IPCS INCHEM Home


    FAO, PL:CP/15
    WHO/Food Add./67.32

    EVALUATION OF SOME PESTICIDE RESIDUES IN FOOD

    The content of this document is the result of the deliberations of the
    Joint Meeting of the FAO Working Party and the WHO Expert Committee on
    Pesticide Residues, which met in Geneva, 14-21 November 1966.1

             
    1 Report of a Joint Meeting of the FAO Working Party and the WHO
    Expert Committee on Pesticide Residues, FAO Agricultural Studies, in
    press; Wld Hlth Org. techn. Rep. Ser., 1967, in press

    PYRETHRINS

    IDENTITY

    Explanatory note

    In this report the term "pyrethrins" refers generally to the mixed
    active ingredients as present in commercially available extracts of
    pyrethrum. Such extracts contain about 75 per cent of pyrethrin I and
    pyrethrin II, together with at least four other active ingredients
    (i.e. Cinerin I, Cinerin II, Jasmolin I and Jasmolin II).

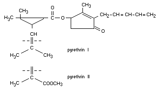
    Chemical names

    pyrethrin I

    4-hydroxy-3-methyl-2-(2,4-pentadienyl)-2-cyclopenten-1-one

    2,2-dimethyl-3-(2-methyl-propenyl)cyclopropanecarboxylate or
    pyrethrolone ester of chrysanthemummonocarboxylic acid

    pyrethrin II

    4-hydroxy-3-methyl-2-(2,4-pentadienyl)-2-cyclopenten-1-one
    1-methyl-3-carboxy- ,2,2-trimethylcyclopropaneacrylate ester or
    pyrethrelolone ester of chrysanthemumdicarboxylic acid
    monomethyl ester

    Formula

    CHEMICAL STRUCTURE 

    Relevant physical and chemical properties

    These compounds are virtually insoluble in water, but are soluble in
    many organic solvents, e.g. kerosene, carbon tetrachloride, alcohol,
    petroleum, ether, etc. They are decomposed by exposure to light with
    loss of insecticidal activity. They are also rapidly oxidized and
    inactivated in air. Antioxidants used to protect insecticidal residues
    of pyrethrins include pyrocatechol, pyrogallol, hydroquinone;
    benzene-320-napthol is used to protect against effects of sunlight.

    BIOLOGICAL DATA AND TOXICOLOGICAL EVALUATION

    Biochemical aspects

    Following ingestion, the pyrethrins are hydrolyzed by various
    digestive enzymes in the gastro-intestinal tract. However, a small
    portion of the insecticidal compounds or their derivatives are
    absorbed as shown by their toxicity and their effect on the liver. The
    pyrethrins or their metabolites are not known to be stored in the body

    or to be excreted in the milk, but no modern methods have been
    employed in the study of this aspect. Absorption does result in
    urinary excretion of chrysanthemummonocarboxylic acid (Audiffren,
    1934). It is believed that the diarrhoea produced by pyrethrin results
    from central vagal stimulation (Leonard, 1942).

    Acute toxicity

                                                                                    
    Animal         Route      LD50                     References
                              mg/kg body-weight
                                                                                

    Rat            Oral       820                      Carpenter et al., 1950
                              pyrethrum oleoresin
                              purified

    Rat            Oral       1870                     Carpenter et al., 1950
                              purified pyrethrum
                              extract in petroleum
                              oil

    Rat            Oral       200                      Lehman, 1951

    Rat            Oral       >2600                    Ambrose & Robbins, 1951

    Guinea-pig     Oral       1500                     Shimkin & Anderson, 1936

    Dog            i.v.       6-8*                     Chevalier, 1950
                                                                                

    * "Lethal dose"
    
    The relatively high inherent toxicity of pyrethrum should be noted.
    The very marked difference in the oral and intravenous toxicities
    indicates a low rate of absorption from the gastro-intestinal tract,
    very efficient destruction by the liver, or a combination of the two.

