IPCS INCHEM Home


    PESTICIDE RESIDUES IN FOOD - 1982


    Sponsored jointly by FAO and WHO






    EVALUATIONS 1982





    Data and recommendations of the joint meeting
    of the FAO Panel of Experts on Pesticide Residues
    in Food and the Environment and the
    WHO Expert Group on Pesticide Residues
    Rome, 23 November - 2 December 1982

    Food and Agriculture Organization of the United Nations
    Rome 1983


    BENDIOCARB

    IDENTITY

    Chemical Name

    2,3-isopropylidene-dioxyphenyl methyl carbamate

    2,2-dimethyl-1,3-benzodioxol-4-yl N-methyl carbamate

    2,2-dimethyl-1,3-benzodioxol-4-ol methyl carbamate

    Synonyms

    FicamR: GarvoR: SeedoxR: TurcamR: MultamatR: NiomilR: TattooR:
    Ent-27695: OMS 1394: NC 6897.

    Structural formula

    CHEMICAL STRUCTURE 1

    Molecular formula        C11 H13 NO4

    Other Information on Identity and Properties

    Molecular weight                       223.25

    State                                  white crystalline solid

    Melting point                          132°C

    Vapour pressure                        5.0 × 10-6mm Hg at 25°C

    Solubility                             At 25°C 0.04 g/l in water:
                                           0.35 g/l in hexane: 0.3 g/l in
                                           kerosene: 10 g/l in
                                           trichloroethylene and o-xylene:
                                           40 g/l in benzene and ethanol:
                                           200 g/l in acetone, chloroform,
                                           dichloromethane and dioxane:
                                           300 g/l in glycerol and dimethyl
                                           sulphoxide: 640 g/l in dimethyl
                                           formamide.

    Stability                              In aqueous solution at 25°C the
                                           half-life of bendiocarb is 48
                                           days at pH5, 81 hours at pH7 and
                                           45 minutes at pH9. At pH9
                                           hydrolysis of bendiocarb results
                                           in the formulation of the phenol,
                                           NC 7312 whereas below pH5
                                           bendiocarb slowly degrades to
                                           pyrogallol and acetone.
                                           Bendiocarb is stable at
                                           temperatures of up to 100°C and
                                           on non-absorptive surfaces and at
                                           low humidity it resists
                                           oxidation. In aqueous solutions
                                           above pH6 hydrolysis rather than
                                           photolysis is the principal
                                           method of degradation but below
                                           pH5 hydrolysis has little effect
                                           and the photolysis half life is
                                           51 hours.

    Specification of technical material  Current technical material has a
                                           typical purity of about 98%, the
                                           main impurities being 2,2-
                                           dimethyl-1,3-benzoxdiol-4-ol(NC
                                           7312), and to a lesser extent,
                                           pyrogallol tris (methyl
                                           carbamate).

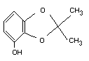
    Physical and Chemical Data on NC 7312, a metabolite of Bendiocarb

    Chemical Names

         2,2-dimethyl-1,3-benzoxodiol-4-ol

    Synonyms

         2,2-dimethyl-4-hydroxy-1,3-benzodioxole

         2,3-isopropylidene dioxyphenol

    Structural formula

    CHEMICAL STRUCTURE 2

    Molecular formula

         C9H10O3

    Other information on identity and properties

    Molecular weight                       166

    State                                  White crystalline solid

    Melting point                          91-93°C

    Solubility                             At 25°C 20 g/l in water and
                                           50 g/l in dichloromethane; very
                                           soluble in methanol, ethanol and
                                           acetone.

    Vapour pressure                        2.34 × 10-3mm Hg at 25°C.

    EVALUATION FOR ACCEPTABLE DAILY INTAKE

    BIOCHEMICAL ASPECTS

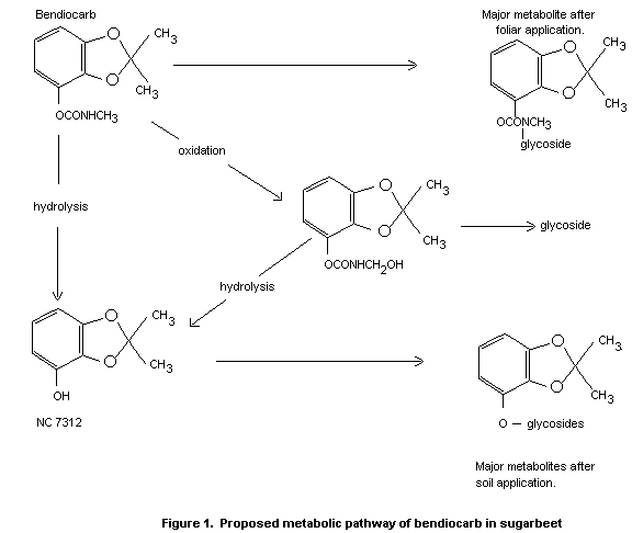
    Absorption, Distribution, Excretion and Biotransformation

    Mouse

         In groups of male mice (CFLP strain) acutely intubated with
    14C-bendiocarb (14C-bendiocarb with label at the heteroclyclic ring
    was used in this and all of the other available metabolism studies on
    bendiocarb) at 1, 5 or 10 mg/kg body weight, over 80% of the
    administered dose was excreted in 24 hours, primarily in the urine.
    Less than 10% of the administered 14C was recovered in the faeces.
    The proportion of metabolites formed in the urine, but not the rate
    and route of elimination, was dose-dependent. Thus, the level of NC
    7312 (2,2-dimethyl-1,3-benzoxodiol-4-ol) (as conjugates) recovered in
    the urine was 36, 32, 17 (as % of administered radioactivity),
    respectively, at 1, 5, 10 mg/kg. Only one urinary metabolite other
    than conjugated NC 7312 was detected, which was believed by
    the authors of the report to be probably a conjugate of
    6-hydroxybendiocarb (Challis and Adcock 1977a).

         Another similar mouse study with groups of males of the CD-1
    strain treated orally with single doses of 14C-bendiocarb at 1, 5 or
    10 mg/kg body weight indicated recovery of about 80% of the
    administered radioactive dose in 24 hours, predominantly in the urine.
    A significant dose-dependent relationship was not evident with respect
    to rate and route of elimination or metabolic profile of bendiocarb.
    About 33-56% of the administered 14C-doses was recovered in the urine
    as conjugates of NC 7312. Conjugated 6-hydroxy bendiocarb was believed
    by the authors of the study to be the only other major urinary
    metabolite (Pearce  et al 1977).

    Rat

         Male and female rats treated with a single oral dose of
    14C-bendiocarb at approximately 10 mg/kg body weight eliminated over
    95% of the administered radioactivity in urine (89%), expired air (6%)
    and faeces (2%) within 2 days of dosing. There was no significant sex
    different in rate and route of elimination. Following an acute oral
    dose of 14C-bendiocarb at 1 mg/kg body weight, plasma levels in male
    and female rats peaked at 10 minutes post treatment with plasma half-
    life being calculated at 4.4 hours for both sexes. The major urinary
    metabolite was the phenol (NC 7312) which, excreted as ß-glucuronide
    and sulphate conjugates, accounted for more than 85% of the
    administered dose recovered in the urine during the first 24 hours
    after treatment. The remaining 15% eliminated over this time period
    comprised a mixture of sulphate and ß-glucuronide conjugates of at
    least seven minor metabolites. One of the latter appeared to be
    N-hydroxy methyl bendiocarb. No unchanged parent compound was found in
    the urine. In the faeces free NC 7312 was the primary metabolite with
    a small amount of 14C-bendiocarb being detectable (Adcock and Challis
    1976a).

         Conjugated NC 7312 was found to be the primary metabolite in
    urine collected during 0-24 hours after treatment withdrawal in male
    and female rats (CFY strain) fed 20 ppm of 14C-bendiocarb in the diet
    for 10 days. At sacrifice 6 days after termination of dietary feeding,
    detectable 14C residues were found in the tissues analysed (fat,
    liver, kidney, muscle and brain) with the fat tissue having the
    highest residue level. According to the partition characteristics of
    the 14C residue in fat into organic solvents, radioactive residue in
    fat was probably not mainly due to bendiocarb or NC 7312 (Pearce and
    Adcock 1978).

    Hamster

         Groups of 6 or 10 male hamsters were intubated with
    14C-bendiocarb in glycerol formal at 1, 5 or 10 mg/kg. Four female
    hamsters were similarly treated at 10 mg/kg body weight. Over 90% of
    the administered 14C-dose was recovered in 24 hours in the faeces and

    the urine, with the latter being the primary route of elimination. The
    rate and route of excretion was not modified by sex or dosage level.
    The proportion of total radioactivity recovered in the urine as
    conjugates of NC 7312 was about 37% at 1 mg/kg, 16% at 5 mg/kg and 19%
    at 10 mg/kg. Besides conjugated NC 7312, urine of male hamsters
    contained two metabolites in approximately equal amounts, while that
    of female hamsters had only one radioactive component. A conjugate of
    6-hydroxy bendiocarb was believed by the authors to be the major
    urinary metabolite in both males and females. The other urinary
    metabolite in male hamsters had not been identified. The seeming sex
    difference in metabolic fate of bendiocarb remains to be ascertained,
    since the male and female hamsters used in the study were housed and
    dosed at different laboratories (Challis and Adcock 1977b).

    Rabbit

         Groups of pregnant rabbits were intubated on day 20 of gestation
    with one dose of 2.5 or 10 mg/kg body weight of 14C bendiocarb.
    Within 24 hours of dosing, nearly 90% of the administered dose had
    been eliminated, primarily in the urine, with only a small amount
    (<2.5%) being detected in the faeces. The rate and route of
    elimination and metabolic profile of bendiocarb appeared to be
    independent of dosage. The major urinary metabolite was identified as
    NC 7312, which accounted for 90% of the radioactivity extracted from
    urine samples following enzyme (sulphatase and ß-glucuronidase)
    hydrolysis (Challis 1980).

    Dog

         Groups of one male and one female beagles (fasted overnight and
    for 8 hours following dosing) were treated once with 14C-bendiocarb
    in gelatin capsules at 0.1, 1.0 or 10 mg/kg body weight. Regardless of
    dosage level, the radioactive dose was almost completely excreted
    during the first 24 hours post-dosing, primarily in the urine. The
    amount of radioactivity found in the urine of both sexes over the
    48-hour period seemingly decreased with dosage (about 90% at 0.1 mg/kg
    body weight, 80% at 1.0 mg/kg body weight and 70% at 10 mg/kg body
    weight). This appeared to be accompanied by a corresponding increase
    in faecal recovery (about 19%, 21% and 24%, respectively, at 0.1, 1.0
    and 10 mg/kg body weight). In the urine, approximately 84%, 67% and
    43% of the administered radioactivity, respectively, at 0.1, 1.0 and
    10 mg/kg body weight occurred as sulphate and ß-glucuronide conjugates
    of NC 7312 with no recovery of any 14C-bendiocarb. Analysis of urine
    samples from male dogs at 10 mg/kg body weight indicated the probable
    presence of ring hydroxylated derivatives of bendiocarb as minor
    metabolites. Unchanged 14C-bendiocarb was the only component
    identified in the faeces and amounted to about 80% of the
    radioactivity recovered via this route (Warner  et al 1977).

    Effects on Enzymes and Other Biochemical Parameters

    Mouse

         In male and female mice (Charles River CD-1 strain) fed technical
    bendiocarb containing 0.09% w/w of dimethoate) in their diets at 0 or
    1 250 ppm for 19 days, whole blood cholinesterase in blood sampled
    between 06:00 hour and 08:00 hour, but not between 09:00 hour and 11
    hours (peak feeding period stated to occur between 22:00 hour and
    09:00 hour) was depressed (>20%) only in treated males in weeks 2 and
    3 (Hounsell and Rush 1980).

         Male CFLP mice and male CD 1 mice were fed dietary levels of
    technical bendiocarb at 0, 500 or 1 000 ppm for up to 7 days. In the
    CFLP strain, whole blood cholinesterase activity was reduced (>20%)
    at 1 000 ppm in animals fed the diet  ad libitum and in those
    following a 1-hour feeding period on the 7th day after an overnight
    fast. In the CD-1 mice, whole blood cholinesterase was depressed
    (>20%) in the 500 and 1 000 ppm groups following an overnight fast
    and exposure to the diet for 1 hour on day 7.  Ad libitum feeding
    resulted in decreased whole blood cholinesterase in the 500 but not in
    the 1 000 ppm groups (Hounsell 1981a).

    Rat

         Groups of rats (sex unspecified) were treated orally with
    4 mg/kg/day of technical bendiocarb in glycerol formal for three
    consecutive days. Inhibition (65-85%) of cholinesterase in whole blood
    and plasma peaked at 10 minutes after each dose on days 1 and 3.
    Recovery of whole blood and plasma cholinesterase began to occur 30
    minutes following each dose, and was practically complete three days
    after treatment withdrawal. Whole blood cholinesterase appeared to be
    more sensitive than plasma cholinesterase to the inhibitory effect of
    bendiocarb (study cited by Kemp and Hounsell 1974).

         Male rats (CFY Sprague-Dawley) were fed dietary levels of
    technical bendiocarb up to 10 ppm for 14 days, followed by an
    overnight fast. Whole blood cholinesterase, assayed in the morning of
    the 15th day after a 1-hour feeding period, was not significantly
    inhibited (<20%) (Hounsell 1981b). Another similar study with the
    same strain and sex of rats fed diets containing technical bendiocarb
    for up to 23 days indicated that, following overnight fasting and a
    one-hour feeding period, animals exhibited a depression (20%) of whole
    blood cholinesterase at 50 ppm on days 15 or 16 and 22 or 23 (Hounsell
    1981c).

    Dog

         In 4 male beagles (fasted the day before the test) fed a diet
    containing 1 000 ppm of technical bendiocarb for up to one hour
    (actual intake of the test material estimated at 6 - 8.6 mg/kg body
    weight), inhibition (>50%) of brain and whole blood cholinesterase
    was apparent 15 minutes after the feeding period. Whereas depression
    of whole blood cholinesterase peaked at 2 hours and was completely
    reversible at 3 hours following the feeding period, the extent of
    inhibition of brain cholinesterase remained fairly constant between
    15 minutes and 3 hours (the last sampling interval) after the dosing
    period (Hounsell 1974). Another experiment with 2 female beagles
    (24-hour fasted) fed a dietary level of 10 ppm of technical bendiocarb
    for about 10 minutes (actual intake of the test material estimated at
    approximately 32.4 mg/kg) showed reduction of whole blood
    cholinesterase activity of about 27% and 52% of the pretreatment level
    at 1 hour and 6 hours, respectively, post dosing. Cholinegesic
    symptoms were noted within 24 minutes of the initiation of feeding.
    Complete recovery of whole blood cholinesterase activity and from
    toxic signs occurred 24 to 25 hours after treatment (Kemp and Hounsell
    1974).

    Cow

         A lactating dairy cow was fed technical bendiocarb in the daily
    diet at 3.6 ppm for two consecutive days (ration was offered twice
    daily). No reduction (<20%) in whole blood cholinesterase was
    observed at any of the 8-hourly intervals following the morning
    feeding on both days (Roberts 1979).

    TOXICOLOGICAL STUDIES

    Special Studies on Reproduction

    Rat

         Groups of 17 to 21 mated rats (Sprague-Dawley CFY strain) were
    fed diets containing technical bendiocarb at 0, 200, 400 or 800 ppm
    from 14 days post-coitum until weaning of their pups. A decrease in
    maternal body weight gain was noted at 800 ppm on days 17 and 20 post-
    coitum and practically throughout the 21-day lactation period. At this
    dietary level, survival and weight gain of pups were depressed
    throughout lactation. No treatment-related effects were observed on
    other parameters monitored, i.e. mortality and clinical signs of
    pregnant dams, sex ratio and gross abnormalities of offspring (Jackson
    1978).

         Groups of 10 males and 20 female rats (SPF, CFY strains) were fed
    dietary concentrations of bendiocarb (presumably technical grade) at
    0, 200, 400 or 800 ppm for one week prior to mating. The females were
    maintained on test diets through day 18 of gestation and the males
    until termination. There were no mortalities or toxic symptoms. Growth
    was slightly depressed in males at 800 ppm and in females at 400 ppm
    and above. Pregnancy rate, duration of gestation period and terminal
    gross pathology were not adversely affected. Medium precoital time (as
    an indication of mating performance) of dams was lengthened at both
    400 and 800 ppm. In the progeny generation, except for a slight
    decrease at 400 ppm and above in mean pup weight at birth, no apparent
    dose- or treatment-related effects were evident on litter size at
    birth, survival and weight of pups through lactation period to
    weaning, sex ratio and incidence of gross abnormalities of weanlings
    (Palmer and Allen 1978).

         Groups of 30 males and 30 females (Charles River CD strain) were
    fed dietary levels of technical bendiocarb at 0, 10, 50 or 250 ppm for
    90 days prior to mating to initiate a reproduction study covering
    three generations with two litters per generation. Weanlings from the
    second litters were selected to become parents of the next generation.
    After the second mating trial in each generation, the dams in each
    group were divided into two approximately equal sub-groups. One
    sub-group was allowed to deliver and rear their young until 25 days
    post-partum. Another sub-group was sacrificed on day 21 of gestation
    for examination of uterine contents. Foetuses were examined for
    external, skeletal and soft tissue malformations.

         In the parental generations, no mortality or clinical signs
    attributable to the compound were evident. Dams displayed slight
    growth depression during the gestation period of F1a litters at
    50 ppm and above and of F2b litters at 250 ppm. Food consumption was
    normal, but water intake was slightly decreased at 250 ppm in F1
    females. Males of the F2 generation seemed to exhibit an increase in
    incidence and severity of "geriatric nephropathy" at and above 50 ppm.
    Ophthalmoscopic examination conducted on F2 adults between 31 and 35
    weeks of age revealed no treatment-related findings. At terminal
    sacrifice of parental animals after weaning of the second litters,
    some variations from controls in absolute weights and/or organ/body
    weight ratios of certain tissues such as adrenal, pituitary, thyroid,
    seminal vesicles and uterus were noted at both 50 and 250 ppm, but
    these observations were not consistently present through the
    generations and were not accompanied by histopathological lesions of
    the organs. Mating and fertility indices as well as length of
    gestation period were not modified by bendiocarb. There was an
    increase in frequency of F0 females being acyclic or pseudopregnant
    at 250 ppm and of F2 females with irregular oestrous cycles at 50 ppm
    and above, prior to the first mating trial in both cases. Pre-coital
    interval was lengthened at 250 ppm in the F0 generation (first
    mating).

         Over the three progeny generations, the viability index was
    slightly depressed in F1a litters at 250 ppm from days 10 through 25
    and in F2b litters at 50 ppm and above on day 25. Pup weight was
    reduced at 250 ppm in F1a and F1b litters on day 25 and in F2b
    litters at birth through day 25. In F2a litters, pup weight on day 25
    was decreased in all treated groups, but the difference was indicated
    by the authors of the report to be statistically significant only at
    10 ppm, but not above. There were no significant differences between
    control and treated groups in litter size (at birth and on day 1), sex
    ratio, ophthalmoscopic observations of F3b pups between 19 and 31
    days of age, organ weight and histopathological findings of 25-day old
    F3b pups. Examination of 25-day old pups from the second litters of
    each generation for rate of physical development and sensory functions
    revealed "the onset of pinna unfolding, hair growth, tooth eruption
    and eye opening was marginally delayed in all treated (F1b) litters,
    but the overall pattern of physical development was essentially
    similar in all groups, and "the onset of pinna unfolding and hair
    growth was marginally delayed (in F2b litters at both 50 and 250 ppm)
    but eye opening and tooth eruption was unaffected".

         Teratological investigation of F1b, F2b and F3b litters showed
    no significant differences between control and treated groups with
    respect to number of implantations, number of viable young, early or
    late resorptions, post-implantation loss and foetal weight. A rise in
    pre-implantation loss in F1b litters was noted at 250 ppm. Also at
    the top dosage level, there were higher incidences of generalized
    subcutaneous oedema, incomplete ossification of cranial bone,
    uni/bilateral hydronephrosis and bilateral ureter in F1b litters and
    of subcutaneous scapular haemorrhage in F3b litters, as compared to
    concurrent controls. Based on the data, a dietary level of 10 ppm was
    without significant adverse effect on the reproductive parameters
    evaluated. The teratogenic "no effect" level was demonstrated to be
    50 ppm (Tesh  et al 1981).

    Special Studies on Teratogenicity

    (also see under "Special Studies on Reproduction")

    Rat

         Groups of 24 mated rats (Sprague-Dawley derived, CD strain) were
    intubated with technical bendiocarb as a suspension in gum tragacanth
    at 0, 0.25, 1 or 4 mg/kg body weight/day between gestation day 6 and
    day 15 (day 0 = day of positive vaginal smear). The dams were
    sacrificed on gestation day 21 and foetuses were removed by caesarean
    section for external, visceral and skeletal examination. There was no
    mortality. Dams at 4 mg/kg body weight/day exhibited toxic symptoms
    characteristic of cholinesterase inhibition and slight growth
    inhibition on gestation day 21. Two dams (out of 21) at 4 mg/kg body
    weight/day and 1/22 dams at 1 mg/kg body weight/day displayed a large
    number of late uterine deaths. Mean litter size was depressed at

    4 mg/kg body weight/day. There were no significant differences between
    control and treated groups in pregnancy rate, number of corpora lutea
    or implantation sites, number of early resorptions, foetal weight and
    frequency of foetal abnormalities. The study demonstrated bendiocarb
    to be non-teratogenic under the conditions of the experiment (Tucker
    1974).

    Rabbit

         Groups of 27-29 female rabbits (New Zealand White) that had been
    artificially inseminated were intubated with technical bendiocarb as a
    suspension in aqueous gum tragacanth at 0, 1, 2.5 or 5 mg/kg body
    weight/day from day 6 to day 28 inclusive of gestation. (Day 0 = day
    of insemination.) The does were sacrificed on day 29 of gestation and
    uterine contents were examined. Foetuses were subjected to evaluation
    for external, skeletal and internal malformations. Six to eight
    females per control or treated group died 6 to 29 days after
    insemination mainly due to "tracheal intubation". Clinical signs such
    as increased respiratory rate and prostration were noted at and above
    2.5 mg/kg body weight/day. Growth was slightly depressed at 5 mg/kg
    body weight/day between gestation days 16 and 28. Whole blood
    cholinesterase assayed 30 minutes post-dosing on day 28 was depressed
    (31-70%), in a dose-dependent manner, in all treated groups. One doe
    each at 2.5 and 5 mg/kg body weight/day aborted on day 22 and 20,
    respectively. Premature parturition occurred in one doe each of 2.5
    and 5 mg/kg body weight/day groups on day 28. An increase was observed
    in the mean number of late resorptions per litter and the incidence of
    pregnant does with late resorptions at both 2.5 and 5 mg/kg body
    weight/day. Post-implantation loss (number of implantations - number
    of viable foetuses/number of implantations × 100) was elevated at
    2.5 mg/kg body weight/day and above.

         Other parameters monitored, including number of corpora lutea,
    implantations, viable young, or early resorptions, pre-implantation
    loss, foetal weight and placental weight, were not adversely affected
    by treatment. There was a dose-related increase in incidence of
    foetuses with eye anomalies (mainly "cloudy areas in eyes") and with
    absence of pubic bones at both 2.5 and 5 mg/kg body weight/day.
    Incidence of litters containing foetuses showing such abnormalities
    was also elevated at and above 2.5 mg/kg body weight/day. In the
    absence of background data on frequency of the abnormalities in
    question, 1 mg/kg body weight/day may be considered as a clearcut "no
    effect" level with respect to teratogenicity (Tesh  et al 1980).

    Special Studies on Mutagenicity

         Two separate experiments were conducted with technical bendiocarb
    and NC 7312 to evaluate their genetic activity  in vitro microbial
    systems (plate assays), with or without the addition of a mammalian
    metabolic activation preparation (S-9 mix from the liver of male rats

    pre-treated with Aroclor 1254 i.p. at 500 mg/kg/day for five days).
    Indicator organisms used were  Salmonella typhimurium strains TA
    1535, TA 100, TA 1537, TA 1538 and TA 98. Results suggest
    non-mutagenicity of the test compounds to any of the tested strains at
    the (non-toxic) concentrations used (3.3-1 000 µg/plate of bendiocarb
    and 10-3 300 µg/plate of NC 7312) in the presence or absence of
    metabolic activation and under the conditions of the assays
    (McConville and McGregor 1979; McConville and Harris 1979). Negative
    results were also obtained in another reversion mutation test using
     Escherichia coli WP2 and five strains of the  Salmonella 
     typhimurium TA series as indicator organisms in the presence of
    absence of a liver metabolic activation system at concentrations of
    technical bendiocarb ranging from 5 to 1 000 µg/plate (Moriya
     et al 1981).

         A rec-assay conducted with  Bacillus subtilis H17 (rec+) and
    M45 (rec-) in the absence of a metabolic activation preparation
    indicated that technical bendiocarb, at concentrations of 20 to
    5 000 µg/disc, did not induce any inhibitory zone in either tested
    strain (Moriya  et al 1981).

         Technical bendiocarb was evaluated for its mutagenic activity in
    a mouse lymphoma L5178Y specific locus mutation assay. Under the
    conditions of the test, there appeared to be no consistent indications
    of mutagenicity of the compound in the absence or presence of a
    metabolic activation system (S-9 homogenate of liver from male adult
    Fischer rats induced with Aroclor 1254) at concentrations ranging from
    5 to 20 µg/ml (McGregor and Ross 1981).

         In a micronucleus test, groups of male mice were treated with
    technical bendiocarb i.p. at 0, 0.625, 1.25 or 2.5 mg/kg body
    weight/day for two consecutive days (the two doses were given 24 hours
    apart). The animals were sacrificed 6 hours after the second dose and
    the femurs were removed for the preparation of bone marrow smears.
    There was no significant increase in the frequency of polychromatic
    erythrocytes containing micronuclei or change in polychromatic/
    normochromatic ratio in any treated group (Hounsell and Walker 1982).

