IPCS INCHEM Home


    PESTICIDE RESIDUES IN FOOD - 1981


    Sponsored jointly by FAO and WHO






    EVALUATIONS 1981







    Food and Agriculture Organization of the United Nations
    Rome

    FAO PLANT PRODUCTION AND PROTECTION PAPER 42

    pesticide residues in food:
    1981 evaluations

     the monographs

    data and recommendations
    of the joint meeting
    of the
    FAO panel of experts on pesticide residues
    in food and the environment
    and the
    WHO expert group on pesticide residues

    Geneva, 23 November-2 December 1981

    FOOD AND AGRICULTURE ORGANIZATION OF THE UNITED NATIONS
    Rome 1982

    PIRIMICARB

    Explanation

         Pirimicarb was evaluated by the 1976, 1977 and 1979 Meetings.* A
    temporary ADI for man was established and temporary maximum residue
    limits (MRLs) were recommended on a wide range of crops. At an
    evaluation of pirimicarb by the 1977 Meeting, it was recommended that
    information on carcinogenicity in an appropriate mammalian species
    using a currently acceptable protocol be available by 1980.

         Information dealing with cytogenicity and foetal and maternal
    brain acetylcholinesterase isoenzyme changes induced by pirimicarb and
    additional data on residues are summarized in this monograph addendum.

    DATA FOR THE ESTIMATION OF ACCEPTABLE DAILY INTAKE

    TOXICOLOGICAL STUDIES

    Short-term studies

    Rat

         In order to determine a no-effect level as regards the growth
    depression found in previous long-term studies, particularly in female
    rats, groups of 20 female rats were maintained on diets containing 0,
    100, 175, 250 and 750 ppm pirimicarb for a period of 8 weeks. The
    feeding did not adversely affect the general health. At 750 ppm,
    reduction of the body weight gain was observed, accompanied by lower
    food consumption compared to the control animals, especially in the
    first half of the study (Paul  et al 1978).

         In a paired feeding study, female rats fed with dietary levels of
    0, 250 and 750 ppm were paired with rats receiving restricted diets at
    concentrations of 250 and 750 ppm respectively. A treatment-related
    growth depression was observed that was slight at the 250 ppm dietary
    level and marked at 750 ppm after  ad libitum or restricted feeding.
    The results indicate that the growth depression seems not to be due to
    reduced palatability of the supplemented food (Richards  et al 1978).

    Dog

         To define the susceptibility to haemolytic anaemia in the beagle
    strain (Jackson  et al 1977) another study was undertaken employing
    the foxhound as an experimental animal. Groups of dogs received
    pirimicarb at dietary levels of 0 (2 animals) and 2 mg/kg bw

              

    *  See Annex II for FAO and WHO documentation.

    (2 animals) over a period of 16 weeks. A third group (6 animals)
    was maintained on a diet containing the test compound at a level of
    25/50 mg/kg. The dose level of 50 mg/kg was subsequently reduced back
    to 25 mg/kg as soon as marked haematological changes appeared. The
    treatment was followed by a recovery period from week 17 to 23. One
    dog of the 25/50 mg/kg group which showed behavioural changes and
    clinical deterioration as weight loss, inappetence and ataxia, was
    killed after a 2-week treatment with 50 mg/kg pirimicarb. Loose faeces
    were seen in dogs from all treatment groups. At 25 mg/kg vomiting was
    observed sporadically. Over the first 4 weeks the male animals showed
    reduced body weight gains. At 50 mg/kg, usually a few hours after
    feeding, excessive salivation occurred; some dogs showed toxic effects
    as laboured respiration, vomiting, bloody faeces and flaccid muscles.
    The weight loss in some animals was accompanied by a slight reduction
    in food intake. The treatment at 50 mg/kg was associated with marked
    anaemia characterized by reduction in haemoglobin, packed cell volume
    and erythrocyte count and an increase in reticulocytes. The direct
    Coombes test failed to produce positive results (Jackson and Royle
    1978a). The examination of the bone marrow revealed a tendency to an
    increased number of normoblasts and toward suppressed activity
    (hypoplasia). Anaemia, reticulocytosis and bone marrow changes were
    reversible and normal values were measured after the recovery period.
    Maximum inhibition of plasma cholinesterase activity of about 50 to
    79% and 80 to 90% was measured at the 25 mg/kg and the 50 mg/kg dose
    level respectively. No dose-related alterations as regards the
    biochemical parameters GOT, GPT, SAP, glucose and BUN and the common
    parameters of urinalyses were found at any dose level. No abnormal
    macroscopic findings were detected. Owing to the small number of
    control animals the significance of various alterations in relative
    organ weights, particularly of the kidney and the spleen, could not be
    determined (Fox 1978).

    Monkey

         Groups of 4 rhesus monkeys (2 of each sex) were orally treated
    with 2 and 25 mg/kg pirimicarb over a period of 91 days; additionally,
    2 monkeys were used as controls. The treatment had no effect on
    mortality, appearance, behaviour and body weight gain. The parameters
    of the haematological examinations and the results of urinalyses were
    within normal limits. There was no evidence of haemolytic anaemia and
    all direct Coombs tests were negative throughout the dosing period.
    The results of clinical chemistry with respect to the parameters of
    bilirubin, LAP, SGOT, SGPT, SAP, total serum protein, plasma glucose,
    and plasma urea showed no abnormal alterations. A dose-related
    inhibition of the cholinesterase activity in the erythrocytes of 16%
    and 38% and in plasma of 8% and 74% was found at the dose levels of
    2 mg/kg and 25 mg/kg 2 h after dosing. The examination of the bone
    marrow revealed no pathological findings. The few incidental
    macroscopic findings are not attributable to treatment and the organ
    weights were considered to be within normal limits (Heywood  et al 
    1977).