    The acute effects resemble veratrine intoxication, proceeding from
    excitation to convulsions to tetanic convulsions, except that
    pyrethrins also cause muscular fibrillation. Death is caused by
    respiratory failure (Leonard, 1942; Chevalier & Ripert, 1927).
    Persistent tremor is occasionally been in animals that recover from a
    single large dose (Leonard, 1942).

    Short-term studies

    Man. Injury to man from pyrethrum has most frequently resulted from
    the allergenic properties of the material rather than its direct
    toxicity. Although the allergy has been associated with occupational
    or therapeutic contact, it is impossible to exclude any importance of
    it in connexion with food residues.

    Pyrethrum sensitivity may manifest itself in several forms in man.
    Contact dermatitis is by far the most common. The usual picture is a
    mild erythematous, vesicular dermatitis with papules in moist areas,
    and intense pruritis (McCord et al., 1921; Sequeira, 1936). In a few
    cases bullae appear (McCord et al., 1921; Sequeira, 1936; Tonking,
    1936). Oedema and cracking develop in severe cases (Sequeira, 1936;
    Tonking, 1936; Martin & Hester, 1941). Pyrethrum dermatitis may be
    made worse by exposure to the sun (Tonking, 1936).

    Some individuals show manifestations of pyrethrum sensitivity similar
    to those seen in pollinosis, including sneezing, porous nasal
    discharge and nasal "stuffiness" (Feinberg, 1934; Ramirez, 1930). A
    few cases of extrinsic asthma due to pyrethrum mixtures have been
    reported (Ramirez, 1930; Garratt & Bigger, 1923). Some of the
    individuals involved had a previous history of asthma with a very
    broad allergic background. Several cases have shown what McCord et
    al., 1921, called "dermal anaphylaxis" characterized by dermatitis and
    sudden severe swelling of the face and lips (McCord et al., 1921;
    Ramirez, 1930). A mild form was produced in the course of experiments
    (Martin & Hester, 1941). A severe anaphylactic reaction, including
    peripheral vascular collapse is rare but can occur (Bosredon, 1897).

    Pyrethrum flowers and certain extracts from them are much more
    allergenic than the more or less purified pyrethrins now marketed as
    insecticides (Martin & Hester, 1941; Lord & Johnson, 1947).1 Thus,
    many reports of pyrethrum dermatitis involve contact with flowers in
    connexion with harvesting, weighing or grinding (McCord et al., 1921;
    Tonking, 1936). However, dermatitis (Schwartz, 1934), and especially
    allergy of the respiratory tract may result from exposure to pyrethrum
    formulations intended for use in the home (Feinberg, 1934; Ramirez,
    1930). Sensitivity as judged by skin tests occurs in over 45 per cent
    of persons who are sensitive to ragweed (Feinberg, 1954) and was

                  
    1 Investigations have shown that the allergenic agent or agents in
    pyrethrum are extractable by solvents such as petroleum ether (Martin
    & Hester, 1941; Lord & Johnson, 1947); they can be adsorbed on
    adsorbents such as fullers earth (Lord & Johnson, 1947) and they are
    probably volatile with steam (Martin & Hester, 1941; Frank &
    McGeachin, 1949). Acetic acid has been identified as being present in
    pyrethrum extracts and is claimed (Frank & McGeachin, 1949) to be a
    contributory irritating factor although it is not in itself
    allergenic.

    produced by repeated application of pyrethrum ointment in 10 per cent
    and 26 per cent of unselected test populations (Lord & Johnson, 1947).
    On the other hand, the insecticide has been considered so innocuous
    that an ointment containing 0.75 per cent of pyrethrin was recommended
    for treatment of scabies, and such use led to only a few cases of
    dermatitis, some of doubtful relation to the treatment (Sweitzer &
    Tedder, 1935; Sweitzer, 1936). Pyrethrins have been used extensively
    for the control of human body lice. The formulation used early during
    World War II was called MYL powder; its use was discontinued only
    after the more effective and long-lasting DDT louse powder became
    available (Simmons, 1959).