         Groups of 20 sexually mature virgin male rats (Sprague-Dawley CD
    strain) were fed diets containing technical bendiocarb at 0, 10, 50 or
    250 ppm for 13 consecutive weeks and then mated with sexually mature
    virgin female rats for seven days in a dominant lethal assay. (Each
    group was sub-divided into sub-groups A and B with commencement of
    dietary feeding of the groups being staggered by one week.) The
    females were sacrificed 14 ± 1 days after mating and autopsied for the
    examination of uterine contents. The treated males exhibited no
    clinical signs and their body weight and food consumption were not
    adversely affected by treatment. The incidence of non-fertile males
    were 1/20 at 50 ppm and 2/20 each at 10 ppm and 250 ppm. With the
    exception of one infertile male at 250 ppm, abnormally small testes

    and epididymis were found in the other four infertile males. An
    increase (not dose-related) in incidence of litters with at least one
    early death was observed (in sub-group B only) at 10 ppm and 250 ppm,
    but this was not accompanied by a rise in the number of early deaths
    per litter. There were no significant differences between control and
    treated groups with respect to pregnancy rate, number of corpora
    lutea, number of total implants, number of viable implants and pre-
    implantation loss. Bendiocarb did not appear to induce dominant lethal
    mutation under the experimental conditions used (Kemp and Jackson
    1977).

    Special Studies for Carcinogenicity

    Mouse

         Groups of 50 males and 50 females (HaM/ICR Swiss mice CD-1; about
    35 days old) were fed diets containing technical bendiocarb, found to
    contain up to 0.5% dimethoate or dimethoate decomposition products, at
    50, 250 or 1 250 ppm. The control group consisted of 100 males and 100
    females. The experiment was originally scheduled to be terminated
    at a predetermined survival level or 104 weeks at the latest. The
    predetermined level was reached after 89 weeks in males and 94 weeks
    in females. Mortality rate was increased in females at 1 250 ppm after
    85 weeks. Less than 40% of animals in control and treated groups were
    still alive at termination, but over 50% of animals of all groups,
    including the control, survived at least 82 weeks. All animals that
    died or were sacrificed in moribund condition during the study and
    those sacrificed terminally were necropsied. A wide range of tissues
    and any unusual lesions from animals of all groups, including the
    control, found dead or sacrificed moribund and from all terminal
    survivors of control and top dosage groups were examined
    microscopically. Any unusual lesions from terminal survivors at both
    50 and 250 ppm were also subject to histopathological evaluation.

         Clinical signs, body weight, food and water consumption were not
    significantly different from those in the controls. Ophthalmoscopic
    examination conducted at four intervals during the study seemed to
    suggest a probable increase at week 89 in incidence of cataract
    ("posterior cortical or more advanced") in males at 1 250 ppm. At
    terminal sacrifice, males at 1 250 ppm showed an increase in absolute
    testes weight and testes/body weight ratio and females of all treated
    groups displayed a dose-related increase in absolute weight and
    organ/body weight ratio of kidney. There were no treatment-related
    microscopic changes in the tissues evaluated, including testes and
    kidney.

         Analysis of tumour data appeared to indicate no significant
    difference between control and top dosage groups in the incidence of
    any particular type of tumour. Under the conditions of the study,
    bendiocarb was not carcinogenic to the mouse (Serota  et al 1981).

    Rat

         See under Long-Term Studies.

    Special Studies on Neurotoxicity

    Hen

         Seven adult hens (15 months old) were given a single subcutaneous
    dose of bendiocarb ("laboratory grade") at 60 mg/kg body weight (the
    subcutaneous LD50 of bendiocarb in hens was indicated to be about
    80 mg/kg body weight). A second dose was given 3 weeks later. The
    control group consisted of seven untreated hens. The birds were
    observed for a total of 6 weeks from the initial dose before sacrifice
    for gross pathology and histopathological examination of the
    spinal cord and sciatic nerve. There were no clinical signs or
    histopathological evidence suggestive of delayed neurotoxicity of the
    compound in any of the treated hens (Sanderson and Hounsell 1969).

         Groups of domestic hens, approximately 14-months old (20 birds in
    the top dosage group and 10 birds in each other group) were acutely
    intubated with technical bendiocarb in maize oil at 0, 189, 378 or
    757 mg/kg body weight and observed for 21 days prior to sacrifice for
    histopathological examination of the brain, spinal cord and distal
    sciatic nerve. The hens were given 10 mg/kg body weight of atropine
    intramuscularly immediately before the dose of bendiocarb. (Before
    initiation of the neurotoxicity study, the oral LD50 of bendiocarb
    was found to be 137.3 mg/kg body weight in hens not pretreated
    intramuscularly with 10 mg/kg body weight of atropine and 757 mg/kg
    body weight in atropine-protected hens.) One hen at 378 mg/kg body
    weight and a total of 8 hens at 757 mg/kg body weight died. Except for
    "doubtful signs" of ataxia noted in 1/10 hens at 189 mg/kg body weight
    on days 9 and 10 only, there were no delayed neurotoxic signs in any
    other treated birds during the 21-day exposure observation period.
    None of the bendiocarb-treated survivors or negative controls
    exhibited microscopic evidence of neurological lesions. Positive
    controls, dosed orally with TOCP at 500 mg/kg body weight, displayed
    typical neurotoxic signs and significant morphological changes of the
    nervous tissues (Ross  et al 1978).

    Special Studies on Skin and Eye Irritation

         Technical bendiocarb was shown to be a mild irritant when applied
    to the skin of New Zealand White rabbits (Cuthbert 1978).

         An eye irritant study in New Zealand White rabbits indicated
    technical bendiocarb to be minimally irritating to the eye (Cuthbert
    1980).

    Special Studies on the Acute and Subacute Oral Toxicity of NC 7312

    Rat

         The oral LD50 of NC 7312 (2,2-dimethyl-1,3-benzoxodiol-4-01) a
    metabolite of bendiocarb) in male and female rats (CFY strain) was
    greater than 4 640 mg/kg body weight. Cholinergic symptoms were
    observed at dosages above 464 mg/kg body weight (Mallyon and Sanderson
    1977).

         Groups of rats (CFY strain, 10 male and 10 female controls, 5
    males and 5 females per treated group) were intubated with NC 7312 as
    a suspension in aqueous gum tragacanth at 0, 5, 20, 80, 320 or
    1 280 mg/kg body weight/day for 16 days. There were neither mortality
    nor compound-related effects on clinical signs, haematological, blood
    chemistry and urinalysis parameters. Growth, food conversion factor
    and water intake were slightly decreased in females at 1 280 mg/kg
    body weight on week 2. Terminal survivors sacrificed showed no gross
    or histopathological changes associated with treatment. Absolute
    weight and organ/body weight ratio of ovary were reduced at 80 mg/kg
    body weight and above, but concomitant microscopic changes of the
    tissue were not evident (Kemp and Brooks 1978).

    Acute Toxicity

         The acute toxicity of several animal species to bendiocarb is
    summarized in Table 1.

         Toxic signs were characteristic of anticholinesterase poisoning
    and seen within a few minutes after oral, intraperitoneal or
    inhalation exposure in all species of mammals tested. Deaths usually
    occurred after 5 minutes to 2 hours and survivors began to recover
    after 1/2 to 2 hours. Within 24 hours of dosing, survivors recovered
    completely from clinical signs. After dermal exposure, toxic signs
    began to appear after 2 to 21 hours with recovery being much slower
    than that following acute oral doses (Sanderson 1921).

    Short-Term Studies

    Rat - dietary

         In a 28-day study with groups of five female rats (Sprague-Dawley
    CFY strain) fed diets containing 0, 400, 600 or 800 ppm of technical
    bendiocarb, mortality, body weight, food consumption, oestrous cycle
    (as evidenced by vaginal cytology taken from the fourth day to
    termination) and terminal gross pathology were not affected by
    treatment. Whole blood cholinesterase was inhibited (52-62%) at all
    test levels and toxic symptoms were observed at both 600 and 800 ppm
    on day 28 after the animals (fasted overnight) were given access to an
    appropriate test diet for a restricted one-hour feeding period
    (Jackson 1977).

        Table 1.  Acute Toxicity of Bendiocarb in Animals
                                                                                               

                                                       LD50
    Species           Sex   Route         Vehicle      (mg/kg body   Reference
                                                       weight)
                                                                                               

    Mouse             F     oral          glycerol     45
    (CFW)                                 formal                     Sanderson 1971

    Rat               M     oral          glycerol     40-64         Sanderson 1970;
    (Wistar)                              formal                     Sanderson 1971,
                      F                                34-40         Sanderson 1971

    Rat               M     oral          aqueous      108-156       Crome and Sanderson
    (Charles River                        gum                        1980
    COBS CD                               tragacanth
    Sprague-Dawley)

    Rat               M&F   i.p.          glycerol     8             Sanderson 1971
    (Wistar)                              formal

    Rat               F     dermal        glycerol     566-800       "
    (Wistar)                (24-hour      formal                     Ben-Dyke 1932
                      M     exposure)                  566

    Rat (Carworth     M     inhalation1/  None         250 mg        Sanderson and
    Sprague-Dawley)         (6-hour                    a.i./l air2/  Mallyon 1979
                            exposure)

    Hamster           F     oral          water        141           "
    (Syrian)

    Guinea pig        F     oral          glycerol     35            Sanderson 1971
                                          formal

    Rabbit            M     oral          glycerol     40            "
                      F                   formal       35
                                                                                               

    1/   Animals were exposed to an 80% wettable powder as a dust in a "nose only"
         exposure chamber with 58% particles of size 10 microns and 18% particles
         5 microns.

    2/   6-hour LD50 in terms of actual chamber concentration of the active ingredient.

    
         Groups of 10 male and 10 female rats (Sprague-Dawley CFY strain)
    were fed dietary levels of technical bendiocarb at 0, 2, 10, 50 or
    250 ppm for 13 weeks. Mortality, clinical signs, body weight, food and
    water consumption, ophthalmoscopic findings, clinical chemistry,
    haematological and urinalysis parameters were not influenced by the
    presence of the compound in the diet. Whole blood cholinesterase,
    determined in animals (fasted 16 hours) shortly after a 1-hour feeding
    period, was depressed (20%) at 250 ppm in both sexes during weeks 4
    and 9, at both 50 and 250 ppm in males and at 250 ppm in females
    during week 13. Terminal gross pathological changes and organ weights
    were not significantly different from those in the controls.
    Histopathological evaluation of a variety of tissues from animals of
    the control and top dosage groups suggested the only notable finding
    to be an increase in incidence of males at 250 ppm showing vacuolated
    centrilobular hepatocytes. This liver lesion, not noted even at
    200 ppm in the long-term rat study (see under Long-Term Studies), was
    considered unlikely to occur in the lower dosage groups of the study,
    although there were no data to confirm this supposition. It would
    appear that the no-effect level was 10 ppm on the basis of
    cholinesterase levels and was 50 ppm on the basis of the other tested
    parameters (Hunter  et al 1978).

    Hamster

         Groups of hamsters (20 male and 20 female controls, 10 males and
    10 females per treated group) were fed technical bendiocarb in their
    diet at 0, 4, 20, 100 or 500 ppm for 30 days. There were no
    indications of any treatment-related effect at levels up to 500 ppm as
    judged by mortality, clinical signs, body weight, food and water
    intake, terminal haematology, organ weight and histopathology of
    selected tissues from control and 500 ppm groups (Hounsell and Brooks
    1981).

    Dog

         Groups of four male and four female beagles were fed dietary
    levels of technical bendiocarb at 0, 20, 100 or 500 ppm for 16 weeks
    with the top dosage level being raised to 1 000 ppm on day 89 (test
    diets were offered to the dogs for a 1-hour period morning and
    evening). Inclusion of the compound in the diet did not adversely
    affect survival, clinical signs, food consumption, terminal
    haematology, blood chemistry and urinalyses values. Males of the
    highest dosage group exhibited actual weight loss at termination.
    Assays1/ at weeks 5, 9, 14, 15 and 16 of cholinesterase in whole

              

    1/   Whole blood was diluted 1:1 200 in the assay. No data were
         available on the amount of diet actually consumed by individual
         animals during the 1-hour feeding period prior to sampling for
         assay of cholinesterase in blood and brain.

    blood and plasma of animals (fasted overnight) following a 1-hour
    feeding period indicated depression (>20%) at the top dosage level of
    cholinesterase in plasma and whole blood at most sampling periods.
    Whole blood cholinesterase was decreased (>20%) even at 100 ppm in
    males at week 9 and in females at weeks 9 and 15. Terminal brain
    cholinesterase of the top dosage group (males and females) was also
    inhibited (>20%). At the conclusion of the study, organ weights and
    gross pathological changes were unaffected by the compound.
    Microscopic examination of about 20 tissues from each animal suggested
    no treatment-related changes other than the occurrence of thyroid
    lesions (focal C-cell hyperplasia and focal atrophy) in 1/4 males and
    1/4 females of the top dosage group but in none of the concurrent
    controls or of animals in the lower dosage groups. The study suggested
    the no-effect level with respect to cholinesterase and other criteria
    evaluated to be 20 ppm and 100 ppm, respectively (Litton 1974).

         Groups of 8 male and 8 female purebred beagles were fed a diet
    containing technical bendiocarb at 0, 20, 100 or 500 ppm for 2 years
    (control or treated diet was given to each animal every morning).
    Survival, clinical symptoms and growth during the study as well as
    haematology, urinalysis and ophthalmoscopic parameters evaluated at
    five more intervals over the course of the experiment were not
    significantly affected by the presence of the test material in the
    diet. Less food was consumed by animals (both sexes) of all treated
    groups throughout the study. Nevertheless, the authors of the report
    stated that "statistical analysis of food residue for weeks 1-3, 1-26,
    1-52, 53-104 and 1-104 did not reveal any statistically significant
    difference between control and test group means". Based on weekly mean
    food consumption and mean body weight data at the end of each week,
    the dietary levels of 20, 100 and 500 ppm were equivalent to 0.7, 3.1
    and 16.3 mg/kg body weight/day (males and females combined). Water
    consumption was slightly but consistently increased in both sexes at
    100 ppm and above during weeks 36-39 and at 500 ppm not infrequently
    thereafter. Serum cholesterol was elevated at 500 ppm (both sexes) at
    several sampling intervals. A dose-related decrease in serum calcium
    level was noted at both 100 and 500 ppm in weeks 14 and 25.

         Measurement of whole blood cholinesterase in animals (fasted
    overnight) shortly after a 60-minute feeding period at eight sampling
    intervals during the study showed a tendency to frequent depression
    (>20%) of the enzyme at 500 ppm. Brain cholinesterase in animals
    (fasted overnight) sacrificed following a 1-hour feeding period was
    depressed (>20%) at 500 ppm after 52 and 104 weeks and probably also
    at 100 ppm after 104 weeks. Organ weight analysis, gross pathological
    examination and histopathological evaluation of over 30 tissues from
    each animal sacrificed at the end of 52 weeks (3 males and 3
    females/group) or terminally (all survivors per group) showed no
    significant alterations related to treatment.

         The dietary level of 20 ppm appeared to be a no-effect level on
    the tested criteria. It was noteworthy that the actual amount of
    bendiocarb ingested by animals during the 1-hour feeding period prior
    to the assay of tissue cholinesterase varied markedly, even among
    animals in the same dosage group, owing to substantial individual
    variation in the quantity of diet (ranging from 0 to 400 g per animal)
    consumed. Also, there were incidences where individual animals of a
    high dosage group, e.g. 500 ppm, actually had a lower intake of
    bendiocarb than those of a lower dosage group (100 ppm) (Chesterman
     et al 1980).

    Rat - dermal

         Groups of 6 rats (Wistar strain) were exposed dermally to an 80%
    wettable powder of bendiocarb as a 40% w/v aqueous suspension at 50,
    100, 200, 400 or 800 mg a.i./kg body weight under an occlusive patch
    for a period of 6 hours/day, 5 days/week for a total of 15
    applications in 21 days. The treated site was washed at the end of
    each exposure period. There was no mortality. Toxic signs,
    characteristic of anticholinesterase poisoning and dose-related in
    severity, were noted at 200 mg/kg body weight and above. Whole blood
    cholinesterase, determined at the end of the 6-hour exposure period,
    was inhibited by more than 30% at 200 mg/kg body weight and above
    after only one dose and at 50 mg/kg body weight and above after 15
    exposures. No gross pathological changes or microscopic evidence of
    dermal irritation attributable to treatment were apparent at terminal
    sacrifice (Sanderson 1972).

    Long-Term Studies

    Rat

         Groups of male and female rats (CFY strain, 60 male and 120
    female controls, 30 male and 60 female per treated group) were fed
    dietary levels of technical bendiocarb at 0, 2, 20 or 200 ppm for 7
    days and then caged together (1 male and 2 females). At the end of a
    20-day mating period, the females were individually housed and allowed
    to litter and rear their pups to weaning. This part of the study was
    known as the reproductive phase. A sufficient number of weanlings from
    the control and treated groups were randomly selected to initiate
    another segment of the study referred to as the main phase. The latter
    comprised the main group and the satellite group. In the main group,
    weanlings (50 males and 50 females per treated group, 100 male and 100
    female controls) were given bendiocarb-treated diets at 0, 2, 20 or
    200 ppm for 104 weeks. For the satellite group, used primarily for
    laboratory investigations, animals (30 males and 30 females per
    control or treated group) were fed bendiocarb at the same dietary
    levels, but only for 60 weeks. The 2 ppm level was raised to 10 ppm
    after 2 weeks in the main phase, and this group will be known as the
    2-->10 ppm group hereafter for the purpose of identification. Dietary

    administration was continued throughout both the reproduction and main
    phase. All animals died or sacrificed in extremis during the 104-week
    study and those sacrificed terminally were necropsied. Animals of all
    groups, including the control, dying or sacrificed in extremis during
    the study and terminal survivors of the control and top dosage groups
    were subjected to microscopic examination of a set of about 30
    selected tissues plus grossly observed nodules and tissue masses.
    Additionally, all suspected tumours from terminal survivors of lower
    dosage groups were evaluated histopathologically.

         For the reproductive phase, mortality and behaviour of parental
    animals, pregnancy rate, duration of gestation period, litter size and
    pup weight at birth, sex ratio and incidence of external abnormalities
    of pups were not affected by bendiocarb. There were some indications
    of adverse effects related to treatment at 200 ppm on maternal body
    weight gain during gestation, litter size on lactation day 4 and pup
    weight from lactation day 4 through weaning. A dietary level of 20 ppm
    was a no-effect level on this phase of the study.

         In the 104-week study (main group) of the main phase, mortality
    rate, although unaffected by the compound, was high in all groups,
    including the control, Only about 16-26% of males and 24-42% of
    females survived 104 weeks. Nevertheless, over 55% of males and
    females lived at least 82 weeks.

         A number of findings associated with treatment were noted at
    200 ppm. These included an increased incidence of males exhibiting
    hyperactivity in response to external stimuli, growth depression
    during the first 52 or 56 weeks, depressed water consumption during
    week 6-12 but not in week 25. Periodic measurements of haematological,
    biochemical and urinalysis values at several intervals over the course
    of the study revealed significant changes in several parameters
    (e.g. total WBC, neutrophil and lymphocyte counts, levels of serum
    cholesterol and total protein) to be also confined only to the top
    dosage group. There was a dose-related decrease in body weight gain
    associated with a depression in food consumption in males of all
    treated groups during the first two weeks of the study but not
    thereafter. Ophthalmoscopic examination of the surviving animals in
    the main group only for a total of seven intervals between 13 and 102
    weeks indicated a statistically significant increase in incidence of
    lenticular opacities in males at 200 ppm at all intervals from 52
    weeks onward. A statistically significant trend (p <0.01) for
    dose-dependent incidence of this eye lesion was indicated to be
    apparent for males at both 20 and 200 ppm from 66 weeks onward and for
    males of all treated groups at 80 weeks and thereafter. It was pointed
    out that the difference in frequency of lenticular opacities was not
    statistically significant between males of control and low dosage
    (2-->10 ppm) groups or among female groups at any time interval. The

    lenticular opacities observed reportedly were "essentially atypical of
    chemically induced lenticular lesions in the rat". Overall,
    2-->10 ppm might probably be considered a borderline no-effect level
    with respect to the particular eye lesion.

         Activity of whole blood cholinesterase determined in animals
    (fasted overnight) following a one-hour feeding period at several
    intervals during the study (animals of the satellite group) and at
    termination (animals of the main group) was frequently depressed
    (>20%) at 200 ppm in both sexes. Whole blood cholinesterase activity
    in animals fasted overnight without access to food immediately prior
    to sampling of blood was not reduced. The brain cholinesterase level
    was inhibited (>20%) at 200 ppm in animals (both sexes) sacrificed at
    52 weeks but not terminally. Organ weight determination at 52- and
    60-week interim sacrifice and at terminal sacrifice showed deviations
    from controls of several tissues such as liver, thymus, prostate and
    adrenals, but these were essentially restricted to the top dosage
    level only and were not accompanied by histopathological lesions.
    Gross pathological changes were not significantly different from those
    in the controls. Histopathologically, an increase in incidence of
    stomach lesions, characterized by "hyperplasia/hyperkeratosis/
    acanthosis with or without inflammation of the non-glandular portion",
    occurred in the male terminal survivors at 200 ppm. There were no
    microscopic lesions observed in any of the other tissues examined that
    were attributable to the compound.

         An evaluation of tumour data suggested a dose-related increase of
    incidence of total lymphoreticular tumours in males of all treated
    groups (incidence 3, 8, 10, 12%) respectively at 0, 2-->10, 20 and
    200 ppm), with the difference from concurrent controls being
    statistically significant only at 200 ppm. Frequency of each type of
    lymphoreticular tumour (lymphosarcoma, thymic lymphosarcoma, reticulum
    cell sarcoma, lymphatic leukaemia and myeloid leukaemia), when
    considered alone, was not significantly increased in any treated
    group. Latency period (or time of detection of the tumour when the
    animal died or was sacrificed) was also not modified by treatment.
    Other than the particular malignancy just mentioned, incidence, type
    and location of tumours were not significantly higher at 200 ppm than
    in the controls. It may be noted that 56% of males and 92% of females
    of the concurrent control groups were bearers of tumours with
    pituitary adenoma (both sexes), mammary tumour (females) and
    pheochromocytoma (both sexes) being the most frequently observed
    tumours.

         Based on the available data, 20 ppm was without any significant
    effect on cholinesterase. The lowest tested level, 2-->10 ppm
    (indicated to be equivalent to an average achieved intake, throughout
    the study of 0.38 mg/kg body weight/day) may be acknowledged as a
    marginal no-effect level on the other tested parameters (Hunter
     et al 1981).

    Observations in Humans

         In a male volunteer given a single oral dose of 9.8 mg or
    approximately 0.12 mg/kg of 14C-bendiocarb, over 99% of the
    administered dose was excreted in the urine in 22 hours. The plasma
    half-life and the half-life for renal elimination for total
    radioactivity was estimated at 3.5 and 3.3 hours, respectively. The
    major urinary metabolites were sulphate and ß-glucuronide conjugates
    of NC 7312, which together amounted to 95% of the radioactivity dose
    excreted. Small amounts of conjugated bendiocarb and N-hydroxy methyl
    bendiocarb were the only compounds detected in the urine (Adcock and
    Challis 1976b).

         An area on the forearm of each of two male volunteers was exposed
    for 3 hours to 14C-bendiocarb (as an aqueous solution in a wetting
    agent) at an average dosage of approximately 0.0013 mg/kg body weight
    under occluded conditions in one experiment and non-occluded
    conditions in another. (No information was available on the time
    interval between the two experiments.) Over the 48-hour period
    following exposure, an average of 58% of the applied dose under
    occluded conditions vs. an average of 12.5% under non-occluded
    conditions was recovered in the urine, suggesting better absorption of
    bendiocarb through occluded skin. The only urinary metabolite found
    was NC 7312 as conjugates of sulphate and ß-glucuronide (Warner and
    Adcock 1980).

         In a 60-year old male volunteer given bendiocarb (as an 80%
    wettable powder) orally in H2O serially at 0.004, 0.012, 0.037,
    0.125, 0.187 and 0.25 mg/kg body weight (dosage in terms of w.p.) with
    at least a 48-hour interval between doses, 0.125 mg/kg was found
    to be a clear-cut no-effect level on symptoms and whole blood
    cholinesterase. Toxic sumptoms such as mild vertigo, nausea and
    vomiting together with significant inhibition (30-40%) of whole blood
    cholinesterase were induced after the single dose at 0.25 mg/kg body
    weight. The symptoms subsided in 30 minutes and whole blood
    cholinesterase recovered completely in 4 hours post-treatment. In the
    same subject, doses of the 80% w.p. at 0.125 mg/kg given orally at an
    interval of 4 hours, but not less, produced no toxic signs or
    inhibition of whole blood cholinesterase. A double-blind cross over
    experiment involving three other male volunteers indicated a single
    dose of 0.004 mg/kg body weight, the only dose administered, of the
    80% w.p. resulting in no adverse effects on any of the parameters
    assessed (heart rate, clinical signs, mean diastolic/systolic pressure
    and whole blood cholinesterase). Following a single dose of 0.12 mg/kg
    body weight of the 80% w.p. given orally to the same three volunteers
    72 hours later in another similar experiment, a transient depression
    (21% of whole blood cholinesterase was observed in one of the three
    subjects at 30 minutes post-treatment (Drummond and Kemp 1976).

         The safety of bendiocarb (80% wettable powder), when used as an
    insecticide against adult mosquitoes, to operators and inhabitants was
    evaluated in Iran and Indonesia. The studies were organized along the
    line of the WHO expanded Stage V evaluation programme. Each trial
    involved the treatment of 13 villages with a total population of over
    4 000 by 15 or 16 spray operators. Results indicated that very few
    operators reported any toxic signs or symptoms and the latter, when
    noted, were usually mild and transient. Inhibition of whole blood
    cholinesterase, slight to mild, was only infrequently observed and was
    readily reversible. Analysis of urine collected from the operators
    suggested absorption of only low levels of bendiocarb during spraying.
    No complaints were received from the villagers (Motabar  et al 1981;
    Bonsall  et al 1981).

    COMMENTS

         Bendiocarb, a carbamate insecticide, evaluated for the first time
    by the Meeting, was rapidly absorbed and readily eliminated primarily
    in the urine in all of the mammalian species studied, including
    humans. The major metabolic pathway in these species involved cleavage
    of the carbamate ester group to yield the corresponding phenol
    (NC 7312). There was no evidence of tissue accumulation in mammals.
    Mammalian acute oral toxicity varied between strains and species, but
    not between sexes.