         In a similar study, groups of 4 rhesus monkeys of each sex were
    orally dosed with 0, 2, 7 and 25 mg/kg pirimicarb for up to 17 weeks,
    followed by a recovery period of 8 weeks. The survival, appearance and
    behaviour were not adversely affected by treatment and the only
    clinical effect was loose faeces in animals of all treatment groups.
    At 25 mg/kg a slight reduction in body weight gain was observed in the
    female animals. The results of haematological investigations gave no
    indication of a treatment-related anaemia. The parameters of clinical
    chemistry and urinalyses varied within normal limits. The inhibition
    of the cholinesterase activity in erythrocytes was 19, 18 and 31% and
    in plasma it was 23, 35 and 63% at the dose levels of 2, 7 and
    25 mg/kg respectively. The cholinesterase activity measured after 2
    weeks after cessation of treatment was normal. The findings of the
    bone marrow examinations were normal as well as any macroscopic post
    mortem findings. No group differences in organ weights were
    discovered. In the direct Coombs test, sporadically positive reactions
    were found (Heywood  et al 1978a). Additional serological studies on
    monkeys confirmed the weak positive reactions in the Coombs test in
    some animals treated with 0, 2, 7 and 25 mg/kg pirimicarb (Jackson and
    Royle: 1978b). As could be demonstrated in a test performed on 30
    untreated monkeys isolated positive reactions can occur spontaneously
    (Heywood  et al 1978b; Jackson and Royle 1978c).

    Special studies on plant metabolites

    Rat

         Groups of 40 rats (20 of each sex) were orally treated with daily
    doses of 1.5 and 50 mg/kg of the plant metabolite carbamate (R 34885)
    for a period of 14 or 28 days. The control group consisted of 10
    animals of each sex. The treatment had no effect on the clinical
    condition, behaviour and mean body weight gain. The results gave no
    evidence of hypochromic anaemia as suggested in a previous study. The
    histopathological examination revealed no abnormal findings.

         In a similar experiment, designed to study the inhibition of the
    cholinesterase activity of the metabolite, groups of 10 rats (5 males
    and 5 females) were treated with daily oral doses of 0, 3 and
    12.5 mg/kg for 28 consecutive days. No significant inhibition of the
    enzyme  was found in erythrocytes and brain, whereas the plasma
    cholinesterase activity showed a depression of 32% compared to control
    in females after treatment with 28 doses of 12.5 mg/ kg (Parkinson
    1978a).

         Groups of 40 rats (20 males and 20 females) were orally treated
    with 25 and 100 mg/kg of the plant metabolite 5,6-dimethyl-2-
    methylamino-pyrimidin-4-yl dimethylcarbamate (R34836) for 14 or 28
    days. Additionally, a control group consisting of 10 animals of each
    sex was included in the study. The test compound had no adverse effect
    when administered at a dose level of 20 mg/kg; at 100 mg/kg, however,
    5 male and 6 female animals died during the study between 2 and 7

    doses with clinical signs of cholinesterase inhibition. Some animals
    lost weight at 100 mg/kg. The examination of blood and bone marrow
    revealed no abnormal findings and gave no indication for hypochromic
    anaemia. The results of urinalyses fell into normal limits, with the
    only exception of slightly higher urinary protein values in male
    animals treated with 14 and 28 doses of 100 mg/kg respectively. No
    adverse histopathological effects were found at 100 mg/kg.

         To determine the degree of cholinesterase inhibition, groups of
    10 rats (5 male and 5 female animals) were orally dosed with 0, 1.5,
    5, 25 and 100 mg/kg of the test compound for 28 days. The
    cholinesterase activity was not affected in erythrocytes and brain.
    The plasma cholinesterase activity, however, showed inhibition at
    25 mg/kg after 28 days of about 30% in male and about 55% in female
    animals; after 14 days of treatment with 100 mg/kg the depression was
    40%, after 28 days of treatment depression was 63% in female animals
    only (Parkinson 1978b).

    Special studies on mutagenicity

         The mutagenic activity of a number of pesticides, e.g.,
    pirimicarb, Polimartin and Cuprosan, was studied in human peripheral
    blood lymphocyte cultures from two donors with different levels of
    spontaneous chromosomal aberrations. Incubation of lymphocyte culture
    with pirimicarb increased the yield of chromosomal aberrations
    regardless of the level of spontaneous aberrations (Polimartin and
    Cuprosan failed to induce chromosomal aberrations). The potential
    mutagenicity of pirimicarb was also confirmed on the basis of its
    cytogenic activity in mice bone marrow cells (Pilinskaya 1981).

    Special studies on induction of foetal and maternal
    acetylcholinesterase

    isoenzymes

         Pregnant rats (18th day) were orally given 20 mg/kg pirimicarb.
    (Other insecticidal carbamates with anticholinesterase properties
    which were analogously tested were: 50 mg/kg carbaryl, 0.1 mg/kg
    aldicarb and 2.5 mg/kg carbaryl.) The acetylcholinesterase (ACLE)
    isoenzymes from the brain of mothers and their foetuses were separated
    by electrophoresis on polyacrylamide gel. The four carbamate derivates
    caused a significant lowering of the percentage of the least mobile
    isoenzyme (isoenzyme 1) in the mothers. Pirimicarb, aldicarb and
    carbaryl also caused a significant decrease in the percentage of the
    first foetal brain isoenzyme (Cambon  et al 1980).