    Pyrethrins have also been given by mouth to combat intestinal worms.
    It is possible to use pyrethrins for short periods in this way because
    a considerable period, even two or three years, may be required for
    susceptibility to appear (Sequeira, 1936; Tonking, 1936; Martin &
    Hester, 1941, Schwartz, 1934). Onset may be delayed even when exposure
    is to a purified ointment (Lord & Johnson, 1947; Sweitzer, 1936). This
    argues against the unsupported contention (Sequeira, 1936) that the
    dermatitis is usually the result of irritation rather than allergy. It
    is generally recognized that susceptibility is increased during summer
    months or periods of excessive perspiration (McCord et al., 1921;
    Sequeira, 1936; Tonking, 1936; Martin & Hester, 1941).

    Recent work confirmed that the degree of purity influences the
    allergenic activity. In a study of 106 patients, all of whom had shown
    positive reactions to ragweed or unrefined pyrethrin, no definite
    allergic reactions to purified pyrethrins were observed (Zucker,
    1965).

    Long-term studies

    Rat. Groups of 12 male and 12 female rats were fed pyrethrin in
    soybean oil at dietary levels of 0, 200, 1000 and 5000 ppm for 2
    years. The daily dosage was, therefore, approximately 0, 10, 50 and
    250 mg/kg respectively. Even the highest level had no significant
    effect on growth or survival. Slight, though definite, liver damage
    characterized by bile duct proliferation and focal necrosis was found
    at the two highest dosage levels (U.S. Food and Drug Administration,
    1951).

    Comments

    Because of the long experience in using pyrethrum without observed
    injury, except allergy in those with occupational and therapeutic
    contact, there is little reason to question the customary uses of the
    material. The fact that pyrethrum insecticides can be tolerated for
    brief periods is, however, not a justification for recommending
    frequent, repeated exposure to them over a period of years. Although
    the rapid metabolism and apparent lack of storage are reassuring no
    adequate study has been made of the synergized formulations now in
    current use.

    TOXICOLOGICAL EVALUATION

    Level causing no toxicological effect

    Rat. 200 ppm in the diet equivalent to 10 mg/kg/day

    Estimate of temporary acceptable daily intake for man

    0-0.4 mg/kg body-weight

    Further work required

    Short-term toxicity studies in several more species, including the dog
    (at least a one-year study), with special emphasis on the effect on
    the liver, and including the metabolism of pyrethrins in detail. These
    studies should include chemically identified pyrethrin concentrates
    alone and combined with major synergists, especially piperonyl
    butoxide.

    Result of the above work should be made available not later than 3
    years after the publication of this report, when a re-evaluation of
    this compound will be made.

    RESIDUES IN FOOD AND THEIR EVALUATION

    Use pattern

    (a) Pre-harvest treatments.

    Low acute oral toxicity to mammals and rapid decomposition when
    exposed to light and air allow pyrethrins to be used for controlling
    insects on growling plants just before harvest and on dairy and meat
    animals. They have been used in many countries on growing bush and
    vine fruits, deciduous fruits and nuts, forage crops and vegetables,
    and or, dairy and meat animals. Pyrethrins are usually used in
    combination with a synergist. Piperonyl butoxide is the most common
    synergist: piperonyl cyclonone, MGK-264(R), and sulfoxide have also
    been used. For pre-harvest use the proportions of pyrethrins and
    synergist may vary from 1 to 2, to 1 to 10, respectively. For certain
    specific purposes pyrethrins sometimes are used without a synergist.

    Because of the rapid decomposition of the insecticide, no limitations
    have been set on the pre-harvest use of pyrethrins out doors.