         A 3-generation reproduction study, including teratological
    evaluation, in rats demonstrated 10 ppm and 50 ppm to be the no-effect
    level, respectively, on reproductive parameters and teratogenicity. A
    teratogenic study in the same species failed to give any indication of
    teratogenicity even at the top dosage level (4 mg/kg body weight)
    tested. In a rabbit teratology study, 1 mg/kg body weight was shown to
    be a clear-cut teratogenic no-effect level. The available mutagenic
    studies including reversion mutation and rec assays, mouse
    micronucleus test, mouse lymphoma assay and dominant lethal assay in
    rats were all negative. A carcinogenicity study in mice revealed no
    carcinogenic activity of the compound, under the conditions of the
    experiment. In a long-term feeding study with rats, a significant
    increase in incidence of total lymphoreticular tumours, but not
    individual type of lymphoreticular tumours, was noted in males of the
    highest dosage group (200 ppm). Latency period of these tumours was
    not reduced. Although the possibility of the finding in question
    regarding lymphoreticular tumours being related to bendiocarb does not
    appear likely, it cannot be entirely excluded. Background data on
    incidence of total lymphoreticular tumours in CFY strain of rats
    maintained in the testing laboratory would be helpful to resolve the
    uncertainty. It should be noted that concurrent controls in the study
    had a high incidence of spontaneous tumours. Additionally, less than
    25% males and 45% females survived the duration of the 104-week study,
    although over 50% of animals in all groups including the control were

    still alive at the end of 82 weeks. Together these factors might
    compromise sensitivity of the study to detect carcinogenic activity of
    the compound. This study also demonstrated an increased incidence of
    lenticular opacities in male rats at the two top dietary levels.
    Neurotoxicity studies in hens gave no indications suggestive of
    delayed neurotoxic potential of the insecticide.

         No-effect levels were determined in short-term studies in rats
    (13-week) and dogs (16-week and 2-year) and a long-term study in rats.
    In the dog, however, the Meeting noted the possible adverse effects of
    dilution during the determination of tissue cholinesterase, and also
    the practice of tissue sampling from overnight-fasted dogs following a
    1-hour feeding period. Furthermore, there was some concern on the
    absence of data on the levels of food ingestion during the 1-hour
    feeding period in one study, and food intake was extremely variable in
    the second study.

         Observations in humans indicated rapid reversal of cholinesterase
    inhibition and of clinical symptoms following both acute and subacute
    exposures.

         Because of the concerns regarding the increased incidence of
    lymphoreticular tumours in male rats of the top dose group in the
    long-term study, and the probability that the no-effect level
    established for dogs is nominal rather than actual, only a temporary
    ADI was allocated.

    TOXICOLOGICAL EVALUATION

    Level Causing no Toxicological Effect

    Rat: 0-0.38 mg/kg bw/day

    Dog: 0-0.07 mg/kg bw/day

    Estimate of Temporary Acceptable Daily Intake for Man

    0-0.002 mg/kg bw

    FURTHER WORK OR INFORMATION

    Required (by 1984)

    1.  Historical data on the incidence of total lymphoreticular tumours
    in the CFY strains of rats used in the long-term study.

    2.  Short-term (28-day) study in dogs to clarify the relationship
    between dietary intake of bendiocarb and terminal erythrocyte and
    brain cholinesterase activity, using an appropriate method for
    cholinesterase determination.

    Desirable

         Further investigation on the cataractogenic activity of
    bendiocarb at low dosage levels in rats.

    REFERENCES

    Adcock, J.W. and Challis, I.R. The metabolism of 14C-bendiocarb in
    1976a    the rat. Report from Fisons Limited submitted to the World
             Health Organization by FBC Limited. (Unpublished)

    1976b    The pharmacokinetics and metabolism of bendiocarb in man.
             Report from Fisons Ltd. submitted to the World Health
             Organization by FBC Limited. (Unpublished)

    Ben-Dyke, R. The toxicology of NC 6897. Acute dermal toxicity of
    1972     technical bendiocarb, Report from Fisons Limited submitted to
             the World Health Organization by FBC Limited. (Unpublished)

    Bonsall, J.L., Foulkes, D.M., Goose, J., Leake, C.R. and Reary,
    1981     J.B. Safety studies with bendiocarb in a village-scale field
             trial against mosquitoes in Indonesia, 1981. Document
             (WHO/VBC/81.831), World Health Organization, Geneva.

    Challis, I.R. The metabolism of bendiocarb in the pregnant rabbit,
    1980     Report from Fisons Limited submitted to the World Health
             Organization by FBC Limited. (Unpublished)

    Challis, I.R. and Adcock, J.W. The metabolism of bendiocarb in the
    1977a    mouse. Report from Fisons Limited submitted to the World
             Health Organization by FBC Limited. (Unpublished)

    1977b    The metabolism of bendiocarb in the hamster. Report from
             Fisons Limited submitted to the World Health Organization by
             FBC Limited. (Unpublished)

    Chesterman, H., Heywood, R., Allen, T.R., Street, A.E., Gopinath,
    1980     C., Harling, S., Majeed, S. and Prentice, D.E. NC 6897
             Toxicity study in beagle dogs (final report dietary intake for
             104 weeks). Report from Huntingdon Research Centre, England,
             submitted to the World Health Organization by FBC Limited.
             (Unpublished)

    Crome, S.J. and Sanderson, D.M. A comparison of the acute oral
    1980     toxicities of three batches of bendiocarb CR 4971/2, CR 4799/9
             and CR 4500/20 to the male rat. Report from FBC Limited
             submitted to the World Health Organization by FBC Limited.
             (Unpublished)

    Cuthbert, J.A. Technical bendiocarb EX Muskegon primary eye irritancy
    1980     in rabbits. Report from Inveresk Research International,
             Scotland, submitted to the World Health Organization by FBC
             Limited. (Unpublished)

    1978     Technical bendiocarb. Primary skin irritancy study on rabbits.
             Report from Inveresk Research International, Scotland,
             submitted to the World Health Organization by FBC Limited.
             (Unpublished)

    Drummond, P. and Kemp, A. The effects of the acute oral administration
    1976     of NC 6897 80 WP to male volunteers. Report TOX/76/133-58 from
             Fisons Limited submitted to the World Health Organization by
             FBC Limited. (Unpublished)

    Hounsell, I.A. Brain cholinesterase inhibition in dogs fed NC 6897.
    1974     Report from Fisons Limited Agrochemical Division submitted to
             the World Health Organization by FBC Limited. (Unpublished)

    Hounsell, I.A. and Rush, K.C. The effect of dietary administration
    1980     of NC 6897 at 1 250 ppm on whole blood cholinesterase activity
             in mice. Report from FBC Limited submitted to the World Health
             Organization by FBC Limited. (Unpublished)

    Hounsell, I.A. and Brooks, P.N. The 30-day subchronic oral toxicity
    1981     of NC 6897, technical CR 4799/1 in the diet to the hamster.
             Report from FBC Limited submitted to the World Health
             Organization by FBC Limited. (Unpublished)

    Hounsell, I.A.G. The effect of dietary administration of NC 6897 at
    1981a    500 and 1 000 ppm on whole blood cholinesterase activity in
             male mice of the CFLP and CD1 strains. Report from FBC Limited
             submitted to the World Health Organization by FBC Ltd.
             (Unpublished)

    1981b    The effect of dietary administration of NC 6897 at 0.4, 2 and
             10 ppm on whole blood cholinesterase activity in male rats.
             Report from FBC Limited submitted to the World Health
             Organization by FBC Limited. (Unpublished)

    1981c    The effect of dietary administration of NC 6897 at 0.4, 2, 10
             and 50 ppm on whole blood cholinesterase activity in male
             rats. Report from FBC Limited submitted to the World Health
             Organization by FBC Limited. (Unpublished)

    Hounsell, I.A. and Walker, A.K. A micronucleus study in mice using
    1982     technical NC 6897, CR 4971/2. Report from FBC Limited
             submitted to the World Health Organization by FBC Limited.
             (Unpublished)

    Hunter, B., Watson, M., Heywood, R., Street, A.E., Offer, J.M. and
    1978     Gregson, R.L. NC 6897 Toxicity to rats when administered in
             the diet for 13 weeks. Final Report from Huntingdon Research
             Centre, England, submitted to the World Health Organization by
             FBC Limited. (Unpublished)

    Hunter, B., Watson, M., Heywood, R., Street, A.E., Prentice, D.E.,
    1981     Gopinath, C. and Gibson, W.A. NC 6897 Toxicity and
             tumorigenicity to rats in long-term dietary administration.
             Report from Huntingdon Research Centre, England, submitted to
             the World Health Organization by FBC Limited. (Unpublished)

    Jackson, C.M. Effects on adult female rats of one month exposure to
    1977     high dietary concentration of NC 6897 (technical). Report from
             Fisons Limited Agrochemical Division submitted to the World
             Health Organization by FBC Limited. (Unpublished)

    Jackson, C.M. A peri- and post-natal study in rats with technical NC
    1978     6897, Report from Fisons Limited submitted to the World Health
             Organization by FBC Limited. (Unpublished)

    Kemp, A. and Hounsell, I. Evidence for the reversal of cholinesterase
    1974     inhibition by NC 6897 in laboratory animals. Report from
             Fisons Limited submitted to the World Health Organization by
             FBC Limited. (Unpublished)

    Kemp, A. and Jackson, C.M. A test for the induction of dominant lethal
    1977     mutations in male rats by NC 6897. Report from Fisons Limited
             Agrochemical Division submitted to the World Health
             Organization by FBC Limited. (Unpublished)

    Kemp, A. and Brooks, P.N. The effects of the daily oral administration
    1978     of NC 7312 to male and female rats for 16 days. Report from
             Fisons Limited Agrochemical Division submitted by FBC Limited.
             (Unpublished)

    Litton. 16-week subacute toxicity study in dogs. NC 6897 technical.
    1974     Report from Litton Bionetics Inc., U.S., submitted to the
             World Health Organization by FBC Ltd. (Unpublished)

    Mallyon, B.A. and Sanderson, D.M. The acute oral toxicity of NC 7312
    1977     to male and female rats. Report from Fisons Limited
             Agrochemical Division submitted by FBC Limited. (Unpublished)

    McConville, M. and McGregor, D.B. Testing the mutagenic activity of
    1979     technical NC 6897, Report from Inveresk Research
             International, Edinburgh, Scotland, submitted to the World
             Health Organization by FBC Limited. (Unpublished)

    McConville, M. and Harris, W.J. NC 7312: Ames test for mutagenic
    1979     activity. Report from Inveresk Research International,
             Scotland, submitted to the World Health Organization by FBC
             Limited. (Unpublished)

    McGregor, D.B. and Ross, C.A. NC 6897: The assessment of mutagenic
    1981     potential in the mouse lymphoma mutation assay. Report from
             Inveresk Research International, Scotland, submitted to the
             World Health Organization by FBC Limited. (Unpublished)

    Moriya, M., Ohta, T. and Shirasu, Y. KNT (bendiocarb): microbial
    1981     mutagenicity study. Report from the Institute of Environmental
             Toxicology, Japan, submitted to the World Health Organization
             by FBC Limited. (Unpublished)

    Motabar, M., Mallyon, B.A., Goose, J. and Adcock, J.W. Document
    1981     (WHO/VBC/81.821) World Health Organization, Geneva.

    Palmer, A.K. and Allen, P.A. Effect of NC 6897 on neonatal pup
    1978     mortality, Report from Huntingdon Research Centre, England,
             submitted to the World Health Organization by FBC Limited.
             (Unpublished)

    Pearce, J.C., Warner, P.A. and Adcock, J.W. The metabolism of
    1977     bendiocarb in the mouse (strain CD 1). Report from Fisons
             Limited submitted to the World Health Organization by FBC
             Limited. (Unpublished)

    Pearce, J.C. and Adcock, J.W. Investigation of residue accumulation
    1978     in the rat following repeated administration of
             14C-bendiocarb. Report from Fisons Limited submitted to the
             World Health Organization by FBC Limited. (Unpublished)

    Roberts, N.L. Blood cholinesterase levels in the cow following dietary
    1979     inclusion of bendiocarb. Report from Huntingdon Research
             Centre, England, submitted to the World Health Organization by
             FBC Limited. (Unpublished)

    Ross, D.B., Roberts, N.L., Cameron, D.M., Prentice, D.E. and Majeed,
    1978     S.K. Examination of NC 6897 for neurotoxicity in the domestic
             hen. Report from Huntingdon Research Centre, England,
             submitted to the World Health Organization by FBC Limited.
             (Unpublished)

    Sanderson, D.M. The toxicity of NC 6897: Acute toxicity to the rat of
    1970     technical grade NC 6897. Report from Fisons Limited submitted
             to the World Health Organization by FBC Limited. (Unpublished)

    1971     The toxicology of NC 6897: Acute toxicity of pure NC 6897.
             Report from Fisons Limited submitted to the World Health
             Organization by FBC Limited. (Unpublished)

    1972     Toxicology of NC 6897: 15-dose cumulative dermal study with
             Ficam in male rats. Report from Fisons Limited submitted to
             the World Health Organization by FBC Limited (Unpublished)

    Sanderson, D.M. and Hounsell, I.A. The toxicology of NC 6897. Test
             for neurotoxicity of NC 6897 to the chicken. Report from
             Fisons Limited submitted to the World Health Organization by
             FBC Limited. (Unpublished)

    Sanderson, D.M. and Mallyon, B. The acute oral toxicity to the
    1977     hamster of technical bendiocarb. Report from Fisons Limited
             Agrochemical Division submitted to the World Health
             Organization by FBC Limited. (Unpublished)

    1979     The acute inhalational toxicity to rats of Ficam 80W, an 80%
             wettable powder formulation of bendiocarb, CR 13374/27H.
             Report from Fisons Agrochemical Division submitted to the
             World Health Organization by FBC Limited. (Unpublished)

    Serota, D.G., Voelker, R.W. and Fezio, W.L. A chronic toxicity and
    1981     carcinogenicity study in mice, NC 6897. Final report from
             Hazleton Laboratories America, Inc. submitted to the World
             Health Organization by FBC Limited. (Unpublished)

    Tesh, J.M., Bartlett, A., Tesh, S.A., Whitney, J.C. and Finn, J.P.
             Technical NC 6897 (CR 4799/1): Effects of dietary
             administration upon reproductive performance and teratogenic
             response in rats treated continuously through three successive
             generations. Report from Life Science Research, England,
             submitted to the World Health Organization by FBC Limited.
             (Unpublished)

    Tesh, J.M., Ross, F.W. and Tesh, S.A. Technical NC 6897: Effects of
    1980     oral administration upon pregnancy in the rabbit. Report from
             Life Science Research, England, submitted to the World Health
             Organization by FBC Limited. (Unpublished)

    Tucker, M.L. NC 6897: Teratogenicity study in the rat. Report from
    1974     Consultox Laboratories Ltd., England, submitted to the World
             Health Organization by FBC Limited. (Unpublished)

    Warner, P.A., Adcock, J.W. and Pearce, J.C. The metabolism of
    1977     14C-bendiocarb in the dog. Report from Fisons Limited
             submitted to the World Health Organization by FBC Limited.
             (Unpublished)

    Warner, P.A. and Adcock, P.A. The dermal absorption of 14C-bendiocarb
    1980     in man. Report from FBC Limited submitted to the World Health
             Organization by FBC Limited. (Unpublished)

    BENDIOCARB

    RESIDUES IN FOOD AND THEIR EVALUATION

    USE PATTERN

         Bendiocarb is available as a wide range of formulations,
    including wettable powders (200, 500 and 800 g a.i./kg); granules
    (30, 50 and 100 g a.i./kg); dust (10 g a.i./kg); oil suspension for
    ULV application (250 g a.i./kg); residual sprays, paint-on and
    granular baits and aerosols.

         Bendiocarb is used for the controls of soil and foliar insect
    pests on a wide range of crops, ectoparasites on domestic animals and
    mosquitos and nuisance pests. The Meeting was informed that it is sold
    for these uses in approximately 100 countries. Information was
    provided to the Meeting on official nationally approves uses (good
    agricultural practices, GAP) by the Netherlands. Good agricultural
    practices of The Netherlands are summarized in Table 1 (Netherlands
    1982).

        Table 1.  Bendiocarb Good Agricultural Practices, Netherlands 1982
                                                                                               

                                       Application                                   Used
    Crop          Pests                rate (kg/ha)    Formulation    Treatment      Since
                                                                                               

    Sugarbeet     Fritfly, wireworm,   0.3-0.4         3% G           seed furrow    1979
                  spring tails,        0.4             80% WP         seed furrow    1981
                  pygmy beetle                         500 g/l
                                                       liquid
                                       6.4 g/kg        "              seed dressing  1981
                                       seed

    Maize         Fritfly,             0.3-0.4         3% G           seed furrow    1979
                  wireworm             4 g/kg          80% WP         seed dressing  1981
                                       seed            500 g/l
                                                       liquid
                                                                                               
    
         The Meeting was provided with a tabulation of recommended
    application rates, which are summarized in Table 2 (Netherlands 1982).
    No information was provided on preharvest intervals. The recommended
    application rates are consistent with GAP of The Netherlands for maize
    and sugarbeets. Information was not provided on whether the
    recommended uses other than on sugarbeet and maize are also nationally
    approved and, if so, where.

        Table 2.  Recommended Application Rates of Bendiocarb, Netherlands 1982
                                                                                               

    Crop           Major pests                      Formulation        Rate (a.i.)
                                                                                               

    Maize          Wireworm, symphlids, fritfly     Granule            0.3-0.35 kg/ha
                   Wireworm, symphlids, fritfly     Seed dressing      4 g/kg seed
                   Corn rootworm                    Granule            0.84-1.12 kg/ha
                   Soil pests (in furrow)           Spray              0.4 kg/ha

    Sugarbeet      Wireworm, pygmy beetle,
                   springtails                      Granule            0.3-0.35 kg/ha
                   Wireworm, pygmy beetle,
                   springtails                      Seed dressing      6 g/kg seed
                   Soil pests (in-furrow)           Spray              0.4 kg/ha

    Rice           Rice water weevil, stem
                   borer                            Granule            2 kg/ha
                   Leafhoppers, planthoppers        Spray              0.5 kg/ha
                   Leafhoppers, planthoppers        Dust               0.5-0.75 kg/ha

    Oilseed        Flea beetle                      Granule            0.14-0.28 kg/ha
    rape                                            Spray              0.1-0.2 kg/ha

    Ryegrass       Fritfly, wireworm,
                   leatherjackets                   Granule            0.75 kg/ha
                                                    Spray              0.5-0.75 kg/ha
                                                    Seed dressing      10 g/kg seed

    Cereals        Fritfly, wireworm,
                   leatherjackets                   Spray              0.75 kg/ha
                                                    Seed dressing      2-4 g/kg seed

    Potatoes       Colorado beetle                  Spray              0-125-0.25 kg/ha
                   tuber moth                       Spray              0.5 kg/ha

    Brassicas      Diamond-back moth                Spray              0.1-0.8 g/l

    Peas           Pea moth, pea weevil             Spray              0.2-0.5 kg/ha

    Apple/Pear     Codling moth, tortrix moth,
                   aphids                           Spray              0.25-0.6 kg/ha (LV)

    Mushrooms      Mushroom fly                     Wall spray         30-50 g/100 m2
                                                                                               
    
    Preharvest Uses

         Residue trials utilizing preharvest treatments have been
    conducted on a variety of plant and animal products. Results are
    detailed under "Residues Resulting From Supervised Trials".

    Postharvest Uses

         The Meeting was informed of residue investigations in wheat grain
    stored in small bins for six months after treatment of interior
    surfaces, but no details were provided. Likewise, no details were
    provided on studies said to have been conducted on foodstuffs treated
    in food-handling premises.

    Other Uses

         The Meeting was informed that 80 W or ULV formulations may be
    used for control of mosquitos and the ULV formulation against
    warehouse pests. Studies have been conducted to determine the extent
    of potential exposure. Although contamination levels were said to be
    within safe limits, details of these studies were not provided.

         Bendiocarb is said to be widely used for control of cockroaches
    and other nuisance pests in and around the home, hotels, food-handling
    establishments, aircraft etc. and as a paint for fly control in animal
    houses. No details on these uses were provided.

    RESIDUES RESULTING FROM SUPERVISED TRIALS

         Residue trials have been conducted in many countries on a wide
    range of commodities, representing a variety of treatments and
    climatic conditions.

    Root and Tuber Vegetables

    Potatoes

         Twenty five trials were conducted in three European countries
    either by spray, broadcast or in-furrow treatments with either 3G or
    20W formulations. Results are summarized in Table 3 (FBC 1982a; Reary
    1979d; Browne and Reary 1981; Browne 1981e). Although most of the data
    were from application of the 3G formulation, no information was
    provided on recommended or approved uses for that formulation on
    potatoes. The wettable powder spray applications were at one and two
    times the recommended rate. Recoveries were generally 75% or better
    for bendiocarb and 60% or better for NC 7312. The limit of
    determination is said to be approximately 0.01 and 0.02 mg/kg for
    bendiocarb and NC 7312, respectively.

        Table 3.  Bendiocarb Residues in Potatoes, from Supervised Trials
                                                                                                                                    

                                  No.                             Application           Interval         Residues (mg/kg)1/ 2/
    Country          No. Trials   Replicates   Formulation   Rate (a.i.)   Method        (days)       Bendiocarb      NC 7312
                                                                                                                                    

    U.K.             2            4-5          3G            1 kg/ha       In-furrow     119-155       0.01-0.03      <0.02,0.26
    1978             2            4-5          3G            2 kg/ha       In-furrow     119-155       0.01-0.04       0.02,0.58
                     2            4-5          3G            3 kg/ha       In-furrow     119-155       0.01,0.03       0.04,0.69
                     1            7            3G            1 kg/ha       Broadcast     112           0.01            0.02
                     1            7            3G            1.5 kg/ha     Broadcast     112           0.04            0.05
                     2            4-7          3G            2 kg/ha       Broadcast     112-155      <0.01-0.03      <0.02,0.07
                     2            4-7          3G            3 kg/ha       Broadcast     112-155      <0.01-0.04      <0.02,0.11
                     2            4-7          3G            4 kg/ha       Broadcast     112-155       0.01-0.03       0.03,0.08
                     3                                                     Untreated
                                                                           controls                    0.003-0.008     0.003-0.0.7

    German Federal   3            3            20W           0.12 kg/ha    Spray         03/          <0.01            0.014-0.12
    Republic         3            3                                                                  (<0.005-0.017)  (<0.01-0.14
    1980             2            3                                                      7            <0.01           <0.01-0.14
                                                                                                     (<0.005-0.009)  (<0.01-0.15)
                                                                                         14           <0.01            0.01-0.15
                                                                                                     (<0.005-0.015)  (<0.01-0.18)
                     1            3                                                      15           <0.005)          0.014
                     3            2            -             -             Untreated
                                                                           controls      -             0.001-0.044/  (<0.01-0.024)
                                                                                                                       0.001-0.007
                                                                                                                                    

    Table 3 (con't)
                                                                                                                                    

                                  No.                             Application           Interval         Residues (mg/kg)1/ 2/
    Country          No. Trials   Replicates   Formulation   Rate (a.i.)   Method        (days)       Bendiocarb      NC 7312
                                                                                                                                    

    U.K.             1 (3 plots)               20W           0.53 kg/ha    Spray         145/         <0.01            0.03-0.05
    1981             1 (3 plots)               20W           1.06 kg/ha                  145/          0.005           0.06-0.07
                     1                                                     Untreated
                                                                           controls                   <0.005           0.01
                                                                                                                                    

    1/   Limit of determination 0.01 mg/kg for bendiocarb and 0.02 mg/kg for NC 7312.

    2/   Means of replicates; range of individual replicates in parentheses.

    3/   Day 0 represents final spray of a weekly 3-spray programme, each application at 0.12 kg/ha.

    4/   <0.01 except the 0.04 mg/kg value.

    5/   Days after final spray of 2- or 3-spray programme, commencing 7 or 14 days before the final application.
             Maximum bendiocarb residues at harvest resulting from at or
    before harvest treatments were 0.04 mg/kg (mean of replicates) and
    0.7 mg/kg for NC 7312.

         From multiple spray applications, maximum bendiocarb residues at
    harvest were < 0.01 mg/kg (mean of replications) or 0.017 mg/kg for
    individual replicates. Maximum residues of NC 7312 were 0.15 mg/kg
    (mean of replicates) or 0.18 mg/kg for individual replicates. For both
    the means of the replicates and individual replicates residues of
    bendiocarb and NC 7312 were each generally comparable from 0 to 15
    days after last application. Apparent residues in untreated controls
    were generally < 0.01 mg/kg for bendiocarb and < 0.02 mg/kg for
    NC 7312. Residues of NC 7312 at harvest were 1-20 times that of
    bendiocarb per se, and averaged six times higher.

         Since residues from in-furrow or broadcast applications can be
    0.04 mg/kg and untreated controls can, on occasion, reach this level,
    a 0.05 mg/kg for bendiocarb per se can be supported. If NC 7312 were
    also included, a limit of 0.5 mg/kg would be in order for combined
    residues.

    Sugarbeet

         Thirty one supervised residue trials were conducted in five
    European countries and residue decline studies in three (Table 4)
    (Browne 1982c; FBC 1982b; Reary 1974, 1975e, 1979h,i,n,q, 1980f,j).
    The seed treatment applications of 80W were at 0.8-2.7 times the
    recommended 6 g/kg rate, which is also consistent with GAP of The
    Netherlands. In-furrow applications of a granular formulation were
    representative of the 0.3-0.4 kg a.i./ha GAP of The Netherlands and
    recommended application rates.

         In the supervised trials, bendiocarb residues at harvest were
    below 0.01 mg/kg. Some samples were also analysed for the metabolite
    NC 7312 and all were below the 0.01 mg/kg limit of determination.
    Similarly, in the decline studies, residues in sugarbeet roots were
    less than the 0.02 mg/kg limit of determination. Residues in untreated
    controls were generally < 0.01 mg/kg, except for one set of trials
    where residues ranged up to 0.11 mg/kg (average 0.005 mg/kg). The same
    basic analytical procedure was used in all of the trials, but modified
    in some to permit analysis of NC 7312. The limit of determination for
    sugarbeet generally ranged from 0.005-0.02 mg/kg for bendiocarb and
    0.01-0.02 mg/kg for NC 7312. Recoveries were generally > 75% for
    parent compound and > 60% for NC 7312. In general, recoveries were
    less in tops than in roots and less for NC 7312 than for bendiocarb.