    RESIDUES IN FOOD

         Data reviewed by the 1976 and 1978 Meetings showed that
    pirimicarb is rapidly lost from plants after spraying. Half of the
    initial residue is lost, primarily by volatilization, in 1 to 3 days;
    the higher the ambient temperature, the greater the percentage of
    pirimicarb lost by volatilization. Pirimicarb also undergoes
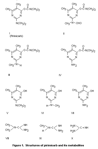
    photochemical and metabolic degradation. The major carbamate-
    containing degradation products are compounds II and III (Figure 1).
    Other degradation products include the hydroxypyrimidines V, VI and
    VII which can be present either free or as conjugates. The
    hydroxypyrimides are major metabolites of pirimicarb in the rat, dog
    and cow. Guanidine and its 1-methyl and 1:1 - dimethyl derivatives are
    also formed following the application of pirimicarb to plants.

         A gas-chromatographic method using a nitrogen-selective detector
    to determine residues of pirimicarb plus its two major carbamate-
    containing plant metabolites Figure 1 (II and III) was reviewed as the
    preferred crop residue method by the 1976 and 1978 Meetings. This
    method was used during the residue determinations reviewed below, and
    all values quotes are corrected for percentage recovery, unless stated
    otherwise.

    RESIDUES RESULTING FROM SUPERVISED TRIALS

    Cereal grains

         At 0.125-0.25 kg a.i./ha pirimicarb controls the grain aphid,
     Macrosiphum avenae, on cereals. Spraying is conducted at an immature
    growth stage, normally several weeks before harvest.

         As a result of the data available to it, the 1976 Meeting
    proposed a temporary MRL in wheat grain of 0.05 mg/kg, at or about
    the limit of determination. Data available in 1978 re-affirmed
    the appropriateness of this proposal and facilitated similar
    recommendations on barley and oats. The 1978 appraisal noted that no
    data were available on residues in other grains such as maize or rice.

         Further data now available on wheat and oats sprayed in Canada
    with a 50% formulation re-affirm the appropriateness of the earlier
    proposals (Table 1). The half-life for pirimicarb on both crops was
    between 1 and 5 days (Bullock and Kennedy 1981).

    FIGURE 1

        TABLE 1.  Residues of pirimicarb in barley and wheat, Canada 1978
                                                                                               

                   Application rate    Crop part      Total carbamate residues (mg/kg) after
    Crop           (kg a.i./ha)        analysed       (days)
                                                                                               
                                                       1          5        7        14
                                                                                               

    Barley             0.07            Grain          0.47      0.15     0.11      0.04
                       0.14            Grain          0.82      0.30     0.14      0.07

                       0.07            Ears           -         -        0.04     <0.02
                       0.14            Ears           -         -        0.05      0.02
                                                                                               

    Wheat              0.07            Ears           0.10      0.02    <0.02     <0.02
                       0.14            Ears           0.93      0.41     0.05     <0.02
                                                                                               
    
         A trial was conducted in Japan in 1979, in which sweet corn was
    sprayed at the unusually high rate of 2 kg a.i./ha, using a 48% WP
    formulation and 2 000 to 4 000 l of water/ha. Residue samples taken 23
    days later contained no detectable pyrimidine-carbamate residues
    (limit of determination 0.02 mg/kg) (Bullock and Kennedy 1981). This
    was an anticipated finding, as sweet corn on the cob is protected from
    spray by the surrounding foliage.

         Pirimicarb is not registered for use on rice at this time and no
    data on residues are available.

    Citrus fruit

         The 1976 Meeting proposed a temporary MRL in citrus fruits of
    0.05 mg/kg, at or about the limit of determination of the analytical
    method. Interpretation of much of the data available in 1976 was
    rendered difficult by the fact that often the peel and flesh were
    analysed separately. Whole fruits had been analysed on only a limited
    number of occasions, although the available data justified the
    proposed MRL. Supportive evidence was provided by the separate
    analysis of peel and flesh of oranges treated in Australia and in
    Spain. Residues were less than 0.02 mg/kg in edible flesh and did not
    exceed 1 mg/kg in the peel. At the time, results for samples obtained
    from Japan were deemed unrepresentative, particularly since there was
    a concern over possible contamination of the edible flesh with
    residues during peeling.

         Aphids usually occur on citrus early in the season. This is
    several months before the first fruits are mature. However, the
    harvesting period often extends from the autumn through to the
    following spring. As a result, fruit can remain on the tree at the
    time of the first sprays against aphids during the following year, and
    then a short pre-harvest withholding interval is appropriate.

         Ferreira and Tainha (1981) in Portugal have now provided new
    evidence of residues on whole oranges. In Portugal, pirimicarb is
    approved as a 50% WP formulation for use in citrus at a spray
    concentration of 37.5 g a.i./hl, applied to "run off". The pre-harvest
    withholding interval is two weeks. Two spray applications were made,
    fourteen days apart, to three separate replicate trees. Samples of 15
    fruits were collected from each tree 1, 4, 7, 11, 21 28 and 35 days
    after the second spray. Analyses by a slight modification of the
    standard residue method yielded results as shown in Table 2.