    (b) Post-harvest treatments

    Pyrethrins have also been used in a spray or dust formulation on
    freshly picked fruits and vegetables while in the field, in storage,
    or in processing plants for the control of drosophila and other
    insects. It is also used directly on dried fruit, tree-nuts, grains,
    and oil seeds as a protective treatment against insect infestation

    during storage. The pyrethrins are formulated in a fixed 1 to 10 ratio
    with piperonyl butoxide for application as sprays or dusts directly on
    the commodities as they are placed in containers or as they move on a
    conveyor into a storage box, bin, or warehouse. Water emulsion or
    wettable powder formulations of pyrethrins (in a 1 to 10 ratio with
    piperonyl butoxide in the US and certain other countries) are used as
    surface sprays on stacks of bagged peanuts and other oil seeds, and on
    animal feeds. Aerosol formulations of pyrethrins are commonly used as
    space treatments in food handling, processing, and storage facilities,
    The use of pyrethrins for the above purposes has diminished
    considerably in the past 10 years, being replaced by malathion in many
    of the treatments.

    (c) Other uses

    Pyrethrins in combination with piperonyl butoxide, applied as a
    repellent to the outside surface of multiwall paper bags, have been
    found to be effective in protecting packaged cereal products against
    outside insects. In the USA, such bags are quite widely used for
    cereal products destined for storage or overseas shipment.

    Pyrethrins are also used as a premises treatment for the control or
    prevention of insect infestations in agricultural buildings and food
    processing, handling, shipping, storage and marketing facilities. For
    this purpose the pyrethrins are applied usually in combination with a
    synergist as surface sprays to the floors, walls, working areas, and
    machinery; as an aerosol space treatment in the buildings, or both.
    Usually the insecticide is not applied directly to exposed foods and
    food is not placed directly on freshly treated surfaces. Malathion has
    replaced pyrethrins in many of the above uses.

    Pyrethrins are also a common insecticide used for the control of
    house-flies and other insects of public health and in the household.

    Tolerances (established or considered)

                                                                     
    Country           Product                         Parts per million
                                                                     

    Brazil            Cereals                         3

    Canada            Oats, Sorghum                   1
                      Other grains                    3

    Czechoslovakia    Grain                           -
                      Cereals                         2

    Finland           Cereals                         exempt

    Germany           Grain                           3

    Tolerances (cont'd)

                                                                     
    Country           Product                         Parts per million
                                                                     

    India             Cereals                         exempt

    Italy             Cereals                         2

    Kenya             Cereals                         exempt

    Netherlands       Cereals                         3

    Switzerland       Cereals                         exempt

    Turkey            Cereals                         3

    USA               Bush and vine fruits            exempt
                      Cotton seed (post-harvest)      1
                      Deciduous fruits and nuts       exempt
                      Flax-seed (post-harvest)        1
                      Forage crops                    exempt
                      Fruits and nuts (post-harvest)  1
                      Grains (post-harvest)           3
                      Mushrooms                       exempt
                      Peanuts (post-harvest)          1
                      Vegetables                      exempt
                      Vegetables (post-harvest)       1
                                                                     

    Residues resulting from supervised trials

    On growing crops pyrethrins deteriorate so rapidly that no attention
    has been given to measuring residues resulting from such use. In most
    countries they have been exempt from use regulations because of their
    low acute oral toxicity and rapid deterioration. Most of the
    information on residues has been obtained from applications to
    harvested commodities. Pyrethrins, usually in combination with
    piperonyl butoxide at about 1:10 w/w, are applied to grain as a
    protective treatment at a dosage rate of pyrethrins of 1.42 ppm on
    wheat, 1.52 ppm on shelled corn, 2.67 ppm on oats, 1.78 ppm on barley,
    1.52 ppm on rye, and 1.9 ppm on rough rice. Some of the insecticide is
    lost during application, and the deterioration is rapid during the
    first few months after storage.