        Table 4.  Bendiocarb Residues in Sugarbeets From Supervised Trials and Residue Decline Studies
                                                                                                                                   

                  No.     No.                              Application                     Interval          Residue 1/2/3/4/
    Country/Year  Trials  Samples   Formulation   Rate (a.i.)           Method              (days)           (mg/kg)
                                                                                                                                   

    Denmark       1       1         80W           15 g/kg seed          Pelleted seed       204          roots       <0.005
    1974                  1                       untreated controls                                     roots       <0.005

    France        2       8         80W           12 g/kg seed          Pelleted seed       163          roots       <0.005
    1974                  2                       untreated controls                                     roots       <0.005

    German        1       1                       6 g/kg seed           Seed dressing       196          roots       <0.005
    Federal       1       1                                                                 196          tops        <0.005
    Republic      1       1         80W           12 g/kg seed          Seed dressing       196          roots       <0.005
    1974          1       1                                                                 196          tops        <0.005
                                                  untreated controls                                     roots or
                                                                                                         tops        <0.005

    U.K.          2       4         80W           8 g/kg seed           Pelleted seed       213          roots       <0.005
    1974                                          untreated                                 213          tops        <0.0055/
                          2                       control                                                roots       <0.005
                                                                                                         tops        <0.0055/

    France        3       3         3G            0.36 kg/ha            In furrow           160-168      roots       <0.005
    1976          3       3                                                                 160-168      tops        <0.01
                  3       6         3G            0.45 kg/ha            In furrow           171-190      roots       <0.005
                  3       6                                                                 171-190      tops        <0.01
                  3       6                       untreated controls                                     tops and
                                                                                                         roots       <0.006
                                                                                                                                   

    Table 4.  (con't)
                                                                                                                                   

                  No.     No.                              Application                     Interval          Residue 1/2/3/4/
    Country/Year  Trials  Samples   Formulation   Rate (a.i.)           Method              (days)           (mg/kg)
                                                                                                                                   

    France        2       2         3G            0.46 kg/ha            In furrow           180-185      roots       <0.005
    1977          2       2                                                                 180-185      tops        <0.01
                  2       2                       untreated controls                                     tops and    <0.006
                                                                                                         roots
    France6/      2                 3G            0.3 kg/ha             In furrow           152-170      roots       <0.01
    1978          2                                                                         152-170      tops        <0.01
                  2                 3G            0.6 kg/ha             In furrow           152-170      roots       <0.01
                  2       2                       untreated controls                                     tops and
                                                                                                         roots       <0.005

    Italy6/       1       1         3G            0.3 kg/ha             In furrow           110          roots       <0.01
    1978          1       1                                                                 110          tops        <0.01
                  1       1         3G            0.6 kg/ha             In furrow           110          roots       <0.01
                          1                       untreated controls                                     tops and
                                                                                                         roots       <0.005

    U.K.6/        3       3         3G            0.3 kg/ha             In furrow           154-188      roots       <0.01
    1978          3       3                                                                 154-188      tops        <0.01
                  1       1         3G            0.33 kg/ha            In furrow           202          roots       <0.01
                  1       1                                                                 202          tops        <0.01
                  1       1         3G            0.4 kg/ha             In furrow           188          roots       <0.01
                                                                                            188          tops
                  1       1                       untreated controls                                     tops and
                                                                                                         roots       <0.007
                                                                                                                                   

    Table 4.  (con't)
                                                                                                                              

                  No.     No.                              Application                     Interval          Residue 1/2/3/4/
    Country/Year  Trials  Samples   Formulation   Rate (a.i.)           Method              (days)           (mg/kg)
                                                                                                                              

    U.K.6/        6       1         3G            0.3 kg/ha             In furrow           144-167      roots       <0.01
    1979          6       1                                                                 144-167      tops        <0.01
                  6       6                       untreated controls                                     tops and
                                                                                                         roots       <0.01

    Italy6/       1                 3G            0.30 kg/ha            In furrow           154          roots       <0.01
    1981          1                                                                         154          tops        <0.01
                  1                 3G            0.32 kg/ha            In furrow           183          roots       <0.01
                  1                                                                         183          tops        <0.01
                  2       2                       Untreated                                              roots       <0.001
                                                  controls                                               tops        0.003

    German        4       12        80W           5 g/kg seed           Seed dressing       71-166       roots       <0.02
    Federal                                                                                              tops        <0.02
    Republic      4       12                      Untreated                                              roots       0.002-0.11
    1978          4       12                      controls                                                           (0.005 av.)
                                                                                                         tops        0.005-0.015
                                                                                                                     (0.008 av.)
                  3       8         3G            0.33 kg/ha            In furrow           56-70        roots       <0.01
                  3       9                                                                              tops        <0.01
                                                                                            71-166       tops        <0.015
                          5                       Untreated                                 71-166       roots       <0.01
                                                  controls                                               tops        <0.01
                                                                                                                              

    Table 4.  (con't)
                                                                                                                              

                  No.     No.                              Application                     Interval          Residue 1/2/3/4/
    Country/Year  Trials  Samples   Formulation   Rate (a.i.)           Method              (days)           (mg/kg)
                                                                                                                              

    U.K.          1       5         3G            0.3 kg/ha             In furrow           25-40        roots       1.367/
    1979                                                                                    41-55        roots       0.127/
                                                                                            56-70        roots       <0.01
                                                                                            71-166       roots       <0.01
                          7                                                                 56-70        tops        <0.01
                                                                                            71-166       tops        <0.01
                  1       5                       Untreated                                 56-70        roots       <0.01
                                                  controls                                               tops        <0.01
                                                                                                                              

    1/   Bendiocarb only (see also 6/);

    2/   Corrected for recoveries of >75% except for 59% recovery in tops. Fortification levels ranged from 0.02-0.01 mg/kg;

    3/   Limit of determination in individual trials generally ranged from 0.005-0.02 mg/kg;

    4/   Duplicate analyses of 0.006 and 0.003 mg/kg;

    5/   Individual values up to 0.07 mg/kg but <0.005 mg/kg when repeated;

    6/   Sample also analysed for primary metabolite NC 7312. Residues after 56 days were generally below the 0.01 mg/kg limit
         of detection except one 0.03 mg/kg value in tops (limit of determination in that trial or a 0.02 limit of determination.
         Residues in seedlings were 0.42 and 0.07 mg/kg at 28 and 41 days respectively after in-furrow application at planting;

    7/   Seedlings analysed whole.
             Since residues are below the claimed limits of determination, a
    limit of 0.02 mg/kg bendiocarb per se would probably not be
    unrealistic. However, because of high apparent residues in one
    untreated control, a 0.05 mg/kg limit at or about the limit of
    determination may be more suitable. Based on a 0.02 mg/kg limit of
    determination for NC 7312, a limit on the order of 0.1 mg/kg would be
    appropriate if both bendiocarb and free NC 7312 were included. Actual
    residues were too low to determine whether residues of NC 7312 exceed
    those of bendiocarb, but judging from those found in potatoes, it is
    likely.

    Leafy Vegetables, Except Brassicas

    Sugarbeet leaves

         From the residue trials and decline studies discussed previously
    (Table 4), residues in sugarbeet tops at harvest from recommended
    application rates were generally less than the 0.01-0.03 mg/kg limits
    of determination. Only one trial had a limit of determination of
    0.03 mg/kg for tops. The limit of determination was considered to be
    < 0.02 mg/kg for the remaining 30 trials. Bendiocarb residues were
    1.4 and 0.12 mg/kg in seedlings at 28 and 41 days, respectively, after
    in furrow treatments at planting. The data support a 0.05 mg/kg at or
    about limit of determination at harvest as the maximum residue level.

    Brassica Leafy Vegetables

    Cabbage

         No information was available on specific nationally approved
    uses. Supervised trials with a wettable powder formulation were
    conducted in one country (Table 5) (Browne 1981a,c, 1982a,b; Browne
    and Manley 1982), at application rates up to 0.25 times the maximum
    recommended application rate (Table 2). No specific preharvest
    interval was recommended. Maximum residues ranged from 0.18 mg/kg one
    day after the last of seven applications to <0.01 mg/kg after 14
    days. Untreated controls were < 0.02 mg/kg and analytical
    recoveries averaged 82% from fortification levels at 0.08-0.2 mg/kg.
    The limit of determination was said to be 0.01 mg/kg, but considering
    untreated control analyses, a 0.05 mg/kg limit of determination may be
    more practical.

         Because the trials do not reflect maximum recommended application
    rates, recommended usage does not specify the number of applications
    or a preharvest interval and the data are minimal, a maximum residue
    level for bendiocarb in cabbage cannot be estimated with confidence.

        Table 5.  Bendiocarb and NC 7312 in Crops from Supervised Trials
                                                                                                                                           

                                    Application
                   Country/                Rate                            Preharvest
    Crop           Year           No.   (kg a.i./ha      Formulation       interval       Residues (mg/kg)    No. samples  No. replicates
                                        or % a.i.)                         (days)       Bendiocarb  NC 7312
                                                                                                                                           

    Cabbage1/    Philippines      7     0.06             50W                  1           0.1                                     3
                 1981                   0.1 a.i./l                            3           0.04                                    3
                                                                              7           0.01                                    3
                                                                             14          <0.01                                    3
                                        0.12             50W                  1           0.18                                    3
                                        0.2 g a.i./l                          3           0.05                                    3
                                                                              7           0.02                                    3
                                                                             14          <0.01                                    3
                                        Untreated                             1          <0.01                                    3
                                        control                               3           0.02                                    3
                                                                              7           0.01                                    3
                                                                             14          <0.01                                    3

    Peas2/       U.K.             1     0.2              50SC3/              27          <0.01       <0.01                        5
    flowering    1981             1     0.3                                              <0.01       <0.01                        5
    stage (MarQ)                  1     0.4                                              <0.01       <0.01                        5
                                  1     0.05                                             <0.01       <0.01                        5
                                        Untreated
                                        control                                          <0.01       <0.01                        5
    4-leaf                        1     0.2                                  27          <0.01       <0.01                        5
    stage                         1     0.3                                              <0.01       <0.01                        5
                                  1     0.4                                              <0.01       <0.01                        5
                                  1     0.5                                              <0.01       <0.01                        5
                                        Untreated
                                        control                                          <0.01        0.01                        5
                                                                                                                                           

    Table 5.  (con't)
                                                                                                                                           

                                    Application
                   Country/                Rate                            Preharvest
    Crop           Year           No.   (kg a.i./ha      Formulation       interval       Residues (mg/kg)    No. samples  No. replicates
                                        or % a.i.)                         (days)       Bendiocarb  NC 7312
                                                                                                                                           

    Pea pods                      1     0.2              50SC3/              83          <0.01       <0.02                        5
    flowering                     1     0.3                                              <0.01       <0.06                        5
    stage                         1     0.4                                              <0.01        0.07                        5
                                  1     0.5                                              <0.01        0.03                        5
                                        Untreated
                                        control                                          <0.01        0.03                        5
    4-leaf
    stage                         1     0.2                                  83          <0.01        0.05                        5
                                  1     0.3                                              <0.01        0.05                        5
                                  1     0.4                                              <0.01        0.08                        5
                                  1     0.5                                              <0.01        0.06                        5
                                        Untreated                                        <0.01        0.05                        5
                                        control

    Apple
    (Cox's       U.K.             24/   0.04 and         20W                 57          <0.01-0.01  <0.01         6
    Orange       1981                   0.08%            50W,
    Pippin)                                              50 SC
                                                         Untreated                        0.006       0.005        1
                                  14/   0.04 and         20W,               106          <0.01-0.01  <0.01-0.01    6
                                        0.08%            50W,
                                                         50SC                             0.009       0.003        1
                                  4/                     Untreated
                                  2     0.02,            20W,                98          <0.01-0.01  <0.01-0.01    9
                                        0.04 and         50W,
                                        0.08%            50SC
                                                         untreated                        0.003       0.008        1
                                                                                                                                           

    Table 5.  (con't)
                                                                                                                                           

                                    Application
                   Country/                Rate                            Preharvest
    Crop           Year           No.   (kg a.i./ha      Formulation       interval       Residues (mg/kg)    No. samples  No. replicates
                                        or % a.i.)                         (days)       Bendiocarb  NC 7312
                                                                                                                                           

    Pear                          14/   0.02%            50SC               158           0.01       <0.01         1
    (Conference)                  14/   0.04%                                             0.02        0.01         1
                                  14/   0.08%            untreated                        0.01        0.005        1

    Mushrooms    The Netherlands
                 1980             2     5                50SC                21           0.04-0.06   0.01-0.03                   4
                                        (50 g a.i./                                      <0.05 av.) (<0.02 av.)
                                        100 m2)
                                  2     7.5              50SC                21           0.08-0.12   0.01-0.04                   4
                                        (75 g a.i./                                      (0.1 av.)   (0.02 av.)
                                        100 m2)

                                  2     10               50SC                21           0.11-0.14   0.02-0.06                   4
                                        (100 g a.i./                                     (0.13 av.)  (0.04 av.)
                                        100 m2)

                                        Untreated                                        <0.01-0.02  <0.01-0.1                    4
                                                                                         (0.01 av.)  (0.01 av.)
                 U.K.                   g a.i./100 m2
                 1981                   wall spray5/

                                  1     52.2             50SC                69           N.D.6/     <0.02         1
                                        untreated                            69           N.D.        N.D.         1
                                  1     20               80W                 33           N.D.        N.D.         1
                                        untreated                            33           0.001       N.D.         1
                                  1     48               80W                 41          <0.02        0.02         1
                                        untreated                            41           0.04        0.02         1
                                        (g a.i./100 m2
                                        wall spray 5/)
                                                                                                                                           

    Table 5.  (con't)
                                                                                                                                           

                                    Application
                   Country/                Rate                            Preharvest
    Crop           Year           No.   (kg a.i./ha      Formulation       interval       Residues (mg/kg)    No. samples  No. replicates
                                        or % a.i.)                         (days)       Bendiocarb  NC 7312
                                                                                                                                           

    Mushrooms    U.K.             1     20               80W                 26          <0.02       <0.02         1
                 1981                   untreated                            26           N.D.        N.D.         1
                                  1     20               80W                 33          <0.02       <0.02         1
                                        untreated                            33           N.D.        0.003        1
                                  1     20               80W                 52           N.D.       <0.02         1
                                        20               80W                 60           0.04        0.02         1
                                        untreated                            52           N.D.        N.D.
                                        48               80W                 42           0.06        0.1          1
                                        48               80W                 42           0.09        0.13         1
                                        48               80W                 42           0.08        0.10         1
                                                                                                                                           

    1/   Residue results corrected for mean analytical recovery of 82% with fortification at 0.08-0.2 mg/kg.

    2/   Results corrected for recoveries. Harvest (127 days after planting) said to be 2-3 weeks after normal harvest.

    3/   SC = Suspendable concentrate.

    4/   1.5 1 spray solution per tree.

    5/   Mushroom plots established the day after wall treatment.

    6/   N.D. = no detectable chromatographic peaks.
        Legume Vegetables

    Peas

         Supervised residue trials were conducted in the U.K. with single
    applications at rates consistent with recommended ones. No information
    was available on specific nationally approved good agricultural
    practices, nor was information available on recommended numbers of
    applications or preharvest intervals.

         Peas were sampled at 2-3 weeks after normal harvest (127 days
    after planting). At all application rates tested, residues of either
    bendiocarb or NC 7312 (corrected for recovery) were <0.01 mg/kg in
    peas, including untreated controls (Table 5). The same is true for
    bendiocarb in pea pods, but residues of NC 7312 ranged from
    0.03-0.08 mg/kg (0.05 mg/kg av.), and untreated controls were 0.02 and
    0.05 mg/kg. Although bendiocarb residues were at or about the limit of
    determination, the data suggest that terminal residues of NC 7312 may
    be 2-10 times that of bendiocarb.

         Analytical recoveries averaged 86 and 72% for bendiocarb and NC
    7312, respectively, in peas from fortification levels of 0.04 and
    0.2 mg/kg. Recoveries in pods averaged only 58 and 63%, respectively.
    The limit of determination was said to be 0.01 mg/kg for bendiocarb
    and NC 7312 in both peas and pods. However, based on untreated
    controls, 0.05 mg/kg may be a more appropriate limit of determination
    for NC 7312 in pea pods.

         Because GAP information is unavailable and samples were not
    harvested at normal harvest, a maximum residue level cannot be
    estimated with confidence.

    Pome Fruit

    Apples and Pears

         Residue data were available from supervised trials in the U.K. at
    application rates of 0.02-0.08% active ingredient (1.5 1/tree),
    representing several formulations. Applications were at pre- or
    post-blossom and/or at codling stage, and fruit was sampled at normal
    harvest of 57-158 days after last treatment. No information was
    available on specific nationally approved agricultural practices.
    Recommended applications rates of 0.25-0.5 kg/ha are not directly
    comparable to the 0.02%-0.08% used in the field trials. No information
    was provided on recommended preharvest intervals or numbers of
    applications.

         Of the 24 apple and pear samples treated in three locations and
    in untreated controls, residues of bendiocarb and NC 7312 were
    < 0.01 mg/kg, except for one 0.02 mg/kg value for pears treated
    once with a 0.08% 50 SC formulation (Table 5). Mean recoveries of
    bendiocarb and NC 7312 on apples and pears were 94 and 73%,
    respectively, when fortified from 0.1 to 0.4 mg/kg. The limit of
    determination is said to be 0.01 mg/kg for both bendiocarb and
    NC 7312.

         If the formulations, application rates, number of applications
    and preharvest intervals of the field trials represent GAP, the data
    could support a maximum residue level of 0.02 mg/kg for bendiocarb per
    se or 0.05 mg/kg for combined residues of bendiocarb and NC 7312.

    Cereal Grains

    Barley

         Fourteen supervised trials were conducted in the U.K. with
    in-furrow granular, 50W spray or 80W seed dressing applications. No
    nationally approved agricultural practice information was provided,
    although recommended uses for cereals were reported (Table 2). No
    recommended uses for the granular formulation (2 trials) were
    provided. Only two of the trials were from spray treatments and the
    remainder were from seed treatments. The spray applications at 0.5 and
    1.0 kg a.i./ha reasonably reflect the recommended 0.75 kg a.i./ha
    although the data are limited (Table 6) (Browne and Reary 1980c,d,e;
    Housden and Reary 1981; Reary 1978 h,i,j,n; Reary 1979e,f,g,j,k,l,m,o,
    1980a,e; Reary and Browne 1978). The seed treatments at 2-5 g a.i./kg
    seed reflect the recommended rate of 2-5 g a.i./kg.

         Residues of bendiocarb at normal harvest in barley grain were
    <0.02 mg/kg and <0.03 mg/kg in straw. Untreated controls in
    barley grain and straw were at the same level. Some samples were
    also analysed for combined conjugated metabolites, NC 7312 and
    N-hydroxymethylbendiocarb. In all three trials, metabolite residues
    were <0.02 mg/kg. Mean analytical recoveries for bendiocarb in
    barley during the supervised trials were 94 and 84%, respectively, for
    grain and straw when fortified at 0.02-0.2 mg/kg. In a separate study,
    bendiocarb recoveries in barley grain were 61-125% (av. 94%) after
    fortifications at 0.02-0.2 mg/kg (Reary 1979b).

        Table 6.  Bendiocarb Residues in Cereals from Supervised Trials
                                                                                                                                     

                     No.      No.                       Application                    Interval after                   Residues
    Country        Trials   Samples   Formulation  Rate (a.i.)     Method               application    Sample            (mg/kg)
                                                                                        (days)
                                                                                                                                     

    Barley, wheat and oats

    U.K.             1        1           80W      4 g/kg seed     Seed dressing          148          barley grain      <0.02
    1977             1        1                                                           148          barley straw      <0.02
                     1        2           80W                      Seed dressing          148          wheat grain       <0.02
                     1        2                                                           148          wheat straw       <0.02
                     1        2           50SC     4 g/kg seed     Seed dressing          148          barley grain      <0.02
                     1        2                                                           148          barley straw      <0.02
                     1        2           50SC                     Seed dressing          148          wheat grain       <0.02
                     1        2                                                           148          wheat straw       <0.02

    U.K.             3        3           80W      4 g/kg seed     Seed dressing          113-145      barley grain      <0.02
    1978             2        2                                                           113-145      barley straw      <0.03
                     2        2                                                           124-137      wheat grain       <0.02
                     1        1                                                           124-137      wheat straw       <0.06
                     3        3 (10 rep)                                                  134-141      oat grain         <0.02
                     2        2 (10 rep)                                                  134-141      oat grain         <0.02
                     2        2           80W      8 g/kg seed     Seed dressing          136-147      oat grain          0.47
                     3        2                                                           136-147      oat straw          0.02-0.05

    U.K.1/           1        1           3G2/     0.5 kg/ha       In furrow              148          barley grain      <0.01
    1979             1        1                                                           148          barley straw      <0.01
                     1        1           3G2/     1.0 kg/ha       In furrow              148          barley grain      <0.01
                     1        1                                                           148          barley straw      <0.01
                     1        1           50W2/    0.5 kg/ha       Spray                  148          barley grain      <0.01
                                                                                          148          barley straw      <0.01
                                                                                                                                     

    Table 6.  (con't)
                                                                                                                                     

                     No.      No.                       Application                    Interval after                   Residues
    Country        Trials   Samples   Formulation  Rate (a.i.)     Method               application    Sample            (mg/kg)
                                                                                        (days)
                                                                                                                                     

                     1        1           50W2/    1.0 kg/ha       Spray                  148          barley grain      <0.01
                     1        1                                                           148          barley straw      <0.01
                     1        1           80W      2 g/kg seed     Seed dressing          336          wheat grain       <0.01
                     1        1                                                           336          wheat straw       <0.01
                     3        3           80W      4 g/kg seed     Seed dressing          119-148      barley grain      <0.01
                                                                                          119-148      barley straw      <0.01-0.02
                     3        3                                                           127-336      wheat grain       <0.01
                     2        2                                                           127-336      wheat straw       <0.01
                     2        2                                                           105-125      oat grain         <0.012
                     2        2                                                           105-125      oat straw         <0.01,<0.03
                     2        2           80W      5 g/kg seed     Seed dressing          119-127      barley grain      <0.01
                     2        2                                                           119-127      barley straw      <0.01,<0.02
                     1        1                                                           127          wheat grain       <0.01
                     1        1                                                           127          wheat straw       <0.01
                     2        2                                                           105-125      oat grain         <0.01
                     2        2                                                           105-125      oat straw         <0.01

    Maize harvest samples

    Canada           22       37          10G      0.84-2.24       band                   153-189      grain             <0.02

    U.S.             8        8                    kg/ha           at                     132-165      cob               <0.02
    1977-78          21       38                                   plant                  132-189      stover3/          <0.03
                     10       28                                                          110-134      silage            <0.023
                                                                                                                                     

    Table 6.  (con't)
                                                                                                                                     

                     No.      No.                       Application                    Interval after                   Residues
    Country        Trials   Samples   Formulation  Rate (a.i.)     Method               application    Sample            (mg/kg)
                                                                                        (days)
                                                                                                                                     

    German           25       30          3G       0.2-0.8         in furrow              133-184      grain             <0.024/
    Fed. Rep.        26       36                   kg/ha           at plant               128-184      cobs              <0.024/
                     5        12                                                          128-184      plants            <0.01

    U.K.             10       10                                                          146-184      foliage           <0.01

    France           5        5                                                           135-164      silage            <0.02

    Italy                                                                                 133-154      stover            <0.02
    1976-79

    France           30       36          76 or    2-16 g/kg       seed                   125-189      grain             <0.035/

    U.K., U.S.       30       24          80W      seed            treatment              160-161      cob               <0.026/
    1975-1979        18       23                                                          125-167      silage            <0.02
                     11       10                                                          160-189      stover            <0.02
                     14       8                                                           141-164      plants            <0.056/

    Rice (rough) harvest samples

    Philippines7/    1        1           5G       1.5 + 0.5       Incorporation +        53           grain             <0.01
    1978                                                           surface applied                     straw             <0.02
                     1        1           5G       2.0 + 0.6       Incorporation +        53           grain             <0.01
                                                                   surface applied                     straw             <0.02
                     1        1           50W      0.5 kg/ha       Spray                  90           grain              0.01
                                                                                                       straw             <0.02
                     1        1           50W      0.6 kg/ha       Spray                  90           grain             <0.01
                                                                                                       straw             <0.02
                                                                                                                                     

    Table 6.  (con't)
                                                                                                                                     

                     No.      No.                       Application                    Interval after                   Residues
    Country        Trials   Samples   Formulation  Rate (a.i.)     Method               application    Sample            (mg/kg)
                                                                                        (days)
                                                                                                                                     

                     2        2           80W      0.5 kg/ha       Spray                  60-90        grain             <0.01
                                                                                                       straw             <0.02
                     2        2           80W      0.6 kg/ha       Spray                  60-90        grain             <0.01
                                                                                                       straw             <0.02

    Philippines7/    1        1           50W      0.5 kg/ha       Spray                  248/         grain             <0.01
    1979                                                                                               straw             <0.01
                     1        1           50W      0.7 kg/ha       Spray                  248/         grain             <0.01
                                                                                                       straw              0.01
                     1        1           50W      1.0 kg/ha       Spray                  248/         grain              0.01
                                                                                                       straw             <0.01
                     1        1           50W      0.5 kg/ha       Spray                  459/         grain              0.01
                                                                                                       straw               -
                     1        1           50W      0.75 kg/ha      Spray                  459/         grain             <0.01
                                                                                                       straw               -
                     1        1           50W      0.5 kg/ha       Spray                  4910/        grain             <0.01
                                                                                                       straw             <0.01
                     1        1           50W      0.75 kg/ha      Spray                  4910/        grain              0.01
                                                                                                       straw              0.02

    South Korea7/    1        1           50W      0.75 kg/ha      Spray                  10           grain              0.6, 1.111/
    1979                                                                                               straw             <0.6
                     1        1           2D       0.8 kg/ha       Dust                   10           grain              1.5, 1.411/
                                                                                                       straw             <0.65
                     1        1           3GW      0.9 kg/ha       Seed box               119          grain              0.06, 0.03
                                                                   incorporation                       straw              0.02
                                                                   (100 g/box)
                                                                                                       straw             <0.02
                                                                                                                                     

    Table 6.  (con't)
                                                                                                                                     

                     No.      No.                       Application                    Interval after                   Residues
    Country        Trials   Samples   Formulation  Rate (a.i.)     Method               application    Sample            (mg/kg)
                                                                                        (days)
                                                                                                                                     

                     1        1           5G       1.5 kg/ha       Soil                   100          grain             <0.6
                                                                   incorporation                       straw              0.04

    Philippines
    1980             1        1           50W      0.25 kg/ha      Spray                  6212/        grain             <0.02
                                                                                                       straw             <0.01
                     1        1           50W      0.50 kg/ha      Spray                  6212/        grain             <0.02
                                                                                                       straw             <0.01
                     1        1           50W      0.75 kg/ha      Spray                  6212/        grain             <0.02
                                                                                                       straw             <0.01
                                                                                                                                     

    1/   Also analysed for combined residues of conjugated NC 7312 and N-hydroxymethylbendiocarb. All metabolite residues were
         < 0.02 mg/kg except for residues of 0.07 and 0.05 mg/kg from one trial in oat grain from seed dressing of spring oats 
         with an 80 WP formulation at 4 and 5 g a.i./kg seed. The two residues resulted from oat grain samples with bendiocarb 
         residues 0.012 and 0.007 mg/kg respectively. Untreated controls were 0.011 mg/kg.