        TABLE 2.  Residues of pirimicarb in organge, Portugal, 1980
                                                                                               

    Application          Days between       Total carbamate residues (mg/kg)
    Rate                 last treatment                                                        
                         and harvest        Tree No.11     Tree No.21     Tree No. 31    Mean
                                                                                               

                               1              0.69           0.64           0.99         0.77
    37.5 g a.i./h              4              0.27           0.27           0.52         0.35
    applied to                 7              0.27           0.30           0.35         0.31
    "run off" ,               11              0.37           0.16           0.30         0.28
    twice, fourteen           14              0.21           0.14           0.22         0.19
    days                      21              0.14           0.20           0.29         0.21
    apart.                    28              0.20           0.22           0.28         0.23
                              35              0.18           0.20           0.24         0.21
                                                                                               

    1  mean of three analyses (uncorrected for recovery).
    
         Residues in oranges are present mainly in the oil glands of the
    peel, in which they tend to remain stable. Levels in the edible flesh
    have been consistently below 1 mg/kg (Table 3) (Manley 1972; Edwards
    and Dick 1976; Bullock and Kennedy 1981).

    Apple and pear

         The 1976 Meeting proposed a temporary MRL for apples at 1 mg/kg.
    Additional residues data now available from trials in Canada in 1980
    and Federal Republic of Germany in 1977 confirm the appropriateness of
    this value (Table 4) (Bullock and Kennedy 1981).

        TABLE 3.  Residues of pirimicarb in orange, Australia and Japan, 1970-78.
                                                                                                                                

                                                                          Days
    Country                     Rate             Volume      Crop         between        Total          Reference
    and          Fomulation     of               of spray    part         last           carbamate
    Year                        application      (l/ha)      analysed     application    residues
                                                                          and            (mg/kg)
                                                                          harvest
                                                                                                                                

    Australia    50% WP         0.025 kg         "High       Whole        0              <0.01          Edwards and Dick
    1973-4                      a.i./hl          volume"     fruit        1              <0.01          1976
                                                                          7              <0.01
                                                                          14             <0.01

                                                             Skin         0               0.95
                                                                          1               0.60
                                                                          7               0.32
                                                                          14              0.36

                                                             Flesh        0              <0.02
                                                                          1              <0.02
                                                                          7              <0.02
                                                                          14             <0.02
                                                                                                                                

    Japan        50% WP         0.05 kg          5000        Skin         11             13.0           Manley
    1970                        a.i./hi                                   21              4.9           1972
                                (four                                     31              7.2
                                applications                              42-43           2.1-3.0
                                over 9-10                                 49              0.72-2.4
                                weeks)                                    59-63           0.67-3.6
                                                                                                                                

    TABLE 3.  (con't)
                                                                                                                                

                                                                          Days
    Country                     Rate             Volume      Crop         between        Total          Reference
    and          Fomulation     of               of spray    part         last           carbamate
    Year                        application      (l/ha)      analysed     application    residues
                                                                          and            (mg/kg)
                                                                          harvest
                                                                                                                                

                                0.05 kg          5000        Skin         11             16.5
                                a.i./hl                                   31              5.1-11.6
                                (five                                     42-43           5.2
                                applications                              49              2.4
                                over 9-10                                 59-63           1.6-4.7
                                weeks)

                                0.05 kg          5000        Flesh        11-63          <0.01-0.88
                                a.i./hi                                                  (mean 0.19;
                                (4-6                                                      16 samples)
                                applications
                                over 9-11
                                weeks)
                                                                                                                                

    Japan        48%            0.05 kg          3300-       Skin         >123 days       0.03-0.34     Bullock and Kennedy
    1977         Dispersible    a.i./hl          5000                                    (four          1981
                 Grain          (3 or 2                                                   results)
                                applications                 Flesh                       <0.02
                                approx.                                                  (four
                                11 weeks                                                  results)
                                apart)                       Juice                       <0.02
                                                                                         (two
                                                                                          results)
                                                                                                                                

    TABLE 4.  Residues of pirimicarb in apple, Canada 1980 and Federal Republic of Germany 1977
                                                                                                                  

    Country                       Rate of             Days between        Total Carbamate residues (mg/kg)
    and                           application         last application                                            
    Year         Formulation      (kg a.i./ha)        and harvest         Minimum        Maximum        Mean
                                                                                                                  

    Canada       50% WP               0.56              0                   -              -            0.58 (1)1
    1980                                                3                   -              -            0.42 (1)
                                                        8                   -              -            0.19 (1)
                                                        14                  -              -            0.05 (1)

    Germany      50%                  0.5               0                   0.42           0.69         0.49 (4)
    1977         Dispersible                            3                   0.22           0.51         0.31 (4)
                 grain                                  7-8                 0.17           0.51         0.27 (4)
                                                        10-11               0.16           0.45         0.21 (4)
                                                        14                  0.17           0.49         0.24 (3)
                                                        20-21               0.09           0.49         0.13 (3)
                                                                                                                  

    1  Figures in parentheses are the numbers of results on which the means are based.
             A trial was also carried out in the UK on pears, using a single
    application of a 50% dispersible grain formulation at a rate of
    0.21 kg a.i./ha. Samples for residue analysis were taken at 0, 2, 7
    and 107 days. The initial total carbamate residue of 0.39 mg/kg
    decayed slowly over the following seven days, to 0.27 mg/kg. No
    residue was detected in the 107-day sample (limit of determination,
    0.02 mg/kg) (Bullock and Kennedy 1981). Two trials were also carried
    out on pears in Japan in 1973. Two or three applications of a 50%
    dispersible powder formulation were made at 0.05 kg a.i./hl, at 2500 l
    of spray per ha. Samples for residue analysis were taken 54 and 64
    days after the last applications. As expected with such long
    intervals, no residues were detected in any of the four samples
    analysed (limit of determination, 0.02 mg/kg) (Edwards and Dick 1976).