    Flour exposed to two space treatments of synergized pyrethrins applied
    at the rate of two and four ounces of 0.4 per cent pyrethrins per 1000
    cubic feet produced less than 1 ppm residue in the top 1-1/2 inches
    (Unpublished document supplied by US Department of Agriculture).

    Bagged dried citrus pulp animal feed was exposed to weekly treatments
    over a three-month period to aerosol formulations containing 0.2 per
    cent of pyrethrins applied at the rate of 54 mg/m2. The maximum
    pyrethrins residue during the entire period was less than 1 ppm.

    Following a 15-month storage period in multiwall paper bags with
    special insect-tight closures and pyrethrins and piperonyl butoxide,
    the residues of pyrethrins in rice, non-fat dried milk, dried beans
    and flour were considerably less than 1 ppm (Unpublished information
    from US Department of Agriculture). A similar test involving cornmeal
    stored for six months in treated bags showed maximum pyrethrins
    residues of 1.07 ppm in 50 lb bags and 0.33 ppm in 100 lb bags
    (Laudani et al., 1966).

    Residues in food moving in commerce

    1.7 ppm of pyrethrins were found on a shipment of grain known to have
    been treated before shipment to Britain. 0.1 ppm was the highest
    amongst 99 samples taken in Rotterdam and Amsterdam.

    Residues at the time of consumption

    At the time of preparation of this report no data were available on
    the fate of residues of pyrethrins on or in fresh fruit, dried fruit,
    tree-nuts, fresh and dried vegetables, and oils. Because of the rapid
    deterioration of this insecticide when exposed to light and air, very
    little attention has been given to its fate when applied before
    harvesting. Some information is available however on the fate of
    pyrethrins when applied to grain. Controlled studies showed that a
    theoretical deposit on wheat of 1.32 ppm was down to 0.56 ppm in two
    months and 0.36 ppm in four months after treatment. A theoretical 1.74
    ppm of pyrethrins applied in combination with piperonyl butoxide (1:10
    ratio) was down to 0.3 ppm after two months of storage. Other studies
    showed that about 50 per cent of the pyrethrins residue on wheat had
    disappeared with four to five months, most of the remaining
    insecticide went into the screenings and scourings when the treated
    grain was milled and only a very small percentage of the pyrethrins
    passed into the flour. (Information direct from US Department of
    Agriculture).

    Methods of residue analysis

    Pyrethrins, being a group of insecticidally active esters, are
    difficult to detect in their entirety by any single analytical method.
    New chromatographic methods look promising and may be perfected if
    adequate clean-up methods can be developed. Further research is needed
    to perfect methods suitable for detecting down to 0.01 ppm of the
    principal esters of pyrethrins. In the meantime, the method of Jones,
    Ackerman & Webster (1952) as proposed for residues of piperonyl
    butoxide, with the appropriate clean-up procedures for the various

    foods, can be used as an index of pyrethrin levels when the exact
    ratio of the pyrethrins and the piperonyl butoxide is known; piperonyl
    butoxide residues are more stable than those of pyrethrins. This
    method has a sensitivity of 0.1 ppm of piperonyl butoxide.

    RECOMMENDATIONS FOR TOLERANCES

    The available data indicate that 50 per cent or more of the pyrethrins
    applied to stored grain disappear during the first three or four
    months of storage. At least 80 per cent of the remaining residue
    normally is removed by handling, processing and cooking. However,
    sufficient information is not available on the fate of pyrethrins
    residues obtained from good agricultural practices on fresh fruit,
    dried fruit, tree-nuts, dried vegetables and oil seeds. Therefore,
    it is recommended that the following temporary tolerances be
    established.

          Cereals           - 3 ppm
          Cereal products   - 1 ppm
          Fresh fruit       - 1 ppm
          Dried fruit       - 1 ppm
          Oilseeds          - 1 ppm

    The maximum residues resulting from the above levels in the daily food
    intake will be considerably lower than the acceptable daily intake.