    2/   Seed previously treated with an 80% WP formulation

    3/   Stover = leaves and stems after removal of cobs.

    4/   Analysis of oil from kernels with <0.02 mg/kg residue from one site showed no residue greater than the 0.02 mg/kg limit 
         of determination.

    5/   The 0.03 mg/kg on grain resulted from treatments at 8 and 12 g a.i/kg seed. At <4 g a.i./kg seed residues were 
         <0.02 mg/kg in grain.

    6/   Maize (sweet corn) comprised 14 of the trials at 2-8 g a.i./kg. All plants in this group were sweet corn. The 0.05 mg/kg 
         residue on sweet corn plants resulted from 2-4 g a.i./kg seed.

    Table 6 (con't)

    7/   Also analysed for metabolite NC 7312. No residues above the limits of detection (0.01 mg/kg in grain and 0.02 mg/kg in 
         straw) were found, except for 0.11 and 0.17 mg/kg in grain from dust and spray treated samples at the 10-day interval and 
         one 5G formulation at 100 days, in which it was 0.03 mg/kg. In the latter, the control was also 0.03 mg/kg.

    8/   Period between final application and harvest in multi-spray programme. Sprays, at same rates, were made 17, 27, 39, 52, 
         66 and 80 days after transplanting.

    9/   Period between final application and harvest in multi-spray programme. Sprays, at same rates, were made 10, 25 40 and 
         55 days after transplanting.

    10/  Period between final application and harvest in multi-spray programme. Sprays, at same rates, were made 7, 20 and 45 
         days after transplanting.

    11/  Values reflect residue determination by electron capture and fluorescence, respectively.

    12/  Period between final application and harvest in multi-spray programme. Sprays, at same rates, were made 22, 35, 51 and 
         68 days after transplanting.

             The limit of determination was said to be 0.01 mg/kg for both
    cereal grain straws and grains, although apparent residues in controls
    (<0.02 and <0.03 mg/kg in barley grain and straw, respectively)
    suggest 0.02 or even 0.05 mg/kg may be a more realistic estimate for
    both. When considered with data from other cereal grains and straws, a
    0.05 mg/kg limit for bendiocarb per se at or about the limit of
    determination could be supported if recommended uses represent GAP. A
    0.1 mg/kg limit would be appropriate if both bendiocarb and
    metabolites are included.

    Maize

         Over 100 supervised trials were conducted in six countries, two
    in North America and four in Europe (Table 6). Applications were made
    with granular formulations at planting, either by band or in-furrow
    treatment and seed was treated with wettable powder formulations.
    In-furrow applications of a 3G formulation at 0.2-0.8 kg a.i./ha
    corresponds to the 0.3-0.4 kg a.i./ha Netherlands GAP, although no
    data were available from The Netherlands. The recommended uses on
    maize provided to the Meeting did not include the method of
    application for granular formulations.

         Granular band treatments at planting of 0.84-2.24 kg a.i./ha did
    not correspond with certainty to either The Netherlands GAP or
    recommended usage for maize. The 2-16 g a.i./kg wettable powder seed
    treatments more than accommodate the 2-4 g a.i. GAP of The Netherlands
    or recommended application rates. Additional information on official
    national GAP is needed.

         Maximum residues of bendiocarb per se from all treatments were
    <0.03, <0.02, <0.023, 0.05 and <0.01 mg/kg in grain, cobs,
    stover, silage, plants and foliage, respectively. Analysis of oil from
    one grain sample with field-incurred residues of <0.02 mg/kg also
    showed residues of less than the 0.02 mg/kg limit of determination.
    The 0.03 mg/kg level in grain resulted from applications at 2-3 times
    the recommended rate. At recommended rates all grain residues were
    <0.02 mg/kg. The 0.05 mg/kg residue on plants was on maize (sweet
    corn) treated according to recommended rates.

         The limit of determination was said to be 0.01-0.02 mg/kg for the
    various maize fractions. Apparent residues in untreated controls were
    also in this range. Analytical recoveries during the trials averaged
    approximately 81, 78, 72, 80 and 78% for grain, cob, silage, stover
    and plants, respectively. A 0.05 mg/kg limit at or about the limit of
    determination could be supported for bendiocarb per se in maize (field
    corn) grain, fodder and/or forage. Additional data would be required
    for inclusion of metabolites.

         In addition to the trials at harvest, 12 residue decline trials
    were conducted in four countries (FBC 1982a; Browne and Reary 1979d;
    Reary 1978l,m, 1979p, 1980h,i), mostly from granular in-band or
    in-furrow treatments at planting ranging from 0.3-2.24 kg a.i./ha.
    Residues in grain from granular treatments were <0.01 mg/kg. In
    plants, residues ranged from <0.05-0.9 mg/kg at 25-40 days after
    treatment (0.9 at 29 days), declining to <0.07 mg/kg after 49 days
    and <0.02 after 56-70 days. Residues in stover and cobs were <0.02
    and <0.02 mg/kg, respectively, after 71 days.

         From the single 4 g a.i./kg seed treatment with a wettable powder
    formulation, residues on plants were 12.4 mg/kg 29 days after
    treatment but rapidly declined to _0.023 mg/kg after 42 days.

    Oats

         Residue data were available for seven supervised trials in the
    U.K. from 4-8 g a.i./kg seed 80W seed dressings (Table 6). No
    information was provided on specific nationally approved practices.

         At application rates approximating the 4 g a.i./kg seed
    recommended application rate, residues in oat grain at normal harvest
    were 0.02 mg/kg and in straw were _0.02 mg/kg. One of the two grain
    samples treated at 8 g a.i./kg seed had a residue of 0.47 mg/kg.
    Contamination of this sample and its 0.12 mg/kg untreated control was
    suspected by the manufacturer to have occurred during sampling.
    Maximum residues in straw from the 8 g a.i/kg seed application rate
    were 0.05 mg/kg. While this could be aberrant, as the untreated
    control was 0.12 mg/kg, it is not necessarily so, since residues are
    as high as 0.03 mg/kg in straw of oats and barley from recommended
    application rates. Residues in untreated controls were <0.02 and
    <0.04 mg/kg in grain and straw, respectively, except for 0.12 mg/kg
    from a grain and straw sample with suspected contamination.

         A limited amount of residue data were also available for combined
    conjugated metabolites (NC 7312 and N-hydroxymethylbendiocarb) in some
    oat samples, with residues being <0.012 mg/kg and <0.01 mg/kg in
    grain and straw, respectively.

         Mean recoveries of bendiocarb were 89 and 94% for oat grain and
    straw, respectively. The limit of determination was said to be
    0.02 mg/kg for both, but based on the 0.035 mg/kg apparent residue in
    untreated controls, 0.05 mg/kg may be more appropriate, especially
    when barley and wheat are also considered. A 0.05 mg/kg limit at or
    about the limit of determination could be supported for bendiocarb per
    se if recommended uses represent GAP. A 0.1 mg/kg limit would be
    required if both bendiocarb and metabolites were included.

    Rice

         Residue data (corrected for mean recoveries) were available from
    22 supervised trials on rough rice at normal harvest in The
    Philippines and South Korea (Table 6). Applications were by granular,
    spray and dust formulations. No information was available on
    nationally approved agricultural practices on rice. Recommended
    application rates for rice are 2 and 0.5 kg a.i./ha for granular and
    spray formulations, respectively, and 0.5-0.75 kg a.i./ha for dust, as
    summarized in Table 2. No information was provided on approved
    intervals from last application or maximum number of applications.

         Only one trial utilized a dust formulation, and the application
    rate reflects the recommended use. Bendiocarb residues were 1.5 mg/kg
    and 0.65 mg/kg, respectively, for grain and straw 10 days after
    application as compared to 0.6-1.1 mg/kg for a spray application after
    the same interval. Residues for NC 7312 were 0.17 mg/kg at the same
    10-day interval. Untreated controls were <0.3 mg/kg and 0.04 mg/kg,
    respectively, for grain and straw.

         Spray applications of 0.25-0.75 kg a.i./ha covers the 0.5 kg/ha
    recommended rate. As in the case of dust treatments, the spray
    applications at 10 days before normal harvest resulted in higher
    residues than at longer intervals, measuring <1.1 and <0.5 mg/kg,
    respectively, for grain and straw. Similarly, residues were higher for
    NC 7312 in grain, being 0.11 mg/kg. The same control as for the 10-day
    interval dust treatment applies.

         At longer intervals from last treatment with 50W or 80W
    formulations (24-90 days) and up to 1.5 times the recommended rate,
    residues were <0.02 mg/kg for both grain and straw. Untreated
    controls for spray treatments, except for the 10-day interval
    treatment, were <0.021 and <0.02 mg/kg, respectively, for
    bendiocarb in grain and straw, except for one untreated straw sample
    at 0.04 mg/kg. Residues of NC 7312 were <0.03 mg/kg and 0.02 mg/kg
    for grain and straw, respectively, from spray treatments.

         Four trials were conducted with either 3G or 5G formulations at
    rates reflecting the recommended application rate and different
    application methods. Maximum residues of bendiocarb were <0.6 mg/kg
    and 0.04 mg/kg, respectively, in grain and straw. Untreated controls
    were <0.07 and <0.04 mg/kg bendiocarb in grain and straw,
    respectively. Residues of NC 7312 were <0.03 and <0.02 mg/kg in
    grain and straw, respectively.

         Analytical recoveries of bendiocarb during the trials averaged 77
    and 68%, respectively, in rice grain and straw from fortifications at
    0.02-0.25 mg/kg. Average recoveries were less (64 and 56%) for NC
    7312. In a separate study on recoveries (Browne and Reary 1979b) at
    similar fortification levels, mean recoveries were better, being 86
    and 74% for bendiocarb in grain and straw, and 70 and 56%,
    respectively, for NC 7312.

         In the absence of GAP information, 2 mg/kg and 1 mg/kg limits
    would be required for bendiocarb per se in rice grain and straw,
    respectively, to accommodate the uses of the supervised trials.

    Wheat

         Residue data, corrected for recoveries, were available from eight
    supervised trials in the U.K. from seed treatments with 80W or 50SC at
    2-5 g a.i./kg seed (Table 6). No information was available on specific
    nationally approved agricultural practices, although the application
    rates used reflect the 2-4 g a.i./kg seed recommended rate for
    cereals.

         Residues for bendiocarb at harvest were <0.02 mg/kg for both
    grain and straw, except for one 0.06 mg/kg value for straw. This
    0.02 mg/kg level is approximately the claimed limit of determination.
    Untreated controls were <0.04 mg/kg and <0.12 mg/kg,
    respectively, for grain and straw. The 0.12 mg/kg for straw is from
    the same study in which the high treated sample residue was found.
    Contamination was suspected. Other values were <0.02 mg/kg.

         Analytical recoveries from the individual studies were relatively
    low, averaging only 63-65% for grain and straw at fortification levels
    of 0.02-0.2 mg/kg. In a separate determination (Reary 1979b)
    recoveries of bendiocarb in grains were better, averaging 84%. The
    limit of determination for barley, oats and wheat is said to be
    <0.02 mg/kg for grain and straw. Overall data support a 0.05 mg/kg
    limit for bendiocarb per se.

         Limited data were also available for combined conjugated residues
    of NC 7312 and N-hydroxymethylbendiocarb. Residues were <0.01 and
    <0.12 mg/kg for wheat grain and straw, respectively, although
    analytical recoveries were only 62 and 67% in cereal grains and straw,
    respectively.

    Fodders and Straws

         Fodders and straws of cereal grains have been discussed
    previously. The other member of this group for which data were
    provided is grass fodder, or more specifically turf and grass. Data
    were available from 72 supervised trials in the U.K., U.S. and
    Australia from 1975-1980, representing a variety of formulations,

    single or multiple applications at several rates, intervals, and
    methods of application as well as irrigated and unirrigated conditions
    (Table 7) (Browne 1981d; FBC 1982c; Reary 1975d, 1978f,g, 1980b,d,e,k,
    1981m; Reary and Whiteoak 1977a,b,c,d). No information was available
    on specific national agricultural practices, although recommended
    rates for rye grass is given in Table 1.

         Granular treatments, both single and multiple broadcasts, were
    mostly at application rates 6-12 times the recommended rate (for rye
    grass). Three granular broadcast trials (single applications) at 1.6
    times the recommended rate resulted in maximum residues ranging from
    0.24 mg/kg at 43 days after treatment to 0.09 mg/kg after 55 days.
    Residues were <0.1 mg/kg from three granular seed mix trials (single
    application) at 0.6-1.4 times the recommended granular application
    rate when analysed 196 days after treatment.

         As in the case of granular treatments, single or multiple spray
    treatments were mostly at rates 6-12 times the maximum recommended
    application rate for rye grass. After single applications at rates
    approximating recommended rates (1-1.6x), maximum residues from spray
    treatments ranged from 103 mg/kg (193 mg/kg dry basis) at day of
    application to 0.03 mg/kg after 141 days.

         No recommended rates were available specifically for ULV aerial
    applications. Residues from a single application at 0.28 kg/ha ranged
    from 50 mg/kg (111 mg/kg dry basis) on day of application to 5.5 mg/kg
    (12 mg/kg dry basis) after 29 days.

         Seed dressing trials were conducted at treatments rates of 1-4
    times the recommended rate of 10 g a.i./kg seed. Residues were
    <0.2 mg/kg at all rates after 43 days.

         Although many of the treatments with the various formulations
    were at exaggerated application rates, these trials did permit
    estimations of decline rates, the potential of residue accumulation
    and effect of irrigation on residues. Residue half-lives were greater
    for granular broadcast applications, for which 37-42 days was
    estimated. For spray application half-lives ranged from 2-15 days,
    depending on the trial. The half-lives were 5.3 and 2.4 days for seed
    treatments and aerial ULV treatments, respectively. In general,
    irrigation did not significantly affect decline rates from granular
    broadcast or wettable powder spray treatments as compared to rates
    measured under non-irrigated conditions. Residues did not accumulate
    from multiple applications at 28-day intervals.

        Table 7.  Bendiocarb Residues in Grass and Turf from Supervised Trials
                                                                                                                                           

    Country/   No.      Half-                   Application     Application    Sample            Interval after  Residues  No. of   Dry
    Year       Trials   life      Formulation   Rate (a.i.)     Method                           application     (mg/kg)   Samples  weight
                        (days)                                                                   (days)                    basis
                                                                                                                                           

    U.K.       1        -         80W           1 kg/ha         Spray          Rye grass         <1               130        1
    1975                                                                                         1-5             <109        3
                                                                                                 6-10             <40        2
                                                                                                 11-20            <15        2
                                                                                                 21-50             <7        3

    U.S.       1*       4.3       76W           2.24 kg/ha      Spray          Turf grass        <1              <236        6
    1976                                                                                         1-5             <225        6
                                                                                                 6-10            <115        4
                                                                                                 11-20            <19        2
               1*                                                              Thatch            <1               <25        6
                                                                                                 1-5              <26        6
                                                                                                 6-10              <9        4
                                                                                                 11-20             <1        2
               1*                 76W           4.48 kg/ha      Spray          Turf grass        <1              <326        6
                                                                                                 1-5             <386        6
                                                                                                 6-10            <190        4
                                                                                                 11-20            <46        2
               1*                                                              Thatch            <1               <36        6
                                                                                                 1-5              <97        6
                                                                                                 6-10             <79        4
                                                                                                 11-20             <1.6      2
               1*       2-4       76W           2.24 kg/ha      Spray          Turf grass        <1              <293        5
                                                                                                 1-5             <201        4
                                                                                                 6-10              <4        4
                                                                                                 11-20             <2.8      2
                                                                                                                                           

    Table 7.  (con't)
                                                                                                                                           

    Country/   No.      Half-                   Application     Application    Sample            Interval after  Residues  No. of   Dry
    Year       Trials   life      Formulation   Rate (a.i.)     Method                           application     (mg/kg)   Samples  weight
                        (days)                                                                   (days)                    basis
                                                                                                                                           

               1*                                                              Thatch            <1               <19        5
                                                                                                 1-5              <13        4
                                                                                                 6-10             <16        4
                                                                                                 11-20            <21        2
               1*                 76W           4.48 kg/ha      Spray          Turf grass        <1              <607        5
                                                                                                 1-5             <710        4
                                                                                                 6-10             <30        4
                                                                                                 11-20             <7.5      2
                                                                               Thatch            <1               <56        5
                                                                                                 1-5              <18        4
                                                                                                 6-10             <32        4
                                                                                                 11-20            <26        2
               1*                 5G            2.24 kg/ha      Broadcast      Turf grass        <1                <1.4      5
                                                                                                 1-5               <2.7      4
                                                                                                 6-10              <0.6      4
                                                                                                 11-20             <0.3      2
               1*                                                              Thatch            <1               <13        5
                                                                                                 1-5              <11        4
                                                                                                 6-10             <18        4
                                                                                                 11-20            <17        2
               1*                 5G            4.48 kg/ha      Broadcast      Turf grass        <1                <3        5
                                                                                                 1-5               <6        4
                                                                                                 6-10              <8        4
                                                                                                 11-20             <0.7      2
               1*                                                              Thatch            <1               <34        5
                                                                                                 1-5              <42        4
                                                                                                 6-10             <47        4
                                                                                                 11-20            <27        2
                                                                                                                                           

    Table 7.  (con't)
                                                                                                                                           

    Country/   No.      Half-                   Application     Application    Sample            Interval after  Residues  No. of   Dry
    Year       Trials   life      Formulation   Rate (a.i.)     Method                           application     (mg/kg)   Samples  weight
                        (days)                                                                   (days)                    basis
                                                                                                                                           

    1977       2*       5-15*     76W           4.48 kg/ha      Spray          Turf grass        1-5              <30        4
                                                                                                 6-10             <34        2
                                                                                                 11-20            <10        2
                                                                                                 21-50             <7        4
                                                                                                 51-80             <3        2
                                                                                                 81-110            <1.2      2
                                                                                                 111-140           <0.3      3
                                                                                                 >141               0.2      1
               2*                 76W           8.96 kg/ha      Spray          Grass             1-5             <125        5
                                                                                                 6-10            <109        2
                                                                                                 11-20            <19        2
                                                                                                 21-50            <23        2
                                                                                                 51-80             <2.5      2
                                                                                                 81-110            <0.8      2
                                                                                                 111-140           <0.4      3
                                                                                                 >141               0.3      1

               2*       5.6-14    76W                           Multi-spray1/  Turf grass        1-5
                                                                                                 6-10
                                                                                                 21-50
                                                                                                 51-80
                                                                                                 81-110
                                                                                                 111-140
                                                                                                 >141
                                                                                                                                           

    Table 7.  (con't)
                                                                                                                                           

    Country/   No.      Half-                   Application     Application    Sample            Interval after  Residues  No. of   Dry
    Year       Trials   life      Formulation   Rate (a.i.)     Method                           application     (mg/kg)   Samples  weight
                        (days)                                                                   (days)                    basis
                                                                                                                                           

               2*       5-15      76W           4.48 kg/ha      Spray          Turf grass        1-5              <30        4
                                                                                                 6-10             <34        2
                                                                                                 11-20            <10        2
                                                                                                 21-50             <7        4
                                                                                                 51-80             <3        2
                                                                                                 81-110            <1.2      2
                                                                                                 111-140           <0.3      3
                                                                                                 >141               0.2      1
               2*                 76W           8.96 kg/ha      Spray          Grass             1-5             <125        5
                                                                                                 6-10            <109        2
                                                                                                 11-20            <19        2
                                                                                                 21-50            <23        2
                                                                                                 51-80             <2.5      2
                                                                                                 81-110            <0.8      2
                                                                                                 111-140           <0.4      3
                                                                                                 >141               0.3      1
               2*       5.6-14    76W                           Multi-spray1/  Turf grass        1-5
                                                                                                 6-10
                                                                                                 11-20
                                                                                                 21-50
                                                                                                 51-80
                                                                                                 81-110
                                                                                                 110-140
                                                                                                 >141
                                                                                                                                           

    Table 7.  (con't)
                                                                                                                                           

    Country/   No.      Half-                   Application     Application    Sample            Interval after  Residues  No. of   Dry
    Year       Trials   life      Formulation   Rate (a.i.)     Method                           application     (mg/kg)   Samples  weight
                        (days)                                                                   (days)                    basis
                                                                                                                                           

               2*                 76W                           Multi-spray2/  Turf grass        1-5              <16        3
                                                                                                 6-10             <16        2
                                                                                                 11-20             <9        2
                                                                                                 21-50             <2        2
                                                                                                 51-80             <0.9      2
                                                                                                 81-110            <0.3      2
                                                                                                 111-140           <0.1      2
                                                                                                 >141               0.1      1
               2*                 76W                           Multi-spray3/  Turf grass        1-5              <24        2
                                                                                                 6-10              <2        2
                                                                                                 11-20             <3        2
                                                                                                 21-50             <1.7      2
                                                                                                 51-80             <1.1      2
                                                                                                 81-110            <0.3      2
                                                                                                 111-140            0.1      1
               2*                 76W                           Multi-spray4/  Turf grass        1-5              <37        4
                                                                                                 6-10              <2.5      2
                                                                                                 11-20             <3.4      2
                                                                                                 21-50             <1        2
                                                                                                 51-80             <0.4      2
                                                                                                 81-110             0.1      1
               2*                 76W                           Multi-spray5/  Turf grass        1-5              <80        4
                                                                                                 6-10             <80        4
                                                                                                 11-20            <20        2
                                                                                                 21-50             <3.7      2
                                                                                                 51-80              0.5      1
                                                                                                                                           

    Table 7.  (con't)
                                                                                                                                           

    Country/   No.      Half-                   Application     Application    Sample            Interval after  Residues  No. of   Dry
    Year       Trials   life      Formulation   Rate (a.i.)     Method                           application     (mg/kg)   Samples  weight
                        (days)                                                                   (days)                    basis
                                                                                                                                           

               2        37-42     5G                            Broadcast6/    Turf grass        1-5               <8        5
                                                                                                 6-10              <3.3      2
                                                                                                 11-20             <1.9      2
                                                                                                 21-50             <3.7      2
                                                                                                 51-80             <8.1      2
                                                                                                 81-110            <2.6      2
                                                                                                 111-140           <1.6      2
                                                                                                 >141              <0.5      2
               2                  5G                            Broadcast1/    Turf grass        1-5               <7        5
                                                                                                 6-10              <7        2
                                                                                                 11-20             <1.4      2
                                                                                                 21-50             <2.8      2
                                                                                                 51-80             <0.16     2
                                                                                                 81-110            <0.7      2
                                                                                                 111-140           <0.55     2
                                                                                                 >141               0.16     1
               2                  5G                            Broadcast2/    Turf grass        1-5               <9.5      4
                                                                                                 6-10              <4.7      2
                                                                                                 11-20             <4.4      2
                                                                                                 21-50             <3.5      2
                                                                                                 51-80             <0.7      2
                                                                                                 81-110            <0.7      2
                                                                                                 111-140           <0.7      2
                                                                                                                                           

    Table 7.  (con't)
                                                                                                                                           

    Country/   No.      Half-                   Application     Application    Sample            Interval after  Residues  No. of   Dry
    Year       Trials   life      Formulation   Rate (a.i.)     Method                           application     (mg/kg)   Samples  weight
                        (days)                                                                   (days)                    basis
                                                                                                                                           

               2                  5G                            Broadcast3/    Turf grass        1-5               <1.0      2
                                                                                                 6-10              <9.0      2
                                                                                                 11-20             <8.0      2
                                                                                                 21-50             <4.0      2
                                                                                                 51-80             <2.0      2
                                                                                                 81-110            <0.8      2
                                                                                                 111-140            0.8      1
               2                  5G                            Broadcast4/    Turf grass        1-5               <9.1      4
                                                                                                 6-10              <8.2      2
                                                                                                 11-20             <7.4      2
                                                                                                 21-50             <7.6      2
                                                                                                 51-80             <3.9      2
               2                  5G                            Broadcast5/    Turf grass        1-5               <7.3      4
                                                                                                 6-10              <6.1      2
                                                                                                 11-20             <5.7      2
                                                                                                 21-50             <2.8      2

    Australia  1                  80W           1.6 g/kg seed   Seed dressing  Grass (pasture)   81-110            <0.02     2
    1979                                                                                         111-140           <0.02     2
                                                                                                                                           

    Table 7.  (con't)
                                                                                                                                           

    Country/   No.      Half-                   Application     Application    Sample            Interval after  Residues  No. of   Dry
    Year       Trials   life      Formulation   Rate (a.i.)     Method                           application     (mg/kg)   Samples  weight
                        (days)                                                                   (days)                    basis
                                                                                                                                           

    U.K.       3                  80W           10 g/kg seed    Seed dressing  Grass (grazing)   21-50              0.09     1
    1979                                                                                         51-80             <0.06     2
               3                  80W           40 g/kg seed    Seed dressing  Grass    "        21-50              0.17     1
                                                                                                 51-80             <0.11     2
               3                  3G            1.2 kg/ha       Broadcast      Grass (grazing)   21-50              0.24     1
                                                                                                 51-80             <0.09     2
               3                  50SC          1.2 kg/ha       Spray          Grass (grazing)   21-50             <0.2      3
               2                  50SC          10 g/kg seed    Seed dressing  Grass (grazing)   >141              <0.01     3
               1                  50SC          15 g/kg seed    Seed dressing    "       "       >141               0.01     1
               2                  50SC          20 g/kg seed     "      "        "       "       >141              <0.01     3
               2                  50SC          0.5 kg/ha       Spray          Grass (grazing)   >141              <0.01     3
               1                  50SC          0.75 kg/ha      Spray            "       "       >141               0.03     1
               2                  50SC          1.0 kg/ha       Spray            "       "       >141              <0.015    3

    U.S.       1        6         50SC          0.84 kg/ha      Spray          Wheat grass       <1               103        1      193
    1979                                                                                         1-5              <97        2     <139
                                                                                                 6-10              26        1       34
                                                                                                 11-20             16        1       18
                                                                                                 21-50             <9.3      2      <16

    U.K.       2        5.3       80W           10 g/kg seed    Seed Dressing  Grass (grazing)   51-80             <0.02     2
    1980       2                  80W           15 g/kg seed    Seed dressing    "       "       51-80             <0.03     2
               2                  80W           20 g/kg seed    Seed dressing    "       "       51-80             <0.1      3
               1                  50SC          5×0.5 kg/ha     Spray          Grass (grazing)   51-80             <0.03     6
                                                                                                 81-110             0.01     1
                                                                                                                                           

    Table 7.  (con't)
                                                                                                                                           

    Country/   No.      Half-                   Application     Application    Sample            Interval after  Residues  No. of   Dry
    Year       Trials   life      Formulation   Rate (a.i.)     Method                           application     (mg/kg)   Samples  weight
                        (days)                                                                   (days)                    basis
                                                                                                                                           

               2                  50SC          0.75 kg/ha      Spray          Grass (grazing)   51-80             <0.02     2
               2                  50SC          1.0 kg/ha       Spray          Grass     "       51-80             <0.03     2
               1                  5G            0.75 kg/ha      Seed mix       Grass (grazing)   51-80             <0.08     2
               1                  3G            0.45 kg/ha      Seed mix       Rye Grass         >141              <0.1      2
               1                  5G            0.75 kg/ha      Seed mix       Rye grass         >141              <0.1      2
               1                  7G            1.05 kg/ha      Seed mix       Rye grass         >141              <0.1      1

    U.S.       1        2.4       25ULV         0.28 kg/ha      Aerial Spray   Rangeland grass   <1                50        1      111
    1980                                                                                         1-5                5.36     2      <73
                                                                                                 6-10               1.7      1        4
                                                                                                 11-20              0.7      1        2
                                                                                                 21-50              5.5      1       12
                                                                                                                                           

    *    Trials irrigated and non-irrigated. Residue levels maximum found.