         Data reviewed at the 1976 Meeting indicated that pirimicarb
    residue levels on apples tend to decline more slowly than on many
    other crops, such as leafy vegetables. The data now available on pears
    are consistent with the findings on apples, in terms both of the
    levels of residues present and in the pattern of residue decline.

    Pecan

         At 0.0125-0.025 kg a.i./hl applied 'high volume', pirimicarb
    controls the black margined aphid,  Monellia costalis, yellow aphid,
     Monellia sp. and black pecan aphid,  Tinocallis caryaefoliae, on
    pecans. Aphids usually occur on pecans early in the season, although a
    second infestation can appear a few weeks before harvest. At that
    time, the nut is still protected by the hull and as a result it is
    unlikely that residues would be detected in the nut. That expectation
    was confirmed in four trials conducted in the USA in 1975. Pirimicarb
    was sprayed at 0.125 to 0.375 kg a.i./ha up to three times, using a
    50% WP formulation. Nuts were harvested 17 to 77 days after the last
    application. No pyrimidine-carbamate residues were detected in any of
    the ten samples analysed (limit of determination, 0.05 mg/kg) (Ussary
    1976).

    Cotton

         At 0.03 to 0.06 kg a.i./ha, pirimicarb controls the cotton aphid,
     Aphis gossypii. Aphid attack on cotton occurs early in the growing
    season and it is unlikely that a residue would be detected in the
    seeds at harvest. This expectation was confirmed in six trials
    conducted in the USA in 1976-78. Two to four applications of
    pirimicarb were made using a 50% WP at 0.06 or 0.12 kg a.i./ha. The
    cotton was harvested 40 to 122 days after the last application. No
    pyrimidine-carbamate residues were detected in any of the ten samples
    analysed (limit of determination, 0.05 mg/kg ) (Ussary 1979).

    Leeks, spinach and watercress

         Pirimicarb is particularly useful when a pre-harvest clean-up of
    aphid infestations is required. Aphids controlled by the compound
    include the peach-potato aphid,  Myzus persicae, on leeks and
    watercress, shallot aphid,  Myzus ascalonicus, on leeks, and the
    black bean aphid,  Aphid fabae, on spinach.

         Three trials were conducted on outdoor leeks in Germany in 1977.
    A 50% dispersible grain formulation was applied on three occasions at
    0.15 kg a.i./ha. Initial total carbamate residues on the leeks of 1.5
    to 4.0 mg/kg declined rapidly with a half-life of less than one day
    (Table 5) (Bullock and Kennedy 1981).

         Work on three varieties of spinach was undertaken in Germany in
    1974, using a single application of a 50% dispersible grain
    formulation at 0.5 kg a.i./ha. In three further trials in Germany in
    1977, a 50% dispersible grain formulation was applied on three
    occasions at 0.15 kg a.i./ha. Initial total carbamate residues of
    approximately 3 to 8 mg/kg declined rapidly with a half-life of less
    than one day (Table 5) (Bullock and Kennedy 1981; Edwards and Dick
    1976).

         Three trials were conducted on watercress in the UK in 1972, in
    which a 50% WP formulation was applied at 0.25 kg a.i./ha (recommended
    rate) or 0.50 kg a.i./ha. Total carbamate residue levels on the
    watercress again declined very quickly in the period immediately after
    application (Table 5)(Bullock 1972).

         The pattern of residues on these three crops are similar to those
    reviewed on various leafy vegetables at the 1976 Meeting.

    Glasshouse crops

         Some additional data on residues of pirimicarb on glasshouse
    crops have been received (Greve and van de Kamp 1974) and are recorded
    in Table 6. They are in line with data previously received on these
    crops.

    Other crops

         Trials involving the application of pirimicarb to broccoli,
    Brussels sprouts, peas, potatoes, soybeans, sugarbeet and turnips in
    various countries, gave rise to no residues above the limits of
    determination (generally <0.02 mg/kg). Further trials data on
    pirimicarb residues in some other fruits and vegetables are listed in
    Table 7 (Bullock and Kennedy 1981).

        TABLE 5.  Residues of pirimicarb in leek, spinach and watercress1
                                                                                                                     

                   Country                       Rate of        Days Between        Total Carbamate Residues
    Crop           and            Formulation    application    last application    (mg/kg)
                   Year                          (kg a.i./ha)   and harvest
                                                                                    Minimum     Maximum      Mean
                                                                                                                     

    Leeks          Germany        50%            0.15                0               1.5          4.0       2.6  (3)2
                   1977           dispersible    × 3                 1               0.3          0.65      0.48 (2)
                                  grain                              2               -            -         0.15 (1)
                                                                     4               0.06         0.12      0.09 (3)
                                                                     7               0.02         0.05      0.04 (3)
                                                                    10              <0.02         0.02      0.02 (3)
                                                                    14              <0.02         0.03      0.02 (3)
                                                                                                                     

