. Cypermethrin residues in sunflower seed, oil and cake
    1981     from Australia. ICI Australia Residues Data. (Unpublished)

    Swaine, H., Sapiets, A., Robertson, S. and Bailey, M. Cypermethrin
    1980a    residues in carrot, parsnip, potato, sugar and swede. UK,
             1980. ICI Plant Protection Division Residue Data Report.
             (Unpublished)

    1980b    Cypermethrin residues in black currants, gooseberry,
             raspberry and strawberry. UK, 1980. ICI Plant Protection
             Division Residue Data Report. (Unpublished)

    1980c    Cypermethrin residues in winter barley and winter wheat; UK,
             1979-1980. ICI Plant Protection Division Residue Data
             Report. (Unpublished)

    Swaine, H., Sapiets, A., Burke, S. and Hulm, Y. Cypermethrin
    1980a    residues in onions: Canada, 1979. ICI Plant Protection
             Division Residue Data Report. (Unpublished)

    Swaine, H., Sapiets, A. and Farelly, E. Cypermethrin residues in
    1981a    onions: Canada, 1980. ICI Plant Protection Division Residue
             Data Report. (Unpublished)

    1981b    Cypermethrin residues in beans (broad, dwarf, field): UK,
             1981. ICI Plant Protection Division Residue Data Report
             No. PP383B101. (Unpublished)

    1981c    Cypermethrin residues in spinach and kale: UK, 1980. ICI
             Plant Protection Division Residue Data Report. (Unpublished)

    Swaine, H., Sapiets, A, and Robertson, S. Cypermethrin black currant
    1981d    processing study: UK, 1981. ICI Plant Protection Division
             Residue Data Report No, PP383B092. (Unpublished)

    Swaine, H., Sapiets, A. and Farelly, E. Cypermethrin residues in
    1982a    Leeks: Holland, 1981. ICI Plant Protection Division Residue
             Data Report No. PP383 B111. (Unpublished)

    1982b    Cypermethrin residues in mushrooms: Holland, 1981. ICI Plant
             Protection Division Residue Data Report No. PP383B116.
             (Unpublished)

    Swaine, H., Sapiets, A. and Robertson, S. Cypermethrin: cabbage
             processing 1982c study: UK, 1981. ICI Plant Protection
             Division Residue Data Report No. PP383B131. (Unpublished)

    1982d    Cypermethrin residues in wheat and barley: Sweden, 1981. ICI
             Plant Protection Division Residue Data Report No. PP383B112.
             (Unpublished)

    Ussary, J.P. Cypermethrin residues in cottonseed process fractions,
    1980     ICI Americas Inc., Agricultural Chemicals Division Report
             No. TMU0518/B (Revised). (Unpublished)

    Ussary, J.P. Cypermethrin residues in cottonseed process fractions.
    1981     ICI Americas Inc., Agricultural Chemical Division Report
             No. TMU0667. (Unpublished)

    Ussary, J.P. Cypermethrin residues on soybeans. ICI Americas Inc.
    1982     Agricultural Chemicals Division Report No. TMU0898/B.
             (Unpublished)

    Wallace, B.G. and Roberts, T.R. Cypermethrin - a residue transfer
    1982     study with laying hens. Shell Research Ltd., London, Report
             No. SBGR. 81.283. (Unpublished)


    See Also:
       Toxicological Abbreviations
       Cypermethrin (EHC 82, 1989)
       Cypermethrin (HSG 22, 1989)
       Cypermethrin (ICSC)
       CYPERMETHRIN (JECFA Evaluation)
       Cypermethrin (PIM 163)
       Cypermethrin (Pesticide residues in food: 1981 evaluations)
       Cypermethrin (Pesticide residues in food: 1983 evaluations)
       Cypermethrin (Pesticide residues in food: 1984 evaluations)