    1/   Rate of 4.48 kg/ha.

    2/   Multi-application programme of 4.48 + 2.24 kg/ha, 28 days apart.

    3/   Multi-application programme of 4.48 + 2.24 + 2.24 kg/ha each 28 days apart.

    4/   Multi-application programme of 4.48 + 2.24 + 2.24 kg/ha, each 28 days apart.

    5/   Multi-application programme of 4.48 + 2.24 + 2.24 + 4.48 kg/ha, each 28 days apart.

    6/   Rate of 8.96 kg/ha.
             Apparent bendiocarb in untreated grass controls were generally
    <0.2 mg/kg, although they occasionally approached 1 mg/kg and were
    1.8 mg/kg in one sample. The limit of determination was said to be
    0.01-0.1 mg/kg, depending on the trial. Based on untreated controls,
    1 mg/kg may be a more realistic limit of determination for grass.
    Analytical recoveries during the trials ranged from 43 to 119% and the
    mean for all the trials was approximately 80%.

    Legume Animal Fodders

         See discussion on pea pods under legume vegetables.

    Oilseeds

         Bendiocarb residue data on oilseed rape resulting from supervised
    trials were available from one country where applications of a 5G
    formulation was applied at sowing with the seed at application rates
    of 0.140 and 0.28 kg a.i./ha which is the recommended rate for
    granular formulations (Table 2) (Browne and Reary 1980f). No
    information was available on specific nationally approved agricultural
    practices.

         Nine replicates were analysed for bendiocarb per se on mature
    seed (114 days after application) at each rate with residues
    <0.006 mg/kg. Samples were not analysed for conjugates of NC 7312
    and N-hydroxymethylbendiocarb, although a metabolism study has shown
    these to be the major metabolites in rape seed (see section on "Fate
    of Residues in Plants"). Residues in untreated controls were also
    <0.006 mg/kg with mean analytical recoveries of 84% for
    fortifications at 0.05-0.5 mg/kg.

         These data are inadequate for estimating a maximum residue level.
    Additional data from granular applications as well as data from spray
    treatments reflecting GAP are needed, as well as information on
    nationally approved uses, including preharvest intervals and number of
    applications.

    Meat

    Cattle

         Residue data available from two feeding studies and two dermal
    treatment studies are given in Table 8 (Browne and Reary 1978a,b;
    Reary 1978a, 1979a, 1980c).

        Table 8.  Bendiocarb Residues in Milk and Cattle Tissues after Feeding Trials or Dermal Treatments1/
                                                                                                                                           

                         28-Day Feeding Studies at Given               1% Dust Dermal Treatments at Given Treatment
                         Dietary Levels (mg/kg)                        Levels (g product/treatment/cow)
                                                                                                                                           

                                                                       Single                        Self          Manual treatment
                                                                       Manual Treatment5/            treatment6/   (7 successive days)
                                                                                                                                           

    Tissue               0.25      0.75    2.5      7.5       25         5            15         25        5         5          25
                                                                                                                                           

    Milk
    (non-conjugated2/
    residues)            <0.01    <0.01   <0.01    <0.01     <0.01      0.014        0.005     0.015      0.06     <0.02      <0.04

    Milk
    (conjugated3/        <0.02    <0.02   <0.02    <0.02     <0.02      0.027        0.027      0.039     0.057    <0.02      <0.02
    residues)

    Muscle4/             <0.02    <0.02   <0.02    <0.02     <0.02        -            -          -         -      <0.01      <0.01

    Omental fat4/        <0.02    <0.02   <0.02    <0.02     <0.02                                                 <0.02      <0.03

    Perirenal fat4/      <0.05    <0.05   <0.05    <0.05     <0.02                                                 <0.05      <0.04

    Subcutaneous-

      muscle4/                                                                                                     <0.01      <0.01

      fat4/                                                                                                        <0.15      <0.12
                                                                                                                                           

    Table 8.  (con't)
                                                                                                                                           

                         28-Day Feeding Studies at Given               1% Dust Dermal Treatments at Given Treatment
                         Dietary Levels (mg/kg)                        Levels (g product/treatment/cow)
                                                                                                                                           

                                                                       Single                        Self          Manual treatment
                                                                       Manual Treatment5/            treatment6/   (7 successive days)
                                                                                                                                           

    Tissue               0.25      0.75    2.5      7.5       25         5            15         25        5         5          25
                                                                                                                                           

      liver4/            <0.05    <0.05   <0.05    <0.05     <0.05                                                 <0.05      <0.05

      kidney4/           <0.1     <0.1    <0.1     <0.1      <0.1                                                  <0.05      <0.11
                                                                                                                                           

    1/  Corrected for mean recoveries;

    2/  Bendiocarb and non-conjugated NC 7312 and N-hydroxymethyl bendiocarb (fat fraction);

    3/  Total conjugated NC 7312 and N-hydroxymethyl bendiocarb (aqueous or lactose fraction);

    4/  Total residues of bendiocarb and non-conjugated metabolites plus conjugated NC 7312 and N-hydroxymethylbendiocarb;

    5/  Analysed 6 hours post-treatment;

    6/  7-21 day self-treatment. Treatment rate estimated to be approximately 5 g product/cow/day.
             In a feeding study (Browne and Reary 1978a), lactating dairy cows
    were fed for a minimum of 28 days with a diet containing 0, 0.25, 0.75
    and 2.5 mg/kg bendiocarb. A maize premix was the vehicle for adding
    bendiocarb to the diet twice daily. Premises were stored at -4°C prior
    to use. Each treatment group consisted of two cows. Milk samples were
    pooled for both cows in each treatment group over 24 hours. Samples
    were taken before treatment and after 1, 2, 4, 8, 12, 16, 22 and 28
    days on the bendiocarb fortified diet. Milk extracts were separated
    into a fat fraction (hexane/ether soluble) and a lactose fraction
    (water soluble), the first of which was analysed for total
    non-conjugated residues of bendiocarb, NC 7312 and
    N-hydroxymethylbendiocarb. The lactose fraction was analysed for total
    conjugated residues. Residues (bendiocarb equivalent in milk) in all
    fat samples were less than the estimated 0.01 mg/kg limit of
    determination, corrected for mean recoveries of 64%. Residues in the
    lactose fraction were also <0.01 mg/kg, but the limit of
    determination was considered 0.02 mg/kg because of chromatographic
    interferences. Based on the chromatograms, 0.05-0.1 mg/kg may be a
    more realistic limit of determination for the aqueous fraction when
    interfering co-extractives are taken into consideration. In each case,
    untreated controls gave no apparent residue above the estimated limits
    of determination.

         Samples of omental fat, perirenal fat, muscle, liver and kidney
    were taken from each animal at sacrifice (within 18 hours of final
    bendiocarb intake). Each was analysed for total residues of bendiocarb
    and metabolites, conjugated and non-conjugated. No residue (corrected
    for recovery) was found above the estimated limits of determination of
    0.02 mg/kg for muscle and omental fat, 0.05 mg/kg for liver and
    perirenal fat and 0.1 mg/kg for kidney. Muscle samples at the 0.25 and
    0.75 mg/kg dietary feeding level did show apparent residues at the
    0.02 mg/kg limit of determination as did one untreated control. Based
    on representative chromatograms, the above estimated limits of
    determination appear to be reasonable, except that a 0.2 mg/kg may be
    more realistic for kidney.

         Mean recoveries determined separately on unconjugated bendiocarb,
    NC 7312 and N-hydroxymethylbendiocarb from cattle meat and fat tissues
    were approximately 70%, with a standard deviation ranging from 10 to
    22. The large standard deviations reflect rather poor recoveries,
    especially of bendiocarb per se, (< approximately 50%) in a number
    of muscle, kidney and liver samples. For example, recoveries of
    bendiocarb averaged only 60% in muscle and kidney.

         Another feeding study (Reary 1978a) was conducted in a similar
    fashion but at higher dietary levels (7.5 and 25 mg/kg in the diet).
    Maximum residues in milk were <0.01 mg/kg (limit of determination
    for the fat soluble fractions) and <0.02 mg/kg for the aqueous

    portion. As in the lower level feeding study, apparent residues of
    total bendiocarb and conjugated and non-conjugated metabolites were
    <0.02 mg/kg in muscle, <0.02 in omental fat and <0.05 mg/kg in
    perirenal fat and liver. Residues were at the estimated 0.1 mg/kg
    limit of determination for kidney (one control sample was also at this
    level). This supports the view that 0.2 mg/kg is a more realistic
    limit of determination for cattle kidney.

         Analytical recoveries averaged approximately 70% with standard
    deviations from 11-21%, reflecting rather poor recoveries. Average
    recoveries were only 56% for bendiocarb in muscle and 52% for the
    N-hydroxy metabolite in liver.

         No information was provided on national GAP or recommended uses
    for dermal applications to dairy or beef cattle. Results of
    investigations for proposes uses for fly control by dermal
    applications with a 1% bendiocarb dust formulation were provided. A 5g
    dust treatment (50 mg a.i.) was described as a "normal" daily dose.

         In one set of experiments (Reary 1979a) lactating dairy cattle
    were manually treated at measured rates for safety evaluations or by
    hessian bag self-treatment for efficacy evaluations. In the safety
    evaluations, groups of three shorthorn cows were manually brushed on
    the head, neck and shoulders with 0, 5, 15 and 25 g of the 1% dust
    formulation; milk was analysed pre-treatment and six hours post-
    treatment for each animal. As in the feeding studies, milk was
    separated into fat and lactose fractions.

         Non-conjugated residues in milk ranged from 0.003-0.015 mg/kg
    (0.009 mg/kg mean) for all application rates, with no discernible
    difference between application rates. Total conjugated residues ranged
    from 0.019 to 0.039 mg/kg (0.028 mg/kg mean). Control means for the
    safety evaluation trials were 0.006 and 0.032 mg/kg for non-conjugated
    and conjugated residues, respectively. Limits of determination were
    considered to be 0.02 and 0.05 mg/kg for the fat and aqueous
    fractions, respectively.

         In the efficacy trials, four herds were self-treated at an
    estimated rate of 5 g of dust formulation/day/cow. Milk was pooled for
    each herd at 7, 14 and 21 days after the beginning of treatment. For
    the fat soluble non-conjugated fractions, residues were <0.017 mg/kg
    at 7-21 days, except for one pooled milk sample from one herd at 7
    days, for which a residue of 0.06 mg/kg was detected. Therefore, non-
    conjugated residues did occur at and above the limit of determination.
    Conjugated residues were <0.057 mg/kg, or just over the estimated
    limit of determination. Samples used as untreated controls had mean
    residues of 0.005 mg/kg and <0.028 mg/kg for fat soluble and
    aqueous fractions, respectively.

         In another dermal treatment investigation (Reary 1980c) groups of
    three lactating dairy cows were manually treated on the head, neck and
    back daily for seven successive days with a 1% dust formulation at 0,
    5 or 25 g product/cow/treatment. Daily milk production from each of
    two daily milkings for each cow was kept separate. Samples of muscle,
    omental fat, perirenal fat, liver, kidney and subcutaneous fat were
    taken within 18 hours after the final treatment.

         Non-conjugated residues in milk (fat fraction) after correction
    for analytical recoveries ranged from <0.01-0.04 mg/kg for 78
    samples. All but six were <0.01 mg/kg. All residues >0.02 mg/kg
    were from the higher treatment rate, except for one sample at
    0.02 mg/kg. Comparable residues in 24 untreated controls were
    <0.01 mg/kg, except for one sample at 0.02 mg/kg. All conjugated
    residues (aqueous fraction) were <0.02 mg/kg and untreated controls
    were <0.02 mg/kg. Mean analytical recoveries were 82% and 72% for the
    milk fat and lactose fractions, respectively. The limit of
    determination was considered to be 0.01 and 0.02 mg/kg for the fat and
    lactose fractions, respectively.

         In tissues, residues at both treatment levels were <0.01 mg/kg
    in muscle, <0.03 mg/ kg in omental fat, <0.05 mg/kg in perirenal
    fat, <0.01 mg/kg in subcutaneous muscle and <0.15 mg/kg (mean
    0.08 mg/kg) in subcutaneous fat. Except for subcutaneous muscle, for
    which there were no untreated controls, apparent residues in controls
    for these tissues were _0.03 mg/kg, except for one 0.04 mg/kg sample of
    subcutaneous fat. Residues from both levels were <0.05 mg/kg in
    liver and <0.11 mg/kg in kidney. All residues >0.05 mg/kg in
    kidney were from the higher treatment level. Apparent residues in
    untreated controls were <0.03 mg/kg in liver and kidney.

         An estimate of potential residues in meat, milk and meat by-
    products must take into consideration all potential routes to animal
    exposure, which include the dietary and dermal routes. Of the feed
    crops for which residue data and good agricultural practice
    information were provided, the greatest potential for residues in
    cattle meat, fat and meat by-products and milk would be expected
    from uses on maize (field corn). Assuming maximum residues are
    <0.05 mg/kg in maize grain, forage and/or fodder, total conjugated
    and non-conjugated residues of bendiocarb and metabolites would be
    expected to be <0.05 mg/kg in cattle carcase meat, cattle fat and
    cattle meat by-products (except kidney) and <0.01 mg/kg (claimed
    limit of determination) in kidney, although a 0.2 mg/kg limit of
    determination may be more realistic for kidney. Residues in milk would
    not be expected to exceed the approximate limits of determination of
    0.01 mg/kg and 0.02 mg/kg for non-conjugated and conjugated residues,
    respectively, or a total of 0.03 mg/kg. These estimates should also be
    adequate from feeding of rice.

         Data from the use of bendiocarb on grasses or as a dermal
    treatment on cattle suggests a possible need for higher limits than
    would be required for maize grain, forage and fodder if such uses are,
    or should become, good agricultural practice. Additional information
    on good agricultural practices are necessary before maximum residue
    estimates can be made for these uses. Any additional information
    should provide the formulation, application rate, number of
    applications, type of application and preharvest intervals or other
    restrictions. Depending on these uses, feeding studies at higher
    levels may be necessary before maximum residue levels can be
    estimated.

    Poultry meat, meat by-products and eggs

         Laying hens in groups of ten were fed (free access) a diet
    containing 0, 0.05, 0.15 and 0.5 mg/kg bendiocarb for 21 days to
    permit estimation of potential residues resulting from the feeding of
    maize grain, for which maximum residues of 0.05 mg/kg are assumed
    (Reary 1978b). Owing to analytical difficulties, information on the
    stability of residues over the feeding period was not provided.
    Information was not provided on storage conditions of the fortified
    pre-mix.

         Eggs were individually collected and labelled; 98 were analysed
    at higher feeding levels and later sampling intervals. Apparent total
    residues (corrected for recovery) of bendiocarb and metabolites
    (conjugated and non-conjugated) at all treatment levels were
    <0.02 mg/kg 1-21 days after treatment. The limit of determination was
    reported as approximately 0.02 mg/kg, supported by sample
    chromatograms, although pre-treatment controls were <0.013 mg/kg.
    Analytical recoveries of bendiocarb and unconjugated metabolites
    ranged from 44-85% (67% av.).

         Samples of breast muscle, leg muscle, liver, kidney, subcutaneous
    fat and heart were taken after sacrifice on day 21 of feeding the
    fortified diet, with completion of dissection the following day. The
    sum of bendiocarb and its major metabolites conjugated and non-
    conjugated, was determined. No hen tissue residues were found in
    excess of the claimed limits of determination of 0.02 mg/kg for legs,
    breast, liver and subcutaneous fat and 0.05 mg/kg for kidney and
    heart. Sample chromatograms tend to confine these limits of
    determination, although apparent residues near the claimed limits of
    determination in untreated controls of breasts (<0.016 mg/kg),
    liver (<0.014 mg/kg) and fat (<0.016 mg/kg) suggest that
    0.05 mg/kg may be a more practical limit of determination for each of
    the tissues.

         As in cattle tissues and eggs, analytical recoveries were only
    marginally acceptable, ranging from 40-98% for bendiocarb or its major
    non-conjugated metabolites. Mean residues of bendiocarb and its non-
    conjugated metabolites (NC 7312 and N-hydroxymethylbendiocarb) ranged
    from only 56% in chicken legs to 79% in fat. Improved analytical
    methodologies are needed for commodities of animal origin.

    Mushrooms

         Supervised trials were conducted in The Netherlands and the U.K.
    In The Netherlands mushroom plots were presumably sprayed directly
    with a bendiocarb 50SC formulation and in the U.K. the plots were
    established the day following wall treatments with either a 50SC or
    80W spray. No information was provided on approved agricultural
    practices for these uses, including preharvest intervals, although
    recommended wall spray application rates of 30-50 g/100 m2 (Table 2)
    were provided.

         In the first trials (Browne 1981a) a 50SC bendiocarb formulation
    was sprayed twice at rates of 50, 75 and 100 g a.i./100 m2 (5, 7.5
    and 10 kg a.i./ha), first after spawning and the second after casing.
    Harvest was 21 days after the last treatment.

         Residues of bendiocarb and non-conjugated NC 7312, corrected for
    mean recoveries, are summarized in Table 5. Maximum residues were
    0.013 mg/kg and 0.04 mg/kg, respectively, for bendiocarb and NC 7312
    at the highest application rate. Residues increase with increased
    application rate and residues of NC 7312 tend to be less than those of
    bendiocarb under the test conditions.

         In the series of trials in the U.K., (Browne, 1982a) mushroom
    plots were established the day following hut wall treatments with
    either 50SC or 80W bendiocarb formulations at application rates of
    20-53 g a.i./100 m2. Harvest was 26-69 days after the treatments,
    which reflected the recommended application rates. Bendiocarb residues
    ranged from <0.02 to 0.09 mg/kg and NC 7312 from <0.02 to
    0.13 mg/kg, both corrected for recoveries (see Table 5). In contrast
    to the trials discussed above, residues of NC 7312 in these trials
    were of the same order of magnitude as for bendiocarb.

         The limit of determination for bendiocarb in mushrooms was
    reported to be 0.01-0.02 mg/kg for bendiocarb or NC 7312, depending on
    the trials. Based on apparent residues of 0.04 mg/kg of bendiocarb and
    0.02 mg/kg of NC 7312 in more than one untreated control, limits of
    determination of 0.05 mg/kg may be more practical. Analytical
    recoveries averaged approximately 82% for bendiocarb and 73% for non-
    conjugated NC 7312 from fortifications of both at 0.04-0.2 mg/kg,
    although standard deviations were 14-19.

         As no information was available even on recommended uses for
    bendiocarb other than for wall treatments, data from wall treatments
    are more pertinent to the estimation of maximum residue levels. Based
    on recommended application rates, the available residue data are
    consistent with a maximum residue level of 0.1 mg/kg for bendiocarb
    per se and 0.2 mg/kg if NC 7312 is also included. This is based on the
    assumption of minimum application to harvest intervals. Information on
    nationally approved agricultural practices for bendiocarb use on
    mushrooms is needed. Additional data from supervised trials are
    desirable.

    FATE OF RESIDUES

         Metabolism studies have been carried out in a range of plants and
    animals and in soil. In most plant species examined, the major
    metabolites formed are glycoside conjugates of the phenol NC 7312 and
    N-hydroxymethyl bendiocarb. Metabolism in animals generally involves
    cleavage of the carbamate ester group to yield NC 7312, which is
    excreted as sulphate and beta-glucuronide conjugates. In soil under
    aerobic conditions, the only extractable radioactivity is unchanged
    bendiocarb, degradation occurring to CO2, and an unidentified bound
    residue. Under anaerobic conditions, bendiocarb is hydrolysed to
    NC 7312.

    In animals

         For discussions on the metabolic fate of bendiocarb in the rat,
    dog, hamster, rabbit, mouse and humans, see "Biochemical Aspects".
    Residue feeding and/or dermal studies on cattle and/or poultry have
    been discussed under "Residues from Supervised Trials". In addition to
    the aforementioned studies, the metabolic fate of bendiocarb has been
    investigated in the pig, cow and hen.

    Pig

         Pigs were orally dosed once by gelatin capsule at 0.2 mg/kg/bw
    with 14C-bendiocarb (Adcock  et al 1976b). Urine samples were
    collected over a period of four days, after which the animals were
    sacrificed and samples of liver, kidney, muscle, perirenal fat and
    subcutaneous fat were taken.

         Seventy-eight percent of the administered dose was excreted in
    the urine as equal levels of sulphate and ß-glucuronide conjugates of
    NC 7312 within one day and 84% within four days. No residues of
    unchanged bendiocarb were detected. Corresponding residues in faeces
    were 2.4 and 7.2% for a total recovery of 91.5% of administered
    radioactivity recovered in urine and faeces after four days. The
    residues in faeces were not identified. No residues were found in

    tissues at the 0.01 mg/kg limit of sensitivity for bendiocarb
    equivalents. The finding of relatively large levels of NC 7312
    sulphate was of considerable interest, since phenolic sulphates are
    generally minor in pigs.

         The metabolism is similar to that in humans and the rat,
    involving cleavage of the carbamate ester to yield NC 7312, which
    becomes conjugated as sulphates and glucuronides.

    Cow

         A lactating dairy cow was given 14C-bendiocarb by a single
    gelatin capsule at a dose of 0.2 mg/kg/bw (Adcock  et al 1976a).
    Urine was collected at intervals of 4-96 hours after dosing and faeces
    every 24 hours. Milk was collected morning and evening until sacrifice
    on the fourth day, at which time samples of liver, kidney, muscle,
    heart, perirenal fat, omental fat and subcutaneous fat were taken for
    analysis. Milk was separated into lactose, fat and casein fractions.

         No residues of unchanged bendiocarb were found in the urine.
    Seventy-nine percent of the administered radioactivity was excreted in
    the urine within eight hours and 92% after two days, after which
    little was excreted in urine. Corresponding residues in faeces were
    5.3% at one day and 12.3% after two days. The urinary metabolites were
    determined to be sulphate and glucuronide conjugates of NC 7312 at 90%
    and 10% each, respectively. Residues in faeces were not identified.

         Bendiocarb equivalents were found in milk the first day up to a
    level of 0.002 mg/kg, but none were detectable thereafter. Over 80%
    was in the lactose fraction, 2% in the hexane fraction and most of the
    remainder in the casein fraction. Tissue residue levels were below the
    0.01 mg/kg limit of sensitivity as bendiocarb equivalents.

         Metabolism in the cow appears to be similar to that in the rat,
    human and pigs.

    Poultry

         Three laying hens were each dosed once with 14C-bendiocarb by
    oral gavage at 0.25 mg/kg/bw (equivalent to 5 mg/kg in the diet) and
    excrement and eggs collected at intervals from 24-96 hours after
    dosing. Liver, kidney, muscle and fat samples were taken at sacrifice
    four days after treatment (Lewis and Challis 1978).

         Sixty-one to 90% of administered radioactivity was excreted
    within 24 hours, and 73-91% within 4 days. Recovery was inexplicably
    low (73%) in two of the hens. Losses were presumed to be due to
    expiration and/or losses during dosing or excrement collection, since
    residues in tissues were low. However, as a percent of radioactivity
    excreted in the first 24 hours, residues were 10-57% free NC 7312,

    26-63% NC 7312 conjugates, 12-19% unidentified unhydrolysed water
    soluble residues, 2-5% other non-polar metabolites and 1-3% other
    unidentified conjugates. Conjugation of NC 7312 occurred more rapidly
    in the hen in which radioactivity excretion was more rapid and
    complete.