    Spinach        Germany        50%            0.15                0               4.6          7.3       5.6  (3)
                   1977           dispersible    × 3                 1               0.72         2.0       1.3  (3)
                                  grain                              4               0.16         0.50      0.29 (3)
                                                                     7               0.05         0.06      0.06 (3)
                                                                    10              <0.02         0.02      0.02 (3)

                   Germany        50%            0.5                 0               2.7          6.0       4.1  (3)
                   1974           dispersible    (× 1)               1               1.5          2.1       1.7  (3)
                                  grain                              3               0.14         0.65      0.39 (3)
                                                                     5               0.01         0.12      0.07 (3)
                                                                     7              <0.01         0.03      0.02 (3)
                                                                    10              <0.01         0.02      0.02 (3)
                                                                    12               -            -        <0.01 (1)
                                                                                                                     

    TABLE 5.  (con't)
                                                                                                                     

                   Country                       Rate of        Days Between        Total Carbamate Residues
    Crop           and            Formulation    application    last application    (mg/kg)
                   Year                          (kg a.i./ha)   and harvest
                                                                                    Minimum     Maximum      Mean
                                                                                                                     

    Watercress     UK             50% WP         0.25                0               5.9         22        11    (3)
                   1972                          (× 1)               1               -            -         1.1  (1)
                                                                     2               0.43         0.51      0.44 (3)
                                                                     4               0.37         0.39      0.38 (3)
                                                                     7               0.16         0.20      0.18 (2)

                                                 0.5                 0               -            -        13    (1)
                                                 (× 1)               2               -            -         0.86 (1)
                                                                     4               -            -         0.95 (1)
                                                                     7               -            -         0.50 (1)
                                                                                                                     

    1  Bullock and Kennedy, 1981; Edwards and Dick, 1976;
    2  Figures in parentheses are the numbers of results upon which the means are based.
        TABLE 6.  Residues of pirimicarb in glasshouse crops1
                                                                        

    Crop             Residues (mg/kg) at intervals (days) after treatment
                                  0                         3
                                                                        
                        Range          Mean       Range         Mean
                                                                        

    Eggplants           0.16-0.24      0.19       0.05          0.05
        "               0.13-0.19      0.16       0.10-0.24     0.17

    Gherkins            0.38-0.64      0.47       0.09-0.13     0.11
        "              <0.05          <0.05      <0.05         <0.05

    Cucumber (whole)   <0.05          <0.05      <0.05         <0.05
        "    (peel)     0.06-0.24      0.11       0.05-0.14     0.08

    Tomato              0.12-0.21      0.14
        "               0.09-0.13      0.12      <0.05         <0.05

    Pepper (bell)       0.18-0.30      0.25       0.05-0.07     0.06
        "    "         <0.05-0.11     <0.06      <0.05-0.14    <0.08
                                                                        

    1  In each case, one treatment with 50% WP at 0.375 kg a.i./ha.

    FATE OF RESIDUES

    In processing

         Two studies were conducted in the USA in 1977 to determine
    residues of pirimicarb and its carbamate metabolites in processed
    cotton fractions. Cotton plants were sprayed with a 50% WP formulation
    of pirimicarb at 0.07 to 0.13 kg a.i./ha. Two to four applications
    were made with an interval of 49 to 122 days between the last
    application and harvest. The cotton was harvested, fractioned and
    submitted to the laboratory for residue analysis. The results are
    shown in Table 8. Although no pyrimidine-carbamate residues were
    observed in cottonseed, slight residues of up to 0.05 mg/kg were
    observed in crude oil. A trace was noted in cottonseed meal at the
    0.13 kg a.i./ha rate (twice the maximum recommended). However, as no
    residue was detected in the cottonseed, it is unlikely that residues
    should be present in both the meal and oil. The trace residues in meal
    are most likely due to lack of sample homogeneity or possibly to minor
    contamination (Ussary 1979).

        TABLE 7.  Pirimicarb residues in some fruits and vegetables
                                                                                                

                                                 Pre-harvest         Pirimicarb residues (mg/kg)
    Crop           Country             Year      Interval (days)       Range           Mean
                                                                                                

    Cherry         Fed.Rep.Germany     1977      0                   1.5 - 1.9          1.4
                                                 4                   0.03- 0.89         0.41
                                                 7                   0.02- 0.52         0.26
                                                 14                 <0.02- 0.33         0.15
                   UK                  1976      62                 <0.02              <0.02

    Peach          Japan               1976      27-61               0.13- 0.40         0.28
                   Canada              1980      60-107             <0.02              <0.02

    Plum           Canada              1976      21-30               0.14- 0.17         0.15

    Pepper         Denmark             1976      0                   -                  0.13
                                                 3                   -                  0.10
                                                 7                   -                  0.04
                                                 14                  -                  0.02

    Tomato         Canada              1976      1                   -                  0.10
                                                 3                   -                  0.03
                                                 7                   -                 <0.02

                   Denmark             1977      0                   -                  0.46
                                                 3                   -                  0.16
                                                 7                   -                  0.09
                                                 14                  -                  0.02

    Cucumber       Denmark             1977      0                   0.13, 0.47         -
                                                 3                   0.08, 0.30         -
                                                 7                   0.07, 0.38         -
                                                 14                  0.02, 0.05         -
                                                 21                  0.02, 0.07         -
                                                                                                

    TABLE 7.  (con't)
                                                                                                

                                                 Pre-harvest         Pirimicarb residues (mg/kg)
    Crop           Country             Year      Interval (days)       Range           Mean
                                                                                                