    Further work

    Further work is needed on methods of detecting and measuring residues
    down to 0.01 ppm of pyrethrins. It would be useful to have the results
    of using such methods on a range of foods obtained in commerce.

    REFERENCES PERTINENT TO BIOLOGICAL DATA

    Ambrose, A. M. & Robbins, D. J. (1951) Fed. Proc., 10, 276

    Audiffren, M. (1934) J. Pharm. Chim., 19, 535

    Bosredon, Dr (1897) Bull. gen. therapeutique, medicale, chirurgical,
    obstetrical et pharmaceutique, 132, 275

    Carpenter, C. P., Weil, C. S., Pozzani, U. C. & Smith, H. F., jr
    (1950) Arch. industr. Hyg. Occup. Med., 2, 420

    Chevalier, J. (1930) Bull. d. sci. pharmacol., 37, 154

    Chevalier. J. & Ripert (1927) Compt. rend. Acad. d. sc., 184, 776

    Feinberg, S. M. (1934) J. Amer. med. Ass., 102, 1557

    Frank, R. L. & McGeachin, R. L. (1949) J. Amer. Pharm. Ass. sci.
    Ed., 38, 297

    Garratt, J. R. & Bigger, J. W. (1923) Brit. med. J., 2, 764

    Lehman, A. J. (1951) Quart. Bull. Assoc. Food and Drug Officials
    U.S., 15, 122

    Leonard, C. S. (1942) J. econ. Ent., 22, 261

    Lord, K. A. & Johnson, C. G. (1947) Brit. J. Dermatol., 59, 367

    Martin, J. T. & Hester, K. H. C. (1941) Brit. J. Dermatol., 53,
    127

    McCord, C. P., Kilker, C. H. & Minster, D. K. (1921) J. Amer. med.
    Ass., 77, 448

    Ramirez, M. A. (1930) J. Allergy, 1, 149

    Schwartz, L. (1934) Publ. Hlth Bull., 215, 51

    Sequeira, J. H. (1936) Brit. J. Dermatol., 48, 473

    Shimkin, M. B. & Anderson, H. H. (1936) Proc. Soc. exp. Biol.
    (N.Y.), 34, 135

    Sweitzer, S. E. & Tedder, J. W. (1935) Minnesota Med., 18, 793

    Sweitzer, S. E. (1936) Journal-Lancet, 56, 467

    Tonking, H. D. (1936) E. Afr. med. J., 13, 7

    U.S. Food and Drug Administration (1951) (unpublished data)

    Zucker, A. (1965) Ann. Allergy, 23, 335

    REFERENCES PERTINENT TO AGRICULTURAL DATA

    Jones, H. A., Ackerman, Webster, M. E. (1952) Colimetric determination
    of piperonyl butoxide. J. Assoc. Off. Agr. Chem., 35 (3): 771-780

    Laundani, H., Highland, H. A. & Jay, E. G. (1966) Treated bags keep
    corn-meal insect free during overseas shipment. Am. Miller and
    Processor. Chicago (February 1966)

    Walkden, H. H. & Nelson, H. D. (1959) Evaluation of synergised
    pyrethrum for the protection of stored wheat and shelled corn from
    insect attack. U.S. Dept. Ag., Marketing Research Rept. 322
    


    See Also:
       Toxicological Abbreviations
       Pyrethrins (FAO Meeting Report PL/1965/10/1)
       Pyrethrins (JMPR Evaluations 2003 Part II Toxicological)
       Pyrethrins (FAO/PL:1967/M/11/1)
       Pyrethrins (FAO/PL:1968/M/9/1)
       Pyrethrins (FAO/PL:1969/M/17/1)
       Pyrethrins (AGP:1970/M/12/1)
       Pyrethrins (WHO Pesticide Residues Series 2)
       Pyrethrins (WHO Pesticide Residues Series 4)