         Radioactivity in egg white and yolk represented only 0.01% of the
    administered dose. The maximum bendiocarb equivalent was highest in
    egg white on the first day (max. 0.009 mg/kg) and on day four in yolk
    (0.003 mg/kg), both above the limits of sensitivity. The maximum
    bendiocarb equivalent was 0.004 mg/kg in liver and fat, 0.002 mg/kg in
    kidney and below the 0.001 mg/kg limit of sensitivity in leg and
    breast muscle.

    In Plants

         Metabolism studies have been carried out in sugarbeet, maize,
    rice, barley and oilseed rape, both in the laboratory and under field
    conditions. A variety of separative, determinative and conjugative
    hydrolysis steps were utilized. In all these crops, the major
    identified metabolite was the phenol NC 7312, with lower levels of
    N-hydroxymethylbendiocarb, both primarily as glycoside conjugates. In
    some of the crops studied, sampling at harvest showed small quantities
    of unconjugated N-hydroxymethylbendiocarb.

         Three metabolism studies were conducted in sugarbeets. In one
    study, radioactive bendiocarb was applied under greenhouse conditions
    to the potted soil or to the leaves by direct syringe applications
    (Challis 1975). Residues were characterized in the plant tops only.
    Metabolic products were qualitatively similar in both cases,
    resulting in residues of free bendiocarb, bendiocarb glycoside,
    free NC 7312 (foliar application only), NC 7312 glycosides,
    N-hydroxymethylbendiocarb, N-hydroxymethylbendiocarb glycosides,
    unidentified glycosides, unidentified water soluble residues and
    unextractable unidentified fibre-bound residues.

         The major metabolites from soil application were glycoside
    conjugates of NC 7312 and N-hydroxymethylbendiocarb. Trace amounts of
    free N-hydroxymethylbendiocarb were also found. Unidentified residues
    accounted for 36 and 67% of radioactivity 8 and 34 days after
    treatment, respectively, with a ratio of about 1:3 water soluble to
    fibre-bound residues.

         From foliar applications, over 93% of leaf-applied bendiocarb was
    present on the leaf surface after 34 days. A bendiocarb glycoside was
    the major metabolite. Unidentified residues accounted for 48% of the
    total residue after eight days, but this was reduced to 25% after 34
    days. Low levels of free NC 7312 were also present. The proposed
    metabolic pathway for bendiocarb in sugarbeet tops is illustrated in
    Figure 1. Except for the omission of substantial at-harvest

    FIGURE 1

    unidentified water soluble and fibre-bound residues, other metabolism
    studies discussed below suggest that the pathway is similar in other
    plants.

         In a second sugarbeet metabolism study (Adcock 1976),
    14C-bendiocarb was applied as a seed dressing for plants grown in
    outdoor drums in sandy loam soils at 6.7 and 7.5 pH values at a rate
    equivalent to 16 g a.i./kg seed. Leaves and/or roots were analysed for
    radioactivity at intervals from 13-114 days after sowing, although the
    residues were not identified. In accordance with decreased bendiocarb
    stability in more alkaline soils, extractable and fibre-bound residues
    were less than the 0.02 mg/kg limit of detection (bendiocarb
    equivalents) in foliage and roots of the more alkaline soil after 114
    days. Residues were greater at earlier intervals. For example, at 36
    days residues were on the order of 0.1 mg/kg bendiocarb equivalent in
    leaves or roots from either extractable or fibre-bound sources.
    Consistent with pH stability, residues were higher in the more acidic
    soil, being up to 0.06 mg/kg and 0.02 mg/kg extractable residues in
    leaves and roots, respectively, after 114 days; they were appreciably
    higher at shorter intervals. A maximum of 18% of applied radioactivity
    was found in immature sugarbeet (36-72 days after sowing).

         In the third sugarbeet metabolism study (Challis and Adcock
    1978), the crop was grown under field conditions and treated at sowing
    with 14C-bendiocarb granules at the recommended rate of 0.36 kg
    a.i./ha. Plants were harvested at intervals ranging from 46-190 days
    after treatment. Results were similar to those of Challis (1975).
    After 90 days, radioactivity was too low to permit determination of
    individual metabolite levels. In harvested beets, mean residues of
    only 0.009 mg/kg bendiocarb equivalent were found after 190 days.
    Extractable residues were below the limits of sensitivity.

         As would be expected, residues were greater at earlier intervals
    and identification was possible. For example, at 46 days residues
    (bendiocarb equivalent) were 1.0, 0.22, 0.14, 0.76 and 0.45 mg/kg for
    bendiocarb, NC 7312 conjugates, N-hydroxymethylbendiocarb conjugates,
    unidentified water soluble residues and fibre-bound residues,
    respectively. There were lesser amounts of free metabolites and other
    conjugates.

         Bendiocarb metabolism was investigated in maize under glasshouse
    conditions by applying a solution of 14C-bendiocarb to pH 5.4 soil in
    drums with newly germinated maize plants at a rate equivalent to
    1.1 kg a.i./ha (Challis and Adcock 1977). Plants were analysed at
    intervals from 10-125 days. Mean residues of bendiocarb per se in
    plants ranged from 1.4 mg/kg after 10 days to 0.01 mg/kg after 125
    days and unidentified soluble residue (bendiocarb equivalent) in
    kernels and cobs were 0.005 and 0.001 mg/kg, respectively, after 125
    days. As a percentage of total radioactivity, the major residues after
    10, 60 or 125 days were:

                                                                                                   

                                            Foliage                Kernels        Cob
                                 10 days    60 days    125 days    125 days    125 days
                                                                                               

    Bendiocarb                    38.1       24.2
    N-hydroxymethylbendiocarb      8.2        5.3        8
    NC 7312 conjugates           163.3        2.7       20
    Water soluble                 13.6       11          9.1
     (non-hydrolysable)
    Fibre-bound                   13.6       27         61             89         97
                                                                                               
    
         Free NC 7312, other non-polar metabolites and other conjugates
    were also present at lower levels. Seventy percent of the residues in
    plants at harvest were either water non-hydrolysable of fibre-bound
    unidentified residues. Although they occurred at very low levels,
    fibre-bound unidentified residues constituted 89 and 97 percent of
    total radioactive residues in kernels and cobs, respectively, at
    harvest.

         Investigations were conducted on paddy rice metabolism of
    14C-bendiocarb applied as a solution with a syringe under glass to
    either the foliage or flood water surrounding rice transplants (Lewis
    and Challis 1979). Application rates were equivalent to 0.6 kg a.i./ha
    and plant samples were taken at intervals ranging from 15-174 days
    after treatments. Foliage and grain were analysed separately at 174
    days. Qualitatively, residues were similar to those in sugarbeet and
    maize, although N-hydromethylbendiocarb or its conjugates were not
    specifically identified in rice. They could have been present under
    residues described either as other non-polar metabolites or other
    conjugates.

         Mean free bendiocarb in rice plants ranged from 1.7 mg/kg after
    15 days to 0.0022 mg/kg (total radioactivity as bendiocarb
    equivalents) after 174 days from the foliar treatments. The most
    abundant metabolite by far was NC 7312, mostly as a conjugate
    (0.006 mg/kg bendiocarb equivalent). Residues were 0.009 mg/kg in rice
    husks and flour after 174 days.

         In plants growing in treated water, residues of free bendiocarb
    at 15 days were approximately one tenth of that from foliar
    treatments, the major residue being NC 7312 conjugates at 0.54 mg/kg.
    Individual residues could not be determined after 60 days. At harvest,
    total radioactivity levels are similar regardless of the type of
    treatment. Quantitatively, major residues in plants as a percent of
    total radioactivity at 15 or 174 days are:

                                                                        

                              15 days                  174 days
                         Foliar     Water         Foliar      Water
                                                                        

    Bendiocarb             37        12
    NC 7312                13        37             39          31
      conjugates
    Water soluble           7        10
      (unhydrolysable)
    Fibre-bound            33        33             61          69
                                                                        

         All of the radioactive residue at harvest in rice husks or flour
    was NC 7312 conjugates, regardless of whether application was by
    foliar or water treatment. As in the case of maize foliage, residues
    in rice plants were mostly unidentified fibre-bound ones at harvest.
    The difference was in the grain, which contained mostly unidentified
    fibre-bound residues in maize and mostly NC 7312 conjugates in rice.

         Greenhouse-grown barley plants were treated with 14C-bendiocarb
    at rates equivalent to 1 kg/ha. A solution was applied by pipette to
    soil surrounding the plants which were analysed at intervals ranging
    from 4-94 days after treatment. Samples at 94 days were separated into
    foliage, husks and grain, which were analysed separately (Challis and
    Swalwell 1980).

         Results of this investigation were similar to that of
    rice. However, in the case of barley, conjugates of
    N-hydroxymethylbendiocarb were identified, but total radioactive
    residues in husks and grain at 94 days (1.46 and 0.09 mg/kg bendiocarb
    equivalent, respectively) were not characterized. Free bendiocarb
    residues in foliage ranged from 0.09 mg/kg at 4 days, declined through
    60 days and increased to <0.07 mg/kg at 94 days. Similar patterns
    were observed for conjugates of NC 7312 and N-hydroxymethylbendiocarb,
    the major components of the residue throughout the period. Again,
    unidentified water soluble or fibre-bound residues constituted a major
    part of the residue, which increased until harvest (12 and 42% of
    total radioactivity, respectively).

         The metabolism of 14C-bendiocarb was studied in greenhouse grown
    oilseed rape treated at the seedling stage at application rates
    equivalent to 140 and 500 g a.i./ha. Application was by pipette to
    soil surrounding the plant (Warner 1980). Plant samples were taken at
    intervals ranging from 5 to 140 days after treatment. At 140 days,
    samples were separated into foliage, pods, and seed, which were
    analysed separately.

         As in the case of barley, the major residues in the plants were
    highest at earlier intervals and, except for free bendiocarb, declined
    and then increased by harvest. In both cases this was probably due to
    plant growth patterns and dessication near harvest. Free bendiocarb
    was the major residue at day 5 (66-69%), but declined rapidly
    thereafter (2.5 mg/kg at day 5 to 0.01 mg/kg at 140 days from the
    high treatment rate). Again, conjugates of NC 7312 and
    N-hydroxymethylbendiocarb were the major identified metabolites and,
    by harvest, unidentified water soluble materials and fibre-bound
    residues formed the major portion of total radioactivity which was 26
    and 43%, respectively, from the higher treatment rate. Although
    residue levels were dependent on the application rate, on the basis of
    percentage of total residue, results were similar at both application
    rates.

         Extractable residues in pods, seeds and foliage at harvest were
    0.09, 0.001 and 0.16 mg/kg, respectively, at the low application rate
    and 0.74, 0.011 and 0.84 mg/kg, respectively, at the high rate.

    In Soil

         Laboratory studies on residue decline in a pH 7.7 sandy loam soil
    treated in flasks or jars with 5 mg/kg 14C-bendiocarb showed
    degradation to CO2 and unidentified bound residues under aerobic
    conditions, with a half-life of 5 days for the parent compound. No NC
    7312 was detected. With flooding or nitrogen flushing and under
    sterile anaerobic conditions, bendiocarb was hydrolysed to NC 7312,
    with little or no further degradation (Adcock  et al 1975a).

         In a laboratory soil leaching study with the same soil type, 60%
    of the radioactivity applied to a 30 cm column as 14C-bendiocarb was
    eluted with 50 cm of water over 11 days, mostly as NC 7312 (Adcock
     et al 1975b). Presumably, conditions were effectively anaerobic and
    the rapid degradation of bendiocarb did not permit estimation of its
    leachability.

         In another leaching study, 14C-bendiocarb, leachability was
    investigated for an agricultural sand (pH 5.3), a clay loam (pH 7.3),
    a sandy loam (pH 7.8) and a silt loam (pH 7.2) using soil column and
    thin-layer techniques (Adcock 1978). The 30 cm columns were percolated
    over a 2-9 day period with a 20 cm column of water. The percentage of
    radioactivity recovered in leachate was 75, 11.9, 7.9 and 0.8% for the
    respective soils, decreasing with increased organic content.

         Recovery in leachate was slightly less than for 2,4-D in
    agricultural sand and clay loam, and substantially less in the other
    two soils under similar conditions. Thin-layer results confirm these
    observations and show that NC 7312 is somewhat less leachable than the
    parent compound in all four soil types. It also shows that bendiocarb
    is more leachable than trietazene, which places it in the moderately
    mobile class.

         When bendiocarb 80%WP, 3%G and 1% dust formulations were leached
    from sand (pH 7-7.6) loamy sand (pH 6-6.5) and sand loam (pH 5.6-7.8)
    in 30 cm × 5 cm columns with 20 cm water over 48 hours, leachability
    was again inversely proportional to organic matter content of the soil
    (Reary 1975a; Browne and Reary 1979a, 1980a). As a percent of the
    amount applied, bendiocarb recovery in leachate ranged from 0 to 93%
    WP, 0.6 to 84% dust and 0 to 22% granular. From the same formulations
    leachate contained 0 to 25% bendiocarb and 0 to 68% NC 7312; 0 to 45%
    bendiocarb, 0 to 62% NC 7312 and 0 to 4% bendiocarb, 0 to 19% NC 7312,
    respectively. Therefore, leachability decreased in the order of WP,
    dust and granular formulations.

         Bendiocarb stability in standard soils has been shown to be
    dependent on soil pH, being much slower at low pHs (Reary 1975b). The
    half-life was 10 days in one soil at pH 2.2 and 58 days in another at
    pH 5.2.

         Soil residue decline studies have also been carried out in trials
    determining bendiocarb residues in turf and maize. Results again show
    that the rate of degradation of bendiocarb is pH-dependent. Repeated
    applications showed no evidence of a build-up of bendiocarb residues
    in soil. Dissipation rates (in days) for various formulations in
    various soil types and pHs are given in Table 9 (Browne and Reary
    1978c; Reary 1975b, 1978f, g, k, 1980g; Reary and Whiteoak 1977a, b,
    d).

    In Storage and Processing

         It was noted under the section on "Residues from Supervised
    Trials" and in Table 6 that oil processed from maize with field-
    incurred residues of <0.02 mg/kg bendiocarb also contained residues
    of <0.02 mg/kg. In another investigation, 10G was applied as a band
    along the maize row at sowing at 1.1-2.2 kg a.i./ha and the maize
    sampled at normal harvest. Oil was solvent-extracted from the grain,
    which had residues of <0.01 mg/kg, the limit of determination.
    Analysis of the oil showed no residues in excess of the 0.05 mg/kg
    limit of determination (Reary 1978c).

         Investigation with radio-labelled bendiocarb in granular
    application trials in France, the U.K. and the U.S. showed residues in
    solvent-extracted oil to be 0.008, 0.011 and 0.021 mg/kg,
    respectively, from kernels with residues of 0.011, 0.013 and 0.022
    mg/kg, respectively. In most kernel or oil samples residues were
    <2X the reported limit of sensitivity (Lewis and Adcock 1978a, b, c).

    RESIDUES ON FOOD IN COMMERCE OR AT CONSUMPTION

         No information was provided on residues in commerce or at
    consumption. The Meeting considered such information desirable.

    Table 9.  Summary of Bendiocarb Dissipation Rates in Soil
                                                                        

    Soil                                    Dissipation time (days)
    Type              pH      Formulation   50%      75%      90%
                                                                        

    Sandy loam        5.2     Technical1/   58       ?        ?

    Sandy             6.5     76W           25       50       75
    loam                      76W2/         12-34    24-69    37-104

    Sandy loam        6.5     5G2/          26-70    52-140   78-210

    Silty clay        6.5     10G           19       38       57

    Silty clay loam   6.7     76W           30       60       ?

    Sand              6.8     Technical1/   10       24       50

    Loam              7.2     10G           7.5-10   15-20    22.5-30

    Loam              7.7     76W           12       24       36

    Sandy             7.7     76W           2.4      4.8      7.2
    loam                      76W2/         2-5      3-10     5-15

    Sandy loam        7.7     5G2/          12-26    30-52    45-78

    Sandy loam        7.8     3G            12       24       36
                                                                        

    1/   Laboratory studies.

    2/   Multiple applications at up to 5-monthly intervals;
         dissipation times determined after each application.

    METHODS OF RESIDUE ANALYSIS

         Residue analysis methods for various plant substrates have been
    developed for bendiocarb alone or for bendiocarb plus the non-
    conjugated metabolite NC 7312, either separately or as a total
    residue. In animal substrates, enzymic liberation of NC 7312 from
    conjugates is more successful than in plants. Consequently, residue
    methods for animal tissues, milk and eggs include determinations of
    the conjugated residues.

         As the carbamate functional group does not possess strong
    electron capturing properties, derivatization of the bendiocarb
    molecule is necessary to facilitate the measurement of low residue
    concentrations. Formation of the 2,4-dinitrophenyl ether was found to
    be most suitable. This results in a product with strong electron
    capturing properties and a long gas chromatographic (GLC) retention,
    thus ensuring excellent sensitivity and minimal co-extractive
    interference.

         In the standard procedure (Reary 1975c) the carbamate is
    hydrolysed in an alkaline buffer containing 1-fluoro-2,
    4-dinitrobenzene so that the dinitrophenyl ether is formed immediately
    after hydrolysis. This method has the added advantage the phenolic
    degradation product, NC 7312, forms the same product in the reaction.
    Thus, the combined residue can be measured unless bendiocarb and NC
    7312 are separated prior to derivatization. This separation is readily
    effected by high pressure liquid chromatography (HPLC) or with
    commercially available liquid chromatographic cartridges. Collection
    of the appropriate fraction allows individual analysis for bendiocarb
    and NC 7312 from the same extract (Brown and Reary 1979b).

         Bendiocarb is extracted from soil (Reary 1978d), grass (Reary
    1978e) sugarbeet (Reary 1975c), maize (Browne and Reary 1979c), cereal
    grain (Reary 1979b), rice (Browne and Reary 1979b), rape seed (Browne
    and Reary 1980b), potatoes (Reary 1979c), cabbage (Browne 1981b),
    mushrooms (Browne 1982a), apples/pears (Browne 1982b) and peas (Browne
    and Manley 1982), under reflux with dichloromethane or by shaking with
    diethyl ether. Oily extracts are improved by partition between hexane
    and acetonitrile. Further clean up, when required, is by silica gel
    chromatography. This is easily done using commercially available
    disposable cartridges, which can eliminate or separate any NC 7312
    present in the extract.

         A method has been developed for the residue analysis of
    bendiocarb and major metabolites in milk, eggs, meat, fat and offal
    (Browne and Reary 1978b). Residues are extracted under reflux with
    acetonitrile. Conjugated metabolites are hydrolysed with snail
    digestive juice before formation of the dinitrophenyl derivative. All
    major bendiocarb related metabolites form the same derivative, which
    is then analysed by the standard method as a total residue.

         In general, mean analytical recoveries in most commodities were
    >75% for bendiocarb and >60% for NC 7312. Analytical
    sensitivities, recoveries, recoveries of fortified commodities and
    apparent residue in untreated controls for individual commodities are
    discussed under "Residues Resulting from Supervised Trials."
    Information represents field-type conditions and is somewhat less
    assuring than mean recoveries presented with the reports on each
    individual analytical method. Although mean analytical recoveries

    appeared acceptable, at least for bendiocarb per se, the range of
    residues was generally large, resulting in standard deviations ranging
    from 6 to 33. In animal tissues in particular, and to some extent in
    cereal grains and fodder/forage, analytical recoveries were frequently
    low. For example, in animal products analytical recoveries were
    frequently only 50-60% for bendiocarb per se or the N-hydroxy
    metabolite, and sometimes less.

    NATIONAL MAXIMUM RESIDUE LIMITS

         Information on national maximum residue limits were available
    from only one country. Limits have been proposed in four other
    countries (Table 10).

    Table 10.  National Maximum Residue Limits
                                                                        

    Country                   Commodity                  MRL (mg/kg)
                                                                        

    Netherlands1/    "All commodities"3/                 0 (0.05)4/

    Australia2/      Poultry meat, eggs                  0.05
                     Milk, milk by-products, meat
                     and other edible offal              0.1
                     Cereal grain                        10.0

    Belgium2/        Maize and sugarbeet                 0.02

    Switzerland2/    General foodstuffs (excl. milk)     0.2
                     Milk                                0.005

    U.S.2/           Maize (grain fodder, forage)        0.05
                     Maize oil                           0.1
                     Milk, eggs, meat fat, meat
                     by-products (except kidneys)
                     of cattle, goats, pigs horses,
                     poultry, sheep                      0.05
                     Kidneys of cattle, goats, pigs,
                     horses, poultry, sheep              0.1
                                                                        

    1/   Established;
    2/   Proposed;
    3/   It is unclear whether "all commodities" include
         commodities other than maize and sugarbeet, for which
         good agricultural practice information was provided;
    4/   0 (0.05) mg/kg presumed to mean no residues allowed with
         a 0.05 mg/kg limit of determination. Large-scale use.

    APPRAISAL

         The Meeting reviewed substantial information on residue levels
    from supervised trials in a variety of commodities, fate of residues
    and analytical methodology for bendiocarb, a carbamate pesticide used
    for control of a wide range of agricultural and public health pests.
    Information on official nationally approved agricultural practices and
    national maximum residue limits were available for only two
    commodities (maize and sugarbeet) in one country, although recommended
    application rates were provided for a number of commodities. Since
    information on good agricultural practices for all commodities except
    maize and sugarbeet is lacking, only TMRLs are estimated for other
    than these two commodities. National tolerances have been proposed in
    at least four countries, mostly on maize and other cereals and animal
    products.

         Residue data were available from supervised trials on a variety
    of commodities in several countries and using a variety of
    formulations and agricultural practices. In most cases, free
    bendiocarb per se was the only residue measured. In a few cases, the
    major metabolite 2,2-dimethyl-1,3-benzoxodiol-4-ol (NC 7312) was
    measured in its free form and in some cereals, combined residues of
    conjugated NC 7312 and N-hydroxymethylbendiocarb were measured as
    well. Data were inadequate for estimating a limit for oilseed rape,
    cabbage and peas, although the Meeting was informed that additional
    data are being compiled for the latter.

         For root or tuber vegetables, data were available for potatoes
    and sugarbeet. Data on potatoes show residues of free NC 7312 at
    harvest to be up to 20 times that of the parent compound (average 6X).
    This rate could not be determined for sugarbeet with available data.
    Limited data were available in pome fruit from one country and
    residues of NC 7312 were equal to or less than those of the parent
    compound. The Meeting was informed that additional data are being
    gathered.

         Bendiocarb residue data on cereals were available for barley,
    oats, wheat, maize and rice. For the latter, limited data were also
    available for free NC 7312, and the first three, for combined residues
    of conjugates of NC 7312 and N-hydroxymethylbendicarb. Data were
    mostly from seed treatments in barley, oats and wheat. No data were
    available for metabolites in maize, although metabolism studies have
    shown >50% of residues in foliage to be metabolites and/or
    unidentified water-soluble or bound residues; in kernels at harvest,
    approximately 90% of radioactivity was unidentified fibre-bound
    residues. Analytical recoveries were only marginally acceptable in
    some cereal trials, especially those in wheat.

         Considerable data were available for grass and turf, mostly at
    higher than recommended rates. Half-lives were greater from granular
    broadcast applications than from spray applications and irrigation did
    not significantly affect decline rates for either.

         As in maize, data for oilseed rape were for the parent compound
    only, and metabolism studies showed >50% of residues at harvest to be
    conjugated metabolites and (mostly) unidentified water-soluble or
    fibre-bound residues.

         Data were available for mushrooms from spray treatments (plot
    presumed) and wall treatments (before plot establishment). Residues
    increased with application rates and residues of free NC 7312 from
    wall treatments were on the same order of magnitude as those of the
    parent compound, but were less following direct spray treatment. No
    information was provided on good agricultural practices for direct
    spray treatment.

         Animal feeding trials were conducted in which lactating dairy
    cattle were fed diets for 28 days containing up to 25 mg/kg
    bendiocarb. In contrast to field trials, in which the parent compound
    was determined separately from metabolites, animal tissues were
    analysed for total residues of free bendiocarb and non-conjugated
    metabolites plus conjugated NC 7312 and N-hydroxymethylbendiocarb.
    Milk was separated into a fat fraction and lactose (aqueous) fraction.
    The fat fraction was analysed for bendiocarb and non-conjugated NC
    7312 and N-hydroxymethylbendiocarb and the lactose fraction for the
    conjugated residues of the two metabolites.

         Studies using topical treatments were also conducted, but no
    information was provided on approved or recommended uses for such
    treatments. Dermal treatments generally resulted in higher residues in
    tissues and milk than feeding trials. In the absence of good
    agricultural practice information for dermal treatments (or grass
    uses) residue estimates in cattle are based on potential residues from
    the feeding of maize, for which national good agricultural practice
    information was available. From this potential source of exposure, no
    residues are expected in products of animal origin above the limit of
    determination at or about 0.05 mg/kg (0.2 mg/kg in kidney).

         In animal products in general, analytical recoveries were
    disappointingly low, frequently only 50-60% or less for some residues
    in some tissues, and thus can be considered marginally acceptable for
    enforcement purposes only, since residues are expected to be
    relatively low as a result of uses considered in residue level
    estimates.

         Animal metabolism studies were conducted in the rat, dog,
    hamster, rabbit, mouse, pig, cow and poultry and in humans. In the
    pig, cow and poultry single dosing was with 14C-bendiocarb, by
    gelatin capsule in pig and cow and by gavage in poultry. Approximately
    80% of applied radioactivity was eliminated in the urine within one
    day or less in pigs and cows and 61-90% in poultry. It consisted
    mostly of the sulphate or glucuronide conjugates of NC 7312 in all
    three, although in poultry significant levels of unidentified
    water-soluble residues were also present, as well as low levels of
    free NC 7312 and other unidentified moieties. Low levels of NC 7312
    sulphate and glucuronide were also present in faeces of cows and pigs.
    In pigs the NC 7312 sulphate to glucuronide ratio was unexpectedly
    high.

         In animal tissues and milk, residue levels were generally not far
    from the limit of determination and only 0.01% of the administered
    dose was found in eggs. Owing to the low levels, they were not
    identified.