    Parsley        Netherlands         1976      0                   -                 23
                                                 1                   -                 15
                                                 3                   -                  8.6
                                                 7                   -                  6.3
                                                 14                  -                  4.6
                                                                                                

    TABLE 8.  Pirimicarb residues on cottonseed fractions, USA 1977
                                                                                                                           

                                                                                  Residue (mg/kg)1
    Type of        No of          Days after last                                                                          
    Sample         applications   application               Control              0.07 kg ai/A            0.13 kg ai/A4
                                  to harvest          P2      DMP3    Total   P       DMP     Total   P       DMP     Total
                                                                                                                           

    Cottonseed          4            49               ND      ND      ND      ND      ND      ND      ND      ND      ND
    Hulls                                             ND      ND      ND                              ND      ND      ND
    Meal                                                      ND      TR                              0.01    ND      0.01
    Crude oil                                         ND      ND      ND                              0.02    0.01    0.03

    Cottonseed          2           122                                       ND      ND      ND
    Hulls                                                                     ND      ND      ND
    Meal                                                                      ND      ND      ND
    Crude oil                                                                 0.04    0.01    0.05
                                                                                                                           

    1  ND=none detected  (<0.01 ppm of the individual compounds);
    2  P = pirimicarb;
    3  DMP = desmethyl pirimicarb;
    4  Twice maximum use rate.
        METHODS OF ANALYSIS

         The preferred method for determining residues of pirimicarb and
    its carbamate-containing metabolites in crops and in products of
    animal origin is by gas-liquid chromatography with selective nitrogen
    detection. The method was reviewed at the 1976 and 1978 Meetings.

    NATIONAL MAXIMUM RESIDUE LIMITS

         The national MRLs listed in Table 9 have been established for
    residues of pirimicarb plus its two carbamate-containing metabolites,
    II and III (Figure 1).

        TABLE 9.  National maximum residue limits reported to the Meeting
                                                                                               

    Country                  Crop                                         MRL (mg/kg)
                                                                                               

    Australia                Vegetables, fruit and hops                   0.5

    Belgium                  Potato                                       0.5
                             Other crops                                  0.3

    Brazil                   Cabbage, cauliflower                         0.5
                             Aubergine, cucumber, pepper, tomato          0.2
                             Potato                                       0.05

    Fed. Rep. of             Lettuce, cherry                              1.0 )  from
    Germany                  Other leaf, sprout and fruit vegetables      0.5 )  1.1.82
                             Cereals, potato, sugarbeet                   0.1 )

    France                   Cereals                                      0.05 (proposed)

    Hungary                  Fruit                                        0.5
                             Vegetables                                   1
                             Other crops                                  0.5

    Japan                    Fruits and vegetables                        0.3

    Netherlands              Fruits, vegetables, herbs and spices         1.0
                             Grain, potato                                0.05

    New Zealand              Beans, lettuce, pea, brassicae, tomato       1
                             Potato, fodder crops                         0.5

                                                                                               

    TABLE 9.  (con't)
                                                                                               

    Country                  Crop                                         MRL (mg/kg)
                                                                                               

    South Africa             Cruciferae, oats, sorghum, wheat, peach      0.3
                             Peanut, pecan, potato                        0.05

    Switzerland              Fruits and vegetables                        1

    USA                      Potato                                       0.1

    Venezuela                All Crops                                    0.5
                                                                                               
    
    EVALUATION

    COMMENTS AND APPRAISAL

         The Meeting was informed that the data requested by the 1978
    Meeting would not be available until 1982. The Meeting therefore
    agreed to extend the existing temporary ADI until 1982.

         Additional data on residues of pirimicarb in a range of crops
    have been received and reviewed. The pattern of residue data is
    generally similar to that reviewed at previous meetings, although the
    new data on oranges show the need for an upward revision of the
    present limit to cover residues arising from use close to harvest in
    some countries. On outdoor vegetables and field crops the residues
    decline very quickly after spraying; on fruits, however, decline is
    slower. Data on pears, together with old and new data on apples,
    allowed a recommendation for limits on pome fruits. Additional and
    altered limits are proposed.

    RECOMMENDATIONS OF RESIDUE LIMITS

         The following new or altered temporary limits refer to the sum of
    pirimicarb, its N-formyl (methylamino) analogue (desmethylformamido
    pirimicarb) and desmethyl pirimicarb.

                                              Pre-harvest interval on
                             Temporary MRL    which the recommendations
    Commodity                (mg/kg)          are based (days)
                                                                        

    Pome fruits              1                7

    Spinach                  1                3-4

    Watercress               1                2-4

    Leeks                    0.5              1-2

    Oranges                  0.5              7-14

    Citrus fruits
     (other than oranges)    0.051            -

    Cottonseed               0.051            -

    Pecan                    0.051            -

    Sweet corn               0.051            -
                                                                        

    1  At or about the limit of determination.

    FURTHER WORK OR INFORMATION

    Desirable

    1.   Data on residues on oranges due to applications made close to
         harvest in countries other than Portugal.

    2.   Data on residues on other citrus fruits from countries where
         applications close to harvest are recommended or permitted.

    REFERENCES

    Bullock, D.J.W. Pirimicarb residues data on watercress: UK 1972. ICI
    1972      Plant Protection Division. (Unpublished)

    Bullock, D.J.W. and Kennedy, S.H. Pirimicarb : residues in crops from
    1981      field trials during 1976-80. ICI Plant Protection Division
              Report no. TMJ 1883A. (Unpublished)

    Cambon, C., Declume, C. and Derace, R. Foetal and maternal rat brain
    1980      acetylcholinesterase: isoenzymes changes following
              insecticidal carbamate derivates poisoning. Archives of
              Toxicology 45: 257-262.

    Edwards, M.J. and Dick, J.P. Pirimicarb residue summary: Residues in
    1976      crops from field trials during 1973-1975. ICI Plant
              Protection Division Report No. TMJ 1360B. (Unpublished)

    Ferreira, J.R. and Tainha, A. Residues of pirimicarb in field-treated
    1981      oranges. Ministry of Agriculture and Fisheries, Toxicology
              and Analytical services Directorate, Portugal. Report PPA
              (TR)-12/81. (Unpublished)

    Fox, T. Pirimicarb dietary toxicity study in foxhounds. Report from
    1978      Hazelton Labs. Europe Ltd., no. 1371-72/2, submitted by ICI
              Ltd. to WHO. (Unpublished)

    Greve, P.A. and van de Kamp, C.G. Residuen van bestrijdingsmiddeln in
    1974      de groenteteelt onder glas. Report 96/74 Tox - ROB. Report
              from the Netherlands. (Unpublished)

    Heywood, R., Sortwell, R.J., Pulsford, A.H., Brown, G. and Street,
    1977      A.E. Pirimicarb preliminary oral toxicity study in rhesus
              monkeys (repeated dosages for 13 weeks). Report from
              Huntingdon Research Centre, no. 164/77825, submitted by ICI
              Ltd. to WHO (Unpublished)

    Heywood, R., Sortwell, R.J., Pulsford, A.H,, Brown, G. and Street,
    1978a     A.E. Pirimicarb oral toxicity study in rhesus monkeys
              (repeated dosages for 17 weeks, followed by a recovery
              period of 8 weeks). Report (final report) from Huntingdon
              Research Centre no. 198/78444, submitted by ICI Ltd. to WHO.
              (Unpublished)

    1978b     Pirimicarb comparative data from native rhesus monkeys
              (white blood cell counts and direct Coombs Tests). Report
              from Huntingdon Research Centre, No. 219/78445, submitted by
              ICI Ltd. to WHO. (Unpublished)

    Jackson, J.A., Chart, I.S., Sanderson, J.H. and Garner, R. Pirimicarb
    1977      induced immune hemolytic anaemia in dogs, Scandinavian
              Journal of Haematology, 19: 360-366.

    Jackson, J.A. and Royle, G. Pirimicarb: dietary toxicity study in
    1978a     foxhounds. Addendum: results of additional serological
              investigations. Report from ICI Central Toxicology
              Laboratory, no. CTL/P/420, submitted by ICI Ltd.
              (Unpublished)

    Jackson, J.A.; and Royle, G. Pirimicarb: oral toxicity study in rhesus
    1978b     monkeys. Addendum: results of additional serological
              investigations. Report from ICI Central Toxicology
              Laboratory, no. CTL/P/421, submitted by ICI Ltd.
              (Unpublished)

    1978c     Pirimicarb: comparative data from native rhesus monkeys
              (white blood cell counts and direct Coombs tests). Addendum:
              results of additional serological investigations. Report
              from ICI Central Toxicology Laboratory, no. CTL/P/419
              submitted by ICI Ltd. (Unpublished)

    Manley, C.A. residue summary: Pirimicarb in crops. ICI Plant
    1972      Protection Division Report no. TMJ 585/2. (Unpublished)

    Parkinson, G.R. Pirimicarb metabolite R 34885: subacute oral toxicity
    1978a     to rats. Report from ICI Central Toxicology Laboratory, No.
              CTL/P/402, submitted by ICI to WHO. (Unpublished)

    1978b     Pirimicarb metabolite R34836: subacute oral toxicity to
              rats. Report from ICI Central Toxicology Laboratory, no.
              CTL/P/401, submitted by ICI to WHO. (Unpublished)

    Paul, J.D., Richards, D., Banham, P.B. and Weight, T.M. Pirimicarb:
    1978      growth study to determine a no-effect level in the female
              rat. Report from ICI Central Toxicology Laboratory no.
              CTL/P/408, submitted by ICI to WHO. (Unpublished)

    Pilinskaya, M.A. Cytogenic effect of a number of pesticides in a
    1981      culture of human peripheral blood lymphocytes with different
              levels of spontaneous aberrations. Tsitologiya i Genetika,
              15(2) : 82-84

    Richards, D., Banhan, P.B. and Weight, T M. Pirimicarb paired feeding
              study in a female rat. Report from ICI Central Toxicology
              Laboratory, no. CTL/P/407. Submitted by ICI to WHO.
              (Unpublished)

    Ussary, J.P. Pirimicarb residues in pecan, 1975. ICI Americas Inc.
    1976      Reports. (Unpublished)

    1979      Pirimicarb residues on cottonseed. ICI Americas Inc, Report
              no. TMU 0442/B. (Unpublished)


    See Also:
       Toxicological Abbreviations
       Pirimicarb (Pesticide residues in food: 1976 evaluations)
       Pirimicarb (Pesticide residues in food: 1978 evaluations)
       Pirimicarb (Pesticide residues in food: 1979 evaluations)
       Pirimicarb (Pesticide residues in food: 1982 evaluations)