         Bendiocarb metabolism in cows, pigs and poultry appears to be
    similar to that in smaller animals. Carbamate is hydrolysed to
    NC 7312, which forms glucuronide and sulphate conjugates. The
    apparent major difference is the lack of conjugates of
    N-hydroxymethylbendiocarb also found in plants, and 5,6, or
    7-hydroxybendiocarb found or tentatively identified in the smaller
    animals. However, dosing rates of 0.2-0.25 mg/kg bw in cows, pigs and
    hens were substantially less than the maximum dosage rates of 10 mg/kg
    bw used for the smaller animals. More importantly, cows, pigs and
    poultry were sacrificed four days after dose administration, which
    precludes measurement or characterization of additional radioactivity
    closer to administration. This could also account for residue levels
    in animal products (cows, pigs and poultry) being too low for
    identification. A metabolism study conducted in both ruminants and
    poultry at high levels and a much shorter sacrifice interval would
    have been preferred and are desirable. Such a metabolism study should
    be considered essential if higher than the current ones for animal
    products are required from the feeding of grain, fodders or straw of
    cereals.

         Metabolism studies in sugarbeet, maize, barley, rice and oilseed
    rape under laboratory or field conditions showed similar quantitative
    results, although ratios of the various metabolites and degradation
    products varied considerably, depending on the plant, type of
    application, interval from application to harvest, part of plant and
    other factors.

         A major metabolic pathway for bendiocarb in some plants is
    hydrolysis to NC 7312, which becomes conjugated as a glycoside.
    In another pathway, bendiocarb can first be oxidized to

    N-hydroxymethylbendiocarb, which may hydrolyse to NC 7312
    before glycosidic conjugation or become conjugated as
    N-hydroxymethylbendiocarb glycoside. Another route can be direct
    glycosidic conjugation of bendiocarb per se. This was a major residue
    in beet leaves following a surface application, but NC 7312 conjugates
    were found following surface treatments to rice. Undoubtedly other
    pathways exist, since low levels of unidentified conjugates are known
    to occur. In one beet study, limited leaf penetration was detected
    from surface application.

         As the interval from application to harvest increased, residues
    of bendiocarb per se decreased with an increase in NC 7312 and
    N-hydroxymethylbendiocarb conjugates, which were frequently the major
    identified metabolites. Unidentified water-soluble, non-hydrolysable
    residues and unidentified fibre-bound residues have also been shown to
    increase in the foliage of several plants; at harvest they constitute
    26 and 60%, respectively, of the total remaining radioactivity. In
    maize kernels and cobs at harvest the fibre-bound unknown was shown to
    consist of >90% of the remaining low residue.

         Low levels of free NC 7312 and other unidentified unconjugated
    residues were found in some plants. Free NC 7312 exceeded that of the
    parent compound in potatoes and probably in pea pods. In other plants,
    free NC 7312 residues were either less than or equal to that of the
    parent compound. Differences in method of application (for example,
    foliar versus ground application) affected the ratios of the various
    metabolites in some, but not all, plants tested, although residues
    were qualitatively similar.

         In soils, bendiocarb was degraded to CO2 and unidentified bound
    residues under aerobic conditions whereas degradation was mostly to
    NC 7312 under anaerobic conditions. Bendiocarb stability was dependent
    on soil pH, being much more stable under acidic conditions. Half-lives
    ranged from 2-70 days, depending on conditions.

         Leaching studies carried out on a variety of soils, under
    different conditions and with several formulations showed leaching to
    be largely dependent on the organic content of the soil, decreasing
    with higher levels of organic matter. Although generally considered to
    be in only a moderately leachable category, significant leaching of
    bendiocarb can occur in sandy soils with low organic matter content.
    Leachability appears to increase somewhat from granular to dust to
    wettable powder formulations. One study indicated that NC 7312 leached
    slightly less than bendiocarb per se. Although build-up of soil
    residues of bendiocarb per se do not appear to be indicated, any
    potential residues of bendiocarb or its metabolites in ground water
    would be greatest from sandy soils of low organic matter content.

         Most investigations on possible residues of bendiocarb in
    processed products were conducted on oil, husks or flour from cereal
    grain. Although no concentration of residues was demonstrated in these
    studies, residues in the grain from which the products were processed
    had residues below or near the limits of determination. Therefore,
    firm conclusions cannot be drawn.

         Analytical methods are available for the determination of free
    bendiocarb in all plant commodities examined and free NC 7312 in some.
    In the basic procedure, bendiocarb is hydrolysed to its phenol under
    alkaline conditions in the present of 1-fluoro-2,4-dinitrobenzene to
    form the dinitrophenyl ether, which is preferably determined by
    electron capture gas chromatography using an internal standard.
    Bendiocarb and NC 7312 can be determined together or separately, if
    they are separated by HPLC or silica gel chromatography prior to
    derivitization. In most commodities of plant origin, field trials were
    for the free parent compound only and free NC 7312 was also determined
    separately in a few. Analytical recoveries were highly variable on
    some commodities, especially cereals.

         For animals, the same basic analytical approach is used, except
    that a hydrolysis step is included to hydrolyse conjugated residue.
    Hydrolysis has been accomplished by a variety of enzymatic and/or
    acidic conditions. Enzymatic approaches are preferred and snail
    gastric juice is frequently used. In contrast to plants, residues
    determined for animal tissues and milk include the sum of residues of
    bendiocarb and non-conjugated metabolites plus conjugated NC 7312 and
    N-hydroxymethylbendiocarb. Aqueous (lactose) and non-aqueous (fat)
    fractions of milk are analysed separately. Analytical recoveries for
    products of animal origin are only marginally acceptable for
    enforcement purposes. Improved analytical methods are needed for any
    uses requiring maximum residues levels in products of animal origin
    that are higher than the current limits of determination.

    RECOMMENDATIONS

         The Meeting considered information on residues resulting from
    good agricultural practices or recommended application rates on a
    number of commodities and possible residues in animals resulting from
    the feeding of grain, fodders or straw of cereals treated according to
    good agricultural practice and concluded that the maximum residue
    levels or temporary maximum residue levels below are suitable for
    establishing maximum residue limits. Regardless of the status of the
    ADI, temporary status was designated for all commodities except maize,
    maize fodder and forage, sugarbeet and sugarbeet tops, pending
    availability of good agricultural practice information. Except for
    potatoes, some fruit, rice and rice straw, estimated residue levels
    apply to treatment before planting and/or seed application only.

         In the absence of good agricultural practice information, the
    temporary limits are based on supervised trials data only. Residues
    for products of plant origin refer to residues of unconjugated
    bendiocarb. Residues in products of animal origin refer to the
    sum of free and conjugated bendiocarb, NC 7312, and
    N-hydroxymethylbendiocarb, expressed as bendiocarb.

                                                                        

                                                 Limitations or Interval
                                   TMRL          last application to
    Commodity                     (mg/kg)        harvest (days)
                                                                        

    Potatoes                      0.051/             100 (granular)
                                                       0 (spray)

    Sugarbeet                     0.051/             150

    Sugarbeet tops                0.051/             150

    Pome fruit                    0.021/              50

    Cereal Grains

    Barley                        0.051/             100

    Oats                          0.051/             100

    Wheat                         0.051/             125

    Maize (field)                 0.051/             125

    Rice (in husk)                2                   10

    Fodders and Straws

    Barley                        0.051/             125

    Oats                          0.051/             100

    Wheat                         0.051/             125

    Maize                         0.051/             125

    Rice                          1                   10

    Mushrooms                     0.12/               50
                                                                        

    (con't)
                                                                        

                                                 Limitations or Interval
                                   TMRL          last application to
    Commodity                     (mg/kg)        harvest (days)
                                                                        
    Animal Products3/

    Carcase meat of cattle        0.051/

    Fat of cattle                 0.051/

    Meat by-products of cattle
      (except kidney)             0.051/

    Kidney of cattle              0.21/

    Milk                          0.051/

    Poultry                       0.051/

    Fat of poultry                0.051/

    Poultry meat by-products      0.051/

    Eggs                          0.051/
                                                                        

    1/   At or about the limit of determination.

    2/   Limit reflects maximum residues expected from wall treatments
         prior to establishment of plots.

    3/   Limits reflect maximum residues expected from the feeding of
         cereal grains, fodders or straws harvested at given intervals
         from application to harvest.

    FURTHER WORK OR INFORMATION

    Required (by 1984)

         Information on nationally approved agricultural practices for the
    use of bendiocarb on all commodities for which limits are estimated,
    except for maize and sugarbeet.

    Desirable

    1.   Additional metabolism studies in ruminants and poultry at
         sufficiently high dosing levels and with sacrifice at a short
         interval after dosing, instead of several days thereafter, to
         permit a more complete characterization of residues in tissues,
         milk and eggs. The analyses should include all residues
         identified, or tentatively identified, in smaller animals and in
         plants. These studies should be considered required before new
         limits or future upward revisions of established ones on feed
         items are established significantly higher than at current limits
         of determination. The same is true should substantially higher
         limits on tissues, eggs or milk be required for approved dermal
         treatments.

    2.   Additional residue data, reflecting nationally approved uses
         especially on, but not limited to, mushrooms and pome fruit.

    3.   Information on the possible occurrence of residues in food in
         commerce or at consumption.

    REFERENCES

    Adcock, J.W. Investigation of residues in sugarbeet following the
    1976      use of 14C-bendiocarb as a seed dressing. Fisons Report
              METAB/76/1. (Unpublished)

    1978      The leaching of 14C-bendiocarb in four soil types. Fisons
              Report METAB/78/11. (Unpublished)

    Adcock, J.W., Bentley, A.P., Challis, I.R. and Pearce, J.C. The
    1975a     decline of NC 6897 in a sandy loam soil. Fisons Report
              METAB/75.2.(Unpublished)

    Adcock, J.W., Challis, I.R. and Pearce, J.C. Soil leaching of NC
    1975b     6897 and degradation products. Fisons Report METAB/75/3.
              (Unpublished)

    Adcock, J.W., Challis, I.R., and Warner, P.A. The metabolism of
    1976a     14C-bendiocarb in the dairy cow. Fisons Report
              METAB/76/23. (Unpublished)

    Adcock, J.W., Warner, P.A. and Challis, I.R. The metabolism of
    1976b     14C-bendiocarb in the pig. Fisons Report METAB/76/19.
              (Unpublished)

    Browne, P.M. Residues of Bendiocarb and NC 7312 in mushrooms
    1981a     treated with a 50SC formulation in Holland, 1980. FBC Report
              RESID/8140. (Unpublished)

    Browne, P.M. Analytical method for residues of bendiocarb in
    1981b     cabbage. FBC Report RES/81/65. (Unpublished)

    1981c     Residues of bendiocarb in cabbage following repeat
              applications of a 50WP formulation in the Philippines,
              1980-81. FBC Report RESID/81/53. (Unpublished)

    1981d     Residues of bendiocarb in rye grass after autumn
              applications of granular and seed treatment formulations in
              the U.K., 1980. FBC Report RESID/81/69. (Unpublished)

    1981e     Residues of bendiocarb and NC 7312 in potatoes sprayed with
              a wettable powder formulation (20W) in the U.K., 1981. FBC
              Report RESID/81/74. (Unpublished)

    1982a     Residues of bendiocarb and NC 7312 in mushrooms following
              wall spray treatment with 80WP or 50SC. FBC Report
              RESID/82/20. (Unpublished)

    1982b     Residues of bendiocarb and NC 7312 in apples and pears
              following treatment with 20W, 50W or 50SC formulations in
              the U.K., 1981. FBC Report RESID/82/41. (Unpublished)

    1982c     Residues of bendiocarb and NC 7312 in sugarbeet following
              application of a granular (3G) formulation in Italy, 1981.
              FBC Report RESID/82/13. (Unpublished)

    Browne, P.M. and Manley, J.D. Residues of bendiocarb and NC 7312 in
    1982      peas and pea pods following treatment with a 50SC
              formulation in the UK, 1981. FBC Report RESID/82/61.
              (Unpublished)

    Browne, P.M. and Reary, J.B. Residues in milk and tissues following
    1978a     a 28-day feeding study with bendiocarb in dairy cows. Fisons
              Report RESID/78/58. (Unpublished)

    Browne, P.M. and Reary, J.B. Analytical method for residues of
    1978b     bendiocarb metabolites in milk and tissues of dairy cows.
              Fisons Report RESID/78/54. (Unpublished)

    1978c     Bendiocarb residue decline in soil after treatment of maize
              plots with a 10G formulation in Illinois, 1977. Fisons
              Report RESID/78/93. (Unpublished)

    1979a     Laboratory leaching study with a granular (3G) formulation
              of bendiocarb in three standard soils from West Germany.
              Fisons Report RESID/79/78. (Unpublished)

    1979b     Analytical method for residues of bendiocarb 7312 in rice
              grain and straw. Fisons Report RESID/79/22. (Unpublished)

    1979c     Improved method for the analysis of bendiocarb residues in
              maize grain, stover and whole silage plants. Fisons Report
              RESID/79/24. (Unpublished)

    1979d     Residues of bendiocarb in maize at different growth stages,
              after application of a 3G formulation in France, 1978.
              Fisons Report RESID/79/2. (Unpublished)

    1980a     Laboratory leaching study with a 1% dust formulation of
              bendiocarb in three standard soils from West Germany. Fisons
              Report RESID/800/111. (Unpublished)

    1980b     Analytical method for residues of bendiocarb in rape seed.
              Fisons Report RESID/80/59. (Unpublished)

    1980c     Residues in silage maize grown in the U.K. from seed dressed
              with bendiocarb, 1979. Fisons Report RESID/80/12.
              (Unpublished)

    1980d     Residues of bendiocarb in maize treated with a granular (3G)
              formulation in Italy, 1979. Fisons Report RESID/80/13.
              (Unpublished)

    1980e     Residues of bendiocarb in maize following the use of a
              granular (3G) formulation in West Germany, 1979 (2nd
              Report). Fisons Report RESID/80/20. (Unpublished)

    1980f     Residues of bendiocarb in rape seed after application of a
              granular (5G) formulation in Canada, 1979. Fisons Report
              RESID/80/60. (Unpublished)

    1981      Residues of bendiocarb and NC 7312 in potatoes sprayed with
              a wettable powder formulation (20W) in West Germany, 1980.
              FBC Report RESID/81/9. (Unpublished)

    Challis, I.R. The metabolism of 14C-bendiocarb in sugarbeet. Fisons
    1975      Report METAB/75/15. (Unpublished)

    Challis, I.R. and Adcock, J.W. The metabolism of bendiocarb in maize
    1977      plants. Fisons Report METAB/77/32. (Unpublished)

    1978      The metabolism of bendiocarb in sugarbeet grown under field
              conditions. Fisons Report METAB/78/19. (Unpublished)

    Challis, I.R. and Swalwell, L.M. The metabolism of bendiocarb by
    1980      barley plants. Fisons Report METAB/80/9. (Unpublished)

    FBC       Bendiocarb, submission to the Joint Meeting of the FAO
    1982a     Panel of Experts on Pesticide Residues in Food and the
              Environment and the WHO Expert Group on Pesticide Residues,
              FBC Limited, Registration Department, Saffron Walden, Essex,
              England 1982.

    1982b     Harvest residues of bendiocarb (NC 6897) in sugarbeet after
              application of a granular (3G) formulations. (Unpublished)

    1982c     Residues in grass following the use of bendiocarb (50SC)
              (CR 15 340) as a seed dressing or spray dressing or spray
              treatment in the U.K., autumn 1979. (Unpublished)

    Housden, M.C. and Reary, J.B. Bendiocarb residues in rice treated
    1981      with a 50WP formulation in the Philippines during the 1980
              dry season. FBC Report RESID/81/16. (Unpublished)

    Lewis, J.A. and Adcock, J.W. Investigation of residue levels in
    1978a     maize plants treated with 14C-bendiocarb in France. Fisons
              Report RESID/78/50. (Unpublished)

    1978b     Investigation of residue levels in maize treated with
              14C-bendiocarb granules in the U.K. Fisons Report
              METAB/78/19. (Unpublished)

    1978c     Investigation of residue levels in maize plants treated with
              14C-bendiocarb granules. Fisons Report METAB/78/7.
              (Unpublished)

    Lewis, J.A. and Challis, I.R. The metabolism of 14C-bendiocarb in
    1978      the hen. Fisons Report METAB/78/28. (Unpublished)

    1979      The metabolism of 14C-bendiocarb in paddy rice. Fisons
              Report METAB/79/1. (Unpublished)

    Netherlands. Information on pesticides included in the JMPR priority
    1982      list provided by The Netherlands Government.

    Reary, J.B. Harvest residues of bendiocarb in sugarbeet following
    1974      its use as a seed dressing. Fisons Report RESID/74/36,
              December 1974. (Unpublished)

    1975a     Soil percolation experiments with bendiocarb. Fisons Report
              RESID/75/12. (Unpublished)

    1975b     Laboratory study of bendiocarb degradation in two standard
              soils from West Germany. (Unpublished)

    1975c     Analytical method for residues of bendiocarb in sugarbeet.
              FBC Report RESID/75/26. (Unpublished)

    1975d     Bendiocarb (NC 6897) residue decline on laboratory grown rye
              grass sprayed with Ficam W. Fisons Report RESID/75/5.
              (Unpublished)

    1975e     Harvest residues of bendiocarb (NC6897) in sugarbeet
              following its use as a seed dressing in West Germany (1974).
              Fisons Report RESID/75/12. (Unpublished)

    1978a     Residues in milk and tissues following a 28-day feeding
              study with up to 25 ppm bendiocarb in the diet of dairy
              cows. Fisons Report RESID/78/101.(Unpublished)

    1978b     Residues in eggs and tissues following a 21-day feeding
              study with bendiocarb in laying hens. Fisons Report,
              RESID/78/59. (Unpublished)

    1978c     Residues of bendiocarb in laboratory-extracted oil from
              maize harvested after band application of a granular (10G)
              formulation in the U.S., 1977. Fisons Report RESID/78/95.
              (Unpublished)

    1978d     Analytical method for bendiocarb residues in soil. Fisons
              Report RESID/78/37. (Unpublished)

    1978e     Analytical method for bendiocarb residues in grass. Fisons
              Report RESID/78/61. (Unpublished)

    1978f     Bendiocarb residue decline on grass and soil after treatment
              of turf with repeated applications of a 76 WP formulation at
              28-day intervals, in California and Massachusetts, 1977.
              Fisons Report RESID/78/9. (Unpublished)

    1978g     Bendiocarb residue decline on grass and soil after treatment
              of turf with repeated applications of a 5G formulation at
              28-day intervals in California and Massachusetts, 1977.
              Fisons Report RESID/78/32. (Unpublished)

    1978h     Residues in maize grown in the U.K. from seed dressed with
              bendiocarb 80W, 1977. Fisons Report RESID/78/86.
              (Unpublished)

    1978i     Residues of bendiocarb in maize treated with a granular (3G)
              formulation in the U.K., 1977. Fisons Report RESID/78/97.
              (Unpublished)

    1978j     Residues in maize grown in France during 1975, 1976 and 1978
              from seed dressed with bendiocarb 80W. Fisons Report
              RESID/78/106. (Unpublished)

    1978k     Bendiocarb residue decline in soil after band treatment of
              maize plots with a 10G formulation in Missouri, 1977. Fisons
              Report RESID/78/50. (Unpublished)

    1978l     Residues of bendiocarb in maize (corn) at different growth
              stages, after band application of a 10G granular formulation
              in Missouri, 1977. Fisons Report RESID/78/51. (Unpublished)

    1978m     Residues of bendiocarb in maize (corn) at different growth
              stages, after band application of a granular (10G)
              formulation in Illinois, 1977. Fisons Report RESID/78/60.
              (Unpublished)

    1978n     Residues of bendiocarb in the mature maize crop (grain, cobs
              and stover) after band application of a granular (10G)
              formulation in regions of the U.S., 1977. First Revision,
              Fisons Report RESID/78/61/1. (Unpublished)

    1979a     Residues in milk from cows treated dermally with FICAM D in
              Australia, 1979. Fisons Report RESID/79/49. (Unpublished)

    1979b     Analytical method for bendiocarb residues in barley, wheat,
              oats and maize (corn) grain. Fisons Report RESID/79/17.
              (Unpublished)

    1979c     Residues of bendiocarb and NC 7312 in potatoes treated with
              a granular (3G) formulation in the U.K., 1978. (Extract of
              analytical method from the above report). Fisons Report
              RESID/79/9. (Unpublished)

    1979d     Residues of bendiocarb and NC 7312 in potatoes treated with
              a granular (3G) formulation in the U.K., 1978. Fisons Report
              RESID/79/9. (Unpublished)

    1979e     Residues of bendiocarb in barley, wheat and oats grown from
              treated seed in the U.K., 1977 and 1978. Fisons Report
              RESID/79/3. (Unpublished)

    1979f     Residues of bendiocarb in silage maize treated with a
              granular (3G) formulation in the U.K., 1978. Fisons Report
              RESID/79/12. (Unpublished)

    1979g     Residues in silage maize grown in the U.K. from seed dressed
              with an 80W formulation of bendiocarb, 1978. Fisons Report
              RESID/79/13. (Unpublished)

    1979h     Harvest residues of bendiocarb and NC 7312 in sugarbeet
              after application of a granular formulation (3G) in the
              U.K., 1978. Fisons Report RESID/79/14. (Unpublished)

    1979i     Residues of bendiocarb and NC 7312 in sugarbeet after
              application of a granular (3G) formulation in France and
              Italy, 1978. Fisons Report RESID/79/15. (Unpublished)

    1979j     Residues of bendiocarb in maize treated with a granular (3G)
              formulation in Italy, 1978. Fisons Report RESID/79/16.
              (Unpublished)

    1979k     Residues of bendiocarb and NC 7312 in rice treated with a
              granular (3G) or spray (50W or 80W) application in the
              Philippines, 1978. Fisons Report RESID/79/23. (Unpublished)

    1979l     Residues of bendiocarb in maize (corn) grown in the U.S.,
              from seed dressed with a 76WP formulation, 1977 and 1978.
              Fisons Report RESID/79/25. (Unpublished)

    1979m     Residues of bendiocarb in maize (corn) after band
              application of a granular (10G) formulation in Canada, 1978.
              Fisons Report RESID/79/26. (Unpublished)

    1979n     Residue analysis of fodder beet following the use of
              bendiocarb as a seed dressing in West Germany, 1978. Fisons
              Report RESID/79/45. (Unpublished)

    1979o     Residues of bendiocarb in silage and mature (grain and
              stover) maize after band application of a granular (10G)
              formulation in the U.S., 1978. Fisons Report RESID/79/57.
              (Unpublished)

    1979p     Residues of bendiocarb in maize following the use of a
              granular (3G) formulation in West Germany, 1979. Fisons
              Report RESID/79/76. (Unpublished)

    1970q     Residues of bendiocarb in sugarbeet following the use of a
              granular (3G) formulation in West Germany, 1979. Fisons
              Report RESID/79/75. (Unpublished)

    1980a     Residue in barley, wheat and oats following seed treatment
              with bendiocarb in the U.K., 1979 (80WP) batch 8A8, 50W
              spray or 15 181 and 3G or 15 094. Fisons Report RESID/80/80.
              (Unpublished)

    1980b     Bendiocarb residue decline on rangeland grass after ULV
              treatment (by air) with a 25% formulation (15 15 458) in
              Montana, U.S., 1980. Fisons Report RESID/80/95.
              (Unpublished)

    1980c     Preliminary report on residues in milk and tissues from
              dairy cows treated dermally with bendiocarb dust for 7 days.
              Fisons Report RESID/79/55. (Unpublished)

    1980d     Residues of bendiocarb in grass grown from treated seed in
              Australia, 1979. Fisons Report RESID/80/9. (Unpublished)

    1980e     Residues in grass following the use of bendiocarb as a
              granular (3G), seed dressing (80W) or spray (50W) treatment
              in the U.K., Spring 1979. Fisons Report RESID/80/11.
              (Unpublished)

    Reary, J.B. Residue decline in sugarbeet treated with bendiocarb 3G
    1980f     in the U.K., 1979. Fisons Report RESID/80/4. (Unpublished)

    1980g     Residue decline in soil after furrow application of
              bendiocarb 3G granules at Shelford, U.K., 1979. Fisons
              Report RESID/80/14. (Unpublished)

    1980h     Residue decline in maize treated with bendiocarb 3G in the
              U.K., 1979. Fisons Report RESID/80/17. (Unpublished)

    1980i     Residue decline in maize grown from seed dressed with
              bendiocarb in the U.K., 1979. Fisons Report RESID/80/18.
              (Unpublished)

    1980j     Residues in sugarbeet from grower trials with a granular
              (3G) formulation of bendiocarb in the U.K., 1979. Fisons
              Report RESID/80/29. (Unpublished)

    1980k     Bendiocarb residue decline on rangeland grass after low
              volume treatment with a 50SC formulation (CR 15 340) in
              Montana, U.S., 1979. Fisons Report RESID/80/37.
              (Unpublished)

    1980l     Residues in rice treated with bendiocarb formulations in the
              Philippines and Korea 1979. Fisons Report RESID/80/46.
              (Unpublished)

    1981m     Residues in grass following the use of bendiocarb as a seed
              dressing, granular or spray treatment in the U.K., 1980. FBC
              Report RESID/81/10. (Unpublished)

    Reary, J.B. and Browne, P.M. Residues of bendiocarb (NC 6897) in
    1978      mature maize, after application of a granular formulation in
              France, 1976 and 1977. Fisons Report RESID/78/23.
              (Unpublished)

    Reary, J.B. and Whiteoak, R.J. Bendiocarb residue decline on soil,
    1977a     grass and thatch after treatment of turf with a 76WP
              formulation in Mississippi, 1976. Fisons Report RESID/77/43.
              (Unpublished)

    1977b     Bendiocarb residue decline in soil, grass and thatch after
              treatment of turf with a 76WP formulation in Ohio, 1976.
              Fisons Report RESID/77/52. (Unpublished)

    1977c     Bendiocarb residue decline on soil, grass and thatch after
              treatment of turf with a granular formulation in Ohio, 1976.
              Fisons Report RESID/77/61. (Unpublished)

    1977d     Bendiocarb residue decline on grass and soil after treatment
              of turf with a 76WP formulation in California and
              Massachusetts, 1977. Fisons Report, RESID/77/62.
              (Unpublished)

    Warner, P.A. The metabolism of 14C-bendiocarb in oilseed rape. Fisons
    1980      Report METAB/80/20. (Unpublished)


    See Also:
       Toxicological Abbreviations
       Bendiocarb (Pesticide residues in food: 1984 evaluations)
       Bendiocarb (Pesticide residues in food: 1984 evaluations)